JBCS



12:21, sáb out 25

Acesso Aberto/TP



Artigo


Óxido de ítrio e alumínio dopado com Yb3+ e Er3+ incorporado em membrana de poliamida
Yttrium aluminum oxide doped with Yb3+and Er3+ incorporated into polyamide membrane

Michel L. de SouzaI; Susane B. MoscardiniI; Emerson H. de FariaI; Katia J. CiuffiI; Lucas A. RochaI; Eduardo J. NassarI,*; Jorge V. L. SilvaII; Marcelo F. OliveiraII; Izaque A. MaiaII

I. Universidade de Franca, Av. Dr. Armando Salles Oliveira, 201 Pq. Universitário, 14404-600 Franca - SP, Brasil
II. Centro da Tecnologia da Informação Renato Archer- Rod. Dom Pedro I, Km 143,6, 13069-901 Campinas - SP, Brasil

Recebido em 18/10/2017
Aceito em 23/01/2018
Publicado na web em 22/02/2018

Endereço para correspondência

*e-mail: eduardo.nassar@unifran.edu.br

RESUMO

Lanthanide ions have special light emission, which can occur through descending and ascending energy conversion. Ascending energy conversion is especially interesting for bioapplications because excitation in the infrared region does not excite biomolecules and therefore does not interfere in detection, not to mention that it penetrates deeper in the skin. Here, we synthesized yttrium and aluminum oxide doped with Yb3+ and Er3+ ions via the non-hydrolytic sol-gel methodology. The doped matrix was incorporated and dispersed over a polyamide membrane obtained by Additive Manufacturing. X-ray diffraction revealed that a mixture of yttrium aluminum monoclinic and garnet phases emerged. Upon excitation at 980 nm in the Yb3+ ion, the Er3+ presented more intense emission as a function of the laser power, which favored red emission. The intensities of the bands corresponding to the 4S3/2 4I15/2 (563 nm) and 5F9/2 4I15/2 (660 nm) transitions involved the absorption of two photons. The oxide incorporated into the polyamide membrane presented the same behavior. After coating with polyetherimide, the latter system was resistant to 5.1 W laser, which paves the way for new applications.

Palavras-chave: additive manufacture; photodynamic therapy; lanthanoide; upconversion

INTRODUÇAO

Bloembergen1 em 1959 propôs que fótons no infravermelho poderiam ser detectado através de uma absorçao sequencial no estado excitado (ESA, do inglês excited state absorption) dentro dos níveis de um dado íon em um sólido, essa foi uma proposta para detectar o chamado contador quântico no infravermelho (IRQC, infrared quantum counter). A demonstraçao experimental desse fato só ocorreu após o desenvolvimento de excitaçao laser utilizando fibras ópticas,2 os primeiros experimentos mostraram a difusao de energia através da transferência de energia entre íons idênticos.3

Diferentes mecanismos têm sido propostos para o processo de conversao ascendente, a ESA envolve a excitaçao por vários passos, um processo muito eficiente na transferência de energia sequencial, a qual foi nomeada por Auzel de APTE (for addition de photon par transferts d'energie),4 mais tarde esse termo foi renomeado ETU transferência de energia por conversao ascendente (energy transfer upconversion).5 E um terceiro processo, chamado de conversao ascendente cooperativa (cooperative upconversion) ocorre entre dois íons ou um terceiro íon.6

O sistema de conversao ascendente de energia de íons lantanóides vem ganhando interesse principalmente para aplicaçoes em Terapia Fotodinâmica (PDT), que utiliza a emissao na regiao do vermelho (660 nm) para ativaçao do fotossensibilizador,7,8 além disso, a transparência biológica ocorre entre 700 - 1000 nm.9 Assim, o sistema Yb3+/Er3+ e/ou somente os íons Er3+ apresentam a propriedade de conversao ascendente de energia, podendo serem excitados em 980 nm e emissao em 660 nm, ativando os fotossensibilizadores nao só para o tratamento de câncer de pele mais também em regioes mais internas devido ao poder de penetraçao da radiaçao infravermelho.

Aliado às propriedades espectroscópicas das terras raras e suas mais variadas aplicaçoes, junta-se a ela a Manufatura Aditiva (MA) que está baseadas na construçao, camada-a-camada, de estruturas tridimensionais físicas, a partir de seus respectivos modelos digitais. As informaçoes da estrutura a ser construída sao geradas num programa computacional CAD (Computer Aided Design), que "fatia" eletronicamente a peça, obtendo-se curvas de níveis 2D que definirao, em cada camada, onde existe material a ser adicionado.10,11 O modelo digital é, primeiramente, fatiado e as suas secçoes horizontais sao reproduzidas fisicamente por processos automatizados de construçao camada a camada em matérias-primas na forma de pó, sólido ou líquido.

Modificaçoes de peças via metodologia sol-gel, funcionalizaçao, tem sido objetivo de estudo desde 2007, peças de poliamida e acrilonitrila-butadieno-estireno, vem passando por tratamentos químicos proporcionando propriedades distintas dos materiais originais. Funcionalizaçao com compostos que apresentam atividade ou induz à bio aplicaçoes,12 - 14 revestimento para aumentar a resistência.15 - 20

Esse trabalho tem como objetivo à modificaçao e incorporaçao de sistemas emissores de radiaçao visível com excitaçao na regiao do infravermelho, conversao ascendente de energia, e revestimento para aumento da resistência de membrana de poliamida obtida por Manufatura Aditiva. Oxido de ítrio e alumínio foi preparado através da metodologia sol-gel nao-hidrolítica dopado com os íons lantanóides Yb3+ e Er3+. Sistema posteriormente incorporado à membrana e estudado com relaçao a resistência em funçao da potência do laser em 980 nm.

 

PARTE EXPERIMENTAL

Preparaçao das soluçoes de LnCl3 (Ln:Y, Er, Yb) 0,1 mol.L-1

As soluçoes dos cloretos dos íons lantanóides foram preparadas a partir de seus óxidos correspondentes. Os óxidos Y2O3, Er2O3 e Yb2O3 foram solubilizados em HCl e água deionizada, sendo o remanescente de HCl evaporado em chapa aquecedora. Após a remoçao do HCl, a soluçao LnCl3 foi diluída com etanol anidro levando-se em consideraçao a concentraçao molar pretendida.21

Preparaçao do óxido de ítrio e alumínio dopados com Yb3+ e Er3+

A síntese do Y1-x(Er,Yb)xAlO3 foi realizada por meio do processo sol-gel nao- hidrolítico. Essa rota tem sido foco de estudo do Grupo na preparaçao dessa matriz.22-26 A concentraçao dos dopantes, Yb3+ e Er3+, foi fixada em 1%, razao molar ao íon Y3+. Assim, foram pesados e medidos 1,0 g de AlCl3, 20,0 mL da soluçao 0,1 mol L-1 de YCl3 e 20,0 mL de etanol anidro, que desempenham o papel de doadores de oxigênio no processo sol-gel nao hidrolítico. Sobre essa mistura de cloretos foram adicionadas à 0,5% em relaçao a % de Y da soluçao 0,1 mol L-1 de YbCl3 e 0,5% da soluçao 0,1 mol L-1 de ErCl3. A mistura foi mantida em refluxo por 4 h com temperatura do banho mantida à 115 °C sob atmosfera de argônio. O sistema de refluxo foi acoplado a um banho termostático no qual a temperatura foi mantida à 1 °C. Após esse tempo de refluxo foi obtida a forma reticulada da suspensao coloidal, o gel. O solvente remanescente foi removido em estufa com pressao reduzida, o sólido final foi calcinado à 800°C durante 16 h.

Membranas de Poliamida

As membranas de poliamida com espessura de 200 µm preparadas por Manufatura Aditiva com dimensoes de 7,0 x 5,0 cm, foram cortadas em pedaços de 3,5 x 2,5 cm, os quais foram submetidos à pré-tratamento com água destilada (lavagem), tratamento com ácido acético 1,0 mol.L-1, conforme descrito por de Souza et al.20

Incorporaçao do Oxido de Alumínio e Itrio dopado com Er3+ e Yb3+ na Membrana de PA

A membrana de PA foi colocada em contato com uma suspensao etanólica do óxido contendo 1,0 mg.mL-1, em uma placa de petri até evaporaçao total do solvente, tempo total de 24 h.

Revestimento com o Polieterimida na Membrana de PA contendo o Oxido

A membrana contendo o óxido de alumínio e ítrio foi revestida com uma soluçao de polieterimida, preparada através da dissoluçao de 5,0 g de polieterimida em 50,0 mL de metil-2-pirrolidinona, depositado por dip-coating à uma velocidade de 300 mm mim-1. A membrana revestida foi seca a 130 °C.

Caracterizaçoes

Difratometria de raios X (DRX)

Os difratoframas de raios X foram realizados em equipamento Rigaku Geigerflex D/Max-c à temperatura ambiente, utilizando um monocromador da radiaçao CuKα (λ = 1,5405 Å), de 5 a 70° com passo de 0,02°/10 s.

Espectroscopia de absorçao na regiao do infravermelho (FTIR)

O espectrofotômetro infravermelho da PerkinElmer Frontier com faixa de operaçao entre 400-4000 cm-1, foi utilizado para estudos vibracionais, utilizou-se a técnica de ATR (Espectroscopia de absorçao no FTIR por refletância total atenuada), com varredura de 16 scans.

Espectroscopia de absorçao Raman

A espectroscopia Raman foi realizado em um equipamento BaySpec com laser em 785 nm potência de 0,450 W, os espectros foram coletados de 200 à 2500 cm-1, com resoluçao de 15 cm-1.

Fotoluminescência (FL)

Os espectros de excitaçao e emissao foram realizados em um espectrofluorímetro FluoroLog - Horiba Jobin Yvon. As medidas foram coletadas a 90° em relaçao ao feixe incidente. A excitaçao foi realizada com a utilizaçao de um laser infravermelho da marca DMC modelo Laser Toll. A emissao do laser em 980 ± 10 nm com potência variando de 0,5 à 7,0 W ± 20%, a excitaçao foi realizada no método de operaçao continua.

Análises térmicas, Termogravimetria (TGA) e sua Derivada (DTG), e Calorimetria Exploratória Diferencial (DSC)

As curvas ATG, DTA e DSC foram obtidas em um equipamento da TA Instruments-SDT Q600-Simultaneous DTA-TGA, a partir de 25 à 700 °C com uma razao de aquecimento de 20 °C min-1, e fluxo de nitrogênio de 100 mL mim-1.

Microscopia Eletrônica de Varredura (MEV)

As micrografias eletrônica de varredura foram feitas em um equipamento TESCAN VEGA 3 SBH com um filamento de 30 kVW e resoluçao de 3 nm no detector BSE. As amostras foram fixadas no porta amostra com auxílio de fita de carbono dupla face e recobertos com fina camada de ouro através do Quorum SC 7620 coating sputtering.

 

RESULTADOS E DISCUSSAO

Caracterizaçao do pó Oxido de Alumínio e Itrio dopado com Yb3+ e Er3+

Difraçao de Raios X (DRX)

O DRX da amostra na forma de pó apresentou picos relacionados aos óxidos de alumínio e ítrio, os principais picos aparecem em 2θ = 29 e 30o, os quais podem estar relacionados ao JCPS 80-1694 e 19-1448 atribuídos as fases YAM (ítrio alumínio monoclínico, Al2Y4O12) e ao óxido de ítrio (Y2O3), respectivamente. Em prévios trabalhos observamos que a temperatura atua diretamente na formaçao da fase, tratamento à 800 °C predomina a fase YAM, na temperatura de 1100 °C a fase YAG e formada preferencialmente.22, 27 Essas observaçoes foram realizadas quando utilizou-se o íon Eu3+ como dopante. Os raios iônicos para os dopantes é de 89 pm para o Y3+, e 95, 88 e 86 pm para os íons Eu3+, Er3+ e Yb3+, respectivamente.28

Fotoluminescência (FL)

A Figura 1 apresenta os espectros de emissao do íon Er3+ quando excitado em 980 nm, em funçao da potência do laser.

 


Figura 1. Espectro de emissao do íon Er3+ em funçao da potência do laser, no destaque a ampliaçao da regiao verde do espectro

 

Os espectros apresentam as principais transiçoes do íon Er3+ relativas aos estados excitados 4S3/2 e 4F9/2 para o estado fundamental 4I15/2. A variaçao da intensidade das bandas nas regioes do verde (563 nm) e vermelho (660 nm) em funçao da potência do laser indica o número de fótons envolvidos no processo.6 A Figura 2 a e b mostram o log das intensidades de fluorescência das bandas verde e vermelha em funçao da potência do laser.

 


Figura 2. Relaçao entre a intensidade da banda em 563 nm (a) e 660 nm (b) em funçao da potência do laser

 

A incliniçao da reta (slope) para as curvas relacionadas as regioes verde e vermelha foram de 1,5 e 1,4 respectivamente, indicando um mecanismos de conversao ascendente de dois fótons, valor próximo ao observado por Song et al,29 podendo ocorrer através da transferência de energia envolvendo uma transferência cooperativa de um doador (Yb3+) para o íon aceptor (Er3+) e absorçao de dois fótons pelo íon emissor (Er3+) como proposto por Silversmith.30 A forte emissao na regiao vermelha (660 nm) pode ser explicada pelos dois mecanismos, transferência e absorçao de dois fótons, como pode ser observado na Figura 3.

 


Figura 3. Diagrama parcial dos níveis de energia dos íons Yb3+ e Er3+ indicando as transiçoes correspondentes à excitaçao e emissao a partir da conversao ascendente de energia

 

O diagrama apresenta os possíveis processos envolvidos na conversao ascendente de energia, o primeiro fóton promove a excitaçao do nível 2F7/2 → 2F5/2 em 980 nm do íon Yb3+, o qual pode receber um segundo fóton, ocorrendo a transferência de energia para o 4F7/2 decaindo nao radiativamente para o 4S3/2 do íon Er3+, retornando ao estado fundamental 4I15/2 em 563 nm (verde). A energia do nível 2F5/2 (Yb3+) pode ser transferida para o nível 4I11/2 (Er3+) que decai para o nível 4I13/2 (Er3+) o qual pode receber um segundo fóton de 980 nm, promovendo a transiçao 4I13/2 → 4F9/2, que ao retornar ao estado fundamental 4F9/2 → 4I15/2, emite radiaçao na regiao vermelha (660 nm).

A terceira opçao é a absorçao de dois fótons pelo próprio íon Er3+, transiçoes 4I15/2 → 4I11/2, decaindo nao radiativamente para o 4I13/2, o qual recebe o segundo fóton promovendo a transiçao 4I13/2 → 4F9/2, a transiçao 4F9/2 → 4I15/2 em 660 nm. Além dessas opçoes também pode-se ter a excitaçao por dois fótons direta do íon Er3+, o primeiro fóton promove a transiçao do estado fundamento 4I15/2 para o estado excitado 4I11/2, decaindo nao radiativamente para o nível 4I13/2 o qual recebe um segundo fóton de 980 nm, provocando a transiçao 4I13/2 → 4F9/2, que ao retornar ao estado fundamental 4F9/2 → 4I15/2, emite radiaçao na regiao vermelha (660 nm).

A intensa emissao em 660 nm pode ser devido a maior populaçao do nível 4F9/2, por transferência de energia do íon Yb3+ ou por excitaçao direta do íon Er3+.

Caracterizaçao da Membrana de Poliamida incorporada com o Oxido de Alumínio e Itrio dopado com Yb3+ e Er3+

Difraçao de Raios X (DRX)

A Figura 4 apresenta os DRX das membranas de poliamida após pré-tratamento, incorporaçao do óxido de alumínio e ítrio, e revestida com o polieterimida.

 


Figura 4. DRX das membranas de PA, a) pré-tratada (-), b) incorporada com óxido de alumínio e ítrio (-), c) incorporada com o óxido e revestida com a polieterimida (-) e d) polieterimida (-)

 

Segundo a literatura a poliamida pode apresentar duas formas semi-cristralinas, conhecidas com α e γ, as quais podem ser caracterizadas pelos picos no difratograma de raios X, picos em 2θ ao redor de 20 e 24o sao característicos da forma triclínica e em 21,5o a forma γ pseudohexagonal.20, 31, 32 A Tabela 1 apresenta os valores de 2θ encontrados na literatura,33 e para as amostras deste trabalho. Esses valores correspondem aproximadamente a separaçao entre camadas formadas ligadas entre si por ligaçoes de hidrogênio. A distância entre as camadas para a forma α é de 4.8 Å,33 para a membrana de PA preparada por Manufatura Aditiva a distância foi de 4.2 Å e 4.1 Å para as amostras contendo o óxido de alumínio e ítrio e posteriormente revestido com a PI, essa diminuiçao na distância entre as camadas pode ser atribuída a metodologia utilizada na preparaçao da membrana, as quais sofreram uma sinterizaçao a laser no preparo através da MA diminuindo a distância entre as camadas.

 

 

Os picos de difraçao para polímeros sao utilizados para calcular a distância interplanar das camadas de poliamida, através da lei de Bragg (nλ = 2dsinθ),34 o aparecimento do pico em 2θ ≅ 16o pode indicar a formaçao de uma camada dos polímeros, as quais sao separadas por ligaçoes de hidrogênio, determinando assim essas distâncias interplanares. Por outro lado a literatura tem relatado que o polieterimida apresenta um halo amorfo no DRX entre 15 e 20o,34-36 porém neste trabalho o halo apresenta-se mais definido como um pico, sugerindo a formaçao de camadas do polímero. A deposiçao através da técnica de dip-coating pode ter proporcionado a orientaçao das camadas.

Espectroscopia de absorçao na regiao do infravermelho (FTIR)

A Figura 5 apresenta os espectros vibracionais para as amostras, PA, PA+Ox, PA+Ox+PI e PI.

 


Figura 5. FTIR das membranas de PA, a) pré-tratada(-), b) incorporada com óxido de alumínio e ítrio(-), c) incorporada com o óxido e revestida com a polieterimida(-) e d) polieterimida(-)

 

O espectro FTIR para o PI mostrado na Figura 5, exibi absorçoes características do grupo imida em 1781 e 1721 cm-1 típico do estiramento do grupo imida carbonil assimétrico e simétrico, em 1358 e 743cm-1 estiramento e deformaçao C-N.37 No espectro da membrana de PA as absorçoes em 1643 e 1554 cm-1 atribuída a vibraçoes C=O de amida primária, em 1059 cm-1 atribuída aos grupos -NH. As bandas em 1135 e 934 cm-1 sao devidos as regioes amorfas e cristalinas da poliamida, respectivamente. As regioes entre 2800 e 2900 cm-1 estao relacionados aos grupos -CH2, -CH3 e -NH as bandas em 719, 1452, e 1537 cm-1 sao devido aos grupos N-H, C-CO-NH e C=O, respectivamente. A banda em 3295 cm-1 característica do grupo -NH.13, 19

Pode se observar que as bandas características dos polímeros PA e PI estao presentes no espectro da membrana de PA incorporada com o óxido de ítrio e alumínio e posteriormente revestida com o PI, indicando a presença do revestimento na membrana.

Espectroscopia de absorçao Raman

A Figura 6 apresenta os espectros Raman para as amostras, PA, PA+Ox, PA+Ox+PI e PI.

 


Figura 6. Raman das membranas de PA, a) pré-tratada (-), b) incorporada com óxido de alumínio e ítrio (-), c) incorporada com o óxido e revestida com a polieterimida (-) e d) polieterimida (-)

 

Os espectros Raman para os polímeros PA e PI apresentam bandas 1635 e 1775 cm-1, respectivamente, as quais sao atribuídas a vibraçao características C=O, sendo a primeira atribuída a sistemas contendo ligaçoes de hidrogênio e a segundo com um grau menor de associaçao.38 Esse fato corrobora com os difratogramas de raios X, indicando que a PA é formada por camadas interligadas por ligaçoes de hidrogênio.

Outras bandas podem também ser observadas no espectro em 1454 (δNC'H), 1384 (δCH), 1298 (νCN), 1100 e 1064 (νCC), 936 (νNC), e 635 cm-1 (δOCN).16, 38, 39

Análise Térmica, Termogravimetria (TGA) e sua Derivada (DTG), e Calorimetria Exploratória Diferencial (DSC)

As Figuras 7 e 9 mostram as curvas TG e DTG para as amostras PA, PA+Ox e PA+Ox+PI.

 


Figura 7. Curvas termogravimétricas das membranas de PA, a) pré-tratada (-), b) incorporada com óxido de alumínio e ítrio (-), c) incorporada com o óxido e revestida com a polieterimida (-)

 

 


Figura 8. Derivada das curvas termogravimétricas das membranas de PA, a) pré-tratada (-), b) incorporada com óxido de alumínio e ítrio (-), c) incorporada com o óxido e revestida com a polieterimida (-)

 

 


Figura 9. Curvas DSC das membranas de PA, a) pré-tratada (-), b) incorporada com óxido de alumínio e ítrio (-), c) incorporada com o óxido e revestida com a polieterimida (-)

 

As curvas TGAs apresentadas na Figura 7 revelam a presença de resíduos para as amostras PA+Ox e PA+Ox+PI de 0,5 e 4,9% respectivamente, a membrana de poliamida pré-tratada nao apresentou resíduo. Para a amostra PA+Ox o resíduo pode ser atribuído à presença do óxido de ítrio e alumínio, já para a amostra PA+Ox+PI um porcentagem de matéria orgânica proveniente do PI.

A área sobre a curva derivada da TGA está relacionada com a quantidade de matéria que perdida, assim as curvas DTGs confirmam a presença do óxido e da PI sobre as membranas de PA. A área para a PA foi de 99,1, para a PA+Ox de 97,5 e 90,8 para a amostra PA+Ox+PI, resultados que corroboram com a presença de resíduos nas curvas TGAs. As temperaturas máximas de decomposiçao sofreram aumento de 442°C para a PA, 444°C PA+Ox e 448°C PA+Ox+PI, indicando a influência na estabilidade térmica da membrana de PA, propriedade observada na literatura.13, 15, 16

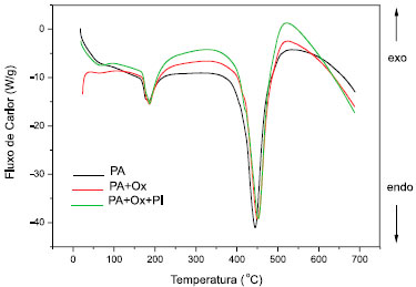
A Figura 9 mostra as curvas DSC para das membranas de PA, PA+Ox e PA+Ox+PI.

A temperatura de fusao das amostras também sofreu aumento, de 184 °C para a PA, 186 °C para PA+Ox e 188 °C para a PA+Ox+PI, como pode ser observado nas curvas DSC da Figura 9, o aumento indica uma mudança no comportamento térmico da membrana de PA após a incorporaçao do óxido de ítrio e alumínio e o PI. A entalpia de fusao (ΔHf) e de decomposiçao (ΔHd) podem ser calculados através da área no pico relativo à fusao e decomposiçao, respectivamente.19 A porcentagem de cristalinidade pode ser calculado utilizando a equaçao 1:

onde ΔHf é entalpia de fusao experimental obtida na curva DSC e ΔHf0 é a entalpia de fusao considerando 100% de cristalinidade, equivalendo 95 J.g-1.40 A tabela 2 apresenta os dados de ΔHf , ΔHd e %Cristalinidade.

 

 

Após a incorporaçao do óxido e do polieterimida na membrana de poliamida as propriedades da PA sofreram alteraçoes, esses valores indicam mudanças nas ligaçoes de hidrogênio entre as camadas de poliamida, a diminuiçao das entalpias de fusao de decomposiçao está diretamente relacionada à diminuiçao do número de ligaçoes de hidrogênio, assim a energia necessária para romper essas ligaçoes sao menores. Consequentemente o grau de cristalinidade é reduzido.

Microscopia Eletrônica de Varredura (MEV)

A Figura 10 a, b e c mostra as micrografias da microscopia eletrônica de varredura para as amostras PA, PA+Ox e PA+Ox+PI. As análises de MEV foram realizadas em modo elétrons retroespalhados (detector BSE), fornecendo imagens com informaçoes relacionadas à composiçao da amostra, contraste em funçao do número atômico dos elementos presente.

 


Figura 10. Microscopia Eletrônica de Varredura das membranas de PA, a) pré-tratada, b) incorporada com óxido de alumínio e ítrio e c) incorporada com o óxido e revestida com a poleterimida

 

Pode-se observar a presença do óxido de ítrio e alumínio nas micrografias b e c, os pontos claros estao relacionados ao óxido incorporado na membrana de PA. As micrografias mostram superfície nao homogênea, com partículas de PA fundidas entre si após preparaçao através da Manufatura Aditiva e a técnica de sinterizaçao a laser (SLS), como observados em outros trabalhos da literatura.12, 13

Para confirmaçao da presença do óxido de ítrio e alumínio na membrana de PA foi realizada o mapeamento dos elementos presente nas amostras através da Espectroscopia por Energia Dispersiva (EDS), a Figura 11 mostra as micrografias e as regioes mapeadas por EDS.

 


Figura 11. Microscopia Eletrônica de Varredura da membrana de PA+Ox, a) ampliaçao da regiao destacando as regioes claras e escuras e regioes mapeadas por EDS para os elementos b) O, c) C, d) N, e) Al e f) Y

 

Observa-se na Figura 11 a obtida no modo BSE, à diferença no contrates indica a presença do óxido de ítrio e alumínio (pontos claros) na membrana de PA. As imagens b, c, d, e e f da Figura 11 é o mapeamento dos elementos O, C, N, Al e Y, respectivamente em diferentes cores, nota-se que as Figuras b, c e d estao distribuídas por toda imagem, porém os elementos Al e Y estao concentrados nas regioes onde estao os pontos claros da micrografia da Figura 11 a. Realizou o EDS em regioes distintas para confirmar a incorporaçao do óxido, na Figura 12 , as regioes escura (1) e clara (2) foram utilizadas para a análise e a Figura 13 o gráfico mostrando os elementos encontrados nas regioes 1 e 2.

 


Figura 12. Microscopia Eletrônica de Varredura da membrana de PA+Ox, regiao escura (1) e clara (2)

 

 


Figura 13. EDS da membrana de PA+Ox, regiao escura (1) e clara (2)

 

Observa-se a presença das partículas do óxido de ítrio e alumínio disperso na membrana de PA, a técnica de microscopia e EDS confirmaram a presença do óxido na membrana.

A Figura 14 a e b mostra as micrografias ampliadas da membrana de PA e PA+Ox+PI.

 


Figura 14. Microscopia Eletrônica de Varredura das membranas, a) PA e b) PA+Ox+PI. As imagens mostram diferenças na morfologia da membrana de PA após sofrer revestimento com o PI.

 

Fotoluminescência (FL)

A Figura 15 a e b apresenta os espectros de emissao do íon Er3+ quando excitado em 980 nm no íon Yb3+, em funçao da potência do laser para a membrana contendo o óxido de ítrio e alumínio sem o revestimento do polieterimida (PA+Ox) e a dependência da intensidade de emissao em relaçao à potência do laser para as regioes verde e vermelha do íon Er3+.

 


Figura 15. Espectro de emissao do íon Er3+ na membrana de PA contendo o óxido de ítrio e alumínio (PA+Ox) (a) e a intensidade de emissao das bandas nas regioes verde e vermelha (b) em funçao da potência do laser.

 

As transiçoes relativas aos estados excitados 4S3/2 e 4F9/2 para o estado fundamental 4I15/2 do íon Er3+ sao observadas nos espectros da Figura 15a, observa-se um aumento gradual da intensidade de emissao em funçao da potência do laser. A banda emissao na regiao verde (544 nm) apresenta baixa intensidade até a potência de 0,57 W após esse valor ocorre um salto na intensidade de emissao e praticamente estabiliza. Para a banda emissao na regiao vermelha (660 nm) apresenta um aumento gradual até a potência de 0,64 W, onde ocorre um aumento na intensidade de emissao dessa regiao, Figura 15 b. O aumento na intensidade de emissao pode estar relacionado ao aumento na populaçao dos níveis emissores dos íons Er3+, e isso pode estar relacionado a reduçao das perdas de energia por mecanismos vibracionais da membrana de poliamida. O aumento da potência do laser produz um aumento na temperatura na regiao de incidência do laser, e como consequência a evaporaçao de resíduos de solvente e/ou água adsorvida sao eliminados, reduzindo as perdas vibracionais.

O aparecimentos das largas bandas de emissao entre 500 e 650 nm e entre 700 e 750 nm pode estar relacionado a aumento da temperatura promovida pelo aumento da potência do laser, e como consequência o inicio da degradaçao da poliamida. Os produtos da degradaçao podem estar produzindo essas largas bandas de emissao, visto que essas bandas aparecem acima da potência de 0,57 W, fato que nao ocorre com a membrana revestida com PI, a qual nao se degrada devido a proteçao exercida pelo PI.

A Figura 16 a e b apresenta os espectros de emissao do íon Er3+ quando excitado em 980 nm no íon Yb3+, em funçao da potência do laser para a membrana contendo o óxido de ítrio e alumínio e revestida com o polieterimida (PA+Ox+PI) e a dependência da intensidade de emissao em relaçao à potência do laser para as regioes verde e vermelha do íon Er3+.

 


Figura 16. Espectro de emissao do íon Er3+ para a membrana de PA contendo o óxido de ítrio e alumínio e revestida com o polieterimida (PA+Ox+PI) (a) e a intensidade de emissao das bandas nas regioes verde e vermelha (b) em funçao da potência do laser.

 

Os espectros apresentaram as bandas correspondentes às transiçoes características do íon Er3+. A intensidade de emissao das bandas nas regioes verde e vermelha apresenta um comportamento mais regular que para a amostra PA+Ox, a intensidade mostrou um aumento em funçao da potência do laser. A banda da regiao vermelha apresentou aumento gradual, enquanto a banda da regiao verde mostrou alta intensidade somente para a potência máxima do laser em 5,1 W, como mostra a Figura 16 b.

Os espectros de emissao nas Figuras 1, 15 a e 16 a, apresentaram as bandas na regiao vermelha (660 nm) mais intensa que a regiao verde (563 nm), alguns fatores podem estar influenciando, tais como porcentagem de Yb3+ e Er3+, matriz, metodologia, entre outras.8, 41, 42 Existe na literatura um bom número de artigos relacionando esses parâmetros e a intensificaçao das bandas nas regioes verde e vermelha. Uma das fases do óxido de ítrio e alumínio (YAG) apresenta um sítio de simetria com centro de inversao, como discutido no artigo.22 Assim, a forte emissao na regiao do vermelho pode ser devido ao concentraçao dos íons lantanóides, o sítio na matriz e a metodologias de síntese.

A Figura 17 a e b apresentam as fotografias das membranas para as amostras PA+Ox sem o revestimento da PI e com o revestimento, respectivamente.

 


Figura 17. Fotografias das membranas de PA contendo óxido de ítrio e alumínio sem revestimento de PI (a) e com o revestimento de PI (b), após serem submetidas ao laser de 980 nm

 

As setas na Figura 17 a, mostra a regiao onde o laser foi incidido, na b o inicio do revestimento com o PI.

A potência do laser para a amostra PA+Ox sem o revestimento do PI foi até 1,07 W, isso se deve ao fato que a membrana de PA começa a se degradar (queimar), como mostra Figura 17 a, já a fotografia da membrana revestida com PI após ser submetida à potência de 5,1 W, nota que nao ocorreu degradaçao da PA. O revestimento com o PI aumentou a resistência da PA.

 

CONCLUSAO

A membrana de poliamida preparada por manufatura aditiva sofreu modificaçoes através da incorporaçao do óxido de ítrio e alumínio dopado com íons Yb3+/Er3+, as caracterizaçoes mostraram que a estrutura original da membrana foi mantida. A tecnologia de manufatura aditiva mostrou que diferentes formas podem ser obtidas dependo das possíveis aplicaçoes.

Os íons lantanóides dopados no óxido e incorporado a membrana tiveram suas propriedades espectroscópicas mantidas, mostrando que a intensidade de emissao depende da potência do laser em 980 nm utilizado para excitaçao dos íons. O estudo mostrou que mescanismos de transferência de energia do Yb3+ para o Er3+ está presente, bem como a excitaçao direta do íon Er3+.

A membrana de poliamida após revestimento com o polímero polieterimida proporciou um aumento na resistência da membrana, suportanto até uma potência de 5,10 W, enquanto a membrana sem o revestimento o máximo foi de 1,07 W.

Reunindo as propriedades da manufatura aditiva, espectroscópica dos íons lantanóides e do aumento de resistência após revestimento, conclui-se que o material estudado apresenta características que apliam as áreas de aplicaçoes.

 

AGRADECIMENTOS

Os autores agradecem as agências brasileiras de fomento CAPES, CNPq (304348/2013-9 E.J.N.) e FAPESP (2015/20298-0 L.A.R. e 2015/22087-6 S.B.M.)

 

REFERENCIAS

1. Bloembergen, N.; Phys. Rev. Lett. 1959, 2, 84.

2. Brown, M. R.; Thomas, H.; Williams, J. M.; Woodwards, R. J.; J.Chem. Phys. 1969, 51, 3321.

3. Auzel, F.; J. Lumin. 1984, 31/32, 759.

4. Auzel, F.; Proc. IEEE 1973, 61, 758.

5. Wright, J. Up-conversion and excited-state energy transfer in rare-earth doped materials. In Radiationless Processes in Molecules and Condensed Phases; Fong, F. K., ed.; Springer: New York, 1976; v. 15, p 239.

6. Auzel, F.; Chem. Rev. 2004, 104, 139.

7. Rossetti, F. C.; Lopes, L. B.; Carollo, A. R. H.; Thomazini, J. A.; Tedesco, A. C.; Bentley, M. V. L. B.; J. Control. Rel. 2011, 155, 400.

8. Punjabi, A.; Wu, X.; Tokatli-Apolon, A.; El-Rifai, M.; Lee, H.; Zhang, Y.; Wang, C.; Liu, Z.; Chan, E. M.; Duan, C.; Han, G.; ACS Nano 2014, 8, 10621.

9. Cui, S.; Chen, H.; Zhu, H.; Tian, J.; Chi, X.; Qian, Z.; Achilefu, S.; Gu, Y.; J. Mater. Chem. 2012, 22, 4861.

10. Kim, J.; Creasy, T.S.; Polymer Testing 2004, 23, 629.

11. Volpato, N.; Prototipagem Rápida: Tecnologias e Aplicaçoes, Edgard Blücher, Sao Paulo, 2007.

12. Nassar, E. J.; Bandeira, L. C.; de Campos, B. M.; Calefi, P. S.; Ciuffi, K. J.; Silva, J. V. L.; Oliveira, M.; Maia, I. A.; J. Nanostruc. Poly. Nanocomp. 2011, 7, 47.

13. Bandeira, L. C.; Ciuffi, K. J.; Calefi, P. S.; Nassar, E. J.; Silva, J. V. L.; Oliveira, M.; Maia, I. A.; Salvado, I. M.; Fernandes, M. H. V.; J. Braz. Chem. Soc. 2012, 23, 810.

14. Bandeira, L. C.; de Campos, B. M.; Ciuffi, K. J.; Nassar, E. J.; Silva, J. V. L.; Oliveira, M. F.; Maia, I. A.; J. Braz. Chem. Soc. 2017, 28, 943.

15. Bandeira, L. C.; de Campos, B. M.; de Faria, E. H.; Ciuffi, K. J.; Calefi, P. S.; Nassar, E. J.; Silva, J. V. L.; Oliveira, M. ; Maia, I. A.; J. Therm. Analy. Calorim. 2009, 97, 67.

16. de Campos, B. M.; Bandeira, L. C.; Calefi, P. S.; Ciuffi, K. J.; Nassar, E. J.; Silva, J. V. L.; Oliveira, M.; Maia I. A.; Virtual and Physical Prototyping 2011, 6, 33.

17. de Souza, É. A.; Azevedo, C. B.; Rocha, L. A.; de Faria, E. H.; Calefi, P. S.; Ciuffi, K. J.; Nassar, E. J.; Silva, J. V. L.; Oliveira, M.; Maia, I. A.; J. Mater. Res. 2012, 27, 2088.

18. Batista, J. N. M.; de Faria, E. H.; Calefi, P. S.; Ciuffi, K. J.; Nassar, E. J.; Caiut, J. M. A.; Rocha, Lucas A.; Indus. Eng. Chem. Res. 2013, 52, 779.

19. de Campos, B. M.; Nassar, E. J.; Calefi, P. S.; Ciuffi, K. J.; Silva, J. V. L.; Oliveira, M.; Maia, I. A.; J. Therm. Analy. Calorim. 2014, 115, 1029.

20. de Souza, E. A.; de Campos, B. M.; Rocha, L. A.; de Faria, E. H.; Ciuffi, K. J.; Nassar, E. J.; Silva, J. V. L.; Oliveira, M. F.; Maia, I. A.; Quím. Nova 2016, 39, 1044.

21. Matos, M. G.; Calefi, P. S.; Ciuffi, K. J.; Nassar, E. J.; Inorg. Chim. Acta 2011, 375, 63.

22. Nassar, E. J.; Avila, L. R.; Pereira, P. F. S.; Mello, C.; de Lima, O. J.; Ciuffi, K. J.; Carlos, L. D.; J. Lumin. 2005, 111, 159.

23. Nassar, E. J.; Pereira, P. F. S.; Nassor, E. C. O.; Avila, L. R.; Ciuffi, K. J.; Calefi, P. S.; J. Mater. Sci. 2007, 42, 2244.

24. Pereira, P. F. S.; Caiut, J. M. A.; Ribeiro, S. J. L.; Messaddeq, Y.; Ciuffi, K. J.; Rocha, L. A.; Molina, E. F.; Nassar, E. J.; J. Lumin. 2007, 126, 378.

25. Pereira, P. F. S.; Matos, M. G.; Avila, L. R.; Nassor, E. C. O.; Cestari, A.; Ciuffi, K. J.; Calefi, P. S.; Nassar, E. J.; J. Lumin. 2010, 130, 488.

26. Pereira, P. F. S.; Matos, M. G.; Ferreira, C. M. A.; De Faria, E. H.; Calefi, P. S.; Lucas A. Rocha, Ciuffi, K. J.; Nassar, E. J.; J. Lumin. 2014, 146, 394.

27. Nassar, E. J.; Avila, L. R.; Pereira, P. F. S.; de Lima, O. J.; Rocha, L. A.; Mello C.; Ciuffi, K. J.; Carlos, L. D.; Quim. Nova 2005, 28, 238.

28. Saez-Puche, R.; Caro, P.; Rare Earths. Editorial Complutense, Madrid, p.317-331, 1998.

29. Song, F.; Zhang, G.; Chen, X.; Shang, M.; Feng, Y.; Jiang, S.; Myers, M.J.; Spectra Characteristics of Novel Er:Yb:phosphate Glass, Proceedings of SPIE - The International Society for Optical Engineering, 1998, 3280, 46.

30. Silversmith, A.; J. Lumin. 1994, 60&61, 636.

31. Avlar, S.; Qiao, Y.; Composites, Part A 2005, 36, 624.

32. Liu, X.; Wu, Q.; Eur. Polym. J. 2002, 38, 1383.

33. Laurati, M.; Arbe, A.; de Anda, A. R.; Fillot, L.-A.; Sotta, P.; Polymer, 2014, 55, 2867.

34. Salleh, W. N. W. S.; Ismail, A. F.; AIChE Journal, 2012, 58, 3167.

35. Abbasi, H.; Antunes, M.; Velasco, J. I.; European Pol. J. 2015, 69, 273.

36. Garcia, M. G.; Marchese, J.; Ochoa, N. A.; J. Appl. Polym. Sci. 2017, DOI: 10.1002/APP.44682.

37. Chen, B.-K.; Su, C.-T.; Tseng, M.-C. Tsay, S.-Y.; Polymer Bulletin 2006, 57, 671.

38. Mortensen, A.; Nielsen, O.F.; Yarwood, J.; Shelley, V.; J. Phys. Chem. 1994, 98, 5221.

39. Henríquez, C. M. G.; Tagle, L. H.; Terraza, C. A.; González, A. B.; Volkmann, U. G.; Cabrera, A. L.; Ramos-Moore, E.; Pavez-Moreno, M.; Polym Int 2012, 61, 197.

40. Jose, S.; Thomas, P. S.; Thomas, S.; Karger-Kocsis, J.; Polymer. 2006, 47, 6328.

41. Chen, X.; Nguyen, T.; Luu, Q.; DiBartolo, B.; J. Lumin. 1999, 83/84, 471.

42. Gavrilovi, T. V.; Jovanovi, D. J.; Smits, K.; Dramicanin, M. D.; Dyes and Pigments 2016, 126, 1.

On-line version ISSN 1678-7064 Printed version ISSN 0100-4042
Qu�mica Nova
Publica��es da Sociedade Brasileira de Qu�mica
Caixa Postal: 26037 05513-970 S�o Paulo - SP
Tel/Fax: +55.11.3032.2299/+55.11.3814.3602
Free access

GN1