JBCS



21:52, sáb out 25

Acesso Aberto/TP



Nota Técnica


USO DE PALHA DE AÇO COMERCIAL PARA O TRATAMENTO DE EFLUENTES CONTENDO CROMO HEXAVALENTE PROVENIENTES DE PROCESSOS DE ELETROCOLORAÇÃO DE AÇOS INOXIDÁVEIS
USE OF COMMERCIAL STEEL WOOL PADS FOR THE TREATMENT OF WASTEWATER CONTAINING HEXAVALENT CHROMIUM FROM ELECTROCOLORATION PROCESSES OF STAINLESS STEELS

Kallyni IrikuraI; Marcelo Braga Bueno GuerraII; Nerilso BocchiI,*; Romeu Cardozo Rocha-FilhoI; Elaine KikutiIII; Sonia Regina BiaggioI

I. Departamento de Química, Universidade Federal de São Carlos, CP 676, 13560-970 São Carlos - SP, Brasil
II. School of Natural Sciences, Black Hills State University, 1200 University St. , 57799, Spearfish - SD, EUA
III. Faculdade de Ciências Integradas do Pontal, Universidade Federal de Uberlândia, 38304-402 Ituiutaba - MG, Brasil

Recebido em 24/05/2017
Aceito em 20/09/2017
Publicado na web em 08/11/2017

Endereço para correspondência

*e-mail: bocchi@ufscar.br

RESUMO

Residual solutions containing Cr(VI) ions can be harmful to the environment as well as to human health. Hence, practical and efficient methods for the treatment of such solutions are welcome. In this note, the treatment with commercial steel wool pads of a Cr(VI) residual solution from electrochemical coloration processes of stainless steel is described in detail. Successful treatment was achieved when an amount of steel wool equivalent to 20% in excess in relation to the theoretical stoichiometric amount was used, followed by chemical precipitation with sodium hydroxide up to pH 10-11 and separation by filtration under reduced pressure. The treatment yielded a final solution with concentrations of Cr(III) and Cr(VI) ions of only 0.29 ± 0.02 mg L-1 and < 0.01 mg L-1, respectively. These concentration values are significantly lower than the maximum limits established by CONAMA for industrial wastewaters, attesting the efficiency of the treatment.

Palavras-chave: removal of Cr(VI) ions; reduction; precipitation; wastewater treatment.

INTRODUÇAO

O cromo é um metal de transiçao que cumpre um papel importante na sociedade moderna. O fato de possuir propriedades interessantes, dentre as quais a passividade, confere a este elemento um amplo uso na proteçao à corrosao, sendo, portanto, muito empregado em metalurgia, principalmente na produçao de ligas ferrosas como os aços inoxidáveis. Além disso, espécies solúveis de cromo, principalmente na forma hexavalente, foram utilizadas em laboratórios, no passado, como soluçao sulfocrômica para limpeza de vidrarias1 e, atualmente, sao muito utilizadas em indústrias de couro e galvanoplastia,2-4 incluindo aquelas que operam processos de eletropolimento5 e coloraçao6-12 de aços inoxidáveis. Neste último caso, na grande maioria dos processos sao empregadas soluçoes constituídas por ácidos fortemente oxidantes como a mistura concentrada de ácido sulfúrico e anidrido crômico/trióxido de cromo. 6-10,12 Esta soluçao, quando submetida a sucessivos processos de coloraçao, perde a capacidade de reproduzir as cores superficiais desejadas (aquelas obtidas inicialmente), inviabilizando seu uso nos posteriores processos de coloraçao do aço. Embora haja um decréscimo da concentraçao ácida ao longo do uso desta soluçao, ao final seu valor ainda é elevado. Além disso, a soluçao apresenta concentraçoes apreciáveis de íons metálicos provenientes do substrato de aço inoxidável, tais como íons ferro, níquel, cromo etc. Os íons cromo estao presentes nessa soluçao predominantemente na forma hexavalente, que é um forte agente oxidante, com alta toxicidade, solubilidade e mobilidade em ambientes aquáticos e terrestres. Por isto, a soluçao ácida residual de processos de coloraçao de aços (ácido sulfúrico e anidrido crômico/trióxido de cromo) deve sempre ser tratada de forma adequada antes de ser descartada; caso contrário, pode causar sérios danos ao meio ambiente (contaminaçao de corpos de água, solo, plantas e animais) e aos seres humanos (aumento da incidência de câncer). 13,14 Apesar dos sérios problemas causados pelos íons cromo na forma hexavalente, é importante ressaltar que sua forma trivalente é de fundamental importância para o organismo humano; sua ausência na alimentaçao pode causar sérias complicaçoes de saúde, como diabetes e problemas cardiovasculares. 15 Esses dois estados de oxidaçao do cromo sao os mais estáveis e, consequentemente, os mais comumente encontrados no meio ambiente.

Diante da importância tecnológica do uso de soluçoes aquosas ácidas contendo íons cromo na forma hexavalente para alguns setores industriais e dos seus efeitos toxicológicos, o CONAMA - Conselho Nacional do Meio Ambiente - estabeleceu, por meio da Resoluçao no 430 de 13 de maio de 2011, concentraçoes limites máximas de cromo hexavalente e cromo trivalente em efluentes industriais a serem descartados no meio ambiente de 0,1 mg L-1 e 1,0 mg L-1, respectivamente. 16 Portanto, para atender à legislaçao vigente, previamente ao seu descarte, soluçoes residuais contendo íons cromo nas formas hexavalente e trivalente necessitam ser adequadamente tratadas.

O tratamento mais amplamente utilizado e descrito na literatura especializada é o de reduçao química seguida de precipitaçao na forma de hidróxido. 3,4,17-26 Este método consiste em reduzir os íons Cr(VI) a Cr(III), diminuindo-se, assim, o poder oxidante da soluçao residual. Na sequência, os íons Cr(III) sao precipitados na forma de hidróxido de cromo, que é entao separado e armazenado. Esse procedimento é realizado em meio ácido, empregando-se um dos seguintes agentes redutores: palha de aço,3,4,22,24 peróxido de hidrogênio,17 ferro metálico,18,23,26 magnetita acrescida de ferro metálico,26 metabissulfito de sódio,18,22 sulfato ferroso,18 sulfato ferroso combinado com hidrossulfito de sódio19,20 ou tiossulfato de sódio. 21 Após a reduçao dos íons Cr(VI), o pH da soluçao aquosa é ajustado no intervalo entre 10 e 11, com consequente precipitaçao do hidróxido de cromo [Cr(OH)3]. 2,3 Além do tratamento de reduçao química, diversas outras metodologias têm sido propostas na literatura para o tratamento de soluçoes contendo íons Cr(VI), dentre as quais destacam-se os seguintes métodos: fotocatalítico, em que usualmente emprega-se dióxido de titânio (TiO2) como fotocatalisador27-29 e é indicado para o tratamento de soluçoes contendo baixas concentraçoes de íons Cr(VI); eletroquímico, em que se usam diferentes materiais de eletrodo, tais como polímeros condutores,30,31 fibra de carbono,32,33 carbono vítreo,34 ouro e diamante dopado com boro;35 bioeletroquímico, em que se usam microrganismos para converter a energia química armazenada nos materiais biodegradáveis em corrente elétrica, com produçao de outras substâncias químicas;36 biossorçao, que consiste no processo de adsorçao de metais tóxicos por microrganismos ativos (biossorçao ativa) ou inativos (biossorçao passiva). 37-39 Embora eficientes, em geral esses métodos exigem aparatos mais sofisticados para o tratamento das soluçoes residuais contendo íons Cr(VI) e sao, portanto, de maior custo de implementaçao.

Uma das linhas de pesquisa do LaPE - Laboratório de Pesquisas em Eletroquímica do Departamento de Química da UFSCar - é a investigaçao de metodologias de eletrocoloraçao de aços inoxidáveis via o crescimento de filmes interferentes (coloridos). Numa delas, emprega-se uma soluçao fortemente oxidante composta por uma mistura de ácido sulfúrico e anidrido crômico/trióxido de cromo. Ao final de sucessivos processos de coloraçao, a soluçao residual ainda contém altas concentraçoes de ácido e Cr(VI) na forma de íons dicromato, Cr2O72-. Visando minimizar a toxicidade desta soluçao, o presente trabalho teve como objetivo avaliar uma metodologia simples e eficiente, utilizando como agente redutor palha de aço comercial, a fim de se obter uma soluçao tratada cuja concentraçao de íons Cr(VI) e Cr(III) sejam inferiores às concentraçoes limites máximas estabelecidas pelo CONAMA para estes íons. Este método de tratamento vem sendo empregado no LaPE desde 2004 e neste trabalho a otimizaçao do procedimento utilizado é discutida.

 

PARTE EXPERIMENTAL

Determinaçao da concentraçao de íons Cr(VI) na soluçao residual

A soluçao residual investigada no presente trabalho tem como origem soluçoes eletrolíticas utilizadas em processos de coloraçao de amostras de aço inoxidável6-11 (mistura de ácido sulfúrico 5,0 mol L-1 e anidrido crômico/trióxido de cromo 2,5 mol L-1). Quando uma determinada cor da superfície do aço nao é mais reproduzida numa dada condiçao experimental, essa soluçao é renovada e aquela utilizada até entao é devidamente armazenada. Portanto, a soluçao residual a ser tratada continha predominantemente íons dicromato, Cr2O72- e os íons dos elementos da liga que compoem o aço inoxidável austenítico, tais como ferro, níquel, cromo, manganês etc. 6 A concentraçao de íons Cr2O72- na soluçao residual foi determinada por titulaçao potenciométrica, utilizando uma soluçao de sulfato ferroso amoniacal (Synth PA) 0,1 mol L-1 previamente padronizada como titulante. Para tal, num béquer de 50 mL foi adicionada uma alíquota de 10 mL da soluçao residual já diluída 100 vezes e acrescida de 8,6 mL de ácido sulfúrico (Mallinckrodt 95-98%) e 1,4 mL de ácido fosfórico (Mallinckrodt 85%). A mistura resultante foi, entao, titulada com a soluçao de sulfato ferroso amoniacal, utilizando uma tira de platina (35 mm × 7 mm × 0,1 mm) como eletrodo indicador. O potencial deste eletrodo foi monitorado em relaçao a um eletrodo de referência de calomelano saturado (ECS) com auxílio de um multímetro Minipa ET-2082E. A soluçao titulada foi mantida sempre sob agitaçao magnética e em banho de água à temperatura ambiente.

Tratamento da soluçao residual

Antes do tratamento propriamente dito, a soluçao residual foi submetida a uma titulaçao potenciométrica similar àquela descrita no item anterior, utilizando como titulante palha (la) de aço (ferro) no 0 em substituiçao à soluçao de sulfato ferroso amoniacal. Para isto, num béquer de 2 L foi adicionado 1 L da soluçao residual já diluída 100 vezes e acrescida de 8,6 mL de ácido sulfúrico (Mallinckrodt 95-98%) e 1,4 mL de ácido fosfórico (Mallinckrodt 85%). Em seguida, pequenas quantidades previamente pesadas de palha de aço foram adicionadas à soluçao residual diluída, ao mesmo tempo em que se monitorava o potencial do eletrodo indicador de platina. Bem antes do ponto de equivalência, foram adicionadas massas de palha de aço correspondentes a ~10% da massa de ferro necessária para reagir completamente com os íons dicromato da soluçao (quantidade estequiométrica), de acordo com a seguinte equaçao química:40

 

 

Próximo do ponto de equivalência (antes e depois) foram adicionadas massas de palha de aço correspondentes a ~2% da quantidade estequiométrica. Durante este procedimento de titulaçao, a soluçao resultante foi sempre mantida sob agitaçao magnética e em banho de água à temperatura ambiente. Mudanças no valor do potencial do eletrodo indicador e na cor da soluçao titulada indicaram o momento de interromper a adiçao de palha de aço.

Para o tratamento, foram usados volumes de 50 mL da soluçao residual (sem qualquer diluiçao) acrescidos de 25 mL de ácido fosfórico (Mallinckrodt 85%). O tratamento consistiu na adiçao de pequenas quantidades de palha de aço previamente pesadas (massas correspondentes a ~10% da quantidade estequiométrica) até que a massa total de palha de aço adicionada fosse maior que aquela corresponde à quantidade estequiométrica, isto é, 105%, 110%, 115% e 120% da massa de ferro necessária para reagir completamente com os íons dicromato da soluçao, de acordo com a equaçao (1).

Os íons Cr(III) e Fe(III) gerados nas soluçoes tratadas acima foram precipitados pela adiçao de hidróxido de sódio (Merck) na forma de lentilhas até que o valor do pH estivesse no intervalo entre 10 e 11. O precipitado formado foi, entao, separado por filtraçao a pressao reduzida (usando-se membranas de celulose de 0,45 µm como material filtrante), seco, armazenado em recipiente de polietilieno hermeticamente fechado e mantido em local seco, bem ventilado e à temperatura ambiente.

Determinaçao da concentraçao total de cromo nas soluçoes tratadas

Após precipitaçao dos íons Cr(III) e Fe(III), a concentraçao de cromo total das soluçoes tratadas foi determinada por espectrometria de absorçao atômica com chama (FAAS), usando um equipamento Varian (modelo AA240FS) equipado com lâmpada de deutério para correçao da radiaçao de fundo e chama de ar-acetileno nas vazoes de 13,5 L min-1 e 3,40 L min-1, respectivamente. A fim de minimizar a interferência da matriz da amostra sobre o sinal analítico, foi empregado o método da adiçao de padrao. Na Tabela 1 sao apresentados os valores de concentraçao final de Cr padrao adicionados em alíquotas das soluçoes tratadas com as diferentes porcentagens de palha de aço, para a obtençao dos pontos das curvas analíticas. As condiçoes instrumentais foram otimizadas visando obter maior sensibilidade nos comprimentos de ondas avaliados. As soluçoes preparadas a partir das alíquotas das soluçoes tratadas foram analisadas nos comprimentos de onda de 357,9 e 520,5 nm (com resoluçao de 0,2 nm). A escolha de diferentes comprimentos de onda está relacionada às diferenças de concentraçao entre as soluçoes obtidas com os tratamentos. O comprimento de onda que oferece a maior sensibilidade, 357,9 nm (A = 0,20, para 2,5 mg L-1 de Cr), foi utilizado para a quantificaçao do elemento nas soluçoes resultantes do tratamento com quantidade de palha de aço correspondente a 120% da estequiométrica. Em contrapartida, o comprimento de onda menos sensível, 520,5 nm (A = 0,20, para 1500 mg L-1 de Cr), foi utilizado para quantificaçao nas amostras tratadas com quantidades de palha de aço correspondentes a 105%, 110% e 115% da estequiométrica.

 

 

Determinaçao da concentraçao de cromo(VI) da soluçao tratada com 120% de palha de aço

A concentraçao de íons Cr(VI) na soluçao tratada com 120% de palha de aço foi determinada por espectrofotometria de absorçao molecular no UV-Vis. Para tal, primeiramente foi preparada uma soluçao contendo 0,2 g do reagente 1,5-difenilcarbazida dissolvido em 100 mL de acetona contendo 1 mL de H2SO4 10% V/V. 1 Esta soluçao foi sempre preparada e utilizada no mesmo dia da leitura das amostras. As soluçoes para quantificaçao dos íons Cr(VI) foram preparadas adicionando-se 1,0 mL da soluçao de 1,5-difenilcarbazida em H2SO4 a 1,0 mL da amostra da soluçao tratada; os valores do pH e do volume final da soluçao resultante foram ajustados para 1 e 10 mL, respectivamente. Para leitura em branco, 1 mL da soluçao de 1,5-difenilcarbazida em H2SO4 foi diluído para um volume final de 10 mL com ajuste do pH para 1 utilizando-se H2SO4 diluído. A concentraçao dos íons Cr(VI) foi, entao, determinada com auxílio de um espectrofotômetro UV-Vis Femton (modelo 482) no comprimento de onda de 545 nm, utilizando-se cubetas de quartzo com 1 cm de caminho óptico.

 

RESULTADOS E DISCUSSAO

A Figura 1 ilustra uma curva típica de potencial em funçao do volume gasto de soluçao de sulfato ferroso amoniacal obtida durante a titulaçao potenciométrica de parte da soluçao residual diluída. A diminuiçao do valor de potencial decorre da variaçao dos valores de concentraçao das espécies químicas em soluçao, devido à reaçao química representada pela equaçao 2:40

 


Figura 1. Curva típica de potencial em funçao do volume de soluçao de sulfato ferroso amoniacal 0,103 mol L-1 obtida para a titulaçao de uma alíquota de 10 mL de soluçao residual diluída por um fator de 100, utilizando Pt como eletrodo indicador

 

 

Como descrito na equaçao (2) e também na equaçao (1), as reaçoes entre os íons dicromato e ferroso e íons dicromato e ferro metálico envolvem quantidades apreciáveis de íons hidrogênio; daí a necessidade de se adicionar, na alíquota de soluçao residual a ser titulada, soluçoes concentradas de ácidos sulfúrico e fosfórico. A presença do ácido fosfórico também é importante para diminuir a concentraçao de íons Fe3+ em soluçao por meio da formaçao do complexo FeHPO4+, favorecendo as reaçoes representadas pelas equaçoes (1) e (2). 40 No caso da titulaçao potenciométrica ilustrada na Figura 1, o volume de soluçao de sulfato ferroso amoniacal correspondente ao ponto final da titulaçao (próximo ao ponto de equivalência) foi obtido pelo método da segunda derivada (d2E/dV2), resultando em 7,1 ± 0,1 mL, para três curvas de titulaçao. Consequentemente, a concentraçao de íons Cr(VI) presentes na soluçao residual resultou em 2,4 mol L-1, um valor um pouco inferior àquele das soluçoes empregadas nos processos de coloraçao de aços inoxidáveis (2,5 mol L-1). Este resultado era esperado, pois uma parte dos íons dicromato da soluçao é consumida na eletrocoloraçao dos aços.

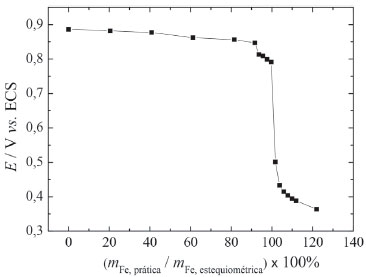
Como já mencionado anteriormente, uma parte da soluçao residual diluída também foi submetida a uma titulaçao potenciométrica de forma idêntica àquela ilustrada na Figura 1; a única diferença foi o uso da palha de aço (ferro) como titulante no lugar da soluçao de sulfato ferroso amoniacal. Para isto, pequenas quantidades de palha de aço previamente pesadas foram adicionadas à soluçao residual diluída, monitorando-se o potencial do eletrodo indicador de platina. A Figura 2 ilustra uma curva típica de potencial em funçao da razao mássica de palha de aço efetivamente adicionada em relaçao à massa de ferro necessária para reagir completamente com os íons dicromato, de acordo com a equaçao (1) (quantidade estequiométrica), isto é, mFe, prática / mFe, estequiométrica × 100%. Nesta figura, os valores iniciais de potencial sao menores do que aqueles na Figura 1 porque a concentraçao de íons hidrogênio na soluçao titulada é menor do que aquela na soluçao titulada com o sulfato ferroso amoniacal, conforme está descrito na parte experimental.

 


Figura 2. Curva típica de potencial em funçao da fraçao mássica de palha de aço (ferro) efetivamente adicionada a uma alíquota de 1 L de soluçao residual (diluída por um fator de 100), utilizando Pt como eletrodo indicador. A fraçao mássica de palha de aço (ferro) foi calculada em relaçao à massa de ferro necessária para reagir completamente com os íons dicromato, de acordo com a equaçao (1) - vide texto

 

De acordo com özer et al. ,3 a reaçao entre os íons dicromato e ferro metálico em meio ácido (equaçao (1)) ocorre em duas etapas, sendo a primeira representada pela equaçao:

 

 

e a segunda representada pela equaçao (2). Quando estas duas equaçoes sao somadas e divididas por três, obtém-se a equaçao (1), que representa, portanto, a reaçao global do processo. özer et al. 3 investigaram detalhadamente o processo de reduçao de íons dicromato em meio ácido, utilizando palha de aço como agente redutor. Neste estudo, a soluçao contendo íons dicromato foi forçada a passar, a uma dada vazao, por um reator contendo uma quantidade conhecida de palha de aço (ferro) suportada por placas porosas de vidro. Dos resultados obtidos, concluíram que a extensao do processo de reduçao dos íons Cr(VI) aumenta com a concentraçao inicial de ácido; assim, um excesso de 50% de ácido foi adotado pelos autores. Os demais parâmetros estudados (concentraçao inicial de íons Cr(VI), vazao de eletrólito e temperatura) nao apresentaram efeitos significativos no processo. Tendo em conta esses resultados, o tratamento da soluçao residual usando palha de aço no presente trabalho também foi realizado com um excesso de ácido de cerca de 50%. É importante ressaltar que a obtençao da curva de titulaçao ilustrada na Figura 2 é bastante demorada, dada a lenta estabilizaçao do valor de potencial do eletrodo indicador, principalmente na regiao próxima ao ponto de equivalência (6 a 8 h). Isto decorre da cinética bastante lenta da reaçao global do processo (equaçao (1)).

A partir da curva de titulaçao ilustrada na Figura 2, observa-se a necessidade de uma quantidade de palha de aço (ferro) maior do que a quantidade estequiométrica para tratar completamente os íons dicromato contidos na soluçao residual. Isto ocorre devido à presença de impurezas na palha de aço comercial e a uma possível reaçao entre os íons ferroso produzidos na primeira etapa do processo (equaçao 3) e o oxigênio dissolvido na soluçao. 41 Tendo em conta esse resultado, a eficiência do processo de tratamento da soluçao residual foi avaliada para quantidades de palha de aço correspondentes a 105%, 110%, 115% e 120% da estequiométrica. Nestes tratamentos, pequenas quantidades de palha de aço foram adicionadas à soluçao residual até que a massa total requerida fosse atingida, mantendo-se sempre a mistura sob agitaçao magnética e em banho de água à temperatura ambiente. Antes de cada nova adiçao, sempre se esperava o consumo completo da palha de aço previamente adicionada. Os íons Cr(III) e Fe(III) produzidos no processo (equaçao (1)) foram, entao, completamente precipitados pela adiçao de hidróxido de sódio, conforme descrito na seçao experimental. Giovannini et al. 21 avaliaram técnicas de precipitaçao química de resíduos líquidos contendo cromo (soluçao muito semelhante à do presente trabalho). O tratamento utilizado consistiu na reduçao de íons Cr(VI) a Cr(III) em meio ácido, adicionando soluçao de tiossulfato de sódio com posterior precipitaçao daqueles íons a Cr(OH)3. Dada a presença de outros íons na soluçao residual (mesma situaçao da soluçao tratada no presente trabalho), os autores verificaram que o melhor intervalo de pH para a remoçao de cromo por precipitaçao química se situa entre 10 e 11; neste intervalo de pH, a eficiência de remoçao de cromo avaliada por espectrometria de emissao óptica com plasma acoplado indutivamente foi praticamente 100%. Daí o fato da precipitaçao dos íons Cr(III) a Cr(OH)3 no presente trabalho ter sido realizada no intervalo de pH entre 10 e 11.

Os valores obtidos de concentraçao total de cromo determinada por FAAS para as soluçoes residuais tratadas com quantidades de palha de aço correspondentes a 105%, 110%, 115% e 120% em relaçao à quantidade estequiométrica foram os seguintes: 5410 ± 9, 2056 ± 3, 772 ± 3 e 0,29 ± 0,02 mg L-1 (n = 3), respectivamente. Desta forma, observa-se que a soluçao tratada com excesso de palha de aço de 20% em relaçao ao valor estequiométrico teórico apresenta um valor de concentraçao de cromo total menor que o limite máximo estabelecido pelo CONAMA para efluentes industriais (1,1 mg L-1 Cr). Como mencionado na seçao experimental, a concentraçao de Cr(VI) das soluçoes residuais tratadas também foi determinada por espectrofotometria no UV-Vis utilizando-se o reagente 1,5-difenilcarbazida. Consequentemente, a concentraçao residual de íons Cr(III) foi calculada pela diferença entre as concentraçoes de cromo total e de íons Cr(VI). Para a soluçao residual que foi tratada com quantidade de palha de aço correspondente a 120% da estequiométrica, a concentraçao de íons Cr(VI) encontrada foi menor que 0,01 mg L-1, um valor bem inferior ao limite máximo estabelecido pelo CONAMA para efluentes industriais (0,1 mg L-1). Isto permite inferir que a concentraçao de íons Cr(III) na soluçao tratada é estatisticamente igual àquela de cromo total (0,29 ± 0,02 mg L-1) e, portanto, bem abaixo do limite máximo estabelecido pelo CONAMA (1,0 mg L-1). Estes resultados comprovam a eficiência da metodologia proposta no presente trabalho para o tratamento de soluçoes residuais que contêm altas concentraçoes de ácido e de íons Cr(VI) na forma de íons dicromato, Cr2O72-. Além disso, o emprego de palha de aço comercial como agente redutor nesta metodologia apresenta, ainda, as seguintes vantagens: i) tratamento mais rápido da soluçao residual tendo em conta a grande área superficial dos fios que compoem a palha de aço comercial (nº 0) quando comparado àquele que utiliza limalhas de ferro metálico (testadas e abandonadas no presente trabalho por apresentarem baixa velocidade de reaçao) e; (ii) praticidade na execuçao do tratamento em funçao das facilidades de aquisiçao e manuseio de palhas de aço comerciais. Cabe destacar que a soluçao tratada (uma soluçao concentrada de sulfato de sódio contendo baixas concentraçoes de impurezas metálicas) pode ser utilizada para diferentes fins, ajustando seu pH e/ou concentraçao. Exemplos de possíveis aplicaçoes para a soluçao tratada incluem:42 i) formulaçao de soluçoes eletrolíticas empregadas em eletrólises, pois aumenta a condutividade destas soluçoes e diminui, consequentemente, o potencial de célula, tais como nos processos de eletroxidaçao de compostos orgânicos, eletrodeposiçao de metais sobre substratos diversos e geraçao dos gases hidrogênio e oxigênio; ii) obtençao de outros produtos químicos, tais como carbonato ou monohidrogenocarbonato de sódio e sulfato de potássio e; iii) formulaçao de detergentes empregados na limpeza de carpetes e tapetes.

Como mencionado na parte experimental, a soluçao residual que foi tratada continha predominantemente íons dicromato, Cr2O72-, e os íons dos elementos de liga que compoem o aço inoxidável austenítico, tais como ferro, níquel, cromo, manganês etc. Portanto, após a etapa de precipitaçao com hidróxido de sódio, é de se esperar que, além de Fe(OH)3 e Cr(OH)3, o resíduo sólido formado também contenha Ni(OH)2, Mn(OH)2 etc. , porém em menor quantidade. De acordo com Belebchouche et al. ,43 uma das técnicas amplamente empregadas para a disposiçao final de resíduos perigosos contendo metais tóxicos é a de encapsulamento por meio de aglutinantes hidráulicos. Este processo consiste em reduzir a toxicidade de um resíduo sólido, convertendo-o em um material de menor solubilidade, tornando-o menos móvel e, consequentemente, menos tóxico. Estes autores relataram a utilizaçao desta técnica no encapsulamento de um resíduo contendo níquel, cromo e chumbo por meio de um aglutinante hidráulico em duas diferentes formulaçoes: argamassas e pastas de cimento. Em testes de lixiviaçao, as argamassas apresentaram melhor eficiência no encapsulamento do resíduo tóxico do que as pastas de cimento.

 

CONCLUSOES

A metodologia usada no presente trabalho empregando palha (la) de aço comercial apresentou resultados eficientes para uma reduçao significativa da toxicidade de soluçoes residuais contendo altas concentraçoes de ácido e de íons Cr(VI) na forma de íons dicromato, Cr2O72-. O tratamento de uma soluçao residual empregada em processos de eletrocoloraçao de aços inoxidáveis (mistura do ácido sulfúrico 5,0 mol L-1 e anidrido crômico/trióxido de cromo 2,5 mol L-1), utilizando-se um excesso de palha de aço de 20% em relaçao à quantidade estequiométrica como agente redutor e hidróxido de sódio como precipitante (até pH 10-11), produziu uma soluçao tratada na qual os valores de concentraçao de cromo trivalente e hexavalente foram 0,29 ± 0,02 mg L-1 e < 0,01 mg L-1, respectivamente, os quais sao bem inferiores aos limites máximos estabelecidos pelo CONAMA para efluentes industriais. Portanto, tal metodologia pode ser utilizada de forma prática e eficiente para o tratamento de soluçoes residuais ácidas contendo cromo hexavalente geradas em laboratórios de Química, seja no contexto geral de tratamento de resíduos ou de um experimento didático para estudantes.

 

AGRADECIMENTOS

A FAPESP pelo auxílio financeiro (proc. 99/12576-5) e à CAPES e ao CNPq pelas bolsas concedidas. Os autores também agradecem aos professores Dr. Edenir R. Pereira Filho e Dr. Joaquim A. Nóbrega por concederem que parte deste trabalho fosse realizado no laboratório do Grupo de Análise Instrumental Aplicada do Departamento de Química da UFSCar.

 

REFERENCIAS

1. Matos, W. O. ; Nóbrega, J. A. ; Souza, G. B. ; Nogueira, A. R. A. ; Quim. Nova 2008, 31, 1450.

2. Rajeshwar, K; Ibanez, J. G. ; Environmental Electrochemistry. Fundamentals and Applications in Pollution Abatement, Academic Press: San Diego, 1996.

3. özer, A. ; Altundoğan, H. S. ; Erdem, M. ; Tümen, F. ; Environ. Pollut. 1997, 97, 107.

4. Devilliers, D. ; Dinh Thi, M. T. ; Mahé, E. ; Le Xuan, Q. ; Electrochim. Acta 2003, 48, 4301.

5. Andrade, L. S. ; Xavier, S. C. ; Rocha-Filho, R. C. ; Bocchi, N. ; Biaggio, S. R. ; Electrochim. Acta 2005, 50, 2623.

6. Conrrado, R. ; Bocchi, N. ; Rocha-Filho, R. C. ; Biaggio, S. R. ; Electrochim. Acta 2003, 48, 2417.

7. Kikuti, E. ; Conrrado, R. ; Bocchi, N. ; Biaggio, S. R. ; Rocha-Filho, R. C. ; J. Braz. Chem. Soc. 2004, 15, 472.

8. Kikuti, E. ; Bocchi, N. ; Ferreira, M. G. S. ; Belo, M. C. ; Carmezim, M. J. ; Cienc. Tecnol. Mater. 2005, 17, 23.

9. Taveira, L. V. ; Kikuti, E. ; Bocchi, N. ; Dick, L. F. P. ; J. Electrochem. Soc. 2006, 153, B411.

10. Kikuti, E. ; Bocchi, N. ; Pastol, J. L. ; Ferreira, M. G. ; Montemor, M. F. ; Belo, M. C. ; Simoes, A. M. ; Corros. Sci. 2007, 49, 2303.

11. Vasconcelos, K. O. ; Bocchi, N. ; Simoes, A. M. ; J. Braz. Chem. Soc. 2010, 21, 469.

12. Corredor, J. ; Bergmann, C. P. ; Pereira, M. ; Dick, L. F. P. ; Surf. Coat. Technol. 2014, 245, 125.

13. Jin, W. ; Du, H. ; Zheng, S. ; Zhang, Y. ; Electrochim. Acta 2016, 191, 1044.

14. Xie, B. ; Shan, C. ; Xu, Z. ; Li, X. ; Zhang, X. ; Chen, J. ; Pan, B. ; Chem. Eng. J. 2017, 308, 791.

15. Ferreira, A. D. Q. ; Quim. Nova 2002, 25, 572.

16. http://www.mma.gov.br/port/conama/res/res11/propresol_lanceflue_30e31mar11.pdf, acessado em outubro de 2017.

17. Pettine, M. ; Campanella, L. ; Millero, F. J. ; Environ. Sci. Technol. 2002, 36, 901.

18. Chang, L. Y. ; Environ. Prog. 2003, 22, 174.

19. Su, C. ; Ludwig, R. D. ; Environ. Sci. Technol. 2005, 39, 6208.

20. Goshu, I. V. ; Tsarev, Y. V. ; Kostrov, V. V. ; Russ. J. Appl. Chem. 2007, 80, 2024.

21. Giovannini, J. G. ; Tavares, G. A. ; Bendassolli, J. A. ; Quim. Nova 2008, 31, 676.

22. Gromboni, C. F. ; Donati, G. L. ; Matos, W. O. ; Neves, E. F. A. ; Nogueira, A. R. A. ; Nóbrega, J. A. ; Environ. Chem. Lett. 2010, 8, 73.

23. Paula, L. N. ; Giusto, L. A. R. ; Rodrigues-Filho, R. C. ; Castilho, L. R. ; Magalhaes, F. ; Quim. Nova 2013, 36, 1332.

24. Mitra, P. ; Banerjee, P. ; Sarkar, D. ; Chakrabarti, S. ; Int. J. Environ. Sci. Technol. 2014, 11, 449.

25. Yu, R. -F. ; Chi, F. -H. ; Cheng, W. -P. ; Chang, J. C. ; Chem. Eng. J. 2014, 255, 568.

26. Villacís-García, M. ; Villalobos, M. ; Gutiérrez-Ruiz, M. ; J. Hazard. Mater. 2015, 281, 77.

27. Lin, W. Y. ; Wei, C. ; Rajeshwar, K. ; J. Electrochem. Soc. 1993, 140, 2477.

28. Wang, L. ; Wang, N. ; Zhu, L. ; Yu, H. ; Tang, H. ; J. Hazard. Mater. 2008, 152, 93.

29. Machado, T. C. ; Lansarin, M. A. ; Matte, N. ; Water Sci. Technol. 2014, 70, 55.

30. Ruotolo, L. A. M. ; Santos-Júnior, D. S. ; Gubulin, J. C. ; Water Res. 2006, 40, 1555.

31. Tian, Y. ; Yang, F. ; J. Cleaner Production 2007, 15, 1415.

32. Roberts, E. P. L. ; Yu, H. ; J. Appl. Electrochem. 2002, 32, 1091.

33. Frenzel, I. ; Holdik, H. ; Barmashenko, V. ; Stamatialis, D. F. ; Wessling, M. ; J. Appl. Electrochem. 2006, 36, 323.

34. Rodriguez-Valadez, F. ; Ortiz-Éxiga, C. ; Ibánez, J. G. ; Alatorre-Ordaz, A. ; Gutierrez-Granados, S. ; Environ. Sci. Technol. 2005, 39, 1875.

35. Welch, C. M. ; Nekrassova, O. ; Compton, R. G. ; Talanta 2005, 65, 74.

36. Wang, H. ; Ren, Z. J. ; Water Res. 2014, 66, 219.

37. Vendruscolo, F. ; Ferreira, G. L. R. ; Antoniosi-Filho, N. R. ; Int. Biodeterior. Biodegrad. 2017, 119, 87.

38. Bertagnolli, C. ; Silva, M. G. C. ; Guibal, E. ; Chem. Eng. J. 2014, 237, 362.

39. Sen, M. ; Dastidar, M. G. ; Iran. J. Environ. Health. Sci. Eng. 2010, 7, 182.

40. Baccan, N. ; Andrade, J. C. ; Química Analítica Quantitativa Elementar, 3ª ed. , Edgard Blucher: Sao Paulo, 2004. pp. 238-240.

41. Eary, L. E. ; Rai, D. ; Environ. Sci.Technol. 1988, 22, 972.

42. Garret, D. E. ; Sodium Sulfate Handbook of Deposits, Processing, Properties, and Uses, Academic Press: Cambridge, 2001. pp. 289-302.

43. Belebchouche, C. ; Moussaceb, K. ; Aït-Mokhtar, A. ; European Journal of Environmental and Civil Engineering 2016, 20, 711.

On-line version ISSN 1678-7064 Printed version ISSN 0100-4042
Qu�mica Nova
Publica��es da Sociedade Brasileira de Qu�mica
Caixa Postal: 26037 05513-970 S�o Paulo - SP
Tel/Fax: +55.11.3032.2299/+55.11.3814.3602
Free access

GN1