JBCS



23:19, sáb out 25

Acesso Aberto/TP



Artigo


Um novo conceito de branqueamento de polpa kraft de eucalipto com ozônio em média consistência
New concept of medium consistency ozone bleaching for eucalypt Kraft pulp

Valéria J. GomesI,*; Jorge L. ColodetteII

IDepartamento de Química, Universidade Federal de Viçosa, 36570-900 Viçosa - MG, Brasil
IIDepartamento de Engenharia Florestal, Universidade Federal de Viçosa, 36570-900 Viçosa - MG, Brasil

Recebido em 09/05/2016
Aceito em 26/07/2016
Publicado na web em 16/08/2016

Endereço para correspondência

*e-mail: valeria.juste@gmail.com

RESUMO

The effect of hot acid hydrolysis (A-stage) pretreatment on the ozone (Z/E) performance at medium consistency was evaluated. An experimental plan was set up involving full optimization of A and Z/E stages for an oxygen delignified eucalypt kraft pulp. A-stage caused significant kappa and HexA drop, and the optimum condition for this stage being pH 3.0, 90 ºC, 120 minutes at 10% consistency. For A-stage pretreated pulp, the conditions for maximum Z/E-stage efficiency and selectivity were pH 2.5, 40 ºC, 5.0 kg O3 adt-1 pulp for the (Z/)-treatment and pH 10.5 for the alkaline extraction (E). The values of kappa drop per kilogram of ozone applied were 1.04 and 1.18 for A-stage pretreated and reference pulps, respectively. Since the A-stage pretreatment did not decrease the (Z/E)-stage efficiency to a large extent, such stages are complementary rather than competitive. The potential of the A-stage pretreatment to save bleaching chemicals is quite large given that pulp kappa number (brightness) after Z/E and AZ/E treatments were 5.5 (brightness 67.3% ISO) and 1.1 (brightness 72.6% ISO), respectively. The impact of the A-stage pretreatment on overall bleaching performance, comparing the sequences Z/EDP and AZ/EDP will be a matter of other publication on the subject.

Palavras-chave: eucalypt; bleaching; hot acid hydrolysis; ozone; hexenuronic acid.

INTRODUÇÃO

Por muitos anos, a lignina foi considerada o único componente da madeira responsável pelo consumo de reagentes químicos durante o branqueamento de polpa celulósica. No início dos anos noventa, a presença dos ácidos 4-desoxihex-4-enurônicos na polpa, chamados de hexenurônicos (HexA), foi confirmada pela técnica de Ressonância Magnética Nuclear e o seu efeito sobre o número kappa e consumo de reagentes químicos no branqueamento puderam ser estudados.1,2 O grande problema causado pela presença dos HexA na polpa é que eles reagem com compostos eletrofílicos, como o ozônio e dióxido de cloro, usados durante o branqueamento.3,4

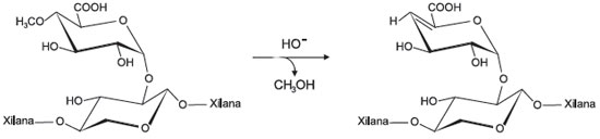
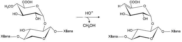
Os HexA são formados após o cozimento alcalino devido à β-eliminação de metanol da estrutura dos ácidos 4-O-metil-α-D-glucourônicos, os quais estão ligados covalentemente às xilanas presentes na madeira (Figura 1).2,5

 


Figura 1. Formação dos HexA durante a polpação alcalina (adaptado de Li e Gellerstedt)2

 

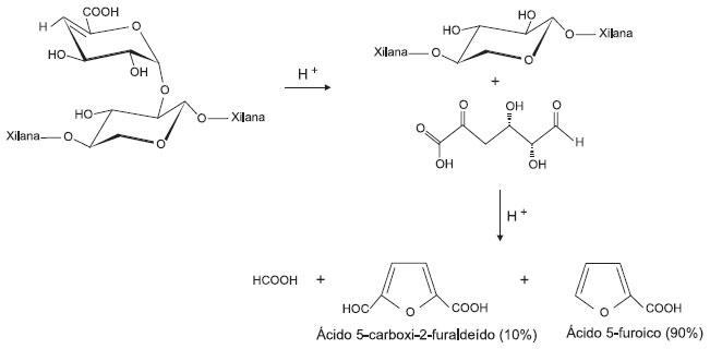
Com o intuito de remover os HexA antes de se iniciar uma sequência de branqueamento, o estágio de hidrólise ácida a quente (estágio A) foi desenvolvido, resultando em significativa economia de reagentes químicos,1,6,7 além de se tratar de uma técnica de baixo custo. O estágio A se baseia no tratamento da polpa com solução de ácido mineral (ácido sulfúrico, clorídrico ou nítrico) em pH 2,5-4 e temperaturas em torno de 85-105 ºC.8 Nestas condições, a estrutura dos HexA se degrada, dando origem a estruturas derivadas do furano (Figura 2), que são, então, solúveis em água.1,2 Porém, mesmo nas mais severas condições, não é possível removê-los completamente. Uma parcela de aproximadamente 20% ainda permanece na polpa.9 Condições extremas causariam perda de viscosidade, o que é indesejado no caso de uma polpa destinada à produção de papel de impressão e escrita. Suess4 afirma que apenas metade dos HexA presentes na polpa podem ser removidos em um estágio ácido sem grave perda de viscosidade.

 


Figura 2. Hidrólise ácida dos HexA e seus derivados (adaptado de Li e Gellersdedt)2

 

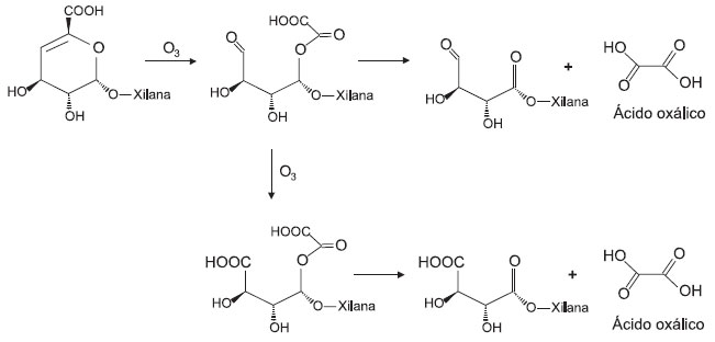
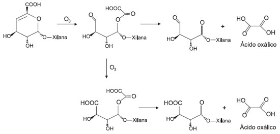
Devido à presença de um grupo carboxílico insaturado e um enol-éter em sua estrutura, os HexA reagem prontamente com eletrófilos, como o ozônio, sendo que esta reação é cerca de 2,4 vezes mais rápida do que com a lignina.10 Além de consumir ozônio, o qual poderia ser poupado para oxidar a lignina, a reação com os HexA gera quantidades significativas de ácido oxálico, como mostrado na Figura 3, que na presença de cálcio dá origem ao oxalato de cálcio, responsável por incrustações nos equipamentos.11

 


Figura 3. Formação de ácido oxálico através da reação entre os HexA e o ozônio (adaptado de Lino et al.)11

 

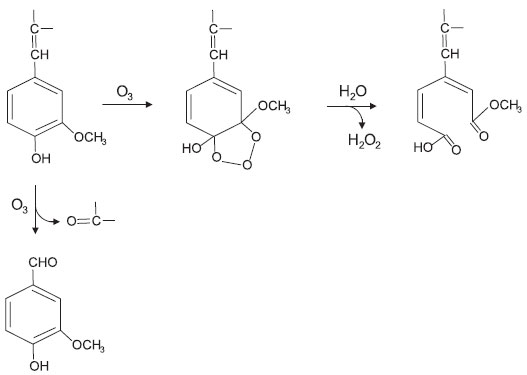
Pelo seu carater eletrofílico, o ozônio reage rapidamente com a lignina residual, a qual é rica em estruturas insaturadas e aromáticas, levando à formação de grupos cetônicos e aldeídicos e também à clivagem do anel aromático, resultando num polímero hidrofílico que se solubiliza em água nas condições neutras ou alcalinas.11-13 A Figura 4 exemplifica essas reações.

 


Figura 4. Reações de uma estrutura típica da lignina com o ozônio (adaptado de Lino et al.)11

 

A reação do ozônio com as estruturas fenólicas de lignina também leva à formação de radicais livres, os quais são responsáveis pela degradação dos carboidratos da polpa, resultando em queda de viscosidade e, consequentemente, perda de resistência das fibras.14 Apesar do ozônio ser usado há anos nas indústrias como agente de branqueamento, ainda é necessário uma melhor compreensão das reações químicas e um ajuste refinado das condições utilizadas no processo.15,16

A prática industrial vem mostrando significativa economia de reagentes químicos no branqueamento com a adição de um estágio A antes do estágio Z/E.17,18 Sendo assim, uma investigação mais profunda sobre a utilização deste estágio e sua influência na performance do subsequente estágio Z/E se torna necessária. O objetivo desse estudo foi determinar as condições ótimas do estágio A e Z/E e avaliar o efeito da inserção deste estágio A à frente do Z/E sobre a remoção de HexA e lignina, bem como seu impacto na viscosidade e alvura da polpa, usando para comparação uma polpa de referência para a qual não houve aplicação de estágio A.

 

PARTE EXPERIMENTAL

Material

Foi utilizada uma amostra de polpa kraft industrial de eucalipto, pré deslignificada com oxigênio. A polpa pré deslignificada apresentou as seguintes características iniciais: número kappa 11,4; viscosidade 1059 dm3 kg-1; alvura 49,5 % ISO e HexA 56,3 mmol kg-1.

Métodos

Aperfeiçoamento do estágio A

O aperfeiçoamento do estágio A foi realizado utilizando as seguintes condições: pH 2,5; 3,0; 3,5 e 4,0; temperatura 85, 90 e 95 ºC; o tempo de reação e a consistência do estágio foram fixados em 120 minutos e 10%, respectivamente. A polpa foi acidificada com ácido sulfúrico para atingir o pH desejado, e então colocada em um reator/misturador Mark V (Quantum Technologies, EUA) com capacidade para 3,6 L. A polpa foi então aquecida até a temperatura desejada e mantida no reator sob agitação pelo tempo desejado. Em seguida, as polpas foram lavadas com 9 m3 de H2O t-1 de polpa. A melhor condição foi determinada com base na remoção do HexA e na queda de viscosidade.

Aperfeiçoamento do estágio Z/E em média consistência (MC)

O aperfeiçoamento do estágio Z/ foi realizado utilizando as condições: pH de reação 2,5; 3,5 e 5,5; temperatura 40, 55 e 70 ºC; o tempo de reação para a dosagem de ozônio desejada (5 kg de O3 t-1 de polpa) foi fixado em 2 min. A polpa foi acidificada com ácido sulfúrico e então colocada em um reator/misturador Mark V (Quantum Technologies, EUA) com capacidade de 3,6 L e aquecida até a temperatura desejada, mantida sob agitação, sendo que o ozônio foi injetado durante o período de 2 minutos. Após a conclusão do estágio Z/, as amostras de polpa foram removidas do reator e o ozônio residual foi determinado. Em seguida, foi realizada uma extração (E), utilizando dois pH diferentes (3,5 e 10,5) por 10 min a 65 ºC e 10% de consistência. As polpas foram então lavadas com o equivalente a 9 m3 de H2O t-1 de polpa, e a escolha da melhor condição do estágio Z/E foi baseada na redução do número kappa, na remoção do HexA e na queda de viscosidade.

Estágio Z/E da polpa referência

A polpa kraft industrial pré deslignificada foi submetida ao estágio Z/E sem prévia aplicação do estágio A, seguindo as condições: carga de ozônio de 5 kg t-1, tempo de reação 2 min, pH 3,5, temperatura 70 ºC e consistência 10%. A extração foi realizada em pH 3,5 por 10 minutos a 65 ºC e 10% de consistência. Por último, a polpa foi lavada com o equivalente a 9 m3 de H2O t-1 de polpa.

Procedimentos analíticos

As amostras de polpa foram analisadas de acordo com os seguintes procedimentos analíticos: número kappa: TAPPI T236 om-85, que se baseia na medição indireta de compostos oxidáveis da polpa por reação com permanganato de potássio (neste caso, lignina e HexA); viscosidade: TAPPI T230 om-94, baseada na medição da viscosidade da celulose, usando viscosímetro capilar, após sua dissolução em etilenodiamina cúprica; alvura ISO: TAPPI T525 om-86, valor numérico para o fator de refletância da amostra de polpa à 457 nm; e teor de HexA: Tenkanen et al., 1999,19 método baseado na medição do ácido 2-furanocarboxílico à 245 nm, que é originado após hidrólise dos HexA em condições ácidas.

 

RESULTADOS E DISCUSSÃO

Aperfeiçoamento do estágio A

Embora as condições gerais para execução do estágio A já tenham sido estudadas por Vuorinen et al.,1 é sempre interessante otimizar tais condições para uma nova amostra de polpa afim se obter o máximo proveito desse estágio.

 

 

A Tabela 1 mostra a redução do kappa, remoção de HexA, queda de viscosidade e ganho de alvura após o estágio A, para cada condição investigada. A remoção de HexA aumentou com a elevação da temperatura e diminuição do pH, como já citado em estudos anteriores,1,20 uma vez que eles são suscetíveis à hidrólise ácida, gerando produtos solúveis em água. A redução do número kappa também aumentou nessas condições. Como o estágio A não remove grandes quantidades de lignina,1 a diminuição do kappa pode ser explicada pela metodologia usada na sua determinação, que se baseia na quantificação, por titulação, de compostos oxidáveis na polpa usando permanganato de potássio em meio ácido, o qual oxida não só lignina, mas também os HexA.21 Sendo assim, uma diminuição do número kappa pode não significar remoção de lignina, mas sim de HexA, como neste estudo. A queda de viscosidade e o ganho de alvura também aumentaram nessas condições (aumento da temperatura e diminuição do pH), as quais favorecem a degradação da celulose pela hidrólise ácida e a remoção de pequenas frações de grupos cromóforos (lignina e HexA) neste estágio. A máxima redução do kappa (53,5%) e de HexA (74,6%) foi obtida a 95 ºC e pH inicial 2,5. Contudo, essa condição resultou em significativa perda de viscosidade (253 dm3 kg-1). Condições severas como essas (baixo pH e alta temperatura) resultam em grave queda de viscosidade, uma vez que a celulose é sensível à hidrólise ácida devido às ligações glicosídicas entre os monômeros de glucose. A perda de viscosidade é uma das principais desvantagens do estágio A, devido à potencial perda nas propriedades de resistência se as condições empregadas não forem devidamente controladas.6 Sendo assim, considerando que a condição de 90 ºC e pH inicial 3,0 resultou em menor perda de viscosidade (141 dm3 kg-1) e ainda assim alta eficiência na redução de kappa (44,7%) e HexA (65,9%), esta condição foi escolhida para dar sequência a este estudo.

Aperfeiçoamento do estágio Z/E em média consistência (MC)

Após selecionado o ponto ótimo do estágio A, a polpa foi então submetida ao estágio Z/E em diferentes condições de pH e temperatura. A Figura 5 mostra os efeitos do pH e da temperatura do estágio Z/E sobre a redução do kappa, remoção de HexA, ganho de alvura e queda de viscosidade para as polpas extraídas em pH 3,5. Os valores máximos para redução de kappa e HexA com mínima perda de viscosidade foram encontrados em pH 2,5 e temperatura 40 ºC, indicando que a máxima eficiência e seletividade do ozônio acontecem nessas condições. O ganho de alvura após o estágio Z/E também foi maximizado nestas condições (pH 2,5 e temperatura de 40 ºC), o que está de acordo com o decréscimo do kappa. Resultados similares foram reportados anteriormente por outros pesquisadores.22,23 A alta eficiência e seletividade em baixos pH e temperaturas é explicado pela baixa decomposição do ozônio sob essas condições.11 A seletividade do estágio de branqueamento com ozônio é muito dependente da formação de radicais livres, que, por sua vez, é influenciada pelas condições operacionais do estágio, especialmente temperatura e pH.24-26

 


Figura 5. Efeito do pH e temperatura sob a redução do kappa, remoção dos HexA (ácidos hexenurônicos), queda de viscosidade e ganho de alvura, após o estágio Z/E (extração em pH 3,5)

 

A mesma tendência foi observada para o estágio Z/E com extração em pH 10,5, como mostrado na Figura 6. Em geral, melhores resultados de redução de kappa e HexA foram obtidos quando a polpa foi extraída em pH 10,5 ao invés de pH 3,5 após a ozonização. As condições alcalinas favorecem a remoção de materiais oxidados, impactando positivamente na redução do kappa e HexA da polpa. O ganho de alvura diminuiu levemente para as polpas extraídas em pH 10,5, o que pode ser explicado pela conversão de frações fenólicas em quinonas devido às condições alcalinas da extração. Assim, as condições ótimas do estágio Z/E foram pH 2,5, temperatura de 40 ºC e extração em pH 10,5.

 


Figura 6. Efeito do pH e temperatura sob a redução do kappa, remoção dos HexA (ácidos hexenurônicos), queda de viscosidade e ganho de alvura, após o estágio Z/E (extração em pH 10,5)

 

Os resultados mostrados na Tabela 2 comparam a performance do estágio Z/E em polpas tratadas e não tratadas pelo estágio A. É importante notar que no caso da polpa referência o estágio Z/E foi realizado em condições operacionalmente favoráveis, como altas temperaturas. Assim, foi feita uma comparação entre as polpas tratadas e não tratadas pelo estágio A, sendo que o estágio Z/E da polpa referência foi realizado a 70 ºC e o da polpa tratada pelo estágio A foi realizado a 40 ºC (condição otimizada). Essa comparação é válida uma vez que alguns estudos mostraram que não há diferença significativa na performance do estágio Z em temperaturas na faixa de 40-60 ºC.15,16 Normalmente as fábricas operam sua extração em pH 3,5, pois no caso de um subsequente estágio de branqueamento utilizando dióxido de cloro já se tem a vantagem do baixo pH; este então foi o valor empregado no experimento de referência. Mas, para a polpa tratada pelo estágio A, o estágio Z/E foi realizado no pH ótimo, pH 2,5, e assim tem-se a vantagem da acidificação vinda do estágio ácido e também da melhor reação do ozônio com a lignina, que é mais eficiente e seletiva neste valor de pH.23

 

 

Como no caso da referência, em que o estágio Z/E foi realizado em uma polpa sem prévio estágio A, o número kappa e o teor de HexA dessa polpa após o estágio Z/E foi bem maior do que aquela previamente tratada pelo estágio A. Em termos de redução do número kappa, os valores foram similares. Porém, a polpa referência tinha um alto teor de HexA em relação à polpa previamente tratada pelo estágio A (56,3 e 19,2 mmols kg-1, respectivamente), fazendo com que 55,9% da carga de ozônio aplicada fosse gasta para remover HexA, enquanto que na polpa tratada pelo estágio A, o ozônio agiu direto na remoção de lignina (apenas 26,9% da carga de ozônio foi gasta para remover HexA), fazendo com que o estágio Z/E removesse o dobro de lignina quando a polpa foi tratada pelo estágio A (remoção de 1,9 e 3,8 unidades kappa como lignina, respectivamente). Assim, após o estágio Z/E, a alvura ISO da polpa referência foi 5,3% ISO mais baixa que a polpa tratada pelo estágio A. A queda de viscosidade para a polpa referência foi bem mais alta do que para a polpa tratada pelo estágio A. No entanto, o valor final de ambas foi próximo. O ganho de alvura através do estágio Z/E foi maior para as polpas tratadas pelo estágio A. Estes resultados indicam que polpas tratadas pelo estágio A fizeram com que o subsequente estágio Z/E fosse mais seletivo para remover lignina, com consequente aumento da alvura.

O número kappa reduzido por cada quilograma de ozônio aplicado foi de 1,04 (variação de 5,2 no número kappa antes e depois do estágio Z/E, sendo a carga de ozônio aplicada de 5,0 kg t-1) a partir de um número kappa de entrada de 6,3 após o estágio A, e 1,18 (variação de 5,9 no número kappa antes e depois do estágio Z/E, sendo a carga de ozônio aplicada de 5,0 kg t-1) a partir de um kappa de entrada de 11,4, sem o prévio estágio A. Era esperado que o estágio Z/E fosse pouco eficiente após o estágio A, mas considerando-se o significativo menor kappa de entrada, pode-se perceber que sua redução de 1,04 e 1,18 unidades kappa por quilograma de ozônio aplicado estão na mesma faixa. Em outras palavras, a implementação do estágio A não decresceu a eficiência do estágio Z/E. Assim, a hidrólise ácida a quente e o branqueamento com ozônio, neste estudo, não são técnicas competitivas, e sim complementares.

 

CONCLUSÃO

A condição ótima de reação para o estágio A foi 90 ºC, pH 3,0 por 120 minutos a 10% de consistência, reduzindo o kappa de 11,4 para 6,3 e o teor de HexA de 56,3 para 19,2 mmols kg-1, sendo a perda de viscosidade de 141 dm3 kg-1.

A condição ótima do estágio Z/E foi 40 ºC em pH 2,5 a 10% de consistência, usando 5 kg de O3 t-1, sendo o pH de extração 10,5, reduzindo o kappa de 6,3 para 1,1 e o teor de HexA de 19,2 para 5,2 mmols kg-1, com perda de viscosidade de 87 dm3 kg-1.

O estágio Z/E na polpa referência reduziu o número kappa de 11,4 para 5,2 e o teor de HexA de 56,3 para 23,4 mmols kg-1, sendo a perda de viscosidade de 219 dm3 kg-1.

Os estágios AZ/E e Z/E mostraram similar eficiência, sendo o número kappa reduzido por quilograma de ozônio 1,04 e 1,18 para as polpas pré tratada e referência, respectivamente, tornando tais estágios complementares ao invés de competitivos.

A inserção de um estágio A aumenta significativamente a economia de reagentes químicos de branqueamento, dado que o número kappa após os estágios AZ/E e Z/E foram 1,1 (alvura 72,6% ISO) e 5,5 (alvura 67,3% ISO), respectivamente. O impacto do estágio A no branqueamento completo das polpas pelas sequências AZ/EDP e Z/EDP será discutido em uma futura publicação.

 

AGRADECIMENTOS

Ao apoio financeiro oferecido pela Coordenação de aperfeiçoamento de Pessoal de Nível Superior (CAPES), Fundação de Amparo à Pesquisa do Estado de Minas Gerais (FAPEMIG) e Conselho Nacional de Desenvolvimento Científico e Tecnológico (CNPq).

 

REFERÊNCIAS

1. Vuorinen, T.; Buchert, J.; Teleman, A.; Tenkanen, M.; Fagerström, P.; Resumos da International Pulp Bleaching Conference, Washington, Estados Unidos, 1996.

2. Li, J.; Gellerstedt, G.; Carbohydr. Res. 1996, 302, 218.

3. Buchert, J.; Teleman, A.; Harjunpää, V.; Tenkanen, M.; Viikari, L.; Vuorinen, T.; Tappi J. 1995, 11, 125.

4. Suess, H. U. Em Pulp Bleaching Today; Suess, H. U., ed.; Editora De Gruyter: Berlin, 2010, cap. 4.

5. Teleman, A.; Harjunpää, V.; Tenkanen, M.; Buchert, J.; Hausalo, T.; Drakenberg, T.; Vuorinen, T.; Carbohydr. Res. 1995, 272, 55.

6. Siltala, M.; Winberg, K.; Alenius, M.; Henricson, K.; Lonnberg, B.; Keskinen, N.; Resumos do International Pulp Bleaching Conference, Helsinki, Finlândia, 1998.

7. Silva, M. R.; Mounteer, A.; Colodette, J. L; O Papel 2001, 62, 84.

8. Colodette, J. L.; Gomes, V. J. Em Branqueamento de polpa celulósica - da produção da polpa marrom ao produto acabado; Colodette, J. L.; Gomes, F. J. B.; eds; Editora UFV: Viçosa, 2015, cap. 2.

9. Henricson, K.O.; US pat. 1,997,015,713 1996. (CA 2235325 A1)

10. Ventorim, G.; Colodette, J. L.; Gomes, A. F.; Silva, L. H. M.; Wood Fiber Sci. 2008, 2, 190.

11. Lino, A. G.; Oliveira, F. N.; Colodette, J. L. Em Branqueamento de polpa celulósica - da produção da polpa marrom ao produto acabado; Colodette, J. L.; Gomes, F. J. B.; eds; Editora UFV: Viçosa, 2015 cap. 4.

12. Sixta, H.; Handbook of pulp, Wiley-VCH: Weinheim, 2006.

13. Sjöström, E.; Wood chemistry: fundamentals and applications, 2nd ed., Academic Press: Helsinki, 1993.

14. Colodette, J. L.; Gomes, C. M.; Rabelo, M. S.; Tappi J. (v. Online) 2008, 7, 18D.

15. Nordén, S.; Carré, G.; Wennerström M.; Resumos da Annual General Meeting and Seminar, Chennai, India, 2006.

16. Wennerström, M; Norstedt, A.; Resumos da EUCEPA International Conference, Bratislava, Eslováquia, 2006.

17. Silva, M. R.; Colodette, J. L.; Peixoto, M. A. L.; Resumos da International Pulp Bleaching Conference, Portland, Estados Unidos, 2002.

18. Guimarães, A. L. S.; Dissertação de Mestrado, Universidade Federal de Viçosa, Brasil, 2012.

19. Tenkanen, M.; Gellerstedt, G.; Vuorinen, T.; Teleman, A.; Perttula, M.; Li, J.; Buchert, J.; J. Pulp Pap. Sci. 1999, 25, 311.

20. Henricson, K. O.; Resumos da International Emerging Technologies Conference and Exhibition, Orlando, Estados Unidos, 1997.

21. Costa, M. M.; Colodette, J. L.; Braz. J. Chem. Eng. 2007, 24, 71.

22. Lage Filho, F.; Quim. Nova 2008, 31, 312.

23. Pan, G. Y.; Chen, C. L.; Chang, H. M.; Gratzl, J. S.; J. Wood Chem. Technol. 1984, 4, 387.

24. Chaturvedi, V.; Verma, P.; Biotechnology 2013, 3, 431.

25. Carvalho, F. D.; Asbahr, D.; Godoy, A. A. R.; Colodette, J. L.; Ciência Florestal 2006, 16, 88.

26. Maia, E. P.; Colodette, J. L.; Rev. Arvore 2003, 27, 232.

On-line version ISSN 1678-7064 Printed version ISSN 0100-4042
Qu�mica Nova
Publica��es da Sociedade Brasileira de Qu�mica
Caixa Postal: 26037 05513-970 S�o Paulo - SP
Tel/Fax: +55.11.3032.2299/+55.11.3814.3602
Free access

GN1