JBCS



12:10, sáb out 25

Acesso Aberto/TP



Artigo


Revestimentos de alta camada obtidos com a modificação de resinas epóxi novolaca pela reação com organo-siloxano e catálise ácida
High layer coating obtained in the reaction of modified novolac epoxys resins with organosiloxanes through acid catalysis

Roberta Jachura Rocha*; José Atílio Fritz Fidel Rocco; Maria Auxiliadora Silva de Oliveira; Koshun Iha

Departamento de Química, Instituto Tecnológico de Aeronáutica, 12228-900 São José dos Campos - SP, Brasil

Recebido em 13/06/2016
Aceito em 12/09/2016
Publicado na web em 12/10/2016

Endereço para correspondência

*e-mail: robertajr@gmail.com

RESUMO

Epoxy resins are an important class of thermostable polymers, widely used in structural applications or as adhesives. However, the low fracture resistance is their main weakness in many applications. Due to this fact, this study aims to modify a polymer matrix based on a novolac epoxy resin with an organo siloxane (AMS). The final properties of cured epoxys resins are affected by the curing process and the coatings modified in this study with AMS and cured with acid catalyst presented greater resistance to thermal decomposition compared to that cured with Aradur, demonstrating a higher content of crosslinking in the siloxane polyether and the novolak epoxy resin chains. This epoxy matrix modified was used to prepare coatings whose films applied to 1020 steel surfaces presented a resistance of 1010 Ohm-cm-2. This resistance value is one order of magnitude greater than that of epoxy resins films modified by siloxanes in published studies, which demonstrates a potential economy in terms of maintenance costs of metal structures and machines used in power plants (UTE). To obtain the developed inks in pilot plant scale, it was used an aromatic polyamine as curing agent, characterizing the product obtained as an epoxy bi-component paint for commercial use.

Palavras-chave: Corrosion, novolac epoxy resin, interpenetrating polymer network-IPN, polyether siloxane, coatings.

INTRODUÇAO

As resinas epóxi sao uma importante classe de polímeros termoestáveis, amplamente utilizadas em aplicaçoes estruturais ou como adesivos, devido a suas características de alta tensao e módulo, fácil processamento, boa resistência química e térmica e alta aderência a muitos substratos. Os sistemas epóxi apresentam pequena contraçao após a cura (em média, 2%), o que indica a necessidade de um baixo grau de rearranjo molecular para formar o sistema curado. Quanto à estabilidade química, o epóxi é um dos termorrígidos mais inertes, além de possuir boa estabilidade dimensional. Entretanto, revestimentos à base de resinas epóxi apresentam hidrofobicidade, baixas resistência ao impacto e à exposiçao a ambientes abertos, estabilidade térmica relativamente baixa e, em muitas aplicaçoes, sua principal desvantagem é sua baixa resistência à fratura. Por essas razoes, as resinas epóxi sao frequentemente modificadas buscando aprimorar suas características.

Conforme estudo de Gu et al.,1 têm sido introduzidas nanopartículas inorgânicas (SiO2, ZrO2, ZnO) em matrizes epóxi que atuam preenchendo os defeitos, como microfissuras e vazios, do revestimento epóxi, com o intuito de aprimorar suas propriedades anticorrosivas modificando seu efeito como barreira física. A otimizaçao de propriedades, principalmente mecânicas, das resinas epóxi e dos polímeros termofixos também pode ser alcançada pela modificaçao da estrutura do polímero, aumentando-se a cadeia em pontos de entrecruzamento.2 De forma geral, a introduçao de segmentos poliméricos flexíveis à cadeia de resinas epóxi melhora sua resistência ao impacto, enquanto mantém as demais propriedades praticamente inalteradas. A incorporaçao de polisiloxanos elásticos à cadeia de resinas epóxi também pode resultar em aumento nos valores de propriedades físico-químicas como hidrofobicidade, resistência à erosao, resistência à exposiçao a ambientes abertos (UV), resistência a solventes e produtos químicos em geral, resistência à corrosao e estabilidade termo-oxidativa, entre outras.1

Dentre as formas de incorporaçao de siloxanos/silicone a polímeros, o mecanismo que permite a formaçao de estruturas poliméricas interpenetrantes (Interpenetrating Polymer Networks - IPNs) proporciona a estabilidade de propriedades específicas que possibilitam ampliar o número de aplicaçoes dos produtos assim modificados.2-6

Numa estrutura polimérica interpenetrante ideal, duas ou mais estruturas poliméricas, quimicamente distintas e com elevado grau de ligaçoes cruzadas dentro de suas cadeias, sao mantidas unidas exclusivamente por seu entrelaçamento. No entanto, podem ocorrer situaçoes em que somente um dos componentes apresente ligaçoes cruzadas em sua estrutura polimérica ou, ainda, situaçoes em que as ligaçoes internas das cadeias poliméricas dos componentes nao estao entrelaçadas, o que pode ocasionar separaçao de fases.7 Neste estudo, buscou-se sintetizar uma estrutura polimérica baseada no método convencional no qual as ligaçoes cruzadas ocorrem dentro das respectivas cadeias poliméricas e entre cada cadeia polimérica que constitui a estrutura interpenetrante. Os pré-polímeros selecionados sao uma resina epóxi novolaca e um poliéter siloxano.

As resinas epóxi novocala, cuja estrutura química está apresentada na Figura 1, sao sintetizadas pela reaçao de uma resina fenólica novolaca com epicloridrina. Os vários grupos epóxi presentes nas resinas epóxi novolaca contribuem para suas altas densidades de reticulaçao, o que resulta em excelentes propriedades de resistência química, térmica e a solventes8,9

 


Figura 1. Estrutura química da resina epóxi novolaca10

 

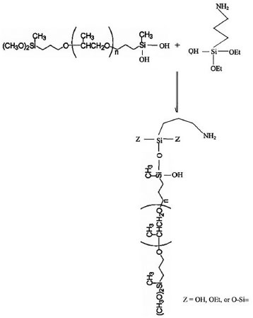
O poliéter siloxano apresenta grupos siloxano terminais e sua introduçao proporciona flexibilidade, elongaçao, aumenta a resistência à abrasao e ablaçao sob calor e melhora a integridade de materiais utilizados para preparar filmes para recobrimento de superfícies. Sua estrutura química está apresentada na Figura 2.

 


Figura 2. Estrutura química do polieter siloxano (Silyl)

 

Sabe-se, também, que as propriedades finais das resinas epóxi sao influenciadas pelo processo de cura e dependem da combinaçao específica do tipo de resina epóxi e do agente de cura utilizados.10-13 Neste estudo, foi realizada uma catálise ácida para posterior cura da mistura pré-hidrolizada obtida, fato que torna único o método proposto quando comparado aos métodos convencionais de produçao de resinas modificadas com siloxano, nos quais ocorre catálise alcalina com o emprego de aminas, amino siloxanos e compostos organometálicos.

 

PARTE EXPERIMENTAL

O método desenvolvido para a modificaçao da resina epóxi novolaca por incorporaçao de siloxanos, com base no método convencional de formaçao da estrutura IPN, emprega um alquil-amino siloxano como agente de compatibilizaçao para a mistura de siloxano e resina epóxi.

Na formaçao da IPN pelo método convencional, ocorrem reaçoes de hidrólise dos grupos alcoxi (OCnH(2n+1)) do organo-siloxano, formando grupos silanol (Si-OH) que podem condensar e formar estruturas -[Si-O-Si].2 Essas estruturas podem, paralelamente, reagir com os grupos C-OH formados na abertura do anel epóxi em sua reaçao com o alquil-amino siloxano, levando à formaçao de estruturas -[Si-O-Si]n-Si-O-C-.4,14-20 Porém, para determinadas aplicaçoes, o filme epóxi-siloxano obtido por esse método convencional se apresenta pouco flexível, quebradiço e com baixa resistência à abrasao e ao impacto. Para melhorar essas propriedades, a variaçao feita neste estudo tem o propósito de utilizar uma quantidade de alquil-amino siloxano suficiente apenas para realizar a pré-abertura dos anéis epóxi da resina novolaca e agir como catalisador para a pré-hidrólise do poliéter siloxano, conforme reaçao global apresentada na Figura 3. Conforme citado, realizou-se uma catálise ácida para posterior cura da mistura pré-hidrolizada obtida.

 


Figura 3. Reaçao de condensaçao do AMS hidrolisado com um grupo Si-OH do poliéter siloxano hidrolisado. Adaptado de Oteo et al.21

 

Em um reator aberto, exposto ao ar atmosférico e sem aquecimento, foram postas a reagir partes iguais da resina epóxi novolaca Araldite EPN 1179 e do poliéter siloxano (Silyl) do tipo (XO)2SiY produzido pela Kaneka of Japan, em que XO é um grupo metoxi (OCH3) hidrolizável e Y é um grupo organo-funcional (CH3). Adicionou-se cerca de 1% m/m de água e catalisador ácido para promover a pré-hidrólise da mistura, mantida sob agitaçao mecânica por cerca de 30 minutos na temperatura ambiente (~25 ºC). Também foi adicionado à mistura cerca de 20% (m/m) de dióxido de titânio (TiO2), mantendo a agitaçao por quatro horas adicionais. Após esse processo, a tinta obtida foi denominada de "Tinta base seca". Numa segunda fase, foi incorporado o equivalente a 20% (m/m) de solvente orgânico (xilenol e metanol) (50% v/v), obtendo-se uma tinta denominada de "Tinta base úmida".

Para o princípio envolvido na variaçao do método convencional citado, em um reator aberto, exposto ao ar atmosférico e sem aquecimento, foram postas a reagir partes iguais da resina epóxi novolaca EPN 1179 e do Silyl, e uma quantidade de alquil-amino siloxano (AMS), produzido pela Sigma-Aldrich, suficiente para promover a pré-abertura dos anéis epóxi e a pré-hidrólise da resina epóxi e do siloxano. A mistura reagente foi mantida sob agitaçao mecânica por cerca de 30 minutos. Tomou-se uma porçao da mistura resultante e adicionaram-se cerca de 20% (m/m) do TiO2, mantendo a mistura obtida sob agitaçao por mais quatro horas. A tinta obtida foi denominada de "Tinta modificada com AMS-Base seca-1". De forma semelhante à preparaçao da "Tinta base úmida" anteriormente descrita, uma quarta tinta, denominada "Tinta modificada com AMS-Base úmida-1", foi preparada utilizando uma porçao da mistura da resina epóxi novolaca EPN 1179 e do Silyl submetida à pré-hidrólise catalisada pelo AMS.

Outras duas tintas modificadas com AMS, denominadas "Tinta modificada com AMS-Base seca-2" e "Tinta modificada com AMS-Base úmida-2", foram preparadas utilizando uma porçao da mistura da resina epóxi novolaca EPN 1179 e do Silyl submetida à pré-hidrólise catalisada pelo AMS com a incorporaçao de 10% (m/m) de TiO2 e 50% (m/m) de SiO2, além de 20% m/m do solvente no caso da "Tinta modificada com AMS-Base úmida-2".

As tintas obtidas foram utilizadas como revestimento de superfícies de corpos de prova metálicos feitos a partir de uma chapa do aço 1020, material bastante empregado em tubulaçoes e tanques. Estudou-se a decomposiçao térmica de algumas das tintas desenvolvidas pelo método termogravimétrico (TG) com o uso do Analisador Termogravimétrico Shimadzu TGA-51, sob atmosfera dinâmica de nitrogênio (50 mL min-1) e razao de aquecimento de 20 ºC min-1, iniciando-se o aquecimento em temperatura ambiente (~25 ºC) até as temperaturas de 600 ºC e 1000 ºC. Na técnica de calorimetria exploratória diferencial (DSC), fez-se uso do Analisador Shimadzu DSC 60 empregando atmosfera dinâmica de nitrogênio (50 mL min-1), partindo da temperatura ambiente, utilizando células de alumínio e de platina nos ensaios em que a temperatura foi elevada até 600 ºC e 1000 ºC, respectivamente, a uma velocidade de 20 ºC min-1.

Além disso, os produtos obtidos foram caracterizados por absorçao de radiaçao no infravermelho (FTIR), com o emprego do espectrofotômetro Varian 660-IR equipado com sistema de reflexao ATR (Attenuated Total Reflection). Os espectros foram obtidos na faixa de 4000-4520 cm-1, com resoluçao de 4 cm-1 e um total de 16 varreduras acumuladas nas aquisiçoes de cada espectro.

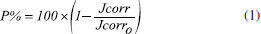
Foram realizadas também análises do potencial de corrosao (Ecorr) das superfícies recobertas com as tintas desenvolvidas neste estudo, que demonstra a tendência de as superfícies recobertas com as tintas sofrerem corrosao, e da densidade de corrente de corrosao (Jcorr), que mostra a eficiência de proteçao contra corrosao (P%) oferecida pelas tintas, determinada pela equaçao 1:

em que Jcorr é a densidade de corrente de corrosao das superfícies recobertas com as respectivas tintas, e Jcorro é a densidade de corrente de corrosao do substrato metálico sem o filme.

Para isso, foram recobertas superfícies de corpos de prova metálicos feitos de aço carbono 1020, previamente jateadas com areia na condiçao de metal quase ao branco, para uma primeira série de experimentos com quatro demaos da "Tinta base úmida" curada com um catalisador ácido, e com quatro demaos da "Tinta modificada com AMS-Base úmida-1" para uma segunda série de experimentos. Em seguida, as superfícies recobertas foram submetidas a ensaios eletroquímicos de corrosao, com polarizaçao potenciodinâmica e espectroscopia de impedância eletroquímica (EIS) em um meio aquoso contendo cloreto, soluçao aquosa 0,5 mol L-1 de NaCl e pH igual a 5,8, exposta à atmosfera ambiente, sem agitaçao, na temperatura ambiente. Estes ensaios foram realizados empregando-se o potenciostato/galvanostato PGSTAT 30 da AUTOLAB conectado a um computador tipo PC através da interface USB - IF030 e controlado pelos programas GPES.EXE (ensaios potenciodinâmicos) e FRA.EXE (EIS). Foi utilizada uma célula eletroquímica com três eletrodos: (1) eletrodo de trabalho: superfícies pintadas e superfícies denominadas de branco com área exposta de 0,502 cm-2; (2) eletrodo auxiliar: fio de platina em espiral; (3) eletrodo de referência: eletrodo de Ag/AgCl, Cl- saturado. Todos os ensaios foram realizados em triplicata.22,23

 

RESULTADOS E DISCUSSAO

Análises dos espectros de Radiaçao de Absorçao no Infravermelho (FTIR)

A regiao mais importante nos espectros FTIR de polisiloxanos compreende a faixa de número de onda entre 1000-1225 cm-1, correspondente a vibraçoes de estiramento das ligaçoes Si-O-C e Si-O-Si nas estruturas formadas pela condensaçao dos grupos silanóis (Si-OH) gerados na hidrólise de alcoxisilanos. Nesta regiao, os espectros costumam apresentar máximos em 1012 e 1045 cm-1, atribuídos a vibraçoes de ligaçoes Si-O-Si em cadeias lineares, e máximo em 1094 cm-1, com um ombro ao redor de 1086 cm-1, atribuído a vibraçoes de ligaçoes Si-O-Si (νas Si-O-Si) em cadeias com um número relativamente baixo de ligaçoes cruzadas. Os espectros FTIR de polisiloxanos também costumam apresentar máximos em 1144, 1174 e 1198 cm-1, atribuídos a estruturas contendo anéis cíclicos com 4, 5 e 6 membros, respectivamente.24-26 Outra banda de absorçao importante está relacionada a vibraçoes da ligaçao Si-OH em ~950 cm-1.27-29

No caso das resinas epóxi novolaca, entre os vários picos de absorçao que podem ser observados em seus espectros FTIR, o de maior importância é o pico em ~912 cm-1 referente ao anel epóxi. Outros picos importantes situam-se em ~3000 cm-1, atribuído ao estiramento CH no anel epóxi, pico em 1509 cm-1, atribuído ao estiramento das ligaçoes C=C dos anéis benzênicos, pico em ~1238 cm-1, atribuído principalmente ao estiramento da ligaçao éter anel aromático-oxigênio, e o pico em ~1030 cm-1, atribuído à vibraçao do grupo -OH2-.30-34

Para a mistura da resina epóxi novolaca EPN1179 com o poliéter siloxano submetida à pré-hidrólise com catálise ácida, fez-se uma análise detalhada dos espectros FTIR (Figura 5) nas regioes correspondentes às absorçoes do estiramento do anel epóxi, em 3001 cm-1 e 912 cm-1; e correspondente às vibraçoes do estiramento de ligaçoes Si-O-Si formadas na condensaçao dos grupos silanóis (Si-OH), em 1000-1225 cm-1, que também podem estar relacionadas às vibraçoes de ligaçoes Si-O-C pré-existentes e/ou formadas na reaçao de condensaçao entre silanóis com os grupos C-OH oriundos da abertura de anéis epóxi.

 


Figura 4. FTIR para o poliéter siloxano antes e após a cura catalisada por ácido

 

 


Figura 5. FTIR para a resina epóxi EPN1179 antes e após a cura catalisada por ácido

 

A partir dessa análise, conclui-se que ocorre a abertura parcial de anéis epóxi tanto na mistura pré-hidrolisada da resina epóxi novolaca EPN1179 com o poliéter siloxano, como nas tintas nao curadas preparadas a partir dessa mistura, uma vez que se nota o desaparecimento do pico de absorçao atribuído ao estiramento CH no anel epóxi em 3001 cm-1.

Há, também, indícios de crescimento da cadeia polimérica da resina epóxi novolaca pela reaçao de homopolimerizaçao, na qual um grupo C-OH do glicol, produzido na reaçao de adiçao de uma molécula de água a um anel epóxi protonado, liga-se a outro anel epóxi protonado formando um éter de cadeia maior. Esse fato pode ser indicado pelo pico de absorçao na regiao de 1030 cm-1 no espectro ATR/FTIR da novolaca pura, atribuído ao estiramento da ligaçao éter do grupo -O-CH2-, que aparece deslocado para regioes de números de ondas um pouco mais elevados nos espectros FTIR da mistura pré-hidrolisada e das tintas nao curadas preparadas a partir dessa mesma mistura, com ombros/picos entre 1035 e 1041 cm-1. Para justificar o aparecimento destes ombros/picos, pode-se considerar a contribuiçao adicional da absorçao de grupos -CH2-OH formados na reaçao de homopolimerizaçao da resina.32

Por outro lado, a ausência do pico em ~950 cm-1, atribuído a vibraçoes de ligaçoes Si-OH, nos espectros das tintas nao curadas contendo o poliéter siloxano, e o aparecimento de um ombro relativamente intenso na regiao de 1054 cm-1, que pode estar relacionado a vibraçoes de ligaçoes Si- O-Si em cadeias lineares de polisiloxanos, e/ou à formaçao de ligaçoes de condensaçao de grupos -CH2-OH produzidos na abertura do anel epóxi com um grupo silanol (Si-OH) gerado na pré-hidrólise do poliéter siloxano, sugerem a formaçao de uma estrutura muito maior com ligaçao de cruzamento entre os dois polímeros.

Os indícios de ligaçoes cruzadas entre os grupos -Si-OH e -CH2-OH nas estruturas poliméricas formadas na pré-hidrólise sao ainda mais fortes nos espectros FTIR das tintas nao curadas. Nestes espectros, observa-se um deslocamento do pico em 1092 cm-1, atribuído ao modo vibracional νas Si-O-C de ligaçoes dos grupos metoxi com átomos de Si35-37 nos espectros FTIR do poliéter siloxano puro e da mistura pré-hidrolisada, para regioes de número de onda sistematicamente maiores (~1097 cm-1).

Nos espectros FTIR de tintas nao curadas, observa-se uma diminuiçao no valor da relaçao entre a absorbância do pico em ~1097 cm-1 e da absorbância do pico em 1509 cm-1, atribuído ao estiramento das ligaçoes C=C dos anéis benzênicos presentes na resina epóxi novolaca e tomado como referência pelo fato de os anéis aromáticos nao serem significativamente afetados pela reaçao de cura, em relaçao à razao semelhante para o pico em ~1092 cm-1 no espectro FTIR da mistura resina epóxi novolaca EPN1179 com poliéter siloxano pré-hidrolisada, em que o deslocamento mencionado para é ainda maior nos espectros FTIR das tintas base seca e base úmida curadas (~1102 cm-1). Portanto, o valor da relaçao entre a absorbância do pico em ~1102 cm-1 e a absorbância do pico tomado como referência (1509 cm-1) nos espectro FTIR de ambas as tintas base seca e base úmida curadas é cerca de 50% menor do que o valor da relaçao semelhante para o pico em ~1092 cm-1 nos espectros FTIR da mistura resina epóxi novolaca EPN1179/poliéter siloxano pré-hidrolisada, e cerca de 30 % menor do que o valor da relaçao semelhante para os mesmos picos nos espectros das tintas nao curadas.

O menor valor desta relaçao sugere uma diminuiçao na quantidade de ligaçoes Si-O-C das tintas base seca e base úmida curadas, o que pode ser decorrente do processo de hidrólise dos grupos metoxi do poliéter siloxano e subsequente condensaçao entre os grupos silanóis (Si-OH) formados, e entre grupos silanóis e grupos -CH2-OH produzidos na abertura do anel epóxi, o que também justifica o deslocamento que ocorre na banda atribuída a νas Si-O-Si e a νas Si-O-C, em números de ondas mais elevados, nos espectros das tintas base seca e base úmida curadas e nao curadas. Neste ponto, ressalta-se que a banda correspondente a vibraçoes Si-OH (~950 cm-1) nao é observada nos espectros FTIR das Tinta base seca e base úmida curadas e nao curadas ou das misturas pré-hidrolisadas.

Adicionalmente, nota-se nos espectros das Tintas modificadas com AMS curadas que os valores para a relaçao entre as absorbâncias do pico em 1014 cm-1 (atribuído a vibraçoes de ligaçoes Si-O-Si em cadeias lineares, νas -HC-O-CH2-,31,34 hidroxilas alifáticas32) e do pico em ~1035 cm-1 (atribuído à vibraçao do grupo -O-CH2-), e a absorbância do pico tomado como referência, sao cerca de 50% maiores comparados aos valores da relaçao semelhante para esses picos nos espectros das tintas base seca e úmida curadas. Esse fato indica a influência da carga adicional (SiO2) no processo de formaçao da estrutura polimérica interpenetrante e permite sugerir que, nas tintas modificadas com AMS, o número de ligaçoes cruzadas na cadeia do polisiloxano (pico em ~1085 cm-1) e de ligaçoes éter e hidroxilas alifáticas na cadeia da resina epóxi (pico em 1014 cm-1) aumentam. Desta forma, sugere-se a formaçao de duas cadeias poliméricas entrelaçadas com um número relativamente maior de ligaçoes cruzadas nas cadeias individuais. Ao mesmo tempo, o aumento do valor da relaçao entre a absorbância do pico em ~1055 cm-1 e do pico tomado como referência, em 1509 cm-1, sugere uma maior estrutura polimérica das tintas modificadas com AMS curadas, devido ao maior teor de ligaçoes de condensaçao de grupos -CH2-OH gerados na abertura do anel epóxi, com grupos silanol gerados na pré-hidrólise do poliéter siloxano.

Análises de Termogravimetria (TG) e Calorimetria Exploratória Diferencial (DSC)

Os resultados das análises térmicas (TG e DSC) realizadas para amostras da "Tinta base seca" curada com poliamina aromática (Figura 6) evidenciam que a decomposiçao térmica ocorre em, pelo menos, quatro etapas distintas. Na primeira etapa, partindo da temperatura ambiente até 125 ºC, ocorre um processo endotérmico que pode ser atribuído à perda da água adsorvida na estrutura polimérica interpenetrante. Em uma segunda etapa, entre as temperaturas de 125 a 295 ºC, ocorre perda de massa de cerca de 8 % (m/m), que pode estar relacionada à banda larga de diminuiçao do fluxo de calor que aparece na curva DSC, indicando processo endotérmico e possível decomposiçao térmica da amostra, associada a uma reorganizaçao estrutural das cadeias poliméricas interpenetrantes.

 


Figura 6. Curvas TG e DSC para a Tinta base seca curada com a poliamina aromática (Aradur 850) em atmosfera de N2

 

Observa-se uma perda de massa adicional de cerca de 52% (m/m) na faixa de temperatura entre 295 a 480 ºC, na qual a curva DSC se caracteriza pelo aparecimento de dois picos exotérmicos de fluxo de calor (406 e 449 ºC) e, adicionalmente, no mínimo dois ombros com fluxo positivo de calor em 331 e 362 ºC, o que caracteriza eventos exotérmicos. O processo exotérmico associado ao pico em 406 ºC foi identificado como a decomposiçao térmica do poliéter siloxano utilizado em excesso estequiométrico. A presença de excesso desse componente é benéfica, pois possibilita uma posterior absorçao de quantidades residuais de umidade, mantendo a integridade estrutural do filme. Por outro lado, o processo que ocorre na faixa de 420 a 480 ºC pode estar associado à desidrataçao, pela eliminaçao de água de grupos -CH2-CH(OH)- da resina epóxi novolaca e formaçao subsequente de duplas ligaçoes.38

Para temperaturas entre 480 a 750 ºC, a perda de massa é de cerca de 15% (m/m). Nesta faixa de temperatura, a curva DTG (Figura 7), derivada primeira da curva TG, apresenta um pico em 675 ºC que pode estar relacionado a dois ombros com fluxo de calor positivo, processos exotérmicos, observados em temperaturas acima de 480 ºC. Em estruturas híbridas de siloxanos e resinas epóxi novolaca curadas com amina, notam-se picos de decomposiçao térmica em temperaturas elevadas (520 a 690 ºC) que têm sido atribuídos à decomposiçao térmica de cadeias poliméricas aprisionadas na estrutura inorgânica formada.38 Esta faixa de temperatura inclui o pico observado em 675 ºC na curva DTG da "Tinta base seca" curada com o Aradur 850, podendo, desta forma, ser associado a evento semelhante. A massa residual na temperatura de 750 ºC é de cerca de 25% da massa inicial da amostra.

 


Figura 7. Curvas TG e DTG para a Tinta base seca curada com a poliamina aromática (Aradur 850) em atmosfera de N2

 

As análises térmicas com emprego das técnicas de termogravimetria (TG) e calorimetria exploratória diferencial (DSC), em atmosfera inerte de N2, para amostras da Tinta modificada com AMS-Base úmida-2 e curadas com um catalisador ácido, evidenciam um mínimo de três etapas em seu processo de decomposiçao térmica. Na faixa de temperaturas entre 25 a 225 ºC, a perda de massa da tinta curada é praticamente nula, indicando a sua maior resistência à decomposiçao térmica em relaçao à Tinta base seca curada com Aradur. A perda de massa na faixa de temperaturas entre 225 a 388 ºC é de cerca de 33%, significativamente menor do que a perda de massa verificada nas segunda e terceira etapas, somadas, da decomposiçao térmica da Tinta base seca curada com Aradur.

A curva DSC para a tinta modificada com AMS evidencia dois picos de fluxo de calor positivo em 267 ºC e 371 ºC, além de dois ombros de fluxo de calor positivo nas temperaturas de 338 ºC e 385ºC, demonstrando a ocorrência de processos exotérmicos nessa faixa de temperatura. O pico localizado em 267 ºC pode ser associado à decomposiçao térmica com reorganizaçao estrutural nas cadeias poliméricas interpenetrantes. A perda de massa associada a este processo na tinta modificada com o AMS é menor do que 5% (m/m) quando comparada ao processo semelhante na Tinta base seca curada com Aradur 850. Esta ocorrência corrobora os resultados de FTIR que indicam um maior grau de formaçao de ligaçoes cruzadas, tanto na cadeia do poliéter siloxano quanto na cadeia polimérica da resina epóxi novolaca e, eventualmente, entre as cadeias dos dois polímeros utilizados na produçao das tintas modificadas com AMS curadas. O processo exotérmico correspondente ao pico em 371 ºC da curva DSC se associa à decomposiçao térmica do poliéter siloxano, pois a curva DSC obtida para o poliéter siloxano curado com o mesmo catalisador ácido apresenta um pico exotérmico na mesma temperatura.

A perda de massa observada para temperaturas maiores, entre 400 a 510 ºC, com um pico exotérmico observado na temperatura de 460 ºC na curva DSC da tinta, é de somente 4%. Salienta-se, conforme citado anteriormente, que o processo que ocorre nessa faixa de temperatura pode ser associado à desidrataçao, com eliminaçao de água de grupos -CH2-CH(OH)- da resina epóxi novolaca e formaçao subsequente de ligaçoes duplas.38 Com isso, observa-se que a perda de massa na Tinta modificada com AMS é muito menor do que a perda de massa atribuída à decomposiçao térmica da Tinta base seca curada com Aradur 850, o que novamente corrobora as interpretaçoes dadas aos resultados de FTIR.

Analogamente ao que se observou em temperaturas mais elevadas para a Tinta curada com o Aradur, a curva DTG da Tinta modificada com AMS também apresenta um pico em 595 ºC associado à decomposiçao térmica de cadeias poliméricas aprisionadas na estrutura inorgânica formada. A massa residual na temperatura de 750 ºC equivale a cerca de 35% da massa inicial da amostra.

Medidas de Polarizaçao Potenciodinâmicas e Espectroscopia de Impedância Eletroquímica (EIS)

As curvas de polarizaçao potenciodinâmicas obtidas para as superfícies do aço 1020 apenas jateada (Branco), e para as superfícies recobertas com a "Tinta base úmida" curada com catalisador ácido e com a "Tinta modificada com AMS-Base úmida-1" denominadas, respectivamente, de superfícies AM9 e AM11, estao apresentadas na Figura 10. Essas curvas foram obtidas a partir do potencial de circuito aberto (OCP), numa faixa de potencial 400 mV menor e maior do que o OCP, com uma velocidade de varredura de potencial de 1 mV s-1.

 


Figura 8. Curvas DSC e TG para a tinta modificada com AMS-Base úmida-2 curada com um catalisador ácido, em atmosfera de N2

 

 


Figura 9. Curvas TG e DTG para a tinta modificada com AMS-Base úmida-2 curada com um catalisador ácido, em atmosfera de N2

 

 


Figura 10. Curvas de polarizaçao potenciodinâmica obtidas para as superfícies de aço carbono 1020 apenas jateada (Branco) e para as superfícies recobertas com a "Tinta base úmida" curada com catalisador ácido (AM9) e com a "Tinta modificada com AMS-Base úmida-1" (AM11) em soluçao de NaCl 0,5 mol L-1

 

As superfícies recobertas com as tintas desenvolvidas neste estudo apresentaram potenciais de corrosao (Ecorr) muito mais nobres (mais positivos) e densidades de corrente de corrosao (Jcorr) muito menores do que a superfície do aço carbono sem qualquer tipo de proteçao. A Tabela 1 apresenta os parâmetros eletroquímicos obtidos a partir das curvas de polarizaçao potenciodinâmica apresentadas na Figura 10.

 

 

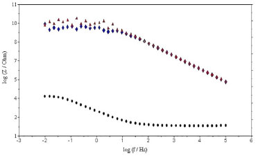
Os resultados de impedância eletroquímica foram obtidos sobrepondo ao potencial de circuito aberto uma perturbaçao senoidal, com uma amplitude de 5 mV, numa faixa de frequência compreendida entre 105 e 10-2 Hz. Nesta condiçao de perturbaçao, os resultados obtidos apresentaram uma flutuaçao significativa, o que costuma ser observado para superfícies recobertas com filmes que apresentam uma impedância muito elevada. Nesses casos, a corrente elétrica que passa através da interface superfície recoberta/soluçao eletrolítica é muito baixa, o que pode provocar flutuaçoes nos resultados medidos.22 Os diagramas de Bode (gráfico de log |Z/Ohm| versus log (f/Hz)) obtidos para as superfícies do aço 1020 recobertas com duas das tintas desenvolvidas (Figura 11) sao caracterizados por uma reta com inclinaçao próxima de -1, na regiao de frequência que varia entre 100-0,01 kHz, e por uma reta horizontal na faixa de 0,01kHz a 0,01Hz, em que o valor constante de impedância pode ser tomado como uma medida da resistência dos filmes que recobrem as superfícies.22,23

 


Figura 11. Gráfico de Bode para as amostras: Branco (●), AM 9 () e AM 11 (▲) expostas à soluçao de NaCl 0,5 mol L-1

 

O valor de impedância, correspondente às retas observadas em regioes de baixas frequências nos diagramas de Bode, foi igual a 104 Ohm cm2 para a superfície sem recobrimento, e de ~1010 Ohm cm2 para as superfícies AM9 e AM11. Os filmes das tintas desenvolvidas neste estudo apresentaram resistência uma ordem de grandeza maior quando comparadas a filmes de resinas epóxi modificadas com siloxanos em trabalhos disponíveis na literatura.39

As superfícies AM9 e AM11 foram submetidas a ensaios de imersao, de acordo com as Normas ASTM D1308-0240 e ASTM D6943-03,41 em soluçao alcalina contendo 0,1 mol L-1 de NaOH, em soluçao ácida contendo 0,1 mol L-1 de H2SO4 e em soluçao salina contendo 5% (m/m) de NaCl, todas na temperatura ambiente, em água destilada, sem agitaçao, por 1600 h. As superfícies nao apresentaram alteraçoes nos ensaios de imersao em meio ácido, alcalino e salino, indicando a resistência das tintas a meios ácidos e a meios alcalinos. Nos ensaios de imersao em água destilada a 30 ºC, as superfícies denominadas AM9 apresentaram um leve amarelamento após 672 h, indicando que, nesta temperatura e com exposiçao constante à água, a "Tinta base úmida" perde um pouco as suas propriedades de cor. Também, micrografias ópticas das superfícies nao revelaram sinais de processo de corrosao após o período de imersao. Esta observaçao confirma a eficiência de proteçao contra corrosao para o aço 1020, detectada nos resultados dos ensaios de corrosao apresentados.

Por outro lado, ampliando-se a escala de produçao das tintas desenvolvidas para um processo de planta piloto, o uso do catalisador ácido na pré-hidrólise da mistura da resina epóxi com o poliéter siloxano acarretou resultados menos satisfatórios em relaçao à mistura e à qualidade do filme formado, apresentando pontos nao enrijecidos que caracterizam ausência de reaçao (polimerizaçao). Esse fato pode ser observado pela presença de ondulaçao em regioes de um determinado corpo de prova metálico onde o filme aplicado nao curou. Com isso, na ampliaçao da escala de processo para produçao em planta piloto, opta-se por utilizar uma poliamina aromática (Aradur 850) como agente de cura, devido ao fato de que as aminas sao extremamente reativas, especialmente com resinas epóxi, produzindo filmes que tendem a proporcionar uma maior resistência químicas a diversas espécies consideradas quimicamente agressivas. Essa soluçao traz como vantagem a caracterizaçao do produto obtido como uma tinta epóxi bi-componente de uso comercial.

 

CONCLUSOES

Os espectros FTIR da mistura da resina epóxi novolaca EPN1179 com o poliéter siloxano, submetida à pré-hidrólise catalisada por ácido, e das tintas base seca e base úmida, curadas e nao curadas, permitem concluir que ocorre a abertura parcial de anéis epóxi e o crescimento da cadeia polimérica da resina epóxi novolaca através de reaçao de homopolimerizaçao, na qual um grupo C-OH do glicol, produzido na reaçao de adiçao de uma molécula de água a um anel epóxi protonado, liga-se a outro anel epóxi protonado, formando um éter de cadeia maior. Também há indícios de ocorrência da reaçao de condensaçao entre grupos silanóis (Si-OH) gerados na pré-hidrólise do poliéter siloxano e/ou entre estes e grupos -CH2-OH dos glicóis produzido na reaçao de homolimerizaçao da resina epóxi. Os indícios de formaçao de ligaçoes cruzadas entre os grupos -Si-OH e os grupos nas estruturas poliméricas formadas sao ainda mais fortes nos espectros FTIR das tintas curadas. No caso das tintas modificadas com AMS-Base seca e Base úmida-2, nao curadas e curadas, contendo SiO2 como carga adicional, o número de ligaçoes cruzadas formadas dentro da cadeia do polisiloxano e o de ligaçoes éter e de hidroxilas alifáticas na cadeia da resina epóxi é maior do que nas tintas base seca e base úmida curadas.

O comportamento térmico da "Tinta base seca" curada com a poliamina aromática evidencia a presença em excesso do poliéter siloxano na tinta preparada. Esse excesso é benéfico por sua capacidade de absorver quantidades residuais de umidade mantendo a integridade estrutural do revestimento. A "Tinta modificada com AMS-Base úmida-2" e curada com um catalisador ácido apresenta maior resistência à decomposiçao térmica do que a "Tinta base seca" curada com Aradur, fato que reforça os resultados de FTIR que apontam para um maior teor de ligaçoes cruzadas nas cadeias do poliéter siloxano e da resina epóxi novolaca e, eventualmente, entre as cadeias dos dois polímeros utilizados na produçao das Tintas modificadas com AMS curadas.

Superfícies do aço 1020 recobertas com as tintas desenvolvidas neste estudo apresentaram potenciais de corrosao (Ecorr) muito mais nobres (mais positivos) e densidades de corrente de corrosao (Jcorr) muito menores (10-8 mA cm-2) do que a superfície do aço carbono sem qualquer proteçao tipo de proteçao (10-2 mA cm-2). O valor significativamente menor de densidades de corrente de corrosao das superfícies recobertas com as tintas se deve à resistência elevada apresentada pelo filme de tinta recobrindo as superfícies (cerca de 1010 Ohm cm2), o que evidencia a maior resistência dos filmes das tintas desenvolvidas neste trabalho em comparaçao aos filmes de resinas epóxi modificadas com siloxanos nos trabalhos disponíveis na literatura.

Além disso, com a inclusao de uma poliamina aromática como agente de cura no processo em escala piloto de produçao da tinta desenvolvida, o processo de cura foi aprimorado com a vantagem de o produto obtido se caracterizar, desta forma, como uma tinta epóxi bi-componente de uso comercial.

 

AGRADECIMENTOS

A Agência Nacional de Energia Elétrica (ANEEL) e à Électricité de France (EDF) pelo financiamento do projeto.

 

REFERENCIAS

1. Gu, H.; Ma, C.; Gu, J.; Guo, J.; Yan, X.; Huang, J.; Zhang, Q.; Guo, Z.; J. Mater. Chem. C 2016, 4, 5890.

2. Velan, T. V. T.; Bilal, I. M.; Def. Sci. J. 2002, 5, 87.

3. Liu, P.; Song, J.; He, L.; Liang, X.; Ding, H.; Li, Q.; Eur. Polym. J. 2008, 44, 940.

4. Velan, T.V.T.; Bilal, I.M.; Bull. Mater. Sci. 2000, 3, 425.

5. Alagar, M.; Kumar, A. A.; Mahesh, K. P. O.; Dinakaran, K.; Eur. Polym. J. 2000, 36, 2449.

6. Ahmada, S.; Gupta, A. P.; Sharmin, E.; Alama, M.; Pandey, S. K.; Prog. Org. Coat. 2005, 54, 248.

7. Dean, K.; Cook, W. D.; Zipper, M. D.; Burchill, P.; Polymer 2001, 42, 1345.

8. Park, S. J.; Seo, M. K.; Lee, J. R.; J. Polym. Sci., Part A: Polym. Chem. 2000, 38, 2945.

9. Guo, B.; Jia, D.; Fu, W.; Qiu, Q.; Polym. Degrad. Stab. 2003, 79, 521.dd

10. Jin, F.-L.; Li, X.; Park, S.-J.; J. Ind. Eng. Chem. 2015, 29, 1.

11. Jeon, H. R.; Park, J. H.; Shon, M. Y.; J. Ind. Eng. Chem. 2013, 19, 849.

12. Das, G.; Kalita, R. D.; Deka, H.; Buragohain, A. K.; Karak, N.; Prog. Org. Coat. 2013, 76, 1103.

13. Kumar, K. S. S.; Biju, R.; Nair, C. P. R.; React. Funct. Polym. 2013, 73, 421.

14. Ji, W.-G.; Hu, J.-M.; Zhang, J.-Q.; Cao, C.-N.; Corros. Sci. 2006, 48, 3731.

15. Ashok, K. A.; Alagar, M.; Rao, R. M. V. G. K.; Polymer 2002, 43, 693.

16. Devroey, D. R. E.; Homma, M.; Int. J. Adhes. Adhes. 2001, 21, 275.

17. Kumar, A. S.; Denchev, Z.; Alagar, M.; Eur. Polym. J. 2006, 42, 2419.

18. Kumar, A. S.; Sankara, T. S. N. N.; Prog. Org. Coat. 2002, 45, 323.

19. Kumar, A. S.; Balakrishnan, T.; Alagar, M.; Denchev, Z.; Prog. Org. Coat. 2006, 55, 207.

20. Farhadyar, N.; Rahimi A.; Langroudi, A. E.; Iran. Polym. J. 2005, 14, 155.

21. Peña-Alonso, R.; Rubio, F.; Rubio, J.; Oteo J. L.; J. Mat. Sci. 2007, 42, 595.

22. Frutuoso, A. G.; Rocco, J. A. F. F.; Oliveira, M. A. S.; Oliveira Junior, R. P.; INPI-PI 1.000.358-4 A2, 2011.

23. Oliveira, M. A. S.; Oliveira Junior, R. P.; Frutuoso, A.G.; Rocco, Relatório de projeto TMU pesquisa básica ANEEL, 2010.

24. Sassi, N.; Bureau, J. C.; Bakkali, A.; Vib. Spectrosc. 2002, 28, 299.

25. Murthy, S.K.; Gleason, K. K.; Macromolecules 2002, 35, 1967.

26. Ahmad, Z.; Al Sagheer, F.; Al Arbash, A.; Ali, A.A.M.; J. Non-Cryst. Solids 2009, 355, 507.

27. Nocun, M.; Sowulski, S.; Leja, E.; Jedlinski, J.; Opt. Mater. 2005, 27, 1523.

28. Manocha, S. M.; Vashistha, D. Y.; Manocha, L. M.; J. Mater. Sci. Lett. 1997, 16, 705.

29. Fidalgo, A.; Ilharco, L. M.; J. Non-Cryst. Solids 2001, 283, 144.

30. Pan, G.; Du, Z.; Zhang, C.; Li, C.; Yang, X.; Li, H.; Polymer 2007, 48, 3686.

31. Cherian, A. B.; Alen L. V.; Thachil, E. T.; Eur. Polym. J. 2007, 43, 1460.

32. Poljanšek, I.; Krajnc, M.; Acta Chim. 2005, 52, 238.

33. Karayannidou, E. G.; Achilias, D. S.; Sideridou, I. D.; Eur. Polym. J. 2006, 42, 3311.

34. Ramírez, C.; Rico, M.; Torres, A.; Barral, L.; López, J.; Montero, B.; Eur. Polym. J. 2008, 44, 3035.

35. Manocha, S. M.; Vashistha, D. Y.; Manocha, L. M.; J. Sol-Gel Sci. Technol. 1999, 16, 221.

36. Manocha, L. M.; Yasuda, E.; Tanabe, Y.; Manocha, S.; Vashistha, D.; Bull. Mater. Sci. 2000, 23, 1.

37. Thompson, W. R.; Ho, M. C. M.; Pemberton, J. E.; Langmuir 1997, 13, 2291.

38. Ivnkovic, M.; Brnardic, I.; Ivankovic, H.; Huskic, M.; Gajovic, A.; Polymer 2009, 50, 2544.

39. Akbarinezhad, E.; Rezaei, F.; Neshati, J.; Prog. Org. Coat. 2008, 61, 45.

40. ASTM D1308-02, Effect of household chemicals on clear and pigmented organic finishes, ASTM International Standart, West Conshohocken, PA, 2007.

41. ASTM D6943-03, Immersion testing of industrial protective coatings, ASTM International Standart, West Conshohocken, PA, 2003.

On-line version ISSN 1678-7064 Printed version ISSN 0100-4042
Qu�mica Nova
Publica��es da Sociedade Brasileira de Qu�mica
Caixa Postal: 26037 05513-970 S�o Paulo - SP
Tel/Fax: +55.11.3032.2299/+55.11.3814.3602
Free access

GN1