JBCS



12:30, sáb out 25

Acesso Aberto/TP



Educação


Um estudo termodinâmico da corrosão dos aços carbono pelo sulfeto de hidrogênio - explorando conceitos de equilíbrio químico
A thermodinamic corrosion study of carbon steels in hydrogen sulfide - exploring chemical equilibrium concepts

Mariana Cristina de Oliveira; Alexandre Pereira de Lima; Rodrigo Monzon Figueredo; Heloisa Andréa Acciari*; Eduardo Norberto Codaro

Departamento de Física e Química, Faculdade de Engenharia de Guaratinguetá, Universidade Estadual Paulista, 12516-410 Guaratinguetá - SP, Brasil

Recebido em 04/09/2017
Aceito em 07/12/2017
Publicado na web em 18/01/2018

Endereço para correspondência

*e-mail: heloisa@feg.unesp.br

RESUMO

This study addresses an inherent problem to the oil and natural gas exploration and production industry, the corrosion of pipes and tanks by H2S. H2S with water emulsified in the oil or H2S with the water vapor mixed in the gas, they make the acid environment leading to corrosion. This is commonly manifested by the formation of insoluble sulfides on the surface of the carbon steels destined for this purpose. The evolution of the corrosion process depends on the composition and physicochemical characteristics of sulfide film. In this context, we intend to interpret the conditions of formation and precipitation of iron sulfides as a function of pH, using concepts of chemical equilibrium, electrode potential and electrochemical cell that are part of the subjects of chemistry.

Palavras-chave: hydrogen embrittlement; sour corrosion; carbon steels; teaching corrosion.

INTRODUÇAO

A corrosao dos aços-carbono de baixa liga pelo sulfeto de hidrogênio sempre foi um tema de pesquisa recorrente na área de exploraçao e produçao de petróleo e gás natural, que adquiriu especial atençao depois da descoberta do pré-sal em 2006 no Brasil. Durante a recuperaçao primária, o fluido que sai espontaneamente dos poços de uma jazida a dezenas de atmosferas passa por um processo no qual o óleo cru, o gás e a água sao separados. Em seguida, o óleo e o gás sao bombeados para os terminais e daí para as refinarias e unidades de processamento, respectivamente. O sulfeto de hidrogênio está naturalmente presente no óleo e no gás e junto com a água emulsionada e o vapor de água tornam-se ambientes ácidos propícios para a corrosao.1-3 Deste modo, as tubulaçoes para transferência e os tanques para armazenamento podem sofrer corrosao localizada ou mesmo generalizada, dependendo do aço, do fluido e das condiçoes operacionais como pressao, temperatura e dinâmica do escoamento.4,5 Entre os tipos de corrosao localizada destaca-se a denominada fragilizaçao pelo hidrogênio como a forma mais preocupante de corrosao. Neste processo, parte do hidrogênio que é reduzido durante a reaçao de corrosao penetra no aço e se acumula em falhas (descontinuidades + defeitos), as quais, após certa pressurizaçao, levam à formaçao de trincas e, finalmente, à ruptura prematura do material. A corrosao generalizada manifesta-se pela formaçao de uma carepa de mono e polissulfetos de ferro nas paredes internas de dutos e válvulas ocasionando obstruçao de fluxo e problemas nos sistemas de bombeamento.5 Embora as consequências da corrosao sejam conhecidas, as causas e os mecanismos pelos quais o fenômeno acontece ainda nao estao bem elucidados. Dois fatores contribuem para esta situaçao: as composiçoes químicas do petróleo, do gás natural e da água de formaçao variam de jazida para jazida e, a impossibilidade de reproduzir num laboratório as condiçoes internas dos oleodutos, gasodutos e tanques.

Muitos profissionais ligados a companhias de petróleo dedicaram-se ao estudo dos processos corrosivos desses aços em presença de sulfetos e nesta missao a análise dos produtos de corrosao em dutos e reservatórios foi determinante no estudo retrospectivo do mecanismo da corrosao. A experiência em campo aliada à pesquisa científica permitiu discernir de certo modo quais daqueles produtos eram formados como consequência da corrosao e quais da contaminaçao do petróleo e do gás natural durante a produçao. Comumente, uma tubulaçao ou um tanque apresenta uma camada mais ou menos contínua de óxidos e oxi-hidróxidos de ferro (hematita Fe2O3, magnetita Fe3O4, lepidocrocita γ-FeOOH, goetita α-FeOOH) formada espontaneamente ao ar,6 a qual nao é removida antes do lançamento ou da instalaçao. Durante a passagem ou estocagem do fluido, o sulfeto de hidrogênio pode reagir com estes compostos, formar monossulfetos e separar enxofre elementar ou formar polissulfetos. Diferentes sulfetos de ferro foram identificados dentro de gasodutos e oleodutos.7-9 Os monossulfetos mais citados sao a mackinawita tetragonal (FeS), troilita hexagonal e as pirrotitas (Fe1-xS com x = 0 a 0,17) e, os polissulfetos sao a greigita (Fe3S4) e a pirita (FeS2), principalmente esse último.10 Esses surgem como consequência da oxidaçao parcial dos monossulfetos por pequenas quantidades de oxigênio, possivelmente pelo ingresso de ar durante a recuperaçao secundária ou terciária do petróleo. Pesquisas empregando diferentes técnicas em meios menos complexos também tiveram uma contribuiçao significativa. Agua do mar artificial e outras soluçoes salinas desaeradas, saturadas com sulfeto de hidrogênio, foram os meios corrosivos mais utilizados, provavelmente porque esses meios fazem referência à água de formaçao emulsionada no petróleo.11,12 Estudos revelaram que a mackinawita é formada rapidamente em uma ampla faixa de temperaturas e pressoes parciais de H2S, é metaestável e precursora na formaçao de polissulfetos. A troilita é considerada o membro estequiométrico das pirrotitas e suas condiçoes de formaçao nao estao bem estabelecidas, geralmente, temperaturas e pressoes parciais de H2S menores que as necessárias para a formaçao das outras pirrotitas. As pirrotitas mais comuns, a hexagonal (Fe10S11) e a monoclínica (Fe7S8) nessa ordem, sao muito estáveis em meios ácidos isentos de oxigênio.7,10,13 Resultados obtidos de ensaios de corrosao em tempos relativamente curtos de exposiçao à temperatura ambiente conduzem a um ou dois tipos de sulfetos de ferro, a mackinawita (forma cristalina cineticamente favorecida) e a pirrotita (forma cristalina termodinamicamente favorecida). Uma vez que a composiçao e as características físico-químicas do filme determinam o desenvolvimento da corrosao, no presente trabalho pretende-se interpretar as condiçoes de formaçao e precipitaçao dessas espécies em funçao do pH utilizando conceitos de equilíbrio químico, potencial de eletrodo e célula eletroquímica.

 

FUNDAMENTAÇAO TEORICA

Sulfeto de hidrogênio em soluçao aquosa

O sulfeto de hidrogênio é um gás relativamente solúvel em água à temperatura ambiente e a sua solubilidade é diretamente proporcional à sua pressao parcial de acordo com a Lei de Henry (equaçao 1).

Sendo C a solubilidade, pH2S a pressao parcial e 0,1013 mol L-1 atm-1 a constante de Henry a 25 °C.14 Uma vez dissolvido, dissocia-se, comportando-se como um ácido fraco (equaçoes 2 a 4) e, em consequência, para um determinado pH2S, a concentraçao real de H2S(aq) torna-se menor que C, resultando mais apropriado estabelecer uma condiçao de equilíbrio a partir da pressao parcial.

Existe na literatura uma grande quantidade de valores para as constantes de dissociaçao deste ácido, em particular, para a segunda dissociaçao, a qual envolve a participaçao de concentraçoes de espécies iônicas muito baixas.15 Neste estudo foram adotados valores intermediários de Ka1 = 1,0 x 10-7 e Ka2 = 1,0 x 10-14 para o cálculo das concentraçoes no equilíbrio. Considerando os valores pequenos dessas constantes e a grande diferença entre elas, o pH de uma soluçao aquosa está determinado pela primeira dissociaçao (equaçao 5).

Como C depende de pH2S, combinando as equaçoes 1 e 5 temos a relaçao que associa o pH com pH2S (equaçao 6) e sua representaçao (Figura 1).

 


Figura 1. Variaçao do pH da soluçao com a pressao parcial de H2S(g) a 25 °C

 

Apesar das limitaçoes da Lei de Henry, a Figura 1 permite expor duas características das soluçoes aquosas deste gás: i) em pressoes ordinárias as soluçoes saturadas sao levemente ácidas, ii) para mudar o pH em uma unidade é necessário alterar a pressao em duas ordens de magnitude.

Quando o pH da soluçao é modificado à pressao parcial e temperatura constantes, o equilíbrio é perturbado e uma nova relaçao de concentraçoes é estabelecida. Essa relaçao com o pH pode ser calculada a partir da expressao de Ka1 para valores de pH menores do que 7,0 (equaçao 7) e da expressao da constante de hidrólise do ânion sulfeto (Kh = 1,0) para valores de pH maiores ou iguais a 7,0 (equaçao 8).

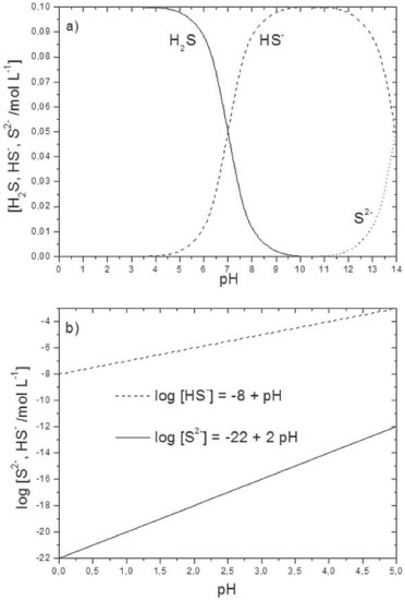
Na representaçao gráfica das equaçoes 7 e 8 (Figura 2) pode-se observar a distribuiçao de H2S(aq), HS-(aq) e S2-(aq), em funçao do pH, para uma concentraçao total de espécies contendo enxofre de 0,1 mol L-1 determinada pela pH2S = 1,0 atm a 25 °C.

 


Figura 2. (a) Distribuiçao de espécies em soluçao aquosa de H2S(aq) e (b) variaçao da concentraçao dos íons HS-(aq) e S2-(aq) em meio ácido

 

A Figura 2a indica que, em soluçoes com valores de pH menores do que 4,0, o H2S(aq) está presente praticamente na forma molecular, mas mesmo nesta faixa existem pequenas concentraçoes de HS-(aq) e S2-(aq), prontas para reagir. Essas concentraçoes podem ser estimadas das expressoes de Ka1 e de Ka1Ka2 (dissociaçao total), respectivamente, supondo [H2S(aq)] = 0,1 mol L-1. A Figura 2b mostra em detalhe a variaçao da concentraçao dos íons HS-(aq) e S2-(aq) em meio ácido. Observa-se que em soluçoes fortemente ácidas, somente os sulfetos de metais de transiçao mais insolúveis podem precipitar.16

No diagrama de Pourbaix da Figura 3 sao indicadas as espécies contendo enxofre, termodinamicamente estáveis, como uma funçao do potencial de eletrodo e do pH do meio.17 As linhas verticais correspondentes às soluçoes de pH = 7,0 e 14,0 representam as mesmas relaçoes de concentraçao das espécies moleculares e iônicas no equilíbrio mostradas na Figura 2a. Duas linhas tracejadas foram adicionadas ao diagrama para indicar a regiao de estabilidade da água. As espécies que se situam dentro da regiao entre essas linhas nao reagem com H2O e as que se situam fora podem reagir. Portanto, verifica-se que: i) HSO4-(aq) e SO42-(aq) sao estáveis em soluçoes aquosas em toda a faixa de pH, ii) S(s) é estável em soluçoes aquosas ácidas ou neutras, iii) H2S(aq), HS-(aq) e S2-(aq) sao estáveis em toda a faixa de pH na ausência de oxigênio, iv) a oxidaçao do H2S(aq) a S(s) só pode acontecer em meio ácido na presença de oxigênio e como este é muito menos solúvel que o sulfeto de hidrogênio,14 torna-se o reagente limitante. Essa situaçao é mais acentuada quando a reaçao de corrosao de um aço ocorre em um sistema fechado, à medida que os íons H+(aq) sao consumidos, a pressao parcial do H2S(g) diminui enquanto que a do H2(g) aumenta, resultando em uma diferença cada vez maior entre os potencias de reduçao E(S/H2S) e E(H+/H2).

 


Figura 3. Diagrama de Pourbaix simplificado para o sistema S-H2O a 25 °C, pH2S = 1,0 atm, concentraçao total de espécies contendo enxofre = 0,1 mol L-1

 

Ferro em soluçao aquosa

A Figura 4 ilustra um diagrama de Pourbaix simplificado para o sistema Fe-H2O a 25 °C, o qual mostra entre linhas as regioes de estabilidade das espécies envolvidas.17 Este foi construído a partir de reaçoes químicas e eletroquímicas possíveis associadas com o ferro em condiçoes úmidas ou aquosas, excluindo aquelas que geram produtos secos como magnetita (Fe3O4(s)) e hematita (Fe2O3(s)) e outros com insuficiente informaçao na literatura como os oxi-hidróxidos e oxiânions. Foi utilizada para os cálculos uma concentraçao de Fe2+(aq) 100 vezes maior do que a de Fe3+(aq) por ser o primeiro o produto inicial da corrosao em meio ácido. A concentraçao de Fe3+(aq) foi fixada em 10-6 mol L-1, valor frequentemente encontrado nos ácidos minerais.

 


Figura 4. Diagrama de Pourbaix simplificado para o sistema Fe-H2O a 25 °C, [Fe2+]=10-4 mol L-1, [Fe3+]= 10-6 mol L-1

 

As duas linhas tracejadas sobre o diagrama encerram a regiao de estabilidade da água e uma reaçao de corrosao pode acontecer conforme o potencial de reduçao Fe2+(aq)/Fe(s) é posicionado abaixo de uma dessas linhas. Na ausência de oxigênio, a reaçao catódica em meio ácido pode ser interpretada pela equaçao 9 e em meio neutro ou básico pela equaçao 10, enquanto que na presença de oxigênio, a reaçao em meio ácido pode ser representada pela equaçao 11 e em meio neutro ou básico pela equaçao 12.

Desse modo, o ferro pode ser oxidado em toda a faixa de pH e na ausência de oxigênio as espécies de ferro(II), Fe2+(aq) (simplificaçao de [Fe(H2O)6]2+) e Fe(OH)2(s), sao as mais estáveis. No entanto, cabe assinalar que com o incremento da pressao de hidrogênio a regiao de estabilidade da água aumenta e a elevadas pressoes o ferro só pode ser oxidado em meio ácido. Quando o oxigênio está presente, o meio torna-se mais oxidante e essas espécies de Fe2+ sao oxidadas a Fe3+(aq) (simplificaçao de [Fe(H2O)6]3+), Fe(OH)3(s) e aquocomplexos de ferro(III) nao mostrados no diagrama. Apesar da duvidosa composiçao da ferrihidrita, Fe(OH)3,18 esse composto será utilizado no lugar de Fe2O3.3H2O(s) para interpretar a precipitaçao seletiva de produtos de corrosao. Três regioes de estabilidade de espécies foram diferenciadas no diagrama: a sem cor, chamada domínio de corrosao (constituída pelos cátions), a cinza escura chamada domínio de imunidade (constituída pelo metal puro) e a cinza clara chamada domínio de passividade (constituída por um filme considerado, em princípio, protetor do metal). Essas regioes representam as condiçoes teóricas onde pode, nao pode e nao acontece corrosao, respectivamente.

Por comparaçao das Figuras 3 e 4 deduz-se que o H2S(aq) pode ser oxidado por espécies de ferro(III), uma vez que o domínio do H2S(aq) nao se superpoe aos domínios do Fe3+(aq) e do Fe(OH)3(s).

Ferro em ácido sulfídrico

Quando a soluçao de sulfeto de hidrogênio entra em contato com o aço, uma reaçao de corrosao acontece e uma consequência pode ser a precipitaçao de sulfetos. Como a concentraçao das espécies iônicas deste meio está diretamente ligada ao pH, a precipitaçao ou nao de sulfetos como produto de corrosao do aço também dependerá do pH. Existem na literatura diferentes expressoes que determinam o equilíbrio de solubilidade e diversas constantes para esses equilíbrios. Neste estudo, as dependências da solubilidade com o pH foram deduzidas a partir das expressoes convencionais dos produtos de solubilidade,16 considerando Kps1 = 2,0 x 10-15 para o Fe(OH)2 e Kps2 = 1,7 x 10-19 para o FeS, equaçoes 13 e 14, respectivamente. Como no caso do FeS o cálculo da equaçao de solubilidade envolve Ka2, alguns autores19-21 preferem usar outra expressao que nao dependa dessa constante, comumente definida como limite de solubilidade (equaçao 15). No entanto, tanto uma como outra conduzem a resultados semelhantes para a finalidade deste estudo.

A Figura 5a representa a influência do pH na solubilidade de um FeS (mackinawita) em H2S(aq) 0,1 mol L-1 e do Fe(OH)2 em H2O a 25 °C, na ausência de O2. A figura revela que a concentraçao de Fe2+(aq) no equilíbrio diminui segundo o pH do meio aumenta em ambos os casos. Cada reta (equaçoes 16 e 17) divide o gráfico em duas regioes: à esquerda, a regiao de dissoluçao e à direita, a regiao de precipitaçao.

 


Figura 5. Influência do pH nas solubilidades: a) do FeS e Fe(OH)2, b) do FeS e Fe(OH)3, c) dos monossulfetos de ferro em H2S(aq), pH2S = 1,0 atm a 25 °C

 

A precipitaçao de FeS inicia-se somente quando a concentraçao de Fe2+(aq) e o pH encontram a reta e, quando isto acontece, o produto da concentraçao de Fe2+(aq) pela concentraçao de S2-(aq) ultrapassa o valor do Kps1. Torna-se evidente que a precipitaçao do Fe(OH)2 (ou FeO.H2O) no mesmo meio nao acontece, uma vez que as concentraçoes de OH-(aq) e S2-(aq) guardam uma relaçao definida (Figura 2b) de modo que o produto iônico [Fe2+][OH-]2 é sempre menor que [Fe2+][S2-].

A Figura 5b apresenta a influência do pH na solubilidade de um FeS em H2S(aq) 0,1 mol L-1 e do Fe(OH)3 em H2O a 25 °C. A expressao que representa a solubilidade do Fe(OH)3 foi obtida a partir de um valor intermediário do Kps3 = 3,1 x 10-40 (equaçao 18).22

Destaca-se, ainda, que em meio ácido, o Fe(OH)3 é mais insolúvel que o FeS e, portanto, concentraçoes de Fe3+(aq) muito menores que as de Fe2+(aq) precipitam o Fe(OH)3. Isto sugere que se durante a reaçao de corrosao do aço uma pequena parte do Fe2+(aq) é oxidado a Fe3+(aq), existe a probabilidade de co-precipitaçao em certas condiçoes de pH. Por exemplo, a pH = 2,83, se a concentraçao de Fe3+(aq) for aproximadamente 0,01% da concentraçao molar de Fe2+(aq) no equilíbrio, ambos Fe(OH)3 e FeS podem precipitar simultaneamente.

A dependência da solubilidade dos monossulfetos de ferro com o pH à temperatura constante foi previamente estudada.13,21 Apesar das consideraçoes realizadas no desenvolvimento deste estudo, a reta que descreve a solubilidade do FeS (Figura 5a) posiciona-se paralela entre as retas da troilita e da mackinawita tetragonal (Figura 5c). Nota-se também que a solubilidade de todos os monossulfetos diminui quando se aumenta o pH e que este fenômeno é menos acentuado nas pirrotitas, as mais insolúveis dos monossulfetos. Cabe destacar que as condiçoes de nucleaçao e crescimento dessas fases sao diferentes, ou seja, quando as condiçoes locais favorecem a formaçao de uma determinada fase, todas as outras fases mais solúveis (maiores produtos de solubilidade) ou nao se formam ou deixam de crescer caso alguma delas já foi formada em outras condiçoes, por exemplo, durante a corrosao de aço, a mackinawita (forma cineticamente favorecida) deixa de crescer uma vez que as condiçoes favorecem a formaçao de pirrotita, portanto, é de esperar a formaçao de mais uma camada.4,7

Como nao existe evidência experimental da transformaçao de fases entre a mackinawita e as pirrotitas, ao menos a temperaturas e pressoes ordinárias, estas últimas serao formadas quando as condiçoes do meio propiciarem a sua nucleaçao e crescimento, o que na prática ocorre em tempos prolongados de exposiçao e, provavelmente, em pH > 4,0, onde a concentraçao de HS-(aq) é maior do que a de H+(aq) (Figura 2b). Para a construçao do diagrama de Pourbaix com formaçao de pirrotitas (fases estáveis) também foi suposta uma concentraçao de Fe2+(aq) 100 vezes maior do que a de Fe3+(aq) (Figura 6). Foram utilizadas as equaçoes 18 e 19 (Kps2b = 79,4)21 para representar os equilíbrios químicos e as equaçoes de Nernst 20 e 21, considerando ΔGf 0(Fe(OH)3) = -708 kJ mol-1 e ΔGf0(FeS) = -102 kJ mol-1 para os cálculos dos potenciais-padrao de reduçao E0(Fe(OH)3/FeS)18 e E0(FeS/Fe),23 respectivamente. As linhas verticais representam os equilíbrios existentes entre as espécies de igual número de oxidaçao e correspondem às condiçoes de equilíbrio determinadas pelas coordenadas (2,83; -6) da Figura 5b e (3,45; -4) da Figura 5c.

 


Figura 6. Diagramas de Pourbaix simplificados para o sistema Fe-H2O-H2S a 25 °C com formaçao de pirrotita. [Fe2+] = 10-4 mol L-1, [Fe3+] = 10-6 mol L-1 e pH2S = 1,0 atm

 

Assumindo a formaçao de um filme contínuo de sulfeto, observa-se que os domínios foram alterados se comparados com a Figura 4, ou seja, na Figura 6 o domínio de passivaçao é maior e o de corrosao menor o que pode ser interpretado como uma diminuiçao da área ativa devido à presença de um filme. Em recentes trabalhos, foram apresentados diagramas similares com formaçao da mackinawita e das pirrotitas,24-26 nos quais também foi demonstrado que o aumento da pressao parcial de H2S(g) favorece a formaçao dos monossulfetos de ferro. Este aumento desloca as retas da Figura 5c para esquerda (maiores pH) e se traduz no diagrama como um aumento do domínio de passivaçao e a diminuiçao dos domínios de corrosao e imunidade. Uma análise mais detalhada desse diagrama revela que, em pH < 3,45, as condiçoes nao sao favoráveis para a formaçao de filme e como o potencial de reduçao Fe2+(aq)/Fe(s) é menor que o potencial de reduçao H+(aq)/H2(g), a reaçao de corrosao da equaçao 22 torna-se a mais provável na ausência de oxigênio. Quando o pH ≥ 3,45, o Fe2+(aq) pode precipitar como FeS (equaçao 23) e formar um filme com certas características protetoras. As pesquisas indicaram que a precipitaçao de sulfetos acontece a pH ≥ 2,7 e os filmes formados até pH ≤ 4 sao descontínuos ou porosos, aqueles formados em pH ≥ 6 sao compactos e, entre esses valores de pH, possuem características intermediárias.27-30

É importante esclarecer que o filme de sulfeto associado com a passivaçao nao deve ser literalmente entendido como protetor fazendo com que a corrosao do aço nao progrida. Na realidade, as propriedades físico-químicas do filme (aderência, compacidade, espessura e condutividade) em funçao do pH e do tempo de exposiçao determinarao as suas características protetoras.

 

CONSIDERAÇOES FINAIS

Neste estudo foram explorados conceitos de equilíbrio químico, potencial de eletrodo e célula eletroquímica contextualizados na corrosao sulfídrica inerentes às indústrias de petróleo e gás natural. Foram levadas em conta as características do meio, o comportamento do material no meio e o processo corrosivo propriamente dito. As conclusoes a seguir estao baseadas principalmente nos diagramas de Pourbaix e sujeitas às suas limitaçoes, ou seja, nao consideram aspectos cinéticos como mecanismo e velocidade de corrosao, propriedades dos filmes e nenhuma influência devido à presença de outros ânions e cátions. Além disso, o pH na interface dos eletrodos é teórico e nao experimental à temperatura de 25 °C.

Neste contexto, durante a corrosao do aço carbono pelo ácido sulfídrico, é formado um filme de sulfeto ferroso (mackinawita), mais protetor que os óxidos e hidróxidos de ferro(II) formados sobre ferro em meio aquoso desaerado. As características protetoras do filme melhoram com a posterior formaçao de pirrotitas sobre a mackinawita. Apesar das limitaçoes dos diagramas, a abordagem deste estudo em termos de equilíbrios de solubilidade dá suporte a um mecanismo de dissoluçao-precipitaçao para o crescimento de filmes. Oxidos, oxi-hidróxidos e hidróxidos de ferro(III), enxofre elementar, polissulfetos e sulfatos nao estao entre os produtos de corrosao porque estes surgem como consequência da presença de oxigênio ou outros agentes oxidantes dissolvidos no meio.

 

AGRADECIMENTOS

PROEX/UNESP, CAPES e FAPESP (processo n. 2017/11361-5) pelos recursos financeiros.

 

REFERENCIAS

1. Tissot, B. P.; Welte, D. H.; Petroleum Formation and Occurrence, 2nd ed., Springer-Verlag: Berlin, 1984, cap. 7.

2. Stumpf, A.; Tolvaj, K.; Juhász, M.; J. Chromatogr. A 1998, 67, 819.

3. Green, T. K.; Whitley, P.; Wu, K.; Lloyd, W. G.; Gan, L. Z.; Energy Fuels 1994, 8, 244.

4. Liu, M.; Wang, J.; Ke, W.; Han, E. H.; J. Mater. Sci. Technol. 2014, 30, 504.

5. Mahmoud, M. A.; Kamal, M. S.; Geri, B. S. B.; Hussein, I. A.; Fahd, K.; Paper IPTC-18279-MS of International Petroleum Technology Conference, Doha, Qatar, 2015.

6. Silva, M. V. F.; Pereira, M. C.; Codaro, E. N.; Acciari, H. A.; Quim. Nova 2015, 38, 293.

7. Smith, S. N.; Brown, B.; Sun, W.; Paper 11081 of NACE International Conference & Expo, Houston, USA, 2011.

8. Craig, B.; Mater. Perform. 2002, August, 2.

9. Smith, S. N.; Mater. Perform. 2003, August, 44.

10. Morse, J. W.; Millero, F. J.; Cornwell, J. C.; Rickard, D.; Earth-Sci. Rev. 1987, 24, 1.

11. NACE International; Standard test method laboratory testing of metals for resistance to sulfide stress cracking and stress corrosion cracking in H2S environments. ANSI/NACE TM0177, Houston, USA, 2016.

12. NACE International; Evaluation of Pipeline and Pressure Vessel Steel for Resistance to hydrogen-Induced Crack. ANSI/NACE TM0284, Houston, USA, 2016.

13. Rickard, D.; Luther, G.; Chem. Rev. 2007, 107, 514.

14. Sander, R.; Atmos. Chem. Phys. 2015, 15, 4399.

15. Sun, W.; Nesic, S.; Young, D.; Woollam, R. C.; Ind. Eng. Res. 2008, 47, 1738.

16. Skoog, D. A.; West, D. M.; Holler, J.; Crouch, S. R.; Fundamentos de Química Analítica, 9 ed., Cengage Learning: Sao Paulo, 2014, cap. 31.

17. Pourbaix, M.; Atlas of electrochemical equilibria in aqueous solutions, 2nd ed.; NACE: Houston, 1974.

18. Majzlan, J.; Navrotsky, A.; Schwertmann, U.; Geochim. Cosmochim. Acta 2004, 68, 1049.

19. Myers, R. J.; J. Chem. Educ. 1986, 63, 687.

20. Rickard, D.; Geochim. Cosmochim. Acta 2006, 70, 5779.

21. Davison, W.; Aquat. Sci. 1991, 53/4, 309.

22. Schwertmann, U.; Plant Soil 1991, 130, 1.

23. Lennie, A. R.; Vaughan, D. J.; Special Publications - Geochemical Society 1996, 5, 117.

24. Ning, J.; Zheng, Y.; Young, D.; Brown, B.; Nesic, S.; Paper 2462 of NACE International Conference & Expo, Orlando, USA, 2013.

25. Ning, J.; Zheng, Y.; Brown, B.; Young, D.; Nesic, S.; Paper 7502 of NACE International Conference & Expo, Vancouver, Canada, 2016.

26. Ning, J.; Zheng, Y.; Brown, B.; Young, D.; Nesic, S.; Paper 5507 of NACE International Conference & Expo, Dallas, USA, 2015.

27. Zheng, Y.; Ning, J.; Brown, B.; Young, D.; Nesic, S.; Paper 5933 of NACE International Conference & Expo, Dallas, USA, 2015.

28. Shoesmith, D. W.; Taylor, P.; Bailey, M. G.; Owen, D. G.; J. Electrochem. Soc.: Electrochem. Sci. Technol. 1980, May, 1007.

29. Smith, S. N.; Paper 5485 of NACE International Conference & Expo, Dallas, USA, 2015.

30. Wikjord, A. G.; Rummery, T. E.; Doern, F. E.; Owen, D. G.; Corros. Sci. 1980, 20, 651.

On-line version ISSN 1678-7064 Printed version ISSN 0100-4042
Qu�mica Nova
Publica��es da Sociedade Brasileira de Qu�mica
Caixa Postal: 26037 05513-970 S�o Paulo - SP
Tel/Fax: +55.11.3032.2299/+55.11.3814.3602
Free access

GN1