JBCS



16:55, sáb out 25

Acesso Aberto/TP



Artigo


Modelado de partículas PM10 y PM2.5 mediante redes neuronales artificiales sobre clima tropical de San Francisco de Campeche, México
Artificial neural network modeling of PM10 and PM2.5 in a tropical climate region: San Francisco de Campeche, Mexico

Alberto Antonio Espinosa GuzmánI; Oscar May TzucII; Isaías Balam PantíIII; Javier Reyes TrujequeIV; Ignacio Vicente Pérez QuintanaII; Ali BassamII,*

ICONACYT-Centro de Investigación en Corrosión, Universidad Autónoma de Campeche, México. Av. Héroes de Nacozari No. 480, Campus 6 de Investigaciones. C.P. 24070, San Francisco de Campeche, Campeche, México
IIFacultad de Ingeniería, Universidad Autónoma de Yucatán, México. Av. Industrias no Contaminantes por Periférico Norte. Apdo. Postal 150 Cordemex. Mérida, Yucatán, México
IIIFacultad de Ciencias Químicas Biológicas, Universidad Autónoma de Campeche, México. Av. Agustín Melgar s/n, Apdo. Postal 24039. San Francisco de Campeche, Campeche México
IVCentro de Investigación en Corrosión, Universidad Autónoma de Campeche, México. Av. Héroes de Nacozari No. 480, Campus 6 de Investigaciones. C.P. 24070, San Francisco de Campeche, Campeche, México

Recebido em 31/03/2017
Aceito em 24/07/2017
Publicado na web em 12/09/2017

Endereço para correspondência

*e-mail: baali@correo.uady.mx

RESUMO

In this paper, a computational methodology based on Artificial Neural Networks (ANN) was developed to estimate the index of PM10 and PM2.5 concentration in air of San Francisco de Campeche city. A three layer ANN architecture was trained using an experimental database composed by days of the week, time of day, ambient temperature, atmospheric pressure, wind speed, wind direction, relative humidity, and solar radiation. The best ANN architecture, composed by 30 neurons in hidden layer, was obtained using the Levenberg-Marquardt (LM) optimization algorithm, logarithmic sigmoid and linear transfer functions. Model results generate predictions with a determination coefficient of 93.01% and 90.10% for PM2.5 and PM10, respectively. The proposed methodology can be implemented in several studies as public health, environmental studies, urban development, and degradation of historical monuments.

Palavras-chave: atmospheric aerosols; air quality; mathematical modelling; artificial intelligence.

INTRODUCCION

Alrededor del mundo, los estudios sobre partículas aerodinámicas menores que 10 µm (PM10) y 2.5 µm (PM2.5) de origen natural y antropogénico, y sus efectos en la calidad del aire e impacto sobre la población, se encuentran ampliamente desarrollados.1-3

Las partículas atmosféricas han cobrado recientemente un notable interés debido a los efectos adversos generados en la salud del ser humano, principalmente aquellas con diámetro aerodinámico menor que 10 µm y 2.5 µm. Tanto la Agencia de Protección al Ambiente (US-EPA), y la Organización Mundial de la Salud (WHO), advierten la importancia de la medición de este contaminante en el aire, debido a los efectos adversos en las poblaciones humanas. Incluso existen estudios que han sugerido el incremento de morbilidad y mortalidad debido a los problemas que ocasionan a nivel respiratorio del ser humano, mayormente en las ciudades más pobladas del mundo.4,5 Así mismo hay estudios que sugieren que las partículas finas o PM2.5, están fuertemente asociadas a daños al sistema respiratorio en la población infantil.6

En los últimos años, los modelos basados en Redes Neuronales Artificiales (RNAs) han sido utilizados para estimar la cantidad de contaminantes en determinadas ciudades: Ibarra-Berastegi7 empleó modelos de RNA en arquitecturas Perceptrón Multi-Capa, Base Radial y Regresión Generalizada para la estimación de niveles de contaminación de Dióxido de Azufre (SO2), Monóxido de Carbono (CO), Dióxido de Nitrógeno (NO2), Monóxido de Nitrógeno (NO) y Ozono (O3) en la Ciudad de Bilbao, obteniendo aproximaciones cercanas al 95%. Atakan Kurt y Ayse Betül Oktay,8 a través de la información recaudada por 10 estaciones de monitoreo, desarrollaron mediante RNAs un modelo de predicción geográfico para el distrito de Besiktas, Stambul. Con dicho modelo consiguieron estimar los niveles de SO2, CO y PM10, empleando como parámetros de entrada la temperatura del día, la temperatura de la noche, humedad, velocidad del viento, dirección del viento, presión atmosférica, día de la semana, fecha y nivel de contaminación del día anterior. Voukantsis9 empleó redes neuronales con arquitectura Perceptrón Multi-Capa para llevar a cabo la predicción de PM10 y PM2.5 en las ciudades de Thessaloniki, Grecia y Helsinki, Islandia obteniendo una arquitectura de red optima con un índice de aceptación de (IA) 0.8901. Las variables de entrada utilizadas fueron la temperatura, humedad relativa, dirección y velocidad del viento, mes del año y día de la semana. Por otra parte, Taspinar y Bozkurt10 llevaron a cabo entrenamientos de RNAs para desarrollar un modelo de predicción de concentración máxima diaria de PM10 para la Ciudad de Düzce, Turquía, obteniendo resultados muy favorables. Ellos estipularon que los principales parámetros de medición son los valores (máxima promedio y desviación estándar) de la temperatura, presión, velocidad del viento, humedad relativa y dirección del viento.

En México los estudios sobre partículas suspendidas se han realizado en zonas urbanas densamente pobladas. Tales son los casos de zonas metropolitanas como el Valle de México, Guadalajara y Monterrey.11-14 Sin embargo, en la mayoría de las zonas provinciales de la República Mexicana, existe poca información al respecto, tal es el caso de la Ciudad de San Francisco de Campeche, capital del Estado de Campeche, la cual presenta un clima tropical húmedo15 convirtiéndola en una locación idónea para la realización de estudios de evaluación temprana de calidad del aire. Así mismo, la ciudad es considera Patrimonio Cultural de la Humanidad por la UNESCO desde 1999, por lo que se pretende realizar un estudio sobre contaminantes atmosféricos y su relación con variables meteorológicas en la ciudad y evaluar los efectos de los aerosoles atmosféricos sobre la población y materiales de interés histórico-artístico.

La propuesta presentada es original en el sentido que en México existe poca información sobre estudios de este tipo en zonas con clima tropical. Además, la información obtenida podrá ser empleada para proponer de métodos de restauración y prevención con base a las condiciones atmosféricas y meteorológicas. Por otra parte, los resultados no solo se emplearán para evaluar los procesos de deterioro de monumentos, sino también se generará información sobre la calidad del aire en la ciudad y sus posibles efectos sobre la población, además de determinar las variaciones espacial-temporal de los aerosoles atmosféricos en el sureste de la república. Dicho proyecto constituirá una referencia ideal para realización de estudios sobre aerosoles atmosféricos en áreas urbanas de clima tropical.

Objetivo

El presente trabajo tiene como objetivo, presentar una metodología de predicción alternativa basado en herramientas de inteligencia artificial para la estimación de las concentraciones de partículas atmosféricas PM2.5 y PM10 en ausencia de equipo experimental. Esto a través de una arquitectura de Red Neuronal Artificial (RNA) basado en datos meteorológicos y mediciones de calidad del aire llevadas a cabo en la Ciudad de San Francisco de Campeche, México.

 

METODOLOGIA Y MATERIALES

Ubicación geográfica del estudio

El presente trabajo, se desarrolló en la ciudad de San Francisco de Campeche, ubicada en la parte suroeste de la Península de Yucatán (Figura 1) a 19°50'55" N y 19°30'30" O, frente a las costas del Golfo de México. La ciudad presenta un clima cálido-subhúmedo, con lluvias en verano, temperatura media anual de 26 °C y vientos predominantes del sureste con velocidad promedio de 3.87 m s-1.

 


Figura 1. Ubicación de la ciudad de San Francisco de Campeche, y localización del sitio de monitoreo en el edificio de la SEMARNATCAM, mostrando los equipos de monitoreo

 

La ciudad de San Francisco de Campeche se ubica en medio de un pequeño valle, rodeada al Norte, Sur y Este por colinas, con alturas no mayores a 150 m y al Oeste por la Bahía de Campeche. Muchas de estas colinas sufren de continuos procesos de erosión y desmonte de predios para la construcción de fraccionamientos o son empleados por compañías constructoras como bancos de material. Estas actividades erosionan el terreno originando constantes polvaderas, que contribuyen a incrementar los niveles de partículas a escala local. Así mismo, la ciudad se ve afectada periódicamente por un fenómeno ambiental a escala regional: la quema tradicional de extensiones de terreno para la preparación de cultivos y numerosos incendios forestales que se presentan de manera característica durante los periodos de estiaje que pueden ser factor de incremento en el contenido de contaminantes en la atmósfera.16 Además, la ciudad tiene registrado un número significativo de vehículos automotores en circulación. Sin embargo, existen pocas fuentes industriales de emisión de contaminantes, lo que resulta oportuno para realizar estudios tempranos de calidad del aire, así como estudios de materiales que permitan establecer una condición inicial de la zona y visualizar su evolución a través del tiempo. El sitio de muestreo se ubicó en el edificio de la Secretaria de Medio Ambiente y Recursos Naturales del Estado de Campeche (SEMARNATCAM), el cual se consideró como una ubicación representativa de la ciudad donde interactúan por igual diversas fuentes de emisión (vehiculares, de actividad urbana, aerosoles marinos, entre otros). En este sentido, se identifican los eventos de partículas que pueden contribuir a incrementar las concentraciones, con la finalidad de determinar los compuestos o elementos que constituyen y propician un aumento en la masa total de las partículas.

Sistema de medición experimental

En las mediciones de la calidad del aire la medida más común en relación a la concentración de partículas suspendidas (aerosoles atmosféricos) es el índica PM, el cual corresponde a la materia particulada que está presente en un volumen dado. Ya que la materia involucrada no es usualmente homogénea, no se pueden asignar masas molares, por tanto, las concentraciones se dan en términos de masa de partículas. Las unidades usuales son microgramos de materia particulada por cada metro cúbico de aire (µg m-3).17 Dichas unidades son utilizadas para estudios en calidad del aire y por agencias internacionales en estudios de contaminación atmosférica. En México estas unidades son empleadas en normas mexicanas para determinar la calidad de aire y evaluar si las concentraciones representan un riesgo para la salud de personas de un sitio.

El monitoreo se realizó empleando equipos tipo de alto volumen (TE-5170, Tisch Environment) con cabezales que seleccionan un tipo específico de partícula (PM10 y PM2.5), usando filtros de fibra de vidrio de 20.3 x 25.4 cm (Whatman). Estos filtros se acondicionaron previamente al muestreo dentro un desecador en un cuarto con condiciones controladas a una temperatura menor de 30 °C y una humedad menor al 50% durante 24 h. Posteriormente fueron pesados en una balanza analítica marca Sartorious (con resolución de 0.01 mg) y guardados en un sobre. Los equipos fueron colocados a 10 m sobre el nivel de piso. El muestreo se llevó a cabo cada tres días durante un tiempo de 24 h, en un periodo comprendido entre noviembre del 2015 a enero del 2017 (Figura 2). Los equipos fueron calibrados previamente para trabajar con un flujo entre 1.02 y 1.24 m3 min-1, bajo la norma NOM-025-SSA1-2014.18 Los datos meteorológicos se registraron simultáneamente para el mismo periodo de muestreo, utilizando una estación meteorológica VantagePro2 (Davis Instruments, USA) instalada en el mismo sitio.

 


Figura 2. Diagrama que muestra los equipos recolectores, así como la secuencia de toma de muestra, adquisición de datos meteorológicos, procesamiento de datos y cálculo de concentraciones y generación de base de datos

 

Durante el muestreo se registraron concentraciones de PM10 mínima, promedio y máxima de 17.21, 37.28 y 91.72 µg m-3, respectivamente, excediendo en diversas ocasiones el límite máximo permisible (75 µg m-3).18 Para el caso de las partículas denominadas PM2.5, se determinó una concentración promedio de 27.89 µg m-3 y solo en tres ocasiones se excedió el máximo permisible para el periodo de estudio (45 µg m-3),18 con una máxima y mínima de 61.12 y 8.21 µg m-3, respectivamente. Aunque son pocos los episodios en que las concentraciones rebasaron los valores máximos establecidos se observan altas concentraciones cercanas al límite, lo que indica tendencias críticas de emisión de partículas, considerando las características socioeconómicas y demográficas de la ciudad, por el crecimiento acelerado que ha tenido la ciudad como por las grandes obras que se desarrollan, razón para dar seguimiento a la emisión de estas partículas debido que son consideras las de mayor riesgo a la población.

Redes neuronales artificiales

Las Redes Neuronales Artificiales (RNAs) son sistemas adaptativos desarrollados en forma de algoritmos computacionales los cuales se encuentran inspirados en el funcionamiento del sistema nervioso. Una Red Neuronal Artificial (RNA) está conformada por un elevado número de unidades interconectadas entre sí denominadas neuronas las cuales presentan una cierta tendencia natural al aprendizaje a partir de la información del mundo exterior.19 Estas estructuras son empleadas para estimar o aproximar funciones que pueden depender de una gran cantidad de variables las cuales generalmente son desconocidas, razón por la cual las RNAs han sido utilizadas en un gran número de aplicaciones prácticas como el reconocimiento de patrones, estimación de series de tiempo y modelado de procesos no lineales.20,21

Un modelo de RNA puede ser visto como una caja negra a la cual se le ingresa una base de datos compuesta por una serie de variables de entrada; a cada una de estas variables de entrada se le asigna un factor apropiado de ponderación denominado peso (W). La suma de las entradas ponderadas y el empleo de sesgos o bias (b), para ajuste, produce un valor de entrada aplicado a una función de transferencia que generará un valor de salida. La característica principal de estos modelos es que no requieren información específica del comportamiento físico del sistema ni de la forma en que fueron obtenidos los datos.22

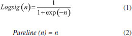
De entre los diversos modelos existentes de RNA uno de los más utilizados es el conocido como Perceptrón Multi-Capa (PMC)23 el cual es empleado para la solución de problemas multivariables no lineales a través de un proceso denominado entrenamiento. El proceso de entrenamiento es realizado mediante algoritmos específicos, de los cuales el más usado es conocido como Back-Propagation.24 Durante el proceso de entrenamiento la red aprende de sus errores hasta obtener un modelo que describa con la mayor exactitud posible el fenómeno estudiado. Para llevar acabo esto, en el transcurso del entrenamiento se generan lo que se denominan matrices de pesos y bias, las cuales se van modificando en cada iteración hasta obtener el modelo matemático óptimo.25 En el presente trabajo la arquitectura de red utilizada es la conocida como PMC la cual usualmente se encuentra divida en tres partes: capa de entrada, capa oculta y capa de salida (Figura 3). Por otra parte, las funciones de transferencia empleadas para la solución del problema no lineal son la función logística sigmoidal (Logsig, Ec. 1) y la función lineal (Pureline, Ec.2) para la capa oculta y capa de salida respectivamente.26

 


Figura 3. Arquitectura de PMC para la estimación de PM2.5 y PM10

 

MODELO DE PREDICCION BASADO EN REDES NEURONALES ARTIFICIALES

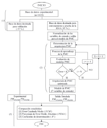
Una metodología computacional numérica fue desarrollada con el fin de generar el conjunto de cálculos que permitan modelar el comportamiento de las concentraciones de partículas denominadas PM2.5 y PM10. Como se puede observar en la Figura 4, dicha metodología se encuentra conformada por tres etapas:

 


Figura 4. Metodología computacional

 

i. La primera consiste en la creación de la base de datos a partir de la información obtenida tras las mediciones realizadas.

ii. La segunda fase se enfoca al desarrollo y evaluación de modelos matemáticos mediante PMC para la estimación de las concentraciones de PM2.5 y PM10 en el lugar de estudio.

iii. Por último, la tercera etapa lleva a cabo una comparación estadística entre los valores de PM2.5 y PM10 experimentales y los obtenidos mediante los modelos matemáticos (valores simulados) generados a partir de la arquitectura PMC.

 

Base de datos experimental

Con base en los parámetros registrados por el equipo de medición, se formó una base de datos con 8984 muestras, compuesta por 1123 mediciones para cada una de las 8 variables de interés. Las 8 variables consideradas para el modelado son el día de la semana (lunes-domingo), la hora del día (Hr, 0-23 hrs), temperatura ambiente (Ta, 15.4-37.7 °C), presión atmosférica (P, 999.7- 1023.1 hPa), velocidad del viento (Vv, 0-13 m s-1), dirección del viento (Vd, 0-360°), porcentaje de humedad relativa (H, 33- 94%) y radiación solar (G, 0-1044 W m-2). Dichos datos son de suma importancia en los estudios de calidad de aire, ya que sin parámetros meteorológicos sería muy complicado determinar las fuentes de emisión o para realizar estudios de retrotrayectoria, por citar algunos ejemplos.27 La Tabla 1, muestra los siete parámetros que conforman la base de datos, la cual presenta un conjunto de valores lo suficientemente fiable para realizar los procesos de entrenamiento y prueba del modelo de PMC.

 

 

El conjunto de datos obtenidos fue distribuido aleatoriamente en dos partes, 85% fue destinado al proceso de aprendizaje y el otro 15% fue empleado para las fases de prueba y validación, con el propósito de obtener una buena representación de los datos. Por otro lado, dado que la naturaleza de la función de activación implementada en la capa oculta es de tipo sigmoidal, es necesario normalizar el conjunto de muestras en un rango entre 0-1.28 Por lo tanto, todos los datos de entrada fija (de los conjuntos de entrenamiento, validación y prueba) se escalan a un nuevo valor normalizado el cual se encuentra dado por:29

donde Xi representa cada una de las 1,123 mediciones correspondiente a cada una de las variables de interés, Xmax es el valor máximo de cada una de las variables de interés (presentados en la Tabla 1) y xi,N es el nuevo valor normalizado de las variables que funge como entrada de la RNA. Por otra parte, el denominar con valor de 1.1 es utilizado en la Ec. 3 para mantener los datos en el rango creciente de la función y evitar abarcar la parte constante de la ecuación sigmoidal que ocurre al llegar a 1.

Desarrollo y evaluación de diversos modelos de PMC

Para obtener un modelo de predicción fiable para el PM2.5 y PM10, diferentes arquitecturas de PMC se desarrollaron. La Figura 4 ilustra el modelo de PMC empleado el cual consta de 8 variables situadas en la capa de entrada (Día de la semana (d), Hora del día (Hr), Temperatura ambiente (Ta), Presión atmosférica (P), Velocidad del viento (Vv), Dirección del viento (Vd), Porcentaje de humedad relativa (H) y Radiación solar (G)), una capa oculta y una capa de salida con dos variables (PM2.5 y PM10). La evaluación de múltiples arquitecturas de neuronas en la capa oculta se propone como una estrategia computacional adecuado para averiguar las relaciones no lineales entre las variables de entrada y de salida.10

Análisis estadístico

Los resultados numéricos obtenidos a partir del modelo de PMC son comparados estadísticamente con los datos experimentales. El análisis se realiza mediante la aplicación de parámetros estadísticos de prueba como son el Error Cuadrado Medio (ECM), Porcentaje de Error Medio Absoluto (PEMA) y el coeficiente de determinación (R2), los cuales se encuentran dados por:

donde PMsim(i) representa los valores simulados de las partículas de suspensión obtenidas tras el entrenamiento del PMC, PMexp(i) representa los datos experimentales de las partículas en suspensión y exp es el promedio de los datos experimentales.

 

RESULTADOS Y DISCUSIONES

Arquitectura PMC óptima

Para determinar la arquitectura óptima del modelo PMC se llevaron a cabo varios entrenamientos con diversas configuraciones de red empleando diferente número de neuronas en la capa oculta (1-33, Figura 4). El algoritmo implementado para realizar el proceso de entrenamiento es el conocido como Levenberg-Marquardt (LM) back-propagation, el cual es un derivado del método de Newton, y es uno de los algoritmos de mayor rapidez de convergencia en RNAs con arquitectura PMC.30 De la misma forma las funciones de transferencia Logsig (Capa oculta) y Pureline (Capa de salida) fueron empleadas en cada uno de los entrenamientos de red. Los datos obtenidos en el entrenamiento fueron comparados estadísticamente a través de las Ec. 4, Ec. 5 y Ec. 6 para determinar la efectividad estimada del modelo. La Tabla 2 muestra la comparación de los resultados estadísticos obtenidos (Ec. 4, Ec. 5 y Ec. 6) para la estimación de los niveles de concentración de PM2.5 y PM10, tras la evaluación de diversas estructuras de neuronas en la capa oculta de la RNA.

 

 

En la Tabla 2 se puede apreciar que el incremento en el número de neuronas de la capa oculta favorece la correlación existente entre los datos de entrenamiento y los producidos por la red. Por otra parte, la Figura 5 muestra los resultados estadísticos obtenidos para las diversas arquitecturas de red evaluadas.

 


Figura 5. Resultados de los criterios estadísticos empleados para la evaluación de las diversas arquitecturas de red. a) EMC respecto al número de neuronas en la capa oculta, b) PEMA respecto al número de neuronas en la capa oculta, c) Variación de R2 en función de las neuronas de la capa oculta

 

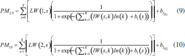
Cada una de las gráficas de la Figura 5 ilustra el proceso de optimización de los pesos y bias de la red neuronal. La Figura 5(a) describe el comportamiento del ECM respecto al número de neuronas en la capa oculta. Como se puede observar conforme incrementa el número de neuronas la diferencia entre los valores estimados por la red y las mediciones experimentales disminuye hasta llegar a las 30 neuronas, punto en el cual el ECM en PM2.5 tienden a estabilizarse y el ECM de PM10 llega a su valor mínimo, haciendo inviable el incremento de neuronas a partir de este punto. Del mismo modo, la Figura 5(b) muestra las variaciones del PEMA indicando que conforme incrementan las neuronas en la capa oculta las fluctuaciones de error del modelo matemático tienden a disminuir. Como se puede apreciar, a partir de cierto número de neuronas (30 neuronas), el PEMA de PM2.5 comienza a aumentar mientras que el PEMA de PM10 continua en decremento. Esto se traduce en un modelo que, a partir de cierto punto, tiende a acrecentar el error en una salida y especializarse en la otra. Por último, la Figura 5(c) representa el incremento de la determinación (R2) entre datos simulados y experimentales. Como ilustran las curvas de ambos índices de concentración, a partir de las 28 neuronas no realiza un aumento significativo en la determinación para PM10 ni PM2.5. Esto indica que existe un límite de aprendizaje el cual no se puede superar sin importar el incremento en el número de neuronas de la capa oculta. Por lo tanto, tras el análisis de las gráficas se concluye que el mejor modelo de predicción PMC obtenido que asegure los resultados más fiables empleando el menor número de neuronas es generado utilizando 30 neuronas en la capa oculta, implementando así una arquitectura de red 7-30-2. Este modelo presenta un ECM=2.364, PEMA=1.635 y R2 = 0.930 para el PM2.5 y un ECM=4.1318, PEMA=2.885 y R2 = 0.9010 para el PM10. Además, los datos experimentales y simulados fueron comparados satisfactoriamente mediante un ajuste de regresión lineal generando las siguientes ecuaciones de correlación:

La Figura 6 muestra la comparativa entre los valores experimentales y los simulados así como los respectivos coeficientes de determinación de la Ec. 7 y Ec. 8 (R2=0.930 para PM2.5 y R2=0.901 para PM10). Por otra parte, como se puede observar a través de los ejes de las gráficas los valores de la base de datos empleada cubren todos los rangos de medida indicados en la Tabla 1.

 


Figura 6. Comparación estadística entre datos simulados y experimentales. a) niveles de concentración de PM2.5. b) niveles de concentración de PM10

 

Los valores de los pesos y bias óptimos obtenidos para el mejor modelo PMC son mostrados en la Tabla 3, donde IW representa los pesos de conexión entre la capa de entrada y capa oculta, LW son los pesos entre la capa oculta y la capa de salida, k el número total de neuronas en la capa de entrada (K=8), s es el número total de neuronas en la capa oculta (S=30) y q el número de neuronas en la capa de salida (Q=2). El índice (s,k) del peso IW indica la relación de correspondencia de dicho peso entre la neurona de entrada k y la neurona oculta s mediante el valor ponderado de IW. Del mismo modo el índice (q,s) del peso LW indica la relación de correspondencia de dicho peso entre la neurona oculta s y la neurona de salida q mediante su correspondiente valor ponderado. Por otra parte, b1 y b2 son las bias o factores de ajuste. La Figura 3 muestra la arquitectura obtenida para el mejor modelo PMC con la nomenclatura descrita previamente.

 

 

Por lo tanto, basado en la arquitectura desarrollada (Figura 3), la función de transferencia logística sigmoidal (Ec. 1), la función de transferencia lineal (Ec. 2), y los valores presentes en la Tabla 3, los modelos propuestos para los dos conjuntos de partículas de suspensión se pueden representar de manera analítica como:

donde el parámetro In representa la variable de entrada en turno a ser evaluada en el modelo matemático.

Validación

Con el propósito de determinar el comportamiento y desempeño del modelo matemático desarrollado para la predicción de PM2.5 y PM10, se llevó a cabo un proceso de validación el cual consistió en realizar comparaciones entre resultados simulados y mediciones experimentales de PM2.5 y PM10 no utilizados en el proceso de entrenamiento de la RNA. En la Figura 7 es posible observar muestras de comparaciones para los niveles de concentración de PM2.5 (Figura 7(a)) y PM10 (Figura 7(b)). Como se puede apreciar los resultados del modelo PMC tienden a estimar de manera cercana los valores experimentales (PM2.5,exp y PM10,exp).

 


Figura 7. Validación del modelo PMC mediante comparación con valores no involucrados en el entrenamiento de la red. a) Validación para los niveles de PM2.5, b) Validación para los niveles de PM10

 

La predicción de la concentración en un punto dado empleando información de las entidades que intervienen a partir de un modelo matemático que requiere de información básica de la fuente del contaminante y de condiciones meteorológicas puede resultar muy útil en estudios de calidad de aire debido que permitirá estimar las concentraciones de contaminantes y poder identificar áreas donde exista altos niveles de partículas y evaluar el riesgo a la población.

La aplicación de un modelo matemático es sumamente útil, ya que en estudios de calidad de aire ayudará a reproducir el comportamiento de los contaminantes a partir de datos experimentales sesgados o incluso permitirá estimar tendencias de los contaminantes. Es así, que el modelo de RNA resulta ser una herramienta útil que permitirá estimar valores experimentales en estudios de contaminación atmosférica.

Análisis de sensibilidad

Con el fin de determinar el impacto que posee cada una de las variables de entrada sobre ambos conjuntos de partículas de suspensión simulados por el modelo PMC, un análisis de sensibilidad se llevó a cabo utilizando la matriz de pesos obtenida en el proceso de entrenamiento del PMC (Tabla 3) y el bien conocido Algoritmo de Garson31,32 el cual se encuentra dado por:

donde Ij representa el porcentaje de importancia relativa de cada variable de entrada (j) sobre la variable de salida Ni y Nh son el número de neuronas en la capa de entrada y capa oculta respectivamente y W son los pesos de conexión. Por otra parte los superfijos 'i', 'h' y 'o' hacen referencia a la capa de entrada, capa oculta y capa de salida respectivamente; y los subfijos 'k', 'm' y 'n' se refieren a las neuronas de entrada, ocultas y de salida.

Los resultados obtenidos tras la realización del análisis de sensibilidad se pueden observar en la Figura 8, en ella se aprecia claramente que ambos niveles de concentración (PM2.5 y PM10) resultan afectados de la misma manera por las diversas variables de entrada. De los ocho parámetros contemplados como entradas del modelo matemático, el que presenta la influencia más fuerte sobre los niveles de concentración es la variación del día (41.4% PM2.5, 41.6% PM10), seguido por la presión atmosférica (26.8% PM2.5, 27% PM10) y la temperatura ambiente (16.1% PM2.5, 14.8% PM10). Por otra parte, los parámetros como la hora del día, velocidad del viento, dirección viento y humedad relativa (4.0%, 5.9% 5.7% y 6.2% para PM2.5 ; y 4.0%, 5.7%, 6.0% y 6.5% para PM10) resultan afectar en menor medida y semejante proporción la concentración de partículas en el aire. Por último, se aprecia que el parámetro que presenta la menor influencia para ambos niveles de concentración es la radiación solar (2.4% PM2.5, 2.9% PM10). Es importante considerar que el parámetro de día se encuentra vinculado con el parámetro de las partículas, el cual es uno más utilizados para la clasificación y caracterización del comportamiento de partículas atmosféricas confirmando así la importancia de esta variable.33

 


Figura 8. Importancia relativa (%) de las variables de entrada en los niveles de concentración de PM2.5 y PM10

 

A partir del resultado de análisis de sensibilidad se cumple el objetivo de conocer que parámetros tienen mayor influencia sobre las concentraciones de las partículas en un clima tropical. Los estudios de partículas atmosféricas están ampliamente desarrollados en zonas con clima templado. Sin embargo, existe poca información sobre estudios de este tipo para ciudades que se ubican en costas donde predominan altas temperaturas y una alta humedad. Las variables que tienen mayor correlación como son los días de la semana, presión atmosférica y temperatura ambiente, es información que se puede utilizar para diseñar protocolos de muestreos considerando dichas variables y que permita obtener mejores resultados durante los monitoreos, por ejemplo, considerando las temporadas de seca y lluvia en zonas de clima tropical para realizar estudios sobre el comportamiento temporal de las partículas en el suroeste de la república mexicana.

 

CONCLUSIONES

A través de una metodología basada en redes neuronales artificiales fue obtenido un modelo para la estimación de las concentraciones de partículas en el aire de PM2.5 y PM10 en la ciudad de San Francisco de Campeche. El modelo de red neuronal artificial fue entrenado a partir de variables meteorológicas, parámetros temporales y mediciones de calidad del aire. El modelado fue realizado empleando ocho parámetros de entrada, los cuales exhibieron rangos aceptables de generalización. Los ocho parámetros utilizados para determinar la concentración de partículas en el aire fueron el día de la semana, la hora del día, la temperatura ambiente, la presión atmosférica, la velocidad del viento, la dirección del viento, la humedad relativa y la radiación solar. El modelo de red neuronal artificial fue entrenado exitosamente a partir de una base de datos experimental, con el algoritmo levenberg marquardt, y validado empleando datos no incluidos en el proceso de entrenamiento. La validación del modelo neuronal fue realizada aplicando criterios estadísticos llevando a cabo comparaciones entre los resultados simulados y parámetros medidos de índice de calidad de aire.

Los resultados obtenidos tras aplicar la metodología propuesta de modelado indican que las redes neuronales artificiales funcionan como una herramienta factible para la estimación de índice de contaminación de PM2.5 y PM10 en climas tropicales como la Ciudad de San Francisco Campeche, México. Esto sugiere que la metodología puede ser implementada en ausencia de equipo experimental de propósito dedicado. Además, la estrategia de modelación planteada resulta ser una alternativa inteligente para la estimación partículas suspendidas, que, si bien no compite con los métodos convencionales, complementa la investigación en esta línea de estudio enriqueciendo su contenido.

Por otro lado, a través de los resultados del entrenamiento de la red neuronal artificial se llevó a cabo un análisis de sensibilidad indicando que el parámetro más influyente en ambos índices de contaminación (PM2.5 y PM10) es el día de la semana, seguido por la presión atmosférica y la temperatura ambiente. Esto concuerda con el comportamiento de las partículas suspendidas durante el periodo de seca-caliente (marzo-junio), donde se observa mayores niveles de partículas atmosféricas debido a las altas temperaturas que permiten resuspensión de material partículado por tiempos prolongados en la atmósfera.

Por lo tanto, esto permite el planteamiento de protocolos que consideren con mayor detalle las variaciones de estos parámetros en condiciones temporales como las semanas, los meses o las estaciones del año. Por lo tanto, además de demostrar que la metodología es factible para su aplicación en regiones tropicales de México, está también demuestra ser flexible para inclusión de estos parámetros a la arquitectura de la red neuronal artificial. Esto permite que los modelos generados se mejoren continuamente brindando una descripción más representativa del fenómeno.

 

MATERIAL SUPLEMENTARIO

En la Figura 1S se presentan las curvas que describen el comportamiento de las variables para las fases de entrenamiento y aprendizaje de la red neuronal. Estos corresponden a mediciones climatologicas y de concentración de particulas, realizadas durante el periodo de monotoreo. Este material puede ser consultado en http://quimicanova.sbq.org.br, en formato PDF con acceso libre.

 

REFERENCIAS

1. Chow, J. C.; Watson, J. G.; Fujita, E. M.; Lu, Z.; Lawson, D. R.; Ashbaugh, L. L.; Atmos. Environ. 1994, 28, 2061.

2. Vargas, F. A.; Rojas, N. Y.; Pachon, J. E.; Russell, A. G.; Atmos. Pollut. Res. 2012, 3, 72.

3. de Albuquerque Filho, F. S.; Madeiro, F.; Fernandes, S. M. M.; de Mattos Neto, P. S. G.; Ferreira, T. A. E.; Quim. Nova 2013, 36, 783.

4. Health Effects Institute; Understanding the Health Effects of Components of the Particulate Matter Mix: Progress and Next Steps, Boston, USA, 2002.

5. Arden Pope III, C.; Dockery, D. W.; Air Waste Manag. Assoc. 2006, 56, 709.

6. Schwartz, J.; Neas, L. M.; Epidemiology 2000, 11, 6.

7. Ibarra-Berastegi, G.; Elias, A.; Barona, A.; Saenz, J.; Ezcurra, A.; Diaz de Argandoña, J.; Environmental Modelling & Software 2008, 23, 622.

8. Kurt, A.; Oktay, A.; Expert Syst. Appl. 2010, 37, 7986.

9. Voukantsis, D.; Karatzas, K.; Kukkonen, J.; Räsänen, T.; Karppinen, A.; Kolehmainen, M.; Sci. Total Environ. 2011, 409, 1266.

10. Taspinar, F.; Bozkurt, Z.; Fresenius Environ. Bull. 2014, 23, 2450.

11. Mugica, V.; Maubert, M.; Torres, M.; Muoz, J.; Rico, E.; J. Aerosol Sci. 2002, 33, 91.

12. Hernández-Mena, L.; Saldarriaga-Noreña, H.; Carbajal-Romero, P.; Cosío-Ramírez, R.; Esquivel-Hernández, B.; Environ. Monit. Assess. 2010, 161, 281.

13. González-Santiago, O.; Badillo-Castañeda, C. T.; Kahl, J. D.; Ramírez-Lara, E.; Balderas-Renteria, I.; J. Air Waste Manag. Assoc. 2011, 61, 573.

14. Miranda, J.; Barrera, V. A.; Espinosa, A. A.; Galindo, O. S.; Meinguer, J.; 10th International Conference on Particle Induced X-ray Emission and its Analytical Applications, Portoroz, Slovenia, 2005.

15. Corvo, F.; Reyes, J.; Valdes, C.; Villaseñor, F.; Cuesta, O.; Aguilar, D.; Quintana, P.; Water. Air. Soil Pollut. 2010, 205, 359.

16. Gutiérrez-Almazán, J. L.; Censo Nacional de población y Vivienda. Campeche: presencia de la bruma y efectos en la salud, San Francisco de Campeche, México, 2003.

17. Figueruelo, J.; Marino, M.; Química física del ambientes y de los procesos medioambientales, Reverté: Barcelona, 2004.

18. Secretaría de Salud; NORMA Oficial Mexicana NOM-025-SSA1-2014, Salud ambiental, México Distrito Federal, México, 2014.

19. Lippmann, R. P.; IEEE ASSP Magazine 1987, 4, 4.

20. Croal, I. F.; Mason, J. P.; Industrial Applications of Neural Networks, Springer-Verlag, 1992.

21. Haykin, S. Neural networks, Prentice Hall: Upper Saddle River, 1999.

22. Bassam, A.; Conde-Gutierrez, R. A.; Castillo, J.; Laredo, G.; Hernandez, J. A.; Fuel 2014, 124, 158.

23. May Tzuc, O.; Bassam, A.; Escalante Soberanis, M. A.; Venegas-Reyes, E.; Jaramillo, O. A.; Ricalde, L. J.; Ordoñez, E. E.; El Hamzaoui, Y.; J. Renewable Sustainable Energy 2017, 9, 13701.

24. Demuth, H.; Beale, M.; Neural network toolbox for Matlab, The MathWorks Inc, 2014.

25. El Hamzaoui, Y.; Abatal, M.; Bassam, A.; Anguebes-Franseschi, F.; Oubram, O.; Castaneda Robles, I.; May Tzuc, O.; Desalin. Water Treat. 2017, 58, 2002.

26. May Tzuc, O.; Bassam, A.; Flota-Bañuelos, M.; Ordoñez, E. E.; Ricalde-Cab, L.; Quijano, R.; Vega Pasos, A. E.; Em Intelligent Computing Systems Springer International: Mérida,Yucatán, 2016.

27. Barrera, V. A.; Miranda, J.; Espinosa, A. A.; Meinguer, J.; Martínez, J. N.; Cerón, E.; Morales, J. R.; Miranda, P. A.; Dias, J. F.; Int. J. Environ. Res. 2012, 6, 597.

28. El Hamzaoui, Y.; Hernández, J. A.; Silva-Martínez, S.; Bassam, A.; Alvarez, A.; Lizama-Bahena, C.; Desalination 2011, 277, 325.

29. Bassam, A.; Salgado-Tránsito, I.; Oller, I.; Santoyo, E.; Jiménez, A. E.; Hernández, J. A.; Zapata, A.; Malato, S.; Int. J. Energy Res. 2012, 36, 1314.

30. Hagan, M. T.; Menhaj, M. B.; IEEE Trans. Neural Networks 1994, 5, 989.

31. Garson, G.; AI Expert 1991, 6, 47.

32. Ghorbani, M.; Naghipour, L.; Karimi, V.; Farhoudi, R.; Iranian Journal of Health and Environment 2013, 6, 11.

33. Spurny, K. R.; Aerosol Chemical Processes in the Environment, Lewis Publishers: USA, 2000.

On-line version ISSN 1678-7064 Printed version ISSN 0100-4042
Qu�mica Nova
Publica��es da Sociedade Brasileira de Qu�mica
Caixa Postal: 26037 05513-970 S�o Paulo - SP
Tel/Fax: +55.11.3032.2299/+55.11.3814.3602
Free access

GN1