JBCS



12:10, sáb out 25

Acesso Aberto/TP



Revisão


A importância do estado excitado 3MLCT de compostos de Ru(II), Re(I) e Ir(III) no desenvolvimento de fotossensores, oleds e fotorredução de CO2
The importance of the 3MLCT excited state of Ru(II), Re(I) and Ir(III) compounds on development of photosensors, oleds and CO2 photoreduction

Andressa V. Müller; Márcia R. Gonçalves; Luiz D. Ramos; André S. Polo#; Karina P. M. Frin*

Centro de Ciências Naturais e Humanas, Universidade Federal do ABC, Avenida dos Estados, 5001, 09210-580 Santo André - SP, Brasil

Recebido em 15/07/2016
Aceito em 25/08/2016
Publicado na web em 22/09/2016

Endereço para correspondência

*e-mail: karina.frin@ufabc.edu.br
#e-mail alternativo: andre.polo@ufabc.edu.br

RESUMO

The photochemistry and photophysics of coordination compounds have been extensively investigated not only because their structure, stability, reactivity dependence on the metal center oxidation state and the coordinated ligand; but also for their electronic transitions in a wide range of visible radiation. The knowledge of light absorption, excited state deactivation, sensitization and quenching processes are crucial to their manipulation aiming the development of systems capable of execute useful functions such as photosensors and/or probes, luminescent devices and molecular systems to convert sunlight into other types of energy. In this review, the progresses and challenges of biomolecules photosensors, organic light emitting diodes and CO2 photoreduction catalysts based on ruthenium(II), rhenium(I) or iridium(III) coordination compounds are discussed based on their photochemical and photophysical processes.

Palavras-chave: Coordination chemistry; inorganic photochemistry; biomolecules photosensors; organic light emitting diodes; CO2 photocatalysts.

INTRODUÇAO

O desenvolvimento e a compreensao de sistemas baseados em estruturas moleculares que utilizam fótons como reagente para a ocorrência de processos químicos e físicos é o foco da fotoquímica, ciência que vem adquirindo cada vez mais destaque, principalmente, devido às potenciais aplicaçoes em processos de conversao de energia1-8 ou em sistemas biológicos.9-16

Compostos de coordenaçao apresentam grande potencial para aplicaçoes em sistemas fotoquímicos17-26 devido à possibilidade de incorporar diferentes ligantes a centros metálicos para formar subunidades com funcionalidades específicas que podem estar relacionadas às suas transiçoes eletrônicas.27 Em complexos octaédricos podem ocorrer transiçoes eletrônicas centradas no metal (MC, Metal Centered); Intraligante (IL, IntraLigand); transiçoes de transferência de carga do ligante para o metal (LMCT, Ligand-to-Metal Charge Transfer); e transiçoes de transferência de carga do metal para o ligante (MLCT, Metal-to-Ligand Charge Transfer), Figura 1.

 


Figura 1. Representaçao esquemática dos orbitais moleculares de um composto de coordenaçao e as possíveis transiçoes eletrônicas

 

O processo fotoquímico, que se inicia com a absorçao de luz por uma espécie química e resulta na transiçao de um elétron do estado fundamental para um estado excitado, pode ter seu mecanismo representado por um diagrama de Jablonski, Figura 2.28-30 Na transiçao eletrônica, um elétron do orbital molecular ocupado de mais alta energia (Highest Occupied Molecular Orbital, HOMO) passa a ocupar, no estado excitado, um orbital molecular nao-ocupado, produzindo uma nova espécie química com características distintas daquelas do estado fundamental.31 Estas novas características permitem que reaçoes que nao sao observadas em processos térmicos ocorram quando a espécie é exposta à luz.

 


Figura 2. Representaçao esquemática do diagrama de Jablonski. No exemplo genérico, o estado fundamental possui multiplicidade singlete (linhas contínuas denotam transiçoes radiativas; linhas tracejadas denotam transiçoes nao-radiativas)

 

O estado excitado inicialmente populado, segundo o princípio de Franck-Condon, envolverá níveis vibrônicos de maior energia e é seguido da desativaçao térmica dentro do mesmo poço de potencial até o orbital molecular nao-ocupado de menor energia (Lowest Unoccupied Molecular Orbital, LUMO), ou seja, ocorre um decaimento térmico sem variaçao na multiplicidade de spin, denominado conversao interna. Após a conversao interna, pode existir o cruzamento intersistema, no qual ocorre a alteraçao da multiplicidade de spin, o que leva a um novo conjunto de poços de potencial e novos estados excitados possíveis de serem atingidos. Este processo é facilitado com a inserçao de uma maior quantidade de níveis vibrônicos, o que ocorre com a presença de átomos com grande número de elétrons, como os compostos de metais da segunda e terceira série de transiçao. A seguir, ocorre o processo de conversao interna novamente e atinge-se o estado excitado de mais baixa energia desta multiplicidade de spin, que é denominado estado excitado termicamente equilibrado, thexi (thermally equilibrated excited state). Por envolver várias transiçoes eletrônicas com diferentes multiplicidades de spin, este estado excitado possui um tempo de vida mais longo que os demais.31,32

O estado excitado pode também ser desativado através de processos radiativos, a fluorescência e a fosforescência. A fluorescência ocorre a partir do estado excitado que possui mesma multiplicidade de spin que o estado fundamental; enquanto que a fosforescência ocorre a partir de um estado excitado de multiplicidade diferente daquela do estado fundamental.

Além dos processos de desativaçao térmica e radiativa, a energia do estado excitado pode ser transferida a uma segunda espécie, levando aos processos de supressao ou sensibilizaçao.28,29,33 Esses processos podem envolver ainda a transferência de elétrons promovendo supressao ou sensibilizaçao redutiva ou oxidativa.34 Isso ocorre pois no estado excitado existe a separaçao de cargas, disponibilizando um elétron para promover a reduçao de uma espécie, ao mesmo tempo que existe uma lacuna deixada pelo elétron que foi excitado, de modo que a mesma espécie pode ser tanto um bom oxidante quanto um bom redutor. Caso esta separaçao de cargas possua tempo de vida longo o suficiente, os processos de supressao/sensibilizaçao serao favorecidos. Portanto, o conhecimento e manipulaçao dos processos de absorçao de luz, desativaçao do estado excitado e supressao/sensibilizaçao sao fundamentais para o desenvolvimento de sistemas capazes de converter energia.

Outra maneira de usar a energia do estado excitado é empregá-la em uma transformaçao química. As reaçoes podem ocorrer imediatamente após o processo de absorçao de luz e sao denominadas reaçoes fotoquímicas do tipo prompt por serem muito rápidas. Outra possibilidade é que a reaçao ocorra a partir do thexi, aproveitando assim o tempo de vida mais longo deste estado excitado. A existência de várias transiçoes eletrônicas nos compostos de coordenaçao implica em uma grande variedade de fotorreaçoes possíveis. No caso de uma fotorreaçao do tipo prompt o caminho pelo qual uma reaçao fotoquímica seguirá está relacionado à energia absorvida pela espécie; ou está relacionado ao estado excitado de mais baixa energia quando reaçoes ocorrem a partir do thexi. Por exemplo, a populaçao do orbital σM* pode levar a uma reaçao de fotolabilizaçao devido à alteraçao na energia de estabilizaçao do campo ligante.35-40 Por outro lado, reaçoes fotorredox sao observadas tipicamente ao atingir os estados excitados envolvendo transiçoes de transferência de carga.41,42

Neste trabalho serao abordados três temas atuais de grande interesse e que estao relacionados diretamente à aplicaçao das transiçoes de transferência de carga do tipo MLCT de compostos de coordenaçao de Ru(II), Re(I) e Ir(III). Estes íons metálicos possuem 6 elétrons em seu orbital d mais externo, que participam das transiçoes eletrônicas de transferência de carga, as quais apresentam intensa absorçao, portanto captaçao de energia, na regiao visível do espectro, que corresponde a 44% da luz solar que chega à superfície terrestre. A emissao proveniente do estado excitado 3MLCT geralmente apresenta banda larga, intensa e nao estruturada, que pode ser manipulada por fatores aos quais ele seja bastante sensível, como ligantes,43,44 solventes45 e rigidez do meio.46-48 Primeiramente serao apresentados os avanços no uso da emissao a partir do 3MLCT de compostos de coordenaçao como marcadores celulares. A emissao proveniente deste estado pode também ser gerada eletroquimicamente e ser aproveitada em dispositivos capazes de converter eletricidade em luz. Por fim, será apresentada a captaçao de luz pela transiçao MLCT e a utilizaçao do estado excitado com separaçao espacial de cargas em um sistema que mimetiza a fotossíntese, convertendo luz em energia química, transformando CO2 em produtos de maior conteúdo energético.

 

FOTOSSENSORES BIOLOGICOS

Compostos de coordenaçao começaram a chamar a atençao para serem usados em sistemas biológicos a partir da descoberta das propriedades antitumorais da cisplatina49 na década de 60. Desde entao, grandes avanços em bioinorgânica utilizam estes compostos nas mais variadas aplicaçoes, tais como agentes anticâncer,50 proteases artificiais,51 transportadores artificiais de cátions,52 veículos de NO53-61 e realizaçao de diagnósticos a partir de imagens celulares.62 Estes avanços mais recentes devem-se principalmente às suas propriedades de emissao e redox,63-65 pois uma célula torna-se quase transparente ao ser iluminada no microscópio, dificultando a identificaçao das suas organelas separadamente, o que é fundamental para a investigaçao de funçoes em um sistema celular.

Marcadores luminescentes em sistemas biológicos devem ser preferencialmente solúveis em tampoes aquosos e foto-estáveis; devem ser seletivos para determinada organela celular de modo que seja possível obter imagens de fácil interpretaçao e devem possuir estruturas que permitam sua internalizaçao na célula. Além dessas características, buscam-se compostos nos quais a geraçao de oxigênio singlete seja minimizada, uma vez que ele é responsável por causar morte celular e levar a total inutilizaçao do sistema para obtençao de imagens.29,66-68 Já para obtençao de imagens celulares in vivo existe o problema da existência de componentes celulares que sao capazes de absorver e emitir luz, como o grupo indol do triptofano comumente encontrado em proteínas. Para evitar interferências, os marcadores devem possuir emissao em comprimentos de onda distintos das biomoléculas, com tempo de vida de emissao que permita a sua diferenciaçao, além de possuir comprimentos de onda de excitaçao e emissao em regioes mais penetrantes nos tecidos.66,69

A estrutura do composto utilizado como marcador luminescente é de suma importância, pois sua permeabilidade, agregaçao e localizaçao na célula dependem efetivamente do ligante coordenado ao centro metálico. Particularmente, os compostos de coordenaçao de Ru(II), Re(I) ou Ir(III) sao investigados como marcadores luminescentes por possuírem emissao a partir do estado excitado 3MLCT que é facilmente modulado com a troca de ligantes produzindo uma resposta ou sinalizaçao no interior da célula. Além disso, alguns ligantes que já apresentam atividade biológica podem ter seus efeitos citotóxicos minimizados quando coordenados a metais de transiçao, pois a toxicidade dos complexos em meio biológico está associada principalmente à sua labilidade e lipossolubilidade, permitindo o uso do composto de coordenaçao como sensor biológico sem danificar a célula.

Um dos primeiros trabalhos que reporta a utilizaçao de complexos de rutênio(II) como fotossensor para DNA foi com o [Ru(phen)3]2+.70,71 Extensa investigaçao fotofísica indicou que esse composto se liga à dupla hélice do DNA por intercalaçao e resulta em um aumento da luminescência do estado 3MLCT. Porém, a luminescência residual proveniente de complexo nao intercalado e a relativamente fraca interaçao demonstraram que esse complexo nao seria um bom candidato para uma aplicaçao efetiva. A troca de um ligante phen pelo dppz, resultando no composto [Ru(phen)2(dppz)]2+, levou a modificaçoes significativas tanto nas propriedades fotofísicas como na interaçao com o DNA. Enquanto o composto nao é luminescente em soluçao aquosa tamponada, na presença do DNA exibe emissao centrada em 632 nm comparável à emissao do [Ru(phen)3]2+, além de se ligar avidamente à dupla hélice do DNA. Esses comportamentos foram atribuídos à planaridade do ligante dppz que aumentaria a capacidade de intercalaçao com os grupos da dupla hélice do DNA. Deste entao, compostos de rutênio(II) vêm sendo bastante aplicados como sensores luminescentes para imagens celulares.69,72-76

As propriedades luminescentes dos compostos de Re(I) chamam a atençao desde a década de 70,45,77 mas seu uso como marcadores biológicos é recente.78-82 O primeiro composto de Re(I) usado como fotossensor biológico possui o ligante bisquinolina coordenado,81 Figura 3. A emissao deste composto ocorre a partir do estado 3MLCTRe(I)-quinolina, e se mostrou muito eficiente na obtençao de imagens celulares quando incubado em leucócitos humanos.

 


Figura 3. Estrutura do composto de Re(I) baseado no ligante bisquinolina, empregado como fotossensor biológico

 

As primeiras imagens celulares obtidas usando complexos tricarbonílicos de Re(I) coordenados aos ligantes polipiridínicos (NN), fac-[Re(L)(NN)(CO)3], L = derivados piridínicos, foram apresentadas em 2007.80 Posteriormente, o composto fac-[Re(py-MeCl)(bpy)(CO)3]+ 79 foi aplicado em células tumorosas da mama (MCF-7), demostrou ter uma boa permeabilidade à membrana celular e se agrega à mitocôndria, assim como alguns compostos similares de Re(I).83 Propoe-se que a reaçao entre o grupo clorometil da piridina com os tióis concentrados na mitocôndria seja a responsável pela localizaçao celular,68 semelhante ao que ocorre com o marcador mitocondrial comercial MitoTracker® amplamente utilizado para esta funçao.84,85 Além disso, o mecanismo é muito diferente do que se observa com a maioria dos compostos de coordenaçao, cuja seletividade para diferentes organelas dá-se por meio de suas polaridades, lipossolubilidade e cargas e nao através de reaçoes como ocorre para os compostos fac-[Re(py-MeCl)(bpy)(CO)3]+. Desta maneira, a investigaçao para desenvolver diferentes compostos buscando aumentar as afinidades específicas pode contribuir para a minimizaçao de efeitos colaterais, uma vez que a sua principal causa é a baixa seletividade dos compostos.86

A estrutura do composto, seu tamanho e carga também estao diretamente relacionadas à sua localizaçao celular. Por exemplo, o composto fac-[Re(Ph2-phen)(CO)3(py-biotin-TU-Et)]+,78 Figura 4-a, mostrou seletividade com o complexo de Golgi em células HeLa enquanto o complexo fac-[Re(SO3Ph2-phen)(CO)3(MeOH-py)]-,80,83 Figura 4-b, acumulou-se principalmente na membrana citoplasmática de células MCF-7. Já para marcaçao de células tumorais, é interessante o uso de compostos como fac-[Re(Ph2-phen)(CO)3(py-3-glu)]+, que possui uma subunidade de glicose na extremidade da cadeia de carbonos do ligante piridínico e que pode ser catabolizada mais rapidamente do que em células saudáveis,87 Figura 4-c.

 


Figura 4. Estruturas dos compostos fac-[Re(Ph2-phen)(CO)3(py-biotin-TU-Et)]+ (a), fac-[Re(SO3Ph2-phen)(CO)3(MeOH-py)]- (b) e fac-[Re(Ph2-phen)(CO)3(py- 3-glu)]+ (c)

 

Desde entao diferentes compostos de Re(I) vêm sendo investigados87-92 buscando otimizar as suas propriedades para poderem ser aplicados como fotossensores biológicos.63,90-95

Um dos primeiros estudos que reporta a utilizaçao de compostos ciclometalados de Ir(III) em meio celular foi com o uso dos complexos [Ir(dfpy)2(bpy)]PF6 e [Ir(dfpy)2(quqo)]PF6, Figura 5-a e 5-b, que possuem baixa citotoxicidade. Os dois compostos, que exibem intensa emissao na regiao do verde e do vermelho, mostraram-se capazes de permear a membrana celular e agregar ao citoplasma, ou seja, baixa absorçao pelo núcleo, mostrando grande sensibilidade em relaçao à modificaçao do ligante. Estas características sao aproveitadas para observar toda a regiao citoplasmática do meio biológico.96 Por outro lado, a mudança do ligante polipiridínico por moléculas de solvente, por exemplo no [Ir(ppy)2(DMSO)2]+, Figura 5-c, exibiu afinidade ao núcleo em células vivas através de uma rápida reaçao do complexo com as histidinas das proteínas.64,97 Os solvento complexos em geral sao fracamente emissivos em soluçao aquosa tamponada, mas após a reaçao com aminoácidos, como a histidina, exibem uma emissao verde muito mais intensa.

 


Figura 5. Estruturas dos compostos [Ir(dfpy)2(bpy)]+ (a), [Ir(dfpy)2(quqo)]+ (b) e [Ir(ppy)2(DMSO)2]+ (c)

 

A extensao da conjugaçao no ligante polipiridínico, como no caso do ligante dppz ou ligantes do tipo biotina também pode direcionar a absorçao celular pelo núcleo devido à tendência de intercalaçao com o DNA. Desde entao diferentes compostos vêm sendo investigados,75,98,99 uma vez que mostram uma notável modulaçao das propriedades fotofísicas em funçao do ligante ciclometalado e/ou polipiridínico coordenados. A emissao pode ser atribuída a uma transiçao MLCT pura, ou centrada no ligante ou, ainda, uma mistura destes estados excitados. Como resultado, a emissao desses compostos é modulável em toda a faixa do visível. Além disso, eles apresentam boa absorçao celular devido à carga catiônica e lipofilicidade associada aos núcleos bisciclometalados de Ir(III).

A investigaçao de compostos de coordenaçao de Ru(II), Ir(III) e Re(I) como fotossensores biológicos ainda encontra-se em ascensao. Os compostos de Ru(II) sao muito versáteis, pois podem ser modulados facilmente para serem aplicados no tratamento de cânceres devido à sua toxicidade para sistema biológicos. Ainda, sua absorçao e emissao em comprimentos de onda mais penetrantes no tecido humano auxilia na obtençao de imagens celulares.66,100,101 Já os compostos ciclometalados de Ir(III) possuem propriedades emissivas mais sensíveis às modificaçoes dos ligantes do que complexos polipiridínicos de Re(I) que, por sua vez, possuem localizaçao celular mais facilmente manipulável.67,96

 

CONVERSAO DE ENERGIA ELÉTRICA EM LUMINOSA

Dispositivos eletroluminescentes sao alternativas promissoras para competirem com as lâmpadas e displays já existentes no mercado por converterem energia elétrica em luz com grande eficiência e baixa emissao de CO2.102-105 Dois tipos destes dispositivos têm sido investigados: as LECs (Light-emitting Electrochemical Cells) que sao dispositivos com uma única camada;104,106,107 e os OLEDs (Organic Light Emitting Diodes), que sao multicamadas.102

A arquitetura básica de um OLED geralmente consiste em uma pilha de finas camadas orgânicas entre um ânodo de óxido de metal transparente e condutor e um cátodo metálico, Figura 6. A conversao de eletricidade em luz é iniciada pela injeçao de elétrons e lacunas em eletrodos opostos. Os elétrons injetados por um cátodo metálico em uma camada transportadora de elétrons, CTE, sao transportados até a camada emissiva, que é constituída por uma matriz polimérica e um composto dopante. Do outro lado do dispositivo, as lacunas sao injetadas pelo ânodo em uma camada transportadora de lacunas, CTL, e transportados até a camada emissiva, onde ocorre o encontro dos elétrons com as lacunas que fornecerá a energia necessária para que o composto dopante atinja o seu estado excitado e emita luz ao retornar ao estado fundamental. A busca por polímeros condutores e por arquiteturas de dispositivos que resultem em maior eficiência, bem como por compostos dopantes resistentes aos processos de fabricaçao e que exibam propriedades eletroluminescentes desejadas, sao desafios que têm alavancado as pesquisas nessa área.108-113

 


Figura 6. Arquitetura básica de um dispositivo OLED e representaçao esquemática do seu funcionamento

 

Em um processo eletroluminescente, a populaçao do estado excitado das moléculas de dopante ocorre pela recombinaçao de pares combinados elétron-lacuna via atraçao coulômbica na camada emissiva. A relaxaçao desses estados excitados leva à populaçao de 25% de estados singletes (S1) e 75% de estados tripletes (T1) nas moléculas orgânicas.114 Uma vez que esses compostos apresentam uma rápida e eficiente desativaçao a partir do estado excitado singlete, quando comparada à velocidade de cruzamento intersistema, nota-se que somente o estado singlete emite luz. As condiçoes para ocorrência da emissao triplete sao mais favoráveis quando os compostos de coordenaçao com os metais das segunda e terceira séries de transiçao sao usados como dopantes, uma vez que favorecem o cruzamento intersistema, aumentando a eficiência eletroluminescente.115

Para que os estados excitados desses compostos possam ser populados deve ocorrer a transferência de energia a partir da matriz para o dopante e o mecanismo pode ser do tipo Förster e/ou Dexter, Figura 7. O mecanismo Förster ocorre por meio da interaçao dipolo-dipolo, geralmente entre os estados singlete da matriz e do dopante de maneira que os elétrons nos estados excitados na matriz induzam, por ressonância, um campo de dipolo oscilante do elétron similar no dopante levando-o ao estado excitado. Para este mecanismo atuar, deve existir sobreposiçao entre os espectros de emissao da molécula excitada e o espectro de absorçao da molécula receptora e a transferência de energia pode ocorrer a longas distâncias. Já o mecanismo Dexter envolve a interaçao entre a molécula excitada e a receptora, por meio da sobreposiçao dos seus orbitais a curtas distâncias, é eficiente entre estados tripletes e ocorre também a troca de elétrons no processo de transferência de energia.28

 


Figura 7. Representaçao esquemática dos processos de transferência de energia que ocorrem na camada emissiva de um dispositivo eletroluminescente

 

Uma vez que a investigaçao de OLEDs é bastante recente, os dispositivos preparados nao possuem uma arquitetura padrao. Para que seja possível fazer uma comparaçao entre os dispositivos preparados por diferentes grupos de pesquisa utilizam-se a luminância (cd m-2), e a medida de eficiência luminosa, ηL, (cd A-1). A luminância é geralmente obtida por um medidor que leva em consideraçao a resposta fotóptica do olho humano, posicionado perpendicularmente à superfície do dispositivo que coleta a luz emitida a partir de um ponto de diâmetro fixo. A eficiência luminosa é conveniente para quantificar as propriedades de um OLED para aplicaçao em display uma vez que todos os fótons emitidos sao levados em consideraçao de acordo com a resposta fotóptica do olho, Equaçao 1,116 em que A é a área ativa do dispositivo, a qual nao é necessariamente igual à área de emissao de luz, L é a luminância, e IOLED é a corrente elétrica aplicada no dispositivo. Frequentemente, é também utilizada a eficiência de energia luminosa ou luminosidade, ηp, (lm W-1), que pode ser descrita como a razao de potência luminosa emitida medida frontalmente, Lp, e a potência elétrica total necessária para acender o OLED em uma dada tensao, Equaçao 2.

O desenvolvimento de dispositivos OLED mais eficientes tem ocorrido de forma significativa desde o final da década de 90.117-122 Os primeiros estudos foram realizados com moléculas orgânicas na camada emissiva como resultado de um processo eletroluminescente em cristais de antraceno.123,124 Outros dispositivos usando dupla camada orgânica entre os eletrodos, sendo uma camada sobre o substrato de uma diamina aromática e outra de tris(8-hidroxiquinolina)alumínio, Alq3, apresentou resposta rápida, baixa tensao de funcionamento (7-14 V) e eficiente emissao eletroluminescente (50 cd m-2), demonstrando a viabilidade de aplicaçao desses compostos orgânicos em OLEDs.124 Seguiram-se estudos de otimizaçao usando dispositivos multicamadas125 com outros compostos orgânicos como dopantes de camadas emissivas e que também mostraram o aumento da eficiência luminescente devido ao aproveitamento da energia dos estados tripletes na fosforescência.126,127 Buscando maior aproveitamento do processo de fosforescência, investigaçoes com compostos de coordenaçao de Ru(II), Re(I) ou Ir(III), que sao emissores tripletes conhecidos, têm sido relatadas visando usá-los como dopantes na camada emissiva de OLEDs.

Compostos de Ru(II) têm atraído grande atençao para serem utilizados em dispositivos eletroluminescentes devido às intensas emissoes, geralmente atribuídas ao estado excitado 3MLCT. OLEDs que utilizam complexos catiônicos de Ru(II) sao bastante reportados.128-132 Porém, a sua evaporaçao inadequada para o processo de preparaçao dos dispositivos usados até o momento e a grande degradaçao térmica resultante da sua natureza iônica fazem com que esses complexos sejam mais adequados para a aplicaçao em LECs e nao OLEDs. No entanto, um avanço foi alcançado por Tung e colaboradores,133 que sintetizaram complexos neutros de Ru(II), [Ru(ifpz)(PPh2Me)] e utilizaram na fabricaçao de OLED por meio da deposiçao no vácuo ao invés da evaporaçao. Foram obtidas a partir de um dispositivo multicamadas L ~ 104 cd m-2, ηp = 2,6 lm W-1 e emissao na regiao do vermelho.

Um dispositivo com emissao no vermelho foi reportado utilizando o complexo catiônico [Ru(L)3](BF4)2, L = 6-ona-1,10-fenantrolina-5-ilamino-3-hidroxinaftaleno-1-sulfonato.3 A construçao do dispositivo em multicamadas utilizando deposiçao por spin coating e dopagem da camada de PVK com o composto de Ru(II) resultou em um dispositivo com L = 550 cd m-2 e ηL = 0,9 cd A-1. Apesar do baixo valor de luminância, a voltagem de turn-on (aquela na qual o dispositivo começa a acender) é baixa (5 V) implicando em uma rápida resposta do dispositivo, contrário ao que seria esperado para um dispositivo com um composto catiônico, uma vez que inicialmente haveria a redistribuiçao de íons.

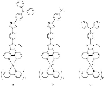
O primeiro relato das aplicaçoes de compostos polipiridínicos de Re(I) em dispositivos eletroluminescentes surgiu em 1999 no qual uma arquitetura de duas camadas (usando apenas CTL e camada emissiva) com o fac-[Re(CO)3(bpy)Cl] como dopante na camada emissiva resultou em L = 200 cd m-2 e ηp = 0,6 lm W-1.134 Um aumento de mais de dez vezes na luminância (2300 cd m-2) foi obtido com a alteraçao do ligante Cl- por 3,5-(trifluorometil)pirazolato e a adiçao de uma camada transportadora de elétrons na construçao do dispositivo, porém a potência luminosa (0,72 lm W-1) nao acompanhou tal aumento.135 Desde entao, diversos compostos foram sintetizados, caracterizados e suas propriedades fotoluminescentes e eletroluminescentes foram investigadas para posteriormente construir dispositivos com arquiteturas variadas.6,103,120,136-138 Recentemente, uma nova classe de compostos de Re(I), Figura 8, com intensa emissao 3MLCT na regiao visível e rendimento quântico de emissao elevado foi utilizada como dopante (5 a 15%) na camada emissiva e o melhor desempenho foi de ηL = 9,4 cd A-1e L = 10 cd m-2. Apesar do baixo valor de luminância, com pequenas alteraçoes no ligante polipiridínico e otimizaçao da arquitetura do dispositivo, esta nova classe de compostos é bastante promissora para este tipo de aplicaçao.

 


Figura 8. Estruturas dos compostos fac-{Re(phen)(CO)3[CNB(C6F5)3]} (a) e fac-{Re(Me2phen)(CO)3[CNB(C6F5)3]} (b)

 

Dentre os compostos de metais de transiçao, os complexos de Ir(III) aplicados em dispositivos eletroluminescentes sao os que tem chamado mais atençao, pois é possível obter uma ampla faixa de emissao no visível proveniente do estado excitado 3MLCT por meio de modificaçoes nas estruturas dos ligantes ciclometalados e auxiliares coordenados. Um dos primeiros trabalhos que usou estes compostos em OLEDs mostrou que a emissao pode ser modulada do verde ao vermelho e apresentou ηL > 50 cd A-1 e L ~ 3300 cd m-2, para diferentes estruturas com dois ligantes ciclometalados, e um ligante auxiliar bidentado.118,139

Resultados recentes com compostos de Ir(III) usados em OLEDs mostram emissao na regiao do verde e rendimento quântico de emissao em soluçao à temperatura ambiente próximo à unidade para o composto [Ir(fppy)2(dmb)]+; a emissao na regiao do verde do espectro visível e a aplicaçao na camada emissiva de dispositivos eletroluminescentes resultaram em valores máximos de ηL = 47,8 cd A-1 e L = 130301 cd m-2 com o composto [Ir(bpb)2(pic)]; os compostos altamente luminescentes [Ir(ppy)2(op-phen)][PF6], [Ir(ppy)2(o-phen)][PF6] e [Ir(ppy)2(p-phen)][PF6], Figura 9, com emissao na regiao do amarelo-verde, resultaram em dispositivos com ηL = 26-30 cd A-1.140-142

 


Figura 9. Estruturas do [Ir(ppy)2(op-phen)]+ (a), [Ir(ppy)2(o-phen)]+ (b) e [Ir(ppy)2(p-phen)]+(c)

 

Os compostos de Ir(III) sao os emissores fosforescentes mais atraentes devido às suas elevadas eficiências e a facilidade de modular as cores de emissao do azul para o vermelho pela modificaçao dos seus ligantes. Porém, ainda existem muitos desafios para o uso destes compostos, como criar estratégias para reduzir a autossupressao do estado excitado que ocorre durante a operaçao do dispositivo, conseguir compostos emissores para a regiao azul que apresentem maiores eficiências e estabilidade nos dispositivos, modular os perfis de absorçao ainda mais para a regiao do vermelho e obter um emissor de luz branca que nao seja uma combinaçao das cores azul, verde e vermelho.

 

CONVERSAO DE LUZ EM ENERGIA QUIMICA

O uso da energia solar é uma alternativa para solucionar os problemas ambientais e energéticos do planeta, uma vez que é limpa, abundante e inesgotável. Para aproveitá-la, duas estratégias principais podem ser utilizadas. A primeira consiste na conversao direta de energia solar em eletricidade, por exemplo, utilizando células solares sensibilizadas por corantes.143-155 A segunda estratégia consiste na sua conversao em energia química, através de processos redutivos e da formaçao de ligaçoes químicas,156-163 inspirada pelo processo fotossintético natural, no qual certos organismos que usam o CO2 da atmosfera e a água como reagentes para produzir carboidratos e outros produtos de carbono concomitantemente à geraçao de oxigênio molecular, Equaçao 3.

Esta reaçao só ocorre em organismos que desenvolveram sistemas capazes de captar a energia solar para suprir a demanda energética imposta pelo alto valor positivo de ΔG necessário para uma sequência de reaçoes em que reagentes de baixo conteúdo energético sao convertidos em produtos mais energéticos.

O desenvolvimento de sistemas para converter a luz em energia química baseia-se no uso de corantes adequados para absorver ao máximo a regiao visível do espectro solar e iniciar a transferência de energia e elétrons,164-169 mimetizando as duas características fundamentais do processo fotossintético. As principais abordagens envolvem a fotogeraçao de H2 a partir da oxidaçao da água170-177 ou a produçao de substâncias contendo carbono a partir da fotorreduçao de CO2.178-195

O CO2 é uma molécula muito estável (ΔGf0= -394 kJ mol-1) e sua reduçao por um elétron levando à formaçao de •CO2- é muito desfavorável (ΔE = -1,9 V vs NHE; ΔGf = 182 kJ mol-1) e um sobrepotencial elevado é necessário para superar as restriçoes cinéticas envolvidas na conversao de uma espécie linear e para outra angular. Um caminho alternativo é dado pelo processo concertado de transferência eletrônica acoplada a próton (PCET, Proton-Coupled Electron Transfer)196 levando à formaçao de monóxido de carbono, ácido fórmico, metanol ou metano, que apresentam potenciais menos negativos que o necessário para a formaçao do •CO2-. Entretanto, além das consideraçoes termodinâmicas tem-se o desafio cinético para que as respectivas energias de ativaçao da reaçao direta sejam ultrapassadas no mecanismo concertado.197

Para auxiliar na cinética deste processo, catalisadores que diminuem o sobrepotencial por meio da estabilizaçao do estado de transiçao entre o CO2 e o produto pretendido podem ser utilizados. O CO2 pode ser reduzido diretamente em superfícies metálicas, entretanto, o sobrepotencial ainda é extremamente alto e ocorre o envenenamento da superfície do metal.198-200 Desta maneira, o uso de compostos de coordenaçao como fotocatalisadores ou eletrocatalisadores é a vanguarda destas reaçoes,201-206 pois nestes compostos pode-se ajustar seus potenciais formais de reduçao de maneira a corresponder aos potenciais necessários para reduçao de CO2, assim como também podem favorecer a cinética e aumentar a estabilidade do estado de transiçao, o que torna a catálise altamente modulável.207

O mecanismo genérico para a reduçao de CO2 fotoassistida por complexos metálicos inicia-se em um composto de coordenaçao atuando como fotossensibilizador, F, que é excitado, F*, após absorver luz, Equaçao 4. Este estado excitado é suprimido redutivamente por um doador de sacrifício, D, produzindo um fotossensibilizador reduzido, F-, e um doador oxidado, D+, Equaçao 5. O fotossensibilizador reduzido deve ser capaz de transferir um elétron eficientemente para o catalisador, cat, reduzindo-o, cat-, Equaçao 6, que acelerará a formaçao do produto desejado a partir do CO2 e regenerar-se-á, Equaçao 7. Desta maneira, tanto o fotossensibilizador como o catalisador nao sofrem transformaçoes químicas permanentes.

A quantificaçao dos processos catalíticos de fotorreduçao de CO2 é dada pelo número de ciclos catalíticos, TON (TurnOver Number), Equaçao 8, e representa o número de reduçoes que ocorrem por molécula de catalisador durante todo seu período de vida. Portanto, indica a estabilidade do catalisador. Já o rendimento quântico, Φ, da reaçao fotocatalisada da reduçao de CO2, Equaçao 9, demonstra a eficiência do processo.

Compostos de coordenaçao, em especial os de Ru(II), Re(I) e Ir(III), têm chamado a atençao como fotocatalisadores para reduçao de CO2 por possuírem intensa absorçao de radiaçao visível e seus estados excitados de mais baixa energia geralmente serem o MLCT, o que favorece os processos de transferência eletrônica necessários. Aplicaçoes recentes envolvem a adsorçao de catalisadores de Ru(II) em óxidos metálicos dopados,208 imobilizaçao de catalisadores e fotossensibilizadores em nanotubos proteicos,209,210 entre outras alternativas que vêm sendo investigadas.211,212 Nesta revisao, o foco será restrito a catalisadores homogêneos moleculares para fotorreduçao de CO2, para os quais os mecanismos envolvidos já estao melhor elucidados.

O [Ru(bpy)3]2+ é um exemplo típico de sensibilizador redox com alto poder de reduçao em seu estado excitado 3MLCT (ES+/S* = -0,59 V vs NHE),183,213 o que o tornou um candidato a ser usado em sistemas para fotorreduçao de CO2. Mesmo tendo um potencial favorável, ele apresenta baixa eficiência, pois transferências eletrônicas a partir de estados excitados geralmente envolvem um único elétron e é necessário o uso de um catalisador que possa converter uma transferência fotoquímica monoeletrônica em uma fotorreduçao multieletrônica de CO2. Ao associá-lo a catalisadores baseados em Co(II) ou Ni(II), observa-se a formaçao de CO e H2 de maneira mais eficiente.162,195-197 Já sua associaçao à catalisadores de Re(I) resultam em CO como produto majoritário185 e aos de Ru(II) geralmente levam à geraçao de ácido fórmico como produto.214-216

Por exemplo, complexos do tipo [RuII(bpy)2(CO)X]n+, X = CO, Cl- ou H-, atuam eficientemente como catalisadores para reduçao de CO2 na presença do fotossensibilizador [Ru(bpy)3]2+ e um doador de sacrifício, geralmente uma amina terciária como TEOA ou BNAH.217 Após excitaçao, o [Ru(bpy)3]2+ atinge o 3MLCT, que é suprimido redutivamente pelo doador de sacrifício, dando origem ao sensibilizador reduzido [RuII(bpy•-)(bpy)2]+ e ao doador de sacrifício oxidado. Dois sensibilizadores reduzidos transferem os elétrons recebidos para o catalisador, que perde seu ligante X dando origem à espécie cataliticamente ativa [RuII(bpy•-)2(CO)]. Uma molécula de CO2 coordena-se a essa nova espécie reduzida, formando o complexo contendo carboxilato, [RuII(bpy)2(CO)(COO-)]. É proposto que a isomerizaçao desse complexo, associada à sua protonaçao, leva à produçao de formiato. Ainda, em meio ácido, pode ocorrer a formaçao de [RuII(bpy)2(CO)(COOH)]+ ou [RuII(bpy)2(CO)2],183,218 Esquema 1.

 


Esquema 1. Mecanismo proposto para a reduçao de CO2 por complexos [Ru(bpy)2(CO)X]n+ sensibilizada pelo [Ru(bpy)3]2+. Adaptado da ref. 218

 

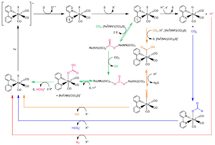
Compostos de coordenaçao polipiridínicos de rênio(I) também sao usados na fotorreduçao de CO2. Os compostos fac-[ReI(NN)(CO)3X], NN = bpy, phen ou derivados e X = Cl- ou Br-,45,46 possuem, entre outras características, a capacidade de realizar catálise de reaçoes de deslocamento de gases,219 de maneira que é possível uma mesma espécie atuar como fotossensibilizador e catalisador para fotorreduçao de CO2. Este processo se inicia com a absorçao de luz pelo complexo fac-[ReI(NN)(CO)3X], resultando na populaçao do estado 3MLCT, que por sua vez é suprimido redutivamente na presença de um doador de sacrifício, dando origem ao intermediário fac-[ReI(NN•)(CO)3X]-. É proposto que a próxima etapa seja a substituiçao do haleto por uma molécula de solvente (S), levando ao estado cataliticamente ativo fac-[ReI(NN•)(CO)3S] a partir do qual diversos mecanismos distintos podem ocorrer, Esquema 2.

 


Esquema 2. Mecanismos propostos para a formaçao de H2 (vermelho), formiato (azul), CO (laranja) e CO e HCO3- (verde). Adaptado da ref. 207

 

A primeira rota proposta é a reaçao do solvento-complexo com um próton e um elétron resultando na formaçao de uma ligaçao rênio-hidreto. Em condiçoes de alta concentraçao de prótons pode ocorrer a liberaçao de H2 a partir do complexo [ReI(NN)(CO)3H]207 e em condiçoes mais brandas de pH e na presença de CO2 ele é inserido na ligaçao Re-H, produzindo HCO2- coordenado ao centro de Re(I).220

Outra rota ocorre quando a concentraçao de H+ no meio é alta e existe CO2 disponível, formando CO. Neste caso, forma-se um aduto Re-CO2 a partir do solvento-complexo, que entao é protonado dando origem a um intermediário carboxilato metálico que, após uma hidrólise ácida, resulta na liberaçao de CO e água. É proposto que a fonte do segundo elétron necessário para formaçao do intermediário contendo ácido carboxílico seja outra espécie fac-[ReI(NN•)(CO)3S], que fornece o elétron para reduçao do aduto de CO2, fac-[ReI(NN•)(CO)3(CO2)]-.207 Por outro lado, quando a concentraçao de H+ no meio é baixa, é proposto que o segundo elétron também seja fornecido por uma espécie fac-[ReI(NN•)(CO)3S], porém com a formaçao de um intermediário binuclear [(NN)(CO)3ReI-CO2-ReI(CO)3(NN)] e resulta nos produtos HCO3- e CO.182

Apoiando-se nos mecanismos propostos, algumas premissas foram estabelecidas para a construçao de um sistema fotocatalítico para reduçao eficiente de CO2 baseado em complexos fac-[ReI(NN)(CO)3X]. Inicialmente o estado excitado do complexo deve ser eficientemente suprimido por um doador de sacrifício, originando a espécie reduzida em um elétron. A perda do ligante axial monodentado pela espécie reduzida, a reaçao da nova espécie com o CO2 e a reduçao dos adutos de CO2 por outra espécie reduzida de rênio devem ser etapas rápidas. Por fim, a regeneraçao do catalisador pela reincorporaçao do ligante axial perdido deve ser eficiente. Logo, observa-se que o ligante axial X exerce um papel fundamental nesses processos, modificando significativamente os rendimentos quânticos e números de ciclos catalíticos das espécies. Diversas investigaçoes envolvendo compostos fac-[ReI(bpy)(CO)3X] foram realizadas variando-se o ligante X entre haletos, pseudo-haletos e fosfinas.221-223 Usando X = SCN- foi obtido ΦCO = 0,30 e TON = 30 devido a um longo tempo de vida da espécie reduzida fac-[ReI(bpy•)(CO)3(SCN)]-, que é importante para o fornecimento do segundo elétron no processo redutivo.182 O uso do ligante X = P(OEt)3 também mostrou-se promissor devido ao longo tempo de vida do estado excitado do complexo fac-[ReI(bpy)(CO)3(P(OEt)3)]+, sua eficiente supressao pelo agente de sacrifício e favorecimento da formaçao da espécie reduzida fac-[ReI(bpy•-)(CO)3(P(OEt)3)], resultando em ΦCO = 0,38.224

Embora os complexos fac-[ReI(NN)(CO)3X] exibam rendimentos quânticos elevados para geraçao de CO, seus TON sao geralmente baixos devido à sua rápida degradaçao e apresentam absorçao abaixo de 400 nm. Além disso, um dos processos fundamentais na reaçao fotocatalítica quando se consideram separadamente o fotossensibilizador reduzido e o catalisador é o encontro efetivo entre eles. Buscando evitar o processo de difusao, usa-se a abordagem supramolecular para unir covalentemente um fotossensibilizador redox, como um composto polipiridínico de Ru(II), a um catalisador, como um composto de Re(I).178,225-229 Desta maneira, aproveita-se a intensa absorçao de luz visível característica de um com as propriedades catalíticas do outro, Esquema 3. Esta abordagem deve levar em conta fatores como, por exemplo, o comprimento das cadeias carbônicas e insaturaçoes das estruturas do ligante-ponte.178,181,230

 


Esquema 3. Mecanismo proposto para formaçao do estado cataliticamente ativo em fotocatalisadores supramoleculares de Ru(II)-Re(I). Adaptado das refs. 178 e 227

 

Além dos compostos de Ru(II) e Re(I), os de Ir(III) também sao investigados na fotorreduçao de CO2. Embora estas investigaçoes ainda sejam incipientes elas já mostraram resultados promissores, apresentando grandes vantagens em relaçao aos sistemas de Re(I), como por exemplo a absorçao de luz visível que favorece transiçoes eletrônicas singlete-triplete e também seus estados excitados apresentam tempos de vida longos.231-233 Além disso, a atividade fotocatalítica para reduçao de CO2 é, geralmente, melhor que a dos compostos de Re(I), e se mantém mesmo na presença de água.234 Tal como nos compostos de Re(I), uma mesma molécula também pode atuar tanto como fotossensibilizador como catalisador.234-236

Os sistemas que utilizam compostos [Ir(tpy)(ppy)X]+ sao capazes de gerar seletivamente CO na presença de TEOA (X = Cl-, ΦCO = 0,13 e TONCO = 38).234 O ciclo catalítico postulado é similar ao de sistemas polipiridínicos de Re(I), envolvendo as etapas de excitaçao, supressao redutiva pelo doador de sacrifício, substituiçao do ligante X- e formaçao do aduto do CO2, Esquema 4.237,238

 


Esquema 4. Mecanismo proposto para fotorreduçao de CO2 a CO usando compostos de Ir(III)

 

O sistema descrito foi aprimorado pelo uso do ligante metil-fenilpiridina no lugar do fenilpiridina, melhorando os parâmetros fotocatalíticos (X = Cl-, ΦCO = 0,19 e TONCO = 50; X = I-, ΦCO = 0,07 e TONCO = 54).234,236 Outras abordagens usando este metal foram feitas preparando compostos bi-236 ou trinucleares239 que aumentaram o TONCO em relaçao aos mononucleares, mas com reduçao no ΦCO devido à supressao intramolecular; ou a preparaçao de um polímero de coordenaçao como fotocatalisador, baseado no monômero [Ir(ppy)2(dcbpy)], que levou a um sistema heterogêneo de alta estabilidade com formaçao de HCOO- como produto.235

Embora a reduçao fotocatalítica do CO2 seja um processo importante na produçao de combustíveis que utilizam energia solar, ainda é necessário um grande progresso para torná-lo economicamente viável. Sucesso já foi alcançado na reduçao de CO2 a CO e ácido fórmico, entretanto, a obtençao de produtos mais úteis como o CH3OH e CH4 ainda tem apresentado baixa eficiência.240 Além disso, muitos dos sistemas utilizam doadores de sacrifício para fornecer os elétrons para o processo de reduçao, quando idealmente a água deveria ser a fonte para fornecer elétrons e hidrogênio, mimetizando, assim, o sistema de fotossíntese. Esses problemas nao sao triviais, o que cria grandes possibilidades para investigaçoes na área.

 

CONCLUSOES E PERSPECTIVAS

As pesquisas sobre o comportamento fotoquímico de compostos de coordenaçao começaram no início da década de 1970 com os estudos fundamentais a respeito dos estados excitados e suas fotoreatividades. Esses estudos continuam a ser de grande importância nos dias atuais, pois sao eles que embasam o conhecimento para a evoluçao de cada um dos sistemas que estao sendo desenvolvidos. Muito foi compreendido sobre mecanismos de desativaçao dos estados excitados, transferência de energia, de elétrons e protônica acoplada à eletrônica, o que permitiu estabelecer estratégias para sintetizar estruturas moleculares com maior funcionalidade. Nesta breve revisao foram discutidos os avanços e desafios recentes que buscam correlacionar conceitos fundamentais da fotoquímica e fotofísica de compostos de coordenaçao com aplicaçoes práticas para que no futuro sejam produzidos dispositivos capazes de realizar funçoes importantes ao receber um estímulo externo como luz, elétrons, íons etc. O foco nas propriedades fotoquímicas e fotofísicas de alguns compostos de coordenaçao de Ru(II), Re(I) e Ir(III) mostra que compostos com estes metais sao bastante promissores para serem utilizados como fotossensores biológicos, em dispositivos eletroluminescentes e fotocatalisadores para reduçao de CO2.

 

LISTA DE ABREVIATURAS

phen = 1,10-fenantrolina; dppz = dipirido[3,2-a:2',3'-c]fenazina; py-MeCl = 3-metilcloro-piridina; 2,2'-bipiridina; ppy = 2-fenilpiridina; DMSO = dimetilsulfóxido; Ph2-phen = 4,7-difenil-1,10-fenantrolina; py-biotin-TU-Et = 3-etiltioureidil-5-(N-((2-biotinamido)etil aminocarbonil)piridina; SO3Ph2-phen = 1,10-batofenantrolinassulfonato; MeOH-py = 3-hidroximetil-piridina; py-3-glu = 3-(N-(6-(N'-(4-(a-d-glucopiranosil)fenil)tioureidil)hexil)tioureidil)piridina; ifpz = 3-trifluormetil-5-(1-isoquinolil) pirazolato; PPh2Me = metildifenilfosfina; dfpy = 2-(2,4-difluorofenil)-piridina; quqo = 2-(2-quinolinil)quinoxalina; CNB(C6F5) = isocianotris(pentafluorofenil)borano; Me2-phen = 4,7-dimetil-1,10-fenantrolina; dmb = 4,4'-dimetil-2,2'-bipiridina; bpb = 1-benzil-2-fenil-1H-benzimidazolato-NC2'; pic = picolinato; op-phen = 4-(5-(4-(1-etil-1H-imidazo[4,5-f][1,10]fenantrolin-2-il)fenil)1,3,4-oxadiazol-2-il)-N,N-difenilanilina; p-phen = 4-(1-etil-1H-imidazo[1,10]fenantrolin-2-il)-N,N-difenilanilina; o-phen = 2,4-Ttert-butil)fenil)-5-(4-(1-etil-1H-imidazo[4,5-f][1,10]fenantrolin-2-il)fenil)1,3,4-oxadiazol; fppy = 2-(2,4-difluorofenil)piridina; P(OEt)3 = trietilfosfito; CH3CN = acetonitrila; (MeO)2bpy = 4,4'-dimetoxi-2,2'-bipiridina; tpy = 2,2':6',2''-terpiridina; dcbpy = 2,2'-bipiridina-4,4'-dicarboxilato; TEOA = trietanolamina; BNAH = 1-benzil-1,4-diidronicotinamida.

 

AGRADECIMENTOS

Os autores agradecem à UFABC, à CAPES, ao CNPq (454971/2014-1) e à FAPESP (2013/25173-5, 2015/00605-5 e 2015/13149-8) pelo suporte financeiro.

 

REFERENCIAS

1. Grätzel, M.; Inorg. Chem. 2005, 44, 6841.

2. Song, W. J.; Chen, Z. F.; Brennaman, M. K.; Concepcion, J. J.; Patrocinio, A. O. T.; Iha, N. Y. M.; Meyer, T. J.; Pure Appl. Chem. 2011, 83, 749.

3. Shahroosvand, H.; Abbasi, P.; Mohajerani, E.; Janghouri, M.; Dalton Trans. 2014, 43, 9202.

4. Polo, A. S.; Murakami Iha, N. Y.; Sol. Energy Mater. Sol. Cells 2006, 90, 1936.

5. Liao, J.-L.; Chi, Y.; Su, Y.-D.; Huang, H.-X.; Chang, C.-H.; Liu, S.-H.; Lee, G.-H.; Chou, P.-T.; J. Mater. Chem. C 2014, 2, 6269.

6. Mizoguchi, S. K.; Patrocínio, A. O. T.; Murakami Iha, N. Y.; Synth. Met. 2009, 159, 2315.

7. Ge, G.; Yu, X.; Guo, H.; Wang, F.; Zou, D.; Synth. Met. 2009, 159, 1178.

8. Li, X.; Zhang, D.; Li, W.; Chu, B.; Han, L.; Zhu, J.; Su, Z.; Bi, D.; Wang, D.; Yang, D.; Chen, Y.; Appl. Phys. Lett. 2008, 92, 083302.

9. Zhang, S. J.; Hosaka, M.; Yoshihara, T.; Negishi, K.; Iida, Y.; Tobita, S.; Takeuchi, T.; Cancer Res. 2010, 70, 4490.

10. Mari, C.; Pierroz, V.; Rubbiani, R.; Patra, M.; Hess, J.; Spingler, B.; Oehninger, L.; Schur, J.; Ott, I.; Salassa, L.; Ferrari, S.; Gasser, G.; Chem. - Eur. J. 2014, 20, 14421.

11. Gill, M. R.; Thomas, J. A.; Chem. Soc. Rev. 2012, 41, 3179.

12. Cacita, N.; Possato, B.; Da Silva, C. F. N.; Paulo, M.; Barbosa Formiga, A. L.; Bendhack, L. M.; Nikolaou, S.; Inorg. Chim. Acta 2015, 429, 114.

13. Deda, D. K.; Pavani, C.; Carita, E.; Baptista, M. S.; Toma, H. E.; Araki, K.; J. Porphyrins Phthalocyanines 2012, 16, 55.

14. Cardoso, C. R.; Lima, M. V. S.; Cheleski, J.; Peterson, E. J.; Venancio, T.; Farrell, N. P.; Carlos, R. M.; J. Med. Chem. 2014, 57, 4906.

15. Vidotti, M.; Carvalhal, R. F.; Mendes, R. K.; Ferreira, D. C. M.; Kubota, L. T.; J. Braz. Chem. Soc. 2011, 22, 3.

16. Freire, R. S.; Pessoa, C. A.; Mello, L. D.; Kubota, L. T.; J. Braz. Chem. Soc. 2003, 14, 230.

17. Santiago, M. O.; Donicci, C. L.; Moreira, I. D.; Carlos, R. M.; Queiroz, S. L.; Batista, A. A.; Polyhedron 2003, 22, 3205.

18. Franco, L. P.; Cicillini, S. A.; Biazzotto, J. C.; Schiavon, M. A.; Mikhailovsky, A.; Burks, P.; Garcia, J.; Ford, P. C.; Da Silva, R. S.; J. Phys. Chem. 2014, 118, 12184.

19. De Aguiar, I.; Inglez, S. D.; Carlos, R. M.; Inorg. Chem. Commun. 2014, 44, 70.

20. Inglez, S. D.; Lima, F. C. A.; Camilo, M. R.; Daniel, J. F. S.; Santos, E. D. A.; Lima-Neto, B. S.; Carlos, R. M.; J. Braz. Chem. Soc. 2010, 21, 157.

21. Inglez, S. D.; Lima, F. C. A.; Silva, A. B. F.; Simioni, A. R.; Tedesco, A. C.; Daniel, J. F. S.; Lima-Neto, B. S.; Carlos, R. M.; Inorg. Chem. 2007, 46, 5744.

22. Carlos, R. M.; Neto, B. S. L.; Neumann, M. G.; Photochem. Photobiol. Sci. 2004, 80, 203.

23. Metzker, G.; Toledo, J. C., Jr.; Lima, F. C. A.; Magalhaes, A.; Cardoso, D. R.; Franco, D. W.; J. Braz. Chem. Soc. 2010, 21, 1266.

24. Do Carmo, D. R.; Franco, D. W.; Rodrigues Filho, U. P.; Gushikem, Y.; Stadler, E.; Drago, V.; J. Coord. Chem. 2001, 54, 455.

25. Toma, H. E.; J. Braz. Chem. Soc. 2003, 14, 845.

26. Almeida, A. M. D.; Almeida, M. V. D.; Amarante, G. W.; Quim. Nova 2015, 38, 1080.

27. Balzani, V.; Campagna, S.; Photochemistry and Photophysics of Coordination Compounds I, Springer: Berlin, 2007.

28. Turro, N. J.; Modern Molecular Photochemistry, The Benjamim/Cummings Publishing Company, Inc.: California, 1978.

29. Lakowicz, J. R.; Principles of Fluorescence Spectroscopy, 3rd ed., Springer: USA, 2010.

30. Demas, J. N.; J. Chem. Educ. 1983, 60, 803.

31. Adamson, A. W.; J. Chem. Educ. 1983, 60, 797.

32. Porter, G. B.; J. Chem. Educ. 1983, 60, 785.

33. Scandola, F.; Balzani, V.; J. Chem. Educ. 1983, 60, 814.

34. Sutin, N.; Creutz, C.; J. Chem. Educ. 1983, 60, 809.

35. Iha, N. Y. M.; Delima, J. F.; Inorg. Chem. 1991, 30, 4576.

36. Foreman, T. K.; Bonilha, J. B. S.; Whitten, D. G.; J. Phys. Chem. 1982, 86, 3436.

37. De Lima, J. F.; Iha, N. Y. M.; Can. J. Chem. 1996, 74, 476.

38. Mazzetto, S. E.; Tfouni, E.; Franco, D. W.; Inorg. Chem. 1996, 35, 3509.

39. Vasconcellos, L. C. G.; Ferreira, K. S. M.; Plicas, L. M. A.; Batista, A. A.; Moreira, I. D.; Tfouni, E.; Franco, D. W.; Inorg. Chim. Acta 1993, 214, 23.

40. Fiorito, P. A.; Polo, A. S.; J. Chem. Educ. 2015, 92, 1721.

41. Hara, K.; Sugihara, H.; Tachibana, Y.; Islam, A.; Yanagida, M.; Sayama, K.; Arakawa, H.; Fujihashi, G.; Horiguchi, T.; Kinoshita, T.; Langmuir 2001, 17, 5992.

42. Reynal, A.; Forneli, A.; Martinez-Ferrero, E.; Sanchez-Diaz, A.; Vidal-Ferran, A.; Palomares, E.; Eur. J. Inorg. Chem. 2008, 1955.

43. Worl, L. A.; Duesing, R.; Chen, P.; Ciana, L. D.; Meyer, T. J.; J. Chem. Soc., Dalton Trans. 1991 849.

44. Ramos, L. D.; Sampaio, R. N.; De Assis, F. F.; De Oliveira, K. T.; Homem-De-Mello, P.; Patrocinio, A. O. T.; Frin, K. P. M.; Dalton Trans. 2016, 45, 11688.

45. Wrighton, M.; Morse, D. L.; J. Am. Chem. Soc. 1974, 96, 998.

46. Luong, J. C.; Nadjo, L.; Wrighton, M. S.; J. Am. Chem. Soc. 1978, 100, 5790.

47. Marcus, R. A.; J. Phys. Chem. 1990, 94, 4963.

48. Chen, P. Y.; Meyer, T. J.; Chem. Rev. 1998, 98, 1439.

49. Rosenberg, B.; Camp, L. V.; Grimley, E. B.; Thomson, A. J.; J. Biol. Chem. 1967, 242, 1347.

50. Bruijnincx, P. C. A.; Sadler, P. J.; Curr. Opin. Chem. Biol. 2008, 12, 197.

51. Suh, J.; Chei, W. S.; Curr. Opin. Chem. Biol. 2008, 12, 207.

52. Bennett, I. M.; Farfano, H. M. V.; Bogani, F.; Primak, A.; Liddell, P. A.; Otero, L.; Sereno, L.; Silber, J. J.; Moore, A. L.; Moore, T. A.; Gust, D.; Nature 2002, 420, 398.

53. Candido, M. C. L.; Oliveira, A. M.; Silva, F. O. N.; Holanda, A. K. M.; Pereira, W. G.; Sousa, E. H. S.; Carneiro, Z. A.; Silva, R. S.; Lopes, L. G. F.; J. Braz. Chem. Soc. 2015, 26, 1824.

54. Carneiro, Z. A.; Biazzotto, J. C.; Alexiou, A. D. P.; Nikolaou, S.; J. Inorg. Biochem. 2014, 134, 36.

55. Rose, M. J.; Mascharak, P. K.; Curr. Opin. Chem. Biol. 2008, 12, 238.

56. Tfouni, E.; Truzzi, D. R.; Tavares, A.; Gomes, A. J.; Figueiredo, L. E.; Franco, D. W.; Nitric Oxide 2012, 26, 38.

57. Rodrigues, G. J.; Pereira, A. C.; De Moraes, T. F.; Wang, C. C.; Da Silva, R. S.; Bendhack, L. M.; J. Cardiovasc. Pharmacol. 2015, 65, 168.

58. Souza, M. L.; Roveda Jr, A. C.; Pereira, J. C. M.; Franco, D. W.; Coord. Chem. Rev. 2016, 306, 615.

59. Marchesi, M. S. P.; Cicillini, S. A.; Prazias, A. C. L.; Bendhack, L. M.; Batista, A. A.; Da Silva, R. S.; Transition Met. Chem. (Dordrecht, Neth.) 2012, 37, 475.

60. Roveda Jr, A. C.; Papa, T. B. R.; Castellano, E. E.; Franco, D. W.; Inorg. Chim. Acta 2014, 409, Part A, 147.

61. Freitas, C. S.; Roveda, A. C.; Truzzi, D. R.; Garcia, A. C.; Cunha, T. M.; Cunha, F. Q.; Franco, D. W.; J. Med. Chem. 2015, 58, 4439.

62. Abram, U.; Alberto, R.; J. Braz. Chem. Soc. 2006, 17, 1486.

63. Leonidova, A.; Pierroz, V.; Rubbiani, R.; Heier, J.; Ferrari, S.; Gasser, G.; Dalton Trans. 2014, 43, 4287.

64. Patra, M.; Gasser, G.; ChemBioChem 2012, 13, 1232.

65. Collery, P.; Mohsen, A.; Kermagoret, A.; Corre, S.; Bastian, G.; Tomas, A.; Wei, M.; Santoni, F.; Guerra, N.; Desmaele, D.; D'angelo, J.; Invest. New Drugs 2015, 33, 848.

66. Fernandez-Moreira, V.; Thorp-Greenwood, F. L.; Coogan, M. P.; Chem. Commun. (Cambridge, U. K.) 2010, 46, 186.

67. Thorp-Greenwood, F. L.; Balasingham, R. G.; Coogan, M. P.; J. Organomet. Chem 2012, 714, 12.

68. Haas, K. L.; Franz, K. J.; Chem. Rev. 2009, 109, 4921.

69. Zhao, Q.; Huang, C.; Li, F.; Chem. Soc. Rev. 2011, 40, 2508.

70. Barton, J. K.; Danishefsky, A. T.; Goldberg, J. M.; J. Am. Chem. Soc. 1984, 106, 2172.

71. Barton, J. K.; Goldberg, J. M.; Kumar, C. V.; Turro, N. J.; J. Am. Chem. Soc. 1986, 108, 2081.

72. Balasingham, R. G.; Coogan, M. P.; Thorp-Greenwood, F. L.; Dalton Trans. 2011, 40, 11663.

73. Matson, M.; Svensson, F. R.; Nordén, B.; Lincoln, P.; J. Phys. Chem. B 2011, 115, 1706.

74. Keene, F. R.; Smith, J. A.; Collins, J. G.; Coord. Chem. Rev. 2009, 253, 2021.

75. Coogan, M. P.; Fernandez-Moreira, V.; Chem. Commun. (Cambridge, U. K.) 2014, 50, 384.

76. Ramadevi, P.; Singh, R.; Jana, S. S.; Devkar, R.; Chakraborty, D.; J. Photochem. Photobiol., A 2015, 305, 1.

77. Fredericks, S. M.; Luong, J. C.; Wrighton, M. S.; J. Am. Chem. Soc. 1979, 101, 7415.

78. Lo, K. K.-W.; Louie, M.-W.; Sze, K.-S.; Lau, J. S.-Y.; Inorg. Chem. 2008, 47, 602.

79. Amoroso, A. J.; Arthur, R. J.; Coogan, M. P.; Court, J. B.; Fernandez-Moreira, V.; Hayes, A. J.; Lloyd, D.; Millet, C.; Pope, S. J. A.; New J. Chem. 2008, 32, 1097.

80. Amoroso, A. J.; Coogan, M. P.; Dunne, J. E.; Fernandez-Moreira, V.; Hess, J. B.; Hayes, A. J.; Lloyd, D.; Millet, C.; Pope, S. J. A.; Williams, C.; Chem. Commun. 2007, 3066.

81. Stephenson, K. A.; Banerjee, S. R.; Besanger, T.; Sogbein, O. O.; Levadala, M. K.; Mcfarlane, N.; Lemon, J. A.; Boreham, D. R.; Maresca, K. P.; Brennan, J. D.; Babich, J. W.; Zubieta, J.; Valliant, J. F.; J. Am. Chem. Soc. 2004, 126, 8598.

82. Frin, K. P. M.; Nascimento, V. M.; J. Braz. Chem. Soc. 2016, 27, 179.

83. Fernandez-Moreira, V.; Thorp-Greenwood, F. L.; Amoroso, A. J.; Cable, J.; Court, J. B.; Gray, V.; Hayes, A. J.; Jenkins, R. L.; Kariuki, B. M.; Lloyd, D.; Millet, C. O.; Williams, C. F.; Coogan, M. P.; Org. Biomol. Chem. 2010, 8, 3888.

84. Minamikawa, T.; Sriratana, A.; Williams, D. A.; Bowser, D. N.; Hill, J. S.; Nagley, P.; J. Cell Sci. 1999, 112, 2419.

85. Macho, A.; Decaudin, D.; Castedo, M.; Hirsch, T.; Susin, S. A.; Zamzami, N.; Kroemer, G.; Cytometry 1996, 25, 333.

86. Kaplanis, M.; Stamatakis, G.; Papakonstantinou, V. D.; Paravatou-Petsotas, M.; Demopoulos, C. A.; Mitsopoulou, C. A.; J. Inorg. Biochem. 2014, 135, 1.

,

87. Louie, M.-W.; Liu, H.-W.; Lam, M. H.-C.; Lam, Y.-W.; Lo, K. K.-W.; Chem. - Eur. J. 2011, 17, 8304.

88. Sousa, S. F.; Sampaio, R. N.; Barbosa Neto, N. M.; Machado, A. E. H.; Patrocinio, A. O. T.; Photochem. Photobiol. Sci. 2014, 13, 1213.

89. Ruiz, G. T.; Juliarena, M. P.; Lezna, R. O.; Wolcan, E.; Feliz, M. R.; Ferraudi, G.; Dalton Trans. 2007, 2020.

90. Kowalski, K.; Szczupak, L.; Bernas, T.; Czerwieniec, R.; J. Organomet. Chem 2015, 782, 124.

91. Choi, A. W.-T.; Yim, V. M.-W.; Liu, H.-W.; Lo, K. K.-W.; Chem. - A Eur. J. 2014, 20, 9633.

92. Nunez-Montenegro, A.; Carballo, R.; Vazquez-Lopez, E. M.; J. Inorg. Biochem. 2014, 140, 53.

93. Ho, J.; Lee, W. Y.; Koh, K. J. T.; Lee, P. P. F.; Yan, Y.-K.; J. Inorg. Biochem. 2013, 119, 10.

94. Zhang, J. Y.; Vittal, J. J.; Henderson, W.; Wheaton, J. R.; Hall, I. H.; Hor, T. S. A.; Yan, Y. K.; J. Organomet. Chem. 2002, 650, 123.

95. Kastl, A.; Dieckmann, S.; Waehler, K.; Voelker, T.; Kastl, L.; Merkel, A. L.; Vultur, A.; Shannan, B.; Harms, K.; Ocker, M.; Parak, W. J.; Herlyn, M.; Meggers, E.; ChemMedChem 2013, 8, 924.

96. Yu, M.; Zhao, Q.; Shi, L.; Li, F.; Zhou, Z.; Yang, H.; Yia, T.; Huang, C.; Chem. Commun. 2008, 2115.

97. Li, C.; Yu, M.; Sun, Y.; Wu, Y.; Huang, C.; Li, F.; J. Am. Chem. Soc. 2011, 133, 11231.

98. Lo, K. K.-W.; Zhang, K. Y.; Li, S. P.-Y.; Eur. J. Inorg. Chem. 2011, 3551.

99. Lo, K. K.-W.; Louie, M.-W.; Zhang, K. Y.; Coord. Chem. Rev. 2010, 254, 2603.

100. Scolaro, C.; Chaplin, A. B.; Hartinger, C. G.; Bergamo, A.; Cocchietto, M.; Keppler, B. K.; Sava, G.; Dyson, P. J.; Dalton Trans. 2007, 5065.

101. Gill, M. R.; Garcia-Lara, J.; Foster, S. J.; Smythe, C.; Battaglia, G.; Thomas, J. A.; Nat. Chem. 2009, 1, 662.

102. Evans, R. C.; Douglas, P.; Winscom, C. J.; Coord. Chem. Rev. 2006, 250, 2093.

103. Li, X.; Zhang, D.; Lu, G.; Xiao, G.; Chi, H.; Dong, Y.; Zhang, Z.; Hu, Z.; J. Photochem. Photobiol., A 2012, 241, 1.

104. Rudmann, H.; Rubner, M. F.; J. Appl. Phys. 2001, 90, 4338.

105. Pentlehner, D.; Grau, I.; Yersin, H.; Chem. Phys. Lett. 2008, 455, 72.

106. Fan, F. R. F.; Bard, A. J.; J. Phys. Chem. B 2003, 107, 1781.

107. Slinker, J. D.; Gorodetsky, A. A.; Lowry, M. S.; Wang, J. J.; Parker, S.; Rohl, R.; Bernhard, S.; Malliaras, G. G.; J. Am. Chem. Soc. 2004, 126, 2763.

108. Si, Z.; Li, J.; Li, B.; Zhao, F.; Liu, S.; Li, W.; Inorg. Chem. 2007, 46, 6155.

109. Hung, L. S.; Chen, C. H.; Mater. Sci. Eng., R 2002, 39, 143.

110. Santos, E. R.; Wang, S. H.; Correia, F. C.; Costa, I. R.; Sonnenberg, V.; Burini Junior, E. C.; Onmori, R. K.; Quim. Nova 2014, 37, 1.

111. Deichmann, V. A. F.; Novo, J. B. M.; Cirpan, A.; Karasz, F. E.; Akcelrud, L.; J. Braz. Chem. Soc. 2007, 18, 330.

112. Quirino, W. G.; Legnani, C.; Cremona, M.; Reyes, R.; Mota, G. V.; Weibel, D. E.; Rocco, M. L. M.; J. Braz. Chem. Soc. 2008, 19, 872.

113. Brito, W. R.; Araujo, G.; Quirino, W. G.; Legnani, C.; Angulo, Y.; Cremona, M.; Rocco, M. L. M.; J. Braz. Chem. Soc. 2010, 21, 2367.

114. Yersin, H.; Rausch, A. F.; Czerwieniec, R.; Hofbeck, T.; Fischer, T.; Coord. Chem. Rev. 2011, 255, 2622.

115. Yersin, H. Em Transition Metal and Rare Earth Compounds; Springer: Berlin, 2004, cap. 1.

116. Forrest, S. R.; Bradley, D. D. C.; Thompson, M. E.; Adv. Mater. (Weinheim, Ger.) 2003, 15, 1043.

117. Baldo, M. A.; Brien, D. F. O.; You, Y.; Shoustikov, A.; Sibley, S.; Thompson, M. E.; Forrest, S. R.; Nature 1998, 395, 151.

118. Baldo, M. A.; Thompson, M. E.; Forrest, S. R.; Nature 2000, 403, 750.

119. Ma, Y.; Zhang, H.; Shen, J.; Che, C.; Synth. Met. 1998, 94, 245.

120. Li, F.; Zhang, M.; Cheng, G.; Feng, J.; Zhao, Y.; Ma, Y.; Shiyong, L.; Shen, J.; Appl. Phys. Lett. 2004, 84, 148.

121. Ge, G.; He, J.; Guo, H.; Wang, F.; Zou, D.; J. Organomet. Chem. 2009, 694, 3050.

122. Chu, W.-K.; Ko, C.-C.; Chan, K.-C.; Yiu, S.-M.; Wong, F.-L.; Lee, C.-S.; Roy, V. A. L.; Chem. Mater. 2014, 26, 2544.

123. Helfrich, W.; Schneider, W. G.; Phys. Rev. Lett. 1965, 14, 229.

124. Tang, C. W.; Vanslyke, S. A.; Appl. Phys. Lett. 1987, 51, 913.

125. Tang, C. W.; Vanslyke, S. A.; Chen, C. H.; J. Appl. Phys. 1989, 65, 3610.

126. Sano, T.; Fujita, M.; Fujii, T.; Hamada, Y.; Shibata, K.; Kuroki, K.; Jpn. J. Appl. Phys., Part 1 1995, 34, 1883.

127. Baldo, M. A.; O'brien, D. F.; You, Y.; Shoustikov, A.; Sibley, S.; Thompson, M. E.; Forrest, S. R.; Nature 1998, 395, 151.

128. Tokel, N. E.; Bard, A. J.; J. Am. Chem. Soc. 1972, 94, 2862.

129. Handy, E. S.; Pal, A. J.; Rubner, M. F.; J. Am. Chem. Soc. 1999, 121, 3525.

130. Rudmann, H.; Shimada, S.; Rubner, M. F.; J. Am. Chem. Soc. 2002, 124, 4918.

131. Welter, S.; Brunner, K.; Hofstraat, J. W.; De Cola, L.; Nature 2003, 421, 54.

132. Xiao, L.; Chen, Z.; Qu, B.; Luo, J.; Kong, S.; Gong, Q.; Kido, J.; Adv. Mater. (Weinheim, Ger.) 2011, 23, 926.

133. Tung, Y. L.; Lee, S. W.; Chi, Y.; Chen, L. S.; Shu, C. F.; Wu, F. I.; Carty, A. J.; Chou, P. T.; Peng, S. M.; Lee, G. H.; Adv. Mater. (Weinheim, Ger.) 2005, 17, 1059.

134. Li, Y.; Wang, Y.; Zhang, Y.; Wu, Y.; Shen, Y.; Synth. Met. 1999, 99, 257.

135. Ranjan, S.; Lin, S.-Y.; Hwang, K.-C.; Chi, Y.; Ching, W.-L.; Liu, C.-S.; Tao, Y.-T.; Chien, C.-H.; Peng, S.-M.; Lee, G.-H.; Inorg. Chem. 2003, 42, 1248.

136. Liu, X.; Xia, H.; Gao, W.; Wu, Q.; Fan, X.; Mu, Y.; Ma, C.; J. Mater. Chem 2012, 22, 3485.

137. Lundin, N. J.; Blackman, A. G.; Gordon, K. C.; Officer, D. L.; Angew. Chem., Int. Ed. 2006, 45, 2582.

138. Gonçalves, M. R.; Frin, K. P. M.; Polyhedron 2015, 97, 112.

139. Lamansky, S.; Djurovich, P.; Murphy, D.; Abdel-Razzaq, F.; Lee, H.-E.; Adachi, C.; Burrows, P. E.; Forrest, S. R.; Thompson, M. E.; J. Am. Chem. Soc. 2001, 123, 4304.

140. Zanoni, K. P. S.; Kariyazaki, B. K.; Ito, A.; Brennaman, M. K.; Meyer, T. J.; Murakami Iha, N. Y.; Inorg. Chem. 2014, 53, 4089.

141. Jayabharathi, J.; Jayamoorthy, K.; Thanikachalam, V.; J. Organomet. Chem. 2014, 761, 74.

142. Tang, H.; Li, Y.; Chen, Q.; Chen, B.; Qiao, Q.; Yang, W.; Wu, H.; Cao, Y.; Dyes Pigm. 2014, 100, 79.

143. Carvalho, F.; Liandra-Salvador, E.; Bettanin, F.; Souza, J. S.; Homem-De-Mello, P.; Polo, A. S.; Inorg. Chim. Acta 2014, 414, 145.

144. Nazeeruddin, M. K.; Kay, A.; Rodicio, I.; Humphrybaker, R.; Muller, E.; Liska, P.; Vlachopoulos, N.; Grätzel, M.; J. Am. Chem. Soc. 1993, 115, 6382.

145. Sun, Y. L.; Onicha, A. C.; Myahkostupov, M.; Castellano, F. N.; ACS Appl. Mater. Interfaces 2010, 2, 2039.

146. Hagfeldt, A.; Grätzel, M.; Acc. Chem. Res. 2000, 33, 269.

147. Grätzel, M.; J. Photochem. Photobiol., C 2003, 4, 145.

148. Polo, A. S.; Itokazu, M. K.; Iha, N. Y. M.; Coord. Chem. Rev. 2004, 248, 1343.

149. Souza, J. S.; Andrade, L. O. M.; Polo, A. S. Em Nanoenergy; Souza, F. L., Leite, E. R., eds.; Springer: Berlin, 2013, cap. 2.

150. Hagfeldt, A.; Grätzel, M.; Chem. Rev. 1995, 95, 49.

151. Hagfeldt, A.; Boschloo, G.; Sun, L.; Kloo, L.; Pettersson, H.; Chem. Rev. 2010, 110, 6595.

152. Kalyanasundaram, K.; Grätzel, M.; Coord. Chem. Rev. 1998, 177, 347.

153. Grätzel, M.; Acc. Chem. Res. 2009, 42, 1788.

154. Müller, A. V.; Mendonça, P. S.; Parant, S.; Duchanois, T.; Gros, P. C.; Beley, M.; Polo, A. S.; J. Braz. Chem. Soc. 2015, 26, 2224.

155. Muller, A. V.; Ramos, L. D.; Frin, K. P. M.; De Oliveira, K. T.; Polo, A. S.; RSC Adv. 2016, 6, 46487.

156. Chen, Z. F.; Chen, C. C.; Weinberg, D. R.; Kang, P.; Concepcion, J. J.; Harrison, D. P.; Brookhart, M. S.; Meyer, T. J.; Chem. Commun. 2011, 47, 12607.

157. Concepcion, J. J.; Jurss, J. W.; Brennaman, M. K.; Hoertz, P. G.; Patrocinio, A. O. T.; Iha, N. Y. M.; Templeton, J. L.; Meyer, T. J.; Acc. Chem. Res. 2009, 42, 1954.

158. Chen, Z. F.; Concepcion, J. J.; Brennaman, M. K.; Kang, P.; Norris, M. R.; Hoertz, P. G.; Meyer, T. J.; Proc. Natl. Acad. Sci. U. S. A. 2012, 109, 15606.

159. Souza, S. S.; Patrocinio, A. O. T.; Quim. Nova 2014, 37, 886.

160. Armaroli, N.; Balzani, V.; Angew. Chem., Int. Ed. Engl. 2007, 46, 52.

161. Meyer, T. J.; Acc. Chem. Res. 1989, 22, 163.

162. Concepcion, J. J.; House, R. L.; Papanikolas, J. M.; Meyer, T. J.; Proc. Natl. Acad. Sci. U. S. A. 2012, 109, 15560.

163. Liu, F.; Concepcion, J. J.; Jurss, J. W.; Cardolaccia, T.; Templeton, J. L.; Meyer, T. J.; Inorg. Chem. 2008, 47, 1727.

164. Huynh, M. H. V.; Dattelbaum, D. M.; Meyer, T. J.; Coord. Chem. Rev. 2005, 249, 457.

165. Hammarstrom, L.; Hammes-Schiffer, S.; Acc. Chem. Res. 2009, 42, 1859.

166. Pellegrin, Y.; Odobel, F.; Coord. Chem. Rev. 2011, 255, 2578.

167. Alstrum-Acevedo, J. H.; Brennaman, M. K.; Meyer, T. J.; Inorg. Chem. 2005, 44, 6802.

168. Kalyanasundaram, K.; Grätzel, M.; Curr. Opin. Biotechnol. 2010, 21, 298.

169. Polo, A. S.; Frin, K. P. M. Em Química Supramolecular e Nanotecnologia; Beatriz, A., Alves, W. A., eds.; Atheneu: Sao Paulo, 2014, cap. 19.

170. Concepcion, J. J.; Jurss, J. W.; Norris, M. R.; Chen, Z. F.; Templeton, J. L.; Meyer, T. J.; Inorg. Chem. 2010, 49, 1277.

171. Concepcion, J. J.; Tsai, M. K.; Muckerman, J. T.; Meyer, T. J.; J. Am. Chem. Soc. 2010, 132, 1545.

172. Muckerman, J. T.; Kowalczyk, M.; Badiei, Y. M.; Polyansky, D. E.; Concepcion, J. J.; Zong, R. F.; Thummel, R. P.; Fujita, E.; Inorg. Chem. 2014, 53, 6904.

173. Concepcion, J. J.; Jurss, J. W.; Templeton, J. L.; Meyer, T. J.; J. Am. Chem. Soc. 2008, 130, 16462.

174. Wang, H. Y.; Liu, J.; Zhu, J.; Styring, S.; Ott, S.; Thapper, A.; Phys. Chem. Chem. Phys. 2014, 16, 3661.

175. Polyansky, D. E.; Muckerman, J. T.; Rochford, J.; Zong, R. F.; Thummel, R. P.; Fujita, E.; J. Am. Chem. Soc. 2011, 133, 14649.

176. Isobe, H.; Tanaka, K.; Shen, J. R.; Yamaguchi, K.; Inorg. Chem. 2014, 53, 3973.

177. Tong, L.; Kopecky, A.; Zong, R.; Gagnon, K. J.; Ahlquist, M. S. G.; Thummel, R. P.; Inorg. Chem. 2015, 54, 7873.

178. Koike, K.; Naito, S.; Sato, S.; Tamaki, Y.; Ishitani, O.; J. Photochem. Photobiol., A 2009, 207, 109.

179. Gholamkhass, B.; Mametsuka, H.; Koike, K.; Tanabe, T.; Furue, M.; Ishitani, O.; Inorg. Chem. 2005, 44, 2326.

180. Planas, N.; Ono, T.; Vaquer, L.; Miro, P.; Benet-Buchholz, J.; Gagliardi, L.; Cramer, C. J.; Llobet, A.; Phys. Chem. Chem. Phys. 2011, 13, 19480.

181. Bian, Z.-Y.; Chi, S.-M.; Li, L.; Fu, W.; Dalton Trans. 2010, 39, 7884.

182. Takeda, H.; Koike, K.; Inoue, H.; Ishitani, O.; J. Am. Chem. Soc. 2008, 130, 2023.

183. Takeda, H.; Ishitani, O.; Coord. Chem. Rev. 2010, 254, 346.

184. Tamaki, Y.; Watanabe, K.; Koike, K.; Inoue, H.; Morimoto, T.; Ishitani, O.; Faraday Discuss. 2012, 155, 115.

185. Hawecker, J.; Lehn, J.-M.; Ziessel, R.; J. Chem. Soc., Chem. Commun. 1983 536.

186. Bolinger, C. M.; Sullivan, B. P.; Conrad, D.; Gilbert, J. A.; Story, N.; Meyer, T. J.; J. Chem. Soc., Chem. Commun. 1985 796.

187. Appel, A. M.; Bercaw, J. E.; Bocarsly, A. B.; Dobbek, H.; Dubois, D. L.; Dupuis, M.; Ferry, J. G.; Fujita, E.; Hille, R.; Kenis, P. J. A.; Kerfeld, C. A.; Morris, R. H.; Peden, C. H. F.; Portis, A. R.; Ragsdale, S. W.; Rauchfuss, T. B.; Reek, J. N. H.; Seefeldt, L. C.; Thauer, R. K.; Waldrop, G. L.; Chem. Rev. 2013, 113, 6621.

188. Fujita, E.; Muckerman, J. T.; Himeda, Y.; Biochim. Biophys. Acta, Bioenerg. 2013, 1827, 1031.

189. Agarwal, J.; Fujita, E.; Schaefer, H. F.; Muckerman, J. T.; J. Am. Chem. Soc. 2012, 134, 5180.

190. Bian, Z. Y.; Sumi, K.; Furue, M.; Sato, S.; Koike, K.; Ishitani, O.; Inorg. Chem. 2008, 47, 10801.

191. Shakeri, J.; Hadadzadeh, H.; Tavakol, H.; Polyhedron 2014, 78, 112.

192. Matsubara, Y.; Hightower, S. E.; Chen, J. Z.; Grills, D. C.; Polyansky, D. E.; Muckerman, J. T.; Tanaka, K.; Fujita, E.; Chem. Commun. 2014, 50, 728.

193. Boston, D. J.; Huang, K. L.; Tacconi, N.; Lezna, R. O.; Macdonnell, F. M.; Abstracts of Papers of the American Chemical Society 2012, 243, 1.

194. Bian, Z. Y.; Sumi, K.; Furue, M.; Sato, S.; Koike, K.; Ishitani, O.; Dalton Trans. 2009, 983.

195. Windle, C. D.; Perutz, R. N.; Coord. Chem. Rev. 2012, 256, 2562.

196. Gagliardi, C. J.; Westlake, B. C.; Kent, C. A.; Paul, J. J.; Papanikolas, J. M.; Meyer, T. J.; Coord. Chem. Rev. 2010, 254, 2459.

197. Schneider, J.; Jia, H.; Muckerman, J. T.; Fujita, E.; Chem. Soc. Rev. 2012, 41, 2036.

198. Akhade, S. A.; Luo, W.; Nie, X.; Bernstein, N. J.; Asthagiri, A.; Janik, M. J.; Phys. Chem. Chem. Phys. 2014, 16, 20429.

199. Dewulf, D. W.; Jin, T.; Bard, A. J.; J. Electrochem. Soc. 1989, 136, 1686.

200. Kumar, B.; Llorente, M.; Froehlich, J.; Dang, T.; Sathrum, A.; Kubiak, C. P.; Annu. Rev. Phys. Chem. 2012, 63, 541.

201. Machan, C. W.; Stanton, C. J.; Vandezande, J. E.; Majetich, G. F.; Schaefer III, H. F.; Kubiak, C. P.; Agarwal, J.; Inorg. Chem. 2015, 54, 8849.

202. Machan, C. W.; Sampson, M. D.; Kubiak, C. P.; J. Am. Chem. Soc. 2015, 137, 8564.

203. Kato, E.; Takeda, H.; Koike, K.; Ohkubo, K.; Ishitani, O.; Chem. Sci. 2015, 6, 3003.

204. Therrien, J. A.; Wolf, M. O.; Patrick, B. O.; Inorg. Chem. 2014, 53, 12962.

205. Kuramochi, Y.; Kamiya, M.; Ishida, H.; Inorg. Chem. 2014, 53, 3326.

206. Rezaei, B.; Mokhtarianpour, M.; Ensafi, A. A.; Hadadzadeh, H.; Shakeri, J.; Polyhedron 2015, 101, 160.

207. Morris, A. J.; Meyer, G. J.; Fujita, E.; Acc. Chem. Res. 2009, 42, 1983.

208. Sato, S.; Morikawa, T.; Saeki, S.; Kajino, T.; Motohiro, T.; Angew. Chem., Int. Ed. 2010, 49, 5101.

209. Wang, C.; Ma, X. X.; Li, J.; Xu, L.; Zhang, F. X.; J. Mol. Catal. A: Chem. 2012, 363, 108.

210. Yokoi, N.; Miura, Y.; Huang, C.-Y.; Takatani, N.; Inaba, H.; Koshiyama, T.; Kanamaru, S.; Arisaka, F.; Watanabe, Y.; Kitagawa, S.; Ueno, T.; Chem. Commun. 2011, 47, 2074.

211. Windle, C. D.; George, M. W.; Perutz, R. N.; Summers, P. A.; Sun, X. Z.; Whitwood, A. C.; Chem. Sci. 2015, 6, 6847.

212. Matlachowski, C.; Braun, B.; Tschierlei, S.; Schwalbe, M.; Inorg. Chem. 2015, 54, 10351.

213. Balzani, V.; Bergamini, G.; Ceroni, P. Em Nanoparticles and Nanodevices in Biological Applications; Bellucci, S., ed; Springer-Verlag: Berlin-Heidelberg, 2009, cap. 4.

214. Ishida, H.; Tanaka, K.; Tanaka, T.; Chem. Lett. 1985, 14, 405.

215. Ishida, H.; Tanaka, K.; Tanaka, T.; Organometallics 1987, 6, 181.

216. Ishida, H.; Terada, T.; Tanaka, K.; Tanaka, T.; Inorg. Chem. 1990, 29, 905.

217. Reithmeier, R.; Bruckmeier, C.; Rieger, B.; Catalysts 2012, 2, 544.

218. Fujita, E.; Coord. Chem. Rev. 1999, 185-186, 373.

219. Ford, P. C.; Acc. Chem. Res. 1981, 14, 31.

220. Sullivan, B. P.; Meyer, T. J.; Organometallics 1986, 5, 1500.

221. Lehn, J.-M.; Ziessel, R.; J. Organomet. Chem. 1990, 382, 157.

222. Kutal, C.; Weber, M. A.; Ferraudi, G.; Geiger, D.; Organometallics 1985, 4, 2161.

223. Hori, H.; Johnson, F. P. A.; Koike, K.; Takeuchi, K.; Ibusuki, T.; Ishitani, O.; J. Chem. Soc., Dalton Trans. 1997, 1019.

224. Koike, K.; Hori, H.; Ishizuka, M.; Westwell, J. R.; Takeuchi, K.; Ibusuki, T.; Enjouji, K.; Konno, H.; Sakamoto, K.; Ishitani, O.; Organometallics 1997, 16, 5724.

225. Dietrich, J.; Thorenz, U.; Forster, C.; Heinze, K.; Inorg. Chem. 2013, 52, 1248.

226. Bian, Z.-Y.; Wang, H.; Fu, W.-F.; Li, L.; Ding, A.-Z.; Polyhedron 2012, 32, 78.

227. Sato, S.; Koike, K.; Inoue, H.; Ishitani, O.; Photochem. Photobiol. Sci. 2007, 6, 454.

228. Nakada, A.; Koike, K.; Nakashima, T.; Morimoto, T.; Ishitani, O.; Inorg. Chem. 2015, 54, 1800.

229. Sahara, G.; Ishitani, O.; Inorg. Chem. 2015, 54, 5096.

230. Gholamkhass, B.; Mametsuka, H.; Koike, K.; Tanabe, T.; Furue, M.; Ishitani, O.; Inorg. Chem. 2005, 44, 2326.

231. Goldstein, D.; Peterson, J.; Cheng, Y.; Clady, R.; Schmidt, T.; Thordarson, P.; Molecules 2013, 18, 8959.

232. Colombo, M. G.; Hauser, A.; Guedel, H. U.; Inorg. Chem. 1993, 32, 3088.

233. Yoshikawa, N.; Matsumura-Inoue, T.; Anal. Sci. 2003, 19, 761.

234. Sato, S.; Morikawa, T.; Kajino, T.; Ishitani, O.; Angew. Chem., Int. Ed. 2013, 52, 988.

235. Li, L.; Zhang, S.; Xu, L.; Wang, J.; Shi, L.-X.; Chen, Z.-N.; Hong, M.; Luo, J.; Chem. Sci. 2014, 5, 3808.

236. Reithmeier, R. O.; Meister, S.; Rieger, B.; Siebel, A.; Tschurl, M.; Heiz, U.; Herdtweck, E.; Dalton Trans. 2014, 43, 13259.

237. Garg, K.; Matsubara, Y.; Ertem, M. Z.; Lewandowska-Andralojc, A.; Sato, S.; Szalda, D. J.; Muckerman, J. T.; Fujita, E.; Angew. Chem., Int. Ed. 2015, 54, 14128.

238. Yamazaki, Y.; Takeda, H.; Ishitani, O.; J. Photochem. Photobiol., C 2015, 25, 106.

239. Reithmeier, R. O.; Meister, S.; Siebel, A.; Rieger, B.; Dalton Trans. 2015, 44, 6466.

240. Boston, D. J.; Pachón, Y. M. F.; Lezna, R. O.; De Tacconi, N. R.; Macdonnell, F. M.; Inorg. Chem. 2014, 53, 6544.

On-line version ISSN 1678-7064 Printed version ISSN 0100-4042
Qu�mica Nova
Publica��es da Sociedade Brasileira de Qu�mica
Caixa Postal: 26037 05513-970 S�o Paulo - SP
Tel/Fax: +55.11.3032.2299/+55.11.3814.3602
Free access

GN1