JBCS



17:15, sáb out 25

Acesso Aberto/TP



Revisão


Potenciais alvos moleculares para o desenvolvimento de novos fármacos antituberculose
Potential molecular targets for antituberculosis drug discovery

Guilherme Felipe dos Santos Fernandes1,2; Chung Man Chin2; Jean Leandro dos Santos1,2,*

1. Instituto de Química, Universidade Estadual Paulista, 14800-060 Araraquara - SP, Brasil
2. Faculdade de Ciências Farmacêuticas, Universidade Estadual Paulista, 14800-903 Araraquara - SP, Brasil

Recebido em 12/09/2016
Aceito em 28/11/2016
Publicado na web em 10/02/2017

Endereço para correspondência

*e-mail: santosjl@fcfar.unesp.br

RESUMO

Tuberculosis (TB) is an infectious disease caused by mycobacteria from the Mycobacterium genus, mainly by Mycobacterium tuberculosis (MTB). The World Health Organization (WHO) aims to reduce the number of TB cases worldwide in the coming years. Nevertheless, the increasing number of multidrug-resistant (MDR-TB) and extensive-drug resistance (XDR-TB) strains, and the ineffectiveness of the current treatment in latent tuberculosis are challenges to be overcome. In this review, we will demonstrate the recent advances in the tuberculosis drug discovery, focusing the research of new molecular targets in the Mycobacterium tuberculosis. Among the promising targets described herein, we highlight those, which act in different pathways in the mycobacteria, such as energy metabolism, cell wall biosynthesis, DNA synthesis, iron metabolism and transport through membranes. Furthermore, bioactive compounds discovered using phenotypic assays screening and validated through genetic approaches are also presented.

Palavras-chave: medicinal chemistry; tuberculosis; Mycobacterium tuberculosis; molecular targets; new drugs.

INTRODUÇAO

A tuberculose (TB) é uma doença infecciosa causada por micobactérias do complexo Mycobacterium, no entanto, a espécie responsável pelo maior número de casos de morbidade e mortalidade é o Mycobacterium tuberculosis (MTB).1

Ocupando o ranking mundial como a principal causa de mortes causadas por doenças infecciosas, nos últimos anos a tuberculose ultrapassou, em número de casos, a infecçao causada pelo vírus da imunodeficiência humana (HIV).2,3 O último levantamento realizado em 2015 pela Organizaçao Mundial da Saúde (OMS) apontou 9.6 milhoes de novos casos no mundo e 1.5 milhoes de mortes causadas pela doença.3

Somado a esses dados, o surgimento e aumento de cepas de M. tuberculosis multirresistente aos fármacos (MDR-TB) e extensivamente resistente aos fármacos (XDR-TB) vêm alarmando as autoridades de todo o mundo. Essas formas de tuberculose apresentam baixas taxas de cura e maiores taxas de mortalidade devido às dificuldades de tratamento.4 Além disso, já foram relatados na clínica casos de tuberculose totalmente resistente aos fármacos (TDR-TB).5,6

Ao longo dos últimos anos, é possível constatar algumas evoluçoes no desenvolvimento de compostos candidatos a fármacos que possam atuar contra a TB.7 Após um intervalo de mais de 50 anos sem novos medicamentos para o tratamento da TB, a bedaquilina foi aprovada em 2012 pela agência norte-americana U.S. Food and Drug Administration (FDA) para o tratamento de MDR-TB. Atualmente, diversos candidatos a fármacos estao em estudos clínicos,8-12 como por exemplo Q20313 (1) (Fase 1), sutezolida14 (Fase 2) (2), delamanida15 (Fase 3) (3) e pretomanida16 (Fase 3) (4) (Figura 1).

 


Figura 1. Estruturas de candidatos a fármacos antituberculose

 

Apesar dos recentes avanços,17,18 infelizmente já foram relatas cepas resistentes a estas novas moléculas, devido ao fato das bactérias estarem em constante evoluçao,19-21 reforçando a urgente necessidade do desenvolvimento de novos fármacos para o tratamento da tuberculose.2 Todavia, após a bedaquilina houve um aumento notável no número de artigos reportando compostos com potente atividade antituberculose.22-28 Diversos núcleos heterociclicos e subunidades estruturais já foram relatados como grupamentos farmacofóricos com potente atividade antimicobacteriana, como por exemplo derivados furoxânicos,27,29 nitroimidazólicos,30 ftalimídicos,31 cumarínicos,32 tiofênicos,33 fluoroquinolônicos,34 quinolínicos,35,36 N-acilhidrazônicos,37 quinoxalínicos38 e fluorados.39

Atualmente, diversos métodos e estratégias sao utilizados para o desenvolvimento de novos fármacos contra a TB, como por exemplo: 1) abordagens genéticas para identificaçao de novos alvos; 2) ensaios de triagem em larga escala utilizando a micobactéria como plataforma; 3) ferramentas de biologia estrutural e triagem virtual e; 4) modificaçoes moleculares em fármacos existentes. Os métodos envolvendo o planejamento baseado no alvo e as abordagens genéticas para identificaçao de novos alvos na micobacteria vêm ganhando destaque nos últimos anos.40,41

Desde que o genoma do MTB foi sequenciado em 1998, diversas estratégias visando a identificaçao de potencias alvos farmacológicos vem sendo exploradas. A técnica de nocaute de genes é um exemplo dos diversos métodos utilizados para caracterizar alvos potencias tanto in vitro como in vivo.42

Após o ano de 1998, os métodos envolvendo ensaios baseados em um alvo molecular especifico foram intensivamente explorados como uma estratégia para a descoberta de novos fármacos anti-TB; no entanto, nenhum novo fármaco surgiu através desta abordagem. As razoes para isso incluem: falta de validaçao do alvo, falta de evidências de que o alvo é essencial para o crescimento ou sobrevivência do MTB, propriedades físico-químicas inadequadas, mecanismos de efluxo de fármacos, vias bioquímicas alternativas utilizadas pela micobactéria, toxicidade causada pelos compostos, ensaios inadequados e interferências cujos resultados levam falso-positivos, entre outros.43

Por outro lado, ensaios de triagem utilizando a célula micobacteriana como um todo (screening fenotípico) tem se mostrado como uma estratégia promissora para a descoberta de novos fármacos anti-TB. Este tipo de abordagem apresenta diversas vantagens e permite a identificaçao de moléculas que sejam ativas contra a micobactéria, superando problemas como a absorçao e efluxo. Além disso, ensaios envolvendo células de mamíferos sao bastante simples e permitem ao pesquisador obter conhecimentos a respeito da seletividade de uma determinada estrutura química. Um estudo que analisou os 176 fármacos aprovados entre 1999 e 2008 revelou que a maioria das moléculas denominadas "first-in-class" foram descobertas através de abordagens fenotípicas usando células inteiras e nao apenas os alvos moleculares.44

A bedaquilina (5) e diversos candidatos a fármacos (NITD-349 (6) e diarilcoumarinas (7))45,46 (Figura 2) sao exemplos de compostos descobertos utilizando ensaios fenotípicos. Apesar das vantagens da utilizaçao desta abordagem, algumas limitaçoes incluem a identificaçao do alvo e as futuras otimizaçoes moleculares no composto protótipo, que podem ser difíceis em alguns casos.

 


Figura 2. Compostos descobertos utilizando ensaios fenotípicos

 

A combinaçao das abordagens baseadas em alvos validados com a triagem em células parece ser uma estratégia promissora a ser explorada na busca de novos fármacos antituberculose.40,47 O composto Q203 (1) (Figura 1), por exemplo, foi inicialmente descoberto utilizando ensaios fenotípicos. Posteriormente, foi identificado que o composto atua na subunidade b do citocromo bc1 (QcrB).48 A utilizaçao de microarranjos de DNA, identificaçao de genes alterados em cepas mutantes com resistência ao composto teste e silenciamento de genes sao algumas das técnicas que contribuíram para a identificaçao de diversos alvos após a identificaçao inicial dos compostos lideres nos ensaios fenotípicos.49

Durante muitos anos, a biossíntese dos componentes da parede celular foi o principal alvo molecular na terapia antituberculose; no entanto, nos últimos anos, avanços vêm sendo realizados visando a identificaçao de novos alvos capazes de interferir em diferentes vias metabólicas/bioquímicas essenciais a sobrevivência da micobactéria. Diversos alvos potenciais já foram identificados no MTB usando a combinaçao dessas estratégias, como por exemplo, DNA girase (subunidade B) e topoisomerase I, MbtA, QcrB, NADH desidrogenase II, DprE, FASs e MmpL.9,50

Nessa revisao, serao apresentados esses alvos moleculares, bem como os respectivos compostos inibidores com maior atividade anti-micobacteriana. O critério para seleçao dos compostos apresentados se baseou nos valores de concentraçao inibitória mínima (CIM90) inferiores que 10 µmol L-1. A busca para identificaçao dos alvos foi realizada nas seguintes bases de dados: PubMed, Web of Science e Scopus entre os períodos de 2006 a 2016.

 

ALVOS ENVOLVIDOS COM A BIOSSINTESE DA PAREDE CELULAR

A inibiçao da biossíntese da parede celular é uma das abordagens mais bem estabelecidas na terapia anti-TB, e fármacos como a isoniazida e etambutol atuam através da inibiçao de diferentes vias envolvidas neste processo.51 Devido ao aumento das taxas de MDR-TB e XDR-TB, a busca por novos alvos relacionados a esta via bioquímica se mostra como uma estratégia promissora.52

Em 2009,53 foi relatada a potente atividade antituberculose do derivado BTZ038 (8) (Figura 3). Este composto demonstrou atividade bactericida com CIM90 de 2,3 nmol L-1 em cepas de MTB H37Rv. Além disso, o composto foi capaz de reduzir o número de unidades formadoras de colônias (UFC) nos pulmoes em até 2 logs. Os autores identificaram a decaprenilfosforil-β-D-ribose 20-epimerase (DprE) como o alvo molecular deste composto.53

 


Figura 3. Inibidores covalentes da enzima DprE

 

A DprE é uma enzima heterodimérica constituída de duas proteínas: DprE1 e DprE2. Ambas as proteínas participam da biossíntese do decaprenilfosforil-β-D-arabinofuranose (DPA), um dos precursores do arabinano, que por sua vez constitui a parede celular micobacteriana. A capacidade que vários compostos têm de inibir a DprE está relacionada à localizaçao de fácil acesso desta enzima no espaço periplasmático.54 A maioria dos inibidores de DprE apresentam um grupo nitro em sua estrutura, o qual contribuiu para a formaçao de uma ligaçao covalente com um resíduo de cisteína (Cys387) no sítio ativo da DprE1 levando a formaçao de um aduto.55

O derivado nitrobenzamida DNB1 (9) foi descoberto através de ensaios fenotípicos de infecçao intracelular em células Raw264.7 infectadas com MTB H37Rv. Estudos de relaçao estrutura atividade (SAR) envolvendo aproximadamente 155 análogos demonstraram que a presença de um grupo nitro na posiçao 3 e/ou 5 do anel benzênico é essencial para a atividade antituberculose. O composto 9 exibiu CIM90 de 0,2 µmol L-1 em ensaios de infecçao intra e extracelular. Além disso, o composto levou a uma diminuiçao da formaçao de lipoarabinomanana e arabinogalactana devido à inibiçao da DprE.56 Utilizando ferramentas de triagem em alta escala, o composto 10 também foi descoberto como um inibidor da enzima DprE. O derivado triazólico (10) apresentou CIM90 de 0,5 µmol L-1 contra cepas de MTB H37Rv. Através de abordagens genéticas, foi constatado que cepas resistentes ao composto 10 apresentavam mutaçao no gene dprE1 e foi demonstrado que a inibiçao covalente da DprE é o modo de açao deste derivado triazólico (Figura 3).57

Inibidores nao covalentes da DprE também já foram descritos na literatura. O composto TCA1 (11) por exemplo, demonstrou seletividade para o gênero Mycobacterium. Especificamente para este composto, o valor de CIM90 igual a 0,19 µg mL-1 foi observado em cepas de MTB H37Rv. A estrutura cristalográfica do complexo DprE1-TCA1 foi caracterizada e demonstrou pequenas modificaçoes em relaçao à estrutura da proteína sem o ligante. Foram observadas interaçoes nao covalentes caracterizadas por interaçoes hidrofóbicas e de Van der Waals na estrutura cristalina do complexo proteína-ligante. Outro exemplo de inibidor nao covalente é o derivado pirazolpiridinona 12. Este composto, sem o grupo nitro na estrutura, demonstrou potente atividade antituberculose com CIM90 igual a 0,1 µmol L-1. Além disso, o composto 12 exibiu IC50 de 0,005 µmol L-1 contra a enzima DprE (Figura 4).58

 


Figura 4. Inibidores nao-covalentes da enzima DprE

 

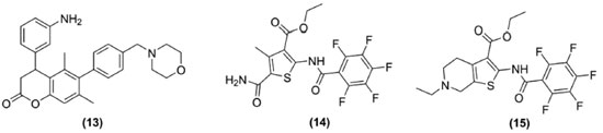
A biossíntese da parede celular micobacteriana envolve diversas enzimas, como por exemplo ácidos graxos sintases (FASs) e policetídeos sintases (PKSs). FadD32 é uma acil-AMP ligase que catalisa a conversao de ácidos graxos em acil-adenilato na presença de ATP. Esta enzima atua em associaçao com a Pks13 para ativar o ácido meromicólico antes da sua condensaçao com a porçao C24-26 do ácido graxo.59 O operon fadD32-pks13-accD4 é essencial para a viabilidade do MTB, e estudos de silenciamento de genes apontaram o operon fadD32 e a enzima FadD32 como alvos potenciais na micobactéria.60 Recentemente, foi reportada a síntese de quarenta derivados de cumarina com potente atividade e seletividade contra o MTB. Ensaios in vivo utilizando zebrafish infectados com M. marinum revelaram o composto 13 como o mais promissor da série. Este composto inibiu o crescimento micobacteriano na concentraçao de 0.24 µmol L-1 através da inibiçao da enzima FadD32 (Figura 5).45,61

 


Figura 5. Estruturas de inibidores da FadD32 e Pks13

 

Nesta mesma via bioquímica, outra enzima envolvida na biossíntese de ácidos micólicos é a de policetídeos sintase (Pks13). Nesse contexto, derivados de tiofeno foram relatados como inibidores da Pks13. Especificamente, o composto 14 (Figura 5) apresentou um valor de CIM90 igual a 0,5 µmol L-1 contra MTB. Além disso, esse composto exibiu açao bactericida e sua combinaçao com isoniazida resultou em efeito esterilizante.62 De maneira similar, foram descritos derivados de 2-aminotiofenos com potente atividade antituberculose, possuindo como alvo a enzima Pks13. Especificamente, o composto 15 (Figura 5) apresentou CIM90 de 0,69 µmol L-1 em MTB H37Rv. Os autores demonstraram, ainda, através de estudos utilizando autorradiografia, que o composto atua de fato através da inibiçao da biossíntese de ácidos micólicos.63

A enzima InhA é um dos principais alvos moleculares de fármacos no Mycobacterium tuberculosis, sendo a isoniazida o principal desta classe. Esta enzima é essencial para a biossíntese de ácidos micólicos através da via bioquímica de ácido graxo sintase tipo II (FASII) e atua como uma proteína transportadora de grupos acila (ACP) utilizando NADH.64,65 Nesse contexto, foram descritos inibidores da enzima InhA identificados através do screening de uma biblioteca da empresa farmacêutica GlaxoSmithKline com potente atividade antituberculose. O composto 16 (Figura 6) exibiu CIM90 de 1 µmol L-1 contra MTB H37Rv e valor de IC50 igual 2 nmol L-1 contra a enzima InhA. Além disso, estudos in vivo mostraram que o composto (16) apresentou a mesma eficácia que a isoniazida em camundongos infectados com tuberculose crônica.66 Derivados de fluoreno-piperazinas também foram reportados como inibidores da enzima InhA. O composto 17 (Figura 6) apresentou potente inibiçao da enzima com valor de IC50 igual a 102 nmol L-1. Além disso, o composto exibiu CIM90 de 11 µmol L-1 em cepas de Mycobacterium tuberculosis H37Rv.67

 


Figura 6. Estruturas de inibidores da enzima InhA

 

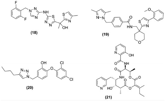
Recentemente, diversas outras classes de heterociclicos vêm sendo reportadas como potentes inibidores da enzima InhA, como por exemplo derivados tiazólicos identificados por pesquisadores da AstraZeneca.68 O composto 18 (Figura 7) foi desenvolvido a partir de um protótipo identificado anteriormente. O novo composto líder 18 apresentou CIM90 de 0,39 µmol L-1 em cepas de MTB e IC50 de 0,03 µmol L-1 no ensaio de inibiçao da enzima InhA. Além disso, os autores demonstraram um novo mecanismo de inibiçao da enzima por esses derivados. A interaçao com a enzima ocorreu na sua forma ligada ao NADH e nao ao usual NAD+.68 Derivados de tetrahidropirano também foram descritos como potentes inibidores da enzima InhA. Através de um screening de uma biblioteca de compostos da GlaxoSmithKline, foi identificado um protótipo que posteriormente foi otimizado ao composto 19 (Figura 7). A otimizaçao do protótipo levou a um composto com melhor atividade antimicobacteriana (CIM90 = 5 µmol L-1) e baixa citotoxicidade em células HepG2 (IC50 = 50 µmol L-1). Além disso, o composto apresentou IC50 de inibiçao da enzima InhA de 0,036 µmol L-1.69 Outra classe de compostos com atividade inibitória da enzima InhA sao os derivados de triclosan relatados recentemente. O composto 20, por exemplo, apresentou CIM90 de 1,5 µmol L-1 e 98% de inibiçao da enzima isolada na mesma concentraçao do CIM90.70 Exemplos pertencentes à classe dos produtos naturais também já foram descritos como inibidores da enzima InhA. A piridomicina (21) (Figura 7) foi inicialmente identificada em 1953,71 no entanto, foi reavaliada recentemente em um estudo que caracterizou sua potente atividade contra isolados clínicos de MTB resistentes à isoniazida com valores de CIM90 entre 0,31 a 5 µmol L-1. Os autores demonstraram que a piridomicina inibe a enzima InhA através de um mecanismo de inibiçao competitiva no sitio de ligaçao do NADH.72

 


Figura 7. Inibidores da enzima InhA

 

Recentemente, a utilizaçao de ferramentas computacionais vem contribuindo para a descoberta de novos inibidores da enzima InhA. O composto 22 (Figura 8) foi identificado através de triagem virtual de uma biblioteca contendo cerca de 400.000 compostos. Este composto foi sintetizado e avaliado in vitro com o objetivo de caracterizar sua atividade inibitória contra a enzima inhA. O composto demonstrou 35,5% de inibiçao da enzima InhA na concentraçao de 10 µmol L-1.73 O composto 23 (Figura 8) também foi descoberto utilizando ferramentas computacionais a partir de um estudo de triagem virtual da base de dados ZINC. O composto foi capaz de inibir em 15% a enzima InhA a uma concentraçao de 1 µmol L-1.74

 


Figura 8. Inibidores da enzima InhA identificados por screening virtual

 

ALVOS ENVOLVIDOS COM A GERAÇAO DE ENERGIA

Desde a descoberta da bedaquilina, a inibiçao da síntese de ATP tem sido considerada um alvo validado no MTB. O mecanismo de açao da bedaquilina foi descoberto através do sequenciamento do genoma de mutantes resistentes ao fármaco e foi caracterizado como sendo capaz de atuar na inibiçao da bomba de prótons da enzima ATP sintase através da ligaçao com a subunidade c da enzima.75 Na terapia atual, a pirazinamida é outro fármaco que tem como alvo a inibiçao de vias bioquímicas relacionadas a geraçao de energia. Um dos mecanismos de açao propostos para a pirazinamida é a interrupçao do sistema energético e de transporte da membrana pelo seu metabolito ativo, o ácido pirazinóico.76

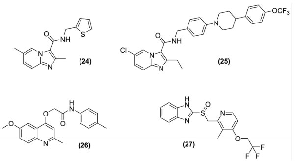
A inibiçao da subunidade b do citocromo (QcrB) bc1-aa3 foi identificada como alvo para derivados imidazol[1,2-α]piridina (24) (Figura 9).77 O complexo citocromo bc1 apresenta um papel crucial para a cadeia transportadora de elétrons durante a síntese de ATP e, consequentemente, para o crescimento da micobacteria.78 No entanto, já foi relatado que durante o crescimento aeróbio do MTB, a participaçao do citocromo bd oxidase pode compensar os efeitos inibitórios do complexo citocromo bc1.79 A validaçao do QcrB como alvo foi descrita detalhadamente para o composto Q203 (25) (Figura 9). Este composto exibiu CIM90 de 2,7 nmol L-1 contra MTB H37Rv. Além disso, em baixas doses, o Q203 foi capaz de eliminar o MTB em modelos animais com tuberculose crônica.48 Recentemente, diversos compostos foram identificados como inibidores do complexo bc1 no MTB. Através de uma triagem de derivados de quinolina, foi identificado o composto 26 (Figura 9) como um potente antimicobacteriano inibidor do complexo bc1 com CIM90 de 0,45 µmol L-1. O alvo molecular do composto 26 foi caracterizado utilizando cepas de MTB com mutaçoes no gene qcrB, o qual codifica a subunidade menaquinol citocromo c oxidoredutase do complexo bc1.80 Interessantemente, utilizando uma ferramenta de triagem em alta escala em uma biblioteca contendo fármacos já aprovados pelo FDA, o lansoprazol (27) (Figura 9) foi identificado com potente atividade antimicobacteriana intracelular.81 O lansoprazol é um fármaco utilizando no tratamento de doenças estomacais e atua através da inibiçao da enzima (H+, K+)-ATPase na superfície secretora das células parietais gástricas.82 O lansoprazol (27) apresentou CIM90 de 1,13 µmol L-1 em cepas de MTB H37Rv e valores que variaram de 0,49 a 1,37 µmol L-1 em isolados clínicos multirresistentes. Os autores caracterizaram o mecanismo de açao do fármaco através do sequenciamento do genoma de um mutante resistente ao lansoprazol e identificaram um polimorfismo em um único nucleotídeo que alterou uma leucina para uma prolina na subunidade b do citocromo bc1. Além disso, os autores observaram uma reduçao drástica nos níveis de ATP produzidos pela micobacteria quando em contato com o lansoprazol (27).81

 


Figura 9. Estruturas de inibidores do citocromo QcrB

 

Derivados ftalimídicos também foram reportados como inibidores do complexo bc1 com a valores de CIM90 na escala nanomolar e baixa citotoxicidade em células VERO (IC50 >100 µmol L-1). O composto 28 (Figura 10) apresentou CIM90 de 65 nmol L-1 em cepas de MTB H37Rv e CIM90 abaixo de 0,6 µmol L-1 em isolados clínicos multirresistentes. Os estudos para caracterizar o mecanismo de açao demonstraram que cepas mutantes com deleçao do gene codificador do citocromo bd oxidase (ΔcydKO) foram hipersensíveis aos compostos da série. Além disso, os compostos foram inativos quando avaliados em uma cepa de MTB com uma mutaçao em um único aminoácido no citocromo qcrB. Os estudos farmacocinéticos demonstraram estabilidade metabólica adequada do composto 28 na presença de microssomos hepáticos de humanos, ratos e camundongos, no entanto, o composto apresentou um alto clearance e tempo de meia vida moderado (t1/2 = 62 min).83

 


Figura 10. Inibidores do citocromo QcrB

 

Outras classes de compostos também já foram reportadas como inibidores do citocromo qcrB, como derivados imidazol-piridinas (29-30) e pirazol (31) (Figura 10). Esses compostos apresentaram valores de CIM90 entre 0,01 e 4,7 µmol L-1 em cepas de MTB H37Rv. No entanto, quando avaliados em cepas com mutaçoes em aminoácidos presentes no citocromo qcrB, os compostos foram inativos, caracterizando o alvo molecular no MTB.84 A variedade estrutural de compostos com capacidade de inibiçao do citocromo qcrB no MTB apontam a promiscuidade desse alvo.80,81,83,84

A NADH desidrogenase tipo-II (NDH-2) é uma enzima presente na mitocôndria do MTB e que participa do processo respiratório da micobactéria.85 Curiosamente, a atividade antituberculose in vitro de derivados fenotiazínicos (como por exemplo alguns fármacos antipsicóticos) e clofazimina (anti-hansênico) tem sido relacionadas com a inibiçao da enzima micobacteriana NDH-2; no entanto, o uso desses fármacos na terapia é limitado devido a efeitos adversos.86 A enzima NDH-2 é codificada pelo genes ndh e ndhA, no entanto, somente o gene ndh foi associado à micobactérias nao viáveis após a interrupçao da mutagênese através de transpóson.87

Interessantemente, a subunidade alquiltrifenil-fosfonium (alquil-TPP) foi relatada como sendo capaz de contribuir para o transporte de moléculas através das mitocôndrias. Assim, pesquisadores descreveram a utilizaçao de conjugados alquilTPP-fenotiazina cujos efeitos potencializaram a inibiçao da enzima NDH-2. Os valores de CIM90 desses conjugados foram inferiores aos derivados de fenotiazinas nao conjugados (32) (Figura 11).88

 


Figura 11. Estruturas de inibidores da enzima NDH-2

 

Através da triagem de uma biblioteca de moléculas da empresa farmacêutica AstraZeneca contendo mais de 100 mil compostos avaliados contra a enzima NDH-2, foram identificados compostos contendo a subunidade quinolinil-pirimidina como compostos anti-TB promissores. O composto pirimidina-4-il-quinolina-diamina (33) (Figura 11) inibiu a enzima NDH-2 com valor de IC50 igual a 0,043 µmol L-1. Além disso, essa molécula apresentou propriedades farmacocinéticas adequadas in vitro, as quais permitiram identificá-la como um importante protótipo anti-TB.89

 

ALVOS ENVOLVIDOS COM O METABOLISMO DO FERRO

O ferro é um elemento essencial para a sobrevivência do Mycobacterium tuberculosis devido ao seu papel como cofator em diversos processos celulares. Em condiçoes fisiológicas, os seres humanos mantem os níveis de ferro acima daquele necessário para a proliferaçao bacteriana; por conseguinte, as bactérias produzem sideróforos que sequestram o metal a partir de proteínas do hospedeiro.90 Os dois principais sideróforos presentes no MTB sao: micobactinas e carboximicobactinas.91 Estudos revelaram que cepas mutantes de MTB com deficiência em micobactina sao incapazes de estabelecer infecçao em camundongos.92,93 Esta observaçao aponta a biossíntese de micobactina como um potencial alvo no MTB.

Durante a biossíntese de micobactina, a inibiçao da enzima formadora de adenilato (MbtA) por análogos de nucleotídeo leva a uma diminuiçao do crescimento micobacteriano. Especificamente, o análogo nucleosídeo (34) demonstrou CIM99 de 0,29 µmol L-1, similar a isoniazida (0.18 µmol L-1) (Figura 12).91 Entretanto, apesar das características farmacodinâmicas promissoras, a molécula demonstrou características farmacocinéticas inadequadas, como baixa biodisponibilidade e tempo de meia vida reduzido (t1/2 = 11 min).94 Estudos adicionais descreveram um inibidor (35) (Figura 12) da enzima MbtA com CIM99 de 0,78 µmol L-1 contra cepas de MTB H37Rv e melhores propriedades farmacocinéticas (t1/2 = 62 min) que o seu análogo (34).95

 


Figura 12. Estruturas de inibidores da enzima MbtA

 

Outro alvo envolvido na captura de ferro é o EccB3, o qual é um componente do sistema de secreçao ESX-3 tipo VII. Evidências sugerem que este sistema está envolvido com a obtençao de ferro e zinco. A ausência do sistema ESX-3 já foi associada com a incapacidade do Mycobacterium tuberculosis em utilizar a micobactina, levando a uma inibiçao do crescimento micobacteriano no interior dos macrófagos.96

No genoma do MTB, os genes IrtAB sao conhecidos por codificar as proteínas constituintes do sistema de transporte transmembrânico ABC, o qual está envolvido na mobilizaçao do ferro para a carboximicobactina. Interessantemente, foi demonstrado que a ausência do gene IrtAB reduziu o processo de infecçao pelo MTB.97 Outro alvo potencial envolvido na obtençao de ferro inclui o EsX-3 e o sistema de sideróforos mmpS4/S5.98 No entanto, nao somente a obtençao como também o estoque de ferro é crucial para a sobrevivência do MTB. Altas concentraçoes intracelulares de ferro sao tóxicas para a micobactéria; portanto, o MTB armazena o ferro em proteínas como a ferritina (BfrB). Interessantemente, cepas mutantes de MTB com deficiência em ferritina nao foram capazes de causar infecçao em camundongos e foram mais susceptíveis aos antibióticos.99

 

MMPL3

MmpL, de "mycobacterial membrane protein large", é um complexo proteico presente na membrana que atua no transporte de moléculas orgânicas e íons do meio extracelular para o interior do MTB. Os genes de MmpL codificam 12 proteínas diferentes desta família. A proteína MmpL7 está envolvida com o efluxo de fármacos antituberculose, como por exemplo a isoniazida100 e também com o transporte de fatores de virulência para a superfície celular.101 MmpL3, MmpL4 e MmpL5 colaboram com o transporte de ferro.102 MmpL8 tem um papel importante na biogênese de sulfatídeos e também contribui para a virulência do MTB.103

A proteína MmpL3 tem um papel crucial durante o crescimento do MTB e está envolvida no transporte de ferro, ácidos micólicos e monomicolato trealose. Diferentes compostos, incluindo SQ109 (36), BM212 (37), AU1234 (38), THPP (39) e Spiro (40), tem como alvo o MmpL3 no MTB (Figura 13 e 14). O composto BM212 (37) foi descoberto através de triagem de uma biblioteca contendo diversos derivados azólicos. Este composto apresentou atividade contra diversas micobactérias, incluindo cepas MDR. Abordagens genéticas caracterizaram mutaçoes no gene MmpL3 em cepas resistentes ao BM212, apontando o MmpL3 como um possível alvo para o BM212 e potencial alvo no MTB.104

 


Figura 13. Moléculas bioativas inibidoras do complexo proteico MmpL3

 

 


Figura 14. Estruturas de inibidores do complexo proteico MmpL3

 

Outro exemplo de composto descoberto através de estudos fenotípicos é o AU1234 (38) (Figura 13), o qual demonstrou CIM90 igual a 0,03 µmol L-1 contra MTB H37Rv.105 Inicialmente, acreditava-se que o mecanismo de açao deste composto se desse através da inibiçao da hidrólise de epóxidos; no entanto, o sequenciamento de mutantes resistentes revelou o MmpL3 como o alvo desta molécula. A alta lipofilicidade (cLogP = 5.1) e baixa solubilidade em água (<0,1 µg mL-1) do composto 38 levou ao planejamento de novos análogos contendo diferentes heterocíclicos, como isoxazol, oxadiazol e pirazol. Esses novos derivados apresentaram uma melhora significativa no perfil farmacocinético in vitro, no entanto, poucos compostos apresentaram melhoria significativa nos valores de CIM90 comparados ao composto precursor.106

Os compostos THPP (39) e Spiro (40) foram descobertos através de estudos fenotípicos em Mycobacterium bovis BCG. Ambos os compostos apresentaram eficácia contra MTB H37Rv intracelular e demonstraram valores de CIM90 iguais a 0,16 µmol L-1 e 0,63 µmol L-1 para os compostos 39 e 40, respectivamente (Figura 14). Os autores demonstraram que a inibiçao do MmpL3 por esses compostos resultou em um acúmulo de monomicolato trealose. Além disso, foram sintetizados análogos otimizados que foram capazes de reduzir o número de UFC nos pulmoes de camundongos em até 2 logaritmos.107

 

DNA GIRASE E TOPOISOMERASE I

É bem estabelecido na literatura o importante papel que as fluoroquinolonas têm no tratamento de MDR-TB através da inibiçao da enzima DNA girase. Esta classe de fármacos é inclusive utilizada em pacientes com tuberculose que nao respondem aos medicamentos de primeira linha.108

As fluoroquinolonas se ligam a subunidade GyrA da enzima DNA girase; no entanto, apesar de sua eficácia, elevadas taxas de resistência já foram relatados na literatura.109 A principal causa de resistência é a mutaçao no sítio de da enzima onde ocorre a ligaçao das fluoroquinolonas. Estudos já demonstraram que nao somente a subunidade GyrA da enzima, mas também a subunidade GyrB tem potencial para ser explorado como um alvo terapêutico contra MTB. Compostos como a novobiocina e a coumermicina inibem a atividade ATPase da subunidade GyrB. Além disso, a atividade biológica de diversos heterociclicos já foram descritos como sendo ativos contra a subunidade GyrB, como por exemplo derivados de cumarina, benzimidazol uréia, pirazol, indazol e indolinona.110,111

Utilizando inibidores de GyrB identificados previamente, foram sintetizados 26 derivados do etil 5-(piperazina-1-il) benzofurano-2-carboxilato, que foram avaliados contra cepas de MTB H37Rv. O composto 41 se apresentou como o mais promissor da série, exibindo uma CIM90 de 9.18 µmol L-1. Além disso, o composto 41 foi capaz de inibir a enzima DNA girase B (GyrB) no Mycobacterium smegmatis com IC50 de 3,2 µmol L-1 (Figura 15).110

 


Figura 15. Estruturas de inibidores das enzimas DNA girase B

 

Em outro estudo, foram identificados derivados de benzimidazol uréias em uma biblioteca da empresa farmacêutica AstraZeneca como potenciais inibidores da enzima GyrB contra M. smegmatis. O composto 42 (Figura 15) exibiu CIM90 igual a 0,5 µmol L-1 contra MTB H37Rv e valor de IC50 igual a 0,5 nmol L-1 na inibiçao da enzima GyrB. Estudos in vivo utilizando camundongos com infecçao aguda de tuberculose revelaram açao bactericida deste composto em dois diferentes regimes de administraçao oral (300 mg kg-1 uma vez ao dia ou 150 mg kg-1 duas vezes ao dia) durante 10 dias.111 Esses resultados sugerem a importância da subunidade GyrB como potencial alvo terapêutico a ser explorado no desenvolvimento de fármacos antituberculose.

A DNA topoisomerase I (Topo I) é uma enzima responsável pela relaxaçao das fitas de DNA durante os processos de replicaçao e transcriçao. Interessantemente, estudos revelaram que o silenciamento do gene topA (codificador da enzima Topo I) no M. tuberculosis levou a perda da capacidade da micobactéria em estabelecer infecçao em camundongos. Além disso, a depleçao deste gene leva o MTB à morte. Assim, esta enzima se consolidou como um alvo terapêutico promissor no Mycobacterium.112 Através de uma triagem de uma biblioteca de 1500 compostos da empresa AstraZeneca, foi identificada a molécula dihidrobenzofuranil ureia (43) como inibidora da enzima Topo I (Figura 16) com valor de IC50 igual a 60 µmol L-1.113

 


Figura 16. Estrutura de um inibidor da enzima topoisomerase I

 

CLPP PROTEASE

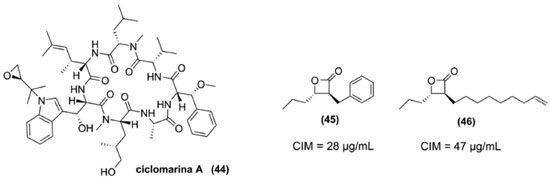
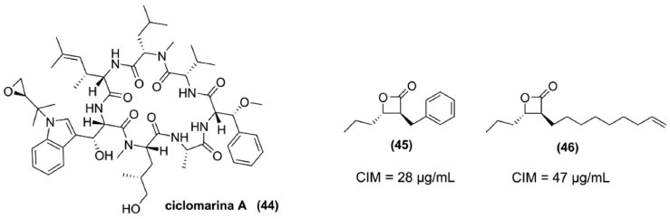
ClpP1 e ClpP2 sao enzimas homólogas codificadas pelo M. tuberculosis que desempenham importante funçao para a viabilidade da micobactéria. Essas enzimas estao envolvidas no processo de renovaçao e degradaçao de proteínas nao funcionais. O complexo proteolítico formado entre a ClpP1 e ClpP2, denominada ClpP1P2, é essencial para o crescimento do MTB durante o processo infeccioso.114 Especificamente, a enzima ClpP apresenta uma câmara interior na qual degrada pequenos peptídeos; no entanto, algumas proteínas podem ser degradadas nessa câmara na presença de ATPases associadas com diferentes atividade (AAA+) através de reaçoes utilizando ATP.115 Interessantemente, foi relatada a atividade antituberculose do peptídeo cíclico ciclomarina A (44) (Figura 17) contra cepas de isolados clínicos de MDR-TB. A atividade anti-TB deste peptídeo está relacionada com a capacidade de interaçao com as AAA+ levando à inibiçao da atividade catalítica da enzima ClpP.116,117

 


Figura 17. Estruturas da ciclomarina A e de β-lactonas inibidoras da ClpP

 

β-lactonas foram descritas como inibidores irreversíveis da enzima ClpP. A subunidade lactona atua como sítio eletrofílico que leva a formaçao de um produto O-acil-enzima após o ataque nucleofílico de uma serina presente no sitio ativo da enzima.118 Estudos demonstraram que β-lactonas, como por exemplo as moléculas 45 e 46, sao ativas contra M. tuberculosis (Figura 17), e estudos in vitro caracterizaram que o mecanismo de açao desses compostos é de fato a inibiçao da enzima ClpP. No entanto, apesar dos resultados promissores obtidos, as β-lactonas sao metabolicamente instáveis e sofrem hidrólise em poucos minutos no plasma humano. A substituiçao da subunidade β-lactâmica por outros grupos, como carbamato, lactona, éster e oxetano levou à perda da atividade antituberculose devido a restriçoes no sítio ativo da enzima.119

Outros produtos naturais capazes de inibir a ClpP também já foram relatados. A lassomicina (47) (Figura 18) foi identificada através de um screening fenotípico contra MTB. Interessantemente, este peptídeo demonstrou atividade bactericida contra formas ativas e latentes do Mycobacterium. Além disso, em um painel de cepas de MDR-TB e XDR-TB, a lassomicina exibiu valores de CIM90 em uma faixa que variou entre 0,8 - 3 µg mL-1.120 Através de estudos computacionais, os autores demonstraram a capacidade da lassomicina de interagir com a enzima ClpP. A ecumicina (48) (Figura 18) é outro peptídeo cíclico isolado da actinobacteria Nonomuraea sp MJM5123 com potente atividade antituberculose cujo valor de CIM90 foi de 0,2 µg mL-1 contra MTB H37Rv e cepas de MDR-TB e XDR-TB. Estudos in vivo utilizando camundongos revelaram a completa inibiçao do crescimento do MTB nos pulmoes após 12 doses de 20 mg kg-1 ou 32 mg kg-1. Além disso, os autores demonstraram que a ecumicina atua através da inibiçao da atividade proteolítica do complexo ClpP1P2.121

 


Figura 18. Produtos naturais bioativos inibidores da ClpP

 

OUTROS ALVOS

Asps

A enzima aspartil-tRNA sintetase (AspS) é essencial para o M. tuberculosis devido ao seu importante papel no processo de síntese de proteínas. Estudos demonstraram a caracterizaçao bioquímica desta enzima e avaliaram a capacidade inibitória de derivados de tiazol. O composto 49 (Figura 19) demonstrou notável atividade inibitória na enzima AspS.122

 


Figura 19. Estruturas de inibidores das enzimas AspS e MptpB

 

Nade

A depleçao da enzima nicotinamida adenina dinucleótido sintetase (NadE) pode levar à morte do M. tuberculosis em condiçoes de crescimento ativo ou latente. A nicotinamida adenina dinucleótido (NAD) é um cofator essencial para diversos processos bioquímicos, além de ser substrato para as enzimas DNA ligases, ADP ribosilases e deacetilases proteicas.123 A micobactéria sintetiza NAD através de um processo de novo e as recicla através de vias alternativas. Ambas as vias bioquímicas compartilham as reaçoes catalisadas pelas enzimas NadE e a mononucleótideo ácido nicotínico adeniltransferase (codificada pela nadD). Estudos já demonstraram em cepas mutantes de MTB que o correto funcionamento das enzimas NadE e NadD é essencial para o crescimento micobacteriano, tornando-se assim um alvo potencial para o desenvolvimento de novos fármacos anti-TB.124

Mptpb

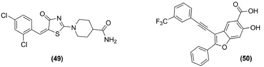
A enzima MptpB fosfatase atua como um fator de virulência secretado pelo M. tuberculosis e tem papel central na sobrevivência da micobactéria no interior dos macrófagos.125 O composto 50 (Figura 19) foi identificado como potente inibidor seletivo da enzima MptpB, e capaz de reverter a inibiçao dos macrófagos frente ao Mycobacterium. Esse mecanismo se mostra promissor devido à capacidade do M. tuberculosis de permanecer no interior dos macrófagos e de certa forma imune ao sistema imunológico. Além disso, esse composto atua restabelecendo a resposta imunológica dos macrófagos frente ao MTB.126

Ahas

A enzima acetohidroxiácido sintase (AHAS) encontra-se presente no início da via biosintética de aminoácidos de cadeia ramificada (BCAAs).127 O primeiro relato envolvendo esta enzima como alvo no Mycobacterium tuberculosis é de 1998, com o herbicida inibidor de AHAS sulfometuron metil.128 No entanto, somente após a determinaçao da estrutura cristalográfica da enzima foi possível o planejamento de protótipos baseados na estrutura do receptor.129 Interessantemente, foi relatada uma série de derivados de quinazolina inibidoras da enzima AHAS. Dentre as 24 moléculas avaliadas, o composto 51 (Figura 20) se mostrou como o mais promissor da série, exibindo CIM90 igual a 6,6 µmol L-1 contra MTB H37Rv e valor de IC50 de 6,5 µmol L-1 contra a enzima AHAS do M. tuberculosis. Além disso, a molécula 51 apresentou o mesmo valor de CIM90 quando avaliado em cepas de MDR-TB e XDR-TB.130 Estes resultados sugerem que a enzima AHAS como um alvo molecular promissor para o planejamento de novos fármacos anti-TB.

 


Figura 20. Estruturas de inibidores das enzimas AHAS e DHFR

 

Dhfr

A dihidrofolato redutase (DHFR) é uma importante enzima catalítica que participa do processo de reduçao do dihidrofolato para tetrahidrofolato, o qual é um precursor essencial para a biossíntese de diversos componentes da estrutura do DNA, RNA e proteínas, como timidilato, nucleotídeos purínicos, metionina, serina e glicina.131 Diversos inibidores de DHFR sao conhecidos, a exemplo do metotrexato. No entanto, a maioria desses compostos nao apresentam açao seletiva na enzima DHFR do Mycobacterium, exercendo também atividade inibitória na enzima humana.132,133

Nesse contexto, foi descrito através do screening de uma biblioteca com mais 265 mil compostos do Instituto Nacional do Câncer (NCI-USA) potenciais inibidores seletivos da enzima DHFR micobacteriana. O composto 52 (Figura 20) se mostrou como a mais promissora, exibindo IC50 de 6 µmol L-1 na enzima DHFR micobacteriana e 33 µmol L-1 na enzima DHFR humana, indicando, assim, seletividade de 5.5 vezes maior para a enzima micobacteriana. Além disso, o composto 52 inibiu o crescimento micobacteriano na concentraçao de 10 µg mL-1.134 De maneira similar, o composto 53 (Figura 20) foi identificado através da triagem de uma biblioteca contendo 32.000 estruturas da empresa farmacêutica Novo Nordisk A/S. Este derivado diaminoquinazolínico apresentou IC50 de 22,4 nmol L-1 contra a enzima DHFR micobacteriana.135

 

CONCLUSAO

A pesquisa e desenvolvimento de novos fármacos para o tratamento da tuberculose, especialmente suas formas resistentes, vêm demonstrando avanços nos últimos anos. O pipeline de candidatos a fármacos que atualmente estao em estudos clínicos, como por exemplo delamanida, sutezolida, pretomanida, SQ109 e Q203 demonstra que a pesquisa em tuberculose tem atraído o interesse das indústrias farmacêuticas e universidades, através do estabelecimento de redes colaborativas e parcerias envolvendo diversos países. Entretanto, o surgimento de cepas resistentes à compostos recém descobertos é ainda uma preocupaçao imensa das autoridades de saúde ao redor do mundo e que justificam a busca de novos fármacos que sejam efetivos e seguros. Nesse contexto, a busca por novos alvos moleculares e o planejamento de novos compostos com mecanismo de açao inovador é crucial para o sucesso da terapia das formas resistentes da tuberculose. Assim, nesta revisao, sao apresentados os recentes avanços da Química Medicinal na busca de novos alvos terapêuticos contra Mycobacterium tuberculosis. Entre os alvos apresentados se destacam: a) aqueles envolvidos com a biossíntese da parede celular (decaprenilfosforil-β-D-ribose 20-epimerase (DprE); ácidos graxos sintases (FASs); policetídeos sintases (PKSs); 2-trans-enoil-acil redutase (InhA); acil-AMP ligase (FadD32); b) alvos envolvidos com a geraçao de energia (subunidade b do citocromo (QcrB); NADH desidrogenase tipo-II (NDH-2); c) alvos envolvidos com o metabolismo do ferro (enzima formadora de adenilato (MbtA); proteína de membrana de micobactéria (MmpL3); d) DNA girase e topoisomerase I; e) CLPP protease e f) outros alvos (enzima aspartil-tRNA sintetase (AspS); enzima nicotinamida adenina dinucleótido sintetase (NadE); enzima MptpB fosfatase; enzima acetohidroxiácido sintase (AHAS); enzima dihidrofolato redutase (DHFR).

Dos alvos apresentados foi possível identificar que aqueles envolvidos com a geraçao de energia e metabolismo de ferro apresentaram os compostos mais potentes com valores de MIC90 inferiores a 1 µmol L-1, mostrando a importância dessas vias na sobrevivência da micobactéria. Além disso, muitos desses compostos foram ativos contra cepas multirresistentes.

Observa-se ainda nos últimos anos que a comunidade científica vem caracterizando majoritariamente a atividade antituberculose de novos compostos em estudos envolvendo avaliaçao fenotípica utilizando células micobacterianas inteiras. Após a identificaçao de compostos promissores é que se caracterizam os alvos moleculares através de estudos de proteômica e transcriptômica. Essa abordagem parece ser mais efetiva na identificaçao de alvos que sao posteriormente validados através de abordagens genéticas em estudos in vitro e in vivo.

Este artigo de revisao busca retratar os avanços na pesquisa de novos alvos para tuberculose nos últimos dez anos, bem como apresentar os compostos mais ativos identificados com valores de MIC90 inferiores a 10 µmol L-1. Desta forma, pretende-se fomentar na comunidade científica a busca por novas alternativas terapêuticas que reduzam o tempo de tratamento, aumentem a eficácia e diminuam a resistência.

 

AGRADECIMENTOS

Este estudo foi financiado pela Fundaçao de Amparo à Pesquisa do Estado de Sao Paulo (Processo FAPESP: 2014/02240-1; 2014/24811-0).

 

REFERENCIAS

1. World Health Organization; Global Tuberculosis Report, 2013.

2. World Health Organization Global Tuberculosis Report, 2014 (WHO/HTM/TB/2014.08).

3. World Health Organization Global Tuberculosis Report, 2015.

4. Lapausa, R. M.; Pareja, J. F. P.; Asensio, A.; Med. Clin. 2013, 141, 306.

5. Klopper, M.; Warren, R. M.; Hayes, C.; van Pittius, N. C. G.; Streicher, E. M.; Muller, B.; Sirgel, F. A.; Chabula-Nxiweni, M.; Hoosain, E.; Coetzee, G.; van Helden, P. D.; Victor, T. C.; Trollip, A. P.; Emerg. Infect. Dis. 2013, 19, 449.

6. Slomski, A.; J. Am. Med. Assoc. 2013, 309, 1097.

7. Koul, A.; Arnoult, E.; Lounis, N.; Guillemont, J.; Andries, K.; Nature 2011, 469, 483.

8. Ma, Z.; Lienhardt, C.; McIlleron, H.; Nunn, A. J.; Wang, X.; Lancet 2010, 375, 2100.

9. Fernandes, G. F. S.; Jornada, D. H.; Souza, P. C.; Man Chin, C.; Pavan, F. R.; Santos, J. L.; Curr. Med. Chem. 2015, 22, 3133.

10. Pai, M.; Behr, M. A.; Dowdy, D.; Dheda, K.; Divangahi, M.; Boehme, C. C.; Ginsberg, A.; Swaminathan, S.; Spigelman, M.; Getahun, H.; Menzies, D.; Raviglione, M.; Nature Reviews Disease Primers 2016, 2, 1.

11. Branco, F. S. C.; Pinto, A. C.; Boechat, N.; Rev. Virtual Quim. 2012, 4, 287.

12. Branco, F. S. C.; Pinto, A. C.; Boechat, N.; Curr. Top. Med. Chem. 2013, 13, 2808.

13. Ahn, S.; Jiricek, J.; Jung, J.; Jeon, H. K.; Cechetto, J.; Christophe, T.; Lee, H.; Kempf, M.; Jackson, M.; Lenaerts, A. J.; Pham, H.; Jones, V.; Seo, M. J.; Kim, Y. M.; Seo, M.; Seo, J. J.; Park, D.; Ko, Y.; Choi, I.; Kim, R.; Kim, S. Y.; Lim, S.; Yim, S.-A.; Nam, J.; Kang, H.; Kwon, H.; Oh, C.-T.; Cho, Y.; Jang, Y.; Kim, J.; Chua, A.; Tan, B. H.; Nanjundappa, M. B.; Rao, S. P. S.; Barnes, W. S.; Wintjens, R.; Walker, J. R.; Alonso, S.; Lee, S.; Kim, J.; Oh, S.; Oh, T.; Nehrbass, U.; Han, S.-J.; No, Z.; Lee, J.; Brodin, P.; Cho, S.-N.; Nam, K.; Kim, J.; Nat. Med. 2013, 19, 1157.

14. Wallis, R. S.; Dawson, R.; Friedrich, S. O.; Venter, A.; Paige, D.; Zhu, T.; Silvia, A.; Gobey, J.; Ellery, C.; Zhang, Y.; Eisenach, K.; Miller, P.; Diacon, A. H.; PLoS One 2014, 9, e94462.

15. Ryan, N. J.; Lo, J. H.; Drugs 2014, 74, 1041.

16. Ginsberg, A. M.; Laurenzi, M. W.; Rouse, D. J.; Whitney, K. D.; Spigelman, M. K.; Antimicrob. Agents Chemother. 2009, 53, 3720.

17. Souza, M. V. N. de; Vasconcelos, T. R. A.; Quim. Nov. 2005, 28, 678.

18. Zumla, A.; Nahid, P.; Cole, S. T.; Nat. Rev. Drug Discov. 2013, 12, 388.

19. Bloemberg, G. V.; Keller, P. M.; Stucki, D.; Trauner, A.; Borrell, S.; Latshang, T.; Coscolla, M.; Rothe, T.; Hömke, R.; Ritter, C.; Feldmann, J.; Schulthess, B.; Gagneux, S.; Böttger, E. C.; N. Engl. J. Med. 2015, 373, 1986.

20. Zhang, S.; Chen, J.; Cui, P.; Shi, W.; Shi, X.; Niu, H.; Chan, D.; Yew, W. W.; Zhang, W.; Zhang, Y.; Antimicrob. Agents Chemother. 2016, 60, 2542.

21. Segala, E.; Sougakoff, W.; Nevejans-Chauffour, A.; Jarlier, V.; Petrella, S.; Antimicrob. Agents Chemother. 2012, 56, 2326.

22. Oliveira, C. G.; Miyata, M.; Pavan, F. R.; Leite, C. Q. F.; Almeida, E. T.; Deflon, V. M.; J. Braz. Chem. Soc. 2014, 25, 1848.

23. Pavan, F. R.; Leite, C. Q. F.; Batista, A. a; Back, D. F.; Lang, E. S.; Ellena, J.; Salistre-de-Araujo, H. S.; Deflon, V. M.; J. Braz. Chem. Soc. 2010, 21, 1177.

24. Samadhiya, P.; Sharma, R.; Srivastava, S. K.; Srivastava, S. D.; Quim. Nov. 2012, 35, 914.

25. Cardoso, S. H.; De Assis, J. V.; De Almeida, M. V.; Lourenço, M. C. S.; Vicente, F. R. C.; De Souza, M. V. N.; Quim. Nov. 2009, 32, 1557.

26. Gallardo, H.; Conte, G.; Bryk, F.; Lourenço, M. C. S.; Costa, M. S.; Ferreira, V. F.; J. Braz. Chem. Soc. 2007, 18, 1285.

27. Fernandes, G. F. .; Souza, P. C.; Marino, L. B.; Chegaev, K.; Gugliemo, S.; Lazzarato, L.; Fruttero, R.; Chung, M. C.; Pavan, F. R.; Santos, J. L.; Eur. J. Med. Chem. 2016, 123, 523.

28. Baldwin, P. R.; Reeves, A. Z.; Powell, K. R.; Napier, R. J.; Swimm, A. I.; Sun, A.; Giesler, K.; Bommarius, B.; Shinnick, T. M.; Snyder, J. P.; Liotta, D. C.; Kalman, D.; Eur. J. Med. Chem. 2015, 92, 693.

29. Hernández, P.; Rojas, R.; Gilman, R. H.; Sauvain, M.; Lima, L. M.; Barreiro, E. J.; González, M.; Cerecetto, H.; Eur. J. Med. Chem. 2013, 59, 64.

30. Moreth, M.; Ornelas, D.; Gomes, C. R. B.; De Souza, M. V. N.; Rev. Virtual Quim. 2010, 2, 105.

31. Santos, J. L.; Yamasaki, P. R.; Chin, C. M.; Takashi, C. H.; Pavan, F. R.; Leite, C. Q. F.; Bioorg. Med. Chem. 2009, 17, 3795.

32. Cardoso, S. H.; Barreto, M. B.; Lourenço, M. C. S.; Graças, M. das; Henriques, M. de O.; Candéa, A. L. P.; Kaiser, C. R.; De Souza, M. V. N.; Chem. Biol. Drug Des. 2011, 77, 489.

33. Lourenço, M. C. S.; Vicente, F. R.; Henriques, M. G. M. de O.; Candéa, A. L. P.; Gonçalves, R. S. B.; Nogueira, T. C. M.; Ferreira, M. L.; De Souza, M. V. N.; Bioorg. Med. Chem. Lett. 2007, 17, 6895.

34. Almeida, M. V. de; Saraiva, M. F.; De Souza, M. V. N.; Costa, C. F.; Vicente, F. R. C.; Lourenço, M. C. S.; Bioorg. Med. Chem. Lett. 2007, 17, 5661.

35. Candéa, A. L. P.; Ferreira, M. L.; Pais, K. C.; Cardoso, L. N. F.; Kaiser, C. R.; Henriques, M. G. M. O.; Lourenço, M. C. S.; Bezerra, F. A. F. M.; De Souza, M. V. N.; Bioorg. Med. Chem. Lett. 2009, 19, 6272.

36. De Souza, M. V. N.; Pais, K. C.; Kaiser, C. R.; Peralta, M. A.; Ferreira, M. L.; Lourenço, M. C. S.; Bioorg. Med. Chem. 2009, 17, 1474.

37. Lourenço, M. C. S.; Ferreira, M. L.; De Souza, M. V. N.; Peralta, M. A.; Vasconcelos, T. R. A.; Henriques, M. G. M. O.; Eur. J. Med. Chem. 2008, 43, 1344.

38. Santivañez-Veliz, M.; Pérez-Silanes, S.; Torres, E.; Moreno-Viguri, E.; Bioorg. Med. Chem. Lett. 2016, 26, 2188.

39. Boechat, N.; Bastos, M. M.; Curr. Top. Med. Chem. 2013, 13, 2885.

40. Cooper, C. B.; J. Med. Chem. 2013, 56, 7755.

41. Wyatt, P. G.; Gilbert, I. H.; Read, K. D.; Fairlamb, A. H.; Curr. Top. Med. Chem. 2011, 11, 1275.

42. Schnappinger, D; O'Brien, K.M; Ehrt, S.; Methods. Mol. Biol. 2015, 1285, 151.

43. Wyatt, P.G; Gilbert, I.H; Read, K.D; Fairlamb, A.; Curr. Top. Med. Chem. 2011, 11, 1275.

44. Swinney, D.C.; Anthony, J.; Nat. Rev. Drug Discov. 2011, 10, 507.

45. Stanley, S. a; Kawate, T.; Iwase, N.; Shimizu, M.; Clatworthy, A. E.; Kazyanskaya, E.; Sacchettini, J. C.; Ioerger, T. R.; Siddiqi, N. a; Minami, S.; Aquadro, J. a; Grant, S. S.; Rubin, E. J.; Hung, D. T.; Proc. Natl. Acad. Sci. U. S. A. 2013, 110, 11565.

46. Rao, S. P. S.; Lakshminarayana, S. B.; Kondreddi, R. R.; Herve, M.; Camacho, L. R.; Bifani, P.; Kalapala, S. K.; Jiricek, J.; Ma, N. L.; Tan, B. H.; Ng, S. H.; Nanjundappa, M.; Ravindran, S.; Seah, P. G.; Thayalan, P.; Lim, S. H.; Lee, B. H.; Goh, A.; Barnes, W. S.; Chen, Z.; Gagaring, K.; Chatterjee, A. K.; Pethe, K.; Kuhen, K.; Walker, J.; Feng, G.; Babu, S.; Zhang, L.; Blasco, F.; Beer, D.; Weaver, M.; Dartois, V.; Glynne, R.; Dick, T.; Smith, P. W.; Diagana, T. T.; Manjunatha, U. H.; Sci. Transl. Med. 2013, 5, 214ra168.

47. Sacchettini, J. C.; Rubin, E. J.; Freundlich, J. S.; Nat. Rev. Microbiol. 2008, 6, 41.

48. Pethe, K; Bifani, P; Jang, J; Kang, S; Park, S; Ahn, S; Jiricek, J; Jung, J; Jeon, H. K.; Cechetto, J; Christophe, T.; Lee, H.; Kempf, M.; Jackson, M.; Lenaerts, A. J.; Pham, H.; Jones, V.; Seo, M. J.; Kim, Y. M.; Seo, M.; Seo, J. J.; Park, D.; Ko, Y.; Choi, I.; Kim, R.; Kim, J.; Nat. Med. 2013, 19, 1157.

49. Cooper, C. B.; J. Med. Chem. 2013, 56, 7755.

50. Lamichhane, G.; Trends Mol. Med. 2011, 17, 25.

51. Global Alliance for TB Drug Development Handbook of anti-tuberculosis agents. Tuberculosis 2008, 88, 85.

52. Singh, V.; Mizrahi, V.; Drug Discov. Today (2016), http://dx.doi.org/10.1016/j.drudis.2016.09.010.

53. Makarov, V.; Manina, G.; Mikusova, K.; Möllmann, U.; Ryabova, O.; Saint-Joanis, B.; Dhar, N.; Pasca, M. R.; Buroni, S.; Lucarelli, A. P.; Milano, A.; De Rossi, E.; Belanova, M.; Bobovska, A.; Dianiskova, P.; Kordulakova, J.; Sala, C.; Fullam, E.; Schneider, P.; McKinney, J. D.; Brodin, P.; Christophe, T.; Waddell, S.; Butcher, P.; Albrethsen, J.; Rosenkrands, I.; Brosch, R.; Nandi, V.; Bharath, S.; Gaonkar, S.; Shandil, R. K.; Balasubramanian, V.; Balganesh, T.; Tyagi, S.; Grosset, J.; Riccardi, G.; Cole, S. T.; Science 2009, 324, 801.

54. Brecik, M.; Centárová, I.; Mukherjee, R.; Kolly, G. S.; Huszár, S.; Bobovská, A.; Kilacsková, E.; Mokošová, V.; Svetlíková, Z.; šarkan, M.; Neres, J.; Korduláková, J.; Cole, S. T.; Mikušová, K.; ACS Chem. Biol. 2015, 10, 1631.

55. Riccardi, G.; Pasca, M. R.; Chiarelli, L. R.; Manina, G.; Mattevi, A.; Binda, C.; Appl. Microbiol. Biotechnol. 2013, 97, 8841.

56. Christophe, T.; Jackson, M.; Hee, K. J.; Fenistein, D.; Contreras-Dominguez, M.; Kim, J.; Genovesio, A.; Carralot, J. P.; Ewann, F.; Kim, E. H.; Lee, S. Y.; Kang, S.; Seo, M. J.; Eun, J. P.; škovierová, H.; Pham, H.; Riccardi, G.; Youn, N. J.; Marsollier, L.; Kempf, M.; Joly-Guillou, M. L.; Oh, T.; Won, K. S.; No, Z.; Nehrbass, U.; Brosch, R.; Cole, S. T.; Brodin, P.; PLoS Pathog. 2009, 5, e1000645.

57. Stanley, S. a; Grant, S. S.; Kawate, T.; Iwase, N.; Shimizu, M.; Wivagg, C.; Silvis, M.; Kazyanskaya, E.; Aquadro, J.; Golas, A.; Fitzgerald, M.; Dai, H.; Zhang, L.; Hung, D. T.; ACS Chem. Biol. 2012, 7, 1377.

58. Panda, M.; Ramachandran, S.; Ramachandran, V.; Shirude, P. S.; Humnabadkar, V.; Nagalapur, K.; Sharma, S.; Kaur, P.; Guptha, S.; Narayan, A.; Mahadevaswamy, J.; Ambady, A.; Hegde, N.; Rudrapatna, S. S.; Hosagrahara, V. P.; Sambandamurthy, V. K.; Raichurkar, A.; J. Med. Chem. 2014, 57, 4761.

59. Gavalda, S.; Léger, M.; van der Rest, B.; Stella, A.; Bardou, F.; Montrozier, H.; Chalut, C.; Burlet-Schiltz, O.; Marrakchi, H.; Daffé, M.; Quémard, A.; J. Biol. Chem. 2009, 284, 19255.

60. Galandrin, S.; Guillet, V.; Rane, R. S.; Léger, M.; N, R.; Eynard, N.; Das, K.; Balganesh, T. S.; Mourey, L.; Daffé, M.; Marrakchi, H.; J. Biomol. Screen. 2013, 18, 576.

61. Kawate, T.; Iwase, N.; Shimizu, M.; Stanley, S. A.; Wellington, S.; Kazyanskaya, E.; Hung, D. T.; Bioorg. Med. Chem. Lett. 2013, 23, 6052.

62. Wilson, R.; Kumar, P.; Parashar, V.; Vilchèze, C.; Veyron-Churlet, R.; Freundlich, J. S.; Barnes, S. W.; Walker, J. R.; Szymonifka, M. J.; Marchiano, E.; Shenai, S.; Colangeli, R.; Jacobs, W. R.; Neiditch, M. B.; Kremer, L.; Alland, D.; Nat. Chem. Biol. 2013, 9, 499.

63. Thanna, S.; Knudson, S. E.; Grzegorzewicz, A.; Kapil, S.; Goins, C. M.; Ronning, D. R.; Jackson, M.; Slayden, R. A.; Sucheck, S. J.; Org. Biomol. Chem. 2016, 14, 6119.

64. Vilchèze, C.; Jacobs, W. R.; Annu. Rev. Microbiol. 2007, 61, 35.

65. Marrakchi, H.; Lanéelle, G.; Quémard, A.; Microbiology 2000, 146, 289.

66. Martínez-Hoyos, M.; Perez-Herran, E.; Gulten, G.; Encinas, L.; Alvarez-Gómez, D.; Alvarez, E.; Ferrer-Bazaga, S.; García-Pérez, A.; Ortega, F.; Angulo-Barturen, I.; Rullas-Trincado, J.; Ruano, D. B.; Torres, P.; Castañeda, P.; Huss, S.; Menéndez, R. F.; del Valle, S. G.; Ballell, L.; Barros, D.; Modha, S.; Dhar, N.; Signorino-Gelo, F.; McKinney, J. D.; García-Bustos, J. F.; Lavandera, J. L.; Sacchettini, J. C.; Jimenez, M. S.; Martín-Casabona, N.; Castro-Pichel, J.; Mendoza-Losana, A.; EBioMedicine 2016, 8, 291.

67. Chollet, A.; Mori, G.; Menendez, C.; Rodriguez, F.; Fabing, I.; Pasca, M. R.; Madacki, J.; Kordulakova, J.; Constant, P.; Quemard, A.; Bernardes-Genisson, V.; Lherbet, C.; Baltas, M.; Eur. J. Med. Chem. 2015, 101, 218.

68. Shirude, P. S.; Madhavapeddi, P.; Naik, M.; Murugan, K.; Shinde, V.; Nandishaiah, R.; Bhat, J.; Kumar, A.; Hameed, S.; Holdgate, G.; Davies, G.; McMiken, H.; Hegde, N.; Ambady, A.; Venkatraman, J.; Panda, M.; Bandodkar, B.; Sambandamurthy, V. K.; Read, J. A.; J. Med. Chem. 2013, 56, 8533.

69. Pajk, S.; Živec, M.; šink, R.; Sosič, I.; Neu, M.; Chung, C.; Martínez-Hoyos, M.; Pérez-Herrán, E.; Alvarez-Gómez, D.; Alvarez-Ruíz, E.; Mendoza-Losana, A.; Castro-Pichel, J.; Barros, D.; Ballell-Pages, L.; Young, R. J.; Convery, M. A.; Encinas, L.; Gobe, S.; Eur. J. Med. Chem. 2016, 112, 252.

70. Stec, J.; Vilchèze, C.; Lun, S.; Perryman, A. L.; Wang, X.; Freundlich, J. S.; Bishai, W.; Jacobs, W. R.; Kozikowski, A. P.; ChemMedChem 2014, 9, 2528.

71. Maeda, K.; Kosaka, H.; Okami, Y.; Umezawa, H.; J. Antibiot. 1953, 6, 140.

72. Hartkoorn, R. C.; Sala, C.; Neres, J.; Pojer, F.; Magnet, S.; Mukherjee, R.; Uplekar, S.; Boy-Röttger, S.; Altmann, K.-H.; Cole, S. T.; EMBO Mol. Med. 2012, 4, 1032.

73. Kumar, U. C.; BVS, S. K.; Mahmood, S.; D, S.; Kumar-Sahu, P.; Pulakanam, S.; Ballell, L.; Alvarez-Gomez, D.; Malik, S.; JARP, S.; Future Med. Chem. 2013, 5, 249.

74. Pauli, I.; Dos Santos, R. N.; Rostirolla, D. C.; Martinelli, L. K.; Ducati, R. G.; Timmers, L. F. S. M.; Basso, L. A.; Santos, D. S.; Guido, R. V. C.; Andricopulo, A. D.; De Souza, O. N.; J. Chem. Inf. Model. 2013, 53, 2390.

75. Mahajan, R.; Int. J. Appl. Basic Med. Res. 2013, 3, 1.

76. Zhang, Y.; Wade, M. M.; S, corpio, A.; Zhang, H.; Sun, Z.; J. Antimicrob. Chemother. 2003, 52, 790.

77. Abrahams, K. A.; Cox, J. G.; Spivey, V. L.; Loman, N. J.; Pallen, M. J.; Constantinidou, C.; Fernández, R.; Alemparte, C.; Remuiñán, M. J.; Barros, D.; Ballell, L.; Besra, G. S.; PLoS One 2012, 7, e52951.

78. Matsoso, L. G.; Kana, B. D.; Crellin, P. K.; Lea-smith, D. J.; Pelosi, A.; Powell, D.; Dawes, S. S.; Rubin, H.; Coppel, R. L.; Mizrahi, V.; J. Bacteriol. 2005, 187, 6300.

79. Arora, K.; Ochoa-Montano, B.; Tsang, P. S.; Blundell, T. L.; Dawes, S. S.; Mizrahi, V.; Bayliss, T.; Mackenzie, C. J.; Cleghorn, L. A. T.; Ray, P. C.; Wyatt, P. G.; Uh, E.; Lee, J.; Barry, C. E.; Boshoff, H. I.; Antimicrob. Agents Chemother. 2014, 58, 6962.

80. Phummarin, N.; Boshoff, H. I.; Tsang, P. S.; Dalton, J.; Wiles, S.; Barry, C. E.; Copp, B. R.; MedChemComm 2016, 7, 2122.

81. Rybniker, J.; Vocat, A.; Sala, C.; Busso, P.; Pojer, F.; Benjak, A.; Cole, S. T.; Nat. Commun. 2015, 6, 1.

82. Welage, L. S.; Curr. Gastroenterol. Rep. 2003, 23, 74.

83. van der Westhuyzen, R.; Winks, S.; Wilson, C. R.; Boyle, G. A.; Gessner, R. K.; de Melo, C. S.; Taylor, D.; Kock, C.; Njoroge, M.; Brunschwig, C.; Lawrence, N.; Rao, S. P. S.; Sirgel, F.; van Helden, P.; Seldon, R.; Moosa, A.; Warner, D. F.; Arista, L.; Manjunatha, U. H.; Smith, P. W.; Street, L. J.; Chibale, K.; J. Med. Chem. 2015, 58, 9371.

84. Arora, K.; Ochoa-Montaño, B.; Tsang, P. S.; Blundell, T. L.; Dawes, S. S.; Mizrahi, V.; Bayliss, T.; Mackenzie, C. J.; Cleghorn, L. A. T.; Ray, P. C.; Wyatt, P. G.; Uh, E.; Lee, J.; Barry, C. E.; Boshoff, H. I.; Antimicrob. Agents Chemother. 2014, 58, 6962.

85. Weinstein, E. A.; Yano, T.; Li, L.S.; Avarbock, D.; Avarbock, A.; Helm, D.; McColm, A. A; Duncan, K.; Lonsdale, J. T.; Rubin, H.; Proc. Natl. Acad. Sci. U. S. A. 2005, 102, 4548.

86. Yano, T.; Lin-Sheng, L.; Weinstein, E.; Teh, J. S.; Rubin, H.; J. Biol. Chem. 2006, 281, 11456.

87. Sassetti, C. M.; Rubin, E. J.; Proc. Natl. Acad. Sci. U. S. A. 2003, 100, 12989.

88. Dunn, E. A.; Roxburgh, M.; Larsen, L.; Smith, R. A. J.; McLellan, A. D.; Heikal, A.; Murphy, M. P.; Cook, G. M.; Bioorg. Med. Chem. 2014, 22, 5320.

89. Shirude, P. S.; Paul, B.; Roy Choudhury, N.; Kedari, C.; Bandodkar, B.; Ugarkar, B. G.; ACS Med. Chem. Lett. 2012, 3, 736.

90. Ratledge, C.; Tuberculosis 2004, 84, 110.

91. Somu, R. V.; Boshoff, H.; Qiao, C.; Bennett, E. M.; Barry, C. E.; Aldrich, C. C.; J. Med. Chem. 2006, 49, 31.

92. De Voss, J.J.; Rutter, K.; Schroeder, B.G.; Su, H.; Zhu, Y.; Barry, C. E.; Proc. Natl. Acad. Sci. U.S.A. 2000, 97, 1252.

93. Reddy, P.V.; Puri, R.V.; Chauhan, P.; Kar, R.; Rohilla, A.; Khera, A.; Tyagi, A. K.; J. Infect. Dis. 2013, 208, 1255.

94. Lun, S.; Guo, H.; Adamson, J.; Cisar, J. S.; Davis, T. D.; Chavadi, S. S.; Warren, D. J.; Quadri, L. E. N.; Tan, D. S.; Bishai, W. R.; Antimicrob. Agents Chemother. 2013, 57, 5138.

95. Nelson, K. M.; Viswanathan, K.; Dawadi, S.; Duckworth, B. P.; Boshoff, H. I.; Barry, C. E.; Aldrich, C. C.; J. Med. Chem. 2015, 58, 5459.

96. M. Sloan Siegrist, Meera Unnikrishnan, Matthew J. McConnell, Mark Borowsky, Tan-Yun Cheng, Noman Siddiqi, Sarah M. Fortune, D. Branch Moody, E. J. R.; Proc. Natl. Acad. Sci. U. S. A. 2009, 106, 18792.

97. Rodriguez, G. M.; Smith, I.; J. Bacteriol. 2006, 188, 424.

98. Mdluli, K.; Kaneko, T.; Upton, A.; Ann. N. Y. Acad. Sci. 2014, 1323, 56.

99. Pandey, R.; Rodriguez, G. M.; Infect. Immun. 2012, 80, 3650.

100. Pasca, M. R.; Guglierame, P.; De Rossi, E.; Zara, F.; Riccardi, G.; Antimicrob. Agents Chemother. 2005, 49, 4775.

101. Jain, M.; Cox, J. S.; PLoS Pathog. 2005, 1, 12.

102. Wells, R. M.; Jones, C. M.; Xi, Z.; Speer, A.; Danilchanka, O.; Doornbos, K. S.; Sun, P.; Wu, F.; Tian, C.; Niederweis, M.; PLoS Pathog. 2013, 9, e1003120.

103. Domenech, P.; Reed, M. B.; Dowd, C. S.; Manca, C.; Kaplan, G.; Barry, C. E.; J. Biol. Chem. 2004, 279, 21257.

104. La Rosa, V.; Poce, G.; Canseco, J. O.; Buroni, S.; Pasca, M. R.; Biava, M.; Raju, R. M.; Porretta, G. C.; Alfonso, S.; Battilocchio, C.; Javid, B.; Sorrentino, F.; Ioerger, T. R.; Sacchettini, J. C.; Manetti, F.; Botta, M.; De Logu, A.; Rubin, E. J.; De Rossi, E.; Antimicrob. Agents Chemother. 2012, 56, 324.

105. Brown, J. R.; North, E. J.; Hurdle, J. G.; Morisseau, C.; Scarborough, J. S.; Sun, D.; Korduláková, J.; Scherman, M. S.; Jones, V.; Grzegorzewicz, A.; Crew, R. M.; Jackson, M.; McNeil, M. R.; Lee, R. E.; Bioorg. Med. Chem. 2011, 19, 5585.

106. North, E. J.; Scherman, M. S.; Bruhn, D. F.; Scarborough, J. S.; Maddox, M. M.; Jones, V.; Grzegorzewicz, A.; Yang, L.; Hess, T.; Morisseau, C.; Jackson, M.; McNeil, M. R.; Lee, R. E.; Bioorg. Med. Chem. 2013, 21, 2587.

107. Remuiñán, M. J.; Pérez-Herrán, E.; Rullás, J.; Alemparte, C.; Martínez-Hoyos, M.; Dow, D. J.; Afari, J.; Mehta, N.; Esquivias, J.; Jiménez, E.; Ortega-Muro, F.; Fraile-Gabaldón, M. T.; Spivey, V. L.; Loman, N. J.; Pallen, M. J.; Constantinidou, C.; Minick, D. J.; Cacho, M.; Rebollo-López, M. J.; González, C.; Sousa, V.; Angulo-Barturen, I.; Mendoza-Losana, A.; Barros, D.; Besra, G. S.; Ballell, L.; Cammack, N.; PLoS One 2013, 8, e60933.

108. Miotto, P; Cirillo, D.M; Migliori, G. B.; Chest 2015, 147, 1135.

109. Zignol, M; Dara, M; Dean, A.S; Falzon, D; Dadu, A; Kremer, K; Hoffmann, H; Hoffner, S; Floyd, K.; Drug Resist Updates 2013, 16, 108.

110. Renuka, J.; Indrasena, K.; Srihari, K.; Ullas, V.; Shravan, M.; Padma, J.; Yogeeswari, P.; Sudhakar, K.; Sriram, D.; Bioorg. Med. Chem. 2014, 22, 4924.

111. Kale, M. G.; Raichurkar, A.; Shahul Hameed, P.; Waterson, D.; McKinney, D.; Manjunatha, M. R.; Kranthi, U.; Koushik, K.; Jena, L. K.; Shinde, V.; Rudrapatna, S.; Barde, S.; Humnabadkar, V.; Madhavapeddi, P.; Basavarajappa, H.; Ghosh, A.; Ramya, V.; Guptha, S.; Sharma, S.; Vachaspati, P.; Kumar, K. N. M.; Giridhar, J.; Reddy, J.; Panduga, V.; Ganguly, S.; Ahuja, V.; Gaonkar, S.; Kumar, C. N. N.; Ogg, D.; Tucker, J. a.; Boriack-Sjodin, P. A.; De Sousa, S. M.; Sambandamurthy, V. K.; Ghorpade, S. R.; J. Med. Chem. 2013, 56, 8834.

112. Godbole, A. A.; Leelaram, M. N.; Bhat, A.; Jain, P.; Nagaraja, V.; Arch. Biochem. Biophys. 2012, 528, 197.

113. Ravishankar, S.; Ambady, A.; Awasthy, D.; Mudugal, N. V.; Menasinakai, S.; Jatheendranath, S.; Guptha, S.; Sharma, S.; Balakrishnan, G.; Nandishaiah, R.; Ramachandran, V.; Eyermann, C. J.; Reck, F.; Rudrapatna, S.; Sambandamurthy, V. K.; Sharma, U. K.; Tuberculosis 2015, 95, 589.

114. Raju, R. M.; Unnikrishnan, M.; Rubin, D. H. F.; Krishnamoorthy, V.; Kandror, O.; Akopian, T. N.; Goldberg, A. L.; Rubin, E. J.; PLoS Pathog. 2012, 8, e1002511.

115. Baker, T. A.; Sauer, R. T.; Biochim. Biophys. Acta, Mol. Cell Res. 2012, 1823, 15.

116. Schmitt, E. K.; Riwanto, M.; Sambandamurthy, V.; Roggo, S.; Miault, C.; Zwingelstein, C.; Krastel, P.; Noble, C.; Beer, D.; Rao, S. P. S.; Au, M.; Niyomrattanakit, P.; Lim, V.; Zheng, J.; Jeffery, D.; Pethe, K.; Camacho, L. R.; Angew. Chem., Int. Ed. Engl. 2011, 50, 5889.

117. Vasudevan, D.; Rao, S. P. S.; Noble, C. G.; J. Biol. Chem. 2013, 288, 30883.

118. Gersch, M.; Gut, F.; Korotkov, V. S.; Lehmann, J.; Böttcher, T.; Rusch, M.; Hedberg, C.; Waldmann, H.; Klebe, G.; Sieber, S. A.; Angew. Chem., Int. Ed. Engl. 2013, 52, 3009.

119. Compton, C. L.; Schmitz, K. R.; Sauer, R. T.; Sello, J. K.; ACS Chem. Biol. 2013, 8, 2669.

120. Gao, W.; Kim, J.; Chen, S.; Cho, S.; Choi, J.; Jaki, B. U.; Jin, Y.; Lankin, D. C.; Lee, J.; Lee, S.; Mcalpine, J. B.; Napolitano, J. G.; Franzblau, S. G.; Suh, J.; Pauli, G. F.; Org. Lett. 2014, 16, 6044.

121. Gao, W.; Kim, J.; Anderson, J. R.; Akopian, T.; Hong, S.; Jin, Y.; Kandror, O.; Kim, J.; Lee, I.; Lee, S.; Mcalpine, J. B.; Mulugeta, S.; Sunoqrot, S.; Wang, Y.; Yang, S.; Yoon, T.; Goldberg, A. L.; Pauli, G. F.; Suh, J.; Franzblau, S. G.; Antimicrob. Agents Chemother. 2015, 59, 880.

122. Gurcha, S. S.; Usha, V.; Cox, J. A. G.; Fu, K.; Abrahams, K. A.; Bhatt, A.; Alderwick, L. J.; Reynolds, R. C.; Loman, N. J.; Nataraj, V.; Alemparte, C.; Barros, D.; Lloyd, A. J.; Ballell, L.; Hobrath, J. V; Besra, G. S.; PLoS One 2014, 9, e113568.

123. Rodionova, I. A.; Schuster, B. M.; Guinn, K. M.; Sorci, L.; Scott, D. A.; Li, X.; Kheterpal, I.; Shoen, C.; Cynamon, M.; Locher, C.; Rubin, E. J.; Osterman, A. L.; mBio 2014, 5, 1.

124. Kim, J.H.; O'Brien, K. M.; Sharma, R.; Boshoff, H. I. M.; Rehren, G.; Chakraborty, S.; Wallach, J. B.; Monteleone, M.; Wilson, D. J.; Aldrich, C. C.; Barry, C. E.; Rhee, K. Y.; Ehrt, S.; Schnappinger, D.; Proc. Natl. Acad. Sci. U. S. A. 2013, 110, 19095.

125. Beresford, N.; Mulhearn, D.; Szczepankiewicz, B.; Liu, G.; Johnson, M. E.; Fordham-Skelton, A.; Abad-Zapatero, C.; Cavet, J. S.; Tabernero, L.; J. Antimicrob. Chemother. 2009, 63, 928.

126. He, Y.; Xu, J.; Yu, Z.; Gunawan, A. M.; Wu, L.; Wang, L.; Zhang, Z.; J. Med. Chem. 2013, 56, 832.

127. McCourt, J. A.; Duggleby, R. G.; Amino Acids 2006, 31, 173.

128. Grandoni, J. A.; Marta, P. T.; Schloss, J. V.; J. Antimicrob. Chemother. 1998, 42, 475.

129. Choi, K. J.; Yeon, G. Y.; Hoh, G. H.; Choi, J. Do; Yoon, M. Y.; FEBS Lett. 2005, 579, 4903.

130. Lu, W.; Baig, I. A.; Sun, H. J.; Cui, C. J.; Guo, R.; Jung, I. P.; Wang, D.; Dong, M.; Yoon, M. Y.; Wang, J. G.; Eur. J. Med. Chem. 2015, 94, 298.

131. Blakley, R. L.; Advan. Enzym. Relat. Areas Mol. Biol 1995, 70, 23.

132. White, E. L.; Ross, L. J.; Cunningham, A.; Escuyer, V.; FEMS Microbiol. Lett. 2004, 232, 101.

133. Robson, C.; Meek, M. A.; Grunwaldt, J. D.; Lambert, P. A.; Queener, S. F.; Schmidt, D.; Griffin, R. J.; J. Med. Chem. 1997, 40, 3040.

134. Hong, W.; Wang, Y.; Chang, Z.; Yang, Y.; Pu, J.; Sun, T.; Kaur, S.; Sacchettini, J. C.; Jung, H.; Lin Wong, W.; Fah Yap, L.; Fong Ngeow, Y.; Paterson, I. C.; Wang, H.; Sci. Rep. 2015, 5, 1.

135. Kumar, A.; Zhang, M.; Zhu, L.; Liao, R. P.; Mutai, C.; Hafsat, S.; Sherman, D. R.; Wang, M. W.; PLoS One 2012, 7, e39961.

On-line version ISSN 1678-7064 Printed version ISSN 0100-4042
Qu�mica Nova
Publica��es da Sociedade Brasileira de Qu�mica
Caixa Postal: 26037 05513-970 S�o Paulo - SP
Tel/Fax: +55.11.3032.2299/+55.11.3814.3602
Free access

GN1