JBCS



17:03, sáb out 25

Acesso Aberto/TP



Artigo


Estudio computacional de la interacción N∙∙∙C en sistemas moleculares (R)nN-CO2 (N=1,2,3)
Computational study of the interaction N∙∙∙C on molecular systems (R)nN-CO2 (N=1,2,3)

Cristian J. Guerra*; Adolfo E. Ensuncho; Juana R. Robles

Universidad de Córdoba, Departamento de Química, Grupo de Química Computacional, Cra 6 Nº 76-103, Montería, Córdoba-Colombia

Recebido em 01/02/2017
Aceito em 08/06/2017
Publicado na web em 15/08/2017

Endereço para correspondência

*e-mail: guerracbn@gmail.com

RESUMO

The structures and molecular interactions of (R)nN-CO2 complexes of amines and CO2 in the gas phase were computationally studied by using ab-initio methods and quantum theory of atoms in molecules (QTAIM). The analysis of the electrostatic potential showed that the interaction N∙∙∙C present in this type of aggregates is favored by the potential difference between the N and C atoms. On the other hand, it was observed the interaction energy is being more exergonic in molecular aggregates having highly substituted amino groups and cyclic structure; in addition, the geometric deformation of CO2 and other additional molecular interactions facilitate the process of complexation of this gas. The QTAIM analysis showed that the interaction N∙∙∙C has an electrostatic character and its strength increases with the substitution of the amino group.

Palavras-chave: molecular interactions; QTAIM; exergonic; amino group; CO2.

INTRODUCCION

Los problemas ambientales que han generado las emisiones de gases contaminantes a la atmosfera reciben gran atención en la actualidad debido al impacto que tienen sobre la salud humana y sobre la calidad de vida en el planeta tierra.1-3 El calentamiento global4 es el principal problema generado por la contaminación atmosférica, el aumento descontrolado de la temperatura ligado a este fenómeno es originado por la absorción y re-emisión de radiación infrarroja por parte de los gases de efecto invernadero: vapor de agua (H2O), dióxido de carbono (CO2) y el ozono (O3). Adicionalmente, desde comienzos del siglo XIX con la revolución industrial la composición de la atmósfera se ha modificado, incrementándose la cantidad de gases de efecto invernadero.5

Uno de los gases de efecto invernadero que tiene mayor impacto sobre el aumento de la temperatura media global es el dióxido de carbono (CO2), debido a que recientemente se han reportado modelos estadísticos aproximadamente lineales que relacionan las emisiones de CO2 con el incremento anual de la temperatura en el planeta tierra basándose en su forma de emisión al compartimiento atmosférico.6 Las fuentes de emisión de CO2 se relacionan inequívocamente con actividades antropogénicas como la quema de combustibles fósiles, la deforestación y la actividad industrial, siendo esta última responsable del mayor porcentaje del CO2 que es liberado al ambiente. En cuanto a la búsqueda de alternativas para reducir este fenómeno, se han establecido tratados ambientales como el protocolo de Kioto,7 que involucran principalmente a los países industrializados y tienen como propósito disminuir y controlar las emisiones de CO2 hasta un 5.2%, sin embargo, el cumplimiento de este tratado implica costos adicionales por parte del sector industrial, debido a que es necesario la implementación de tecnologías de captura y almacenamiento de CO2.8,9

Ya que, los mecanismos de captura y almacenamiento de dióxido de carbono juegan un papel fundamental en el control de las emisiones de este gas, en la literatura se han reportado una gran cantidad de compuestos que poseen la capacidad de absorber y adsorber CO2, entre los cuales se encuentran, las zeolitas,10 adsorbentes carbonosos,11 líquidos iónicos12 y aminas.13,14 En particular las aminas y otros adsorbentes derivados de estas, son ampliamente usados a nivel industrial por su moderado costo y por su alta selectividad hacia el CO2.15 La selectividad que poseen las aminas en la fijación de CO2 se debe principalmente al grupo amino presente en estos sistemas atribuyéndole su carácter nucleofílico, lo que a su vez le confiere afinidad hacia el carbono electrofílico de la molécula de CO2,16 esta afinidad puede notarse a nivel biológico debido a que los grupos amino presentes en la hemoglobina son responsables de la fijación y transporte de CO2 mediante la interacción N∙∙∙C.17

El estudio de la selectividad del grupo amino frente al CO2 es un campo poco estudiado, debido a las limitaciones de los métodos experimentales y también a que el interés se ha centrado en otros factores que gobiernan el proceso de fijación de CO2, como las condiciones de adsorción/absorción y el estado de agregación del CO2.18,19 Sin embargo, el estudio de las interacciones a nivel molecular entre el grupo amino y el CO2 podría brindar información valiosa para el diseño y modelamiento de nuevos materiales con alta capacidad de fijación de CO2. Así, con el objetivo de estudiar la naturaleza de las interacciones N∙∙∙C entre el grupo amino y el CO2, en el presente trabajo, diversos agregados moleculares formados por aminas y dióxido de carbono fueron computacionalmente simulados a partir de métodos de estructura electrónica, adicionalmente se empleó la Teoría Cuántica de Atomos en Moléculas (QTAIM, por sus siglas en ingles)20 para caracterizar las interacciones que se presentan y comparar los resultados con moléculas reportadas en la literatura que son empleadas para el tratamiento y captura del CO2. En general los resultados obtenidos en este trabajo muestran que las interacciones entre el grupo amino y el CO2 son principalmente de carácter electrostático y su fortaleza aumenta conforme lo hace la sustitución de este grupo y también conforme aumentan el número de interacciones adicionales a N-C.

 

FUNDAMENTOS TEORICOS

Teoría Cuántica de Atomos en Moléculas (QTAIM)

La teoría cuántica de átomos en moléculas (QTAIM) propuesta por Bader y colaboradores21 es de gran utilidad para analizar sistemas moleculares que presentan una gran variedad de interacciones, esta teoría se basa principalmente en la topología de la densidad electrónica r(r), donde la distribución de r(r) en una molécula se relaciona con los cambios en las posiciones nucleares de los átomos, para cada posición nuclear existe un máximo de densidad electrónica que es caracterizado en la QTAIM como un punto crítico nuclear (NCP, por sus siglas en inglés).21,22 En general un punto crítico (CP, por sus siglas en ingles) en la densidad electrónica hace referencia a un punto en el espacio donde las derivadas de la densidad tienden a cero:

Donde ∇ρ hace referencia al gradiente de la densidad electrónica y es el vector cero que indica que las componentes del ∇ρ tienden a cero. Por otra parte, los CP pueden clasificarse teniendo en cuenta las propiedades de la matriz Hessiana (Matriz de las segundas derivadas parciales de ρ(r) con respecto a r). La diagonalización de esta matriz da origen al laplaciano de la densidad electrónica ∇2ρ, que se define como:

el laplaciano de la densidad electrónica permite discriminar los puntos críticos, dependiendo si corresponden a máximos, mínimos o puntos sillas en la superficie de densidad electrónica, de acuerdo con el teorema fundamental de la topología en moléculas y clústeres, existen cuatro tipos diferentes de puntos críticos teniendo en cuenta la relación de Poincaré-Hopf:21

esta relación expresa la coexistencia de diferentes tipos de puntos críticos en una molécula, donde n hace referencia al número de puntos críticos y el subíndice se relaciona con el tipo de punto crítico; punto crítico nuclear(NCP), punto crítico de enlace (BCP), punto crítico de anillo (RCP) y punto crítico de caja (CCP),20 como se muestra en la Figura 1.

 


Figura 1. Tipos de puntos críticos

 

Si la ecuación 3 no se cumple, se dice que el sistema molecular asociado presenta una inestabilidad topológica. Para el análisis de las interacciones de no-enlace que ocurren entre los agregados moleculares en este trabajo (CO2...RNH2) se estudiaran las propiedades derivadas de la topología de la densidad electrónica sobre los puntos críticos de enlace (BCP).

Métodos ab-initio

En química computacional, el modelamiento de sistemas mecano-cuánticos se lleva a cabo mediante la solución aproximada de la ecuación Schrödinger independiente del tiempo.23 Las aproximaciones teóricas para una apropiada estimación de esta ecuación son comúnmente utilizadas en los cálculos computacionales, la expresión (4) muestra la ecuación de Schrödinger no-relativista obtenida mediante el tratamiento de Born-Oppenheimer.

El hamiltoinano elec puramente electrónico (ecuación 5) actuando sobre la función de onda Ψelec, permite obtener la energía electrónica del sistema Eelec, para la determinación de esta energía y de la energía total son necesarios diversos métodos discutidos a continuación.

Método de Hartree-Fock

En el tratamiento de la ecuación de Schrödinger empleando la aproximación de Hartree-Fock, la función de onda Ψ es aproximada como un producto de spin-orbitales anti-simetrizados como se muestra en la ecuación (6).24

En donde ΦSD se denomina determinante de Slater y la función χ está compuesta por una función espacial orbital φ () por una función de spin σ(s), de esta forma el hamiltoniano Ĥ actuando sobre la función ΦSD permite obtener la energía de Hartree-Fock EHF (ecuación 7).24

En el marco conceptual del método HF, la forma natural de los operadores U(ri,rj) es reemplazada por el potencial de HF VHF(r), que expresa el potencial de repulsión promedio experimentado por el i-esimo electrón debido al resto de los electrones de un sistema, la forma explícita de VHF(r) se muestra en la ecuación (8).

Los términos (r) y (r) son el operador de Coulomb y el operador de intercambio respectivamente. El principio variacional establece que la energía estimada utilizando una función de onda de prueba ΦT es el límite superior de la energía obtenida utilizando la función de onda del estado basal Φ0, en este orden de ideas la minimización de la ecuación (7) conduce a la expresión (9).24

En este proceso se obtienen los mejores spin-orbitales y al mismo tiempo la energía EHF para un sistema dado.

Teoría del funcional de la densidad (DFT, por sus siglas en ingles)

Esta teoría es un enfoque mecano-cuántico empleado en el estudio de la materia a nivel molecular. La está basada en los teoremas propuestos por Hohenberg-Kohn,25 en donde se establece la estrecha relación que existe entre la densidad de probabilidad electrónica ρ(r) y la función de onda mediante la expresión funcional:26

Es decir que la función de onda es del estado fundamental es un funcional de la densidad electrónica y vice-versa, consecuentemente todos los observables son funcionales de ρ(r), así la energía del estado fundamental puede estimarse variacionalmente mediante la expresión (11).26

Esta expresión resume el primer teorema de Hohenberg-Kohn, para una densidad electrónica ρ0(r) la función de onda del estado fundamental Ψ0 es la que reproduce a ρ0(r) y al mismo tiempo minimiza la energía, debido a esto se dice que la energía es un funcional de la densidad.26 La solución de la ecuación (11), emplea métodos variacionales similares a los utilizados en el método de Hartree-Fock.

Teoría de las Perturbaciones Moller-Plesset

En la teoría de las perturbaciones de Moller-Plesset, el hamiltoniano construido en la aproximación de HF es tomado como punto de partida para realizar continuas perturbaciones sobre este mismo y añadir los efectos de correlación electrónica ignorados, en este contexto la ecuación de Schrödinger para un estado perturbado Ψn puede escribirse:27

En donde (0) hace referencia al hamiltoniano no-perturbado derivado del esquema HF, el operador representa la perturbación realizada sobre (0) y λ es un parámetro arbitrario que comúnmente es llamado factor de perturbación.27 El grado de perturbación se obtiene expandiendo la ecuación (12) mediante series de Taylor:

De esta forma en el contexto de MP se utiliza la abreviatura MPn, donde n es el grado de perturbación proporcionado por el número de términos de esta expansión, en el presente estudio se utilizó el método MP2 donde n=2 y la energía se calcula mediante la ecuación (14).

Los subíndices m y n hacen referencia a dos estados de perturbación diferentes, cabe resaltar que MP2 no emplea métodos variacionales, a diferencia de HF o DFT la energía calculada puede sobreestimar o no, a la energía del estado fundamental.27

 

METODOLOGIA

Todos los cálculos de estructura electrónica fueron realizados utilizando el paquete computacional Gaussian03,28 inicialmente los monómeros (CO2 y Rn-N) fueron pre-optimizados mediante el método B3LYP/6-31(g),29,30 esto con el propósito de obtener geometrías consistentes para realizar la exploración de la superficie de energía potencial (PES, por sus siglas en ingles). En esta exploración se empleó el paquete computacional ASCEC31,32 que dispone de una versión adaptada del algoritmo Annealing simulado en donde la energía de cada configuración molecular es estimada utilizando un programa externo (Gaussian03). La ejecución de ASCEC se llevó a cabo envolviendo los dímeros (CO2-RnN) bajo las condiciones del annealing dentro de un cubo de 5 Å de longitud; la ruta de enfriamiento fue geométrica con una temperatura inicial de 500 K, porcentaje de disminución del 5% y un total de 300 temperaturas. El máximo desplazamiento permitido y el máximo ángulo de rotación fueron respectivamente 1 Å y 1 rad. Se eligió el método HF/6-31G para las evaluaciones de energía debido a que se han reportado estudios teóricos que proporcionan resultados razonables a este nivel.33 Los puntos estacionarios obtenidos en la PES se seleccionaron teniendo en cuenta la presencia de la interacción N∙∙∙C, posteriormente estos puntos se optimizaron analíticamente al nivel MP2/6-311++g(d,p) y se escogieron la estructuras de más baja energía. En general la metodología computacional se muestra en la Figura 2.

 


Figura 2. Esquema general de la metodología computacional

 

La energía de interacción EIN fue calculada mediante la ecuación:

Donde ESM representa la energía electrónica de la súper molécula (amina-CO2), ECO2SM y EAMSM son las energías electrónicas de la molécula de CO2 y la amina en cuestión en cada complejo molecular calculadas al nivel MP2/6-311++g(d,p). Adicionalmente fue tenido en cuenta el error de superposición de bases (BSSE) en el cálculo de las energías de interacción utilizando el método counterpoise propuesto por Boys y Bernardi,34 debido a que en el contexto de supermolécula se presenta una sobre-estimación en la energía de interacción por el solapamiento de las funciones bases.

Por otra parte se descartó la presencia de frecuencias vibracionales negativas, lo que indica que las estructuras estudiadas corresponden a mínimos de energía.

Los cambios geométricos obtenidos para los clústeres de estudio después de la optimización fueron analizados en base a la distancia N∙∙∙C (d) y a la variación del ángulo de enlace θ de la molécula de CO2 según la ecuación (16), también se tuvo en cuenta el cambio energético asociado a este proceso, mediante la energía de modificación del ángulo de enlace θ según la ecuación (17).

Donde θ es el ángulo de enlace de la molécula de CO2 (Figura 3) cuando es optimizada al nivel 6-311++G (d, p) y θSM es la medida de este ángulo en la supermolécula.

 


Figura 3. Angulo O-C-O en molécula de CO2

 

El software Multiwfn35 fue utilizado para llevar acabo el análisis del potencial electrostático. El potencial electrostático Vs(r) producido por el núcleo y los electrones de un sistema molecular está definido por:36

Donde ZA es la carga del núcleo A, localizado en RA y ρ(r) es la densidad electrónica, el análisis de potencial electrostático es usado principalmente para describir el comportamiento reactivo de sistemas moleculares, sin embargo hay que aclarar que Vs(r) no se deriva de la DFT conceptual. Si Vs(r)>0 las regiones asociadas con este valor pueden sufrir ataques nucleofílicos, mientras que en las regiones susceptibles a ataques electrofílico Vs(r)<0, debido a esto Vs(r) es útil para estudiar la tendencia que tiene el CO2 a unirse con el grupo amino.

La naturaleza de la interacción N∙∙∙C fue estudiada mediante QTAIM utilizando el software Multiwfn, donde se estudiaron las propiedades de la densidad electrónica sobre el punto crítico de enlace (BCP, por sus siglas en inglés) asociado a dicha interacción; la densidad electrónica (ρN∙∙∙C), el laplaciano de la densidad electrónica (∇2ρN∙∙∙C) y la densidad de energía total (H(r)N∙∙∙C). El estudio de otras interacciones adicionales a la interacción N∙∙∙C fue realizado empleando el gradiente de la densidad electrónica reducido (RDG) que es ideal para el estudio de interacciones débiles según la ecuación:

Donde el gradiente reducido de la densidad electrónica fue calculado empleando el paquete computacional NCIPLOT.37

 

RESULTADOS

El análisis del potencial electrostático de la molécula de CO2 y del grupo amino permite determinar en principio la posibilidad de formación de la interacción N∙∙∙C debido a que Vs(r) brinda información acerca del comportamiento reactivo de estas moléculas,38,39 en la Figura 4 se muestran los mapas de potencial electrostático del dióxido de carbono (CO2), el amoniaco (NH3), la metilamina (CH3NH2), la dimetilamina ((CH3)2NH) y la trimetilamina ((CH3)3N) con un valor de isosuperficie de 0.1e au-3.

 


Figura 4. Mapa de potencial electrostático en la superficie de la densidad electrónica (0.1e au-3) de CO2 (1a), NH3 (1b), CH3NH2 (1c), (CH3)2NH (1d) y (CH3)3N (1e)

 

En la superficie del potencial electrostático de la molécula de CO2 el potencial positivo está asociado principalmente a la región del átomo de carbono, por otro lado el potencial negativo se presenta en los alrededores del átomo de O, el potencial máximo VS max(r) tiene un valor de 35,85 kcal mol-1 asociado principalmente al átomo de carbono, indicando que podría establecer interacciones covalentes o no-covalentes con moléculas nucleofílicas.

Particularmente en el grupo amino el valor del potencial mínimo es atribuido a regiones cercanas al átomo de N debido a que VS min(r) < 0, adicionalmente se observa que en el grupo amino las regiones de potencial positivo se localizan en el átomo de H. En la Figura 5 se muestran los valores de |VS min(r)| obtenidos para las aminas estudiadas, se observa que el potencial electrostático localizado sobre el átomo N disminuye conforme aumenta la sustitución de este, debido a esto el amoniaco presenta el valor más bajo de VS min(r) y la trimetilamina el valor más alto, lo que sugiere que su reactividad frente a moléculas electrofílicas es mayor cuando el grupo amino se encuentra sustituido. Teniendo en cuenta la superficie del potencial electrostático para el CO2 y los valores negativos de potencial electrostático en el grupo amino, la posibilidad formación de la interacción N∙∙∙C es considerable.

 


Figura 5. Valores del potencial electrostático mínimo para las aminas estudiadas

 

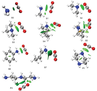
La interacción N∙∙∙C entre el átomo de nitrógeno del grupo amino y el carbono presente en la molécula de CO2 podría ser responsable en primera instancia de la capacidad de adsorción/absorción de este gas sobre compuestos amínicos, por esto los factores que gobiernan la interacción N∙∙∙C deben ser estudiados a profundidad. En la Figura 6 se muestran las estructuras optimizadas de los sistemas estudiados y adicionalmente se muestra la iso-superficie del gradiente reducido de la densidad electrónica (RDG) visualizada mediante el software VMD, el RDG permite determinar la naturaleza de las interacciones entre moléculas, en particular, el color verde de la iso-superficie indica que en estos sistemas se presentan principalmente interacciones de naturaleza electrostática, la presencia de iso-superfices entre los átomos N (grupo amino) y C (dióxido de carbono) sugieren la formación de la interacción N∙∙∙C y también de interacciones adicionales de carácter no-covalente. En la Tabla 1 se muestran los parámetros calculados para el estudio de esta interacción.

 

 

 


Figura 6. Estructuras optimizadas de los sistemas bajo estudio e isosuperficie RDG

 

En esta tabla, EIN es la energía asociada a la interacción entre el CO2 y la amina en cuestión, d es la distancia N∙∙∙C y θi es la variación que sufre el ángulo de enlace de la molécula de CO2 cuando ocurre la interacción N∙∙∙C. La energía de interacción EIN permite analizar la fortaleza de la interacción N∙∙∙C utilizando un criterio energético, los valores más negativos de EIN indican que dicha interacción es energéticamente favorable,36 los sistemas S0,S1, S2 y S3 muestran una tendencia ascendente en la EIN, obteniéndose el siguiente orden de las energías de interacción para este conjunto de estructuras S0>S1>S2>S3, lo que indica que la sustitución del grupo amino es un aspecto relevante en el estudio de la interacción N∙∙∙C, debido a que en S0 el grupo amino no presenta sustitución y observó que EIN es menos negativa en comparación con S3 que está formado por una amina terciaria y su valor de EIN es más negativo. Adicionalmente se observa que el sistema S4 exhibe el menor valor de EIN para las estructuras estudiadas, S4 y S5 están formados por aminas cíclicas que corresponden al grupo de aminas secundarias, sin embargo las energías de interacción asociadas a estos sistemas son más exergónicas en comparación con el sistema S3 que presenta tri-sustitución, lo que podría significar que además de la sustitución del grupo amino existen otros factores estructurales implicados en la naturaleza de la interacción N∙∙∙C y en la capacidad de adsorción/absorción de CO2.

Por otra parte, los sistemas S6 y S7 que poseen un ambiente saturado de electrones presentan valores de EIN semejantes a S1 y S2, no obstante el clúster S6 exhibe el menor valor de la energía de interacción de todos los sistemas estudiados de la serie S, en general el orden de EIN para los sistemas estudiados fue S0>S6>S1>S7>S2>S3>S5>S4 en donde se observa que interacción N∙∙∙C tiende a ser energéticamente favorable cuando el grupo amino se encuentra sustituido.

La energía de interacción también puede atribuirse a los cambios geométricos que sufren las moléculas cuando interaccionan entre sí, en los clústeres S0, S1, S2 y S3 se observó que la distancia N∙∙∙C disminuye conforme la energía de interacción es más negativa, lo que sugiere que para este conjunto de estructuras la interacción N∙∙∙C se ve favorecida energéticamente a medida el nitrógeno del grupo amino se acerca a la molécula de CO2, adicionalmente se observan las mismas tendencias para los clústeres S4 y S3, donde la distancia es menor para S4 que es el clúster con el valor más negativo de EIN. Sin embargo, en S6 y S7 se observa que la distancia N∙∙∙C es menor en S7 que en S6, el cual presenta una energía de interacción más negativa. Esto podría explicarse por la activación que sufre el anillo bencénico debido al grupo (-NH2), en donde el átomo N disminuye su carga en mayor grado respecto al grupo amino presente en el ambiente insaturado de S7.

Por otro lado la variación del ángulo de enlace θ de la molécula de CO2 es mayor en S3 y S4 , el valor de θi tiende a ser alto en los sistemas que exhiben valores más negativos de la energía de interacción, lo que sugiere que esta modificación geométrica que sufre el CO2 es mayor cuando la interacción N∙∙∙C se ve favorecida energéticamente, sin embargo S7 no sigue esta tendencia ya que aunque presenta el menor valor de θi para todos los clústeres estudiados, su energía de interacción es más negativa en comparación con otros sistemas de la serie S. Los resultados descritos anteriormente pueden compararse utilizando moléculas empleadas actualmente en la captura de CO2. Los sistemas P muestran tendencias similares a los de la serie S, el efecto de la sustitución del grupo amino en relación con las energías interacción también es notable para la serie de clústeres Pn, Los sistemas P1 y P2 están formados por aminas secundarias y su energía de interacción es más negativa comparada con la de S0, S1, S2, S6 y S7 que presentan sustituciones en el grupo amino inferiores a dos, sin embargo S3, S4 y S5 presentan valores más negativos de EIN. Por otro lado, se observa que las aminas cíclicas tienden a formar interacciones con el CO2 más exergónicas en comparación con la aminas de cadena abierta, esto apoya la idea de que los factores estructurales del grupo amino también son importantes al momento de estudiar los procesos de adsorción y absorción de CO2 sobre materiales contiendo grupos amino.

El análisis de RDG en conjunto con el estudio de las energía interacción sugiere que los sistemas que poseen las energías de interacción más exergónicas presentan la formación de interacciones adicionales a la interacción N∙∙∙C, en los sistemas S3, S4 y S5 aparecen iso-superficies entre el átomo de O del CO2 y algunos hidrógenos adyacentes pertenecientes a la molécula de amina (H∙∙∙O), esto podría explicar porque los valores de EIN son más negativos para S4 y S5 en comparación con S3 que está formado por una amina terciaria. Por otra parte las interacciones H∙∙∙O que se forman en P1 y P2 tienden estabilizar energéticamente estos sistemas, si bien P1 y P2 están formados por aminas secundarias su energía de interacción es cercana la de S3 que está formado por una amina terciaria.

Análisis QTAIM

La naturaleza de las interacciones moleculares que ocurren entre el CO2 y el grupo amino puede estudiarse mediante la QTAIM, que proporciona información sobre los puntos críticos de enlace asociados a dichas interacciones, permitiendo establecer si se trata de interacciones débiles o fuertes. La interacción N∙∙∙C ha sido poco estudiada, sin embargo algunos estudios teóricos realizados sobre clústeres de HCN sugieren que esta interacción es de carácter electrostático y que su fortaleza es semejante con otras interacciones débiles como enlace de hidrogeno y enlace halógeno.40

En este estudio se analizaron parámetros derivados de la QTAIM sobre los puntos críticos de enlace asociados a la interacción N∙∙∙C (Tabla 2) como se ha descrito anteriormente en la metodología. Las interacciones débiles se caracterizan dentro del análisis topológico de la densidad electrónica teniendo en cuenta el valor de H(r) y ∇2ρ(r) según el esquema propuesto por Rozas y colaboradores,41 si H(r) > 0 y ∇2ρ(r) > 0 para un punto crítico determinado, la interacción asociada a dicho punto es débil.

 

 

En la Tabla 2 se observa que para todos los sistemas H(r) > 0 y ∇2ρ(r) > 0, lo que sugiere que la interacción N∙∙∙C es de carácter débil, adicionalmente valores positivos de H(r) indican que la transferencia de carga entre el grupo amino y la molécula de CO2 es baja. La fortaleza de la interacción N∙∙∙C puede ser medida utilizando el valor de |∇2ρ(r)|, para los clústeres de la serie Sn se observa que los valores de |∇2ρ(r)| se encuentran entre 0,0375 a.u y 0,0281 a.u, donde el valor más alto corresponde a S4, que presenta la interacción más fuerte entre el grupo amino y el CO2 y el valor más bajo se presenta para S7 donde la interacción N∙∙∙C es la más débil dentro de todo el conjunto de sistemas estudiados, también se observa que para S0, S1, S2, y S3, ∇2ρ(r)N∙∙∙C aumenta conforme lo hace la sustitución del grupo amino, es decir que la fortaleza de la interacción está íntimamente relacionada con la naturaleza del grupo amino. Sin embargo, se esperaría que la fortaleza interacción N∙∙∙C fuera mayor en S3 ya que su grupo amino es trisustituido pero el valor más alto de |∇2ρ(r)| corresponde a S4 que tiene el grupo amino doblemente sustituido, lo podría significar que existen factores adicionales a la sustitución del grupo amino que gobiernan la interacción N∙∙∙C como se mencionó en la discusión de la energía de interacción. Los grafos moleculares para los clústeres de la serie Sn se muestran en la Figura 7.

 


Figura 7. Grafos moleculares de los clústeres Sn

 

Estos grafos moleculares muestran principalmente que en este tipo de sistemas predomina la interacción N∙∙∙C, ya que se observan puntos críticos de enlace entre los átomos de C y N, sin embargo, la formación de interacciones adicionales en los clústeres S5, P1 y P2 es notable, puesto que existen puntos críticos de enlace entre los átomos de oxigeno presentes en el CO2 y algunos átomos de H pertenecientes a la estructura de las aminas, en este contexto se puede explicar porque los sistemas S5, P1, y P2 que contienen un grupo amino disustiudo presentan energías de interacción más negativas en comparación con S2 que también posee una amina secundaria en su estructura.

Por otra parte, los cambios geométricos que sufre la molécula de CO2 al formarse la interacción N∙∙∙C también están relacionados con la fortaleza de esta interacción debido a que la energía Eθ que mide el cambio energético que ocurre cuando el ángulo θ se modifica puede expresarse en función del laplaciano de la densidad electrónica mediante la ecuación x , el grafico de regresión líneal se muestra en la Figura 8.

 


Figura 8. Gráfico de regresión lineal

 

Donde Eθ2 hace referencia al cuadrado de la energía de modificación del ángulo θ y ∇2ρN∙∙∙C es el laplaciano de la densidad electrónica calculado sobre el punto crítico asociado a la interacción N∙∙∙C, los valores de R2 y Q2 obtenidos para la ecuación (20) sugieren que existe un grado de correlación del 90,25% entre estas variables (Eθ2 y ∇2ρ(r)N∙∙∙C) y que su capacidad de predicción interna es aceptable.

Esta ecuación expresa principalmente que la fortaleza de la interacción N∙∙∙C depende en gran medida de las modificaciones que sufre la molécula de CO2, a medida que el valor de Eθ es más positivo la interacción N∙∙∙C es más fuerte debido a que ∇2ρ(r)N∙∙∙C también tiende a aumentar su valor. Por otro lado debido a que Eθ > 0 la deformación geométrica de la molécula de CO2 sugiere que este cambio involucra un gasto energético. La interacción N∙∙∙C es clave al momento de analizar la capacidad de absorción/adsorción de CO2 sobre materiales amínicos, debido a que se ha demostrado teórica y experimentalmente las reacciones químicas que involucran la participación del grupo amino y el CO2,, los resultados teóricos aquí reportados corroboran que el grupo amino presenta afinidad por la molécula de CO2 ya que se observa la formación de la interacción N∙∙∙C que presenta un carácter electrostático, también los factores estructurales del grupo amino son importantes al momento de formarse esta interacción.

 

CONCLUSIONES

Se estudiaron computacionalmente las interacciones moleculares de un conjunto de sistemas formados por CO2 y R-NRn mediante el modelo MP2/6-311++g(d,p), Complementariamente la fortaleza de la interacción N∙∙∙C se analizó mediante la QTAIM y el análisis la superficie del potencial electrostático. Los resultados reportados en este trabajo muestran que la formación de la interacción N∙∙∙C se debe principalmente al carácter nucleofílico del grupo amino y la naturaleza electrofílica del átomo de C en la molécula de CO2, también se observó que las regiones cercanas al átomo de N en el grupo amino presentaron potenciales electrostáticos negativos que aumentaban su valor a medida que la sustitución de este grupo era mayor. Por otro lado los sistemas con las energías de interacción más exergónicas fueron S4 y S5, se observó que a medida que aumenta la sustitución del grupo amino la energía de interacción se hace más negativa para los sistemas estudiados. Los parámetros geométricos mostraron una leve modificación del ángulo θ en la molécula de CO2 junto con distancias de interacción N∙∙∙C entre 2.9 y 1.5Å. El análisis QTAIM mostro que la interacción N∙∙∙C posee un carácter electrostático, además se observó que para todos los sistemas la interacción N∙∙∙C es de carácter débil (∇2ρ(r)N∙∙∙C > 0) y que la transferencia de carga entre los átomos C y N es mínima. De acuerdo con la topología del laplaciano de la densidad electrónica, la fortaleza de la interacción N∙∙∙C tiende a ser mayor en los sistemas que poseen el grupo amino disustuido, ya que los grafos moleculares mostraron la formación de interacciones adicionales que estabilizan estos sistemas.

También se encontró una relación matemática entre el cuadrado de la energía de modificación de θ y el laplaciano de la densidad electrónica sobre el punto crítico N∙∙∙C con coeficiente de correlación de R2 = 1, que mostro que la fortaleza de interacción N∙∙∙C depende en gran medida de los cambios geométricos que sufre N∙∙∙C.

 

AGRADECIMIENTOS

Los autores de este artículo muestran su agradecimiento al Centro de Investigaciones Universitarias (CIUC), de la Universidad de Córdoba, por el apoyo económico brindado a esta investigación, también a los integrantes del Grupo de Química Computacional (GQC) por su inmensa labor en la realización de este manuscrito.

 

REFERENCIAS

1. Lelieveld, J.; Evans, J. S.; Fnais, M.; Giannadaki, D.; Pozzer, A.; Nature 2015, 525, 367.

2. Brauer, M.; Lencar, C.; Tamburic, L.; Koehoorn, M.; Demers, P.; Karr, C.; Environ. Health Perspect. 2008, 116, 680.

3. Ding, A. J.; Fu, C. B.; Yang, X. Q.; Sun, J. N.; Petäjä, T.; Kerminen, V.-M.; Wang, T.; Xie, Y.; Herrmann, E.; Zheng, L. F.; Nie, W.; Liu, Q.; Wei, X. L.; Kulmala, M.; Atmos. Chem. Phys. 2013, 13, 10545.

4. Dai, A.; Wiley Interdisciplinary Reviews: Climate Change 2011, 2, 45.

5. Tarasova, O.; Koide, H.; Dlugokencky, E.; Montzka, S. A.; Butler, J. H.; EGU General Assembly 2014, 16, 91.

6. Joos, F.; Roth, R.; Fuglestvedt, J. S.; Peters, G. P.; Enting, I. G.; von Bloh, W.; Brovkin, V.; Burke, E. J.; Eby, M.; Edwards, N. R.; Friedrich, T.; Frölicher, T. L.; Halloran, P. R.; Holden, P. B.; Jones, C.; Kleinen, T.; Mackenzie, F. T.; Matsumoto, K.; Meinshausen, M.; Plattner, G.-K.; Reisinger, A.; Segschneider, J.; Shaffer, G.; Steinacher, M.; Strassmann, K.; Tanaka, K.; Timmermann, A.; Weaver, A. J.; Atmos. Chem. Phys. 2013, 13, 2793.

7. Iwata, H.; Okada, K.; Environ. Econ. Policy Stud. 2014, 16, 325.

8. Jensen, M. D.; Pei, P.; Snyder, A. C.; Heebink, L. V.; Botnen, L. S.; Gorecki, C. D.; Steadman, E. N.; Harju, J. A.; Energy Fuels 2013, 27, 4175.

9. Zhai, H.; Ou, Y.; Rubin, E. S.; Environ. Sci. Technol. 2015, 49, 7571.

10. Park, Y.; Moon, D.-K.; Kim, Y.-H.; Ahn, H.; Lee, C.-H.; Adsorption 2014, 20, 631.

11. Fan, W.; Chakraborty, A.; Kayal, S.; Energy 2016, 102, 491.

12. Jie, X.; Chau, J.; Obuskovic, G.; Sirkar, K. K.; Ind. Eng. Chem. Res. 2014, 53, 3305.

13. Hiyoshi, N.; Yogo, K.; Yashima, T.; Chem. Lett. 2004, 33, 510.

14. Sayari, A.; Belmabkhout, Y.; J. Am. Chem. Soc. 2010, 132, 6312.

15. Yu, C.-H.; Huang, C.-H.; Tan, C.-S.; Aerosol Air Qual. Res. 2012, 12, 745.

16. Shim, J. G.; Kim, J. H.; Jhon, Y. H.; Kim, J.; Cho, K. H.; Ind. Eng. Chem. Res. 2009, 48, 2172.

17. Chiarla, C.; Giovannini, I.; Giuliante, F.; Vellone, M.; Ardito, F.; Tenhunen, J.; Nuzzo, G.; Respir. Physiol. Neurobiol. 2010, 172, 32.

18. Sayari, A.; Belmabkhout, Y.; J. Am. Chem. Soc. 2010, 132, 6312.

19. Belmabkhout, Y.; Sayari, A.; Adsorption 2009, 15, 318.

20. Matta, C. F.; Boyd, R. J. In The Quantum Theory of Atoms in Molecules; Wiley-VCH Verlag GmbH & Co. KGaA: Weinheim, pp. 1-34.

21. Bader, R. F. W.; Bader; W. R. F. In Encyclopedia of Computational Chemistry, John Wiley & Sons, Ltd: Chichester, 2002.

22. Terlan, B.; Akselrud, L.; Baranov, A. I.; Borrmann, H.; Grin, Y.; Z. Anorg. Allg. Chem 2013, 639, 2065.

23. Löwdin, P.-O.; J. Appl. Phys. 1962, 33, 251.

24. Slater, J. C.; Phys. Rev. 1951, 81, 385.

25. Hohenberg, P.; Kohn, W.; Phys. Rev. 1964, 136, B864.

26. Kohn, W.; A. D. Becke; Parr, R. G.; J. Phys. Chem 1996, 100, 12974.

27. Cremer, D.; Wiley Interdiscip. Rev.: Comput. Mol. Sci. 2011, 1, 509.

28. Frisch, M. J.; Trucks, G. W.; Schlegel, H. B.; Scuseria, G. E.; Robb, M. A.; Cheeseman, J. R.; Montgomery, Jr., J. A.; Vreven, T.; Kudin, K. N.; Burant, J. C.; Millam, J. M.; Iyengar, S. S.; Tomasi, J.; Barone, V.; Mennucci, B.; Cossi, M.; Scalmani, G.; Rega, N.; Petersson, G. A.; Nakatsuji, H.; Hada, M.; Ehara, M.; Toyota, K.; Fukuda, R.; Hasegawa, J.; Ishida, M.; Nakajima, T.; Honda, Y.; Kitao, O.; Nakai, H.; Klene, M.; Li, X.; Knox, J. E.; Hratchian, H. P.; Cross, J. B.; Bakken, V.; Adamo, C.; Jaramillo, J.; Gomperts, R.; Stratmann, R. E.; Yazyev, O.; Austin, A. J.; Cammi, R.; Pomelli, C.; Ochterski, J. W.; Ayala, P. Y.; Morokuma, K.; Voth, G. A.; Salvador, P.; Dannenberg, J. J.; Zakrzewski, V. G.; Dapprich, S.; Daniels, A. D.; Strain, M. C.; Farkas, O.; Malick, D. K.; Rabuck, A. D.; Raghavachari, K.; Foresman, J. B.; Ortiz, J. V.; Cui, Q.; Baboul, A. G.; Clifford, S.; Cioslowski, J.; Stefanov, B. B.; Liu, G.; Liashenko, A.; Piskorz, P.; Komaromi, I.; Martin, R. L.; Fox, D. J.; Keith, T.; Al-Laham, M. A.; Peng, C. Y.; Nanayakkara, A.; Challacombe, M.; Gill, P. M. W.; Johnson, B.; Chen, W.; Wong, M. W.; Gonzalez, C.; and Pople, J. A.; Gaussian 03, Revision C.02, Gaussian, Inc., Wallingford CT, 2004.

29. Shim, J.-G.; Kim, J.-H.; Jhon, Y. H.; Kim, J.; Cho, K.-H.; Ind. Eng. Chem. Res. 2009, 48, 2172.

30. da Silva, E. F.; Svendsen, H. F.; Int. J. Greenhouse Gas Control 2007, 1, 151.

31. Pérez, J. F.; Florez, E.; Hadad, C. Z.; Fuentealba, P.; Restrepo, A.; J. Phys. Chem. A 2008, 112, 5749.

32. Murillo, J.; David, J.; Restrepo, A.; Phys. Chem. Chem. Phys. 2010, 12, 10963.

33. And, E. F. da S.; Svendsen, H. F.; Ind. Eng. Chem. Res. 2006, 45, 2497.

34. Johansson, A.; Kollman, P.; Rothenberg, S.; Theor. Chim. Acta 1973, 29, 167.

35. Lu, T.; Chen, F.; J. Comput. Chem. 2012, 33, 580.

36. Zhang, X.; Gong, X.; J. Mol. Model. 2015, 21, 1.

37. Contreras-Garcìa, J.; Johnson, E. R.; Keinan, S.; Chaudret, R.; Piquemal, J. P.; Beratan, D. N.; Yang, W.; J. Chem. Theory Comput. 2011, 7, 625.

38. Esrafili, M. D.; J. Mol. Model. 2012, 18, 5005.

39. Mottishaw, J. D.; Erck, A. R.; Kramer, J. H.; Sun, H.; Koppang, M.; J. Chem. Educ. 2015, 92, 1846.

40. Domagala, M.; Matczak, P.; Palusiak, M.; Comput. Theor. Chem. 2012, 998, 26.

41. Rozas, I.; Alkorta, I.; Elguero, J.; J. Am. Chem. Soc. 2000, 122, 11154.

On-line version ISSN 1678-7064 Printed version ISSN 0100-4042
Qu�mica Nova
Publica��es da Sociedade Brasileira de Qu�mica
Caixa Postal: 26037 05513-970 S�o Paulo - SP
Tel/Fax: +55.11.3032.2299/+55.11.3814.3602
Free access

GN1