JBCS



17:16, sáb out 25

Acesso Aberto/TP



Artigo

The symmetry breaking phenomenon in 1,2,3-trioxolene and C2Y3Z2 (Z= O, S, Se, Te, Z= H, F) compounds: a pseudo Jahn-Teller origin study

Ali Reza Ilkhani*

Department of Chemistry, Yazd Branch, Islamic Azad University, 8916871967 Yazd, Iran

Recebido em 16/07/2016
Aceito em 23/01/2017
Publicado na web em 24/03/2017

Endereço para correspondência

*e-mail: ilkhaniali@iauyazd.ac.ir

RESUMO

1,2,3-Trioxolene (C2O3H2) is an intermediate in the acetylene ozonolysis reaction which is called primary ozonide intermediate. The symmetry breaking phenomenon were studied in C2O3H2 and six its derivatives then oxygen atoms of the molecule are substituted by sulphur, selenium, tellurium (C2Y3H2) and hydrogen ligands are replaced with fluorine atoms (C2Y3F2). Based on calculation results, all seven C2Y3Z2 considered in the series were puckered from unstable planar configuration with C2v symmetry to a Cs symmetry stable geometry. The vibronic coupling interaction between the 1A1 ground state and the first excited state 1B1 via the (1A1+1B1) ⊗b1 pseudo Jahn-Teller effect problem is the reason of the breaking symmetry phenomenon and un-planarity of the C2Y3 ring in the C2Y3Z2 series.

Palavras-chave: symmetry breaking in five-member rings; PJTE; 1,2,3-trioxolene derivatives; non-planarity in rings; vibronic coupling constant.

INTRODUCTION

The reaction with ozone is a well-known reaction in organic chemistry and many unsaturated compounds were participated in ozonolysis reactions.1-5 The ozonation mechanism first time were suggested by Criegee6 and based on his mechanism, two intermediates with five-member ring structure were presented in ozonolysis reaction with unsaturated compounds. Those intermediate structures were confirmed through 17O-NMR spectroscopy method7 (See Figure 1).

 


Figure 1. Two intermediates five-member ring structure in ozonolysis reaction of unsaturated compounds (atomic representations: O = red, C = gray, H = white)

 

Several computational studies of unsaturated compounds ozonolysis reaction have been done to rationalize the ozonolysis reaction mechanism.8-10 Additionally, activation enthalpy of cycloaddition reaction between ozone and acetylene was investigated through different calculation methods such as CCSD(T), CASPT2, and B3LYP-DFT with 6-311+G(2d,2p) basis set.11 Moreover, thiozone adducts on single-walled carbon nanotubes, fullerene (C60) and graphene sheet and geometry optimization of minima and transition structures have been investigated.12

By quantum-chemical simulations, we are able to reveal the electronic states of heterocyclic systems such as ground and excited states and their coupling. In all of the above experimental and theoretical studies, some important features of the structure and properties of acetylene ozonolysis reaction and their intermediates have been analyzed, but less attention has been paid to the origin of their common features which should be explained through pseudo Jahn-Teller effect (PJTE). The PJTE includes excited states in the vibronic coupling interactions and is the only possible source of the instability of planarity of cyclic systems in nondegenerate states. It is also a powerful tool to rationalize symmetry breaking phenomenon in the compounds with a symmetrical structure.13,14 Through folding of rings in heterocyclic compounds, symmetry breaking phenomenon has been reported in many studies and the instability of the ground state in planar configuration of those molecules and their coupling with excited states have been explained via PJTE theorem.15-27 Restoring planarity in the systems that are puckered from their planar configurations due to the symmetry breaking phenomenon has been investigated through the PJTE. To do so, their planar configuration restores ether by coordinating two anions, cations, or rings up and down to the nonplanar systems28-30 or influences the parameters of the PJTE instability by removing or adding electrons;31 they show that symmetry breaking phenomenon is suppressed in the folded systems. In other applications of the PJTE, the origin of puckering in tricyclic compounds to a pseudo Jahn-Teller (PJT) problem has been traced.32,33

Recently, buckling distortion in the hexa-germabenzene and triazine-based graphitic carbon nitride sheets is rationalized based on the PJT distortion.34,35 Structural transition from non-planar of silabenzenes structures to planar benzene-like structures,36 Chair like puckering investigation, binding energies, HOMO-LUMO gaps and polarizabilities in the silicene clusters toward found the hydrogen storage materials,37 and origin instability of cylindrical configuration of [6]cycloparaphenylene have analyzed thorough the PJTE,38 are some more application of the PJT theorem in chemistry.

 

COMPUTATION DETAILS

An imaginary frequency along b1 normal coordinate was observed due to optimization and frequency calculations of seven C2Y3Z2 (Y= O, S, Se, Te , Z= H, F) derivatives in planar configuration and it confirms that all C2Y3 five-member rings in the C2Y3Z2 series are unstable in their planar configuration. The Molpro 2010 package39 were carried out in these geometrical optimization and vibrational frequency calculations of the series and the state-average complete active space self-consistent field (SA-CASSCF) wavefunctions40-42 have been employed to calculate the APES along the Qb1 puckering normal coordinates. The B3LYP method level of Density Function Theory43 with cc-pVTZ basis set44-46 was employed in all steps of optimization, vibrational frequency, and SA-CASSCF calculations (except in C2Te3H2 which cc-pVTZ-pp basis set was used).

 

SYMMETRY BREAKING PHENOMENON IN THE C2Y3Z2 SERIES

The optimization and follow-up frequency calculations of C2Y3Z2 series illuminated that, the C2Y3 ring is folded along b1 nuclear displacement in all seven C2Y3Z2 under consideration and they are unstable in their C2v high-symmetry planar configuration. Therefore, symmetry breaking phenomenon occurs in the C2Y3Z2 series and all systems are puckered to lower Cs symmetry with less symmetry elements. Two different side views of unstable planar configuration with C2v symmetry and Cs symmetry equilibrium geometry in the C2Y3Z2 series illustrates in Figure 2.

 


Figure 2. The symmetry breaking phenomenon illustrates in two side views of C2Y3Z2 (Y= O, S, Se, Te, Z= H, F) series in unstable high-symmetry planar C2v and stable puckered Cs equilibrium geometry

 

Geometrical parameters provided in the form of bonds length, angles, and dihedral angles for similar displacements of atoms in planar and equilibrium configurations, imaginary frequency and normal modes displacements of non-planarity in Cartesian X coordinates together and they are presented in Table 1.

 

 

From Table 1 illuminate that although the bond lengths and angles in planar and equilibrium configurations for the C2Y3Z2 (Z = H, F) were almost similar (except parameter in Y atom contributing) but the variety of dihedral values in their planar and equilibrium configurations were different.

The Y-Y-Y-C and Y-Y-C=C dihedral angles were the most important parameters to show the folding in the C2Y3 rings. While the absolute values of Y-Y-Y-C dihedral angle (which is 0.0 in planar configuration) were decreased in the equilibrium configuration from 24.5 degrees in C2O3H2 to 13.8 (C2S3H2), 8.8 (C2Se3H2), 6.8 (C2Te3H2) degrees in the C2Y3H2 series.

Replacing H ligands in the C2Y3H2 series by F ligands were also decreased Y-Y-Y-C, Y-Y-C=C, Y-Y-C-Z and Y-C-C-Z dihedral angle varieties of C2Y3F2 in comparison with their values in equilibrium configuration.

 

ACTIVE SPACE IN SA-CASSCF CALCULATION

Several active spaces have been checked in SA-CASSCF calculations and the result of calculations were compared together. The results revealed that ten electrons and eight active orbitals which was composed the CAS(10,8) active space is appropriate in under considered C2Y3Z2 series. Additionally, the CAS(10,8) results comparison to the smaller CAS(4,3), CAS(6,6), and CAS(8,8) and lager CAS(12,12) active spaces that previously have been applied in similar PJTE origin studies;22,24,27,31 was proved that CAS(10,8) active space sufficiently is good in present study. From Table 2 is also appeared that the eight orbitals included 2a1, 2b1, 2b2, and 2a2 were being contributed to the electron excitations of the C2Y3Z2 series. The main electronic configuration calculation for all C2Y3Z2 considered compounds (see Table 3) was showed that b1'→a1', electron excitation occurred and it proved that (1A1+1B1) ⊗b1 PJTE problems are the reason of the breaking symmetry phenomenon and non-planarity of C2Y3 rings in the series.

 

 

 

 

THE PJTE DUE TO PUCKERING

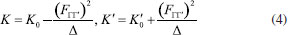
If Γ was supposed as the ground state and first non-degenerate excited state (Γ') was separated with Δ energy gap, |Γ〉 and |Γ'〉 will be denoted as the wave-functions of those mixing states. Based on the PJTE theorem13, the ground state in the nuclear displacements direction (Q) is instable if

where K0 and F(ΓΓ') are the primary force constant of the ground state and the vibronic coupling constant. With respect to Hamiltonian, H, and the electron-nucleon interaction operator, V, the K0, K0' (the primary force constant of excited state) and F(ΓΓ') constants indicate by Equations (2) and (3):

From these definitions for 2×2 case of two interacting states, it is revealed that the PJTE substantially involves excited states, specifically the energy gap to them and the strength of their influence of the ground state via the vibronic coupling constant F(ΓΓ').

The vibronic coupling between the two states reduces and adds the force constant of the ground and excited states by an amount of (F(ΓΓ'))2/Δ and making the total constant of the ground and excited states as followed equalities.14

This leads to the condition of instability in Equation (1) at which the curvature K of the adiabatic potential energy surface (APES) for the 1A1 ground state in Qb1 direction becomes negative but for the effective PJT interaction, the curvature K' of the APES for the 1B1 excited (which is the first one in all of C2Y3Z2 compounds in the series) must be positive.

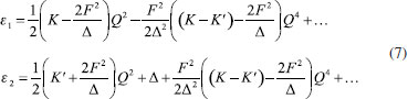
Since an B1 excited state contribute to the A1 ground state instability in the C2Y3Z2 series planar configuration, the PJTE emerges directly from the secular equation for the vibronically coupled the ground and excited state that is formulated by two-level PJTE problem as a 2×2 secular Equation (5) and quadratic Equation (6).

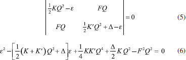
In above Equations, Δ is the energy gap between the ground and excited states and for simplicity, the Qb1 and 〖F〗(ΓΓ') are abbreviated to Q and F. The solution of Equation (6) around Q = 0 of the APES for the ground and excited states around the planar configuration bring us the fallowing solutions in Equation (7):

With respect to the ab initio calculation, it was founded that the lowest excited state with 1B1 symmetry is interacting with the ground state (in 1A1 symmetry). For all under study C2Y3Z2 compounds, the condition of the PJTE ground state instability in Eq. (1 (are observable from the APES profiles of C2Y3H2 and C2Y3F2 (see Figures 3 and 4) and it appears that the ground state in all C2Y3Z2 under consideration compounds are unstable in Q = 0 of the APES (planar configuration) along the b1 puckering direction. Additionally, In Figures 3 and 4, the numerical fitting of the energies obtained from Equation (7) for C2Y3H2 (Y = O, S, Se, Te, Z -= H, F) series were compared with theirs ab initio calculated energy profiles and the first and second A' states in puckered stable geometry with Cs symmetry were denoted by AI' and AII', respectively.

 


Figure 3. The APES profiles of C2Y3H2 (Y= O, S, Se, Te) series (lines) and the numerical fitting of the energies obtained from the PJTE equations (points) along the b1 puckering direction in eV

 

 


Figure 4. The APES profiles of C2Y3F2 (Y= O, S, Se) series (lines) and the numerical fitting of the energies obtained from the PJTE equations (points) along the b1 puckering direction in eV

 

As from Figures 3 and 4 were illuminated, instability in planar configuration occurs in all C2Y3Z2 (Y= O, S, Se, Te, Z= H, F) compounds and the origin of the PJTE in the series are may explained via solution of the PJTE (1A1+1B1) ⊗b1 problem. For explanation of origin of the PJTE in the series, K, K' and Fparameters were estimated by the numerical fitting of Equation (7) with the APES energy profiles along the twisting direction (Qb1) which is revealed in Table 4. Since small values of higher order of Q4 parameters in comparison with Q2 and Q4, the numerical fitting of the equation was done up to the second term of the series in Equation (7).

 

 

By the estimated parameters and the energy gaps (Δ) in Table 4 and with respect to the PJTE the ground state instability in Equation (1), the PJTE origin and value of instability in the C2Y3Z2 series were evaluated. The highest and lowest PJTE coupling constants for the C2Y3H2 series are belonged to C2Te3H2 and C2O3H2 compounds and the F values for the C2Y3F2 series were increased from 2.28 ev / Å, in C2O3F2 to 2.43 ev / Å, in C2Se3F2 compound, respectively.

 

CONCLUSIONS

An imaginary frequency coordinate in out-of-plane of the molecules was observed through the ab initio DFT optimization and following frequency calculations in planar configuration of C2Y3Z2 (Y = O, S, Se, Te, Z = H, F) series. It provides very important information about the symmetry breaking phenomenon in all under consideration compounds in the series. In other hand all those compounds in the C2Y3Z2 series do not hold their planarity due to the PJTE and they distort from their unstable planar configuration with C2v symmetry to the stable Cs symmetry geometry. The APES cross sections of the series were revealed that the ground state (1A1) and the excited 1B1 state along b1 nuclear displacements could interact vibronically and the (1A1+1B1) ⊗b1 problem is the reason of instability of the C2Y3Z2 series in their planar configuration. Estimation of the vibronic coupling constant values, F, in the C2Y3H2 series illuminate that the most unstable planar configuration in the series is corresponded to C2Te3H2 five-member ring compound. It is also clear that planar stability in the systems rises by decreasing the Y atoms size in the series, except in C2Se3H2. Additionally, the molecules puckering in both C2S3F2 and C2Se3F2 compounds were decreased by replacing the H atoms with F ligands in the C2Y3H2 series, although C2O3F2 compound shows opposite behavior in the C2Y3F2 under consideration series.

 

REFERENCES

1. Komissarov, V. D.; Komissarova, I. N.; Russ. Chem. Bull. 1973, 22, 656.

2. Privett, O. S.; Nickell, E. C.; J. Lipid Res. 1963, 4, 208.

3. Rebrovic, L.; J. Am. Oil Chem. Soc. 1992, 69, 159.

4. Nickell, E. C.; Albi, M.; Privett, O. S.; Chem. Phys. Lipids 1976, 17, 378.

5. Lee, J. W.; Carrascon, V.; Gallimore, P. J.; Fuller, S. J.; Bjorkeqren, A.; Spring, D. R.; Pope, F.D.; Kalberer, M.; Phys. Chem. Chem. Phys. 2012, 14, 8023.

6. Criegee, R.; Angew. Chem., Int. Ed. 1975, 87, 745.

7. Geletneky, C.; Berger, S.; Eur. J. Org. Chem. 1998, 8, 1625.

8. Sun, Y.; Cao, H.; Han, D.; Li, J.; He; M.; Wang, C.; Chem. Phys. 2012, 402, 6.

9. Kuwata, K. T.; Templeton, K. L.; Hasson, A. S.; J. Phys. Chem. A 2003, 107, 11525.

10. Anglada, J. M.; Crehuet, R.; Bofill, J. M.; Chem. - Eur. J. 1999, 5, 1809.

11. Cremer, D.; Crehuet, R.; Anglada, J.; J. Am. Chem. Soc. 2001, 123, 6127.

12. Castillo, A.; Lee, L.; Greer, A.; J. Phys. Org. Chem. 2012, 25, 42.

13. Bersuker, I. B.; The Jahn−Teller effect, Cambridge University Press: Cambridge, 2006.

14. Bersuker, I. B.; Chem. Rev. 2013, 113, 1351.

15. Bersuker, I. B.; Chem. Rev. 2001, 101, 1067.

16. Blancafort, L.; Bearpark, M. J.; Robb, M. A.; Mol. Phys. 2006, 104, 2007.

17. Kim, J. H.; Lee, Z.; Appl. Microscopy 2014, 44, 123.

18. Gromov, E. V.; Trofimov, A. B.; Vitkovskaya, N. M.; Schirmer, J.; Koppel, H.; J. Chem. Phys. 2003, 119, 737.

19. Soto, J. R.; Molina, B.; Castro, J. J.; Phys. Chem. Chem. Phys. 2015, 17, 7624.

20. Monajjemi, M.; Theor. Chem. Acc. 2015, 134, 1.

21. Liu, Y.; Bersuker, I. B.; Garcia-Fernandez, P.; Boggs, J. E.; J. Phys. Chem. A 2012, 116, 7564.

22. Hermoso, W.; Ilkhani, A. R.; Bersuker, I. B.; Comput. Theo. Chem. 2014, 1049, 109.

23. Liu, Y.; Bersuker, I. B.; Boggs, J. E.; Chem. Phys. 2013, 417, 26.

24. Ilkhani, A. R.; Hermoso, W.; Bersuker, I. B.; Chem. Phys. 2015, 460, 75.

25. Jose; D.; Datta, A.; Phys. Chem. Chem. Phys. 2011, 13, 7304.

26. Monajjemi, M.; Bagheri, S.; Moosavi, M. S.; Moradiyeh, N.; Zakeri, M.; Attarikhasraghi, N.; Saghayimarouf, N.; Niyatzadeh, G.; Shekarkhand, M.; Khalilimofrad, M. S.; Ahmadin, H.; Ahadi, M.; Molecules 2015, 20, 21636.

27. Ilkhani, A. R.; Monajjemi, M.; Comput. Theor. Chem. 2015, 1074, 19.

28. Jose, D.; Datta, A.; J. Phys. Chem. C 2012, 116, 24639.

29. Ilkhani, A.R.; J. Mol. Struc. 2015, 1098, 21.

30. Ivanov, A. S.; Bozhenko, K. V.; Boldyrev, A. I.; Inorg. Chem. 2012, 57, 8868.

31. Ilkhani, A.R.; Gorinchoy, N. N.; Bersuker, I. B.; Chem. Phys. 2015, 460, 106.

32. Pratik, S. M.; Chowdhury, C.; Bhattacharjee, R.; Jahiruddin, S.; Datta, A.; Chem. Phys. 2015, 460, 101.

33. Ivanov, A. S.; Miller, E.; Boldyrev, A. I.; Kameoka, Y.; Sato, T.; Tanaka, K.; J. Phys. Chem. C 2015, 119, 12008.

34. Ivanov, A. S.; Boldyrev, A. I.; J. Phys. Chem. A 2012, 116, 9591.

35. Nijamudheen, A.; Bhattacharjee, R.; Choudhury, S.; Datta, A.; J. Phys. Chem. C 2015, 119, 3802.

36. Pratik, S. M.; Datta, A.; J. Phys. Chem. C, 2015, 119, 15770.

37. Jose, D.; Datta, A.; Phys. Chem. Chem. Phys. 2011, 13, 7304.

38. Kameoka, Y.; Sato, T.; Koyama, T.; Tanaka, K.; Kato, T.; Chem. Phys. Lett. 2014, 598, 69.

39. Werner, H. J.; Knowles, P. J.; Manby, F. R.; Schutz, M.; MOLPRO, version 2010.1, a package of ab initio programs, Availaible from: http://www.molpro.net. Accessed in February 2017.

40. Werner, H. J.; Meyer, W.; J. Chem. Phys. 1981, 74, 5794.

41. Werner, H. J.; Meyer, W.; J. Chem. Phys. 1980, 73, 2342.

42. Werner, H. J.; Knowles, P. J.; J. Chem. Phys. 1985, 82, 5053.

43. Polly, R.; Werner, H. J.; Manby, F. R.; Knowles, P. J.; Mol. Phys. 2004, 102, 2311.

44. Wilson, A. K.; Woon, D. E.; Peterson, K. A.; J. Chem. Phys. 1999, 110, 7667.

45. Dunning, T. H.; J. Chem. Phys. 1989, 90, 1007.

46. Woon, D. E.; Dunning, T. H.; J. Chem. Phys. 1993, 98, 1358.

On-line version ISSN 1678-7064 Printed version ISSN 0100-4042
Qu�mica Nova
Publica��es da Sociedade Brasileira de Qu�mica
Caixa Postal: 26037 05513-970 S�o Paulo - SP
Tel/Fax: +55.11.3032.2299/+55.11.3814.3602
Free access

GN1