JBCS



21:49, sáb out 25

Acesso Aberto/TP



Artigo

FOURIER TRANSFORM INFRARED SPECTROSCOPY, THERMOGRAVIMETRIC ANALYSIS, SCANNING ELECTRON MICROSCOPY AS SUPPORTING TOOLS IN QUALITY CONTROL OF ANTIPARASITICS

Michelli dos Santos SilvaI; Karla Loriatto GonringII; Ricky Cássio Santos da SilvaIII; Matheus Cecílio FonsecaIII; Marcella Matos Cordeiro BorgesIII; Otalibio Castiglioni NunesII; Moacir Rossi ForimIV; Keyller Bastos BorgesIII*; Warley de Souza BorgesI,#

I. Departamento de Química, Universidade Federal do Espírito Santo, 29075-910 Vitória - ES, Brazil
II. Departamento de Ciências Farmacêuticas, Universidade Federal do Espírito Santo, 29043-900 Vitória - ES, Brasil
III. Departamento de Ciências Naturais, Universidade Federal de São João del-Rei, 36301-160 São João del-Rei - MG, Brasil
IV. Departamento de Química, Universidade Federal de São Carlos, 13565-905 São Carlos - SP, Brasil

Recebido em 22/06/2017
Aceito em 08/11/2017
Publicado na web em 11/12/2017

Endereço para correspondência

*e-mail: keyller@ufsj.edu.br
#e-mail alternativo: warley000@yahoo.com.br

RESUMO

This study shows that Fourier transform infrared (FTIR) spectroscopy, thermogravimetric analysis (TGA), and scanning electron microscopy (SEM) can be used as supporting tools for the evaluation of the quality of antiparasitics. In addition, an analytical methodology was developed and validated to quantify simultaneously thiabendazole (TB), febantel (FB), toltrazuril (TZ), and fluazuron (FZ) in bulk and in their veterinary pharmaceutical formulations using reverse phase high performance liquid chromatography (RP-HPLC). In order to investigate stability, pharmaceuticals were submitted to degradation processes under different conditions, such as recommended by the International Conference on Harmonization. The chromatographic conditions were optimized and the validation parameters, such as selectivity, linearity, detection limit, quantification limit, precision, accuracy, and robustness showed results within acceptable standards. All analytes were stable in the stability assays in acid and basic media and thermal conditions, except in the oxidation process, which presented two degradation peaks. Physicochemical characterization by TGA, FTIR, and SEM of raw materials of TB, FB, TZ, and FZ provided information about the authenticity of the analytes, proving the wide applicability of the instrumental techniques. The RP-HPLC proposed method was found to be accurate, precise, and reproducible and can in addition be used for routine quality control analysis.

Palavras-chave: quality control; stability indicating; antiparasitic.

INTRODUCTION

In pharmaceutical research, the analytical investigation of bulk drug materials, intermediates, drug products, drug formulations, impurities and degradation products is very important. From the stages of drug development to marketing and post marketing, analytical techniques play an important role in, i.e. understanding the physicochemical stability of the drug, choice and design of the dosage form, assessing the stability of the drug molecules, determination of the impurities, and in evaluating the toxicity of pharmaceuticals, impurities, metabolites, etc.1

Recently, the use of Fourier transform infrared (FTIR) spectroscopy, thermogravimetry analysis (TGA), differential scanning calorimetry, near-infrared spectroscopy and Raman spectroscopy have gained a wide appreciation within the pharmaceutical industry for raw material testing, product quality control and process monitoring.2-7 The growing pharmaceutical interest in these techniques is probably a direct consequence of their major advantage over other analytical techniques, namely, an easy sample preparation without any pretreatments.8 In addition, the quality of a pharmaceutical formulation is a direct consequence of the quality of the raw materials used in its making. Scanning electron microscopy (SEM) and transmission electron microscopy have been used to obtain physicochemical characteristics, such as particle size and crystalline form, which have a significant influence on the dissolution rate and bioavailability of a pharmaceutical formulation.9,10

Parasitic diseases commonly found in animals have high relevance to public health because they may be transmitted to human beings.11 The use of veterinary pharmaceuticals has increased exponentially because of the number of people who own a pet likely at some point to be need of care.11 While treating these diseases, the combination of one or more pharmaceuticals with different action mechanisms is needed to increase not only the action spectrum, but also the efficacy in infection control.12

The combination of several pharmaceuticals such as febantel (FB),13 toltrazuril (TZ),14 thiabendazole (TB)15 and fluazuron (FZ)16 (Figure 1S) in medication therapy is commonly used to wipe out parasites. Although they are not used in associations, the development of simultaneous determination methods is required, to reduce costs, reagents, and time.

 


Figure 1. SEM images of the (A) thiabendazole (TB), (B) febantel (FB), (C) toltrazuril (TZ), and (D) fluazuron (FZ) at magnifications of 45× (B and D) and 300 × (A and C)

 

It is desirable to develop methods to quantify concentrations of analytes close to those expected and with good repeatability between results through validation parameters.11 Developing analytical methodologies to quantify pharmaceuticals involves assessing and optimizing conditions, including sample preparation stages, chromatographic separation, detection and quantification.17-21 Among the analytical separation and quantification techniques, reverse phase high-performance liquid chromatography (RP-HPLC) with ultraviolet (UV) detection has been highlighted due to its significant resolution, low cost, precision and accuracy.22-24

Bibliographical research in official compendia such the European and American Pharmacopoeias describes individual quantitative methods for the study of the pharmaceutical products FB and TB, but do not show those for FZ and TZ.15 Consequently, there is large interest in the development of appropriate methods for quantitative control analysis of these pharmaceutical drugs.25 Furthermore, there is a paucity of studies examining the degradation of these drugs, so monitoring their stability is one of the most effective methods to assess, predict, and prevent problems related to the quality of the product during its shelf life.26 Safety and efficacy must also be assessed by monitoring degradation product formation, which can generate loss of therapeutic activity or toxicity. Therefore, it is important to ensure safety regarding possible undesirable effects that degraded products can cause.27

The analysis of stability samples should be performed using validated stability-indicating analytical methods (SIAM).28 The SIAM should be able to accurately measure the active ingredients, without interference, from the degradation products, excipients, impurities, or other potential process contaminants.27-29

Therefore, the aim of this work was: (i) to show that FTIR (experimental and theoretical spectra), TGA, and SEM can be useful tool for evaluation of the raw materials of different antiparasitics; (ii) to develop and validate a method using RP-HPLC for simultaneous determination of TB, FB, TZ and FZ in bulk and in different veterinary pharmaceutical formulations; and (iii) to evaluate the degradation profile of TB, FB, TZ and FZ under acidic, basic, neutral, oxidative, photo and thermal conditions. Despite the existence of methods for simultaneous determination of TB, FB, TZ, and FZ, there is still a lack of focus in the analyses of raw materials and veterinary pharmaceutical formulations contributing to the optimization of analysis and resources in quality control laboratory routines. Similarly, there is a lack of solid-state analysis of the active pharmaceutical ingredients (API) using FTIR (experimental and theoretical spectra), TGA, and SEM as coadjutant techniques in quality control.

 

MATERIALS AND METHODS

Solid-state analysis of the API

FTIR Spectroscopy - Experimental spectra

The structural characterization of all analytes was carried out by FTIR spectroscopy with a spectrometer Bomem Hartmann & Braun (MB series, Quebec, Canada) operating between 4000 and 400 cm1, at 4 cm-1 resolution, by means of the of the conventional KBr pellet method.

FTIR Spectroscopy - Theoretical spectra

The four spectra were obtained using Density Functional Theory (DFT) with B3LYP functional30 and standard Pople basis set 6-31G(d,p),31 in the gas phase. The first step was to optimize the geometry, looking for the global minimum of each drug, and then to undertake the vibrational frequency calculations. No symmetry constraints were imposed during the geometry of strutures and all the determined frequencies were real. The theoretical calculations were carried out using the Gaussian 2009 quantum mechanical package.32

SEM

The morphological structures of TB, FB, TZ and FZ were investigated by SEM. The images with SEM were obtained using a JEOL® model JSM-6610LV (Tokyo, Japan) with voltage acceleration at 5 kV.

TGA

The thermal stability of the analytes was checked by TGA using a thermobalance 2950 Thermal Analysis Instrument (TA Instrument, New Castle, DE, USA) with a heating rate of 10 ºC min-1 under nitrogen flow (100 mL min-1) using a temperature range from room temperature up to 600 ºC.

Instrumentation and chromatographic conditions

HPLC measurements were carried out on an Agilent 1260 Infinity instrument (Waldbronn, Germany) equipped with an Agilent 1260 Infinity degasser (G1322A), Agilent 1260 Infinity quaternary pump (G1311A), and Agilent 1260 Infinity UV Diode array detector (G1314B). The separation and quantification were performed on a ZORBAX Eclipse Plus C18 column - Rapid Resolution (100 mm × 2.1 mm i.d., 3.5 µm particle size) using a mobile phase consisting of acetic acid solution 0.1% (v/v) (mobile phase A) and acetonitrile (mobile phase B) in gradient mode starting with 100% of mobile phase A ranging to mobile phase B at 60% (2 min). This composition was maintained for an additional 1 min (2 to 3 min), followed by increasing the mobile phase B to 90% (3 to 6 min). This composition was maintained for an additional 1 min (6 to 7 min) then changed back to the initial condition in order to balance the column in 10 min. This procedure was performed at 25 ºC using a flow rate of 1 mL min-1. The run time was 10 min. The detector was adjusted at 250 nm and theinjection volume was 10 µL. The data were obtained and processed using Open Lab EzChrom.

Reference chemical substances

FB was obtained from Mylan Laborator Ltd. Its purity was 99.86%, according to the Analytical Certificate. TZ (purity of 99.78%) was purchased from Jinlan Lingyun A. Health. TB (purity of 100%) and FZ (98.16% of purity) were obtained from Natural Pharma and Yangzhou T. P., respectively.

Pharmaceutical formulations

The following samples were purchased from the Brazilian market in Vitória, ES, Brazil: thiabendazole 500 mg tablets, thiabendazole 50 mg g-1 ointment, thiabendazole 5 mg capsules, febantel 150 mg tablets, fluazuron 5 mg capsules and toltrazuril 2.5% (w/w) oral suspension.

Chemicals and reagents

Glacial acetic acid, hydrochloric acid, sodium hydroxide and hydrogen peroxide (analytical grade) were purchased from Vetec Química Fina Ltda (Sigma-Aldrich Co., Rio de Janeiro, RJ, Brazil). Ultrapure water was prepared in house using the Milli-Q system (Millipore, Bedford, USA). Acetonitrile and methanol (HPLC grade) were obtained from Panreac Produtos Químicos Co. (Londrina, PR, Brazil).

Stock standard solutions

Stock standard solutions of FB and FZ were prepared by transfering 15 mg (corrected by purity) of each compoundseparately to a 100 mL volumetric amber flask and dissolving with acetonitrile using methanol as co-solvent. An aliquot of 1 mL of this solution was transferred to a 100 mL volumetric amber flask and diluted with acetonitrile (80 mL) and methanol (~20 mL) to obtain a concentration of 1.5 µg mL-1. A stock standard solution of TB and TZ (1.5 µg mL-1) was prepared in the same way by dissolving in acetonitrile (99 mL) using concentrated acetic acid as co-solvent (~1 mL). All work solutions obtained from the stock solution were prepared in acetonitrile since it was the most suitable solvent, observed in the preliminary study of solubility, and also followed the Pharmacopoeia statement.

HPLC method development and validation

After optimization, the method was validated according to the criteria described in the International Conference on Harmonization (ICH) through the evaluation of the following parameters: system suitability testing, specificity/selectivity, stability of the standard stock solution, linearity, linear range, limit of detection (LOD), limit of quantification (LOQ), precision, accuracy and robustness. In addition, the degradation profiles under acidic, basic, neutral, oxidative, photo and thermal conditions were evaluated for all analytes.33-36

System suitability testing

A standard solution containing 0.250 µg mL-1 of FB, TB, TZ and FZ was prepared by dissolving each stock standard solution in acetonitrile, and system suitability was determined from six replicated injections of this standard solution.

Selectivity

Method selectivity was assessed by comparing pharmaceutical retention time in the chromatogram to a standard solution and placebo. The injections were carried out in triplicate. Moreover, chromatogram retention time was also verified after acidic, basic, neutral, oxidative, thermal, and photo-degradation treatment of the standard solutions.

Linearity and construction of the calibration curve

Linearity was determined in triplicate at seven concentration levels. In order to carry out this test, study solutions were prepared and diluted to obtain a concentration ranging from 0.175 to 0.325 µg mL-1 (0.175, 0.200, 0.225, 0.250, 0.275, 0.300, and 0.325 µg mL-1) for TB, FB, TZ, and FZ.

The areas registered for each analyte at each concentration level underwent linear regression analysis using the least squares method to calculate the calibration equation and coefficient of correlation (r). As acceptance criteria, the coefficient of regression should be higher than 0.99 and no deviation higher than 5% in the precision and accuracy values for each concentration level. Work interval was set from 80 to 120% of the previously established concentration test (0.250 µg mL-1). Finally, the fit of unweighted regression models (homoscedastic data) was tested by the analysis of variance (ANOVA) lack-of-fit test.

LOD and LOQ

The LOD and LOQ were determined based on responses from the standard deviation and calibration curve regression, and estimated from the signal-to-noise ratio. For this purpose, a solution containing 0.250 µg mL-1 of each reference chemical substance was sequentially diluted to the lowest detectable band. LOD was obtained through the lowest concentration that resulted in a band of three times the noise baseline, and LOQ as the lowest concentration that resulted in a signal/noise equal to or greater than ten.

Precision and accuracy

Method precision was determined based on repeatability and intermediate studies. In repeatability, worked solutions were prepared and diluted covering three levels of concentration for the pharmaceuticals (0.200. 0.250 and 0.300 µg mL-1) on the same day and under the same experimental conditions. Intermediate precision was carried out using the same equipment during three different days, covering 80, 100, and 120% of test concentrations. Result dispersion was assessed using the percentage of the relative standard deviation (RSD, %).

The accuracy was evaluated by applying the proposed method to the analysis of an in-house mixture of the placebo with known amounts of analytes.The accuracy was calculated as the percentage of the drug recovered from the formulation matrix. In order to carry out the test, the pharmaceutical study solutions were prepared at the same concentration levels as precision test, and submitted for analysis under previously determined conditions so as to obtain the band areas of each reference chemical substance, at each concentration level. Accuracy was expressed as percentage of recovered area. The confidence interval of 95% was also considered as a criterium for assessing the accuracy parameter.

Robustness

Method robustness was assessed considering some parameters that could affect the response from the analytes. The samples were prepared in triplicate, and the chromatographic parameters altered were: acetonitrile percentage in mobile phase (55% and 65%), and flow rate (0.90 mL min-1 and 1.10 mL min-1).

Stability studies

A forced-degradation study was carried out under the range of conditions recommended in the ICH guidelines, such as acidic, basic, neutral, oxidation, thermal, and photo-degradation in a total period of 24 h (0, 2, 4, 8, 12, 16, and 24 h after preparation). A stock standard solution of all reference chemical substance (1.5 µg mL-1) was used throughout the stress decomposition study to give an indication of the stability and selectivity of the method proposed.

Acidic degradation

The acidic degradation study was performed in a water bath at 80 ºC for 5 h, where to 5 mL of each stock standard solution was added 5 mL of acid solution. These assays were carried out with 0.1 mol L-1 and 1.0 mol L-1 hydrogenchloride (HCl) solution. The resultant solutions were cooled at room temperature, neutralized to pH 7 with 0.1 mol L-1 and 1 mol L-1 sodiumhydroxide (NaOH) solution, respectively, and diluted to 25 mL with acetonitrile to prepare solutions of 0.250 µg mL-1 of each standard. From each experiment, 10 µL was injected into the RP-HPLC system.

Alkaline degradation

The alkaline degradation study was carried out by the separate mixing of 5 mL of each stock standard solution with 5 mL of 0.1 mol L-1 and 1 mol L-1 NaOH, and the solutions were warmed in a water bath for 5 h at 80ºC. The resulting solutions were cooled at room temperature, neutralized to pH 7 using 0.1 mol L-1 and 1 mol L-1 HCl solution, respectively, and diluted to 25 mL with acetonitrile to prepare solutions of 0.250 µg mL-1 of each standard and 10 µL was injected into the RP-HPLC system.

Neutral degradation

The neutral degradation study was carried out by warming in a water bath 5 mL of each stock standard solution with 5 mL of deionized water at 80ºC for 5 h. The resulting solutions were diluted to 25 mL with acetonitrile to prepare solutions of 0.250 µg mL-1 of each standard. The resulting solutions were injected (10 µL) into the RP-HPLC system.

Oxidative degradation

In order to study hydrogen peroxide-induced degradation, studies were performed in 3% (v/v) hydrogen peroxide. Separately, 5 mL of each stock standard solution was mixed with 5 mL of 3% (v/v) hydrogen peroxide and warmed in a water bath at 80 ºC for 5 h. Next, the solutions were heated in a boiling water bath for 10 min to expel the excess hydrogen peroxide. At the end of the assays, the resultant solutions were diluted with acetonitrile to obtain a concentration of 0.250 µg mL-1 of each standard and 10 µL was injected into the RP-HPLC system.

Thermal degradation

The thermal degradation study was carried out by warming in a water bath 5 mL of each stock standard solution at 80ºC for 5 h. The resulting solutions were diluted to 25 mL with acetonitrile to prepare solutions of 0.250 µg mL-1 of each standard, which were injected (10 µL) into the RP-HPLC system.

Photo-degradation

The photodegradation study was performed by exposing a solution of 0.250 µg mL-1 of each standard to an ultraviolet (UV) light at 254 nm with a low-pressure Hg-lamp (Desaga, Heidelberg, Germany) installed in a thin-layer chromatography cabinet for 24 h. After this period, 10 µL of each solution was injected into the RP-HPLC system.

Pharmaceutical formulations and sample preparation

The samples in the pharmaceutical form of tablets were milled using a mortar and pestle, and the capsules were emptied to obtain the powder. Next, all the samples were accurately weighed (10 units) and diluted in acetonitrile to obtain the previously set concentration of 0.250 µg mL-1 for each pharmaceutical.

The oral suspension and ointment samples were prepared by weighing 1.0 g (±0.01mg) into a polypropylene tube. The samples were dissolved in acetonitrile, sonicated for 10 min and centrifuged at 1.800 g for 5 min. Thereafter, the samples were diluted to obtain a concentration of 0.250 µg mL-1. Finally the supernatant was filtered through a polyvinylidene difluoride membrane Millipore Millex of 0.45 µm pore size (Merck, Darmstadt, Germany).

Placebo solutions

The placebo solutions (controls without active principle) were "Pharmaceutical compounding Febantel 5 mg/capsule" and "Pharmaceutical compounding Toltrazuril suspension 2.5% (w/w)" containing a formulation identical to the study medications were prepared as described above. All the samples were prepared and analyzed in triplicate. Placebo solutions of industrialized drugs were not used.

 

RESULTS AND DISCUSSION

Solubility studies

Drugs solubility is a property that influences aspects regarding the pharmacokinetics and chemical stability of the molecules. It also helps in the selection of the solvent most suitable for analytical purposes.21 The solubility of the FB, TB, TZ, and FZ is an important criterion in the optimization of sample preparation, considering substances of similar chemical properties. The solubility test was performed according to the literature.37 It was observed that all drugs showed good solubility in acetonitrile, except TB, which presented low solubility (see Table 1S). Therefore, TB has a good solubility in an acid medium.19 Thus, acetonitrile mixtures with acid solutions were tested and among the different mixtures evaluated, the ratio of 95: 5 (acetonitrile: acetic acid) promoted complete solubility of the drug. Therefore, it was decided to use the solvent acetonitrile for all drugs, added to thiabendazole the acid solution.

 

 

Solid-state analysis of the API

Solid-state analysis of the API can be an easy way to evaluate the API. Some techniques do not require hard sample preparation or development and validation methods. They can help to qualify suppliers of raw materials excluding API with bad shaped particles, which is a problem in some formulations (by SEM analysis), where it is possible to observe uncommon thermal events for API (by TGA analysis) and different bands from contaminants and/or impurities in the raw materials (by FTIR).

FTIR spectroscopy - experimental versus theoretical

In computer analysis, fundamental vibrational modes associated with the molecular structure become accessible independently, allowing for the distinction of mode constituents' major bands observed experimentally.38 Therefore, it is important to perform a direct comparison of spectral profiles obtained by the two techniques, particularly about a certain frequency for the vibrational modes. The theoretical IR spectrum of drugs showed some smaller bands as compared to the spectra obtained experimentally. In the IR spectrum, the use of only a single molecule in the calculations does not allow for modelling the possible effects of different conformations or matrix effects (intermolecular interactions). Thus, there was a small loss of chemical information. However, the spectral profile with intense bands focused on specific regions was satisfactorily reproduced. Overall, there was excellent agreement with experimental values, so that the simulated spectra were an auxiliary tool in the interpretation of the data. Thus, the conclusions obtained by the analysis of experimental (Figure 2S) and theoretical (Figure 3S) spectra of the studied drugs allowed a distinction between the spectral profiles of the analyzed compounds. The results obtained for each drug are described below.

 


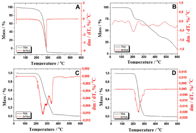
Figure 2. Thermogravimetric curves obtained for the (A) thiabendazole (TB), (B) febantel (FB), (C) toltrazuril (TZ), and (D) fluazuron (FZ)

 


Figure 3. Chromatograms referring to (A) mobile phase, (B) placebo, and (C) standards solutions of (1) thiabendazole (TB), (2) febantel (FB), (3) toltrazuril (TZ) and (4) fluazuron (FZ)

 

FB

C-H stretching of the aromatic rings appears between 3200 and 3000 cm-1, in the experimental and theoretical spectra. Stretching between the carbon atoms of the aromatic ring is in the region between 1680 and 1550 cm-1, also in both spectra. C=O stretching from esters can be found in the region between 1750 and 1800 cm-1 (experimental) and 1790 and 1830 cm-1 (theoretical). Moreover, the band that characterizes the C - O bond from esters is also observed between 1100 and 1150 cm-1 (experimental) and determined at 1086 cm-1 (theoretical). In the theoretical spectrum, frequencies were determined in the region between 3558 cm-1 and 3615 cm-1, from N-H stretching of secondary amines. In the experimental spectrum, these bands were not observed. A band that characterizes the ether function is also determined in theoretical spectrum, at 1133 cm-1. This band is observed in the experimental spectrum in the region between 1065 and 1055 cm-1.

TB

Bands in the region between 2980 and 2680 cm-1 characterize tertiary amines. In addition, in the experimental spectrum, no bands were observed between 3400 and 3550 cm-1, which should in fact be present, characterizing N-H stretching of secondary amines. On the other hand, these bands are present in the theoretical spectrum. The bands at 1012 and 985 cm-1 indicate C-S stretching. In the theoretical spectrum, this band occurs at a smaller wavenumber of 890 cm-1. Bands from 3200 to 3000 cm-1 characterizes C - H stretching from aromatic rings. Low intensity bands between 2000 and 1650 cm-1 characterize the coupling of many vibrations of the aromatic rings in the rings with two nitrogen atoms.

TZ

In the theoretical spectrum, there is N - H stretching from the amide group, which is not present in the experimental one. The band in the experimental spectrum, at 3296 cm-1, characterizes the C-H stretching from aromatic rings. In the theoretical spectrum, these bands appear with very low intensity. The experimental bands at 1721 and 1691 cm-1 characterize the C=O stretching from amides. In the theoretical spectrum, these bands are determined to occur between 1850 and 1790 cm-1. The C-F stretching is observed in the theoretical spectrum between 1218 and 1195 cm-1. In the FTIR experiment, it was observed between 1231 and 1157 cm-1.

FZ

Bands in the region between 3200 and 2900 cm-1 characterize C-H stretching from aromatic rings, present in both spectra, but with lower intensity in the theoretical one. Stretching between the carbon atom in the aromatic ring is observed between 1626 and 1463 cm-1 (experimental) and 1676 and 1500 cm-1 (theoretical). The halide stretches are observed in the region below 815 cm-1. On the other hand, these vibrations were determined at smaller frequencies, in the range between 550 and 500 cm-1. This range was not explored by the spectrometer in this analysis. The carbonyls of the molecule, from amide groups, can be observed in the narrow bands between 1702 and 1724 cm-1 (experimental) and 1790 and 1820 cm-1 (theoretical). The N-H stretches were determined in the theoretical spectrum at 3592 and 3624 cm-1. However, in the experimental spectrum, these bands cannot be observed.

SEM

Figures 1A, B, C, and D show the surface morphology of FB, TB, TZ, and FZ powders, respectively, by SEM micrograph under magnifications of 45 × or 300 ×. As can be seen, the analytes showed different forms, which can be used for characterization of raw material. FB (Figure 1A, magnification of 300 ×) presented crystals smaller than TB (Figure 1B, magnification of 45 ×), TZ (Figure 1C, magnification of 300 ×), and FZ (Figure 1D, magnification of 45 ×). TB has a square shape more defined than the others. TZ has agglomerated crystals with irregular form and FZ has a shape blade, which the others do not present.

TGA

TGA curves of the analytes are shown in Figure 2. The curves for FB (Figure 2A), TZ (Figure 2C), and FZ (Figure 2D) present one mass loss event. In Figure 2A and Figure 2D, the raw materials (powder) begin to degrade around 200 ºC and is totally degraded around 300 ºC. In Figure 2C, it is possible see that TZ begins to degrade around 200 ºC and finishes around 350 ºC. For TB (Figure 2B), the degradation begins around 180 ºC, with a significant mass loss event. After that, other mass loss events are observed, with lower intensity. At the end of the analysis, FB, TZ, and FZ (Figure 2A, C and D, respectively) are totally decomposed. On the other hand, for TB (Figure 2B) remains around 12% of the initial mass.

HPLC method development

The development of an analytical methodology for simultaneous determination by HPLC is necessary for a quality control routine since it optimizes the use of resources such as analytical reagents and standards and enables the analysis of a high number of batches in a short period of time at low cost.

Some parameters were evaluated during the method development and optimization to separate the drugs from the additives and degradation products within a single run without any interference. The separation was optimized taking into consideration such parameters as resolution, retention time, and number of theoretical plates.

This new methodology aimed to provide a simple, unique and default method for quality control of veterinary pharmaceutical formulations with TB, FB, TZ and FZ. Due to the very similar chemical characteristics between the studied pharmaceuticals, choosing adequate analytical separations is essential to analyze simultaneously those compounds. Several parameters were evaluated, the choice of which was based on the chemical structures of the compounds.36 The studied parameters were: chromatographic column; solubility of the reagents; different gradient programs (evaluation of asymmetry); reduced elution time (24 mobile phase schedules) for chromatography optimization observed through repeated injections for assessing the asymmetry of the peak and number of theoretical plates, and relative standard deviation (RSD) of the areas of all analytes.

A satisfactory separation was achieved using a ZORBAX Eclipse Plus C18 column at flow rate of 1.0 mL min-1 and combined with mobile phase gradient programming, observed through the increase in pressure and the number of theoretical plates in the column (Table 1S). Therefore, this column was chosen for the next experiments because it provided appropriate separation (Figure 3A), did not present interference from the placebo (Figure 3B) and had an acceptable run time (around 9 min) (Figure 3C).

Acetonitrile was chosen as eluent because it provided better separation characteristics than methanol, which was not able to provide adequate global separation of all analytes. The different gradient programs using acetic acid 0.1% (v/v) also showed different retention behavior, and different acid solutions were studied with acetonitrile.

Therefore, the better separation conditions were achieved with a gradient mobile phase consisting of acetic acid solution 0.1% (v/v) and acetonitrile at a flow rate of 1.0 mL min-1. Under these conditions, retention times were TB in 2.8 min, FB in 5.7 min, TZ in 6.1 min, and FZ in 8.1 min. The peaks resolution was 16.69 for TB/FB, 2.50 for FB/TZ and 15.26 for TZ/FZ.

Stability of standard solution

Satisfactory results were achieved in the stability studies on standard solution of TB, FB, TZ, and FZ at the concentration of 0.250 µg mL-1, and at different time intervals throughout 24 h. The percentage area variation was ± 10% in relation to the established value of 100% of content for each area of pharmaceuticals. Thus, the variation found should be between 90 and 110%.26,33,37,39 Since the values were between 97 and 103% and RSD% was equal to or less than 2%, the results prove that each standard solution was stable during the period of 24 h (Figure 4).

 


Figure 4. Stability of standard solution of thiabendazole (TB), febantel (FB), toltrazuril (TZ), and fluazuron (FZ)

 

System suitability testing

In order to verify adequacy of the chromatographic system, six repeated injections of standard solution were injected before the validation of the method. Retention time, repeatability, theoretical plate numbers, and asymmetry were obtained. For all the injections, the results were satisfactory, as shown in Table 1S.

HPLC Method validation

Selectivity

In this selectivity test, the samples underwent acidic, basic, peroxidative, neutral and thermal degradation to display any possible interference in the analyte retention time (see Figure 5). The method developed was successful in separating the degradation products and placebo, which corroborates selectivity of the analytical method developed.

 


Figure 5. Chromatograms referring to selectivity test. (A) Neutral degradation; (B) acid degradation; (C) basic degradation; (D) oxidative degradation (peroxide); (E) heat degradation and (F) photobleaching. (1) thiabendazole (TB), (2) febantel (FB), (3) toltrazuril (TZ), and (4) fluazuron (FZ)

 

According to ICH,40 the requirements analyzed provide evidence on how the quality of a medication varies as per length of exposure to environmental factors such as temperature, light, oxygen, pH and humidity. The method developed could identify the pharmaceuticals and degradation products in a single run. Chromatograms shown in Figure 5 regard the forced degradation studies, in which in studied conditions no additional peak or area reduction was observed, except for oxidative degradation (Figure 5D), which presented two new peaks at 1.12 min and 3.49 min, which are probably related to impurities or preservative from the hydrogen peroxide (see Figure 4S for the chromatogram referring to hydrogen peroxide). They not coeluted with the other peaks and did not affect the resolution of the analytes. The peaks purities of the standard solutions (n = 3, for 0.250 µg mL-1) and stressed samples were calculated and compared. The results presented similarity values higher than 999.20.

Linearity

The calibration curve was linear, analyzing standard solutions at seven concentration levels (0.175 - 0.325 µg mL-1). The data of peak area were submitted to linear regression using the least squares method to calculate the calibration equation and coefficient of correlation (r). The linear equation, coefficient of correlation and RSD% values are shown in Table 1. All the r values were greater than 0.99, Fcrit<Fcal= 2.96, and the p-value > 0.05 (95% confidence interval), which showed excellent linearity.

LOD and LOQ

The values generated for LOD and LOQ for the analytical method are described in Table 1. The high detection sensitivity of the developed method for many chemical substances decreases the need to employ large amounts (volume or mass) of samples and organic solvents, usually required in the sample preparation stage so that the analyte reaches concentration levels that are sufficient to be detected and which do not affect the reproducibility of the analytical signal and analysis results.41

Precision and accuracy

Precision and accuracy of the method were assessed using the RSD% calculation for three solution determinations of TB, FB, TZ and FZ at three different concentrations (0.200, 0.250, and 0.300 µg mL-1), which were carried out on three different days under the same experimental conditions. The RSD% values for the concentration analyzed were below 3%, which showed that the method was precise and accurate within the desired interval.

The results presented in Table 2 indicate that the method was accurate over three consecutive days with the results ranging from 0.542 to 2.614%. Furthermore, accuracy values were satisfactory for each analyte ranging from 98.51 to 99.94%. The values were similar at different concentrations, which reinforces the method linearity.

 

 

Robustness

In order to carry out robustness tests, a study solution containing 0.250 µg mL-1 of each analyte was prepared in triplicate and analyzed under optimized and modified method conditions. Thus, the area values achieved under conditions of a proportion change in mobile phase B (acetonitrile) and flow rate change of the mobile phase were compared to those obtained in the optimized conditions. The robustness test showed that the reduction of mobile phase B percentage can compromise accuracy for FZ because the peak was not observed within the expected retention time. The modifications that were proposed for the flow rate did not change the retention time of all analytes. It is important to highlight that none of the changes or the obtained results invalidated the method, but they determined the precautions that must be taken during the analyses.42,43

Method application and pharmaceutical formulations

Table 3 shows the results for the analysis of different commercial and compounded pharmaceutical formulations. The compounded pharmaceuticals were specially prepared by a local pharmacy. Compounded pharmaceuticals were specially prepared by a pharmacist and it was possible to conclude that, except for the compounded pharmaceutical febantel 5 mg/capsule samples, the pharmaceutical concentrations found are within the specified limit, which is between 90.0 and 110.0% for methods employing HPLC.39

 

 

In the sample of compounded pharmaceutical, the 5 mg/capsule febantel showed a value slightly below specification. This result was confirmed by the recovery in accuracy assays. This result highlights the importance of analytical methods for quality control to be associated with good compounding practice adopted in medication production. Without analytical methods is not possible to confirm the dose of active compounds.

 

CONCLUSIONS

The physicochemical proprieties of the drugs analyzed by FTIR (theoretical and experimental), SEM, and TGA were quite clear and there is wider applicability for the investigation of complex real systems. The interpretation of the experimental IR spectra in association with theoretical spectra provide valuable information to evaluate the quality of raw materials. Comparison of these data aims a make possible analysis at low cost, with adequate reproducibility, from a reliable standard. In this present study, even using a modest level of quantum theory, the spectral profile was reproduced satisfactorily, helping the experimentalist in the interpretation of the spectra for the presence of specific components. In addition, the drugs studied showed different shaped particles, as well as thermal characteristic events, enabling this set to become a reliable parameter for drug quality control. The chromatographic method proved to be appropriate for simultaneous determination of four antiparasitics in routine analyses in quality control, and stability studies. The method was shown to be selective, linear, precise, and accurate. However, some parameters such as mobile phase composition need be controlled to maintain the chromatographic resolution. FB, TB, TZ, and FZ showed great stability under acid, basic, hydroperoxide, and thermal studies. Finally, the information presented herein could be very useful for the quality monitoring of FB, TB, TZ and FZ in bulk and in different veterinary pharmaceutical formulations and could also be employed to check the quality of the drugs during stability studies.

 

SUPPLEMENTARY MATERIAL

Figures 1S to 4S and Tables 1S to 2S can be found at http://quimicanova.sbq.org.br in PDF format, with free access. They contain structures, FTIR spectra, chromatograms, solubility test results and system suitability test results.

 

ACKNOWLEDGEMENTS

The authors are grateful to the Graduate Program in Chemistry (CAPES 5) at Federal University of Espírito Santo (UFES), Brazil for the encouragement, and Capes (Coordenaçao de Aperfeiçoamento de Pessoal de Nível Superior), FAPES (Fundaçao de Apoio à Pesquisa do Espírito Santo), CNPq (Conselho Nacional de Desenvolvimento Científico e Tecnológico) and FAPEMIG (Fundaçao de Amparo à Pesquisa do Estado de Minas Gerais) for financial support and Multivix College for allowing master's degree student Michelli dos Santos Silva to have flexible working hours. This work is also a collaborative research project with members of Rede Mineira de Química (RQ-MG) supported by FAPEMIG (Project: REDE-113/10; Project: CEX - RED-0010-14).

 

REFERENCES

1. International Conference on Harmonization of Technical Requirements for Registration of Pharmaceuticals for Human Use. ICH. http://www.ich.org/home.htlm. Accessed November 2017.

2. Gomes, A. P. B.; Correia, L. P.; Simoes, M. O. S.; Macedo, R. O.; J. Therm. Anal. Calorim. 2008, 91, 317.

3. Lappalainen, M.; Karppinen, M.; J. Therm. Anal. Calorim. 2010, 102, 171.

4. Tanase, C.; Odochian, L.; Apostolescu, N.; Pui, A.; J. Therm. Anal. Calorim. 2011, 103, 1079.

5. Wesolowski, M.; Szynkaruk, P.; Makurat, E.; J. Therm. Anal. Calorim. 2012, 109, 807.

6. Vergote, G. J.; Vervaet, C.; Remon, J. P.; Haemers, T.; Verpoort, F.; Eur. J. Pharm. Sci. 2002, 16, 63.

7. Roggo, Y.; Degardin, K.; Margot, P.; Talanta 2010, 81, 988.

8. Siddiqui, M. R.; AlOthman, Z. A.; Rahman, N.; Arab. J. Chem. 2017, 10, S1409.

9. Florence, A. T.; Attwood, D. In Princípios Físico-químicos em Farmácia, Florence, A. T.; Attwood, D., eds.; Edusp: Sao Paulo, 2003, cap. 1.

10. Brandao, F. C.; Berti, L. F.; Silva, M. A. S.; Sulzer, H. K.; Lat. Am. J. Pharm. 2008, 27, 560.

11. Pontes, F. L. D.; Pontarolo, R.; Campos, F. R.; Gasparetto, J. C.; Cardoso, M. A.; Piantavini, M. S.; Trindade, A. C. L. B.; Asian J. Pharm. Clin. Res. 2013, 6, 191.

12. Guido, R. V. C.; Andricopulo, A. D.; Oliva, G.; Rev. Est. Avançados 2010, 24, 81.

13. European Pharmacopoeia, 8th ed., 2014, European Union, 2013.

14. Olsen, J.; Bjorklund, E.; Krogh, K. A.; Hansen, M.; Anal. Chim. Acta. 2012, 755, 69.

15. The United States Pharmacopoeia, National Formulary 33, United States Pharmacopoeia Convention Inc., 38th ed., 2015.

16. Budavaried S.; The Merck Index, An Encyclopedia of Chemicals, Drugs and Biologicals, Merck & Co. Inc., 14th ed., 2006.

17. Aguiar, F. A.; de Gaitani, C. M.; Borges, K. B.; Electrophoresis 2011, 32, 2673.

18. Freire, E. F.; Borges, K. B.; Tanimoto, H.; Nogueira, R. T.; Bertolini, L. C. T.; Gaitani, C. M.; J. AOAC Int. 2009, 92, 757.

19. Galvao, A. F.; Ajimura, T. O.; Guimaraes, R. B. M.; Aguiar, F. A.; Borges, K. B.; de Gaitani, C. M.; Anal. Methods 2012, 4, 2953.

20. Borges, K. B.; Sanchez, A. J. M.; Pupo, M. T.; Bonato, P. S.; Collado, I. G.; J. AOAC Int. 2010, 93, 1811.

21. Negrin, Z. R.; Valdés, Y. E.; Pouron, T. B.; López, E. J.; Borges, K. B.; Cent. Eur. J. Chem. 2013, 11, 594.

22. Leist, M.; Hasiwa, N.; Daneshian, H.; Hartung, T.; RSC Adv. 2012, 1, 8.

23. Shah, V. P.; Midha, K. K.; Findlay, J. W. A.; Hill, H. M.; Hulse, J. D.; McGilveray, I. J.; Mckay, G.; Miller, K. J.; Patnaik, R. N.; Powell, M. L.; Tonelli, A.; Viswanathan, C. T.; Yacobi, A.; Pharm. Res. 2000, 17, 1551.

24. Shou, M.; Galinada, W. A.; Wei, Y. C.; Tang, Q.; Markovich, R. J.; Rustum, A. M.; J. Pharm. Biomed. Anal. 2009, 50, 356.

25. Gomes, F. P.; Garcia, P. L.; Talanta 2012, 101, 495.

26. Silva, K. E. R.; Alves, L. D. S.; Soares, M. F. R.; Passos, R. C. S.; Faria, A. R.; Rolim Neto, P. J.; Rev. Ciênc. Farm. Basica Apl. 2009, 30, 129.

27. Abdelwahab, N. S.; Abdeirahman, M. M.; RSC Adv. 2015, 5, 10927.

28. Singh, S.; Bakshi, M.; Pharm. Tech. Online 2000, 24, 1.

29. FDA, Center for Drug Evaluation and Research, U.S. Food and Drug Administration, Guidance for Industry, Analytical Procedures and Methods Validation for Drugs and Biologics, FDA, Rockville, 2000.

30. Hehre, W. J.; Ditchfield, R.; Pople, J. A.; J. Chem. Phys. 1972, 56, 2257.

31. Lee, C.; Yang, W.; Parr, R. G. Phys. Rev. B. 1988, 37, 785.

32. Frisch, M. J.; Trucks, G. W.; Schegel, H. B.; Scuseria, G. E.; Robb, M. A.; Cheeseman, J. R.; Scalmani, G.; Barone, V.; Mennucci, B.; Petersson, G. A.; Nakatsuji, H.; Caricato, M.; Li, X.; Hratchian, H. P.; Izmaylov, A. F.; Bloino, J.; Zheng, G.; Sonnenberg, J. L.; Hada, M.; Ehara, M.; Toyota, K.; Fukuda, R.; Hasegawa, J.; Ishida, M.; Nakajima, T.; Honda, Y.; Kitao, O.; Nakai, H.; Vreven, T.; Montgomery Jr, J. A.; Peralta, J. E.; Ogliaro, F.; Bearpark, M.; Heyd, J. J.; Brothers, E.; Kudin, K. N.; Staroverov, V.N.; Kobayashi, R.; Normand, J.; Raghavachari, K.; Rendell, A.; Burant, J. C.; Iyengar, S. S.; Tomasi, J.; Cossi, M.; Rega, N.; Millam, J. M.; Klene, M.; Knox, J. E.; Cross, J. B.; Bakken, V.; Adamo, C.; Jaramillom, J.; Gomperts, R.; Stratmann, R. E.; Yazyev, O.; Austin, A. J.; Cammi, R.; Pomelli, C.; Ochterski, J. W.; Martin, R. L.; Morokuma, K.; Zakrzewski, V. G.; Voth, G. A.; Salvador, P.; Dannenberg, J. J.; Dapprich, S.; Daniels, A. D.; Farkas, O.; Foresman, J. B.; Ortiz, J. V.; Cioslowski, J.; Fox, D. J.; Gaussian 2009, revision A.02, Gaussian, Inc., Wallingford, 2009.

33. ANVISA, Brazilian Health Surveillance Agency - Brazil, RE nº 899, May 29th, 2003: Guia para validaçao de métodos analíticos e bioanalíticos, Brasília, 2003.

34. ICH Stability Testing: Photostability Testing New Drug Substances and Products, International Conference on Harmonization, IFPMA, Geneva, 1996.

35. ICH Stability Testing: New Drug Substances and Products Q1A (R2), International Conference on Harmonization, IFPMA, Geneva, 2003.

36. Havlikova, L.; Brabcova, I.; Stainsky, D.; Matysova, J.; Luskacova, A.; Osicka, Z.; Solich, P.; Anal. Methods. 2012, 4, 1592.

37. Brazilian Pharmacopoeia, 5th ed., Anvisa: Brasília, 2010.

38. Stuart, B.; Infrared spectroscopy: fundamentals and applications, John Wiley & Sons Inc: West Sussex, 2004.

39. ICH International Conference on Harmonisation of Technical Requirements of Registration of Pharmaceuticals for Human Use, Guideline on Validation of Analytical Procedure - Methodology, 1996.

40. ICH Harmonised Tripartite Guideline, Q2 (R1), Validation of Analytical Procedures - Text and Methodology, 2005.

41. Santos, W. T. P.; Azevedo, E. F.; Ricchter, E. M.; Albuquerque, Y. D. T.; Quim. Nova 2009, 32, 2412.

42. Brancaccio, A.; Maresca, P.; Albrizio, S.; Fattore, M.; Cozzolino, M.; Seccia, S.; RSC Adv. 2013, 5, 2584.

43. Dejaegher, B.; Heyden, Y. V.; J. Chromatogr. A 2007, 1158, 138.

On-line version ISSN 1678-7064 Printed version ISSN 0100-4042
Qu�mica Nova
Publica��es da Sociedade Brasileira de Qu�mica
Caixa Postal: 26037 05513-970 S�o Paulo - SP
Tel/Fax: +55.11.3032.2299/+55.11.3814.3602
Free access

GN1