JBCS



12:02, sáb out 25

Acesso Aberto/TP



Artigo


Triterpenoides, fenólicos e efeito fitotóxico das folhas de Eugenia flavescens DC (Myrtaceae)
Triterpenoids, phenolics and phytotoxic effects from Eugenia flavescens DC (Myrtaceae) leaves

Antonio J. Cantanhede Filho1,*,#; Lourivaldo S. Santos1; Giselle M. S. P. Guilhon1; Maria das Graças B. Zoghbi2; Pollyane S. Ports3; Iris C. S. Rodrigues2

1. Instituto de Ciências Exatas e Naturais, Universidade Federal do Pará, 66075-110 Belém - PA, Brasil
2. Museu Paraense Emílio Goeldi, 65077-830 Belém - PA, Brasil
3. Faculdade de Engenharia de Alimentos, Instituto de Química, Universidade Estadual de Campinas, 13083-862 Campinas - SP, Brasil

Recebido em 19/07/2016
Aceito em 07/11/2016
Publicado na web em 25/11/2016

Endereço para correspondência

*e-mail: prof.antoniofilho@ifma.edu.br
#Endereço atual: Departamento Acadêmico de Química, Instituto Federal de Educação Ciência e Tecnologia do Maranhão, 65030-005 São Luís - MA, Brasil

RESUMO

This research deals with the chemical study and evaluation of the phytotoxic effects of the methanol extract of E. flavescens leaves. The compounds were isolated using classic chromatographic techniques and the identification of the phenolic profile was proposed from the HPLC/DAD/MS-MS data. Structure elucidation of the compounds was performed by 1H and 13C (1D e 2D) NMR techniques and HRMS. The chemical study led to the isolation of betulinic acid (1) and lupeol (2), identified in mixture quercitrin (3) and catechin (4) beyond myricetrin (5) in mixture with (3). In addition, several phenolic compounds were identified, among them, flavonoids and phenolic acids. For bioassays phytotoxic effect were used as test plants two invasive species, M. pudica and S. obtusifolia. The methanol extract showed significant seed germination inhibition. The triterpenoid 1 showed low inhibition effects on seed germination and moderate effects on radicle and hypocotyl growth. The mixture of flavonoids 3/4 showed effective phytotoxic effects, inhibiting 92,1% of the seed germination of M. pudica and 63,0% of S. obtusifolia. Inhibitions of 72,5% and 76,1% of M. pudica radicle and hypocotyl growths were observed, respectively, and 74,5% and 78,0% of S. obtusifolia for the same bioassays, respectively.

Palavras-chave: flavonols; catechin; phenolic acids; invasive species.

INTRODUÇAO

A familia Myrtaceae é nativa de regioes tropicais, principalmente América do Sul, Sudeste da Asia e Austrália, compreende 132 gêneros e 4.620 espécies, sendo que no Brasil há 48 gêneros e mais de 900 espécies.1 Dentre os inúmeros gêneros pertencentes a essa família, destaca-se o gênero Eugenia que possui cerca de 500 espécies distribuídas, principalmente em regioes tropicais e subtropicais da América, em regioes tropicais da Asia e algumas espécies ocorrendo na Austrália e na Africa.2 As espécies pertencentes a esse gênero possuem frutos comestíveis e apresentam atividade anti-inflamatória, analgésica, antipirética e antifúngica.3,4

Na literatura, nao há trabalhos sobre a composiçao química de Eugenia flavescens. O óleo essencial das folhas possui como constituintes químicos majoritários os sesquiterpenos α-cis-bisaboleno e β-bisaboleno.5

Na busca de bioherbicidas, a espécie E. flavescens foi selecionada para estudo químico e avaliaçao do potencial fitotóxico associado sobretudo à inibiçao da germinaçao de sementes, do crescimento da radícula e do hipocótilo frente a duas espécies de plantas invasoras de pastagens, Mimosa pudica (malícia) e Senna obtusifolia (mata-pasto).

As plantas daninhas, espécies infestantes ou invasoras, que trazem prejuízo às culturas, sao um dos fatores mais importantes a impor limitaçoes ao desenvolvimento da atividade agrícola no mundo.6 Os efeitos tóxicos dos herbicidas comerciais conhecidos na saúde humana vao desde náuseas e vômitos até alguns tipos de cânceres. Quanto ao meio ambiente, os herbicidas podem acumular-se na biota ou contaminar a água e o solo, podendo levar ao desequilíbrio ecológico.7 Embora nao se possa descartar o uso de herbicidas sintéticos completamente, um manejo utilizando potencialidades fitotóxicas pode reduzir seu uso até um ponto que nao prejudique a produçao agrícola e traga menos danos ao meio ambiente.8

 

PARTE EXPERIMENTAL

Procedimentos experimentais gerais

Obtençao do material vegetal e preparaçao das fases orgânicas

As folhas de Eugenia flavescens DC. foram coletadas na praia da Murieta, Reserva Extrativista da Marinha, no município de Maracana, Pará. A identificaçao foi feita pelo botâncio Luis Carlos Lobato no herbário do Museu Paraense Emilio Goeldi, (Belém - PA), onde uma exsicata foi depositada sob o registo MG 196794.

As folhas (5,0 kg), após secagem durante uma semana em ambiente com baixa umidade, foram moídas em moinho de facas e extraídas por maceraçao durante uma semana com metanol. A soluçao resultante foi concentrada sob vácuo fornecendo 56,9 g de extrato bruto metanólico (EBM). Parte do EBM (32,8 g) foi solubilizado em metanol-água destilada (MeOH/H2O 70%) e particionado com hexano, diclorometano, acetato de etila e n-butanol. As soluçoes de cada fase foram concentradas sob vácuo.

Isolamento e purificaçao

As fases orgânicas, com exceçao da fase n-butanol (2,3 g), foram submetidas, separadamente, à cromatografia em coluna (CC) em sílica (70 -230 mesh) utilizando como eluentes misturas de hexano e acetato de etila e acetato de etila e metanol em ordem crescente de polaridade. Sucessivos procedimentos semelhantes ao anterior foram usados na purificaçao de algumas fraçoes. As fraçoes mais polares foram purificadas por CC utilizando-se como fase estacionária Sephadex LH-20 e metanol como eluente. As fraçoes foram analisadas por cromatografia em camada delgada analítica (CCDA) em cromatoplacas de gel de sílica 60 F254 sobre alumínio utilizando-se como revelador uma soluçao ácida de sulfato cérico, seguida de aquecimento.

O fracionamento da fase hexânica (3,8 g) originou 28 fraçoes. Das fraçoes 22-25 eluídas com uma mistura de hexano e acetato de etila (Hex-AcOEt 6:4), após precipitaçao e lavagem com uma mistura de hexano (Hex) e diclorometano (DCM) Hex-DCM 1:1 à baixa temperatura, foi obtida a substância 1 (25 mg). A fase diclorometânica (4,3 g) originou 40 fraçoes. A fraçao 8 eluída com (Hex-AcOEt 8:2), após precipitaçao e lavagem com a mistura de (Hex-DCM 1:1) à baixa temperatura, forneceu uma quantidade adicional da substância 1 (90 mg), e as fraçoes de 10-20 eluídas com (Hex-AcOEt 6:4), após o mesmo procedimento, forneceram a substância 2 (5 mg).

As fraçoes 6 e 7 (FA 6 e FA 7, 220 mg) resultantes do fracionamento inicial por CC em sílica da fase em acetato de etila (5,7 g), eluiçao com AcOEt, foram reunidas e submetidas a CC utilizando Sephadex LH-20 como fase estacionária, resultando em 40 fraçoes (designadas fraçoes Spx). A fraçao Spx 18 foi identificada como uma mistura das substâncias 3 e 4 (22 mg) e a fraçao Spx 27, uma mistura das substâncias 3 e 5 (28 mg). As fraçoes Spx 11, Spx 14, Spx 21 e Spx 37 foram selecionadas, juntamente com as fraçoes FA 8 (eluída com AcOEt-MeOH 95:5) e FA 12 (eluída com AcOEt-MeOH 9:1), da fase em acetato de etila para verificaçao do perfil de compostos fenólicos presentes, em que foi possível identificar as substâncias 4 e 6 a 13.

Análise por RMN e EMAR

Os espectros de RMN de 1H e de 13C (1D e 2D) do ácido betulínico (1), lupeol (2) e das misturas de quercitrina (3) com catequina (4), quercitrina (3) com miricitrina (5) foram obtidos em espectrômetro Varian, modelo MERCURY-300 (300 MHz para 1H e 75 MHz para 13C), em C5D5N (1) e CD3OD (2-5) como solventes. Os deslocamentos químicos (δ) foram registrados em ppm com base na referência interna o sinal do TMS. Os dados obtidos foram comparados com os dados da literatura. Para confirmaçao da identificaçao das misturas (3/4) e (3/5) também foi utilizado EMAR em espectrômetro Waters Xevo G2-S Qtof/Tof.

Perfil de fenólicos por CLAE/DAD/EM-EM

A análise do perfil das fraçoes em acetato de etila foi realizada empregando-se um cromatógrafo líquido de alta eficiência, da marca Thermo, com injetor automático, alça de amostragem de 20 µL e bomba quaternária, acoplado a um detector de arranjo de diodos (DAD) e um espectrômetro de massas equipado com fonte de ionizaçao por electrospray (ESI) e analisador de massas Ion-Trap. O equipamento foi operado à temperatura ambiente (25 ± 2°C) e os dados cromatográficos foram obtidos e processados pelo software Xcalibur. A coluna cromatográfica utilizada foi do tipo fase reversa, C18 (150 x 2.1 mm) e tamanho de partícula de 1,9 µm (Thermo, hypersil gold). O método cromatográfico foi baseado naquele descrito por Novakova et al.,9 com pequenas modificaçoes. A fase móvel constituiu de soluçao aquosa ácido fórmico a 0,1% (A) e acetonitrila (B). O gradiente de eluiçao iniciou-se na proporçao 95:5 em um fluxo de 0,32 mL min-1. A concentraçao de "A" decresceu para a condiçao 50:50 e para isto gastou-se o tempo de 5 minutos, a partir dos 6 minutos voltou gradativamente para a condiçao inicial 95:5, o que demorou o tempo de 20 minutos, e permaneceu nesta condiçao por mais 2 minutos para que as condiçoes iniciais fossem restabelecidas. A detecçao dos compostos foi realizada utilizando detector DAD (operando a 210, 260, 300 e 325 nm) e um espectrômetro de massas com uma fonte de electrospray operando no modo negativo (temperatura do capilar 350 ºC, voltagem capilar de 2,5 kV, tensao do cone de 5 kv). Gás hélio (He) foi utilizado como gás de colisao e o nitrogênio (N2) foi usado como gás nebulizador 70 (unidade arbitraria). Para a identificaçao dos compostos presentes nas amostras foram utilizados o tempo de retençao, os espectros de absorçao e a co-cromatografia comparando com os dos padroes e espectro de massas, que auxiliou na confirmaçao da estrutura química dos compostos.

Metodologia dos bioensaios

Os bioensaios para avaliaçao dos efeitos fitotóxicos foram realizados de acordo com metodologias descritas na literatura.10-12 Os testes foram realizados com as fases orgânicas e com as substâncias ácido betulinico (1), quercitrina e catequina em mistura (3/4).

Plantas receptoras

As sementes das plantas receptoras, M. pudica e S. obtusifolia, foram coletadas na área de produtores do município de Castanhal (PA), passaram por processo de limpeza e foram tratadas para a quebra de dormência, em imersao em ácido sulfurico (H2SO4). PA, por 15 minutos (malícia) e 20 minutos (mata-pasto), posteriormente foram lavadas em água corrente por 10 minutos e secas à temperatura ambiente.13

Germinaçao

Foi utilizada câmara de germinaçao BOD, com temperatura constante de 25 ºC e fotoperíodo de 12 horas. Cada placa de Petri de 9,0 cm de diâmetro, forrada com papel de filtro qualitativo, recebeu 3 mL da soluçao a ser testada, fases orgânicas a 1% (m/v), o ácido betulínico (1) nas concentrçoes de 200, 400, 600 e 800 ppm e a mistura de flavonoides quercitrina e catequina (3/5) nas concentraçoes de 50, 75, 100 e 150 ppm, todas em triplicata. Após evaporaçao do solvente o papel de filtro foi umedecido com uma soluçao aquosa de fungicida (micostatim - 1%), em seguida foram colocadas 20 sementes das plantas receptoras. As testemunhas receberam apenas a soluçao fungicida aquosa. Foi considerada semente germinada aquela que apresentava extensao radicular igual ou superior a 2,0 mm. A germinaçao das sementes foi monitorada em períodos de 4 dias, sendo que 24 horas após a montagem do experimento foi realizada a primeira contagem de germinaçao, com contagens diárias e eliminaçao das sementes germinadas. Para o cálculo do percentual de inibiçao da germinaçao (I) utilizou-se a Equaçao 1.10-14

Em que SGamostra é o número de sementes germinadas e SGcontrole é o número de sementes germinadas na amostra controle.

Desenvolvimento da radícula e do hipocótilo

A avaliaçao do crescimento de plântulas foi desenvolvida utilizando-se as mesmas condiçoes usadas para a germinaçao de sementes. Para cada concentraçao foram colocadas seis sementes pré-germinadas de S. obtusifolia e M. pudica, com três dias de germinaçao. Ao final do período de 10 dias de crescimento, mediu-se o comprimento da radícula e do hipocótilo. Para o cálculo do percentual de inibiçao de crescimento (IC) da radícula e do hipocótilo, utilizou-se a Equaçao 2.14,15

Em que CECamostra é o comprimento (cm) da radícula ou do hipocótilo e CECcontrole o comprimento (cm) da radícula ou do hipocótilo na amostra controle.

Análise de dados

O delineamento experimental foi inteiramente casualizado, com três repetiçoes, para verificaçao dos efeitos biológicos. Os gráficos de barras e de linha de tendência foram feitos no software Excel (Office-2013), assim como as equaçoes quadráticas das curvas, que, por sua vez, foram utilizadas para o cálculo do IC50.

 

RESULTADOS E DISCUSSAO

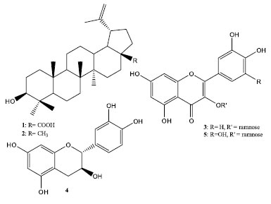
As substâncias obtidas do extrato metanólico das folhas de E. flavescens foram identificadas como ácido betulínico (1) e lupeol (2), além da identificaçao das substâncias em mistura quercitrina (3) e catequina (4) e miricitrina 5. As estruturas das substâncias 1 - 5 encontram-se na Figura 1.

 


Figura 1. Substâncias identificadas nas folhas de E. flavescens

 

Substância 1: RMN de 1H (C5D5N, 300 MHz), δ ppm, (mult.; J em Hz; H): 0,82 (m; H-5), 0,83 (s; H-25), 1,03 (s; H-24), 1,08 (s; H-26), 1,09 (s; H-27), 1,25 (s; H-23), 1,24 (m; H-12α/H-11β, H-15α), 1,37 (m; H-9/H-7β, H-6β), 1,41 (m; H-7α), 1,54 (m; H-21α, H-16α), 1,56 (m; H-6α), 1,58 (m; H-22α), 1,78 (m; H-18), 1,81 (s; H-30), 1,87 (m; H-2), 1,88 (m; H-15β), 1,94 (m; H-12β), 2,25 (m; H-22β), 2,62 (m; H-16β), 2,75 (m; H-13), 3,48 (dd; 9,0 e 1,8; H-3), 3,54 (m; H-19), 4,79 (d; 2,4; H-29β), 4,96 (d; 2,4; H-29α). RMN de 13C (C5D5N, 75 MHz) δ ppm: 15,1 (C-27), 16,5 (C-24), 16,6 (C-25/C-26), 18,9 (C-6), 19,6 (C-30), 21,4 (C-11), 26,3 (C-12), 28,4 (C-2), 28,8 (C-23), 30,4 (C-15), 31,4 (C-21), 33,0 (C-16), 35,0 (C-7), 37,7, 37,8 (H-22), (C-10), 38,9 (C-13), 39,5 (C-1), 39,7 (C-4), 41,3 (C-8), 43,0 (C-14), 47,9 (C-19), 49,9 (C-18), 51,1 (C-9), 56,1 (H-5), 56,8 (C-17), 78,3 (C-3), 110,1 (C-28), 151,5 (C-20), 179,0 (C-29). Esses dados estao de acordo com os encontrados na literatura para o ácido betulínico.16

Substância 2: RMN de 1H (CD3OD, 300 MHz) δ ppm (mult.; J em Hz; H): 0,74 (s; H-23), 0,84 (s; H-24), 0,94 (s; H-25), 0,95 (s; H-26), 0,99 (s; H-27), 1,00 (s; H-28), 1,68 (s; H-30), 3,17 (dd; 11,1 e 5,4; H-3), 4,58 (dd; 3,6 e 1,8; H-29α), 4,70 (dl; H-29β). RMN de 13C (CD3OD, 75 MHz) δ ppm: 15,0 (C-27), 16,1 (C-24), 16,6 (C-26), 16,7 (C-25), 18,4 (C-28), 19,4 (C-30), 19,5 (C-6), 22,0 (C-11), 26,8 (C-12), 28,0 (C-15), 28,6 (C-2), 30,8 (28,0), 31,6 (C-21), 33,3 (C-7), 35,5 (C-16), 38,1 (C-10) 38,3 (C-13), 39,6 (C-22), 39,9 (C-8), 40,0 (C-4), 41,8 (C-5), 43,2 (C-14), 44,0 (C-17), 48,1 (C-19), 49,8 (C-18), 50,9 (C-9), 79,6 (C-3), 110,1 (C-29), 152,0 (C-20). Esses dados estao de acordo com os encontrados na literatura para o lupeol.17

Substância 3: F.M. C21H20O11, m/z 447,0852 [M-H]-, RMN de 1H (CD3OD, 300 MHz) δ ppm (mult.; J em Hz; H): 0,93 (d; 6,0; H-6"), 3,36-3,43 (m; H-5"), 3,34 (d; 9,3; H-4"), 3,73 (dd; 9,0 e 3,3; H-3"), 4,20 (dd; 3,3 e 1,5; H-2"), 5,34 (d; 1,5; H-1"), 6,19 (d; 2,1; H-6), 6,36 (d; 2,1; H-8), 6,90 (d; 8,1; H-5'), 7,28 (dd; 8,1 e 2,1; H-6'), 7,32 (d, 2,1; H-2'). RMN de 13C (CD3OD, 75 MHz) δ ppm: 17,6 (C-6"), 71,8 (C-2"), 72,0 (C-3"), 72,1 (C-5"), 73,2 (C-4"), 94,7 (C-8), 99,8 (C-6), 103,5 (C-1"), 105,8 (C-10), 116,3 (C-5'), 116,9 (C-2'), 122,8 (C-1'), 136,2 (C-3), 146,4 (C-3'), 149,7 (C-4'), 158,5 (C-9), 159,3 (C-2), 163,1 (C-5), 165,8 (C-7), 179,6 (C-4). Esses dados estao de acordo com os encontrados na literatura para a quercitrina.18

Substância 4: F.M. C15H14O6, m/z 289,0664 [M-H]-, RMN de 1H (CD3OD, 300 MHz) δ ppm (mult.; J em Hz; H): 2,49 (dd; 16,1 Hz e 8,4 Hz; H-4ax), 2,85 (dd; 16,5 e 8,4; H-4eq), 3,97 (m; H-3), 4,55 (d; 7,5; H-2), 5,85 (d; 2,4 Hz; H-6), 5,92 (d; 2,4; H-8), 6,72 (dd; 7,8 e 1,8; H-6'), 6,74 (d; 7,8; H-5'), 6,82 (d, 1,8; H-2'). RMN de 13C (CD3OD, 75 MHz) δ ppm: 28,4 (C-4), 68,7 (C-3), 82,8 (C-2), 95,5 (C-8), 96,3 (C-6), 100,8 (C-10), 115,2 (C-2'), 116,0 (C-5'), 120,0 (C-6'), 132,2 (C-1'), 146,2 (C-3'), 146,2 (C-4'), 156,8 (C-9), 157,5 (C-5), 157,8 (C-7). Esses dados estao de acordo com os encontrados na literatura para a catequina.19,20

Substância 5: F.M C21H20O12, m/z 463,0800 [M-H]-, RMN de 1H (CD3OD, 300 MHz) δ ppm (mult.; J em Hz; H): 0,99 (d; 6,0; H-6"), 3,45 (sl; H-4"), 3,54 (d; 2,4; H-5"), 3,65 (sl; H-3"); 4,46 (d; 1,8; H-2"), 5,38 (d; 1,8; H-1"), 6,21 (d; 2,1; H-6), 6,37 (d; 2,1; H-8), 7,06 (s; H-2', H-6'). RMN de 13C (CD3OD, 75 MHz) δ ppm: 17,7 (C-6"), 71,5 (C-2"), 72,2 (C-5"), 72,3 (C-3"), 73,4 (C-4"), 94,7 (C-8), 99,8 (C-6), 103,5 (C-1"), 106,1 (C-10), 110,4 (C-2'), 110,5 (C-4'), 121,7 (C-1'), 136,2 (C-3), 146,4 (C-2', C-5'), 158,5 (C-9), 159,3 (C-2), 163,2 (C-5), 165,9 (C-7), 179,5 (C-4). Esses dados estao de acordo com os encontrados na literatura para a miricitrina.21

Identificaçao dos compostos fenólicos por CLAE/DAD/EM-EM

Na Tabela 1 encontram-se listados os compostos identificados nas fraçoes (FA 8 e FA 12) e subfraçoes (Spx 11, Spx 14, Spx 21 e Spx 37) da fase em acetato de etila do extrato metanólico das folhas de E. flavescens por CLAE acoplada à espectrometria de massas (CLAE/DAD/EM-EM). De acordo com os dados da Tabela 1, pode-se observar que a espécie é uma importante fonte de flavonois, catequinas e ácidos orgânicos. O ácido protocatecuico (6) e o ácido gálico (7) estao presentes na maioria das fraçoes da fase em acetato de etila analisadas, uma vez que as fraçoes Spx vieram das fraçoes FA 6 e FA 7.

 

 

A identificaçao do ácido protocatecuico na fraçao FA 8 foi realizada com base no pico do cromatograma com tempo de retençao em 4,50 minutos, sendo que o espectro de massas correspondente a esse pico forneceu a massa do respectivo íon molecular desprotonado m/z 153 [M - H]- e fragmento filho m/z 109, que foram comparados com o padrao, juntamente com dados da literatura.22 Pode ser visualizado nos cromatogramas das amostras analisadas, na Figura 2, que houve uma variabilidade nos compostos encontrados. Esta diferença na composiçao provavelmente pode estar relacionada com a polaridade do eluente utilizado durante o fracionamento e ao tipo de cromatografia empregada.

 


Figura 2. Cromatogramas das fraçoes FA 8, FA 12, Spx 11, Spx 14, Spx 21 e Spx 37

 

Para fraçao FA 12 foram analisados os espectros de massas e as fragmentaçoes (m/z) dos respectivos íons moleculares desprotonados [M - H]- e fragmentos MS2 dos picos com tempos de retençao 3,80; 14,58; 15,32 e 17,99 minutos, o que levou à identificaçao, por comparaçao com o padrao e dados da literatura, dos: ácido gálico (7), rutina (8), miricetina (9), quercetina (10) e canferol (11).22-24

Nos espectros da fraçao Spx 11, foram observados os picos dos íons moleculares e seus respectivos fragmentos filhos, das substâncias 7 (ácido gálico), 9 (miricetina), 10 (quercetina) e 11 (canferol), também encontrados na fraçao FA 12. Além dessas substâncias, o pico no cromatograma com tempo de retençao em 4,07 minutos apresentou no espectro de massas o pico do íon molecular m/z 353 [M - H]- e os fragmentos filhos m/z 191 e m/z 179. Com base nesses dados, foi possível identificar o ácido clorogênico (12) por comparaçao com o padrao, juntamente com dados da literatura.25

Os espectros das fraçoes Spx 14 e Spx 21 mostram perfis cromatográficos semelhantes, o que pode ser observado nos cromatogramas na Figura 2. Novamente foram identificados compostos fenólicos semelhantes aos presentes nas fraçoes FA 12 e Spx 11, diferindo apenas pela presença da catequina (4), que foi identificada por apresentar um pico no espectro com tempo de retençao em 4,53 minutos, correspondente no espectro de massas ao pico do íon molecular m/z 289 [M - H]- e os fragmentos filhos m/z 245, m/z 205 e m/z 179. A comparaçao do tempo de retençao e o respectivo espectro de massas com o padrao, juntamente com dados da literatura, permitiu a identificaçao da catequina nessas duas fraçoes.26 Após análise do cromatograma da fraçao Spx 37, novamente foram identificadas substâncias anteriormente discutidas, além do ácido p-cumárico (13), identificado por comparaçao com o padrao, sendo que o pico com tempo referente ao tempo de retençao em 13,76 minutos apresentou no espectro de massas o pico do íon molecular m/z 163 [M - H]-, além da comparaçao com dados da literatura.27

Efeitos fitotóxicos sobre a germinaçao de sementes das fases orgânicas

Nos bioensaios de germinaçao das sementes utilizando as fases do extrato metanólico das folhas de E. flavescens frente à espécie M. pudica, as fases diclorometânica e acetato de etila apresentaram os maiores valores de inibiçao, com 77,6% e 71,2%, respectivamente, enquanto a fase hexânica apresentou 55,2% e fase n-butanólica apresentou 57,0% de inibiçao.

Como pode ser observado na Figura 3, para a espécie S. obtusifolia as fases orgânicas de E. flavescens apresentaram baixos potenciais de inibiçao de germinaçao de sementes, uma vez que a fase hexânica inibiu 3,4%, a fase DCM inibiu 17,0%, enquanto as fases AcOEt e n-BuOH inibiram 15,0% e 34,0%, respectivamente.

 


Figura 3. Potencial de inibiçao das fases hexânica, diclorometânica, acetato de etila e n-butanólica das folhas de E. flavescens (1% m/v) sobre a germinaçao das sementes de M. pudica e S. obtusifolia. Dados expressos em percentual de inibiçao em relaçao ao tratamento testemunha, água destilada

 

A presença dos compostos fenólicos, principalmente os flavonoides catequina, miricetina, rutina e quercitrina, identificados na fase AcOEt de E. flavescens, podem explicar os efeitos inibitórios na germinaçao das sementes de M. pudica, uma vez que derivados fenólicos possuem efeitos inibitórios relatados.28 Esses compostos provavelmente devem estar presentes também nas fases DCM e n-BuOH, uma vez que foram observados altos valores de inibiçao para essas fases. A espécie invasora S. obtusifolia mostrou ser mais resistente quando exposta a açao desses compostos presentes nas fases orgânicas de E. flavescens.

Efeito fitotóxico do triterpeno ácido betulínco e da mistura de flavonoides quercitrina e catequina

De acordo com os resultados dos experimentos realizados e mostrados na Figura 4, o ácido betulínico estimulou a germinaçao das sementes de M. pudica em 20,0% e 18,4% quando testado nas concentraçoes de 200 e 400 ppm, respectivamente, enquanto que na concentraçaos de 600 ppm o estímulo foi de 14,0% e, a 800 ppm, houve uma discreta inibiçao da germinaçao de sementes (3,0%). Para a espécie S. obtusifolia, houve inibiçao da germinaçao das sementes, no entanto, os valores foram extremamente baixos em todas as concentraçoes testadas, atingindo 5,0% na concentraçao de 800 ppm. Outras substâncias triterpenicas, tais como lupeol e lupenona, em estudos anteriores, testadas contra as mesmas plantas-teste, apresentaram valores de inibiçao extremamente baixos, o mesmo ocorrendo com os triterpenos friedelina e epifriedelinol.29-30

 


Figura 4. Potencial de estímulo/inibiçao do ácido betulínico sobre a geminaçao de sementes de M. pudica e S. obtusifolia. Dados expressos em percentual de inibiçao em relaçao ao tratamento testemunha, água destilada

 

Nos bioensaios envolvendo efeitos no alongamento do hipocótilo e radícula, utilizando-se as mesmas plantas-teste, também foram observados baixos potenciais de inibiçao, o que pode ser visto nas Figuras 5 e 6, respectivamente.

 


Figura 5. Potencial de inibiçao do ácido betulínico sobre o alongamento do hipocótilo de M. pudica e S. obtusifolia. Dados expressos em percentual de inibiçao em relaçao ao tratamento testemunha, água destilada

 

 


Figura 6. Potencial de inibiçao do ácido betulínico sobre o alongamento da radícula de M. pudica e S. obtusifolia. Dados expressos em percentual de inibiçao em relaçao ao tratamento testemunha, água destilada

 

Os maiores potenciais de inibiçao do crescimento do hipocótilo foram de 15,6% para S. obtusifolia e 14,0% para M. pudica, ambos na concentraçao de 800 ppm. Para o desenvolvimento da radícula, o efeito de inibiçao mais significativo, nas duas plantas testes, foi observado também na concentraçao 800 ppm, registrando-se efeitos inibitórios de 14,5% (M. pudica) e 21,0% (S. obtusifolia).

Considerando os ensaios de inibiçao da germinaçao de sementes e desenvolvimento da radícula e do hipocótilo, embora os valores sejam baixos, S. obtusifolia foi mais sensível aos efeitos provocados pelo ácido betulínico (1).

Mesmo com valores modestos de inibiçao sobre o alongamento da radícula e do hipocótilo, as curvas dos gráficos de regressao polinomial quadrática demonstram também uma relaçao direta do efeito fitotóxico com o aumento da concentraçao do ácido betulínico (1), sendo os valores dos coeficientes ajustados para o crescimento do hipocótilo (R2) de 0,90 para a espécie S. obtusifolia e de 0,96 para M. pudica (Figura 5). No caso do alongamento da radícula das mesmas plantas, os valores do coeficiente de determinaçao ajustados (R2) foram de 0,98 e de 0,99 para S. obtusifolia e M. pudica, respectivamente (Figura 6).

O triterpeno lupeol (2), também isolado de E. flavescens, nao foi utilizado para os testes de efeito fitotóxico com as mesmas plantas-teste, pois dados encontrados na literatura sobre bioensaios fitotóxicos com triterpenos, entre eles lupeol, mostram que essa substância apresenta baixo efeito fitotóxico, inibindo em aproximadamente 2,0% a germinaçao de sementes para ambas as espécies invasoras. Para o alongamento da radícula o triterpeno inibiu em 36,4% (M. pudica) e 41,3% (S. obtusifolia), enquanto que para o hipocótilo a inibiçao foi em torno de 15,0% frente às mesmas espécies invasoras empregadas nos bioensaios realizados neste trabalho.29

Na Tabela 2 sao mostrados os efeitos de inibitórios sobre a germinaçao de sementes e alongamento de plântulas em diferentes concentraçoes para a mistura (3/4). As equaçoes quadráticas de regressao mostram um tendência nao linear de aumento do efeito inibitório com o aumento da concentraçao da mistura (3/4). Os efeitos de inibiçao da germinaçao das sementes de M. pudica foram maiores do que sobre as sementes de S. obtusifolia nas concentraçoes testadas, sendo que na concentraçao de 150 ppm a inibiçao foi de 92,1% e 63,0%, respectivamente, para M. pudica e S. obtusifolia. A partir das equaçoes da curva no gráfico foi possível calcular o IC50 da mistura (3/4). Para M. pudica o valor do IC50 foi de 32,9 ppm, enquanto que para S. obtusifolia foi de 69,3 ppm. Esses valores de IC50 evidenciam que a espécie M. pudica é mais sensível à mistura de (3/4).

 

 

Os resultados obtidos no teste de alongamento da radícula mostraram que a mistura de substâncias 3 e 4 apresentou relevantes potenciais de inibiçao frente às duas plantas daninhas nas concentraçoes testadas. Os melhores resultados de inibiçao foram nas concentraçoes 100 e 150 ppm, nas quais a mistura inibiu em 60,8 e 74,5%, respectivamente, o desenvolvimento da radícula da espécie M. pudica. Já para a espécie S. obtusifolia os percentuais de inibiçao foram maiores comparados a M. pudica em todas as concentraçoes. Nas concetraçoes de 100 e 150 ppm, foi possível verificar inibiçao de 74,5 e 73,6%, respectivamente. Ao contrário do teste para a inibiçao da germinaçao de sementes frente às plantas-teste, o cálculo do IC50 revela uma maior sensibilidade da espécie S. obtusifolia (62,9 ppm) em relaçao à espécie M. pudica (90,7 ppm) para o alongamento da radícula quando expostas a mistura testada.

Para o teste de inibiçao do alongamento do hipocótilo, a mistura de substâncias também apresentou relevantes potenciais de inibiçao frente às mesmas plantas-teste. A Tabela 2 mostra que os valores de inibiçao mais altos foram encontrados nas concentraçoes de 100 e 150 ppm, nas quais a mistura inibiu 59,3 e 78,0%, respectivamente, o alongamento do hipocótilo da espécie M. pudica. Já para a espécie S. obtusifolia o percentual de inibiçao mais relevante foi de 76,1%, na concentraçao testada de 150 ppm. Novamente, valores dos coeficientes ajustados, (R2) 0,99 para M. pudica e (R2) 0,98 para o S. obtusifolia evidenciam uma tendência nao linear para o alongamento das plântulas. O IC50 para as espécies M. pudica (72,3 ppm) e S. obtusifolia (132,2 ppm) mostram maior sensibilidade da espécie M. pudica em relaçao à espécie S. obtusifolia, quando expostas à mistura testada.

Nos testes de efeitos fitotóxicos realizados na mistura quercitrina e catequina os altos valores de inibiçao podem estar associados ao efeito sinérgico da mistura, pois os valores de IC50 foram menores para as duas espécies invasoras, quando comparados com testes realizados com a catequina (4) em estudos anteriores com as mesmas plantas teste.31 Para a substância (3) também sao relatados eficientes efeitos fitotóxicos frente a inibiçao de germinaçao de sementes e alongamento da radícula e do hipocótilo da espécie Lactuva sativa.32

 

CONCLUSAO

Foi realizado o primeiro estudo químico com as fases orgânicas das folhas de E. flavescens. Esta investigaçao mostrou que a espécie E. flavescens é uma importante fonte de triterpenos, flavonoides e ácidos fenólicos, classe de substâncias geralmente associados ao gênero Eugenia.

O estudo do efeito fitotóxico mostrou que as fases orgânicas DCM e AcOEt apresentaram maiores percentuais de inibiçao da germinaçao de sementes frente as plantas testadas, sendo que a espécie M. pudica mostrou-se mais sensível em todas fases testadas.

No bioensaio com o triterpeno ácido betulínico, os testes mostraram baixos valores de inibiçao para as duas plantas-teste, nao ultrapassando 35,0% de inibiçao. Para a mistura de flavonoides quercitrina e catequina foram observados potentes efeitos fitotóxicos de inibiçao nas concentraçoes testadas. A presença de substâncias fenólicas em E. flavescens pode explicar esse efeito na espécie, uma vez que compostos fenólicos tendem a exercer efeitos inibitórios na germinaçao e crescimento de plântulas.

Portanto, esse estudo indica que as fases orgânicas das folhas da espécie vegetal E. flavescens possuem efeito fitotóxico e podem ser utilizadas na composiçao de bioherbicidas no controle das plantas invasoras testadas nessa investigaçao.

 

MATERIAL SUPLEMENTAR

Todos os espectros de RMN e de EMAR e os cromatogramas, assim como os gráficos de efeitos fitotóxicos utilizados neste trabalho, estao disponíveis em http://quimicanova.sbq.org.br, na forma de arquivo PDF, com acesso livre.

 

AGRADECIMENTOS

Ao PPGQ, à PROPESP, ao ICEN-UFPA e à CAPES, pelo apoio financeiro, e à EMBRAPA, pelo suporte e infraestrutura.

 

REFERENCIAS

1. Magina, M. D. A.; Dalmarco, E. M.; Dalmarco, J. B.; Quim. Nova 2012, 35, 1184.

2. Reynertson, K. A.; Yang, H.; Jiang, B.; Basile, M. J.; Kennelly, E. J.; Food Chem. 2008, 109, 883.

3. Magina, M. D. A.; Dalmarco, E. M; Wisniewski Jr., E.; Simionatto, E. L.; Dalmarco, J. B.; Pizzolatti, M. G.; Brighente, I. M. C.; J. Nat. Med. 2009, 63, 345.

4. Cole, R. A.; Haber, W. A.; Setzer, W. N.; Biochem. Syst. Ecol. 2007, 35, 877.

5. Silva, N. C. F.; Resumos do 23º Seminário de Iniciaçao Científica da UFPA, Belém, 2012.

6. Inoue, M. H.; Santana, D. C.; Souza Filho, A. P. S.; Possamai, A. C. S.; Silva, L. E.; Pereira, M. J. B.; Pereira, K. M.; Planta Daninha 2010, 28, 489.

7. Soares, W. L., Porto, M. F.; Ciência e Saúde Coletiva 2007, 12, 131.

8. Bhadoria, P. B. S.; Am. J. Exp. Agric. 2011, 1, 7.

9. Novakova, L.; Spáčil, Z.; Seifrtová, M.; Opletal, L.; Solich, P.; Talanta 2010, 80, 1970.

10. Inderjit; Dakshini, K. M. M.; Bot. Rev. 1995, 6, 28.

11. Macías, F. A.; Castellano, D.; Molinillo, J. M. G.; J. Agric. Food Chem. 2000, 48, 2512.

12. Ministério da Agricultura, Pecuária e Abastecimento; Regras para análise de sementes, MAPA: Brasília, 2009.

13. Souza Filho, A. P. S.; Dutra, S.; Silva, M. A. M. M.; Planta Daninha 1998, 16, 2.

14. Santos, L. S.; Borges, F. C.; Oliveira, M. N.; Ferreira, I. C. S.; Guilhon, G. M. S. P.; Souza Filho, A. P. S.; Santos, A. S.; Arruda, M. S. P.; Müller, A. H.; Arruda, A. C.; Allelopathy Journal 2007, 20, 235.

15. Wang, G.; Yin, W.; Zhou, Z. Y.; Hsieh, K. L.; Liu, J. K.; J. Asian Nat. Prod. Res. 2010, 12, 770.

16. Cichewicz, R. H.; Kouzi, S. A.; Med. Res. Rev. 2004, 24, 90.

17. Shakeri, A.; Ahmadian, M.; International Journal of Farming and Allied Sciences 2014, 3, 1065.

18. Hasan, S.; Ahmed, I.; Mondal, S.; Masud, M. M.; Sadhu, S. K.; Ishibashi, M.; Uddin, S. J.; Orient. Pharm. Exp. Med. 2006, 6, 355.

19. Benavides, A.; Montoro, P.; Bassarello, C., Piacente, S.; Pizza, C.; J. Pharm. Biomed. Anal. 2006, 40, 639.

20. Cintra, P.; Malaspin, O.; Petacci, F.; Fernandes, J. B.; Bueno, O. C.; Vieira, P. C.; Silva, M. F. G. F.; J. Braz. Chem. Soc. 2002, 13, 115.

21. Aderogba, M. A.; Ndhlala, A. R.; Rengasamy, K. R.; Van Staden, J.; Molecules 2013, 18, 12633.

22. Fabre, N.; Rustan, I.; Hoffmann, E.; Quetin-Leclercq, J.; J. Am. Soc. Mass Spectrom. 2001, 12, 707.

23. Caligari, P. D. S.; Simirgiotis, M. J.; Schemeda-Hirschman, G.; Food Chem. 2009, 115, 775.

24. Saldanha, L. L.; Vilegas, W.; Dokkedal, A. L.; Molecules 2013, 18, 8402.

25. Pearson, J. L.; Lee, S.; Suresh, H.; Low, M.; Nang, M.; Singh, S.; Lamin, F.; Kazzem, M.; Sullivan, S.; Khoo, C. S.; ISRN Anal. Chem. 2014.

26. Bravo, M. N.; Silva, S.; Coelho, A.V.; Vilas Boas, L.; Bronze, M. R.; Anal. Chim. Acta 2006, 563, 84.

27. Plazonic, A.; Bucar, F.; Maleš, Ž.; Mornar, A; Nigovic, B; Kujundžić, N.; Molecules 2009, 14, 2466.

28. Santos, S. I. Moraes, M. L. L; Rezende, M. O. O.; Souza Filho, A. P. S.; Ecletica Quim. 2011, 36, 51.

29. Souza-Filho, A.P.S.; Santos, R. A.; Santos, L. S.; Guilhon, G. M.P.; Santos, A. S.; Souza Filho, A. P. S.; Guilhon, G. M. S. P.; Santos, L. S.; Planta Daninha 2010, 28, 689.

30. Santos, L. S.; Santos, J. C. L.; Souza Filho, A. P. S.; Corrêa, M. J. C.; Veiga, T. A. M.; Freitas, V. C. M.; Ferreira, I. C. S.; Gonçalves, N. S.; Silva, C. E.; Guilhon, G. M. S. P.; Planta Daninha 2008, 26, 531.

31. Lobo, L. T.; Castro, K. C. F.; Arruda, M. S. P.; Silva, M. N.; Arruda, A. C.; Müller, A. H.; Arruda, G. M. S. P.; Santos, A. S.; Souza Filho, A. P. S.; Quim. Nova 2008, 31, 493.

32. Almeida, L. F. R.; Tese de Doutorado, Universidade Estadual Paulista, Brasil, 2006.

 

This paper is part of the PubliSBQ Special Issue in honor of the late Prof. Angelo da Cunha Pinto.

On-line version ISSN 1678-7064 Printed version ISSN 0100-4042
Qu�mica Nova
Publica��es da Sociedade Brasileira de Qu�mica
Caixa Postal: 26037 05513-970 S�o Paulo - SP
Tel/Fax: +55.11.3032.2299/+55.11.3814.3602
Free access

GN1