JBCS



12:27, sáb out 25

Acesso Aberto/TP



Artigo


Estudo através de rmn de 13C no estado sólido sobre a síntese de oxido de grafite utilizando diferentes precursores grafíticos
Solid state 13C nmr study on the synthesis of graphite oxide from different graphitic precursors

Mariana A. Vieira*; Carolina Maria R. Frasson; Tainara Luiza G. Costa; Daniel F. Cipriano; Miguel A. Schettino Jr.; Alfredo G. Cunha; Jair C. C. Freitas

Laboratório de Materiais Carbonosos e Cerâmicos, Departamento de Física, Universidade Federal do Espírito Santo, 29075-910 Vitória - ES, Brasil

Recebido em 05/05/2017
Aceito em 21/08/2017
Publicado na web em 16/10/2017

Endereço para correspondência

*e-mail: marianaarpini@hotmail.com

RESUMO

The influence of the structural and microstructural characteristics of graphitic precursors on the production of graphite oxide (GO) is investigated in the present work. Six different graphitic precursors were used to produce GO following a modified Hummers method, namely: natural graphite, commercial lubricant graphite, milled graphite, graphite flakes, high-purity graphite and graphite recycled from Li-ion batteries. The products were characterized by X-ray diffraction (XRD), thermogravimetry, solid-state 13C nuclear magnetic resonance (NMR) and scanning electron microscopy (SEM). 13C NMR spectra revealed the presence of epoxy, hydroxyl, carbonyl and lactol groups in the synthesized GOs. However, the oxidation degree of each product was found to be dependent on the average crystallite size (Lc) and particle size of the graphitic precursors, with the best GO samples being produced from the milled graphite and the graphite recycled from ion-Li batteries. These results were rationalized in terms of the structural and microstructural differences among the graphitic precursors, as revealed by the XRD patterns and SEM images, evidencing the importance of the correct choice of the precursor aiming the achievement of a well-developed structure for the GO product.

Palavras-chave: graphite oxide; recycled graphite; ion-Li battery; solid-state 13C NMR.

INTRODUÇÃO

Em 1859, Brodie relatou a descoberta de um material composto por carbono, hidrogênio e oxigênio, ao qual deu o nome de "ácido grafítico", após tentar promover a oxidação do grafite.1 Tal material viria a ser conhecido como óxido de grafite (OG) e, após Novoselov e colaboradores conseguirem isolar uma folha única de grafeno, o interesse em estudos sobre a produção e características do OG ressurgiu de forma intensa, devido ao seu papel como um precursor para a produção de baixo custo e em larga escala de materiais à base de grafeno.2,3 Além disso, a completa esfoliação do OG em meio aquoso permite a obtenção do material conhecido como óxido de grafeno, este também um material com aplicações promissoras em áreas como catálise, adsorção e eletroquímica, dentre outras.4,5 Desde o estudo pioneiro de Brodie várias rotas químicas foram propostas para sintetizar o OG, como a sugerida por Staudenmaier, 40 anos após Brodie, e por Hummers e Offeman, um século após o primeiro relato.6,7 Os produtos das reações relatadas por esses pesquisadores apresentavam grandes variações em sua composição, em função não somente dos diferentes reagentes oxidantes utilizados em cada uma (KClO3/HNO3 nos métodos de Brodie e Staudenmaier e H2SO4/KMnO4 no método de Hummers) mas também da fonte de grafite empregada e das condições reacionais.8 Atualmente, o método de Hummers é o mais utilizado para síntese do OG. Contudo, as quantidades de cada reagente originalmente usadas eram muito altas, e com o passar dos anos surgiram variações desse método que modificavam não somente as proporções dos reagentes mas também parâmetros de temperatura e tempo reacional. Tais adaptações ao método de Hummers são comumente chamadas de "métodos de Hummers modificados".8-10

A estrutura do OG permanece até os dias atuais objeto de um extenso debate. O modelo estrutural do OG mais aceito atualmente foi originalmente proposto por Lerf e colaboradores.11 Este modelo descreve que os óxidos de grafite são compostos por folhas formadas por átomos de C em hibridização sp 2, as quais possuem grupos epó-xidos e hidroxilas ligados em seu plano basal e, em sua periferia, ácidos carboxílicos. Após diversas revisões, do próprio grupo de Lerf e também de outros pesquisadores, sabe-se que, além de hidroxilas, epóxidos e ácidos carboxílicos, o OG apresenta ainda, em menor proporção, cetonas e lactóis com anéis de 5 e 6 membros, como mostra a Figura 1.11-13

 


Figura 1. Modelo estrutural do óxido de grafite proposto por Lerf et al. (Reproduzido da referência 9, com permissão da Elsevier)

 

Em 2011 Rourke et al. propuseram que a estrutura de OG era composta de folhas de grafeno pouco oxidadas, porém, com fragmentos de grafeno altamente oxidados, chamados "oxidative debris" (OD), aderidos a elas, de forma que os ODs têm atuação semelhante à de surfactantes, aumentando a solubilidade do composto como um todo.14 Posteriormente Dimiev et al. sugeriram que esses ODs são constituídos de estruturas similares a ácidos húmicos e fúlvicos, que diferem entre si através do peso molecular, número de grupos funcionais e solubilidade.15 Com base nos trabalhos de Rourke e Dimiev, novos estudos propuseram que 1/3 da composição de OG é de folhas de grafeno oxidadas contendo grupos hidroxila e epóxidos no interior do plano basal e carboxilas e lactois nas extremidades do plano. Os 2/3 restantes são referentes a ODs envoltos por moléculas de água e aderidos às folhas de óxido de grafeno, como ilustrado na Figura 2.

 


Figura 2. Modelo estrutural de óxidos de grafite (elaborada pelos autores com base em Rourke et al.)14

 

Estudos recentes evidenciaram notável correlação entre as características estruturais do grafite precursor e as propriedades (incluindo-se estrutura, composição química e outras) dos OGs produzidos. Alguns trabalhos mostraram que precursores com características estruturais distintas forneciam OGs com propriedades químicas e estruturais também distintas. Por exemplo, Botas e colaboradores relataram que grafites com menores tamanhos de cristalito levaram à formação de um OG com folhas menores e maior proporção de ácidos carboxílicos e hidroxilas localizados nas bordas dos planos; por sua vez, os OGs obtidos a partir de grafites com maior tamanho de cristalito mostraram predominância de grupos epóxidos e folhas de maiores dimensões.16 Tran e colaboradores também investigaram a influência do tamanho de partícula e de cristalito do grafite precursor sobre a síntese de OG a partir de três grafites naturais distintos.17 Estudos de Chowdhury e colaboradores investigaram o papel desempenhado pelo grafite precursor na síntese de OG e sugeriram que grafites com maiores tamanhos de cristalito ao longo da direção c (perpendicular aos planos basais) são mais oxidados nos planos basais, com formação de grupos epóxidos e hidroxilas.18

Por outro lado, sabendo-se que as espécies oxidantes atacam preferencialmente as partes inferior e superior dos planos, foi sugerido que uma maior dimensão ao longo dos planos basais do grafite precursor iria dificultar a oxidação, pois as espécies oxidantes encontrariam dificuldade para se inserirem entre as camadas de grafite, e a oxidação nas bordas dos planos prevaleceria. O mesmo foi observado para os grafites com tamanhos de cristalito menores.12 Em trabalho prévio a este, relatamos a produção de grafites com diferentes graus de ordem estrutural através da moagem de um precursor grafítico de alta pureza e alta cristalinidade.9 Os pós resultantes desse processo foram, então, utilizados para a síntese de OG. Foram obtidos produtos com diferentes graus de oxidação e com diferentes quantidades relativas de grupos funcionais oxigenados, conforme identificado por espectroscopia de ressonância magnética nuclear (RMN) de 13C no estado sólido. O processo de moagem perturbou a ordem estrutural do grafite precursor, e causou uma redução do tamanho médio de cristalitos na direção perpendicular aos planos basais e um aumento na área superficial específica dos pós moídos. A introdução de defeitos estruturais por moagem levou à produção de materiais mais sensíveis à oxidação por um método de Hummers modificado.10 As amostras de grafite moídas por tempos intermediários (da ordem de 30-40 min) pareceram atingir tamanhos de cristalitos ideais para a reação de oxidação, tendo sido produzidos materiais altamente oxidados que apresentavam principalmente grupos hidroxilas e epóxidos nos planos basais. A moagem por tempos mais longos causou uma redução excessiva dos cristalitos e os óxidos produzidos exibiram uma maior concentração de grupos funcionais nas bordas dos planos.

O presente trabalho visa ampliar essa investigação sobre a relação entre as características estruturais ou microestruturais do precursor grafítico e as propriedades dos óxidos obtidos. A técnica de espectroscopia de RMN de 13C no estado sólido é utilizada, juntamente com outros métodos de caracterização física e química, para a condução desse estudo comparativo e detalhado, tendo sido escolhidos como precursores vários grafites de diferentes procedências e com características físicas distintas.

 

PARTE EXPERIMENTAL

Precursores

Os grafites precursores utilizados foram: grafite em flocos (GF) e grafite comercial (GMax), ambos doados pela empresa Nacional de Grafite; grafite natural (GN); grafite comercial lubrificante (GL) da marca "Nova Marca"; grafite reciclado de bateria íon-Li (GB); e grafite moído por 30 minutos (GM30). GM30 foi obtido a partir da moagem de fragmentos retirados de um bastão de grafite sintético (Alfa Aesar, comercializado como eletrodo de grafite) de alta pureza (99,9995 %), conforme descrito em trabalho prévio a este.9 GB foi obtido a partir da reciclagem de baterias íon-Li utilizadas em aparelhos celulares. Nessas baterias, o grafite encontra-se aderido a uma folha de cobre. Dessa forma, para obtenção do grafite, dissolveram-se as folhas de cobre contendo grafite em ácido nítrico concentrado (tanto quanto bastasse para dissolver todo o cobre). Após isso, o grafite foi filtrado, lavado para remover todo o ácido e seco em estufa a 100 °C por 3 h. Os demais grafites foram utilizados conforme foram disponibilizados, sem qualquer processo realizado previamente à reação de oxidação.

Síntese dos OGs

A oxidação dos grafites foi realizada através de um método de Hummers modificado.9,10 Para as sínteses, cerca de 1 g do grafite precursor e 0,5 g de NaNO3 foi adicionado em 70 mL de H2SO4 concentrado (em banho de gelo). Em seguida, adicionaram-se gradualmente 3,0 g de KMnO4. A mistura foi agitada durante 2 h e depois diluída com água destilada. Após isso, foram adicionados 3 mL de H2O2 30% v/v à solução até a cor da mistura tornar-se amarelo acastanhado. Os óxidos obtidos foram centrifugados e lavados com água destilada até que o filtrado atingisse pH em torno de 6, e secos em placas de Petri a 60 °C durante 2 h. Os óxidos sintetizados a partir dos precursores grafíticos GF, GMax, GN, GL, GM30 e GB são aqui descritos pelos símbolos OGF, OGMax, OGN, OGL, OGM30 e OGB, respectivamente.

Caracterização

Difração de raios X (DRX)

Os difratogramas de raios X dos grafites precursores e OGs foram obtidos em um difratômetro XRD-6000 da Shimadzu, utilizando-se radiação Cu-Ka (λ = 1,5418 Å) e com o ângulo de difração (2θ) na faixa de 5 a 50° em passos de 0,04°. O tamanho médio de cristalito na direção perpendicular aos planos de grafeno (Lc) foi obtido a partir do valor inverso da largura à meia altura do pico (002) da estrutura cristalina hexagonal do grafite, utilizando a equação de Scherrer com a constante K = 0,89.19

Termogravimetria (TG)

As curvas de TG dos grafites e OGs foram registradas no equipamento TGA-50H Shimadzu, utilizando fluxo de O2 (50 mL/min) e uma razão de aquecimento de 5 °C/min até 1000 °C para os grafi-tes precursores e até 800 ° para os OGs sintetizados para oxidação completa do material.

RMN de 13C no estado sólido

Os experimentos de RMN de 13C foram conduzidos à temperatura ambiente em um espectrómetro Varian-Agilent VNMRS-400, operando a 100,5 MHz (campo magnético de 9,4 T), equipado com uma sonda de sólidos de tripla ressonância. Em todos os experimentos foi empregada a técnica de rotação em torno do ângulo mágico (MAS) com frequência de rotação de 14 kHz, utilizando amostras de OG pulverizadas e empacotadas em rotores de zircônia de 4 mm de diâmetro. Algumas amostras de OG, como OGF e OGMax, apresentaram alta condutividade elétrica (o que é associado a uma ineficiente oxidação, como será discutido adiante) e, portanto, essas amostras foram diluídas com sílica em pó para obter uma sintonia adequada da sonda.20 Foi empregada uma sequência de pulsos especialmente projetada para evitar sinais de fundo provenientes de contribuições externas à sonda (o que é bem comum em espectros de RMN de 13C obtidos a partir de excitação direta dos núcleos de 13C), com um pulso ϖ/2 (4,3 µs) imediatamente seguido por um par de pulsos π (8,6 µs) e subsequente detecção do decaimento de indução livre (FID).21 Em todos os experimentos de RMN o tempo de relaxação foi de 15 s e a janela espectral foi de 250 kHz. Os espectros foram obtidos através da transformada de Fourier do FID, adquirido com 4096 pontos, após a acumulação de cerca 4000 transientes. Todos os deslocamentos químicos foram referenciados externamente pelo pico das metilas do hexametilbenzeno (HMB) (17,3 ppm), tendo como referência primária o tetrametilsilano (TMS) (0,0 ppm). Os espectros de RMN obtidos para todas as amostras de OG foram deconvoluídos utilizando uma combinação de contribuições Gaussianas e Lorentzianas, a fim de determinar a fração relativa associada a cada grupo funcional identificado.

Microscopia eletrônica de varredura (MEV)

As imagens de MEV dos grafites precursores foram obtidas utilizando um instrumento Shimadzu SS-550, na tensão de 8 kV e ampliações de 50 e 700 vezes, de acordo com o tamanho das partículas de cada amostra.

 

RESULTADOS E DISCUSSÃO

Análise dos grafites precursores

Resultados previamente reportados na literatura e citados na Introdução sugerem a possibilidade de ajustar o grau de oxidação e o tipo de grupos funcionais em óxidos de grafite ou de grafeno alterando as características estruturais do precursor grafítico.5,9-12 Dessa forma, desenvolveu-se um estudo buscando comparar os produtos obtidos pela oxidação de grafites de diferentes fontes, explorando, inclusive, a possibilidade de utilizar um grafite reciclado de baterias íon-Li (comumente utilizadas em celulares).

As imagens de MEV mostradas na Figura 3 permitem uma avaliação sobre os tamanhos médios de partícula de cada precursor grafítico. As imagens obtidas para os precursores GF e GMax, por exemplo, mostram fragmentos com formato lamelar e maiores em comparação com as demais amostras; o precursor GF é aquele que apresenta as maiores partículas (~800 µm em média), com formatos razoavelmente homogêneos. Uma distribuição mais heterogênea de tamanhos (entre 20 e 150 µm) e formatos das partículas é observada para os precursores GMax, GN e GL. Já os precursores GM30 e GB são aqueles com as menores partículas (~15 µm e ~35µm em média, respectivamente) muitas com formato arredondado ou mal definido, o que, no caso de GM30, é consequência do processo de moagem.9 Estes resultados sugerem que o processo de produção de OG via oxidação em meio líquido deve apresentar eficiências distintas para os vários precursores analisados, levando à obtenção de produtos com diferentes características químicas e estruturais.9,16,17,22,23

 


Figura 3. Imagens de MEV dos grafites precursores: (a) GF, (b) GM30, (c) GB, (d) GMax, (e) GN e (f) GL

 

Através das curvas de TG dos grafites precursores mostradas na Figura 4, nota-se que os grafites GF, GN, GMax e GL apresentam as temperaturas de oxidação mais elevadas quando comparados aos precursores GM30 e GB. Esse resultado é consistente com a análise das imagens de MEV, uma vez que a existência de partículas maiores e com maior cristalinidade tende a exigir temperaturas maiores para que a estrutura grafítica seja oxidada por reação com o gás O2.9,24 As menores temperaturas de oxidação observadas para as amostras GM30 e GB sugerem que esses precursores devem apresentar melhores resultados após a oxidação pelo método de Hummers empregado. Avaliando o teor de massa residual final, nota-se que GN, GL e GF apresentam maior teor de cinzas. Isso provavelmente se deve à presença de impurezas inorgânicas (como sílica e caulinita) nesses grafites. Os grafites GM30 e GB apresentam reduzido teor de cinzas, o que se deve ao fato de que ambos são submetidos a lavagem em meio fortemente ácido, com HCl concentrado para o GM30, para remover resíduos de Fe provenientes da ferramenta de moagem, e com HNO3 concentrado para GB, para dissolver o cobre metálico ao qual o grafite encontrava-se aderido antes da reciclagem da bateria.9

 


Figura 4. Curvas de TG dos grafites precursores obtidas a 5 °C/min sob atmosfera oxidante de O2

 

A Figura 5 mostra os difratogramas de raios X obtidos para os grafites precursores, em que se observa como dominante o pico em aproximadamente 26°. Esse pico é característico da estrutura hexagonal do grafite, correspondendo à reflexão de planos (002), e se apresenta mais estreito nas amostras GF, GN e GL, o que indica que esses grafites apresentam maior cristalinidade em comparação aos demais estudados, corroborando com os resultados observados pelas TGs.9 Existem, ainda, picos em aproximadamente 43 e 44,5° que correspondem às reflexões (100) e (101) do grafite hexagonal, respectivamente.25X-ray diffraction patterns of hexagonal graphite (h-graphite É possível perceber também que GN e GL apresentam impurezas, identificadas como SiO2 e caulinita segundo as fichas PDF #862237 e #896538, respectivamente,26 o que é consistente com a observação de um elevado teor de cinzas nas curvas de TG obtidas para esses precursores.

 


Figura 5. Difratogramas de raios X dos grafites precursores. As letras "H" e "R" junto às reflexões indicadas referem-se às fases hexagonal e romboédrica do grafite, respectivamente

 

No difratograma de raios X obtido para a amostra GL podem ainda ser identificados picos característicos da fase romboédrica do grafite, especialmente os picos próximos de 42 e 47°, que são indicadores da existência da organização cristalina romboédrica.27 O grafite romboédrico se diferencia do grafite hexagonal na sequência de empilhamento dos planos basais, uma vez que este último apresenta a sequência ABAB..., enquanto o romboédrico apresenta a sequência do tipo ABCABC..., como mostra a Figura 6.28 A fase romboédrica normalmente coexiste com a hexagonal, e pode, em alguns casos, atingir 30% em massa do seu total.27

 


Figura 6. Sequência de empilhamento dos planos nas fases hexagonal e romboédrica do grafite. (Adaptado da referência 28, com autorização da Elsevier)

 

Nos difratogramas de raios X dos precursores GM30 e GB destacam-se os picos referentes às reflexões (100) e (101) do grafite hexagonal, nas regiões próximas a 45°. Esses picos também estão presentes nos difratogramas obtidos para os demais grafites, mas com intensidade reduzida em comparação com o pico dominante correspondente à reflexão (002). É interessante observar que, enquanto o difratograma obtido para o precursor GB apresenta picos bem definidos nessa região, para GM30 percebe-se que esses picos não são bem definidos, dando lugar a uma banda alargada. Essa característica é devida ao processo de moagem utilizado na produção dessa amostra, que promoveu a destruição da ordem tridimensional do grafite e causou uma perturbação das interações interplanares, originando uma estrutura mais desorganizada similar à turbostrática.9,25using a modified Hummers method. The products were characterized by X-ray diffraction (XRD

Análise dos óxidos de grafite obtidos a partir dos diferentes grafites precursores

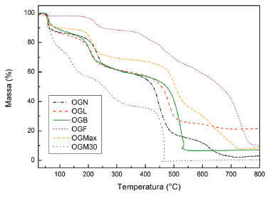
As curvas de TG dos óxidos de grafite obtidos, mostradas na Figura 7, exibem a primeira perda de massa em aproximadamente 115 °C, atribuída à remoção de água adsorvida. Esse teor de umidade varia entre 2 % para OGF, ~10 % para OGN, OGL, OGB e OGMax e ~20 % para OGM30, o que indica um maior grau de oxidação de OGM30, uma vez que um maior número de grupos oxigenados como hidroxilas e carboxilas leva a uma maior probabilidade de formação de ligações de hidrogênio com moléculas de água.11 A segunda perda de massa por volta de 200 °C está associada à decomposição de grupos C-OH e C-O-C correspondendo a 6% para OGF e ~20 % para as demais amostras.29 A perda de massa a partir de 300 °C é referente à oxidação da matriz de carbono restante, sendo mais significativa nas curvas de TG obtidas para as amostras OGF, OGMax e OGB.9,10 No entanto, OGMax, OGL, OGN e OGF apresentam mais uma perda de massa acima de 500 °C, ausente nas amostras OGM30 e OGB, a qual pode ser atribuída à decomposição de grafite residual que pode não ter sofrido processo algum de oxidação durante a reação. A existência de grafite residual indica que a oxidação em meio líquido (pelo método de Hummers modificado nas condições aqui empregadas) é mais difícil em alguns dos precursores grafiticos. Esse resultado pode ser justificado pelos comparativamente elevados tamanhos de partícula e em alguns casos também maiores tamanhos médio de cristalito dos precursores grafíticos GF, GMax, GN e GL, constatados através das imagens de MEV (Figura 3) e dos resultados de DRX dos precursores (Figura 5).

 


Figura 7. Curvas de TG dos óxidos de grafite, sob atmosfera oxidante

 

Os resultados de DRX obtidos para os óxidos produzidos, exibidos na Figura 8, demonstram com clareza a eficiência da reação de oxidação, indicando nitidamente a formação da estrutura esperada para óxidos de grafite. A análise dos difratogramas de raios X dos OGs permitiu verificar o aparecimento de um pico de difração intenso em 2θ ≅ 11° para todas as amostras, exceto OGF, o que é um indicativo da formação da estrutura de óxido de grafite. O surgimento deste pico e sua posição em baixo ângulo implicam em um aumento da distância interplanar entre um plano A e um plano B do grafite, correspondendo a aproximadamente 7-8 Å nos óxidos, o que está associado com a presença de grupos funcionais oxigenados e moléculas de água intercaladas entre os planos basais.8,29-31 Os difratogramas de raios X das amostras OGM30 e OGB são típicos da estrutura de um OG com elevado grau de oxidação, por não apresentarem outros picos significativos além do pico em torno de 11°.30 Por outro lado, os difratogramas de raios X de OGN, OGL, OGF e OGMax apresentam ainda contribuição do pico (002) da estrutura do grafite (2θ ≅ 26°), o que indica que essas amostras exibem em sua composição regiões grafíticas residuais com distância interplanar pouco alterada em comparação com o grafite.32 Isso evidencia que a fase grafítica não foi completamente transformada pela oxidação nessas amostras, como também sugerido pelos resultados de TG. Ademais, outro aspecto notável é a permanência dos picos de difração referentes à fase romboédrica do grafite para a amostra OGL, indicando que essa fase não foi eficientemente consumida durante o processo de oxidação empregado. Esses resultados sugerem que em todos os casos houve oxidação do grafite, porém esta não ocorreu de maneira eficaz e homogênea em alguns precusores - OGF e OGMax, principalmente. Esta comparação pode ser vista mais claramente quando se analisam os difratogramas de raios X dos produtos OGM30 e OGB, que não indicam resquícios de estrutura grafítica ou de impurezas, sugerindo um processo de oxidação mais homogêneo nesses dois materiais. Os picos devidos aos compostos SiO2 e caulinita que aparecem para OGL e OGN confirmam a presença de impurezas também sugeridas pelos percentuais em massa de cinzas em suas curvas de TG, assim como pelos difratogramas de raios X e curvas de TG de seus precursores. É válido ressaltar que a posição do principal pico de difração de SiO2 (2θ ≅ 26°) coincide com os picos das reflexões (002) do grafite hexagonal e (003) do grafite romboédrico.26-28

 


Figura 8. Difratogramas de raios X dos óxidos de grafite sintetizados. A letra "R" junto às reflexões indicadas refere-se à fase romboédrica do grafite

 

A espectroscopia de RMN de 13C no estado sólido é uma técnica eficiente para estudar a estrutura química de óxidos de grafite. Um espectro típico de RMN de 13C no estado sólido de uma amostra de OG com bom grau de oxidação (como o espectro obtido para a amostra OGN, mostrado na Figura 9) apresenta picos intensos em 60 e 69 ppm (região A) relacionados a átomos de carbono ligados a hidroxilas e de epóxidos, respectivamente; em 100 ppm (pouco intenso) referente a lactois; um pico intenso em 129 ppm, associado às duplas ligações C=C nos planos aromáticos (região B); e em 165 e 191 ppm (pouco intensos também) relativos a grupos carbonila de ésteres (ou ácidos carboxílicos) e cetonas, respectivamente.11,12,33,34 É importante ressaltar que em uma amostra heterogênea como alguns dos óxidos aqui investigados (com regiões grafíticas residuais não oxidadas misturadas a regiões ricas em óxido de grafeno), os espectros de RMN de 13C mostram preferencialmente as regiões não grafíticas, porque as regiões grafíticas devem dar origem a picos muito alargados, com baixa relação sinal/ruído, difíceis de serem observados em comparação com as regiões tipicamente observadas em um espectro de RMN de 13C de OG.9 Isso ocorre devido à deslocalização de elétrons nessas regiões grafíticas e consequente alta suscetibilidade diamagnética que leva a um alargamento anisotrópico.35

 


Figura 9. Espectros de RMN de 13C dos OGs sintetizados. Os asteriscos representam as bandas laterais

 

É importante observar que a presença dos grupos funcionais oxigenados típicos da estrutura de OGs é claramente constatada nos espetros dos óxidos OGN, OGM30, OGL e OGB. No caso de OGMax, apenas um sinal alargado é observado na região espectral que corresponde a C-O-C de epóxidos e grupos C-OH de hidroxilas, além de outro sinal igualmente largo devido a carbonos sp 2; já para OGF, a relação sinal/ruído obtida é muito pobre, apenas com sinais fracos detectados nas mesmas regiões espectrais mencionadas.

O grau de oxidação (razão A/B) de cada material foi avaliado pela integração das regiões espectrais associadas a grupos C-OH/C-O-C e a átomos de carbono sp 2, indicadas como regiões A e B, respectivamente na Figura 9;36 os valores das razões calculadas estão listados na Tabela 1.

 

 

A diminuição do tamanho dos planos basais causada pela adição de funções oxigenadas durante a reação de oxidação provoca alterações no deslocamento químico do pico relativo a carbonos sp 2. Esta diminuição implica numa redução da magnitude dos efeitos referentes à condutividade elétrica e susceptibilidade diamagnética dos planos grafenos, o que conduz, consequentemente, a uma blindagem menos intensa dos núcleos 13C e, assim, a um deslocamento químico mais elevado do pico referente a carbonos sp 2 quando comparado ao deslocamento químico desse mesmo pico em amostras de grafite não oxidadas.35 À luz dessa informação, é possível notar nos espectros de RMN exibidos na Figura 9 e, de melhor forma, na Tabela 1, que o pico relativo aos carbonos sp 2 dos OGs sintetizados aparece em diferentes deslocamentos químicos e apresenta diferentes larguras de linha dependendo do grau de oxidação de cada amostra, seguindo a tendência prevista pela razão A/B: os OGs com as maiores razões A/B (que indicam maior grau de oxidação) possuem, em geral, os deslocamentos químicos mais elevados para o pico associado a carbonos sp 2.

Com base nos resultados obtidos pelas diferentes técnicas de caracterização utilizadas para os precursores grafíticos e para os respectivos materiais oxidados, é possível correlacionar características estruturais e químicas dos precursores grafíticos, como tamanho médio de cristalito na direção perpendicular aos planos basais do grafite (Lc) e temperatura inicial de oxidação (Tonset), com o grau de oxidação dos OGs correlatos. O valor de Lc é obtido através da fórmula de Scherrer, descrita na Equação 1.19

Nessa expressão, λ é o comprimento de onda da radiação utilizada; β é a largura total à meia altura (em radianos) e θ o ângulo de Bragg.19 O pico utilizado para tal estimativa foi o pico principal em aproximadamente 26° para todos os grafites precursores, correspondente à reflexão (002).

A Figura 10 mostra uma análise comparativa entre os valores de Lc obtidos para cada grafite, juntamente com Tonset, definida pelo método de cruzamento de tangentes a partir das curvas de TG dos materiais em estudo. Pode-se observar que os grafites com menor tamanho médio de cristalito (GM30, GMax e GB) tendem a apresentar as menores temperaturas de oxidação (Tonsej, o que sugere que uma menor cristalinidade do material acarreta em uma cinética de oxidação mais rápida, o que pode contribuir para um processo de oxidação mais eficiente durante a síntese de OG posteriormente.9,24,37 Entretanto, apesar de GF e GMax apresentarem valores Lc muito próximos, a amostra GF apresenta a maior temperatura de oxidação, o que pode estar associado ao seu elevado tamanho de partícula, verificado através das imagens de MEV. Essa característica pode ter dificultado o acesso da espécie oxidante (O2) à totalidade da amostra durante o processo de decomposição térmica, conforme observado nas curvas de TG.

 


Figura 10. Gráfico comparativo dos valores de Lc e temperatura inicial de oxidação (Tonset) dos grafites estudados

 

O conjunto dos dados obtidos através das análises de DRX e TG para os precursores grafíticos juntamente com os resultados de RMN de 13C dos OGs sintetizados levam, portanto, ao entendimento de que as amostras OGN, OGM30 e OGL foram as amostras mais bem oxidadas, com elevado teor de funções oxigenadas. No entanto, os resultados de DRX e TG mostram que OGN e OGL apresentam ainda, após o processo de oxidação, resquícios de estrutura grafítica não oxidada e não muito alterada com relação à estrutura inicial. Isto pode ser justificado pelos elevados tamanho de partícula e Lc dos precursores dessas duas amostras, verificados por MEV e DRX, que podem ter dificultado o acesso das espécies oxidantes a algumas regiões do grafite. Por sua vez, OGB, apesar de ter menor razão A/B, não apresenta resquícios de estrutura grafítica não oxidada, assim como OGM30 (ambos os precursores grafíticos têm tamanho de partícula e Lc reduzidos). Isto sugere que OGB, apesar de conter uma menor quantidade de funções oxigenadas, foi oxidado de forma homogênea. O elevado tamanho de partícula e Lc de GF também parece dificultar o processo de oxidação desse precursor, de forma que os óxidos resultantes possuem ainda em sua estrutura final grande contribuição da estrutura grafítica e pequena fração de funções oxigenadas, o que é corroborado pelos dados de RMN de 13C e, portanto, razão A/B, obtidos para essa amostra. Dessa forma, os grafites GB e GM30 parecem estabelecer uma boa razão entre tamanho de partícula (e, portanto, área superficial) e Lc,9,24 permitindo a obtenção de OGs com altos graus de oxidação por toda a extensão da amostra, de forma homogênea.

 

CONCLUSÃO

Um método de Hummers modificado foi empregado neste trabalho para a síntese de óxidos de grafite utilizando precursores grafíticos de diferentes procedências e com diferentes características estruturais e microestruturais. Os óxidos de grafite produzidos apresentaram diferentes graus de oxidação, como evidenciado pelos resultados de RMN de 13C no estado sólido, sendo possível constatar que os precursores com menores tamanhos médios de partícula e tamanhos médios de cristalito (incluindo um grafite moído e um grafite reciclado de baterias íon-Li) foram aqueles que levaram à obtenção de produtos com estrutura homogeneamente oxidada e com alto teor de funções oxigenadas. Os grafites natural e lubrificante propiciaram a síntese de amostras com alto teor de funções oxigenadas, mas que ainda apresentam resquícios de uma estrutura grafítica não oxidada, além de impurezas oriundas de seus precursores, como verificado pelos resultados de DRX e TG.

 

AGRADECIMENTOS

Agradecemos o suporte financeiro das agências CNPq, CAPES, FINEP e FAPES; somos também gratos à empresa Nacional de Grafite pelo fornecimento de amostras de grafite.

 

REFERÊNCIAS

1. Brodie, B. C.; Philos. Trans. R. Soc. London 1859, 149, 249.

2. Novoselov, K. S.; Geim, A. K.; Morozov, S. V.; Jiang, D.; Zhang, Y.; Dubonos, S. V.; Grigorieva, I. V.; Firsov, A. A.; Science 2004, 80, 666.

3. Stankovich, S.; Dikin, D. A.; Piner, R. D.; Kohlhaas, K. A.; Kleinhammes, A.; Jia, Y.; Wu, Y.; Nguyen, S. T.; Ruoff, R. S.; Carbon 2007, 45, 1558.

4. Perrozzi, F.; Prezioso, S.; Ottaviano, L.; J. Phys. Condens. Matter 2015, 27, 013002.

5. Singh, R. K.; Kumar, R.; Singh, D. P.; RSC Adv. 2016, 6, 64993.

6. Staudenmaier, L. Verfahren zur Darstellung der Graphitsäure.; Eur. J. Inorg. Chem. 1899, 32, 1394.

7. Hummers Jr., W.S.; Offeman, R. E.; J. Am. Chem. Soc. 1958, 80, 1339.

8. Dreyer, D. R.; Park, S.; Bielawski, C. W.; Ruoff, R. S.; Chem. Soc. Rev. 2010, 39, 228.

9. Vieira, M. A.; Gonçalves, G. R.; Cipriano, D. F.; Schettino, M. A.; Silva Filho, E. A.; Cunha, A. G.; Emmerich, F. G.; Freitas, J. C. C.; Carbon 2016, 98, 496.

10. Wang, G.; Shen, X.; Wang, B.; Yao, J.; Park, J.; Carbon 2009, 47, 1359.

11. He, H.; Klinowski, J.; Forster, M.; Lerf, A.; Chem. Phys. Lett. 1998, 287, 53.

12. Lerf, A.; He, H.; Forster, M.; Klinowski, J.; J. Phys. Chem. B 1998, 102, 4477.

13. Gao, W.; Alemany, L. B.; Ci, L.; Ajayan, P. M.; Nat. Chem. 2009, 1, 403.

14. Rourke, J. P.; Pandey, P. A.; Moore, J. J.; Bates, M.; Kinloch, I. A.; Young, R. J.; Wilson, N. R.; Angew. Chem., Int. Ed. 2011, 50, 3173.

15. Dimiev, A. M.; Alemany, L. B.; Tour, J. M.; ACSNano 2013, 7, 576.

16. Botas, C.; Álvarez, P.; Blanco, C.; Santamaría, R.; Granda, M.; Ares, P.; Rodríguez-Reinoso, F.; Menéndez, R.; Carbon 2012, 50, 275.

17. Tran, M. H.; Yang, C. S.; Yang, S.; Kim, I. J.; Jeong, H. K.; Curr. Appl. Phys. 2014, 14, 6.

18. Chowdhury, D. R.; Singh, C.; Paul, A.; RSC Adv. 2014, 4, 15138.

19. Cullity, B. D.; Stock, S. R.; Elements of X-ray Diffraction, 3ª ed, Prentice Hall: Upper Saddle River, 2001.

20. Freitas, J.C.C., Cunha, A.G., Emmerich, F. G.; Em Chemistry and Physics of Carbon; Radovic, L. R., ed.; CRC Press: Boca Raton, 2012, pp. 85-170.

21. Cory, D. G.; Ritchey, W. M.; J. Magn. Reson. 1988, 32, 128.

22. Minh-Hai, T.; Hae Kyung, J.; New Physics: Sae Mulli 2013, 63, 206.

23. Seredych, M.; Petit, C.; Tamashausky, A. V; Bandosz, T. J.; Carbon 2008, 47, 445.

24. Jiang, W.; Nadeau, G.; Zaghib, K.; Kinoshita, K.; Thermochim. Acta 2000, 351, 85.

25. Li, Z. Q.; Lu, C. J.; Xia, Z. P.; Zhou, Y.; Luo, Z.; Carbon 2007, 45, 1686.

26. Powder diffraction file. Inorganic and Organic Data Book, JCPDS-International Centre for Diffraction Data, ICDD, 1987.

27. Rodrigues, S.; Marques, M.; Suárez-ruiz, I.; Camean, I.; Flores, D.; Kwiecinska, B.; Int. J. Coal Geol. 2013, 111, 67.

28. Kohs, W.; Santner, H. J.; Hofer, F.; Doninger, J.; Barsukov, I.; Schro, H.; Besenhard, J. O.; Winter, M.; J. Power Sources 2003, 121, 528.

29. Shao, G.; Lu, Y.; Wu, F.; Yang, C.; Zeng, F.; Wu, Q.; J. Mater. Sci. 2012, 47, 4400.

30. Mu, S. J.; Su, Y. C.; Xiao, L. H.; Liu, S. D.; Hu, T.; Tang, H. B.; Chinese Phys. Lett. 2013, 30, 096101.

31. Rattana, T.; Chaiyakun, S.; Witit-Anun, N.; Nuntawong, N.; Chindaudom, P.; Oaew, S.; Kedkeaw, C.; Limsuwan, P.; Procedia Eng. 2012, 32, 759.

32. Zhou, Z.; Bouwman, W. G.; Schut, H.; Pappas, C.; Carbon 2014, 69, 17.

33. Cai, W.; Piner, R. D.; Stadermann, F. J.; Park, S.; Shaibat, M. A.; Ishii, Y.; Yang, D.; Velamakanni, A.; An, S. J.; Stoller, M.; An, J.; Chen, D.; Ruoff, R. S.; Science 2008, 321, 1815.

34. Hontoria-Lucas, C.; López-Peinado, A. J.; López-González, J. d. D.; Rojas-Cervantes, M. L.; Martín-Aranda, R. M.; Carbon 1995, 33, 1585.

35. Freitas, J. C. C.; Emmerich, F. G.; Cernicchiaro, G. R. C.; Sampaio, L. C.; Bonagamba, T.; J. Solid State Nucl. Magn. Reson. 2001, 20, 61.

36. He, H.; Riedl, T.; Lerf, A.; Klinowski, J.; J. Phys. Chem. 1996, 100, 19954.

37. Welham, N. J.; Berbenni, V.; Chapman, P. G.; J. Alloys Compd. 2003, 349, 255.

On-line version ISSN 1678-7064 Printed version ISSN 0100-4042
Qu�mica Nova
Publica��es da Sociedade Brasileira de Qu�mica
Caixa Postal: 26037 05513-970 S�o Paulo - SP
Tel/Fax: +55.11.3032.2299/+55.11.3814.3602
Free access

GN1