JBCS



17:12, sáb out 25

Acesso Aberto/TP



Artigo


Modificação química da pectina do melão caipira (Cucumis melo var. Acidulus)
Chemical modification of common melon pectin (Cucumis melo var. Acidulus)

André L. N. de Sousa1,++; Ana C. B. Ribeiro1,++; Denilton G. Santos1,++; Nadja M. P. S. Ricardo1,++; Maria E. N. P. Ribeiro1,++,*; Eveline S. B. Cavalcanti1,++,2; Arcelina P. Cunha1,++; Nágila M. P. S. Ricardo1,++,#

1. Departamento de Química Orgânica e Inorgânica, Centro de Ciências, Universidade Federal do Ceará, 60451-970 Fortaleza - CE, Brasil
2. Universidade Estadual do Ceará, 60740-903 Fortaleza - CE, Brasil

Recebido em 06/07/2016
Aceito em 14/02/2017
Publicado na web em 05/04/2017

Endereço para correspondência

*e-mail: elenirnp@gmail.com
#e-mail alternativo: naricard@ufc.br

RESUMO

Melon is one of the most widely consumed fruits in the world. In Brazil, 60% of the production is for domestic consumption, with these fruits deemed to be of lower commercial value. For the first time, pectin has been extracted from this species of melon. So the extraction of this polysaccharide can be used as an alternative to increase the value of the fruit, improving profits in the domestic market where it can be used in many industries. The goal of this study is to determine, quantify, characterize and chemically modify by sulfation pectin from common melon for eventual application as an antithrombotic agent. The acidic, basic and neutral extractions yielded an average of 11%, 14% and 8% respectively. The FTIR spectrum revealed that pectin has a low degree of esterification (DE). The bands which appeared at 833 cm-1 and 1251 cm-1 can be attributed to the vibrations of C-O-S and S=O respectively, showing that the material was sulfated. The 13C NMR spectrum showed consistent carbon galacturonic acid peaks and agrees with the FTIR data and elemental analysis for the sulfation of pectin. The molecular weight (MW) determined by GPC was 7.7 x 105 g mol-1, consistent with pectin.

Palavras-chave: common melon; pectin; sulfation; Cucumis melo var. Acidulus.

INTRODUÇAO

O melao é uma fruta muito apreciada e de expressiva popularidade em diferentes países como Turquia, Ira, Estados Unidos, Espanha e China - o maior produtor mundial. Na América do Sul, o Brasil é o maior produtor, seguido da Venezuela, Argentina e Chile. As principais áreas produtoras de melao no Brasil localizam-se nas cidades de Mossoró e Assu no estado do Rio Grande do Norte - RN e Baixo Jaguaribe no estado do Ceará, que respondem por 100% das exportaçoes do país.1 Espécies como o melao caipira (Cucumis melo var. Acidulus), de boa aceitaçao local, possuem baixíssimo valor comercial devido ao fato de o fruto apresentar amadurecimento muito rápido após a colheita e por ter a casca muito fina, com risco de rompimento, exigindo, portanto, consumo imediato. O isolamento de substâncias específicas presentes no melao, como a pectina, e que apresentam relativa facilidade de extraçao, mostra-se como uma alternativa na valorizaçao do fruto com consequente aumento dos lucros da comercializaçao.

Em sua essência, substâncias pécticas sao constituídas quimicamente por heteropolissacarídeos ramificados contendo de algumas centenas a mil blocos por molécula, numa cadeia constituída de resíduos de ácidos galacturônicos metilesterificados, unidos por ligaçoes α(1→4). Esta cadeia contém regioes com blocos de L-ramnose, constituídos principalmente de arabinose, galactose e xilose como cadeias laterais.2,3 A Figura 1 ilustra a estrutura básica da pectina.

 


Figura 1. Representaçao esquemática da cadeia de ácido poligalacturônico variavelmente metilesterificado

 

As principais matérias primas para a produçao de pectina comercial sao: resíduos cítricos, polpa de maça, resíduos de beterraba, pele de manga, cabeças de girassol e cactus.3,4 Ainda nao existem relatos na literatura sobre a extraçao de pectinas de meloes caipira.

As partículas poliméricas coloidais, como a pectina, têm ocupado posiçao de destaque no cenário mundial podendo ser usadas como aditivos alimentares, devido às suas propriedades espessantes, geleificantes e emulsificantes, na produçao de geléias, ou em sorvetes, sucos de frutas, paes e bolos. A aplicaçao na indústria cosmética para uso em nanocosméticos tem igualmente assumido importante destaque, dentre outros fatores, por possuir baixa toxicidade em comparaçao com produtos inorgânicos ou de origem animal.5

Vários agentes antitrombóticos sao utilizados na prevençao e tratamento de desordens tromboembolíticas, sendo a heparina, uma glicosaminoglicana altamente sulfatada, o agente mais comumente utilizado. Porém, diversos efeitos adversos da heparina têm sido descritos, como por exemplo: hemorragia, trombocitopenia, necrose quando aplicada por via subcutânea e osteoporose.6 Somados aos efeitos adversos, a heparina apresenta uma diversidade estrutural, problemas com contaminaçao por patógenos animais e poucas fontes de extraçao,7 o que justifica a busca de novos compostos com atividades semelhantes, com menos efeitos adversos e que sejam provenientes de fontes nao animais.

Dentre os compostos que podem ser utilizados como agentes anticoagulantes, destacam-se os polissacarídeos sulfatados. Estes polímeros compreendem um complexo grupo de macromoléculas, naturalmente ou quimicamente sulfatadas, com uma ampla faixa de propriedades biológicas.8 Polissacarídeos naturalmente sulfatados que apresentam atividade anticoagulante e antitrombótica sao, em geral, isolados de algas e invertebrados, os quais também podem apresentar uma grande diversidade estrutural.9

Dentre os polissacarídeos quimicamente sulfatados que podem atuar como anticoagulantes pode-se citar a quitina e quitosana, glucanas, galactomananas, galactanas, que podem ser obtidos de diversas fontes, como por exemplo, de liquens, fungos e plantas.10 Além das atividades anticoagulantes, polissacarídeos sulfatados também podem apresentar atividades antiarterioescleróticas, antiproliferativas, antiangiogênicas, antivirais, anti-inflamatórias e anti-metastáticas.11 Estudos apontaram que camundongos infectados com vírus da febre amarela e dengue tipo 1, quando tratados com galactomanana sulfatada, apresentaram resistência à morte em mais de 87%.12

Nesse sentido, propoe-se nesse trabalho a extraçao e caracterizaçao da pectina do melao caipira, bem como sua sulfataçao, a fim de que, em estudos posteriores, seja testada quanto à sua capacidade anticoagulante.

 

PARTE EXPERIMENTAL

Procedimentos gerais

Espectroscopia de Absorçao na Regiao do Infravermelho com Transformada de Fourier (FTIR)

As análises de FTIR das amostras PCM-a, PCM-b, PCM-n e PCM-as foram realizadas em um espectrômetro Perkin Elmer Modelo 16 PC. Preparou-se as amostras em pastilhas de KBr (1:80) a dez toneladas.

Ressonância Magnética Nuclear de Hidrogênio (RMN 1H)

Os espectros de RMN 1H foram obtidos em um equipamento Brucker Avance-DRX 500 (USA, Califórnia), com transformada de Fourier, equipado com uma sonda de detecçao inversa, operando em 499.9 MHz (1H), numa janela espectral de 20 ppm. Preparou-se soluçoes das amostras PCM-a e PCM-as em concentraçoes de 34 mg mL-1 em D2O (99,8%), permanecendo em repouso por 24 horas para completa solubilizaçao. A análise foi realizada em tubos de 5 mm, sob aquecimento de 80 °C, com sinal da água residual em 4,2 ppm e os deslocamentos químicos (δ) expressos em ppm.

Ressonância Magnética Nuclear de Carbono 13 (RMN 13C)

Os espectros de RMN 13C foram obtidos num equipamento Brucker Avance-DRX 500 (USA, Califórnia), com transformada de Fourier, equipado com uma sonda de detecçao inversa, operando em 125 MHz (13C), numa janela espectral de 200 ppm. Para obtençao dos espectros de RMN 13C, preparou-se soluçoes das amostras PCM-a e PCM-as em concentraçoes de 34 mg mL-1em D2O (99,8%), permanecendo em repouso por 24 horas para completa solubilizaçao. A análise foi realizada em tubos de 5 mm, sob aquecimento de 80 °C e os deslocamentos químicos (δ) expressos em ppm.

Análise Termogravimétrica (TGA)

As curvas de TGA foram obtidas em um módulo termogravimétrico DTG - 600 Hz, modelo Q50 da TA Instrument. As medidas termogravimétricas foram efetuadas usando suporte de amostra de platina, valores médios de massas das amostras de 8 mg, razao de aquecimento de 10 °C min-1 em um intervalo de temperatura de 25 °C a 800 °C, em atmosfera dinâmica de nitrogênio, com vazao de 30 mL min-1.

Cromatografia de Permeaçao em Gel (GPC)

As análises de GPC das amostras PCM-a, PCM-b, PCM-as e PC foram realizadas em um cromatógrafo SHIMADZU LC-10AD com detector de índice de refraçao RID-10A a 40 °C. A coluna utilizada possui como características: Ultrahydrogel linear 7,8 x 300 mm, fase móvel de NaNO3 0,1 mol L-1 a temperatura ambiente, fluxo de 0,5 mL min-1 e o volume de amostra injetada foi de 20 µL Na determinaçao das massas molares utilizou-se de padroes de pululanas (ShodexDenko®) (MM de 5.9 x 103 a 7,88 x 105 g mol-1).

Todas as amostras foram preparadas na concentraçao de 1 mg mL-1 (0,1 % m/v) e filtradas em membrana Millipore® 0,45 µm.

Obtençao dos frutos e preparaçao da polpa para extraçao da pectina

Meloes maduros foram colhidos em uma horta na cidade de Fortaleza/CE. A higienizaçao dos frutos foi feita por meio de lavagem com água potável, seguida por imersao em soluçao diluída de hipoclorito de sódio por 30 minutos. A partir de dois meloes maduros obteve-se 1 kg de polpa, a qual foi liofilizada, pesada e armazenada, à temperatura ambiente, em um dessecador.

Extraçao da pectina do Cucumis melo var. acidulus

Os procedimentos de extraçao adotados estao de acordo com o proposto em trabalhos encontrados na literatura para extraçao de pectina.13

Três diferentes condiçoes de extraçao foram aplicadas usando distintas soluçoes extratoras: em meio ácido utilizou-se o ácido oxálico/oxalato de amônio (0,25% - pH 4,6), em meio básico utilizou-se de hidróxido de sódio (0,25%) e água destilada para extraçao em meio neutro. Todas as extraçoes foram realizadas a 75 °C por 1 hora.

A polpa e as soluçoes extratoras, na proporçao de 1:40 (m/v), foram aquecidas a 75 °C sob agitaçao magnética, mantendo-se essa temperatura por 1 hora. Após esse tempo foi feita uma filtraçao, a vácuo, do material com determinaçao do volume filtrado e descarte da parte sólida. A pectina foi precipitada pela adiçao, ao filtrado, de três volumes de etanol 96%, e a soluçao obtida foi mantida em repouso a 4 °C por 5 horas. Após esse período realizou-se a centrifugaçao a 7500 rpm durante 10 minutos para precipitaçao da pectina. A pectina obtida foi solubilizada em uma quantidade mínima de água deionizada, liofilizada, pesada e armazenada à temperatura ambiente em um dessecador.

Conforme a condiçao de extraçao adotada, as amostras obtidas foram denominadas: PCM-a, PCM-b e PCM-n para as extraçoes em soluçao ácida, básica e neutra, respectivamente.

Sulfataçao da pectina

Para esta reaçao utilizou-se a amostra extraída sob condiçoes ácidas (PCM-a), devido o maior grau de esterificaçao, além de ser o método de extraçao escolhido para obtençao de pectinas comerciais.13

Para realizaçao da sulfataçao, adotou-se o procedimento experimental adaptado de outros autores encontrados na literatura.12,14 Dessa forma, 300 mg de PCM-a liofilizada foram adicionados a 80 mL de uma soluçao de piridina e N,N-dimetilformamida (50:30 v/v), com agitaçao magnética, a 25 °C por 12 h, seguido por resfriamento a 4 °C por mais 12 h. Após este período, a mistura reacional foi aquecida, sob agitaçao magnética, até que a temperatura atingisse 80 °C. Adicionou-se lentamente à mistura 7 mL de ácido clorossulfônico nesta temperatura. A soluçao obtida foi entao resfriada à temperatura ambiente e neutralizada com uma soluçao saturada de bicarbonato de sódio. A amostra foi dialisada em membrana de corte 12.000 g mol-1 por 120 h, seguida de liofilizaçao e nomeada de PCM-as.

Caracterizaçao Química

Análise elementar

Realizou-se a caracterizaçao por meio da técnica de analise elementar com o objetivo de quantificar o percentual e qualificar os elementos químicos presentes nas amostras PCM-a e PCM-as. A quantificaçao dos elementos químicos carbono, hidrogênio e enxofre nas amostras PCM-a e PCM-as foi realizada por meio do equipamento Perkin-Elmer CHNS 2400 analyzer.

Determinaçao do Grau de Sulfataçao (GS)

O cálculo do GS foi obtido por meio da Equaçao 1, conforme dados da literatura.15,16

onde: GS = Grau de Sulfataçao da pectina; 162 = massa molar da unidade monomérica de ácido galacturônico (C6H10O5); 80 = massa molar do grupo SO3; 32 = massa molar do átomo enxofre (S)

Determinaçao do Grau de Esterificaçao (GE)

FTIR foi o método utilizado para determinaçao do GE das amostras PCM-a, PCM-b, PCM-n e PCM-as17 como pode ser verificado no Material Suplementar (Figura 1S).

No espectro do infravermelho, a área sob as bandas correspondentes aos Grupos Carboxílicos Esterificados (-COO-R), que aparece no comprimento de onda em 1750 cm-1, e a área sob a banda correspondente aos grupos carboxilatos (-COO-) em 1600 cm-1 foram calculadas com o uso do software Origin 8 e usadas para o cálculo do GE, segundo a Equaçao 2:

em que GCE se refere aos Grupos Carboxílicos Esterificados e TGC ao Total de Grupos Carboxílicos esterificados e Grupos Carboxilatos.

 

RESULTADOS E DISCUSSAO

Extraçao da pectina e sua caracterizaçao química

Os rendimentos das extraçoes da pectina foram: 11%, 14% e 8% sob condiçoes ácida, básica e neutra, respectivamente. Soluçoes extratoras preparadas com ácidos fracos, como o ácido oxálico, que apresentam pH entre 3,5-4,6 têm sido preferidas em relaçao àquelas obtidas de ácidos fortes como HCl e HNO3 com faixas de pH de 1,5-2,0 por apresentarem melhores rendimentos e fornecerem pectinas com grau de esterificaçao mais elevados. Apesar do rendimento ter sido mais elevado que nos demais, o meio básico nao é de interesse comercial por saponificar os grupos ésteres, resultando em pectinas nao esterificadas. O rendimento obtido na extraçao neutra corrobora com dados da literatura em que extraçoes de pectina de manga forneceram menores rendimentos em água pura do que em soluçoes de HCl (pH 1,5) e de oxalato de amônio.4,13,17

Dessa forma, neste trabalho, a amostra de pectina escolhida para o procedimento de sulfataçao foi aquela extraída com ácido fraco por mostrar-se mais vantajosa sob vários aspectos como: maior rendimento de extraçao em relaçao a meios mais ácidos e neutros, grau de esterificaçao mais elevado em relaçao ao meio básico e maior confiabilidade de aplicaçao na indústria de alimentos.

A sulfataçao constitui-se como uma das modificaçoes na estrutura química das pectinas, que consiste na substituiçao de grupos hidroxílicos por grupos sulfato. A sulfataçao é importante, pois existe uma estreita relaçao entre as propriedades estruturais de pectinas e suas atividades biológicas. Tal modificaçao potencializa as diversas atividades desse polissacarídeo tais como anticoagulante, antitrombótica e antimicrobiana.12,18

A sulfataçao da pectina foi confirmada pelo teor de enxofre de 1,82% obtido por meio da análise elementar, conforme expresso na Tabela 1.

 

 

O Grau de Sulfataçao (GS), obtido de acordo com a Equaçao 1, foi de 9,6% e comprova que o derivado sulfatado da amostra PCM-a foi obtido. Em trabalhos anteriores18 foi obtida pectina com GS de 15%, com atividades antimicrobiana e anticoagulante. Tal valor de GS é próximo ao encontrado neste trabalho, sugerindo que a pectina sulfatada neste trabalho poderá apresentar as mesmas atividades.

Espectroscopia de Absorçao na Regiao do Infravermelho (FTIR)

A Tabela 2 mostra as principais bandas observadas nos espectros de FTIR da pectina obtida do melao caipira em diferentes condiçoes de extraçao e para a pectina sulfatada, com base na literatura,2,17,18 entre os comprimentos de onda de 4000 cm-1 a 300 cm-1, e seus respectivos grupos funcionais.

 

 

Uma análise comparativa do espectro de infravermelho da pectina cítrica comercial (PC), da Sigma Aldrich, com o da pectina do melao caipira extraída em meio ácido, alcalino e neutro, mostra regioes particularmente relatadas como estruturas e composiçoes típicas de pectinas,17 como pode ser verificado no Material Suplementar (Figura 1S).

A regiao característica de grupos carboxílicos (1750-1350 cm-1) aparece claramente. Para pectinas é muito importante atentar para a banda esterificada C=O (1750 cm-1) e o grupo carboxilato COO- (1600-1650 cm-1), as quais estao relacionadas à determinaçao do Grau de Esterificaçao (GE) desses compostos. Tais grupamentos sao responsáveis por definir muitas de suas propriedades, como força e velocidade de formaçao de géis a partir de suas soluçoes.19

Para caracterizar os demais grupos existentes na estrutura das pectinas, destaca-se a regiao de 2960-2940 cm-1, que apresenta bandas típicas de grupos C-H,2 e, ainda, as bandas de absorçao fortes e largas entre 3600 e 2500 cm-1, que sao características de estiramentos de grupos O-H. No caso da pectina, as ligaçoes O-H se dao devido às ligaçoes de hidrogênio inter e intramolecular da cadeia de ácido galacturônico.17

A presença de grupos sulfato na estrutura da amostra PCM-as, obtidos pela modificaçao por sulfataçao da amostra PCM-a, pode ser confirmada por meio de duas novas bandas que aparecem no espectro de FTIR da amostra sulfatada em 833 cm-1 e 1251 cm-1, apresentadas na Figura 2, correspondendo ao estiramento de vibraçoes características de ligaçao C-O-S e S=O, respectivamente. Os valores dessas bandas e suas intensidades sao muito semelhantes aos encontrados na literatura.17

 


Figura 2. FTIR das amostras: (1) PC, (2) PCM-a e (3) PCM-as

 

Além das evidências citadas, percebe-se que as bandas correspondentes aos grupos carboxílicos metilesterificados na amostra PCM-a têm sua intensidade reduzida quando comparada à pectina modificada (PCM-as). Isto ocorre porque grupos sulfato alteram o modo de vibraçao de determinados grupos, como os metílicos.20

Portanto, os espectros FTIR, assim como a Análise Elementar, confirmam que o derivado sulfatado da pectina foi obtido com sucesso.

Determinaçao do Grau de Esterificaçao (GE)

A determinaçao do GE das amostras PCM-a, PCM-b, PCM-n e PCM-as foi realizado por meio da integraçao das bandas características dos grupos carboxílicos esterificados (-COOR) e grupos carboxilatos (COO-) presentes nos espectros de FTIR, exibidos na Figura 2S, de acordo com a metodologia proposta por Fellah et al.,19 utilizando-se da Equaçao 2 descrita no procedimento experimental.

O GE para a amostra comercial (PC) foi de 34,15%. A amostra PCM-a apresentou o maior GE dentre as analisadas, com 40,9%, seguida da PCM-n e PCM-as, com 36% e 29%, respectivamente. Estes dados estao de acordo com resultados prévios em que ácidos orgânicos apresentaram pectinas com maior grau de esterificaçao que as obtidas de soluçoes extratoras de ácidos fortes com pHs entre 1 e 3.13

Quando extraída com água (amostra PCM-n), o GE ficou próximo do obtido para a amostra PCM-a, sugerindo que a extraçao com o ácido oxálico, um ácido orgânico, apresenta pouco efeito de hidrólise parcial na estrutura da pectina, mantendo sua estrutura próxima à obtida por extraçao em meio neutro, com a vantagem de apresentar um maior rendimento de extraçao. Estes resultados corroboram com os encontrados por Koubala et al.,13 ao compararem o efeito de diferentes agentes extratores no GE de pectinas.

A pectina extraída em meio básico (amostra PCM-b) nao apresentou a banda dos grupos carboxílicos esterificados, sugerindo, conforme Ralet e Thibault,4 que houve saponificaçao destes grupos.

A amostra sulfatada apresentou uma reduçao do Grau de Esterificaçao em relaçao ao valor original, o que está relacionado aos efeitos na cadeia polimérica devido à modificaçao química.

Ressonância Magnética Nuclear (RMN)

Ressonância Magnética Nuclear de Hidrogênio (RMN 1H)

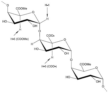
A Figura 3 mostra uma representaçao química da cadeia de ácido poligalacturônico com destaque para os hidrogênios H-1 e hidrogênios H-5 adjacentes a grupos carboxílicos metil esterificados e grupos carboxilatos, respectivamente, e que estao de acordo com os dados dos espectros obtidos neste trabalho (Figura 4).

 


Figura 3. Representaçao esquemática da cadeia de ácido poligalacturônico com destaque para H-1 e H-5 adjacentes a grupos carboxílicos metilados e carboxilatos

 

 


Figura 4. Espectros de RMN 1H: (a) pectina ácida e (b) pectina sulfatada

 

Nos espectros de RMN 1H, os sinais relativos ao hidrogênio anomérico, H-1, e ao hidrogênio do carbono 5, H-5, de ésteres metílicos (-COOCH3) dos monômeros de ácidos galacturônicos, localizam-se na regiao de δ 5 (5,03 e 4,94 respectivamente), enquanto que os prótons H-1 e H-5 de grupos carboxilatos (COO-) estao representados pelos sinais com deslocamentos químicos em δ 5,1 e 4,7, respectivamente.21 Em δ 4,44 aparece o sinal específico do hidrogênio do C-4 da cadeia polimérica.22 Os sinais em δ 3,61 e δ 3,81 correspondem aos prótons H-2 e H-3 de grupos metílicos dos ácidos galacturônicos esterificados, respectivamente.23,24 Observa-se, ainda, em δ 4,1 o sinal do próton H-4 relativo a resíduo de arabinose25 (Figura 4a), que nao é observado no espectro da amostra sulfatada (Figura 4b).

De um modo geral, verificou-se uma reduçao de todos os sinais dos prótons no espectro da pectina sulfatada (Figura 4b) em comparaçao ao espectro da pectina ácida (Figura 4a), devido à diminuiçao dos hidrogênios dos grupos hidroxílicos que sofreram sulfataçao.

Ressonância Magnética Nuclear de Carbono 13 (RMN 13C)

A Figura 5 corresponde aos espectros de RMN 13C da pectina ácida (a) e da pectina sulfatada (b). No espectro da pectina ácida aparecem os deslocamentos químicos correspondentes à regiao anomérica do ácido α-D-galacturônico, evidenciado pelos sinais em δ 100,8 e δ 100,5 equivalentes ao carbono C-1 de unidades esterificadas e nao esterificadas, e dois sinais em campo muito baixo a δ 172,3 e δ 171,2 correspondentes ao C-6 de grupos carboxílicos metil-esterificados e grupos carboxilatos, respectivamente.21 O pico em δ 53,3 pode ser atribuído ao carbono oximetílico do grupo éster.26 Os deslocamentos químicos em δ 68,5; δ 71,0; δ 71,3 e δ 79,2 sao relativos aos carbonos C-2, C-3, C-5 e C-4 do ácido galacturônico, respectivamente.27 No espectro da pectina sulfatada (Figura 5b) observa-se a ausência do deslocamento químico em δ 172,3, devido, possivelmente, à hidrólise do éster metílico durante o processo de sulfataçao.

 


Figura 5. Espectro de RMN 13C: (a) pectina ácida e (b) pectina sulfatada

 

Cromatografia de Permeaçao em Gel (GPC)

Foram submetidas à análise de GPC uma amostra de pectina cítrica comercial, da marca SIGMA ALDRICH, e a amostra PCM-a, a fim de se comparar suas características.

As pectinas sao reconhecidas como cadeias lineares de ácido galacturônico, mas podem apresentar diversas ramificaçoes de polissacarídeos formados por dezessete diferentes monossacarídeos. A homogalacturonana, formada por unidades de ácido galacturônico, é o principal polissacarídeo da parede celular sendo responsável por até 65% do total de pectina. Ligados a essa cadeia principal encontram-se diversos outros polissacarídeos com diferentes tamanhos de cadeia, como a ramnogalacturonana I e II que apresentam de 20-35% e 10% da constituiçao da pectina, respectivamente. Canteri et al.28 observaram que cada um desses polissacarídeos aparece como ramificaçoes existentes em cadeias lineares de oito ou mais unidades de ácido galacturônico. Tais ramificaçoes apresentam até 12 diferentes tipos de açúcares.

Toda essa complexidade na constituiçao das pectinas influencia diretamente o valor de sua massa molecular e a diversidade dos monômeros e seus respectivos polímeros que constituem a cadeia lateral dao a justificativa para seu caráter polidisperso.

Na Figura 3S pode-se observar o caráter polidisperso da pectina extraída em diferentes condiçoes. Essa polidispersividade é característica de materiais poliméricos, os quais nao apresentam um valor único de massa molecular.

A maior polidispersividade da amostra PCM-a em relaçao às demais, conforme se observa na Tabela 3, pode ter relaçao com as condiçoes de extraçao adotadas.

 

 

Um meio mais ácido e/ou com temperaturas mais elevadas pode ser responsável pela degradaçao da cadeia lateral da pectina comercial (PC), restando uma porçao estrutural mais homogênea pela reduçao da quantidade de estruturas com diferentes massas moleculares. A condiçao de extraçao em pH mais elevado (4,6), bem como temperaturas mais amenas (75 °C) adotadas para a extraçao da amostra PCM-a pode ter permitido uma menor alteraçao das cadeias laterais desse polímero, justificando sua maior polidispersividade.

Apesar da diferença na polidispersividade entre as duas amostras, os resultados apresentaram valores de massas molares bem semelhantes entre as duas. A massa molar ponderal média para a pectina cítrica comercial (PC) foi de Mw = 4,9x105 g mol-1, enquanto que para a pectina do melao caipira (PCM-a) o valor de Mw foi de 4,5 × 105 g mol-1. Os valores sao condizentes com os encontrados para pectinas cítricas comerciais.28-30

A massa molecular da pectina sulfatada mostrou-se menor que as demais (Tabela 3), devido ao processo de modificaçao química realizado em condiçoes severas com o uso de ácido clorossulfônico e temperaturas elevadas, os quais causaram uma quebra mais intensa do material polimérico.17

Análise Termogravimétrica (TGA)

A perda de massa da amostra em atmosfera de nitrogênio foi estudada com o objetivo de investigar possíveis alteraçoes nas principais etapas de degradaçao térmica da pectina do melao obtida nas três diferentes condiçoes de extraçao, bem como da pectina modificada por sulfataçao (PCM-as).

A análise térmica da pectina extraída em meio ácido foi comparada com a da pectina comercial (PC) com base nos dados da Figura 4S.

Pela análise do termograma, percebe-se a clara semelhança na degradaçao da amostra comercial (PC) e da pectina do melao caipira extraída em meio ácido (PCM-a). A perda de massa em três etapas é evidente para ambas as amostras. O primeiro estágio de perda de massa da amostra PC começa por volta de 60 °C e corresponde a cerca de 10% de perda de massa de água presente na amostra. O segundo passo de perda de massa inicia-se em cerca de 140 °C e corresponde à principal perda de massa, num total de 5% da amostra; nessa etapa ocorre a perda de grupos ácidos da cadeia lateral e carbonos do anel piranosídico. O terceiro passo corresponde à etapa oxidativa e pode ser avaliado em 22% do total da amostra. O teor de cinzas pode ser estimado em aproximadamente 17%.

Com base nos resultados de TGA, mostrada na Figura 5S, as características de degradaçao térmica da amostra PCM-a foi comparada às extraídas em meio básico (PCM-b) e neutro (PCM-n), bem como a pectina sulfatada (PCM-as).

As amostras apresentaram características de degradaçao térmica em três etapas, próprio de pectinas, como relatado por Einhorn-Stoll e Kunzek.31

O primeiro passo da degradaçao da amostra PCM-a ocorre em torno de 70 °C, equivalente à perda de água e pode ser avaliado em 15% da massa inicial; o segundo passo ocorre entre 176 °C e 375 °C. Neste intervalo de temperatura, a degradaçao da amostra ocorreu com 57% de perda de massa. Tem sido relatado que nessa etapa ocorre a decomposiçao pirolítica que consiste em descarboxilaçao primária e secundária envolvendo o grupo ácido lateral e um carbono do anel.6 A terceira etapa acontece entre 410 °C e 664 °C. O teor de cinzas calculado para essa amostra foi de 7% da massa total analisada.

A amostra de pectina modificada por sulfataçao (PCM-as) sofreu um aumento significativo de sua capacidade hidrofílica, com 17% de perda de massa na primeira etapa de degradaçao, quando comparada à amostra sem modificaçao (PCM-a), que foi de 15%, o que pode ser atribuído à presença dos grupos sulfatos na cadeia de pectina modificada. Em seu segundo estágio de degradaçao, a perda de massa foi menor que nas demais amostras, 49%, comparado a 57%, 50% e 62%, relativos às amostras PCM-a, PCM-b e PCM-n, respectivamente. Tal resultado pode ser atribuído a uma maior quebra na estrutura da cadeia lateral de ácido galacturônico, durante o processo de sulfataçao. Além disso, observa-se uma reduçao na temperatura de degradaçao da amostra modificada (PCM-as). Tal observaçao já foi relatada por Monfregola et al.2 para pectinas modificadas quimicamente.

Para a amostra PCM-b a primeira perda de massa devido a água absorvida é maior que as demais. Nao foram encontrados dados na literatura que atribuam à extraçao em meio básico um incremento na capacidade de absorçao de água de pectinas. Para o segundo estágio de degradaçao é importante observar que houve uma significante reduçao na perda de massa da amostra PCM-b em relaçao às outras, devido à saponificaçao dos grupos carboxílicos.4 O terceiro estágio apresenta importante alteraçao na temperatura inicial de degradaçao da amostra PCM-b, em que, enquanto a essa temperatura as outras amostras já encerraram esse estágio, a PCM-b ainda persiste, evidenciando uma maior estabilidade térmica dessa amostra com relaçao à etapa de degradaçao do anel piranosídico.2

Observou-se ainda que a amostra PCM-n apresentou comportamento muito similar à PCM-a em suas etapas de degradaçao, indicando similaridade estrutural das amostras.

 

CONCLUSAO

A pectina extraída foi caracterizada como de baixo Grau de Esterificaçao (GE), cujo valor, determinado por FTIR, foi de 40,9%, enquanto a análise elementar confirmou a sulfataçao da pectina ácida, com um teor de enxofre de 1,82% e Grau de Sulfataçao (GS) de 9,6%.

De um modo geral, por meio dos espectros de RMN 1H, verificou-se uma reduçao de todos os sinais dos prótons do espectro da pectina sulfatada em comparaçao ao espectro da pectina ácida, devido à diminuiçao dos hidrogênios dos grupos hidroxílicos que sofreram sulfataçao.

No espectro de RMN 13C da pectina ácida aparecem os deslocamentos químicos correspondentes à regiao anomérica do ácido α-D-galacturônico, evidenciados pelos sinais em δ 100,8 e δ 100,5 equivalentes, respectivamente, ao carbono C-1 de unidades esterificadas e nao esterificadas, e dois sinais em campo muito baixo a δ 172,3 e δ 171,2 correspondentes ao C-6 de grupos carboxílicos metil-esterificados e grupos carboxilatos, respectivamente. O espectro de RMN 13C da pectina sulfatada evidencia a ausência do deslocamento químico em δ 172,3 devido ao processo de sulfataçao. O valor da massa molecular da amostra PCM-a obtida da análise de GPC foi de 4,5x105 g mol-1, compatível com pectinas comerciais.

A análise térmica, obtida por TGA, mostrou que a pectina do melao extraída em meio ácido se degrada em três etapas, semelhante ao perfil de degradaçao de pectinas comerciais.

A extraçao e sulfataçao da pectina do melao caipira foram obtidas e apresentam-se como alternativas viáveis para valorizaçao desse fruto, de baixo valor comercial, e com potencial aplicaçao como agente antitrombótico.

 

MATERIAL SUPLEMENTAR

Algumas figuras relacionadas às análises de FTIR, GPC e TGA da pectina do melao caipira estao disponíveis em http://quimicanova.sbq.org.br, na forma de arquivo PDF, com acesso livre.

 

AGRADECIMENTOS

CNPq (NMPSR-304392/2013-8), CAPES, CENAUREMN e Central Analítica da Universidade Federal do Ceará (UFC/CT‑INFRA/MCTI-SISNANO/Pro-Equipamentos CAPES).

 

REFERENCIAS

1. https://www.spo.cnptia.embrapa.br/conteudo?p_p_id=conteudoportlet_WAR_sistemasdeproducaolf6_1ga1ceportlet&p_p_lifecycle=0&p_p_state=normal&p_p_mode=view&p_p_col_id=column-1&p_p_col_count=1&p_r_p_-76293187_sistemaProducaoId=4103&p_r_p_-996514994_topicoId=4241, acessada em março de 2017.

2. Monfregola, L.; Bugatti, V.; Amodeo, P.; Luca, E. de; Vittoria, V.; Biomacromolecules 2011, 12, 2311.

3. Alkorta, I.; Garbisu, C.; Llama, M. J.; Serra, J. L.; Process Biochem. 1998, 33, 21.

4. Ralet, M. C.; Thibault, J. F.; Carbohydr. Res. 1994, 260, 283.

5. Lupi, F. R.; Shakeel, A.; Greco,V.; Rossi, C. O.; Baldino, N.; Gabriele, D.; Mater. Sci. Eng., C 2016, 69, 358.

6. de Kort, M.; Buijsman, R. C.; van Boeckel, C. A. A.; Drug Discovery Today 2005, 10, 769.

7. Perrinaud, A.; Jacobi, D.; Machet, M. C.; Grodet, C.; Gruel, Y.; Machet, L.; J. Am. Acad. Dermatol. 2006, 54, S5.

8. Chaidedgumjorn, A.; Toyada, H.; Woo, E. R.; Lee, K. B.; Kim, Y. S.; Toida, T.; Imanari, T.; Carbohydr. Res. 2002, 337, 925.

9. Mulloy, B.; Mourao, P. A. S.; Gray, E.; J. Biotechnol. 2000, 77, 123.

10. Vikhoreva, G.; Bannikova, G.; Stolbushkina, P.; Panov, A.; Drozd, N.; Makarov, V.; Varlamov, V.; Gal'braikh, L.; Carbohydr. Polym. 2005, 62, 327.

11. Yoshida, T.; Yasuda, Y.; Mimura, T.; Kaneko, Y.; Nakashima, H.; Yamamoto, N.; Uryu, T.; Carbohydr. Res. 1995, 276, 425.

12. Ono, L.; Wollinger, W.; Rocco, I. M.; Coimbra, T. L. M.; Gorin, P. A. J.; Sierakowski, M. R.; Antiviral Res. 2003, 60, 201.

13. Koubala, B. B.; Kansci, G.; Mbome, L. I.; Crépeau, M.-J.; Thibault, J.-F.; Ralet, M.-C.; Food Hydrocolloids 2008, 22, 1345.

14. O'Neill, A. N.; Can. J. Chem. 1955, 33, 1097.

15. Lin, Y.; Zhang, L.; Chen, L.; Jin, Y.; Zeng, F.; Jin, J.; Wan, B.; Cheung, P. C. K.; Biol. Macromol. 2004, 34, 231.

16. Zhang, M.; Zhang, L.; Wang, Y.; Cheung, P. C. K.; Carbohydr. Res. 2003, 338, 2863.

17. Singthong, J.; Cui, S. W.; Ningsanond, S.; Goff, H. D.; Carbohydr. Polym. 2004, 58, 391; Kalapathy, U.; Proctor, A.; Food Chem. 2001, 73, 393; Gnanasambandam, R.; Proctor, A.; Food Chem. 1999, 65, 461; Methacanon, P.; Krongsin, J.; Gamonpilas, C.; Food Hydrocolloids 2014, 35, 383.

18. Bae, I. Y.; Joe, Y. N.; Rha, H. J.; Lee, S.; Yoo, S. -H.; Lee, H.; Food Hydrocolloids 2009, 23, 1980.

19. Fellah, A.; Anjukandi, P.; Waterland, M. R.; Williams, M. A. K.; Carbohydr. Polym. 2009, 78, 847.

20. Pires, N. R.; Cunha, P. L. R.; Maciel, J. S.; Angelim, A. L.; Melo, V. M. M.; Paula, R. C. M. de; Feitosa, J. P. A.; Carbohydr. Polym. 2013, 91, 92.

21. Rosenbohm, C.; Lundt, I.; Christensen, T. M. I. E.; Young, N. W. G.; Carbohydr. Res. 2003, 338, 637; Taboada, E.; Fisher, P.; Jara, R.; Zúñiga, E.; Gidekel, M.; Cabrera, J. C.; Pereira, E.; Moraga, A. G.; Villalonga, R.; Cabrera, G.; Food Chem. 2010, 123, 669.

22. Tamaki, Y.; Konishi, T.; Fukuta, M.; Tako, M.; Food Chem. 2008, 107, 352.

23. Bédouet, L.; Courtois, B.; Courtois, J.; Carbohydr. Res. 2003, 338, 379.

24. Alba, K.; Laws, A.P.; Kontogiorgos, V.; Food Hydrocolloids 2015, 43, 726.

25. Wang, W.; Ma, X.; Jiang, P.; Hu, L.; Zhi, Z.; Chen, J.; Ding, T.; Ye, X.; Liu, D.; Food Hydrocolloids 2016, 61, 730.

26. Qian, K. Y.; Cui, S. W.; Nikiforuk, J.; Goff, H. D.; Carbohydr. Res. 2012, 362, 47.

27. Makarova, E. N.; Patova, O. A.; Shakhmatov, E. G.; Kuznetsov, S. P.; Ovodov, Y. S.; Carbohydr. Polym. 2013, 92, 1817.

28. Canteri, M. H. G.; Moreno, L.; Wosiacki, G.; Scheer, A. de P.; Polímeros 2012, 22, 149.

29. Kar, F.; Arslan, N.; Carbohydr. Polym. 1999, 40, 277.

30. Corredig, M.; Wicker, L.; Food Hydrocolloids 2001, 15, 17.

31. Einhorn-Stoll, U.; Kunzek, H.; Food Hydrocolloids 2009, 23, 40.

 

++ Laboratório de Polímeros e Inovaçao em Materiais (LABPIM)

On-line version ISSN 1678-7064 Printed version ISSN 0100-4042
Qu�mica Nova
Publica��es da Sociedade Brasileira de Qu�mica
Caixa Postal: 26037 05513-970 S�o Paulo - SP
Tel/Fax: +55.11.3032.2299/+55.11.3814.3602
Free access

GN1