JBCS



21:49, sáb out 25

Acesso Aberto/TP



Revisão


Sínteses e propriedades de fármacos inibidores da tirosina quinase BCR-ABL, utilizados no tratamento da leucemia mieloide crônica
Syntheses and properties of drugs inhibitors of BCR-ABL tyrosine kinase, used in the treatment of chronic myeloid leukemia

Liviane D. de Azevedo1,2,#; Mônica M. Bastos1,2,#; Andressa Paula de Oliveira1,3,‡; Núbia Boechat1,2,*,#

1. Departamento de Síntese de Fármacos, Instituto de Tecnologia em Fármacos, Fundação Oswaldo Cruz, Farmanguinhos - Fiocruz, Manguinhos, 21041-250 Rio de Janeiro - RJ, Brasil
2. Centro de Ciências da Saúde, Instituto de Ciências Biomédicas, Universidade Federal do Rio de Janeiro, Bloco J, Ilha do Fundão, 21941-902 Rio de Janeiro - RJ, Brasil
3. Associação Brasileira de Ensino Universitário, ABEU - Centro Universitário, Rua Itaiara, 301, 26113-400 Belford Roxo - RJ, Brasil

Recebido em 05/10/2016
Aceito em 10/01/2017
Publicado na web em 09/03/2017

Endereço para correspondência

*e-mail: boechat@far.fiocruz.br
#Programa de Pós-Graduação em Farmacologia e Química Medicinal - P-GFQM
‡Programa de Bolsas Institucionais - PROBIN

RESUMO

The chronic myeloid leukemia (CML) is characterized by presence of the Philadelphia chromosome (Ph), originated from the translocation between chromosomes 9 and 22. This chromosome generates an abnormal protein tyrosine kinase which is responsible for tumor cell proliferation. The emergence of tyrosine kinase inhibitors (TKIs) has transformed the treatment of CML and imatinib being the first representative of this class. Although treatment with imatinib has reached surprising results, approximately 30% of patients exhibited resistance, especially in later stages of the disease. This fact stimulated the development of novel BCR-ABL enzyme inhibitors drugs classified as tyrosine kinase inhibitors (TKIs) of second and third generations. The TKIs have different chemical functions in their structure, and the knowledge of synthetic methods for preparation of these compounds can be a powerful tool for the development of new derivatives. The five approved BCR-ABL Tyrosine Kinase inhibitors (TKI) used in Chronic Myeloid Leukemia (CML) are reviewed aiming the main synthetic routes, highlighting the advantages and disadvantages associated with them.

Palavras-chave: chronic myeloid leukemia; tyrosine kinase inhibitors; imatinib mesylate.

INTRODUÇAO

Câncer ou neoplasia maligna é um termo genérico para denominar um grande grupo de doenças que tem em comum o crescimento desordenado das células. Sua principal característica é a multiplicaçao rápida de células anormais, que invadem os tecidos e órgaos, podendo espalhar-se para outras regioes do corpo, sendo esse processo conhecido como metástase.1

As neoplasias estao incluídas em um grupo chamado de doenças crônicas nao transmissíveis (DCNT) que sao doenças multifatoriais que ocorrem ao longo da vida e apresentam longa duraçao. Os principais fatores de risco associados às DCNTs sao tabagismo, consumo nocivo de álcool, inatividade física e alimentaçao nao saudável. Com relaçao aos determinantes sociais para a ocorrência destas doenças podem ser citados: o sexo, a genética e a idade.2 Os tipos de câncer com maior ocorrência de óbitos na populaçao mundial estao descritos na Tabela 1.

 

 

O câncer é uma das principais causas de morte do mundo, e aproximadamente 30% das mortes sao devido a quatro principais fatores de risco: alto índice de massa corporal, reduçao da ingestao de frutas e legumes, falta de atividade física, elevado consumo de tabaco e de álcool.3 No Brasil, as previsoes para 2016 apontam para uma ocorrência de aproximadamente 600 mil novos casos.4

Leucemia

O termo leucemia origina-se do grego e significa sangue branco.5 É uma neoplasia que tem como característica o acúmulo de células jovens anormais na medula óssea que substituem as células sanguíneas normais.6 No Brasil, para 2016, estima-se um número de óbitos de 10.070, sendo 5.540 homens e 4.530 mulheres.3

A leucemia é classificada de acordo com o tipo de célula acometida e com a velocidade de progressao da doença.7 Se as células afetadas forem linfoides, linfócitos ou tecido linfoide em formaçao é denominada leucemia linfoide. Quando o alvo sao as células mieloides (células que mais tarde se transformam em eritrócitos, leucócitos e megacariócitos) é denominada leucemia mieloide.6 De acordo com a progressao da doença ela pode ser classificada em crônica ou aguda. Na fase crônica as células ainda conseguem realizar as funçoes dos glóbulos brancos, replicando-se mais lentamente, e podendo funcionar por um período mais longo. Algumas formas de leucemia crônica nao apresentam sintomas iniciais, nao podendo ser diagnosticadas durante anos. A fase aguda inicia-se depois que alguns glóbulos brancos perdem ou danificam a sua sequência de ácidos desoxirribonucleicos (DNA) permanecendo imaturos. Estes sao conhecidos como células blásticas, que ainda mantém a sua capacidade para se multiplicar. Estas células nao morrem como as normais e, ao se acumularem, interferem no funcionamento de órgaos vitais. Além disso, nao realizam as suas funçoes, pois se multiplicam mais rápido que o normal, piorando a doença em curto espaço de tempo. As leucemias agudas requerem um tratamento rápido e agressivo.

Assim, as leucemias podem ser classificadas em quatro tipos mais comuns: Leucemia Linfoide Crônica (LLC), comum em adultos com mais de 55 anos; Leucemia Linfoide Aguda (LLA), prevalente em crianças (2-5 anos); Leucemia Mieloide Crônica (LMC), que acomete principalmente adultos do sexo masculino e Leucemia Mieloide Aguda (LMA), que é comum em adultos e crianças.6

Leucemia Mieloide Crônica (LMC)

A LCM foi descrita pela primeira vez em 1845, por John Hughes Bennet.8 No final de 1960, os pesquisadores Nowell e Hungerford, da Universidade da Pensilvânia, identificaram um cromossomo anormal presente nas células leucêmicas humanas.9 Este cromossomo, chamado de Philadelphia (Ph), é resultado da translocaçao entre os braços do cromossomo 9 e 22, sendo encontrado em 95% dos pacientes com LMC.10,11

O cromossomo Ph gera uma proteína híbrida BCR-ABL que apresenta atividade enzimática anormal da tirosina quinase, responsável pela patogênese da doença.12 Em condiçoes normais a tirosina quinase regula diversas atividades fundamentais como o ciclo celular, proliferaçao, diferenciaçao, mobilidade e a sobrevivência ou morte celular.13

Na fisiopatologia, o oncogene BCR-ABL é responsável pela ativaçao da proteína tirosina quinase. Ao se ligar com o trifosfato de adenosina (ATP) esta proteína transfere fosfato para resíduos de tirosina em proteínas específicas. Estas, após fosforilaçoes, realizam todas as atividades fundamentais de uma tirosina quinase de modo anormal levando à ocorrência de LMC.11 Desta forma, o bloqueio da ligaçao entre a proteína e o ATP é essencial para a interrupçao de todas as etapas subsequentes. A descoberta deste mecanismo foi fundamental para o desenvolvimento de uma terapia alvo para o tratamento de pacientes com LMC.14

Terapia da LMC e seu histórico

O histórico dos tratamentos empregados para a LMC mostra que os primeiros compostos testados foram a quinina (Figura 1) e o ferro, porém, o uso destas substâncias nao apresentou nenhum resultado.

 


Figura 1. Estrutura química da quinina

 

Em 1865, o médico alemao Lissauer administrou baixas doses de arsênico combinadas com iodo e cloreto de potássio (KCl) em uma paciente. Esse tratamento provocou a diminuiçao do tamanho do baço, do número de células brancas e a melhora da anemia, restaurando a sensaçao de bem-estar.9

Em 1878, Cutler e Bradford estudaram os efeitos do arsênio no hemograma e na doença. Eles realizaram a contagem total dos glóbulos brancos e vermelhos do sangue e descobriram que a administraçao desta associaçao, conhecida como soluçao de Fowler, causava a diminuiçao progressiva do número de glóbulos vermelhos e brancos do sangue.15 Mesmo assim, esta soluçao, independentemente de sua toxicidade, continuou sendo utilizada para o tratamento da LMC até a introduçao da radioterapia, em 1903.9

Em 1903, Nicholas Senn observou que o uso de irradiaçao por raios-X provocava rápida diminuiçao no baço e reduçao no número de leucócitos. Isto porque os raios-X impediam a replicaçao celular e causavam a morte das células, promovendo a melhora no hemograma e no bem-estar do paciente.16 Os benefícios desta terapia foram tao evidentes que, pela primeira vez, o termo "remissao" passou a ser utilizado. Contudo, o uso de raios-X nao aumentou a sobrevida dos pacientes que na época era de até três anos.17

Outra medida terapêutica utilizada foi a esplenectomia, que consiste na remoçao cirúrgica, completa ou parcial, do baço. As primeiras tentativas de esplenectomia datam de 1863, e a maior parte dos pacientes submetidos à esta intervençao encontrava-se em estágios avançados da doença.18 Em 1879, Gowers afirmou que a esplenectomia era invariavelmente fatal; contudo, a cirurgia era realizada apenas para dar maior conforto aos pacientes. Posteriormente, alguns médicos recomendaram a esplenectomia após o tratamento com radioterapia.9

O primeiro agente antineoplásico utilizado no tratamento de LMC foi a mostarda nitrogenada (mecloretamina) (Figura 2). Desenvolvida em 1947, demonstrou que quando administrada por via intravenosa causava diminuiçao significativa no número de leucócitos. Embora a melhora clínica fosse evidente, nao havia aumento da sobrevida dos pacientes.19

 


Figura 2. Estruturas químicas da mecloretamina e do bussulfano

 

Em 1952, foi introduzido na terapia o primeiro fármaco - bussulfano (Figura 2) - que produziu remissao hematológica em 42%, gerando sobrevida na fase crônica de até 3,8 anos. Ele apresentou maior seletividade para o tecido hematopoiético, particularmente nas séries granulocíticas, embora os ensaios clínicos mostrassem que era tóxico para o epitélio germinal e para os pulmoes. Após vários estudos utilizando diferentes dosagens do bussulfano, verificou-se que ele era capaz de controlar as manifestaçoes da LMC de modo mais eficiente que a radioterapia, especialmente porque poderia ser administrado por via oral. No entanto, seu uso foi suspenso devido aos graves efeitos adversos, tais como mielossupressao prolongada, fibrose pulmonar, mielofibrose e endomiocardiofibrose.20

A hidroxiuréia foi outro fármaco que se destacou devido aos excelentes resultados alcançados (Figura 3). Seu uso clínico como fármaco de primeira escolha teve início em 1972, devido à resposta hematológica completa de até 80%, e sobrevida média de 4,7 anos na fase crônica. Seu mecanismo consiste na interrupçao da síntese de DNA, através da inibiçao da enzima ribonucleotídeo-redutase.21 Quando comparado com o bussulfano, a hidroxiuréria mostrou-se menos tóxica; no entanto, ambas as terapias nao produziram remissao citogenética ou prevençao da progressao da doença para fase blástica.22

 


Figura 3. Estruturas químicas da hidroxiuréia e da citarabina

 

No início dos anos 80, o interferon alfa foi empregado e promoveu a remissao citogenética parcial, que consiste na reduçao do número de cromossomos Ph. Além disso, o uso do interferon alfa foi essencial para mostrar sua capacidade de aumentar a sobrevida do paciente.23,24 Por nao ser um tratamento curativo, os pacientes que apresentavam remissao citogenética eram mantidos na terapia, com doses de interferon por três vezes na semana, resultando em uma sobrevida de 5,5 anos.22 Segundo Kantarjian, dos 274 pacientes tratados diariamente com interferon alfa, 80% alcançaram remissao hematológica completa (RHC) e 58% remissao citogenética completa (RCC), com sobrevida média de 7,4 anos.24,25 No entanto, as reaçoes adversas levaram ao abandono do tratamento em cerca de 20% dos casos.26 Diversos fármacos foram testados em associaçao com o interferon alfa.24,25 Com a hidroxiuréia observou-se aumentou significativo da sobrevida dos pacientes, quando comparado ao uso da hidroxiuréia como monoterapia. Adicionalmente, foi alcançada remissao hematológica completa em 59% dos casos e 12% de remissao citogenética completa.22 A associaçao com a citarabina (Figura 3) aumentou a sobrevida em 86%, quando comparada aos pacientes que mantiveram o uso de interferon alfa em monoterapia. Entretanto, a inclusao deste fármaco na politerapia aumentou a toxicidade do tratamento.27

O transplante de célula tronco hematopoiética (TCTH) - efetivo no tratamento da LMC por ser capaz de produzir resposta curativa - começou a ser utilizado em 1986; porém a idade dos pacientes - maior que 60 anos em 55% dos casos - e a falta de doadores compatíveis tornam essa modalidade terapêutica restrita.28

Nos últimos anos foi observada uma revoluçao no tratamento da LMC com o surgimento de uma nova classe de inibidores de tirosina quinase (ITQ).29 Atualmente, estao disponíveis cinco ITQs: imatinibe, dasatinibe, nilotinibe, bosutinibe e ponatinibe. Uma ilustraçao do mecanismo de inibiçao da enzima tirosina quinase BCR-ABL pelos ITQs está descrita na Figura 4.

 


Figura 4. Mecanismo de inibiçao da enzima tirosina quinase BCR-ABL

 

O primeiro inibidor específico da tirosina quinase, a tirfostina (1), foi descrito em 1988 por Yaish & colaboradores.30 Posteriormente, alguns estudos demonstraram que o esqueleto fenilaminopirimidina (FAP) (2) apresentava elevado potencial para inibir, de forma nao específica, a quinase31,32 (Figura 5).

 


Figura 5. Estruturas químicas da tirfostina (1) e do esqueleto fenilamino pirimidina (FAP) (2)

 

Em 1993, Druker e colaboradores sintetizaram e testaram uma série de moléculas contendo o esqueleto FAP,33 dentre elas o imatinibe, que revelou ser capaz de eliminar de forma seletiva as células da LMC.34 Com o avanço dos testes clínicos, este fármaco passou a ser considerado como um "milagre". Estatísticas demonstraram que quase 100% dos pacientes tratados com o mesilato de imatinibe alcançavam a remissao total da doença.35

O mesilato de imatinibe (Glivecr) marcou o início da era dos "tinibes",36 embora posteriormente, alguns pacientes apresentassem resistência a ele. Este fato mostrou a necessidade de se desenvolver novos fármacos desta classe, surgindo entao os inibidores de segunda e terceira geraçoes, os quais atuam em mais de uma quinase sendo chamados inibidores "multi-quinases".

Inibidores de Tirosina Quinase

Considerando-se a relevância desta classe terapêutica e visando dar suporte aos futuros estudos de novos inibidores, este trabalho teve como objetivo revisar a literatura dos ITQs utilizados na terapêutica da LMC, bem como mostrar as principais rotas sintéticas para as suas obtençoes.

A primeira geraçao de ITQs é representada pelo imatinibe, a segunda pelo dasatinibe e nilotinibe e a terceira pelo bosutinibe e ponatinibe37 (Figura 6).

 


Figura 6. Inibidores de tirosina quinase de primeira, segunda e terceira geraçao

 

Imatinibe

O mesilato de imatinibe (STI571) - desenvolvido pela indústria suíça Novartis e aprovado pelo Food and Drug Administration (FDA) em 200138 - é um inibidor competitivo do sítio do ATP na enzima BCR-ABL, bloqueando sua atividade tirosina quinase ao impedir que o substrato seja fosforilado. Este bloqueio previne a transduçao de sinais de energia necessários para a proliferaçao celular e apoptose. Além disso, o imatinibe inibe a proliferaçao das células de diferentes linhagens da LMC e das células progenitoras hematopoiéticas.39

O imatinibe é administrado por via oral com doses entre 300 e 800 mg/dia. Pode ser utilizado na terapêutica de pacientes na fase aguda e na fase acelerada. No entanto, os melhores resultados sao observados em pacientes recém-diagnosticados com a doença.40

Este fármaco tem uma rápida absorçao (duas horas) quando administrado em altas doses, e sua biodisponibilidade é de 98%. Seu metabolismo é hepático, sendo realizado pela enzima citocromo P450 - isoforma CYP3A4 - e em menor extensao por outras isoformas. O objetivo do tratamento com imatinibe é encontrar uma resposta hematológica completa, alcançando como resultados uma contagem de leucócitos menor que 10x109/L, contagem de plaquetas menor de 450x109/L e ausência de células imaturas como mielócitos, promielócitos ou mieloblásticas no sangue periférico. Além disso, espera-se a eliminaçao dos sintomas da doença como, por exemplo a esplenomegalia.41

Embora o tratamento da LMC com imatinibe tenha alcançado resultados fantásticos, aproximadamente 20 a 30% dos pacientes têm apresentado resistência.42 A resistência pode ser primária, quando desde o início o paciente nao apresenta resposta alguma, ou pode ser resistência secundária, quando o paciente diminui ou nao alcança mais resultados ao longo do tratamento.43

Os mecanismos de resistência podem ser explicados através das mutaçoes no domínio quinase da proteína BCR-ABL, amplificaçao genética e super expressao do gene BCR-ABL, alteraçao da expressao de proteínas transmembranares de influxo e de efluxo e alteraçoes na regulaçao de mecanismos de transduçao de sinal.44 A mutaçao no domínio quinase BCR-ABL - denominada de T315I - é a mais temida, visto que somente o ponatinibe pode ser utilizado para tratar esta resistência.45,46

Síntese do imatinibe

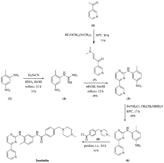
O primeiro processo para a obtençao do imatinibe é uma síntese convergente entre os intermediários 4 e 7, e foi descrito por Zimmermann e colaboradores.47 Neste trabalho, as principais limitaçoes para a sua produçao industrial sao o uso da cianamida para a obtençao do derivado de guanidina 4, a necessidade de três etapas reacionais e o uso do sódio para a síntese do intermediário 7, que atualmente pode ser obtido em uma única etapa. Os rendimentos de todas as etapas desta rota sintética nao foram descritos no documento original.

Recentemente, Boechat e colaboradores realizaram modificaçoes na metodologia original.48 As principais vantagens deste método foram a obtençao do intermediário 7 em uma única etapa, e reduçao do grupo nitro do intermediário 5 para 6 através do sistema Fe/NH4Cl, em etanol e água, evitando assim o uso do Pd/C (Esquema 1). Após a avaliaçao experimental deste processo, verificou-se que a metodologia sintética é capaz de produzir o imatinibe em bom rendimento global e dentro das especificaçoes farmacopéicas.

 


Esquema 1. Metodologia de síntese original para a obtençao do imatinibe aperfeiçoada por Boechat e colaboradores

 

Posteriormente, os grupos de pesquisa de Kompella49 e Szakacs50 propuseram melhorias na rota sintética descrita por Zimmermann e colaboradores, que permitiram a obtençao do imatinibe em bom rendimento global.

Em 2003, Loiseleur e colaboradores propuseram uma rota alternativa para a obtençao deste fármaco.51 Os autores evitaram o uso da cianamida; no entanto, foi empregado o trimetilalumínio, que é altamente inflamável, e um catalisador à base de paládio (Pd), para a penúltima e última etapa sintética, respectivamente (Esquema 2). Estas condiçoes reacionais nao viabilizaram a aplicabilidade desta rota sintética em escala industrial. O rendimento da penúltima etapa nao foi descrito.

 


Esquema 2. Síntese descrita por Loiseleur e colaboradores para a obtençao do imatinibe

 

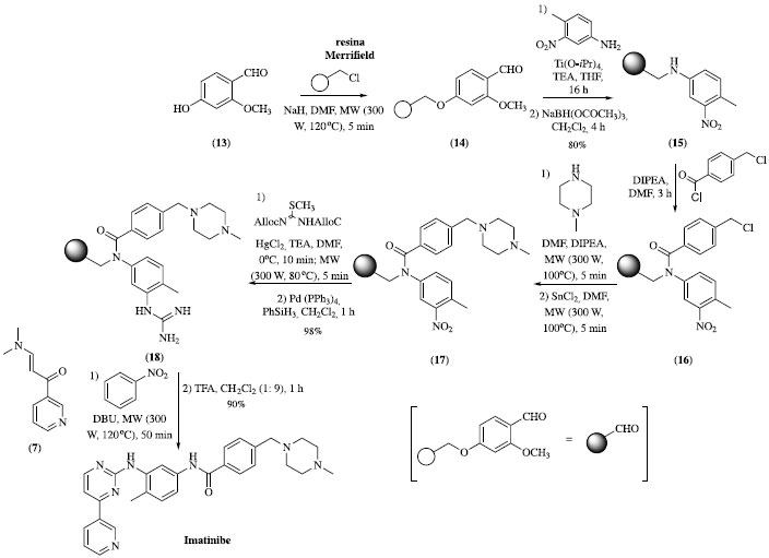
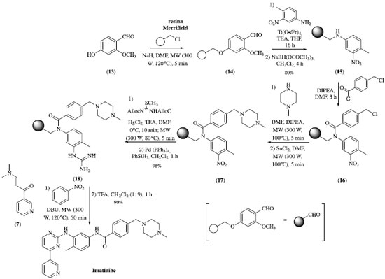
Em outra metodologia, descrita em 2007, o imatinibe pôde ser obtido a partir de uma síntese em fase sólida52 (Esquema 3). A maior vantagem deste método foi o uso de micro-ondas, que permitiu a reduçao dos tempos reacionais e aumento dos rendimentos. Apesar dos benefícios do processo, é remota a possibilidade de um "scale-up", visto que o método tem baixa aplicabilidade industrial e nao há rendimentos descritos para todas as etapas. Além disso, vários reagentes perigosos foram empregados, tais como cloreto de mercúrio (HgCl2) e fenilsilano (PhSiH3).

 


Esquema 3. Síntese em fase sólida para a obtençao do imatinibe

 

Em 2008, Liu e colaboradores53 descreveram um processo com grande potencial para aumento de escala, visto que as condiçoes reacionais eram mais simples para o uso industrial (Esquema 4).

 


Esquema 4. Metodologia sintética para a obtençao do imatinibe descrita por Liu e colaboradores

 

A empresa Tianjin Weijie Technology patenteou um processo de obtençao do imatinibe em quatro etapas e com bom rendimento global (32%).54 Nesta metodologia, a amida 21 foi utilizada como material de partida (Esquema 5).

 


Esquema 5. Metodologia sintética para a obtençao do imatinibe descrita pela Tianjin Weijie Technology

 

O uso da cianamida foi evitado na metodologia proposta por Wehrstedt e colaboradores. Contudo, como nao há descriçao do rendimento da terceira etapa, e foi necessário o uso de purificaçao por coluna cromatográfica para a obtençao do intermediário 5 em alto grau de pureza, este método tornou-se menos suscetível à aplicaçao na escala industrial55 (Esquema 6).

 


Esquema 6. Síntese do composto imatinibe via SNAr no núcleo pirimidina 26

 

A conversao do imatinibe para mesilato é descrita através da reaçao entre o imatinibe e o ácido metanossulfônico, na presença de carvao ativo e metanol, à temperatura ambiente.56-64

Devido à importância do imatinibe no cenário mundial e por ele nao estar mais sob patente, nos últimos anos inúmeras metodologias têm sido descritas para a sua obtençao.56-64 Todas visam melhorar o rendimento global do processo e baseiam-se nos métodos já descritos anteriormente.

Dasatinibe

O dasatinibe (BMS-354825 - Sprycelr) - comercializado pela Bristol-Myers Squibb (BMS) - e aprovado pelo FDA em 200665 - é um inibidor da forma ativa e inativa da enzima BCR-ABL, além de inibir outras quinases, tais como a família SRC, que é uma tirosina quinase intracelular, que está envolvida em processos como o crescimento celular.66

O dasatinibe é utilizado na terapia de pacientes em fase crônica com dose inicial de 100 mg/dia, inferior ao imatinibe, que necessita de doses entre 300 e 800 mg/dia.40 Pacientes em fase aguda ou crise blástica utilizam doses de 70 mg duas vezes ao dia.67 Seu tempo de meia vida é de 3 a 5 horas, sendo metabolizado pela enzima 3A4 do citocromo P450 e eliminado principalmente pelas fezes (85%).68

Devido à habilidade em inibir a proliferaçao da maioria das células mutantes resistentes ao imatinibe, o dasatinibe mostrou ser uma boa alternativa para o tratamento de pacientes que nao apresentam boa resposta ao imatinibe. No entanto, uma alta toxicidade deste fármaco foi observada em pacientes nas fases mais avançadas da doença devido às elevadas doses utilizadas na terapia.69,70

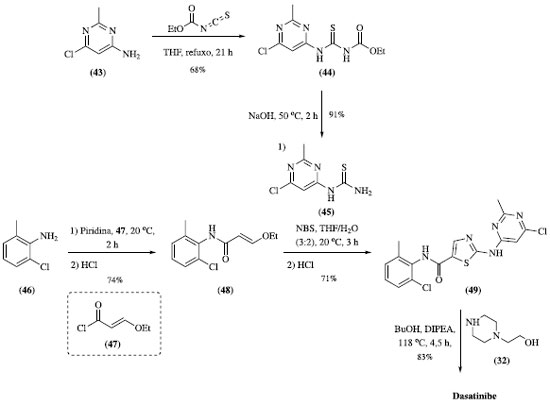
Síntese do dasatinibe

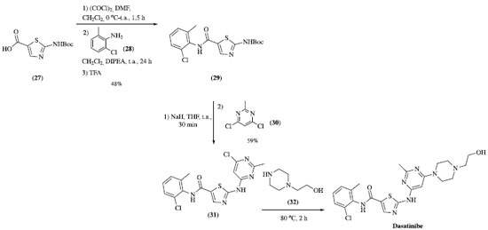
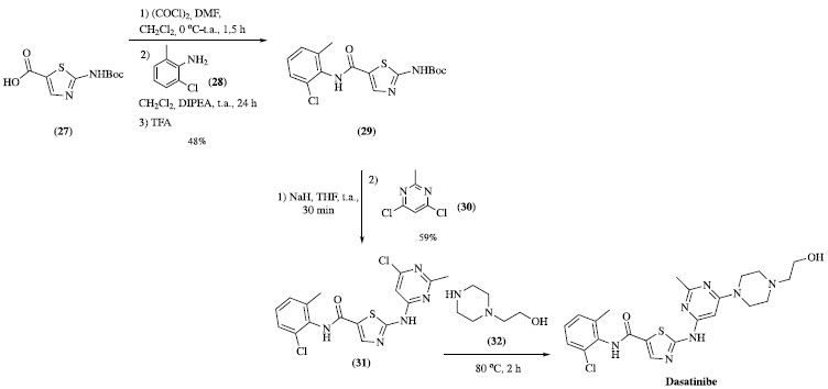
A rota sintética original para a obtençao do dasatinibe, descrita pela Bristol-Myers Squibb (BMS), consiste de três etapas reacionais a partir da reaçao entre o aminotiazol 27 e a 2-cloro-6-metilanilina (28), formando a amida 29. Posteriormente, 29 foi tratada com excesso de hidreto de sódio e o ânion gerado foi usado na reaçao com a pirimidina 30. A última etapa foi realizada através da reaçao de substituiçao nucleofílica aromática entre o derivado 31 e a piperazina 32, e o rendimento reacional nao foi descrito71-74 (Esquema 7).

 


Esquema 7. Rota sintética original para a síntese do dasatinibe descrita pela BMS

 

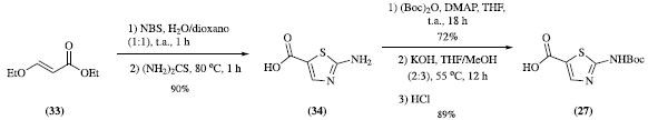
A metodologia para a obtençao do amino tiazol 27 (Esquema 8) foi descrita em 2006 por cientistas da BMS envolvidos na síntese do dasatinibe e, portanto, nao está relatada na patente original.75,76

 


Esquema 8. Preparaçao do carboxilato 27 utilizado como material de partida na rota sintética original para a síntese do dasatinibe

 

Em 2006, a BMS descreveu uma outra rota sintética para a síntese do dasatinibe, que foi preparado em escala de multigramas com rendimento global de 61% (Esquema 9). A metodologia teve início com a desprotonaçao do 2-cloro tiazol (35), seguida da adiçao do ânion ao isocianato 36. Posteriormente, o intermediário 37 foi tratado com o 1-(clorometil)-4-metoxi-benzeno (38) para a formaçao do derivado 39 em 95% de rendimento. Este foi submetido à uma reaçao de substituiçao nucleofílica aromática para a formaçao do intermediário 41, que após desproteçao levou à formaçao do composto 42 em 99% de rendimento. A etapa final desta rota consistiu na reaçao entre a piperazina 32 e o intermediário 42 para a formaçao do dasatinibe. Apesar de ser um método eficiente, a maior limitaçao do processo é a dificuldade na síntese do material de partida 35, que é obtido através da cloraçao direta do tiazol, com a formaçao de regioisômeros, necessitando de purificaçao para uso.75,76

 


Esquema 9. Síntese do dasatinibe descrita pela BMS a partir do 2-clorotiazol (35)

 

Em outra metodologia, a preparaçao do dasatinibe foi realizada através de uma síntese convergente onde a formaçao do anel tiazólico ocorre nas últimas etapas da rota (Esquema 10). A reaçao inicia-se com a obtençao da enona 48, a partir de uma adiçao à carbonila no substrato 47. Em seguida, ocorre a formaçao do intermediário tiazólico 49 em 71% de rendimento. Este foi tratado com a piperazina 32 para a formaçao do fármaco com bom rendimento global.77,78

 


Esquema 10. Preparaçao do dasatinibe através de uma síntese convergente entre 45 e 48

 

Uma outra rota sintética com poucas etapas reacionais foi proposta para a preparaçao deste fármaco. Este processo inicia-se com uma reaçao de substituiçao nucleofílica aromática na 4,6-dicloro-2-metil-pirimidina (30) formando 50, que após acoplamento de Buchwald-Hartwig com 51 levou à formaçao do dasatinibe em 80% de rendimento global78 (Esquema 11).

 


Esquema 11. Preparaçao do dasatinibe através do acoplamento de Buchwald-Hartwig de um aminotiazole 51 e uma pirimidina 50

 

Em 2010, a empresa de Bio-engenharia Nanjing Cavendish descreveu duas metodologias para a preparaçao do dasatinibe.79 Na primeira, o dasatinibe foi preparado em quatro etapas, partindo da 4,6-dicloro-2-metil-pirimidina (30). O segundo método utilizou como materiais de partida a 4-amino-6-bromo-2-metil-pirimidina (56) e o 2-clorotiazol-5-carboxilato de metila (57) (Esquema 12). Neste processo, a primeira etapa consistiu de uma reaçao de substituiçao nucleofílica aromática no intermediário 57. Posteriormente, o derivado 58 foi submetido à uma hidrólise do éster fornecendo o composto 59 em 78% de rendimento. O rendimento global do método foi de 42%.

 


Esquema 12. Rotas sintéticas descritas pela empresa de Bio-engenharia Nanjing Cavendish para a obtençao do dasatinibe

 

Nilotinibe

O nilotinibe (AMN107 - Tasignar) - desenvolvido pela Novartis e aprovado em 2007 pelo FDA - é utilizado em pacientes adultos com LMC, em fase crônica ou acelerada, resistentes ou intolerantes ao imatinibe. É estruturalmente semelhante ao imatinibe e foi descoberto a partir de um planejamento racional que objetivava melhor afinidade e especificidade de ligaçao contra BCR-ABL em relaçao ao imatinibe.80,81

Apresenta atividade contra a maioria das mutaçoes resistentes ao imatinibe, com exceçao domínio de mutaçao T315I do gene BCR-ABL, que permaneceu insensível. Além disso, inibe o receptor de tirosina quinase e marcador tumoral (c-Kit) e o receptor do fator de crescimento derivado das plaquetas (PDGFR).80,82

A dose usual do tratamento é de 200 mg duas vezes ao dia. O pico de concentraçao plasmática é alcançado três horas após a ingestao oral. Os principais metabólitos encontrados sao produtos de oxidaçao e hidroxilaçao, que ocorrem na fase I do metabolismo hepático. Seus metabólitos sao inativos e a principal via de eliminaçao é pelas fezes. As reaçoes adversas mais relatadas pelos pacientes foram erupçao cutânea, prurido, náusea, fadiga, dor de cabeça, dor abdominal, constipaçao e diarreia.83

Pacientes em fase crônica apresentaram uma resposta hematológica de 62%, sendo 41% completa; enquanto na fase aguda a resposta hematológica foi de 44% e 22% a completa. Com relaçao à resposta citogenética, observou-se um índice de 42% e 12%, respectivamente, nos dois grupos.84

Recentemente, Hochhaus e colaboradores publicaram um estudo comparativo entre a incidência de mutaçoes em pacientes que fizeram uso do nilotinibe ou imatinibe. Os resultados mostraram que pacientes tratados com nilotinibe apresentaram menor número de mutaçoes BCR-ABL do que pacientes tratados com imatinibe.85

Síntese do nilotinibe

Em 2004, foi depositada pela Novartis a primeira patente para a obtençao do nilotinibe sem conter nenhum dado de rendimento reacional. O método consiste em uma síntese convergente entre os intermediários 64 e 65. A obtençao de 64 consiste na formaçao do sal da guanidina 62, seguida de uma reaçao de condensaçao com a enaminona 07 levando à formaçao da pirimidina 63. Posteriormente, o grupo éster de 63 foi hidrolisado para o ácido carboxílico correspondente 64 e acoplado com anilina 65, utilizando fosforocianidato de dietila (66) como reagente de acoplamento (Esquema 13). Nesta patente também foi descrita a metodologia de preparaçao da anilina 65 através de uma rota com quatro etapas reacionais.86 Contudo, em 2006, a Novartis descreveu quatro diferentes rotas sintéticas para a obtençao do derivado 65 com rendimentos globais variando entre 18 e 53%.87

 


Esquema 13. Síntese convergente do nilotinibe descrita pela Novartis, através da reaçao entre o intermediário 64 e a anilina 65

 

Estudos posteriores mostraram que o nilotinibe poderia ser sintetizado através da condensaçao direta da anilina 65 com éster metílico 63 (Esquema 14). A reaçao foi realizada à temperatura ambiente, na presença de terc-butóxido de potássio, levando à formaçao do produto final em 67% de rendimento isolado. Este método oferece vantagens, tais como a eliminaçao da etapa de hidrólise e a necessidade de ativaçao do ácido 64 para a formaçao do nilotinibe. Estas mudanças favorecem a preparaçao do fármaco em escala industrial e diminuem o custo, além de eliminar o uso de reagentes de acoplamento, que sao relativamente caros e dificultam a purificaçao.88

 


Esquema 14. Obtençao do nilotinibe através da reaçao entre os intermediários 63 e 65

 

Uma rota sintética mais simples foi desenvolvida por pesquisadores da Ariad Pharmaceuticals (Esquema 15). Esta metodologia inicia-se com o acoplamento do 4(5)-metilimidazole (68) com a 3-bromo-5-trifluorometilanilina (67), levando à formaçao da mistura de anilinas 65 como regioisômeros na proporçao de 85: 15. Neste processo, a combinaçao do quelante 8-hidroxiquinolina (69) e iodeto de cobre facilitou a reaçao de acoplamento, ocorrendo a formaçao do produto com rendimentos razoáveis. A separaçao e purificaçao dos isômeros 65 pôde ser obtida através de cromatografia em coluna e recristalizaçao, respectivamente. Na etapa posterior, foi realizada a reaçao entre a anilina 65 com o cloreto de ácido 70, ocorrendo a formaçao do derivado 71 em 95% de rendimento. A etapa final consiste em um acoplamento de Buchwald que permite a obtençao do nilotinibe em 89% de rendimento.89

 


Esquema 15. Síntese do nilotinibe a partir da anilina 67 desenvolvida pela Ariad Pharmaceuticals

 

Em 2009, Chen e colaboradores descreveram um processo de obtençao do nilotinibe que utiliza condiçoes semelhantes à síntese original.86 No entanto, a amina em 63 foi protegida com carbamato de terc-butil (Boc) antes da hidrólise do éster. Isto permitiu o acoplamento do intermediário 64 com a anilina 65 em excelente rendimento90 (Esquema 16).

 


Esquema 16. Preparaçao do nilotinibe utilizando a proteçao de amina em 63 com Boc para a melhoria do rendimento do processo

 

Posteriormente, a Teva Pharmaceuticals patenteou uma reaçao de acoplamento catalisada por cobre, para gerar o intermediário chave anilina 65 (Esquema 17). A metodologia desenvolvida melhorou a regiosseletividade e o isômero-1,5 foi detectado como uma impureza com 0,13% de rendimento. O processo utilizou a 8-hidroxiquinolina (69) como quelante, iodeto de cobre e uma mistura de óxido de cálcio e hidróxido de sódio. A reaçao foi aquecida à 120 °C por 69 horas, e o produto final foi purificado por precipitaçao utilizando uma mistura de acetato de etila/éter de petróleo. A segunda etapa consistiu na reaçao entre o intermediário 65 com o cloreto de ácido 72, obtido in situ, levando à formaçao do nilotinibe em 81% de rendimento.91 Rendimentos mais elevados (94%) foram observados quando o cloreto de ácido 72 foi isolado e, em seguida, acoplado com a anilina 65 (Esquema 17).

 


Esquema 17. Método de preparaçao do nilotinibe desenvolvido pela Teva Pharmaceuticals

 

Um método alternativo também descrito pela Teva Pharmaceuticals inicia-se com a preparaçao do cloreto de ácido 72, seguido de uma reaçao de acoplamento utilizando THF como solvente, N,N-Diisopropiletilamina (DIPEA) como base, na presença de 4-dimetilaminopiridina (DMAP) como um co-catalisador. A etapa final para a formaçao do nilotinibe consiste em outro acoplamento entre os derivados 73 e 68, utilizando iodeto de cobre, 69 e 1,8-diazabiciclo-[5.4.0]-undec-7-eno (DBU), à 120 oC por 48 horas (Esquema 18). O baixo rendimento reacional desta etapa (44%) foi devido às perdas durante a filtraçao sob celite, utilizada para a purificaçao do produto.91

 


Esquema 18. Metodologia de síntese do nilotinibe em três etapas reacionais, desenvolvida pela Teva Pharmaceuticals

 

Em 2012, Buchwald e colaboradores descreveram um outro processo que consiste no acoplamento do 4(5)-metilimidazole (68) com o 3-(trifluorometil)-5-bromoanilina (67), levando à formaçao regiosseletiva do intermediário 65 em 90% de rendimento. Este excelente resultado foi atribuído ao uso do Pd como catalisador. Este tipo de catálise também foi empregada com sucesso para a preparaçao do derivado 63, utilizado na última etapa da síntese do fármaco. Contudo, uma das principais limitaçoes desta metodologia é a necessidade de remoçao dos resíduos do metal no produto final92 (Esquema 19).

 


Esquema 19. Metodologia descrita por Buchwald e colaboradores para a síntese do intermediário 63 e do nilotinibe

 

Bosutinibe

O bosutinibe (SKI606 - Bosulifr) - comercializado pela Pfizer e aprovado pelo FDA, em setembro de 2012 - é utilizado em pacientes em fase crônica, acelerada ou blástica com cromossomo Ph positivo, resistentes ou intolerantes ao imatinibe.93

Assim como o dasatinibe, o bosutinibe é um duplo inibidor ativo contra SCR e BCR-ABL (inibe a maioria das células resistentes ao imatinibe, exceto a T315I), que nao apresenta atividade inibitória contra o c-Kit ou PDGFR.94 Possui um padrao de inibiçao semelhante ao imatinibe, contudo utiliza menores doses para atingir seu efeito. Acredita-se que devido à similaridade do padrao de inibiçao, ambos os fármacos compartilham de um mecanismo comum de inibiçao.95

A dosagem indicada é de 500 mg ao dia, sendo necessária a ingestao acompanhada de um alimento. Entre 4 a 6 horas, o medicamento atinge o seu pico plasmático, sendo metabolizado principalmente pelo CYP3A4. Os seus metabólitos nao sao ativos e a sua eliminaçao é pelas fezes.96

Síntese do bosutinibe

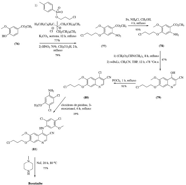
Os métodos descritos na literatura para a síntese do bosutinibe apresentam algumas desvantagens, tais como baixos rendimentos, alto custo dos reagentes e elevados tempos reacionais. A metodologia proposta por Boschelli e colaboradores consiste num processo de seis etapas cuja aplicabilidade foi limitada devido ao rendimento global de 8,3%.97 A primeira etapa consiste em uma reaçao de alquilaçao da hidroxila, seguida da nitraçao e posterior reduçao do grupo nitro em 77 para formar 78. Para a obtençao de 79, inicialmente ocorreu a formaçao da amidina, seguido da ciclizaçao do anel. Na quarta etapa, o oxicloreto de fosfóro (POCl3) foi utilizado como reagente numa reaçao de cloraçao. Após uma substituiçao nucleofílica aromática em 80, seguida de uma substituiçao nucleofílica bimolecular em 81, o bosutinibe foi obtido com elevado grau de pureza97 (Esquema 20).

 


Esquema 20. Metodologia com seis etapas reacionais para a síntese do bosutinibe descrita por Boschelli e colaboradores

 

O método proposto por Sutherland e colaboradores é composto por cinco etapas e apresenta rendimento global de 32%. É considerado um processo eficiente, mesmo que alguns reagentes possuam elevado custo e algumas etapas apresentem longos tempos reacionais, configurando limitaçoes importantes98 (Esquema 21).

 


Esquema 21. Processo de síntese do bosutinibe com cinco etapas e rendimento global de 32%, descrito por Sutherland e colaboradores

 

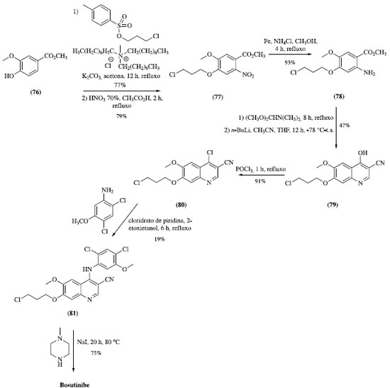
A síntese do bosutinibe com maior potencial para aplicaçao em escala industrial foi descrita em 2010 por Yin e colaboradores99 (Esquema 22). Esta metodologia inicia-se com o ácido 3-metoxi-4-hidroxibenzóico (88), que foi esterificado e alquilado com 1-bromo-3-cloropropano, levando à formaçao do intermediário 89. A nitraçao seguida da reduçao do grupo nitro no derivado 89 permitiu a formaçao do composto 78, o qual foi condensado com 3,3-dietoxiproprionitrila, ciclizado e clorado para a obtençao do derivado 4-cloroquinolina 80. Este, após reaçao de substituiçao nucleofílica aromática com a 2,4-dicloro-5-metoxianilina formou o derivado 81, que finalmente reagiu com a N-metilpiperazina para obter o bosutinibe.

 


Esquema 22. Síntese descrita em 2010 para obtençao do bosutinibe em escala industrial com cinco etapas

 

Ponatinibe

Em 14 de dezembro de 2012 o FDA concedeu aprovaçao acelerada para ponatinibe (AP24534 - Iclusigr). Desenvolvido pela Ariad Pharmaceuticals, é indicado para o tratamento de pacientes adultos com fase crônica, fase acelerada ou blástica de LMC, que sao resistentes ou intolerantes às terapias anteriores com quaisquer inibidores de tirosina quinase.100

A aprovaçao acelerada foi baseada nos resultados de um estudo multicêntrico internacional. Os ensaios clínicos com 449 pacientes resistentes ou intolerantes ao tratamento com inibidores da tirosina quinase mostraram que ele inibe a mutaçao T315I.101

A dose recomendada e a posologia para ponatinibe é de 45 mg uma vez ao dia. Os efeitos colaterais mais comuns relatados no ensaio clínico incluem hipertensao, erupçao cutânea, dor abdominal, fadiga, dor de cabeça, pele seca, constipaçao, febre, dor nas articulaçoes e náuseas. No entanto, também foram observados casos de trombose arterial e hepatotoxicidade.100

Síntese do ponatinibe

A primeira síntese do ponatinibe, descrita por Zou e colaboradores, consiste num processo convergente e simples que realiza dois acoplamentos de Sonogashira para a introduçao de uma ligaçao tripla entre dois ligantes.102 Para a preparaçao do primeiro ligante 93 foi realizada a reaçao entre o 2-trifluorometil-4-nitrotolueno (91), o N-bromosuccinimida (NBS) e a N-metilpiperazina para a formaçao do intermediário 92. A reduçao do grupo nitro em 92, seguido do acoplamento com cloreto de 3-iodo-4-metilbenzoila, permitiu a síntese do intermediário 93. A segunda porçao molecular 96 foi obtida a partir da reaçao com PdCl2(PPh3)2 ou Pd(PPh3)4, CuI em acetonitrila, a 80 °C; e este, após o acoplamento de Sonogashira com 93, levou à formaçao do ponatinibe102 (Esquema 23). Neste trabalho, os rendimentos reacionais nao foram descritos.

 


Esquema 23. Primeira metodologia de síntese do ponatinibe descrita por Zou e colaboradores

 

Em outra abordagem, os autores propuseram realizar o acoplamento de Sonogashira no início da síntese (Esquema 24). Esta metodologia inicia-se com a preparaçao do intermediário 98 através da reaçao entre 96 e o ácido 3-iodo-4-metil benzóico (97).102 Os rendimentos das etapas nao foram descritos.

 


Esquema 24. Rota sintética para a preparaçao do ponatinibe, que realiza o acoplamento de Sonogashira no início da síntese

 

Em 2014, Kovi e colaboradores descreveram uma metodologia sintética para a preparaçao do ponatinibe em sete etapas103 (Esquema 25). Segundo os autores, este método foi capaz de reduzir drasticamente a complexidade do processo quando comparado aos anteriores. Inicialmente, o 1-metil-2-trifluorometil-4-nitrobenzeno (100) reagiu com NBS, para a formaçao do intermediário 101. Este, após reaçao com ftalimida de potássio seguida de reduçao catalítica, levou à formaçao do composto 103. Posteriormente, foram realizadas mais quatro etapas reacionais para a formaçao do ponatinibe. Os rendimentos reacionais de algumas das etapas nao foram descritos.

 


Esquema 25. Metodologia descrita por Kovi e colaboradores para a preparaçao do ponatinibe em sete etapas reacionais

 

Outra metodologia para a preparaçao do ponatinibe foi descrita por Ding e colaboradores. Neste trabalho, o composto pôde ser sintetizado através de uma rota sintética em duas etapas. A primeira consiste em uma reaçao de adiçao à carbonila levando à formaçao do intermediário 93 em 91% de rendimento. Este, após ser submetido a uma reaçao de acoplamento de Sonogashira, permitiu a formaçao do ponatinibe104 (Esquema 26).

 


Esquema 26. Rota sintética descrita por Ding e colaboradores para a preparaçao do ponatinibe

 

 

CONCLUSOES

O imatinibe foi o primeiro representante da classe dos inibidores de tirosina quinase BCR-ABL utilizado no tratamento da LMC. Atualmente, nao há mais nenhuma patente que impeça a produçao desta substância, e com isso, inúmeras metodologias de síntese encontram-se descritas. Todos os métodos visam diminuir o custo de produçao com objetivo de reduzir o valor final do medicamento.

Para o dasatinibe e nilotinibe, ITQs de segunda geraçao, há um menor número de rotas sintéticas. Contudo, pode-se observar que nos últimos anos muitos grupos investiram na pesquisa de novos processos de preparaçao destas substâncias devido à proximidade de expiraçao de suas patentes. Um dos grandes benefícios dos ITQs de segunda geraçao é a reduçao das doses necessárias para tratar o paciente.

Com relaçao à terceira geraçao, bosutinibe e ponatinibe, o número de metodologias sintéticas é muito inferior, pois eles foram recentemente aprovados pelo FDA (ambos em 2012).

Finalmente, pode-se dizer que o emprego dos ITQs e a descoberta do mesilato de imatinibe revolucionaram o tratamento da LMC. No entanto, ainda existe a necessidade de desenvolver novos análogos que tenham a capacidade de inibir as formas mutantes resistentes aos fármacos de primeira, segunda e terceira geraçoes. Outra importante necessidade é o uso de fármacos que apresentem baixa ou nenhuma toxicidade, visto que eles sao de uso contínuo. Para isto, é importante o conhecimento dos métodos de obtençao dos intermediários e ITQs visando a síntese de novos derivados.

 

AGRADECIMENTOS

Os autores agradecem à CAPES, FAPERJ e ao CNPq pelas bolsas e auxílios financeiros aos projetos desenvolvidos no Laboratório de Síntese de Fármacos de Farmanguinhos.

 

REFERENCIAS

1. http://www2.inca.gov.br/wps/wcm/connect/cancer/site/oquee, acessada em Janeiro de 2017.

2. http://portalsaude.saude.gov.br/index.php/o-ministerio/principal/leia-mais-o-ministerio/671-secretaria-svs/vigilancia-de-a-a-z/doencas-cronicas-nao-transmissiveis/14125-vigilancia-das-doencas-cronicas-nao-transmissiveis, acessada em Janeiro de 2017.

3. http://www.inca.gov.br/estimativa/2016/, acessada em Janeiro de 2017.

4. http://globocan.iarc.fr/Pages/bar_dev_sel.aspx, acessada em Janeiro de 2017.

5. Contran, R.; Kumar, V.; Collins, T.; Patologia Estrutural e Funcional, 6ª ed., Guanabara: Koogan, 2000.

6. http://www2.inca.gov.br/wps/wcm/connect/tiposdecancer/site/home/leucemia, acessada em Janeiro de 2017.

7. Fauci, A. S.; Braunwald, E.; Kasper, D. L.; Hauser, S. L.; Longo, D. L.; Jameson, J. L.; Loscalzo, J.; Harrison's Principles of Internal Medicine, 17th ed., McGraw-Hill: New York, 2008.

8. Joske, D. J.; Med. J. Aust. 2008, 1, 277.

9. Geary, C. G.; British J. Haematol. 2000, 110, 2.

10. Nowell, P. C.; Hungerford, D. A.; J. Natl. Cancer Inst. 1961, 27, 1013.

11. Druker, B. J.; Sawyers, C. L.; Kantarjian, H.; Resta, D. J.; Reese, S. F.; Ford, J. M.; Capdeville, R.; Talpaz, M.; N. Engl. J. Med. 2001, 344, 1038.

12. Daley, G. Q.; Van Etten, R. A.; Baltimore, D.; Science 1990, 247, 824.

13. Baselga, J.; Science 2006, 312, 1175.

14. Farderl, S.; Kantarjian, H. M.; Talpaz, M.; O'Brien, S.; Semin. Oncol. 2000, 27, 578.

15. Cutler, E. G.; Bradford, E. H.; Am. J. Med. Sci. 1878, 75, 74.

16. Senn, N.; Med. Records New York 1903, 64, 281.

17. Hoffman, W. J.; Craver, L. F.; J. Am. Med. Assoc. 1931, 97, 836.

18. Bryant, T.; Guy's Hosp. Rep. 1866, 12, 444.

19. Wintrobe, M. M.; Ann. Intern. Med. 1947, 27, 529.

20. Osarogiagbon, U. R.; McGlave, P. B.; Curr. Opin. Hematol. 1999, 6, 241.

21. Guimaraes, J. R. Q.; Manual de Oncologia, 2ª ed., BBS: Sao Paulo, 2006.

22. Hehlmann, R.; Heimpel, H.; Hasford, J.; Kolb, H. J.; Pralle, H.; Hossfeld, D. K.; Queisser, W.; Löffler, H.; Hochhaus, A.; Heinze, B.; Blood 1993, 82, 398.

23. Talpaz, M.; Semin. Hematol. 2001, 38, 22.

24. Kantarjian, H.; O'Brien, S.; Cortes, J.; Shan, J.; Giles, F.; Garcia-Manero, G.; Verstovsek, S.; Faderl, S.; Rios, M. B.; Talpaz, M.; Cancer 2003, 98, 1430.

25. Kantarjian, H. M.; J. Clin. Oncol. 1992, 10, 772.

26. Hahn, E. A.; Glendenning, G. A.; Semin Hematol. 2003, 40, 31.

27. Guilhot, F.; Chastang, C.; Michallet, M.; N. Engl. J. Med. 1997, 337, 223.

28. Gratwohl, A.; Hermans, J.; Niederwieser, D.; Frassoni, F.; Arcese, W.; Gahrton, G.; Bandini, G.; Carreras, E.; Vernant, J. P.; Bosi, A.; Bone Marrow Transplant. 1993, 12, 509.

29. Romeiro, N. C.; Avila, C. M.; Rev. Virtual Quim. 2010, 2, 59.

30. Yaish, P.; Gazit, A.; Gilon, C.; Levitzki, A.; Science 1988, 242, 933.

31. Druker, B. J.; Lydon, N. B. Clin. Invest. 2000, 105, 3.

32. Choi, H. G.; Sim, T.; Gray, N.; Zhou, W.; Chang, J. W.; Zhang, J.; Weisberg, E.; WO 144909 2010. (CA 154:64811)

33. Capdeville, R.; Buchdunger, E.; Zimmermann, J.; Matter, A.; Nat. Rev. Drug Discovery 2002, 1, 493.

34. Goldman, J. M.; Lancet 2000, 355, 1031.

35. Hunter, T.; J. Clin. Invest. 2007, 117, 2036.

36. Lima, L. M.; Quim. Nova 2007, 30, 1456.

37. Quintás-Cardama, A.; Kantarjian, H.; Cortes, J.; Semin. Hematol. 2010, 47, 371.

38. Pinto, A. C.; Barreiro, E. J.; Quim. Nova 2013, 36, 1557; Barreiro, E. J.; Pinto, A. C.; Rev. Virtual Quim. 2013, 5, 1059.

39. Savage, D. G.; Antman, K. H.; N. Engl. J. Med. 2002, 346, 683.

40. O'Brien, S. G.; Guilhot, F.; Larson, R. A.; Gathmann, I.; Baccarani, M.; Cervantes, F.; Cornelissen, J. J.; Fischer, T.; Hochhaus, A.; Hughes, T.; N. Engl. J. Med. 2003, 348, 994.

41. Moen, M. D.; Mckeage, K.; Plosker, G. L.; Siddiqui, M. A.; Drugs 2007, 67, 299.

42. Apperley, J. F.; Lancet Oncol. 2007, 8, 1018.

43. Mahon, F. X.; Deininger, M. W. N.; Schultheis, B.; Chabrol, J.; Reiffers, J.; Goldman, J. M.; Melo, J. V.; Blood 2000, 96, 1070.

44. Silva, V. P. N.; Dissertaçao de Mestrado, Universidade Nova de Lisboa, Portugal, 2011.

45. Gorre, M. E.; Mohammed, M.; Ellwood, K.; Hsu, N.; Paquette, R.; Rao, P. N.; Sawyers, C. L.; Science 2001, 293, 876.

46. Melo, J. V.; Chuah, C.; Cancer Lett. 2007, 249, 121.

47. a) Zimmermann, J.; EP0564409 1993. (CA120:107056); Zimmermann, J.; US5521184 1996. (CA125:114681)

48. Boechat, N.; Bastos, M. M.; Duarte, S. L.; Costa, J. C. S.; Mafra, J. C. M.; Daniel, L. C. C.; Rev. Virtual Quím. 2013, 5, 222.

49. Kompella, A.; Bhujanga, A. K. S. R.; Venkaiah, N. C.; Srinivas, R.; WO04108699 2004. (CA142:56339)

50. Szakács, Z.; Béni, S.; Varga, Z.; Orfi, L.; Kéri, G.; Noszál, B.; J. Med. Chem. 2005, 48, 249.

51. Loiseleur, O.; Kaufmann, D.; Abel, S.; Buerger, H. M.; Meisenbach, M.; Schmitz, B.; Sedelmeier, G.; WO03066613 2003. (CA139:180080)

52. Leonetti, F.; Capaldi, C.; Carotti, A.; Tetrahedron Lett. 2007, 48, 3455.

53. Liu, Y. F.; Wang, C. L.; Bai, Y. J.; Han, N.; Jiao, J. P.; Qi, X. L.; Org. Process Res. Dev. 2008, 12, 490.

54. Han, P.; Lin, D.; Ma, C.; Peng, X.; Song, H.; Sun, Z.; Yang, M.; CN101735197 2010. (CA153:116266)

55. Wehrstedt, K. D.; Wildner, W.; Güthner, T.; Holzrichter, K.; Mertschenk, B.; Ulrich, A.; J. Hazard. Mater. 2009, 170, 829.

56. Pathi, S. L.; Kankan, R. N.; Puppala, R.; IN20110617 2011. (CA162:365447)

57. Lee, J. J.; Kang, S. G.; Jang, S. J.; KR2015010142 2015. (CA162:272978)

58. Xu, H.; Zhang, Z.; Wang, W.; CN104230885 2014. (CA162:137895)

59. Xu, X.; Min, T.; Shi, W.; Yaoxue Shijian Zazhi 2014, 32, 290.

60. Gruza, H.; Mirek, S.; Jezewski, A.; Wrzosek, A.; PL215042 B1 2013. (CA161:628850)

61. Liu, Z.; Yang, K.; Yu, L.; Wu, L.; Guo, X.; Chen, Z.; Huaxue Shiji 2014, 36, 574.

62. Xu, M.; He, L.; Guo, F.; CN103664874 2014. (CA160:515640)

63. Zhao, C.; Li, X.; Wang, X.; CN103588754 2014. (CA160:356375)

64. Fors, B. P.; Watson, D. A.; Biscoe, M. R.; Buchwald, S. L.; J. Am. Chem. Soc. 2008, 130, 13552.

65. Cortes, J.; Rousselot, P.; Kim, D.; Ritchie, E.; Hamerschlak, N.; Coutre, S.; Hochhaus, A.; Guilhot, F.; Saglio, G.; Apperley, J.; Ottmann, O.; Shah, N.; Erben, P.; Branford, S.; Agarwal, P.; Gollerkeri, A.; Baccarani, M.; Blood 2007, 109, 3207.

66. O'Hare, T.; Walters, D. K.; Stoffregen, E. P.; Jia, T.; Manley, P. W.; Mestan, J.; Cowan-Jacob, S. W.; Lee, F. Y.; Heinrich, M. C.; Deininger, M. W. N.; Druker, B. J.; Cancer Res. 2005, 65, 4500; O'Hare, T.; Cancer Cell 2009, 16, 401.

67. Quintas-Cardama, A.; Kantarjian, H.; O'brien, S.; Borthakur, G.; Bruzzi, J.; Munden, R.; Cortes, J.; J. Clin. Oncol. 2007, 25, 3908.

68. http://www.medicinanet.com.br/bula/4806/sprycel.htm, acessada em Janeiro de 2017.

69. Tokarski, J. S.; Newitt, J. A.; Chang, C. Y. J.; Cheng, J. D.; Wittekind, M.; Kiefer, S. E.; Kish, K.; Lee, F. Y. F.; Borzillerri, R.; Lombardo, L. J.; Xie, D.; Zhang, Y.; Klei, H. E.; Cancer Res. 2006, 66, 5790.

70. Delamain, M. T.; Conchon, M.; Rev. Bras. Hematol. Hemoter. 2008, 30, 37.

71. Das, J.; Padmanabha, R.; Chen, P.; Norris, D. J.; Doweyko, A. M. P.; Barrish, J.; Wityak, J.; Louis, L. J.; Lee, F. Y. F.; WO04085388 2004. (CA140:253556)

72. Das, J.; Padmanabha, R.; Chen, P.; Norris, D. J.; Doweyko, A. M. P.; Barrish, J. C.; Wityak, J.; US pat. 04007302 2004. (CA140:253556)

73. Das, J.; Padmanabha, R.; Chen, P.; Norris, D. J.; Doweyko, A. M. P.; Barrish, J. C.; Wityak, J.; Lombardo, J. J.; Lee, F. Y. F.; US pat. 040054186 2004. (CA140:253556)

74. Barrish, J. C.; Wityak, J.; Das, J.; Chen, P.; Norris, D. J.; Shieven, G.; US pat. 050288303 2005. (CA133:321878)

75. Lombardo, L. J.; Lee, F. Y.; Chen, P.; Norris, D.; Barrish, J. C.; Behnia, K.; Castaneda, S.; Cornelius, L. A. M.; Das, J.; Doweyko, A. M.; Fairchild, C.; Hunt, J. T.; Inigo, I.; Johnston, K.; Kamath, A.; Kan, D.; Klei, H.; Marathe, P.; Pang, S.; Peterson, R.; Pitt, S.; Schieven, G. L.; Schmidt, R. J.; Tokarski, J.; Wen, M. L.; Wityak, J.; Borzilleri, R. M.; J. Med. Chem. 2004, 47, 6658.

76. Das, J.; Chen, P.; Norris, D.; Padmanabha, R.; Lin, J.; Moquin, R. V.; Shen, Cook, L. S.; Doweyko, A. M.; Pitt, S.; Pang, S.; Shen, D. R.; Fang, Q.; de Fex, H. F.; McIntyre, K. W.; Shuster, D. J.; Gillooly, K. M.; Behnia, K.; Schieven, G. L.; Wityak, J.; Barrish, J. C.; J. Med. Chem. 2006, 49, 6819.

77. Chen, B. C.; Zhao, R.; Wang, B.; WO05076990 2005. (CA143:211902)

78. Chen, B. C.; Droghini, R.; Lajeunesse, J.; Dimarco, J. D.; Galella, M.; Chidambaram, R.; WO05077945 2005. (CA143:248376)

79. Hou, W.; Xu, Y.; Yan, R.; Yang, H.; CN101812060 2010. (CA153:406452)

80. Weisberg, E.; Manley, P. W.; Breitenstein, W.; Brüggen, J.; Cowan-Jacob, S. W.; Ray, A.; Huntly, B.; Fabbro, D.; Fendrich, G.; Hall-Meyers, E.; Kung, A. L.; Mestan, J.; Daley, G. Q.; Callahan, L.; Catley, L.; Cavazza, C.; Azam, M.; Neuberg, D.; Wright, R. D.; Gilliland, D. G.; Griffin, J. D.; Cancer Cell. 2005, 7, 129.

81. http://www.cancer.gov/cancertopics/druginfo/fda-nilotinib, acessada em Janeiro de 2017.

82. Deininger, M. W.; Clin. Cancer Res. 2008, 14, 4027.

83. Lipton, J. H.; Pasic, I.; Leuk. Res. 2017, 55, 65.

84. Le Coutre, P.; Ottmann, O. G.; Giles, F.; Kim, D. W.; Cortes, J.; Gattermann, N.; Apperley, J. F.; Larson, R. A.; Abruzzese, E.; O'Brien, S. G.; Kuliczkowski, K.; Hochhaus, A.; Mahon, F. X.; Saglio, G.; Gobbi, M.; Kwong, Y. L.; Baccarani, M.; Hughes, T.; Martinelli, G.; Radich, J. P.; Zheng, M.; Shou, Y.; Kantarjian, H.; Blood 2008, 111, 1834.

85. Hochhaus, A.; Saglio, G.; Larson, R. A.; Kim, D. W.; Etienne, G.; Rosti, G.; De Souza, C.; Kurokawa, M.; Kalaycio, M. E.; Hoenekopp, A.; Fan, X.; Shou, Y.; Kantarjian, H. M.; Hughes, T. P.; Blood 2013, 121, 3703.

86. Breitenstein, W.; Furet, P.; Jacob, S.; Manley, P. W.; WO04005281 2004. (CA140:77161)

87. Abel, S.; Acemoglu, M.; Erb, B.; Krell, C.; Sclafani, J.; Meisenbach, M.; Prashad, M.; Sheih, W. C.; Xue, S.; WO06135640 2006. (CA146:81866)

88. McKenna, J.; Shieh, W. C.; WO06135641 2006. (CA146:81883)

89. Huang, W. S.; Shakespeare, W.; Synthesis 2007, 2121.

90. Chen, Y.; Wang, L.; Zhou, H.; Wang, C.; Zhongguo Yiyao Gongye Zazhi 2009, 40, 401.

91. Wang, Y.; Li, J.; Kansal, V. K.; Zhu, J.; Lifshitz-Liron, R.; Mistry, D.; Vasoya, S. L.; Ariyamuthu, S.; Piraski, G.; He, X.; WO10009402 2010. (CA152:192145)

92. Buchwald, S. L.; Ueda, S.; Su, M.; J. Am. Chem. Soc. 2012, 134, 700.

93. http://www.fda.gov/Drugs/InformationOnDrugs/ApprovedDrugs/ucm318203.htm, acessada em Janeiro de 2017.

94. Puttini, M.; Coluccia, A. M.; Boschelli, F.; Cleris, L.; Marchesi, E.; Donella-Deana, A.; Ahmed, S.; Redaelli, S.; Piazza, R.; Magistroni, V.; Andreoni, F.; Scapozza, L.; Formelli, F.; Gambacorti-Passerini, C.; Cancer Res. 2006, 66, 11314.

95. Remsing Rix, L. L.; Rix, U.; Colinge, J.; Hantschel, O.; Bennett, K. L.; Stranzl, T.; Mueller, A.; Baumgartner, C.; Valent, P.; Augustin, M.; Till, J. H.; Superti-Furga, G.; Leukemia 2009, 23, 477.

96. http://www.pfizer.com/products/#bosulif, acessada em Janeiro de 2017.

97. Boschelli, D. H.; Ye, F.; Wang, Y. D.; Dutia, M.; Johnson, S. L.; Wu, B.; Miller, K.; Powell, D. W.; Yaczko, D.; Young, M.; Tischler, M.; Arndt, K.; Discafani, C.; Etienne, C.; Gibbons, J.; Grod, J.; Lucas, J.; Weber, J. M.; Boschelli, F.; J. Med. Chem. 2001, 44, 3965.

98. Sutherland, K. W.; Feigelson, G. B.; Boschelli, D. H.; Blum, D. M.; Strong, H. L.; US pat. 0043537 2005. (CA142:261413)

99. Yin, X. J.; Xu, G. H.; Sun, X.; Peng, Y.; Ji, X.; Jiang K.; Li, F.; Molecules 2010, 15, 4261.

100. http://www.accessdata.fda.gov/drugsatfda_docs/label/2012/203469lbl.pdf, acessada em Janeiro de 2017.

101. Leonetti, F.; Stefanachi, A.; Nicolotti, O.; Catto, M.; Pisani, L.; Cellamare, S.; Carotti, A.; Curr. Med. Chem. 2011, 18, 2943.

102. Zou, D.; Huang, W. S.; Thomas, R. M.; Romero, J. A. C.; Qi, J.; Wang, Y.; Zhu, X.; Shakespeare, W.C.; Sundaramoorthi, R.; Metcalf, C.A. III; Dalgarno, D. C.; Sawyer, T. K. WO 075869 2007. (CA147:143466)

103. Kovi, R.; Kannapan, J.; Thakor, S. F.; Patel, R. A.; US pat. 0343282 2014. (CA161:769806)

104. Ren, X.; Pan, P.; Zhang, Z.; Wang, D.; Lu, X.; Li, Y.; Wen, D.; Long, H.; Luo, J.; Feng, Y.; Zhuang, X.; Zhang, F.; Liu, J.; Leng, F.; Lang, X.; Bai, Y.; She, M.; Tu, Z.; Pan, J.; Ding, K.; J. Med. Chem. 2012, 56, 879.

On-line version ISSN 1678-7064 Printed version ISSN 0100-4042
Qu�mica Nova
Publica��es da Sociedade Brasileira de Qu�mica
Caixa Postal: 26037 05513-970 S�o Paulo - SP
Tel/Fax: +55.11.3032.2299/+55.11.3814.3602
Free access

GN1