JBCS



12:02, sáb out 25

Acesso Aberto/TP



Artigo

Phenolic derivatives and antioxidant activity of polar extracts from Bauhinia pulchella

Adonias Almeida CarvalhoI,II; Lucivania Rodrigues dos SantosII; Ruth Raquel Soares de FariasII; Mariana Helena ChavesII,*; Chistiane Mendes FeitosaII; Gerardo Magela Vieira JúniorII; Mônica Regina Silva de AraújoII,V; Paulo Michel Pinheiro FerreiraIII; Claudia do O PessoaIV

I. Diretoria de Ensino, Instituto Federal do Piauí, 64260-000 Piripiri - PI, Brasil
II. Departamento de Química, Universidade Federal do Piauí, 64049-550 Teresina - PI, Brasil
III. Departamento de Biofísica e Fisiologia, Universidade Federal do Piauí, 64049-550 Teresina - PI, Brasil
IV. Departamento de Fisiologia e Farmacologia, Universidade Federal do Ceará, 60431-970 Fortaleza - CE, Brasil
V. Instituto de Ciências Exatas da Natureza, Universidade da Integração Internacional da Lusofonia Afro-Brasileira, 62785-000 Acarape - CE, Brasil

Recebido em 22/09/2017
Aceito em 06/12/2017
Publicado na web em 18/01/2018

Endereço para correspondência

*e-mail: mariana@ufpi.edu.br

RESUMO

A tea made with the leaves or stem bark of Bauhinia pulchella Benth (Fabaceae) is used in the treatment of diabetes. Ethanol (EEF) and aqueous (EAF) extracts were obtained from the leaves and the antioxidant and citotoxic activities were tested, as well as quantify the content of flavonoids and phenolic compounds (TPC). EEF and EAF showed similar profiles by HPLC, with the presence of three compounds. Column chromatography reverse phase (C18) and Sephadex LH-20, followed by semi preparative HPLC-C18 of EAF resulted in three flavonoids. Their structures were identified by 1H and 13C NMR as myricitrin (1), quercitrin (2) and afzelin (3). In assay of determination of reactive substances to thiobarbituric acid (TBARS), with DPPH, ABTS and nitric oxide (NO) free radicals, EAF showed antioxidant potential higher than the EEF. This is the first report of the occurrence of the flavonoids 1-3, in the species B. pulchella. EEF and EAF were inactive in the cytotoxicity assays. In short, the polar extracts from the leaves of B. pulchella proved to be promising sources of biomolecules phenolic, with antioxidant potential, which may, in the future, be used as chemical markers for species and validation of therapeutic use.

Palavras-chave: antiradical activity; antioxidants; flavonoids; total phenolic.

INTRODUCTION

Certain degenerative diseases such as cancer, atherosclerosis, cerebral dysfunction, as well as many biological complications, including chronic inflammation, respiratory problems, neurodegenerative diseases, diabetes mellitus and autoimmune diseases of the endocrine glands are associated with free radicals.1-3 In order to control the concentration of these reactive species, the body activates efficient intracellular antioxidant systems, and in conjunction with a diet rich in phytochemical compounds, with antiradical properties, reduces the rate of free radicals, reducing oxidative stress.1,2,4

Phenolic compounds, especially flavonoids (flavones, flavonols, flavanones, flavonols, isoflavones and anthocyanidins ),5 are powerful antioxidants due the ideal structure to free radical scavenging, being more effective than vitamins C and E.6 In general, the greater the number of hydroxyls, the more pronounced is the protons and electrons donating activity.6,7 Flavonoids are also potential antidiabetic agents because they exert multiple actions that are both hypoglycemic (insulinomimetic action) and antihyperglycemic (insulin secretagogue).8

Bauhinia genus belongs to the Fabaceae family (Leguminosae) and Caesalpinioideae subfamily. Plants of this genus have been widely studied due their potential hypoglycemic action.9 Pharmacological actions such as anti-inflammatory, anti-diabetic, antioxidant, antitumor, antiulcer and cytotoxic have been reported in plants of this genus.10,11

The chemical composition of plants of the genus Bauhinia include lactones, flavonoids, terpenoids, steroids, triterpenes, tannins and quinones.9,12 Among the most studied species are B. forficata, B. variegata, B. manca, B. candicans, B. uruguayensis, B. purpurea e B. splendens.9,10,13

Bauhinia pulchella Benth (syn B. goyazensis) is popularly known as "miroró", "mororó-de-boi", "mororó-da-chapada", "embira-de-bode" and "pata-de-vaca".14,15 It occurs in the Brazilian states of Piauí, Bahia, Ceará, Maranhao, Rio Grande do Norte, Tocantins, Rondônia, Goiás, Mato Grosso and Mato Grosso do Sul.14 A tea, made with the leaves and stem bark of this species, is used in the treatment of diabetes.16

Considering the lack of phytochemical and/or pharmacological studies for the species B. pulchella and its traditional use in the treatment of diabetes, as well as the relationship between the onset of diabetes and the excess of free radicals, this study aimed to evaluate the antioxidant and cytotoxic activities of ethanolic and aqueous extracts of the leaves of this species, besides to obtain the chromatographic profiles, isolate and identify the flavonoids present in these extracts.

 

MATERIALS AND METHODS

Solvents and equipment

Solvents with analytical standards (AS) were used. The Folin-Ciocalteu reagent, pyridine and 2,2'-azino-bis (3-ethylbenzothiazoline)-6-sulfonic acid (ABTS) are from Merck, radical 2,2-diphenyl-1-picrylhidrazila (DPPH), butylated hydroxytoluene (BHT) and trolox are from Sigma-Aldrich, aluminum chloride (Fluka Analytical), glacial acetic acid (Vetec), sodium carbonate (Synth), rutin is from PVP corporation, methanol and acetic acid HPLC grade (J. T. Backer) and water (18 Ω) of the milli-Q Plus system. The absorption measurements were made using UV-Vis Lambda 25 PerkinElmer spectrophotometer. High Performance Liquid Chromatography (HPLC-UV) analytical and semi preparative scale were performed to obtain the profiles of the extracts and isolation of the major constituents. These analyzes were performed on HPLC, Shimadzu® Prominence system equipped with binary LC-6AD pumps, manual injector, detector UV SPD-20A column C18 Shim-pack CLC-ODS(M) of 250 x 4.6 mm and 250 x 20 mm and particle of 5 µm and 15 µm, respectively. 1H NMR (400 MHz) and 13C NMR (100 MHz), gHSQC and gHMBC spectra were obtained on Varian spectrometer - model 400, using CD3OD as solvent (δ in ppm, J in Hz) and TMS as internal reference.

Plant material

The leaves of the species Bauhinia pulchella Benth were collected in January 2014, in the Jatoba municipality, Piauí state, Brazil. The geographic coordinates are S 04° 51' 48.6" and W 42° 04' 17", altitude: 90 m. A voucher specimen has been identified by botanist Luciano Paganucci de Queiroz (State University of Feira de Santana) and deposited in the Graziela Barroso Herbarium of Federal University of Piauí-UFPI, Teresina, Piauí, Brazil, with the number TEPB 17161.

Preparation of extracts

The dried leaves (891 g) of B. puchella were powdered and then extracted by maceration with ethanol (3 x 1.5 L) and water (3 x 1.5 L), successively. The solvents were removed on a rotary evaporator under reduced pressure followed by lyophilization, giving 23.9 (2.7%) and 22.9 g (2.6%) of ethanol (EEF) and aqueous extracts (EAF), respectively. The extracts were kept refrigerated (at -5 °C) in an amber bottle, until the time of use.

High-performance liquid chromatography

The samples analyzed by HPLC-UV were subjected to a cleanup according to the following procedure: 10 mg of extract was dissolved in 1.0 mL of MeOH-H2O mixture (1:1), applied to solid phase extraction cartridge (1.0 x 3.5 cm - Bakerbondspe 7020-03, C18, 25-40 µm JT Baker), set with the same solvent and eluted with 1.0 mL of methanol. A 5 µL aliquot of the eluate was analyzed by high-performance liquid chromatography (HPLC) using reverse phase column, C18 analytical mode, flow of 1.0 mL min-1, monitored at 330 nm. The mobile phase used was a gradient of MeOH-H2O with 0.2% AcOH (0 min, 40% MeOH-60% H2O/AcOH → 20 min, 100% MeOH-0% H2O/AcOH, for more than 5 min).

Isolation of compounds

Six aliquots of the aqueous extract (500 mg) were subjected to fractionation on reverse phase column (C18, 10 g, StrataTM) initially equilibrating the column with water and eluting with water (100 mL), MeOH-H2O (1:1, 100 mL), MeOH (100 mL) and CHCl3 (150 mL), giving the fractions R1-R4, respectively. R2 fraction (760 mg) was subjected to fractionation column of Sephadex LH-20, eluted in methanol giving 30 fractions (5 mL), which were combined into 6 groups (A1 to A6). A4 group (16-19, 245.2 mg) was fractionated by HPLC-UV at C-18 semi preparative column (330 nm, 12 mL min-1; 50 min), eluting in MeOH/ACN (1:1)-H2O/HOAc (0.2%) 30:70 to give compounds 1 (50 mg), 2 (25 mg) and 3 (6.5 mg).

Myricetin-3-O-α-L-rhamnoside (1): UV (MeOH) λmax 253 and 352 nm, 1H NMR (400 MHz, CD3OD): δ 6.19 (br s, H-6), 6.35 (br s, H-8), 6.95 (s, H-2'/H-6'), 5.31 (br s, H-1''), 3.79 (m, H-2''), 3.59 (s, H-3''), 3.34 (m, H-4''), 4.23 (s, H-5''), 0.96 (d, J 6.0, Me-C-6"). 13C NMR (100 MHz, CD3OD): δ 158.4 (C-2), 136.2 (C-3), 179.6 (C-4), 163.1 (C-5), 99.8 (C-6), 165.7 (C-7), 94.7 (C-8), 159.4 (C-9), 105.8 (C-10), 121.9 (C-1'), 109.6 (C-2'/C-6'), 146.7 (C-3'/C-5'), 137.8 (C-4'), 103.5 (C-1''), 72.0 (C-2''), 72.1 (C-3''), 73.3 (C-4''), 71.8 (C-5''), 17.6 (C-6'').

Quercetin-3-O-α-L-rhamnoside (2): UV (MeOH) λmax 254 and 349 nm, 1H NMR (400 MHz, CD3OD): δ 6.20 (br s, H-6), 6.37 (br s, H-8), 7.34 (br s, H-2'), 7.31 (d, J 8.0 Hz, H-6'), 6.91 (d, J 8.0 Hz, H-5'), 5.35 (br s, H-1''), 3.75 (dd, J Hz, H-2''), 3.35 (m, H-3''), 3.31 (m, H-4''), 4,22 (s, H-5''), 0.94 (d, J 6.0, Me-C-6"). 13C NMR (100 MHz, CD3OD): δ 158.5 (C-2), 136.2 (C-3), 179.6 (C-4), 163.2 (C-5), 99.8 (C-6), 165.8 (C-7), 94.7 (C-8), 159.3 (C-9), 105.9 (C-10), 122.9 (C-1'), 116.4 (C-2'), 146.4 (C-3'), 149.8 (C-4'), 116.9 (C-5'), 123.0 (C-6'), 103.5 (C-1''), 72.0 (C-2''), 72.1 (C-3''), 73.2 (C-4''), 71.9 (C-5''), 17.7 (C-6'').

Kaempferol 3-O-α-L-rhamnoside (3): UV (MeOH) λmax 263 and 347 nm, 1H NMR (400 MHz, CD3OD): δ 6.23 (br s, H-6), 6.40 (br s, H-8), 7.79 (d, J 8.8 Hz, H-2'/H-6'), 6.96 (d, J 8.4 Hz, H-3'/H-5'), 5.39 (br s, H-1''), 3.36 (s, H-2''), 3.32 (m, H-3''), 3.38 (s, H-4''), 4.23 (s, H-5''), 0.94 (d, J 5.6, Me-C-6"). 13C NMR (100 MHz, CD3OD): δ 159.3 (C-2), 136.2 (C-3), 179.6 (C-4), 163.2 (C-5), 99.9 (C-6), 165.9 (C-7), 94.8 (C-8), 158.5 (C-9), 105.9 (C-10), 122.6 (C-1'), 131.9 (C-2'/C-6'), 116.5 (C-3'/C-5'), 161.6 (C-4'), 131.9 (C-6'), 103.5 (C-1''), 72.1 (C-2''), 73.2 (C-3''), 73.5 (C-4''), 71.9 (C-5''), 17.6 (C-6'').

DPPH Assay

The antioxidant activity was determined according to Sousa et al. 2007.17 A stock solution of DPPH (2,2-diphenyl-1-picrilidrazila) was prepared at a concentration of 40 µg mL-1, kept under refrigeration and protected from light. The solutions of the extracts were prepared at concentrations of 250, 200, 150, 100, 50 and 25 µg mL-1. The flavonoid rutin and synthetic compound butylated hydroxytoluene (BHT) were used as positive control.

The antioxidant activity was determined by monitoring absorbance of the reaction mixtures (0.3 mL of the sample solution and 2.7 mL of the stock solution of DPPH at the concentration of 40 µg mL-1) at 516 nm in triplicate. The absorbance was carried out in the 30 minutes.

A mixture of methanol (2.7 mL) and methanolic extract solution at the concentrations tested (0.3 mL) was used as a blank. From the equation of the calibration curve DPPH (35, 30, 25, 20, 15, 10, 5 and 1 mg L-1) and the absorbance values at the time of 30 minutes for each sample tested the percentage of antioxidant activity (%AA), was determined by using the equation 1.17

At where: AbsDPPH is initial absorbance of the methanol solution of DPPH, Abssample is absorbance of the reaction mixture of DPPH and sample and Absblank is absorbance of the blank formed by methanol and sample.

Assay with ABTS

The ABTS•+ radical cation, of blue-green coloration, was obtained by the reaction which lasted for 12-16 hours, in the absence of light and at room temperature, from the mixture of the aqueous solution of potassium persulfate (2.45 mmol L-1) with the aqueous solution of 2,2'-azino-bis (3-etilbenzotiazolin)-6-sulfonic acid (ABTS) at a concentration of 7 mmol L-1. After the elapsed time, the ABTS•+solution (stable for two days) was diluted with distilled water until 0.70 ± 0.05 absorbance at 734 nm.18-20 An aliquot of 30 µL of the sample was transferred to a test tube containing 3 mL of ABTS•+. In the sixth minute of stirring of the reactional solution in vortex, the absorbance reading was carried out, which should be in the range 20 - 80% of the initial absorbance of the ABTS•+ (0.7 ± 0.05) radical cation, having 0.7 absorbance as 100%.19 The procedure was repeated using 30 µL of positive controls (rutin and BHT). At least four different concentrations were tested, in triplicate, for the same sample by means of linear regression, an equation of the sample (EA) of order 1 (y = -ax + b), which describes the decrease in absorbance of the cation radical solution to each sample analyzed, where y is the absorbance, a the slope of the line, x concentration in mg L-1 of the sample analyzed and b the value at which the line crosses the ordinate axis.

Results of the antioxidant activity of samples are disclosed by trolox equivalent in mmol per gram of sample analyzed (AAET g-1). Using the same procedure for the samples, an equation constructed; for the trolox standard was obtained (0.1; 0.5; 1.0; 1.5 and 2.0 mmol L-1) when reacting with the ABTS•+ and monitoring the decrease in absorbance at 734 nm in 6 minutes of reaction. The equation of trolox (ET) is A = 0.6816 - 0.2849C with a correlation coefficient (R = 0.9991), where A is the absorbance and C the concentration of trolox mmol L-1.

The general equation that describes the antioxidant activity by ABTS method is AAABTS = 103a/(b - 0.3967) and was obtained by interpolation of EA and ET equations, where "AAABTS" is the equivalent antioxidant activity in mmol of trolox per gram of sample; 0.3967 is the remaining absorbance (A) of ABTS obtained from the equation of trolox when the concentration of this standard is 1 mmol L-1; a is the absolute value of the slope coefficient and b is the value by which the line crosses the y-axis.

Determination of the level of lipid peroxidation

Substances reactive to thiobarbituric acid (TBARS) were used to quantify the level of lipid peroxidation using egg yolk as a substrate rich in lipids. This substrate was homogenized (1% w/v) in 20 mmol L-1 phosphate buffer (pH 7.4). A 1000 µL aliquot of the homogenate was sonicated with 100 µL solution of the extracts in different concentrations (0.9, 1.8, 3.6, 5.4 and 7.2 mg L-1). The lipid peroxidation was induced by adding 100 µL solution of 2,2'-azobis-2-methylpropanimidamide dihydrochloride (AAPH, 0.12 mol L-1). The reactions were performed at 37 °C for 30 minutes. After cooling, aliquots of 500 µL were centrifuged with 500 µL of trichloroacetic acid (15%) at 1200 rpm for 10 min. Then 500 µL of the supernatant was mixed with 500 µL of thiobarbituric acid (TBA, 0.67%) and heated at 95 °C for 30 min. After cooled, the absorbances of samples in different concentrations were obtained in a spectrophotometer at 532 nm. The results were expressed as percentage of TBARS formed only by AAPH alone (induced control). Trolox was used as positive control and the negative control was prepared with only 0.05% Tween 80 dissolved in 0.9% saline. The reduction percentage in the formation of malonaldehyde (%AA)21 was calculated from the formula: % AA = AAPH - C, where the AAPH equals the percentage of maximum output (100%) of malonaldehyde and C is the percentage of production of malonaldehyde in the presence of the extract at concentrations of 0.9, 1.8, 3.6, 5.4 and 7.2 mg L-1.

Determination of the level of inhibition of the hydroxyl radical production

The reactions were initiated by adding 20 µL of a FeSO4 solution (6 mmol L-1) and 480 µL of the reaction medium, consisting of 2-deoxyribose (5 mmol L-1), H2O2 (30%, 100 mmol L-1) and phosphate buffer (20 mmol L-1, pH 7.2) to give a final volume of 500 µL. The extract stock solution was prepared at concentration of 200 µg mL-1 dissolved in vehicle (0.05% Tween 80 in saline solution 0.9%). The concentrations of 0.9, 1.8, 3.6, 5.4 and 7.2 mg L-1 were obtained by adding aliquots of 10, 20, 40, 60, and 80 µL of stock solution, respectively, to the reaction medium before the addition of the FeSO4 solution, allowing the evaluation of the antioxidant activity of the extracts, from the formation of the hydroxyl radical (•OH). The reaction medium, after addition of the FeSO4 solution, without the sample, corresponds to the maximum production of •OH radical (100%). The reactions were performed at room temperature for 15 min, and stopped by the addition of 500 µL of phosphoric acid at 4% (v/v), followed by the addition of 500 µL of thiobarbituric acid (TBA) (1% v/v in 50 mmol L-1 NaOH). Then, the solutions were heated in a water bath at 95 °C for 15 min, followed by cooling to room temperature. The absorbance was measured spectrophotometrically at 532 nm and the results were expressed as equivalents of malonaldehyde (MDA) formed by Fe2+ and H2O2. Trolox was used as positive control and the negative control was prepared with only 0.05% Tween 80 dissolved in 0.9% saline. The reduction percentages in the production of malonaldehyde (%AA)21,22 were calculated from the formula %AA = System - C, where the system corresponds to a mixture of FeSO4, 2-deoxyribose, H2O2 and phosphate buffer equivalent to the percentage of maximum production (100%) of malonaldehyde, and C corresponds to production percentage malonaldehyde in the presence of extracts at concentrations 0.9, 1.8, 3.6, 5.4 and 7.2 mg L-1.

Determination of the potential of the radical scavenging nitric oxide

Nitric oxide radical was produced as a product of the spontaneous decomposition of 3 g of sodium nitroprusside (SNP) in 1 L of 20 mmol L-1 phosphate buffer (pH 7.4). The interaction of this radical with oxygen produces nitrite radical (NO2•). The extract stock solution was prepared at a concentration of 200 µg mL-1 in 0.05% Tween 80 dissolved in 0.9% saline. The concentrations of 0.9, 1.8, 3.6, 5.4 and 7.2 mg L-1 were obtained by adding aliquots of 10, 20, 40, 60, and 80 µL of stock solution, respectively, to the reaction medium (1000 µL of SNP solution). The solutions were incubated at 37 °C for 1 h. An aliquot of 500 µL was taken and homogenized with 500 µL of Griess reagent.23 The negative control (vehicle) consisted of 0.05% Tween 80 dissolved in 0.9% saline solution, in the absence of a source of NO• (no SNP). The SNP group corresponds to the maximum output of nitrite radicals, formed by the spontaneous decomposition of SNP which was considered as 100%. Absorbance of the chromophore was measured at 540 nm in a spectrophotometer. The percentage of nitric oxide removal generated was measured by comparing absorbance values of the control, SNP and vehiche. The results were expressed as percentage of nitrite formed by SNP alone and in the presence of the sample and SNP. Trolox was used as a positive control. The reduction percentage in nitrite production (%AA) 21 was calculated from the formula %AA = SNP - C, where SNP corresponds of sodium nitroprusside, which equals the percentage of maximum output (100%) of nitrite radical, and C corresponds to the production of nitrite in the presence of the extract at concentrations of 0.9, 1.8, 3.6, 5.4 and 7.2 mg L-1.

Determination of total phenols content

The total phenols content (TPC) in the extracts was determined by the method using the Folin-Ciocalteu reagent.17,24 The total phenols content was expressed in mg of gallic acid equivalents (GAE) per gram of sample (mg GAE g-1), obtained by interpolation on a calibration curve expressed by A = 0.1185C - 0.0453, with correlation coefficient of 0.999 where C is the concentration of gallic acid and A is the absorbance resulting from the change of state of oxidation of molybdenum and tungsten, present in the Folin-Ciocalteu reagent. All analyzes were performed in triplicate.

Determination of total flavonoid content

The total flavonoid content (TFC) in the extracts was determined by Molecular Absorption Spectrophotometry using methanol solution of aluminum chloride (AlCl3).24,25

A stock solution at a concentration of 1000 mg L-1 was prepared in a volumetric flask (10 mL) by dissolving 10 mg in MeOH. An aliquot of 300 µL of this solution was transferred to 10 mL flasks and added 240 µL of acetic acid, 4 mL of 20% pyridine methanol solution and 1 mL of the reagent dissolved aluminum chloride in methanol (50 µg mL-1). The solution volume was adjusted to 10 mL with distilled water. The blank was prepared in parallel using 300 µL of methanol instead of the sample. After 30 minutes of reaction, the absorbance of the samples were measured at 420 nm. The TFC content was determined by interpolation on calibration curve constructed with standard rutin dissolved in MeOH-H2O (7:3) at concentrations that ranged from 3 to 21 µg mL-1. The analytical curve was expressed by A = 0.02618C - 0.00717, with a linear correlation coefficient of 0.999 where A is the absorbance of the sample and C the concentration of rutin. The TFC contents were expressed in milligrams of rutin equivalent per gram of extract (mg RE g-1 extract). All analyzes were performed in triplicate.

Cytotoxicity assay

The extracts (10 mg mL-1) were evaluated for cytotoxicity by MTT method against three strains of human tumor cells: OVCAR (ovarian), SF-295 (glioblastoma) and HCT-116 (colon). All strains were grown in RPMI 1640 supplemented with 10% fetal bovine serum and 1% antibiotic which were incubated at 37 °C and atmosphere containing 5% CO2.26 Cells were plated in 96-well plates at concentrations of 1 x 105 cel mL-1. Then, the sample (50 µg L-1) was added to the plate and then incubated for 69 hours in an incubator at 5% CO2 at 37 °C. The fractions were centrifuged and the supernatant removed. Then 200 µL solution of MTT (tetrazolium salt) was added and the plates were incubated for 3 hours. The absorbance was measured at 595 nm in a spectrophotometer, after dissolution of the precipitate with 150 µL of DMSO. The positive control used was doxorubicin in the concentration of 0.3 mg L-1.

Statistical analysis

The results were obtained from the average of three replicates (n = 3) ± standard deviation (SD). Results of antioxidant activity that showed the probability of the null hypothesis lower than 5% (p<0.05) were considered statistically different, applying ANOVA followed by Tukey's multiple comparison test. All analyzes were performed using the MicroCal Origin 8.0 software.

 

RESULTS AND DISCUSSION

Chromatographic profile of the extracts and chemical constituents

The chromatograms of ethanol and aqueous extracts of B. pulchella leaves obtained by HPLC revealed similar profiles (Figure 1). In the extracts the presence of at least three compounds are observed with retention times equal to 10.8, 12.7 and 14.5 min, wherein the compounds with retention times 10.8 and 12.7 min are the majority at a wavelength of 330 nm. The UV-Vis spectra of the extracts (Figure 1S) also showed similar profiles with absorption maxima at 256/354 nm (EEF) and 252/352 nm (EAF), indicative of the presence of flavonols.27

 


Figure 1. Chromatographic profile of the ethanol extract (A) and the aqueous extract (B) from B. pulchella. Mobile phase: MeOH-H2O/AcOH (0.2%), gradient, flow 1 mL min-1, λ = 330 nm, column C18, 1 (myricitrin), 2 (quercitrin) and 3 (afzelin)

 

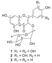
Fractionation of aqueous extract resulted in the isolation of flavonol glycosides: myricetin-3-O-α-L-rhamnoside (myricitrin, 1), quercetin-3-O-α-L-rhamnoside (quercitrin, 2) andkaempferol-3-O-α-L-rhamnoside (afzelin, 3) (Figure 2). The structures of these compounds were identified by analysis of 1D and 2D NMR spectra (Figure 3S-14S).

 


Figure 2. Structure of isolated flavonoids from B. pulchella

 

Myricetin-3-O-α-L-rhamnoside (1), which is also known as myricitrin, was anteriorly isolated and identified in the species B. microstachya and B. megalandra.28-30 Myricitrin has radical scavenging activity towards DPPH and ABTS,31 aldose reductase inhibitory action,32 antimalarial33 and lethal effect towards brine shrimp Artemia salina.34

Quercetin-3-O-α-L-rhamnoside (quercitrin, 2), was previously isolated and identified in the species B. megalandra,29 B. malabarica,35 B. microstachya,30 B. reticulata36 and B. ungulata.37 Quercitrin has a beneficial impact on oxidative stress, alkaline phosphatase upregulation and nitric oxide synthesis.38 It also has other activities such as antidiarrhoeal, lethal effect towards brine shrimp Artemia salina, angiotensin converting enzyme (ACE) inhibitory activity synergistic, aldose reductase inhibitory, antimalarial, antioxidant (DPPH and ABTS), analgesic, anti-inflammatory in experimental colitis model and inhibitory the function of P-glycoprotein and MRP1.30-34,39 In addition, quercitrin decrease the ethanol/HCl-induced gastric ulcer, prevents the depletion of gastric glutathione (GSH) contente, reduce the myeloperoxidase (MPO) activity and also inhibits the H+, K+, -ATPase activity.40

The kaempferol-3-O-α-L-rhamnoside (afzelin, 3), was isolated and identified inthe species B. microstachya and B. megalandra.28-30 Afzelin has several cellular activities such as DNA-protective, antimalarial, antioxidant, anti-inflammatory as well as UV-absorbing activity and may protect human skin from UVB-induced damage by a combination of UV-absorbing and cellular activities.33,41 Afzelin increases the protein levels of microphthalmia associated transcription factor (MITF), tyrosinase related protein (TRP-1) and tyrosinase.42 In addition, afzelin inhibits the proliferation of LNCaP and PC-3 cells, and blocked the cell cycle in the G(0) phase.43 Afzelin also, attenuates asthma phenotypes by downregulation of GATA3 in a murine model of asthma,44 inhibits tyrosinase and suppresses the melanogenesis.45 It also has inhibitory action of the aldose reductase, quinone reductase 2 (QR2) and angiotensin converting enzyme (ACE).32,46

Antioxidant activity

Diabetes is increasingly common worldwide, an estimated 422 million adults were living with diabetes in 2014, compared to 108 million in 1980.47 People living with diabetes can experience a number of complications, including kidney failure and cardiovascular disease. Considering the traditional use of B. pulchella in the treatment of diabetes, as well as the relationship between the onset of diabetes and excess free radicals, this study aimed to evaluate the antioxidant activity of this specie.

Tests with ABTS and DPPH

In trials with DPPH and ABTS it was demonstrated that all extracts showed antiradical action. Extracts of B. pulchella are shown to be active in ABTS assay (Table 1 and Figure 15S). Statistical analysis by ANOVA and Tukey test showed significant differences (p <0.05). Comparing the extracts with the positive controls rutin and BHT, it was found that EEF (1.66 ± 0.04 mmol AAET g-1) and EAF (2.51 ± 0.10 mmol AAET g-1) are higher than rutin (1.34 AAET ± 0.04 mmol g-1). The EEF is lower than BHT (2.49 ± 0.12 mmol AAET g-1), and EAF showed no significant difference.

 

 

The investigation of the antioxidant activity against DPPH resulted in the highest percentages of antioxidant activity with 50.13% (EEF) and 60.13% (EAF) in the concentration of 250 µg mL-1, while the AA percentage of the positive controls were 89.88% and 94.14% for BHT and rutin, respectively, and showed to be statistically different (Table 1 and Figure 16S).

Assay for inhibition of TBARS formation

The ethanolic and aqueous extracts of the B. pulchella leaves were evaluated for lipid peroxidation inhibitory capacity (or scavenging peroxyl radical LOO•), which reduces the formation of malonaldehyde, product of the oxidation of unsaturated fatty acid.48 The antiradical action is evidenced by the reduction of the condensation of the malonaldehyde with thiobarbituric acid.49

Table 1 and Figure 17S shows that all extracts evaluated, have peroxyl radical scavenging action (LOO•). EAF (77.9 to 85.6%) in all tested concentrations was higher than the positive control (trolox, 60.9 to 74.8%).

Test for removal of the hydroxyl radical

The ethanol and aqueous extracts of the B. pulchella leaves were evaluated for the ability to scavenge the hydroxyl radical, reducing the degradation of 2-deoxyribose to malonaldehyde. The antiradical action is evidenced by the reduction of the condensation of malonaldehyde with thiobarbituric.22 Table 1 and Figure 18S shows that all extracts evaluated, have scavenging action to hydroxyl radical (•OH). The malonaldehyde reduction percentages were considered high when compared to the positive control trolox (52.2 to 73.7%). EEF (71.9 to 79.1%) and EAF (68.4 to 77.6%) at all concentrations were higher than the positive control.

Assay for removing nitric oxide radical

Ethanol and aqueous extracts of the of B. pulchella leaves were evaluated for the ability to scavenge the radical nitric oxide, which in the presence of oxygen leads to the formation of nitrite radicals.50 The antiradical action is evidenced by a decrease in nitrite production (NO2•).

Table 1, and Figure 19S shows that all the evaluated extracts have nitric oxide radical (NO•) scavenging action. The nitrite reduction percentages (EEF: 65.3 to 75.1% and EAF: 71.5 to 75.1%) were considered high when compared to the positive control trolox (34.1 to 66.2%), in all tested concentrations.

Contents of total phenols and total flavonoids

The total phenolic content (TPC), expressed in mg of gallic acid equivalent per gram of sample and determined for the extracts of the leaves of B. pulchella, are presented in Table 1. The order observed was EAF>EEF. The extracts showed positive correlation between TPC and antioxidant activity (DPPH and ABTS).

The content of total flavonoids (TFC), expressed in milligrams of rutin equivalent per gram of sample and determined for the extracts is shown in Table 1. The order of the TFC was EEF>EAF. All results showed significant differences (p < 0.05) with each other and only EEF showed positive correlation with the AA by the methods of DPPH and ABTS.

Cytotoxic activity

Although some glycosylated flavonoids exhibit cytotoxic activity, such as rutin, genkwanin 4-O-[α-L-rhamnopyranosyl(1→2)-β-D-glucopyranoside], myricetin 3-O-neohesperidoside, myricetin-3-O-galactoside, quercetina, 3-O-α-L-arabinopyranoside and sakuranetin 4-O-[β-D-glucopyranosyl(1→2)-β-D-glucopyranoside],51-53 extracts from the leaves of B. pulchella (EEF and EAF) showed no significant cytotoxicity to the strains of HCT-116 cells, OVCAR and SF-295 compared to doxorubicin positive control. For cell line OVCAR the highest percentage of cytotoxicity was for EEF (20.10%) and for SF-295 the highest percentage was for EAF (19.14%). The extracts showed no cytotoxicity for HCT-116. These results are in agreement with the data obtained for methanolic extracts of leaves and branches of B. purpurea.52

 

CONCLUSIONS

The ethanolic and aqueous extracts of the B. pulchella leaves showed similar profiles in HPLC, with the presence of three flavonoids, myricitrin (1), quercitrin (2) andafzelin (3).

The extracts showed positive correlation between TPC and antioxidant activity (DPPH, ABTS and TBARS). The antioxidant activity of ethanolic and aqueous extracts must be due to the presence of flavonoids 1-3. All extracts were inactive in the cytotoxicity MTT assay against lines OVCAR (ovaria), SF-295 (gliosblastoma) and HCT-116 (colon). In short, the polar extracts from the leaves of B. pulchella haveproved to be promising sources of phenolic biomolecules, with antioxidant potential, which may in the future be used as chemical markers for specie and validation of therapeutic use.

 

SUPPLEMENTARY MATERIAL

1D and 2D NMR spectra of compounds 1-3 are available from http://quimicanova.sbq.org.br, in the form of a PDF file, with free access.

 

ACKNOWLEDMENTS

The authors wish to acknowledge Conselho Nacional do Desenvolvimento Científico e Tecnológico (CNPq) for financial support. They are also grateful to Luciano P. Queiroz for providing the identification of botanical material and to Professors Cecelia Paz and Francisco Samuel C. L. Batista for reviewing the English and grammar.

 

REFERENCES

1. Mesa-Vanegas, A. M.; Zapata-Uribe, S.; Arana, L. M.; Bol. Latinoam. Caribe Plant. Med. Aromat. 2015, 14, 1.

2. Nascimento, J. C.; Lage, L. F. O.; Camargos, C. R. D.; Rev. Bras. Farm. 2011, 92, 327.

3. Sá, P. G. S.; Guimaraes, A. L.; Oliveira, A. P.; Rev. Cienc. Farm. Basica Apl. 2012, 33, 561.

4. Silva, D. C.; Cerchiaro, G.; Honório, K. M.; Quim. Nova 2011, 34, 300.

5. Vinayagam, R.; Baojun, X.; Nutr. Metab. 2015, 12, 1.

6. Barreiros, A. L. B. S.; David, J. P.; David, J. M.; Quim. Nova 2006, 29, 113.

7. Cao, G.; Sofic, E.; Prior, R. L.; Free Radic. Biol. Med. 1997, 22, 749.

8. Cazarolli, L. H.; Zanatta, L.; Alberton, E. H.; Figueiredo, M. S. R. B.; Folador, P.; Damazio, R. G.; Pizzolatti, M. G.; Silva, F. R.; Mini. Rev. Med. Chem. 2008, 8, 1429; Cazarolli, L. H.; Zanatta, L.; Alberton, E. H.; Figueiredo, M. S. R. B.; Folador, P.; Damazio, R. G.; Pizzolatti, M. G.; Silva, F. R.; Mini Rev. Med. Chem. 2008, 8, 1032; Pereira, D. F.; Cazarolli, L. H.; Lavado, C.; Mengatto, V.; Figueiredo, M. S. R. B.; Guede, A.; Pizzolatti, M. G.; Silva, F. R. M. B.; Nutrition 2011, 27, 1161.

9. Silva, K. L.; Cechinel Filho, V.; Quim. Nova 2002, 25, 449.

10. Cechinel Filho, V.; Phytother. Res. 2009, 23, 1347.

11. Zakaria, Z. A.; Hisam, E. E. A.; Rofiee, M. S.; Norhafizah, M.; Somchit, M. N.; Teh, L. K.; Salleh, M. Z.; J. Ethnopharmacol. 2011, 137, 1047.

12. Pizzolatti, M. G.; Cunha Jr., A.; Szpoganicz, B.; Sousa, E.; Bráz-Filho, R.; Schripsema, J.; Quim. Nova 2003, 26, 466.

13. Nogueira, A. C. O.; Sabino, C. V. S.; Revista Fitos 2012, 7, 77.

14. Vaz, M. A. S. F.; Tozzi, A. M. G. A.; Rodriguésia 2003, 54, 55.

15. Queiroz, L. P.; Leguminosas da caatinga. Feira de Santana: Universidade de Feira de Santana, 2009.

16. Aguiar, L. C. G. G.; Barros, R. F. M.; Rev. Bras. Plant. Med. 2012, 14, 419.

17. Sousa, C. M. M.; Silva, H. R.; Vieira-Jr., G. M.; Ayres, M. C. C.; Costa, C. L. S.; Araújo, D. S.; Cavalcante, L. C. D.; Barros, E. D. S.; Araújo, P. B. M.; Brandao, M. S.; Chaves, M. H.; Quim. Nova 2007, 30, 351.

18. Kuskoski, E. M.; Asuero, A. G.; García-Parilla, M. C.; Ciênc. Tecnol. Aliment. 2004, 24, 691.

19. Re, R.; Pellegrini, N.; Proteggente, A.; Free Radic. Biol. Med. 1999, 26, 1231.

20. Rockenbach, I. I.; Silva, G. L.; Rodrigues, E.; Ciênc. Tecnol. Aliment. 2008, 28, 238; Rufino, M. S. M.; Alves, R. E.; Brito, E. S.; Comunicado Técnico 2007, 128, 1.

21. Costa, D. A.; Oliveira, G. A. L.; Sousa, D. P.; Rev. Cienc. Farm. Basica Apl. 2012, 33, 567.

22. Lopes, G. K. B.; Schulman, H. M.; Lima, M. H.; Biochim. Biophys. Acta 1999, 1472, 142.

23. Green, L. C.; Wagner, D. A.; Glogowski, J., Skipper, P. L.; Wishnok, J. S.; Tannenbaum, S. R.; Anal. Biochem. 1982, 126, 131.

24. Ferreira, E. L. F.; Mascarenhas, T. S.; Oliveira, J. P. C.; Chaves, M. H.; Araújo, B. Q.; Cavalheiro, A. J.; J. Med. Plants Res. 2014, 8, 353.

25. Sobrinho, T. J. S. P.; Gomes, T. L. B.; Cardoso, K. C. M.; Quim. Nova 2010, 33, 288.

26. Buriol, L.; Finger, D.; Schmidt, E. M.; Quim. Nova 2009, 32, 296.

27. Mabry, T. J.; Markham, K. R.; Thomas, M. B.; The systematic identification of flavonoids. Springer-Verlag: New York, 1970.

28. Bianco, E. M.; Santos, C. A. M.; Rev. Bras. Farmacogn. 2003, 13, 93.

29. Estrada, O.; Hasegawa, M.; Gonzalez-Mujíca, F.; Motta, N.; Perdomo, E.; Solorzano, A.; Méndez, J.; Méndez, B.; Zea, E. Z.; Phytother. Res. 2005, 19, 859.

30. Meyre-Silva, C.; Yunes, R. A.; Monache, F. D.; Santos, A. R.; Schmeling, L. O.; Gadotti, V. M.; Liz, F.; Cechinel-Filho, V.; Rev. Bras. Farmacogn. 2001, 13, 93.

31. Ceruks, M.; Romoff, P.; Fávero, O. A.; Lago, J. H. G.; Quim. Nova 2007, 30, 597.

32. Mok, S. Y.; Lee, S.; Food Chem. 2013, 136, 969.

33. Liu, Y.; Murakami, N.; Ji, H.; Abreu, P.; Zhang, S.; Pharm. Biol. (Abingdon, U. K.) 2007, 45, 278.

34. Moharram, F. A.; Marzouk, M. A. S.; Ibrahim, M. T.; Mabry, T. J.; Nat. Prod. Res. 2006, 20, 927.

35. Kaewamatawong, R.; Kitajima, M.; Kogure, N.; Takayama, H.; J. Nat. Med. 2008, 62, 364.

36. Rabaté, M. J.; J. Pharm. Chem. 1938, 28, 435.

37. Maia Neto, M.; Andrade Neto, M.; Braz Filho, R.; Lima, M. A. S.; Silveira, E. R.; Biochem. Syst. Ecol. 2008, 36, 227.

38. Medina, F. S.; Vera, B.; Gálvez, J.; Zarzuelo, A.; Life Sci. 2002, 70, 3097.

39. Camuesco, D.; Comalada, M.; Rodriguez-Cabezas, M. E.; Nieto, A.; Lorente, M. D.; Concha, A.; Zarzuelo, A.; Galvez, J.; Br. J. Pharmacol. 2004, 143, 908; Galvez, J.; Sánchez, M. F.; Jiménez, J.; Torres, M. I.; Fernández, M. I.; Núñez, M. C.; Ríos, A.; Gil, A.; Zarzuelo, A.; Planta Med. 1995, 61, 302; Hansen, K.; Adsersen, A.; Smitt, U. W.; Nyman, U.; Christensen, S. B.; Schwartner, C.; Wagner, H.; Phytomedicine 1996, 2, 313.

40. Barros, M.; Silva, L. M.; Boeing, T.; Somensi, L. B.; Cury, B. J.; Burci, L. M.; Santin, J. R.; Andrade, S. F.; Delle, M. F.; Cechinel-Filho, V; Naunyn-Schmiedeberg's Arch. Pharmacol. 2016, 389, 403.

41. Shin, S. W.; Jung, E.; Kim, S.; Kim, J. H.; Kim, E. G.; Lee, J.; Park, D.; PLoS One 2013, 8, e61971.

42. Jung, E.; Kim, J. H.; Kim, M. O.; Jang, S.; Kang, M.; Oh, S. W.; Nho, Y. H.; Kang, S. H.; Kim, M. H.; Park, S.; Lee, J.; Chem.-Biol. Interact. 2016, 254, 167.

43. Zhu, K. C.; Sun, J. M.; Shen, J. G.; Jin, J. Z.; Liu, F.; Xu, X. L.; Chen, L.; Liu, L. T.; Lv, J. J.; Oncol. Lett. 2015, 10, 2359.

44. Zhou, W. B.; Nie, X. H.; Mol. Med. Rep. 2015, 12, 71.

45. Murata, K.; Takahashi, K.; Nakamura, H.; Itoh, K.; Matsuda, H.; Nat. Prod. Commun. 2014, 9, 185.

46. Yang, J. H.; Kondratyuk, T. P.; Marler, L. E.; Qiu, X.; Choi, Y.; Cao, H.; Yu, R.; Sturdy, M.; Pegan, S.; Liu, Y.; Wang, L. Q.; Mesecar, A. D.; Van Breemen, R. B.; Pezzuto, J. M.; Fong, H. H.; Chen, Y. G.; Zhang, H. J.; Phytochemistry 2010, 71, 641.

47. Global report on diabetes, World Health Organization: Geneva, 2016.

48. Serafini, M. R.; Santos, R. C.; Guimaraes, A. G.; Santos, J. P. A.; Santos, A. D. C.; Alves, I. A.; Gelain, D. P.; Nogueira, P. C. L.; Quintans-Júnior, L. J.; Bonjardim, L. R.; Araújo, A. A. S.; J. Med. Food. 2011, 14, 1159.

49. Antolovich, M.; Prenzler, P. D.; Patsalides, E.; McDonald, S.; Robards, K.; Analyst 2002, 127, 183.

50. Basu, S.; Hazra, B.; Phytother. Res. 2006, 20, 896; Silva, D. C.; Cerchiaro, G.; Honório, K. M.; Quim. Nova 2011, 34, 300; Ramos, L. A.; Cavalheiro, C. C. S.; Cavalheiro, E. T. G.; Quim. Nova 2006, 29, 1114.

51. Aderogba, M. A.; Mcgaw, L. J.; Ogundaini, A. O.; Eloff, J. N.; Nat. Prod. Res. 2007, 21, 591.

52. Santos, P. M.; Almeida, P. D. O.; Lima, E. S.; Moraes, M. O.; Costa, P. M.; Meira, A. S.; Pessoa, C. O; Valente, L. M. M.; Veiga Junior, V. F.; Quim. Nova 2014, 37, 89.

53. Ismail, N.; Alam, M.; Fitoterapia 2001, 72, 676; Hung, T. M; Cuong, T. D.; Dang, N. H.; Zhu, S.; Long, P. Q.; Komatsu, K.; Min, B. S.; Chem. Pharm. Bull. 2011, 59, 129; Al-Taweela, A. M.; Fawzy, G. A.; Perveen, S.; Iran J. Pharm. Res. 2012, 11, 839.

On-line version ISSN 1678-7064 Printed version ISSN 0100-4042
Qu�mica Nova
Publica��es da Sociedade Brasileira de Qu�mica
Caixa Postal: 26037 05513-970 S�o Paulo - SP
Tel/Fax: +55.11.3032.2299/+55.11.3814.3602
Free access

GN1