JBCS



12:30, sáb out 25

Acesso Aberto/TP



Revisão


O-glicosídeos 2,3-insaturados: aplicações, rearranjo de ferrier e reações
2,3-unsaturated O-glycosides: applications, ferrier rearrangement and reactions

Aldiceia Luiz de Moura; Lidiane Macedo Alves de Lima; Giselle Barbosa Bezerra; Jucleiton J. R. de Freitas; Mônica Freire Belian; Clécio Souza Ramos; Rodrigo André Avelino; Joao R. de Freitas Filho*

Departamento de Química, Universidade Federal Rural de Pernambuco, 52171-900 Recife - PE, Brasil

Recebido em 06/09/2017
Aceito em 04/01/2017
Publicado na web em 28/02/2018

Endereço para correspondência

*e-mail: joaoveronice@yahoo.com.br

RESUMO

In carbohydrate chemistry, the O-glycoside is an organic molecule in which sugar is bound to another functional group via a glycosidic bond. In the last few years, considerable progress has been made in the synthesis and applications of O-glycosides. Despite their challenging chemistry, due to their versatility, O-glycosides play a pivotal role the development of the chemistry of novel materials and bioactive molecules. This review summarizes recent developments, in the last twenty years, about the Ferrier rearrangement reaction involving synthesis, mechanistic proposal and application of 2,3-unsaturated O-glycosides.

Palavras-chave: Ferrier rearrangement; O-glycosides; 2,3-unsaturated O-glycosides.

INTRODUÇAO

Os carboidratos sao as macromoléculas mais abundantes da Terra e sao muitos úteis para síntese orgânica, tornando essa área atrativa para o desenvolvimento de novos fármacos ou novas ferramentas para estudos biológicos.1 Dentre essas moléculas destacam-se os glicais.2 Sabe-se também que os glicais sao carboidratos largamente utilizados na síntese de O-glicosídeos,3-10 C-glicosídeos,11-18 S-glicosídeo,19-26 e N-glicosídeos27-31(Figura 1); e vários tipos de oligossacarídeos.32 Os mesmos servem como blocos de construçao essenciais para síntese de 2-desoxi-hexoses e 2-desoxi-2-amino-hexoses e para síntese de produtos naturais oticamente ativos.33,34 Os glicais foram obtidos pela primeira vez em 1913 por Emil Fischer e Zach.35

 


Figura 1. O-glicosídeos, C-glicosídeos, N-glicosídeos e S-glicosídeo 2,3-insaturados

 

Todavia, os O-glicosídeos 2,3-insaturados sao intermediários sintéticos utilizados como blocos de construçao de diferentes estruturas complexas, como constituintes de diversos produtos naturais36,31e moléculas de interesse biológico, como por exemplo, o glicosídeo de genisteína − G21 (Figura 2), que através de ensaios in vitro, apresentou efeito antiproliferativo celular.37 Além desse efeito, o G21 foi capaz de bloquear completamente o crescimento de células proliferativas a uma concentraçao de 10 mmol L-1, acompanhado por uma diminuiçao considerável da viabilidade celular, que permaneceu apenas afetada pelas células PC-3 (Linhagem de célula de câncer de próstata).

 


Figura 2. Estrutura do composto G21 sintetizado utilizando como aglicona a genisteína

 

Desde o primeiro relato da síntese de O-glicosídeos,38 avanços na rota sintética para obtençao desses compostos têm aumentado ao longo dos anos. Este crescimento pode ser observado pelo gráfico apresentado na Figura 3, o qual mostra os dados estatísticos de publicaçoes indexadas na base de dados da Web of Science no período de 2000 a 2017, utilizando como palavra-chave O-glicosídeos. Cerca de 800 artigos foram encontrados entre 2000-2017.

 


Figura 3. (A) Número de artigos publicados e (B) número de citaçoes sobre O-glicosídeos entre 2000-2017

 

Devido à relevância dos O-glicosídeos 2,3-insaturados, neste trabalho de revisao sao apresentados alguns tópicos sobre a sua síntese, mecanismos, reaçoes e aplicaçoes tanto na química de compostos bioativos como também na química de materiais.

 

APLICAÇOES DE O-GLICOSIDEOS

Como compostos bioativos

A procura por compostos que apresentem potencialidades biológicas é de suma importância para a sociedade, uma vez que há necessidade da introduçao de medicamentos no mercado. Uma boa fonte de obtençao de compostos com essas finalidades sao oriundas de produtos naturais, que apresentam em sua composiçao estruturas com princípios ativos relevantes.39 O catalpol, a salicina e a macrolactina O (Figura 4) sao exemplos de O-glicosídeos que estao presentes em produtos naturais, e que possuem diferentes atividades biológicas.40

 


Figura 4. Estrutura de O-glicosídeos de produtos naturais

 

Com relaçao ao composto 8, o mesmo foi isolada das culturas líquidas de Bacillus sp. AH159-1. A estrutura de macrolactina O foi atribuída com base em dados MS e RMN. Segundo os autores, o referido composto inibiu o peptídeo deformilase de S. aureus e também mostrou atividade antibacteriana contra Escherichia coli e Staphylococcus aureus.

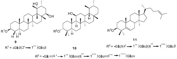
Em 2014, Chung e colaboradores41 isolaram três glicosídeos triterpênicos (Figura 5), o ursano-3β,19α,22β-triol-3-O-β-D-glicopiranosil (2'→1")-β-D-glicopiranosideo, ursano-3α,11-β-diol-3-O-α-D-glucopiranosil-(6'→1")-α-D-glicopiranosil-(6"→1'")-α-D-glicopiranosyl -(6'"→1"")-α-D-glicopiranosideo e lanosto-5,24-dien-3β-ol-3-O-β-D-glicopiranosil-(6'→1")-β-D-glicopiranosil-(6"→1'")-β-D-glicopiranosideo, da erva Ginseng vermelho, que exibiram atividades anti-inflamatórias contra células da linhagem RAW 264,7 de macrófagos murínicos. As estruturas dos triterpenos foram elucidadas por técnicas espectróscópicas, tais como infravermelho, RMN 1H e 13C, COSY, HMBC e MS.

 


Figura 5. Estruturas de glicosídeos tritrerpênicos isolado Panax ginseng

 

Considerando as substituiçoes da parte aglicona de flavonoides nos O-glicosídeos, várias substâncias sao relatadas na literatura com açoes farmacológicas, dentre as quais um estudo recente envolvendo a análise do extrato da castanha de cavalo japonesa, utilizando sementes inteiras e descascadas, revelou a identificaçao de oito glicosídeos de flavonol, incluindo seis compostos com quercetina e duas espécies com kaempferol como aglicona. Os resultados indicaram que as sementes descascadas, contendo O-glicosídeos de flavonol, sao uma boa fonte de antioxidantes que podem ser utilizados como aditivos alimentares e suplementos dietéticos.42

A partir das folhas da planta Indigo também foram isolados compostos O-glicosídeos de flavonol com diferentes tipos de agliconas, destes, o flavonoide 3,5,4-tri-hidroxi-6,7-metilenodioxiflavona-3-O-β-D-glicopiranosídeo (Figura 6) apresentou efeito inibitório sobre a atividade de HMG-CoAductase, a principal enzima da biossíntese de colesterol.43 O composto 12 foi identificado como 3,5,4-tri-hidroxi-6,7-metilenodioxiflavona-3-O-β-D-glicopiranosídeo com base nos dados de RMN 13C, RMN de 1H, UV, IR e MS. A análise GC-MS dos produtos após a clivagem ácida do composto 12 confirmou que o tempo de retençao e o espectro de massas sao da glicose.

 


Figura 6. Estrutura do composto 3,5,4-tri-hidroxi-6,7-metilenodioxiflavona-3-O-β-D-glicopiranosídeo

 

Através do isolamento de uma substância encontrada nas espécies de Piper umbellata e Piper peltata foi realizada uma síntese do composto denominado 4-nerolidilcatecol-3'-β-O-glicosídeo (Figura 7 que exibiu atividade antioxidante.44 Para avaliar a atividade antioxidante de 13, Cordeiro et. al.44 realizaram a análise do composto usando voltametria de pulso diferencial. Segundo os autores, o composto mostrou dois picos anódicos em 348 e 629 mV, e picos de corrente de 17 e 13 µA. A mudança negativa de mais de 200 mV mostrou que o composto 13 apresenta maior capacidade em reduzir. No entanto, o processo de glicosilaçao ocorreu no grupo hidroxila do C-3', levando à modificaçao do grupo catecol para o padrao monofenol. Por outro lado, os resultados foram obtidos de acordo com os princípios da química verde, ou seja, as condiçoes experimentais tiveram pouco impacto ambiental e os solventes sao renováveis e econômicos. Vale destacar que, no O-glicosídeo isolado das raízes de Streptocaulon juventus, foi observada uma atividade antitumoral significativa.45

 


Figura 7. Estrutura do composto 4-nerolidilcatecol-3'-β-O-glicosídeo

 

Em 2015, Xue e colaboradores46 relataram a atividade antitumoral frente a células tumorais de pulmao em testes in vitro e in vivo de um O-glicosídeo cardíaco, o TXA9 (Figura 8), que é um produto natural isolado das raízes de Streptocaulon juventus. Segundo os autores, os resultados do estudo in vivo revelaram que a administraçao intravenosa de TXA9 em doses elevadas (15 mg kg-1) induziu uma inibiçao significativa do crescimento tumoral de câncer de pulmao com taxa de inibiçao tumoral até 64,2%, em comparaçao com o grupo de controle. O efeito inibitório foi semelhante ao do taxol (62,5%). Em particular, nenhum efeito adverso foi exercido pelo TXA9, o que sugere que é bem tolerado.

 


Figura 8. Estrutura do O-glicosídeo cardíaco, denominado de TXA9

 

Na Química de materiais

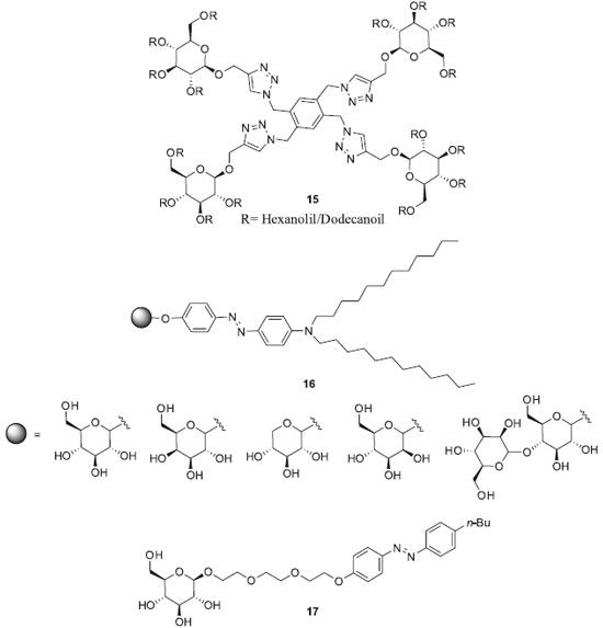
A utilizaçao de O-glicosídeos vem se destacando também na síntese de novos materiais funcionais, por exemplo, o composto 15, sao materiais nanoestruturados que possuem propriedades físico-químicas interessantes incluindo a capacidade de formar gel.47 Alguns O-glicosídeos com propriedades de cristais líquidos (por exemplo, os compostos 16) foram relatados na literatura (Figura 9).48-53 Em 2014, Tabor e colaboradores54 relataram a síntese de composto (17) contendo O-glicosídeo, com propriedades surfactantes fotossensíveis.

 


Figura 9. Estruturas de O-glicosídeos aplicados como novos materiais funcionais

 

Por outro lado, os carboidratos sao mesógenos atraentes para formar fases líquido cristalino,55 devido à sua alta abundância natural, diversidade estrutural, baixa toxicidade e potencial para formar nanoestruturas quirais. Os líquidos cristalinos (LC) de carboidratos, portanto, emergiram como ferramentas promissoras para correlacionar o comportamento da mesofase com a atividade biológica e com suas amplas aplicaçoes tecnológicas.

Abraham e colaboradores56 relataram a síntese e propriedades de líquido-cristalinos de O-glicosídeos mesógenos contendo o azobenzeno como aglicona (Figura 10). Moléculas que podem formar cristais líquidos sao chamadas mesógenos. Outras aplicaçoes de O-glicosídeos na química de materiais sao citadas na literatura.57

 


Figura 10. Estrutura de O-glicosídeos mesógenos com propriedades líquido-cristalinos

 

SINTESE E MECANISMO DE O-GLICOSIDEOS 2,3-INSATURADOS

Propostas de Síntese de O-glicosídeos 2,3-Insaturados

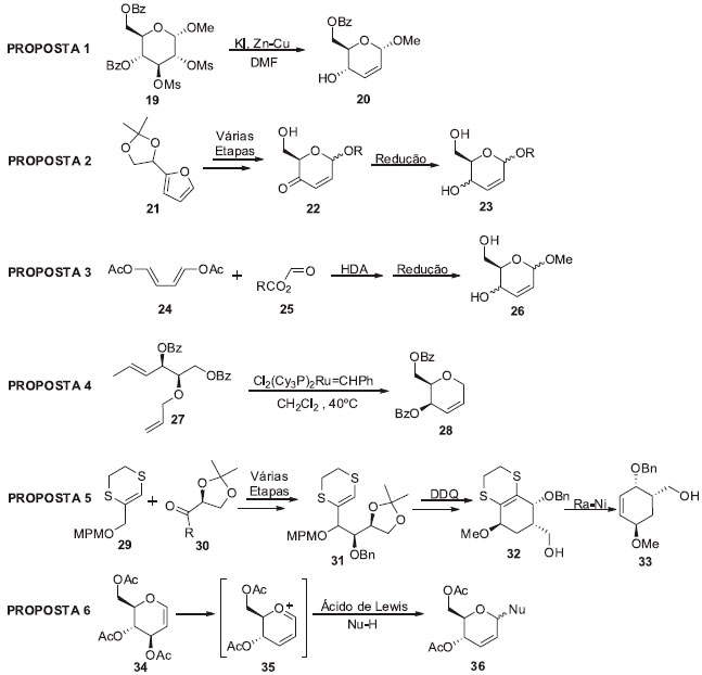
Existem na literatura diversos artigos relatando diferentes metodologias para obtençao de O-glicosídeos 2,3-insaturados.55-66 Estas metodologias podem ser resumidas em seis propostas principais: 1) uso de eliminaçao redutiva de dissulfato vicinal proposta por Fraser-Reid e Boctor; 2) rota de Zamojski e Achmatowicz; 3) Reaçao de hetero Diels-Alder (HDA) de 1,4-dialcoxi-1,3-dieno e compostos carbonílicos ativados; 4) fechamento de anel; 5) abordagem por grupo Guaragna'se; e 6) Rearranjo de Ferrier (Esquema 1).

 


Esquema 1. Propostas de síntese para obtençao de O-glicosídeos 2,3-insaturados

 

Todas as propostas de síntese apresentam vantagens e desvantagens na obtençao de O-glicosídeos 2,3-insaturados, porém, nesta revisao será enfocada a proposta 6 - Rearranjo de Ferrier - que é a mais utilizada por pesquisadores que trabalham com a química dos carboidratos. Por outro lado, há décadas que os O-glicosídeos vêm ganhando destaque, devido à possibilidade de efetuar uma série de modificaçoes em suas estruturas a fim de se obter um composto estável e quimicamente ativo.

Os O-glicosídeos 2,3-insaturados podem ser preparados através de um rearranjo alílico do glical na presença de um álcool e um ácido de Lewis, cujo intermediário de reaçao é o íon oxônio (35)(Esquema 2).56 Esse rearranjo alílico é atualmente conhecido como rearranjo de Ferrier. Segundo Gomes et al., nesse tipo de reaçao há a formaçao de anômeros α e β, cuja orientaçao da ligaçao pode ser controlada a partir de diversos fatores reacionais como: catalisador, efeito anomérico, efeitos estéricos da aglicona, solvente, entre outros.57

 


Esquema 2. Rearranjo alilíco de Ferrier para a formaçao de O-glicosídeos 2,3-insaturados

 

O íon oxônio (35) pode reagir com nucleofílo do tipo O_, S_, N-, ou C- no carbono anomérico (C-1) para fornecer os respectivos glicosídeos. A aproximaçao do nucleofílo pode ocorrer pelas duas faces, desta forma, em geral, é obtida uma mistura de isômeros: o α-anômero e o β-anômero. Em seguida sao descritas implicaçoes quimio-, regio- e estereoseletiva da reaçao de Ferrier.

Implicaçoes régio- e estereosseletiva do rearranjo de Ferrier

Entender o processo de régio- e estereosseletividade do rearranjo de Ferrier depende de fatores que influenciam na conduçao dessa reestruturaçao molecular, entretanto cinco fatores sao destacados a seguir: l) efeito anomérico, catalisador e solvente; ll) assistência anquimérica de C-6; lll) impedimento estérico da aglicona; lV) impedimento estérico do C-6; V) tipo de nucleófilo. Estes fatores sao demonstrados no Esquema 3 e descritos em seguida.

 


Esquema 3. Fatores que influenciam na formaçao do anômero α

 

Efeito anomérico, catalisador e solvente

Após várias pesquisas a respeito da conformaçao dos anéis de seis membros, verificou-se que a conformaçao cadeira é a mais estável e quando apresentar um substituinte (por exemplo: alquila), tende normalmente a se orientar na posiçao equatorial.67 Isto acontece devido a existência de forças repulsivas entre o substituinte quando localizado na posiçao axial e os átomos de hidrogênios do carbono 1 e 3, conforme Figura 11a. Esta repulsao é conhecida como interaçao 1,3-diaxial que tem sua intensidade aumentada com o tamanho do grupo alquílico.68 Em anéis piranosídicos esta preferência pela posiçao equatorial é perceptível apenas nos tetrahidropiranos com os substituintes OH-, em vista que nesta posiçao é estabilizado via ligaçao intramolecular pelo hidrogênio da hidroxila com a nuvem eletrônica do oxigênio do anel, conforme Figura 11b.

 


Figura 11. (a) Repulsao 1,3-diaxial, (b) Ligaçao intramolecular

 

Edward em 1955,69 enquanto estudava a hidrólise ácida da ligaçao glicosídica em carboidratos observou que o "efeito anomérico" era um efeito estereoeletrônico. Três anos depois o termo foi estudado por Lemieux e Chu.70 Segundo os dois estudos, o efeito anomérico se refere à preferência termodinâmica para substituintes eletronegativos no átomo de carbono C1 para assumir uma posiçao axial (α-anômero) em vez de uma posiçao equatorial (β-anômero) na conformaçao da cadeira de um monossacárido.71

A origem do efeito anomérico se baseia em duas possibilidades: a) o modelo de hiperconjugaçao e b) o modelo de repulsao eletrostática entre pares de elétrons isolados dos heteroátomos. De acordo com modelo de hiperconjugaçao, uma das razoes para a origem do efeito anomérico baseia-se na proposta de deslocalizaçao de um dos pares de elétrons nao ligantes do átomo de oxigênio do anel (O5) para o orbital antiligante nao ocupado σ*C1-O1, em virtude do átomo eletronegativo O1 atrair para si o par de elétrons da ligaçao química entre C1 e O1. Este movimento seria favorecido na conformaçao axial muito mais do que na equatorial (Figura 12).

 


Figura 12. Favorecimento do α-anômero através da deslocalizaçao de um par de elétrons isolado de O5 para o orbital antiligante σ*C1-O1

 

Este modelo pode ser justificado pelo encurtamento observado para a ligaçao O5-C1, bem como o favorecimento da conformaçao equatorial em soluçao aquosa, pois um dos pares de elétrons do confórmero α estaria deslocalizado para um orbital antiligante, e, portanto, com um nó entre a ligaçao C1-O1. Com isto enfraqueceria a ligaçao hidrogênio deste par isolado com as moléculas de água do solvente.

No modelo de repulsao eletrostática, o efeito anomérico surge da repulsao entre os pares de elétrons isolados dos átomos de oxigênio O1 e O5. Uma forma de representaçao simplificada para esta proposta seria analisar os vetores de momento de dipolo das ligaçoes do segmento anomérico (Figura 13).72

 


Figura 13. Modelo eletrostático da preferência pelo α-anómero devido as interaçoes dipolo-dipolo

 

Este modelo pode ser mais bem representado quando se analisa as funçoes de onda dos confôrmeros axial e equatorial, obtidas através de cálculos mecânicos-quânticos. Por buscar correspondência entre a funçao de onda e a estrutura química, uma funçao localizada será utilizada, no lugar de uma descriçao com orbitais moleculares (como os utilizados na aproximaçao Hartree-Fock).

No entanto, estudos computacionais revelaram que a energia devida à hiperconjugaçao nao é o contribuinte maioritário ao estabelecer a diferença de energia entre a configuraçao axial e equatorial. Além disso, a teoria do momento do dipolo diz que, no isômero β, os dipolos dos heteroátomos sao parcialmente alinhados, repelindo-se mutuamente. Mas, na configuraçao axial, a orientaçao oposta dos dipolos estabiliza o sistema, implicando uma barreira de energia mais baixa.

Ainda de acordo com Mo,72 as interaçoes hiperconjugativas nao sao responsáveis pelo efeito anomérico, melhor interpretado em termos de interaçoes eletrostáticas. Ainda segundo o modelo de repulsao eletrostático, este é incapaz de explicar as variaçoes nas distâncias de ligaçao e ângulos em torno do átomo de carbono anomérico, como também o encurtamento da ligaçao de O2-C1 e o alongamento da ligaçao C1-Y.

Em vista das explicaçoes, o anômero α representa o produto termodinamicamente controlado, enquanto que o anômero β representa o produto cineticamnte controlado (com exceçao de açúcares com grupos 2-OH axiais, como D-manose e L-ramnose, onde o produto axial é cinéticamente e termodinamicamente controlado).

A aproximaçao do nucleófilo pela face superior do intermediário reacional gera o β-isômero, no qual o substituinte do carbono anomérico encontra-se na posiçao pseudo-equatorial, resultando na hiperconjugaçao entre o par de elétrons nao ligantes do oxigênio do grupo O-R (C-1) e o orbital antiligante da ligaçao entre o C-1 e o oxigênio endocíclico, conhecido como efeito exo-anomérico (Figura 14).

 


Figura 14. Contribuiçoes do efeito exo-anomérico (interaçao do tipo overlap do orbital nao ligante de OR com o antiligante da C1) e efeito endo-anomérico

 

Quando ocorre a aproximaçao do nucleófilo pela face inferior do íon oxônio, o isômero gerado é o anômero α e sua posiçao é pseudo-axial. Esta configuraçao, além de ser estabilizada pelo efeito exo-anomérico, conta ainda com a interaçao do efeito endo-anomérico, ou seja, a interaçao entre o par de elétrons nao ligantes do oxigênio endocíclico e o orbital antiligante da ligaçao C1-OR.73

É conhecido que vários fatores influenciam o equilíbrio conformacional de glicais acetilados. O efeito anomérico vinílogo (VAE), originalmente descrito por Ferrier e Sankey como efeito alílico,74 dita uma orientaçao pseudoaxial preferida do grupo acilóxido em C-3 em um glical, na ausência de substituintes no C-5.75-77 Este efeito, que induz o alongamento da ligaçao C3-O, pode ser explicada pela hiperconjugaçao entre o elétron nao ligante do oxigênio presente no anel endocíclico e o orbital antiligante C3-O (n→π→σ*). Essa interaçao só é possível quando o grupo alílico é orientado quase que axialmente; daí o efeito de estabilizar, por exemplo, a forma 5H4 de 3,4-di-O-acetil-D-xilal (Figura 15). Este fenômeno é conhecido como efeito anomérico vinílogo (VAE).

 


Figura 15. Equilíbrio conformacional e porcentagens de confôrmero em 3,4-di-O-acetil-D-xilal (efeito anomérico vinílogo)

 

Em relaçao aos glicais acetilados (D-glicose e D-galactose), outro fator que afeta o equilíbrio conformacional é a presença de interaçoes 1,3-diaxiais. Este efeito compete com o VAE (efeito anomérico vinílogo) e desestabiliza a forma 5H4 quando há um substituinte em C-5 (Figura 16). Este segundo fator nao exibe preferência para a orientaçao quasi-axial do grupo OAc no C3 quando o grupo ligado a C-5 é orientado axialmente, isto devido à repulsao estérica entre esses dois grupos (Figura 16). Além disso, convém destacar que as interaçoes 1,3- sao influenciadas pela orientaçao do grupo OAc em C4, mostrando que as interaçoes 1,3-diaxiais sao mais fortes quando o grupo OAc no C4 e OAc no C3 estao localizados no mesmo lado do anel piranosídico (ou seja, o grupo OAc em C4 está orientado equatorialmente e OAc em C3 orientado axialmente).62 O equilíbrio conformacional 4H5 e 5H4 no tri-O-acetil-D-galactal (Figura 16a) é, portanto, deslocado para a forma 4H5 mais fortemente do que o equilíbrio análogo no tri-O-acetil-D-glical (Figura 16b).

 


Figura 16. Equilíbrio conformacional em 3,4,6-tri-O-acetil-D-galactal (52) e 3,4,6-tri-O-acetil-D-glical (34)

 

Outro efeito que influência o rearranjo Ferrier é o catalisador, atuando como um ácido de Lewis, aceitando os pares de elétrons provenientes dos oxigênios da molécula do açúcar. No Esquema 4 pode-se observar a interaçao do catalisador, neste caso a montmorillonita (K-10), com o tri-O-acetil-D-glical (34), o catalisador interage especialmente com o grupo acetila (C-3), com a saída do grupo acetoxi em C-3, gerando o cátion 58.

 


Esquema 4. Reaçao de formaçao do cátion 58

 

Entretanto, alguns catalisadores nao favorecem o rearranjo de Ferrier como é o caso do tricloreto de cério heptahidratado (CeCl3.7H2O) na presença de iodeto de sódio (NaI).78 Assim, o tratamento do 3,4,6-tri-O-acetil-D-glical (34) com diferentes álcoois 59a-c na presença de heptahidrato de cloreto de cerio (III) e iodeto de sódio em acetonitrila forneceu o correspondente 2-desoxi-glicopiranosideo com rendimento variando de 87-90% e alta seletividade em favor do α-anômero (Esquema 5). Outros exemplos de catalisadores iguais ao CeCl3.7H2O sao os TPHB (PPh3HCl) e TFA que foram utilizados por Lin e colaboradores.79

 


Esquema 5. Síntese de 2-desoxiglicopiranosídeo a partir do do 3,4,6-tri-O-acetil-D-glical

 

O solvente é outro fator que influência a estereosseletividade da reaçao de glicosilaçao, como foi relatado por Oliveira e colaboradores,80 em que foi adotada, inicialmente, a metodologia para síntese de glicosídeos 2,3-insaturados usando o catalisador de NbCl5 no solvente diclorometano (CH2Cl2). Contudo, esse solvente nao solubilizava eficientemente o complexo formado entre o composto 34 e o catalisador, logo, era necessário aumentar a quantidade de catalisador e do nucleófilo (alcoóis) para efetivar a conclusao da reaçao. Diante disso, os autores testaram diferentes solventes e sistemas, tais como diclorometano, diclorometano/acetonitrila (CH3CN), diclorometano/dimetilformanida (DMF) e tetrahidrofurano (THF), sendo observado o THF como melhor solvente para solubilizar o complexo glical-NbCl5. Além disso, o uso deste solvente possibilitou uma diminuiçao considerada do tempo reacional e dos reagentes empregados, obtendo melhores rendimentos entre 70-87%.

Convém destacar que o uso do solvente associado ao catalisador NbCl5 favorece a reaçao de glicosilaçao em favor do anômero α, sendo que esta espécie catalítica coordena-se com o oxigênio do grupo acetoxi ligado ao carbono 3 do anel piranosídico, formando o complexo glical-NbCl5. Através do mecanismo SN2', o cloro ataca o carbono anomérico pela posiçao β gerando a espécie que reage rapidamente via SN2 com o nucleófilo fornecendo o α-glicosídeo 2,3-insaturado (Esquema 6). Oliveira ressalta que a anomerizaçao é mais lenta que o ataque nucleofílico o que justifica a exclusividade do anômero α.

 


Esquema 6. Proposta de mecanismo utilizando como catalisador o NbCl5

 

Vale ressaltar que grande parte das reaçoes de glicosilaçao é realizada sob refluxo, logo, a escolha do solvente outra vez é importante, pois solventes como o CH2Cl2 têm ponto de ebuliçao em torno de 45 °C, já o benzeno próximo aos 80 °C. Essa diferença pode acentuar o grau de decomposiçao do composto 34, além de promover uma diminuiçao na estereosseletividade da reaçao.

Assistência anquimérica

A assistência anquimérica é um dos fatores que podem influenciar a formaçao exclusiva do α-anômero na reaçao de glicosilaçao. Algumas propostas sugerem a participaçao do grupo acetoxi ligados ao carbono 3 ou 6 do anel piranosídico mediando essa assistência.

Ferrier e Prasad, em 1969,81 propoem uma assistência anquimérica do grupo acetoxi localizado em C-3 para o carbono anomérico, fornecedor o intermediário 64. Esta espécie 64 tem a posiçao β bloqueada, logo com o ataque do nucleófílo só há formaçao do composto 63 (Esquema 7).

 


Esquema 7. Assistência anquimérica proposta por Ferrier e Prasad

 

Em 2004, Boga e Balasubramanian82 relataram a seletividade em torno do α-anômero quando estudavam as reaçoes de glicosilaçao, propondo um mecanismo que envolvia a assistência anquimérica proveniente do oxigênio ligado no C-6 ao carbono anomérico, gerando um novo anel de cinco membros. Esse cátion 65 apresenta a posiçao beta bloqueada o que explica a formaçao exclusiva de α-glicosídeo 63 (Esquema 8).

 


Esquema 8. Assistência anquimérica proposta por Boga e Balasubramanian

 

Recentemente, Oliveira e colaboradores83 descreveram que quando o tri-O-acetil-D-glical é tratado com K-10, a argila irá se complexar com o átomo de oxigênio do grupo OAc em C-3 formando um complexo K-10-OAc (66), como mostrado no Esquema 9. A ligaçao C3-OAc torna-se enfraquecida, sendo removida facilmente, devido à assistência anquimérica do grupo C4-OAc, formando o intermediário 67. Após o rearranjo alílico e a assistência anquimérica do grupo acetila na posiçao C6, leva à formaçao do intermediário 68. Neste intermediário, a carga positiva no átomo de carbono é estabilizada por dois átomos de oxigênio. Neste caso, o álcool pode atacar C-1 apenas por baixo, formando a espécie protonada da molécula 69, que depois de perder o próton leva à formaçao do composto 63.

 


Esquema 9. Mecanismo proposto para síntese dos O-glicosídeos 2,3-insaturados 63

 

Impedimento estérico da aglicona

Em 2001, Srivastava e colaboradores84 utilizaram alcoóis ftalimídicos na reaçao de glicosilaçao obtendo excelente estereosseletividade em favor do anômero α na proporçao de 94:6 (α:β). Tal seletividade deve-se ao fato de os álcoois ftalimídicos serem suficientemente grandes a ponto de provocar um impedimento estérico quando o ataque ocorre pela posiçao β (Esquema 10).

 


Esquema 10. Reaçao de glicosilaçao estereosseletiva (94:6) devido ao impedimento estérico da aglicona (alcoóis ftalimídicos)

 

Impedimento estérico do C-6

Este efeito proveniente da aglicona também pode ser vislumbrado para o C-6 quando este apresenta um grupo protetor volumoso como é o caso do tritila ou benzila (Esquema 11). Em seu manuscrito, Demchenko85 relatou o desenvolvimento histórico da reaçao de glicosilaçao associados aos problemas de estereosseletividade como também as influências do grupo protetor localizado C-6 influenciando na anomerizaçao.

 


Esquema 11. Reaçao de glicosilaçao influenciada pelo impedimento estérico do grupo protetor tritila

 

Tipo do nucleófílo

A natureza do nucleófilo em geral determina a regiosseletividade do rearranjo alílico, pois o agente nucleofílico pode atacar os carbonos C-1 ou C-3 do composto 34. No rearranjo de Ferrier, os O- e C- nucleófilos favorecem a formaçao de O- e C- glicosídeos 2,3-insaturados 75,86-90 enquanto o N- e S- nucleófilos favorecem a formaçao de N- e S- glicosídeos 1,2-insaturados 76 (Esquema 12).91

 


Esquema 12. Ataque do nucleófilo ao cátion 74 formando o glicosídeo 2,3-insaturado 75 e o glicosídeo 1,2-insaturado 76

 

Promotores para rearranjo de Ferrier de glicais e propostas mecanísticas

Uma das reaçoes envolvendo carboidratos insaturados que vem ganhando grande destaque foi proposta por Ferrier na década de 60, conhecida por rearranjo alílico ou de Ferrier. Estudos iniciais sobre o rearranjo de Ferrier fizeram uso de ácidos de Lewis simples, como BF3·Et2O, como promotores.92 Desde entao, uma atençao considerável tem sido dedicada à investigaçao de catalisadores ácidos alternativos para esta transformaçao.

Os estudos sobre rearranjo de Ferrier foram sendo aperfeiçoados no intuito de fornecer produto de forma rápida e enantiomericamente pura, por esse fato existe uma grande variedade de artigos com diferentes metodologias na síntese desses compostos.93,94 As modificaçoes mais expressivas sao a mudança de catalisadores e o uso de novas fontes de energia, como o uso da irradiaçao de micro-ondas por exemplo.95

Em 2010, Menezes et al.96 utilizaram como catalisador o TeBr4 para promover a síntese de O-glicosídeos 2,3-insaturados (Esquema 13). Neste trabalho os autores observaram uma alta seletividade anomérica no uso desse catalisador, uma diminuiçao drástica no tempo reacional (2-30 minutos) e rendimentos de bons a excelentes (70-94%). Outro ponto de destaque é que a reaçao do glical (34) com t-BuOH (77) já tinha sido descrita como difícil de ocorrer, contudo, o emprego desse catalisador possibilitou a obtençao do glicosídeo 2,3-insaturado (78) com bom rendimento reacional (86%) e alta seletividade anomérica (α/β = 93/7) (Esquema 13).

 


Esquema 13. Síntese de glicosídeos 2,3-insaturados promovida por TeBr4

 

O uso da irradiaçao de micro-ondas para promover reaçoes tem sido bastante difundido na química orgânica sintética, pois esta fonte apresenta vários pontos positivos, tais como a reduçao de formaçao de subprodutos da reaçao, diminuiçao no tempo reacional e o aumento de rendimento.97 Vale destacar que a irradiaçao de micro-ondas para o rearranjo de Ferrier vem sendo relatada na literatura.98

Em 2011, Lin et al.99 utilizaram a irradiaçao de micro-ondas para promover a síntese de α-O-2-deoxiglicosídeo. Neste trabalho, os autores discutiram alguns pontos sobre a reaçao de glicosilaçao, tais como os efeitos dos ácidos de Lewis, do nucleófílo, da irradiaçao de micro-ondas e o estudo mecanístico na seletividade de endo-glical. Os autores observaram que o uso da energia de micro-ondas foi necessário para aumentar a velocidade de reaçao e a seletividade na formaçao do 2-deoxi-α-galactopiranosídeo (81). Os melhores resultados, tanto em rendimento (90%) como em seletividade (α/β: 8/1), foram para a reaçao catalisada pelo cloreto de alumínio (AlCl3) (Esquema 14). Os autores também observaram que, ao usar outros ácidos de Lewis (FeCl3, ZnCl2, SnCl2 e Eu(OTf)3), ocorria a formaçao do produto rearranjado (82). Isso indica que a reaçao de glicosilaçao ocorre provavelmente através de duas vias reacionais diferentes: protonaçao ou rearranjo alílico.

 


Esquema 14. Síntese de glicosídeos catalisada por AlCl3

 

Um mecanismo para formaçao exclusiva do composto (84), utilizando cloreto de alumínio, foi proposta pelos autores (Esquema 15). Inicialmente o álcool é ativado pelo cloreto de alumínio, formando o alcóxido (nucleófílo). Os átomos de oxigênio dos grupos benzila de 3,4,6-tri-O-benzil-D-galactal (79) se ligam ao alumínio e, na sequência, ocorre a protonaçao pelo cloreto de hidrogênio, formando o íon oxônio (83). O intermediário (83) entao reage com o alcóxido ativado, formando o 2-deoxiglicosídeo (84). Devido ao impedimento e efeito anômerico ocorre à formaçao de α-glicosídeo.

 


Esquema 15. Mecanismo de glicosilaçao promovido por AlCl3

 

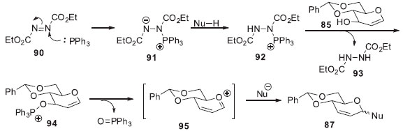
Michigami e Hayashi (2012)100 relataram a síntese de O- e N-glicosídeos via rearranjo de Ferrier sob condiçao reacional de Mitsunobu. No trabalho, os autores utilizaram três D-glicais: o 4,6-O-benzilideno-D-glical (85); o 4,6-O-benzilideno-D-alose (86) e o 4,6-di-O-acetil-D-glical (88), para o estudo da seletividade na síntese de O-glicosídeos 2,3-insaturados (Esquema 16).

 


Esquema 16. Síntese de glicosídeos 2,3-insaturados sob condiçoes de Mitsunobu

 

Segundo os autores, melhores resultados, tanto em termo de rendimento (83%) como também em termo de seletividade (α/β, 75:25), foram observados para a reaçao entre o substrato (85) e o ácido p-nitrobenzóico, em azidocarboxilato de dietila (DEAD) e trifenilfosfina (PPh3). Quando o composto (88) foi utilizado para obtençao dos O-glicosídeos 2,3-insaturados (89), observaram que a seletividade diminuía variando entre α/β= 66:34 a 52:48, isto é, devido ao grupo 4-O-acetil (88) na formaçao do isômero β. Os autores ainda propuseram um possível mecanismo SN1 via íon oxocabônio alílico (95) (Esquema 17).

 


Esquema 17. Mecanismo de glicosilaçao usando reagentes de Mitsunobu

 

Como mencionado anteriormente, os O-glicosídeos 2,3-insaturados sao intermediários muito úteis em síntese orgânica, contudo, a busca de novas metodologias sintéticas para obtençao dessa classe de compostos com alta seletividade tem gerado uma grande preocupaçao, pois muitas vezes sao empregados catalisadores e solventes altamente tóxicos. Na busca por novas metodologias verdes que levem a formaçao dos O-glicosídeos 2,3-insaturados em curtos períodos de tempo e livre de solventes orgânicos, Du e Hu101 realizaram a síntese de diferentes O-glicosídeos 2,3-insaturados via rearranjo alílico. Nesta reaçao os glicosídeos foram obtidos utilizando-se sílica gel como catalisador e sob irradiaçao de micro-ondas. Esta proposta sintética é eficiente, rápida e limpa, onde os compostos foram obtidos com altos rendimentos e baixo tempo reacional. O ponto de destaque dos autores é que este método é aplicável nao só ao rearranjo de Ferrier com o 3,4,6-tri-O-acetil-D-galactal e 3,4,6-tri-O-acetil-D-glical, mas também para a reaçao com o 3,4-di-O-acetil-D-arabinal.101

Convém destacar que as reaçoes envolvendo líquidos iônicos à temperatura ambiente têm atraído grande atençao de químicos sintéticos, devido a sua capacidade de atuar como meio de reaçao verde.102 Guchhait e Misra103 também utilizaram líquidos iônicos à temperatura ambiente para promover reaçoes de carboidratos. Esta condiçao foi aplicada utilizando-se dois diferentes glicais (o tri-O-acetil-D-glical e o tri-O-acetil-D-galactal) em reaçoes com diferentes nucleófilos, tais como alcoóis e tióis. Os autores relataram que a metodologia envolvendo líquido iônico ([BMIM].OTf) à temperatura ambiente é bastante atrativa, pois nao utiliza produtos químicos perigosos e é de fácil manipulaçao. Outro ponto destacado pelos autores é que esta reaçao é razoavelmente rápida, ambientalmente limpa, com alto rendimento e estereoseletividade em favor do anômero α.48 Portanto, essa condiçao de reaçao fornece uma alternativa melhor e mais prática para os procedimentos existentes para essa reaçao.

Em 2015, Chen et al.104 sintetizaram uma série de O-, S-, N- e C-glicosídeos 2,3- insaturados, reagindo o 3,4,6-tri-O-acetil-D-glical ou 3,4-di-O-acetil-L-ramnal com vários nucleófilos, em acetonitrila e utilizando como catalisador o Tm(OTf)3. Os produtos foram obtidos com moderados a bons rendimentos de 42-88% e elevada seletividade enantiomérica do anômero α (Esquema 18).

 


Esquema 18. Rearranjo de Ferrier promovido pelo Tm(OTf)3

 

Nesse mesmo ano, Kubiak et al.105 sintetizaram O-glicosídeos 3,4- e 2,3- insaturados a partir de 6-O-terc-butildifenilsilil-3,4-di-O-isobutiloxicarbonil-D-glical (99) e vários fenóis e tendo como catalisador um complexo de Pd (0). A reaçao foi estereoespecífica, em todos os casos, onde apenas o anômero β foi formado (Esquema 19).

 


Esquema 19. Arilaçaoestereoespecífica de 6-O-terc-butildifenilsilil-3,4-di-O-isobutiloxicarbonil-D-glical com vários fenóis

 

Recentemente, Regueira et al.106 propôs uma nova metodologia para síntese de O-glicosídeos 2,3-insaturados utilizando como fonte de energia o ultrassom. Nesta reaçao foi usado como catalisador o ácido p-toluenossulfônico (TsOH), os produtos foram obtidos em baixos tempos reacionais de 3-25 minutos, com bons rendimentos 50-92% e excelente estereoseletividade, variando de 86:14 a 95:5 em favor do anômero α (Esquema 20).

 


Esquema 20. Síntese de glicosídeos-2,3-insaturados utilizando irradiaçao de ultrassom e TsOH como catalisador

 

Em 2015, de Freitas Filho e colaboradores107 relataram a síntese de cinco O-glicosídeos possuindo como aglicona o anel 1,2,4-oxadiazólico. Inicialmente foram sintetizados os 1,2,4-oxadiazóis 110a-e a partir das amidoximas 107a-e e do ácido levulínico (108) em presença de DCC e THF, os quais foram reduzidos usando Baker's yeast para fornecer os compostos 111a-e com excesso enantiomérico variando de 84-94% da configuraçao (S). A reaçao de glicosilaçao de (34) com 111a-e em presença de montmorilonita K-10 como catalisador em diclorometano forneceu os 1-(S)-metil-[aril-1,2,4-oxadiazol-5-il] propil 2,3-dideoxi-α-D-eritro-hex-2-enopiranosideos 112a-e em bons rendimentos e formaçao do α-anômero como produto majoritário ou exclusivo. A montmorilonita atuou como ácido de Lewis, complexando com o átomo de oxigênio do grupo acetoxi ligado ao C-3 e, em seguida, através de rearranjo alílico, tem-se a saída dos substituintes em C-3, ficando a carga positiva localizada no oxigênio do anel, com posterior ataque nucleofílico do álcool levando à formaçao do anômero α. Nesse trabalho, os autores descrevem a configuraçao absoluta determinada através de cristalografia de raios-X do estereocentro da parte aglicônica (Esquema 21).

 


Esquema 21. Síntese de 1-(S)-metil-[aril-1,2,4-oxadiazol-5-il] propil 2,3-dideoxi-α-d-eritro-hex-2-enopiranosideo

 

Por outro lado, vários artigos descrevem a síntese de O-glicosídeos 2,3-insaturados utilizando outros tipos de nucleófilos como aglicona, tais como o carbonato de glicerol usada para construçao de blocos de construçao no desenvolvimento de análogos de glicoglicerolipídios108 e o triazol-glicosídeos preparados a partir do acoplamento de propargil glicosídeos e azidas, ou azido glicosídeos e alquinos.109

Recentemente, Liu et al.110 relataram a síntese de O-glicosídeos 2,3-insaturados utilizando o rearranjo de Ferrier, em que, primeiramente, o grupo de saída na posiçao C-3 do tri-O-acetil-D-glical ou hexa-O-acetil-D-lactal é removido na presença do catalisador Hf(OTf)4 (Esquema 22), formando no anel um cátion como intermediário que é atacado pelo nucleófilo, alcoóis ou tióis, para formar uma nova ligaçao glicosídica. Ao término da reaçao e purificaçao, os autores observaram altos rendimentos na utilizaçao de nucleófilos sem muitas ramificaçoes e baixo rendimento ao utilizar nucleófilos ramificados, no entanto, os compostos foram obtidos com maior estereoseletividade em favor do α-anômero (α/β variando de 83:17 a 99:1).110

 


Esquema 22. Síntese de O-glicosídeos 2,3-insaturados utilizando como catalisador o catalisador Hf(OTf)4

 

Em 2016, Chen e Su conseguiram sintetizar O-, S-, N- e C-glicosídeos, dentre os quais dez compostos sao O-glicosídeos obtidos a partir da reaçao de três glicais insaturados diferentes com o sal de lantanídeo, Gd(OTF)3, agindo como catalisador (Esquema 23). As reaçoes apresentaram tempos reacionais curtos e boa seletividade na obtençao do anômero α, o que é explicado pela assistência anquimérica do grupo em C-6 que forma um anel de cinco membros.111

 


Esquema 23. Síntese de O-glicosídeos 2,3-insaturados utilizando como catalisador o Gd(OTF)3

 

Em 2001, Yadav et al.112 apresentaram a síntese de dezenove O-glicosídeos 2,3-insaturados mediada por nitrato de amônio e Ce(IV) em acetonitrila (CH3CN), cujo rendimentos variaram entre 78-92% com excelente seletividade do anômero α. Um ponto interessante desta metodologia é que a reaçao se processa em condiçao neutra, o que nao prejudicou o rearranjo de Ferrier. Os autores propuseram um mecanismo radicalar para a formaçao dos O-glicosídeos 2,3-insaturados 119, conforme demonstrado no Esquema 24. A glicosilaçao de 116 com um álcool na presença de nitrato de cério (IV) e amônio (CAN) prossegue através da transferência de um elétron com formaçao inicial de um cátion radical 117 e um intermediário de oxônio alílico 118.

 


Esquema 24. Proposta de mecanismo radicalar para o rearranjo de Ferrier

 

Após um ano, desde sua publicaçao sobre a aplicaçao do nitrato de amônio e cério (IV) como catalisador para obtençao de glicosídeos, Yadav e colaboradores113 propuseram um novo catalisador para promover o rearranjo de Ferrier em condiçoes neutra e com bons rendimentos. Tal agente catalítico foi o tricloreto de cério heptahidratado (CeCl3.7H2O) em acetonitrila (CH3CN). Além disso, os autores observaram que o catalisador associado com o iodeto de sódio proporcionava a formaçao do 2-deoxiglicopiranosideo. Segundo os autores, o interessante da proposta é que sais de lantanídeos sao ácidos de Lewis e que os sais de cério sao pouquíssimos tóxicos, além de serem disponíveis comercialmente com baixo custo e bastantes estáveis.

Em 2004, Srivastava e colaboradores56 relataram a síntese de novos glicosídeos 2,3-insaturados, apresentando como aglicona o núcleo oxadiazólico. A reaçao dos 4-[3- (aril)-1,2,4-oxadiazol-5-il]-2-butanois 120a-e com tri-O-acetil-D-glical 34 em presença da montmorillonita k-10, forneceu os compostos 121a-e e 122a-e, em bons rendimentos e seletividade em favor do α-anômero (Esquema 25). A cromatografia em camada delgada mostrou duas manchas bem próximas, o que dificultou sua separaçao. No entanto, o espectro de RMN 1H da mistura apresentou dois sinais do grupo metila de 121a-e e 122a-e na regiao δ 1,21-1,40 ppm na proporçao de 2: 3 indicando a presença de diastereisômeros. Diante da dificuldade em separar os distereoisômeros 121a-e e 122a-e, os autores do trabalho realizaram uma hidrólise, usando um sistema metanol : água : trietilamina (proporçao de 9:6:1) que levou à formaçao dos compostos 123a-e e 124a-e, ainda como uma mistura de diastereoisômeros. A cromatografia em camada delgada dos produtos obtidos mostrou duas manchas com de valores Rf muito próximos. No entanto, foi possível separá-los por cromatografia líquida usando sílica gel. Os diastereoisômeros em menores proporçoes, em cada caso, cristalizaram. Todos eles deram um dupleto do grupo metila a δ 1,35 ppm, e o hidrogênio anomérico apareceu a δ 5,13 ppm. O outro conjunto de diastereoisômeros (maior quantidade) nao foi possível cristalizar. Todos os cinco produziram um dupleto do grupo metila a δ 1,25 ppm, e o hidrogênio anomérico δ 5,16 ppm. Um dos diastereoisômeros com cristais bem definidos foi submetido à cristalografia de raios-X. Os dados cristalográficos forneceram informaçoes precisas sobre a configuraçao (em C-8) e também sobre a conformaçao molecular de 123d. Como esperado, as configuraçoes em C (10), C (12) e C (13) sao (S), (R) e (S), respectivamente. Ainda segundo os autores, a ligaçao C(8)- H é aproximadamente paralela àquelas em C (10) e C (13), e antiparalelas à de C (12).

 


Esquema 25. Síntese de O-glicosídeos 2,3-insaturados contendo como aglicona 1,2,4-oxadiazóis

 

Em 2008, Suryakiran et al.114 relataram um procedimento geral para a síntese de O-glicosídeos 2,3-insaturados, envolvendo o tri-O-acetil-D-glical e uma variedade de agentes nucleofílicos, tais como: alcoóis, fenóis, tióis, tiofenóis e tetrametilsilano (TMS), em presença de nitrato de lantânio (III) hexahidratado como catalisador (Esquema 26). Nesta metodologia o catalisador é um sal de lantanídeo que nao é tóxico nem sensível à umidade do ar, o qual apresenta o metal de transiçao interna, o lantânio, que é altamente oxofílico (possui uma alta afinidade pelos ânions duros, tais como, O-2 e F-), o que provoca a formaçao de uma ligaçao coordenada com o oxigênio da carbonila do C-3.

 


Esquema 26. Proposta de mecanismo segundo Suryakiranet al., para síntese de O-glicosídeos 2,3-insaturados

 

Assim, o uso do rearranjo de Ferrier rompe décadas mostrando sua eficiência e eficácia na síntese de O-glicosídeos 2,3-insaturados que sao importantes intermediários na preparaçao de compostos quimicamente ativos.

 

REAÇOES COM O-GLICOSIDEOS 2,3-INSATURADOS

O-glicosídeos 2,3-insaturados ou 2,3-dideoxi-hex-2-enopiranosídeos sao importantes blocos de construçao na síntese de vários produtos de relevância biológica e na síntese de produtos naturais. Nesse sentido, vale destacar que as transformaçoes sintéticas de O-glicosídeos 2,3-insaturados têm sido realizadas na última década.115 Esses compostos podem sofrer reaçoes de hidrogenaçao, hidroxilaçao, oxidaçao, azidaçao e epoxidaçao, dentre outras, com alta estereoseletividade. Além disso, podem ser incorporadas funcionalidades que polarizam a dupla ligaçao dos hex-2-en-piranosídeos, com substituintes do tipo nitro e sulfonila que permitem adiçoes de Michael. A insaturaçao presente em sua estrutura confere uma maior reatividade no carbono anomérico (C-1) e no grupo hidroxila (C-4), abrindo novos caminhos para a funcionalizaçao nucleofílica.

Exemplos de reaçoes de adiçao a dupla ligaçao de O-glicosídeos 2,3-insaturados

Hidrogenaçao

As reaçoes de hidrogenaçao de O-glicosídeos 2,3-insaturados utilizando paládio como catalisador sao amplamente utilizadas.116 Zhang e colaboradores117 desenvolveram uma estratégia sintética para obtençao de L-açúcares a partir de O-glicosídeos 2,3-insaturados. Inicialmente, os autores promoveram a hidrogenaçao catalisada por paládio para obtençao do composto 129 e 132 e seguida uma reaçao de Mitsunobu envolvendo o uso de difenilfosforilazida (DPPA) para obtençao dos produtos 130 e 133 com substituintes azida no C-4 (Esquema 27).

 


Esquema 27. Reaçao de hidrogenaçao de O-glicosídeos 2,3-insaturados

 

Hidroxilaçao

Um exemplo de reaçao de adiçao de hidroxila, ou também conhecida por hidroxilaçao, foi realizada por Srivastava e colaboradores.118 Em seu manuscrito, os autores descreve a cis-hidroxilaçao da ligaçao dupla do O-glicosídeos 2,3-insaturados em condiçoes comuns (KMnO4, THF e H2O) para fornecer os compostos 134 e 137 com rendimentos de 64,4% e 61%, respectivamente. Convém destacar que normalmente a adiçao ocorre na face estericamente mais acessível do anel do glicosídeo, sendo assim, uma reaçao estereoespecífica. (Esquema 28). Outros exemplos de hidroxilaçao da dupla ligaçao de O-glicosídeos 2,3-insaturados sao descritos por diversos pesquisadores.119-122

 


Esquema 28. Exemplo de reaçao de Adiçao de grupo OH a dupla ligaçao de O-glicosideos 2,3-insaturados

 

Adiçao de Michael

A incorporaçao de grupos químicos que polariza a dupla ligaçao em O-glicosídeos 2,3-insaturados é possível através da Adiçao de Michael, que resulta em incorporaçao regiosseletiva do nucleófilo. Por exemplo, Mukherjee e Jayaraman123 observaram que o composto 138 sofre adiçoes nucleofílicas em C-2 de grupos aminos, através de adiçao de Michael, com seletividades faciais dependendo do nucleófilo e do substituinte de enxofre para fornecer o composto 139 e 140 com excelentes rendimentos (Esquema 29). Outros exemplos de adiçao de Michael à dupla ligaçao de O-glicosídeos 2,3-insaturados sao descritos na literatura.124

 


Esquema 29. Exemplo de reaçao de Adiçao de Michael a dupla ligaçao de O-glicosideos 2,3-insaturados

 

Reaçao de Epoxidaçao

Joly e colaboradores125 relataram que a ligaçao dupla do O-glicosídeo 2,3-insaturado era o sítio de ligaçao sob condiçoes de Payne (H2O2/PhCN) para a formaçao de uma mistura de epóxidos 142 e 143, com rendimento 30% cada. Em seguida os epóxidos 142 e 143 foram entao reduzidos na presença de LiAlH4 para fornecer os compostos 144 e 145 com rendimento de 80% (Esquema 30). Outros exemplos de reaçao de epoxidaçao à dupla ligaçao de O-glicosideos 2,3-insaturados sao descritos na literatura.126,127

 


Esquema 30. Reaçao de epoxidaçao de O-glicosídeo 2,3-insaturado

 

Reaçao de Oxidaçao

Recentemente, de Freitas Filho e colaboradores128 descreveram a reaçao de oxidaçao alílica de diferentes O-glicosídeo 2,3-insaturados utilizando-se dióxido de manganês em diclorometano, para fornecer as enonas 147 (Esquema 31) com rendimento variando de 75-92%. A obtençao de hexenuloses é importante, pois esses sao precursores versáteis na síntese de aminoaçúcares e outros carboidratos, uma vez que possuem duas regioes químicas susceptíveis às reaçoes de adiçoes, uma na porçao cetona e outra na parte olefínica da molécula.

 


Esquema 31. Reaçao de oxidaçao alílica de O-glicosídeo 2,3-insaturados

 

Cicloadiçao 1,3-dipolar

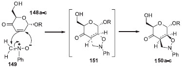
Reaçao de cicloadiçao 1,3-dipolar de nitrona a hexenulose foi descrita por de Freitas Filho e colaboradores.129 A reaçao consistiu em reagir as enonas 148a-c, com N-fenilnitrona 149 resultando na formaçao dos compostos 150a-c em bons rendimentos variando de 52-76% (Esquema 32).

 


Esquema 32. Cicloadiçao 1,3-dipolar de N-fenilnitrona a O-glicosídeo 2,3-insaturados

 

Segundo os autores, o mecanismo de adiçao de óxido de metilidenoanilina 149 a dupla ligaçao C2-C3 de 148a-c ocorre em face oposta a aglicona dando uma isoxazolidina, via estado de transiçao 151, esquema 33.

 


Esquema 33. Mecanismo adiçao de N-fenilnitrona a O-glicosídeo 2,3-insaturados

 

Convém destacar que outras reaçoes de cicloadiçao 1,3-dipolar à dupla ligaçao de O-glicosideos 2,3-insaturados foram descritas na literatura.130-132 Finalizando, outros tipos reaçoes de adiçao à dupla ligaçao de O-glicosideos 2,3-insaturados sao bem relatados em artigos escritos por diferentes autores.133

 

CONSIDERAÇOES FINAIS

Nos últimos anos, foram realizados progressos consideráveis na síntese de O-glicosídeos. Apesar de sua química desafiadora, devido à sua versatilidade, os O-glicosídeos 2,3-insaturados desempenham um papel fundamental no desenvolvimento da química de novos materiais e na química de moléculas bioativas. Nesta revisao, apresentamos vários exemplos de síntese de O-glicosídeos 2,3-insaturados, utilizando diferentes nucleófilo e promotores ácidos, os quais funcionaram como catalisadores, para promover o rearranjo de Ferier.

O rearranjo de Ferrier continua sendo um método sintético altamente estudado. Mesmo que já se conheça uns excedentes de catalisadores para reaçao de obtençao de O-glicosídeos 2,3-insaturados em altos rendimentos e alta seletividade em favor do anômero α, novos catalisadores (homogêneos e heterogêneos) continuam a surgir, principalmente os catalisadores suportados que podem ser reutilizados no rearranjo de Ferrier.

Convém destacar que algumas implicaçoes quimio-, regio- e estereoseletivas que contribuem para a reaçao de Ferrier, tais como catalisador, efeito anomérico, efeitos estéricos da aglicona, solvente, assistência anquimérica dentre outros, também foram descritas.

A regiosseletividade do rearranjo alílico de Ferrier segue os princípios da teoria dos ácidos e bases duros e moles. Assim, nucleófilos duros sao direcionados ao C-1 e formam, assim, O-glicosídeos 2,3-insaturados, enquanto que nucleófilos moles preferem o ataque ao sítio reativo C-3 formando N- e S-glicosídeos 1,2-insaturados.

Uma das razoes da utilizaçao de O-glicosídeos 2,3-insaturados em química de carboidratos pode estar em seu potencial sintético, pois sofrem reaçoes de adiçao à dupla ligaçao no C2-C3, tais como hidrogenaçao, hidroxilaçao, epoxidaçao, muitas vezes com estereoseletividade muito alta, se nao completa. A incorporaçao de funcionalidades adicionais que polarizam a dupla em C2-C3 do anel piranosídico, como os substituintes nitro ou sulfonilo, torna possível adiçoes de Michael, que ocorrem com a introduçao regiospecífica de nucleófilos.

Espera-se que esta revisao dê um impulso suficiente aos leitores para embarcar no desenvolvimento de novos catalisadores e introduçao de novos nucleófilos no rearranjo de Ferrier. Por outro lado, devido às amplas aplicaçoes, tanto na química de materiais, como também como compostos bioativos, espera-se que a química dos O-glicosídeos 2,3-insaturados ateste um crescimento adicional no futuro.

 

AGRADECIMENTOS

Os autores deste trabalho agradecem a todas as agências de fomento que financiaram a nossa pesquisa: CAPES, CNPq e FACEPE pelas bolsas concedidas aos estudantes de Pós-Graduaçao.

 

REFERENCIAS

1. Lichtenthaler, F. W.; ACS Symp. Ser. 2003, 841, 47.

2. Fraser-Reid, B.; Acc. Chem. Res. 1985, 18, 347.

3. Narasimha, G.; Srinivas, B.; Krishna, P. R.; Kashyap, S.; Synlett 2014, 25, 523.

4. Islam, M.; Tirukoti, N. D.; Nandi, S.; Hotha, S.; J. Org. Chem. 2014, 79, 4470.

5. Reddy, G. M.; Sridhar, P. R.; Eur. J. Org. Chem. 2014, 1496.

6. Hussain, A.; Rao, L. M.; Sharma, D. K.; Tripathi, A. K.; Singh, B.; Mukherjee, D.; RSC Adv. 2013, 3, 19899.

7. Cui, X. K.; Zhong, M.; Meng, X. B.; Li, Z. J.; Carbohydr. Res. 2012, 358, 19.

8. Balmond, E. I.; Coe, D. M.; Galan, M. C.; McGarrigle, E. M.; Angew. Chem., Int. Ed. 2012, 51, 9152.

9. Sherry, B. D.; Loy, R. N.; Toste, F. D.; J. Am. Chem. Soc. 2004, 126, 4510.

10. Liu, J.; Gin, D. Y.; J. Am. Chem. Soc. 2002, 124, 9789.

11. Parkan, K.; Pohl, R.; Kotora, M.; Chem. Eur. J. 2014, 20, 4414.

12. Liu, C. F.; Xiong, D. C.; Ye, X. S.; J. Org. Chem. 2014, 79, 4676.

13. Dharuman, S.; Vankar, Y. D.; Org. Lett. 2014, 16, 1172.

14. Tatina, M.; Kusunuru, A. K.; Yousuf, S. K.; Mukherjee, D.; Chem. Commun. 2013, 49, 11409.

15. Cachet, X.; Poree, F.-H.; RSC Adv. 2013, 3, 12466.

16. Bai, Y. G.; Kim, L. M. H.; Liao, H. Z.; Liu, X. W.; J. Org. Chem. 2013, 78, 8821.

17. Bai, Y. G.; Leow, M.; Zeng, J.; Liu, X. W.; Org. Lett. 2011, 13, 5648.

18. Ayed, C.; Palmier, S.; Lubin-Germain, N.; Uziel, J.; Auge, J. Carbohydr. Res. 2010, 345, 2566.

19. Padungros, P.; Alberch, L.; Wei, A.; J. Org. Chem. 2014, 79, 2611.

10. Ohlin, M.; Manner, S.; Lofgren, J.; Persson, A.; Ellervik, U.; RSC Adv. 2014, 4, 12486.

21. Santra, A.; Guchhait, G.; Misra, A. K.; Synlett 2013, 24, 581.

22. Martinez-Montero, S.; Fernandez, S.; Sanghvi, Y. S.; Gotorand, V.; Ferrero, M.; Org. Biomol. Chem. 2011, 9, 5960.

23. Kinfe, H. H.; Mebrahtu, F. M.; Sithole, K.; Carbohydr. Res. 2011, 346, 2528.

24. Levecque, P.; Gammon, D. W.; Jacobs, P.; De Vos, D.; Sels, B.; Green Chem. 2010, 12, 828.

25. Gorityala, B. K.; Cai, S. T.; Ma, J. M.; Liu, X. W.; Bioorg. Med. Chem. Lett. 2009, 19, 3093.

2, , , 6. Engstrom, K. M.; Mendoza, M. R.; Navarro-Villalobos, M.; Gin, D. Y.; Angew. Chem., Int. Ed. 2001, 40, 1128.

27. Xiang, S. H.; He, J. X.; Ma, J. M.; Liu, X. W.; Chem. Commun. 2014, 50, 4222.

28. Reid, E. M.; Vigneau, E. S.; Gratia, S. S.; Marzabadi, C. H.; Castro, M.; Eur. J. Org. Chem. 2012, 3295.

29. Sowa, C. E.; Thiem, J.; Carbohydr. Res. 2011, 346, 1546.

30. Li, F. L.; Ding, C. Y.; Wang, M. N.; Yao, Q. Z.; Zhang, A.; J. Org. Chem. 2011, 76, 2820.

31. Wang, Z. G.; Zhang, X. F.; Live, D.; Danishefsky, S. J.; Angew. Chem., Int. Ed. 2000, 39, 3652.

32. Jaramillo, C.; Knapp, S.; Synthesis 1994, 1.

33. Hussain, A.; Mukherjee, D.; Tetrahedron 2014, 70, 1133.

34. Ansari, A. A.; Vankar, Y. D.; RSC Adv. 2014, 4, 12555.

35. Fischer, E.; Zach, K.; Sitzber. Kgl. Preuss. Akad. Wiss. 1913, 16, 311.

36. Popiołkiewicz, J., Polkowski, K., Skierski, J.S, Mazurek A. P.; Cancer Lett. 2005, 229, 67.

37. Polkowski, K.; Popiołkiewicz, J; Krzeczyński, P.; Ramza, J.; Pucko, W.; Zegrocka-Stendel, O.; Boryski, J,; Skierski, J. S.; Mazurek, A. P.; Grynkiewicz, G.; Cancer Lett. 2004, 203, 59.

38. Ferrier, R. J.; J. Chem. Soc., Perkin Trans. 1, 1979, 1455.

39. Newman, D. J.; Cragg, G. M.; J. Nat. Prod. 2007, 70, 461.

40. Freitas, J. C. R.; Couto, T. R.; Paulino, A. A. S.; Freitas Filho, J. R.; Malvestiti, I.; Oliveira, R. A.; Menezes, P. H.; Tetrahedron Lett. 2012, 68, 8645 e referências citadas.

41. Chung, I.; Kim, Y.; Ali, M.; Kim, S.; Park, I.; Kim, E.; Yang, Y.; Park, H.; Son, E.; Ahmad, A.; Bioorg. Med. Chem. Lett. 2014, 24, 4203.

42. Kimura, H.; Ogawa, S.; Ishihara, T.; Maruoka, M.; Tokuyama-Nakai, S.; Jisaka, M.; Yokota, K.; Food Chem. 2017, 228, 348.

43. Kimura, H.; Tokuyama, S.; Ishihara, T.; Ogawa, S.; Yokota, K.; J. Pharm. Biomed. Anal. 2015, 10, 102.

44. Cordeiro, K. C. F.A.; Cordeiro, A.; Rezende, K. R.; Vaz, B. G.; Romao, W.; Liao, L. M.; Gil, E. S.; Oliveira, V.; Tetrahedron Lett. 2013, 54, 6656.

45. Xue, R.; Han, N.; Sakurai, H.; Saiki, I.; Ye, C.; Yin, J.; Planta Med. 2013, 79, 157.

46. Xue, R.; Han, N.; Xia, M.; Ye, C.; Hao, Z; Wang, L.; Wang, Y.; Yang, J.; Saiki, I.; Yin, J.; Steroids 2015, 94, 51.

47. Tyagi, M.; Taxak, N.; Bharatam, P.V.; Nandanwar, H.; Kartha, K. P. R.; Carbohydr. Res. 2015, 407, 137.

48. Laurent, N.; Lafont, D.; Dumoulin, F.; Boullanger, P.; Mackenzie, G.; Kouwer, P. H; Goodby, J. W.; J. Am. Chem. Soc. 2003, 125, 15499.

49. Cook, A. G.; Wardell, J. L.; Brooks, N. J.; Seddon, J. M.; Martínez-Felipe, A.; Imrie, C. T.; Carbohydr. Res. 2012, 360, 78.

50. Abraham, S.; Paul, S.; Narayan, G.; Prasad, S. K.; Rao, D. S.; Jayaraman, N.; Das, S.; Adv. Funct. Mater. 2005, 15, 1579.

51. Tabor, R. F.; Tan, D. D.; Han, S. S.; Young, S. A.; Seeger, Z. L.; Pottage, M. J.; Garvey, C. J.; Wilkinson, B. L.; Chem. Eur. J. 2014, 20, 13881.

52. Merlo, A. A.; Gallardo, H.; Taylor, T. R.; Quim. Nova, 2001, 24, 354.

53. Abraham, S.; Paul, S.; Narayan, G.; Prasad, S. K.; Rao, D. S.; Jayaraman, N.; Das, S.; Adv. Funct. Mater. 2005, 15, 1579.

54. Hu, Y.; Rico F. Tabor, R. F.; Wilkinson, B. L.; Org. Biomol. Chem. 2015, 13, 2216.

55. Dharuman, S.; Gupta, P.; Kancharla P. K.; Vankar, Y. D.; J. Org. Chem. 2013, 78, 8442.

56. Srivastava, R. M.; de Freitas Filho, J. R.; da Silva, M. J.; Souto, S. C. M.; Carpenter, G. B.; Faustino, W. M.; Tetrahedron, 2004, 60, 10761.

57. Gómez, A. M.; Lobo, F.; Uriel, C.; López. J. C.; Eur. J. Org. Chem. 2013, 7221.

58. Pavlovic, V.; Csanádi, J.; Gojkovic, S.; Predojevic, J.; Konstantinovic, S.; J. Serb. Chem. Soc. 2001, 66, 499.

59. Fraser-Reid, B.; Boctor, B.; Can. J. Chem. 1969, 47, 393.

60. Wahlen, J.; Moens, B.; de Vos, D. E.; Alsters, P. L.; Jacobs, P. A.; Adv. Synth. Catal. 2004, 346, 333.

61. Bataille, C.; Begin, G.; Guillam, A.; Lemiegre, L.; Lys, C.; Maddaluno, J.; Toupet, L.; J. Org. Chem. 2002, 67, 8054.

62. Wan, Q.; Lubineau, A.; Guillot, R.; Scherrmann, M.-C.; Carbohydr. Res. 2008, 343, 1754.

63. Castagnolo, D.; Botta, L.; Botta, M.; Tetrahedron Lett. 2009, 50, 1526.

64. Lopez, J. C.; Plumet, J.; Eur. J. Org. Chem. 2011, 1803.

65. Aljarilla, A.; Lopez, J. C.; Plumet, J.; Eur. J. Org. Chem. 2010, 6123.

66. Crimmins, M. T.; King, B. W.; Zuercher, W. J.; Choy, A. L.; J. Org. Chem. 2000, 65, 8499.

67. Satoh, H.; Manabe, S.; Chem. Soc. Rev. 2013, 42, 4297.

68. Lemiex, R. U.; Explorations with Sugar: How Sweet It Was, American Chemical Society: Washington, DC, 1990.

69. Edward, J. T.; Chem. Ind. 1955, 1102.

70. Lemieux, R. U.; Chu, P.; 133rd National Meeting of the American Chemical Society, 31N, 1958.

71. Liberek, B.; Tuwalska, D.; Konitz, A.; Sikorski, A.; Carbohydr. Res. 2007, 342, 1280.

72. Mo, Y.; Nat. Chem. 2010, 2, 666.

73. Cocinero, E. J.; Çarçabal, P.; Vaden, T. D.; Simons, J. P.; Davis, B. G.; Nature 2011, 469, 76.

74. Ferrier, R. J.; Sankey, G. H.; J. Chem. Soc. C 1966, 2345.

75. Curran, D. P.; Suh, Y.-G.; J. Am. Chem. Soc. 1984, 106, 5002.

76. Denmark, S. E.; Dappen, M. S.; J. Org. Chem. 1984, 49, 798.

77. Katritzky, A. R.; Steel, P. J.; Danisenko, S. N.; Tetrahedron 2001, 57, 3309.

78. Yadav, J. S.; Reddy, B. V. S.; Reddy, K. B.; Satyanarayana, M.; Tetrahedron Lett. 2002, 43, 7009.

79. Lin, H-C.; Du, W. P.; Chang, C-C.; Lin, C-H.; Tetrahedron 2005, 46, 5071.

80. Oliveira, R. N.; Melo, A. C. N.; Srivastava, R. M.; Sinou, D.; Heterocycles 2006, 68, 2607.

81. Ferrier, R. J.; Prasad, N.; J. Chem. Soc. C 1969, 570.

82. Boga, S. B.; Balasubramanian, K. K.; Arkivoc 2004, VIII, 87.

83. Melo, A. C. N.; Oliveira, R. N.; Freitas Filho, J. R.; Silva, T. G.; Srivastava, R M.; Heterocycl. Commun. 2017, 23, 205.

84. Srivastava, R. M.; Oliveira, F. J. S.; Silva, L. P.; Freitas Filho, J. R.; Oliveira, S. P.; Lima, V. L. M.; Carbohydr. Res. 2001, 332, 335.

85. Demchenko, A.V.; Synlett 2003, 9, 1225.

86. Agarwal, A.; Rani, S.; Vankar, Y. D.; J. Org. Chem. 2004, 69, 6137.

87. Babu, J. L.; Khare, A.; Vankar, Y. D.; Molecules 2005, 10, 884.

88. Gupta, P.; Kumari, N.; Agarwal, A.; Vankar, Y. D.; Org. Biomol. Chem. 2008, 6, 3948.

89. Jayakanthan, K.; Vankar, Y. D.; Carbohydr. Res. 2005, 340, 2688.

90. Ansari, A. A.; Reddy, Y. S.; Vankar, Y. D.; Beilstein J. Org. Chem. 2014, 10, 300.

91. Bussolo, V. D.; Caselli, M.; Romano, M. R.; Pineschi, M.; Crotti, P.; J. Org. Chem. 2004, 69, 8702.

92. R. J. Ferrier, R. J.; Prasad, N.; J. Chem. Soc. C 1969, 570.

93. Guaragna, A.; D'Alonzo, D.; Paolella, C.; Napolitano, C.; Palumbo, G.; J. Org. Chem. 2010, 75, 3558.

94. Freitas Filho, J. R.; Srivastava, R. M.; Soro, Y.; Cottier, L.; Descotes, G.; J. Carbohydr. Chem. 2001, 20, 561.

95. Oliveira, R. N.; Freitas Filho, J. R.; Srivastava, R. M.; Tetrahedron Lett. 2002, 43, 2141.

96. Freitas, J. C. R.; Menezes, P. H.; Freitas Filho, J. R.; J. Braz. Chem. Soc. 2010, 21, 2169.

97. Sanseverino, A. M.; Quim. Nova 2002, 25, 660.

98. Hotha, S.; Tripathi, A.; Tetrahedron Lett. 2005, 49, 4555.

99. Lin, H. C.; Pan, J. F.; Chen, Y. B.; Lin, Z. P.; Lin, C. H.; Tetrahedron 2011, 67, 6362.

100. Michigami, K.; Hayashi, M.; Tetrahedron 2012, 68, 1092.

101. Du, W. T.; Hu, Y. Z.; Synth. Commun. 2009, 36, 2035.

102. Chakraborti, A. K.; Raha, R. S.; J. Am. Chem. Soc. 2009, 131, 6902.

103. Gughhait, G.; Misra, A. K.; Catal. Lett. 2011, 141, 925.

104. Chen, P.; Bi, B.; Tetrahedron Lett. 2015, 56, 4895.

105. Kubiak, A.; Kotodziuk, R; Ski, S. P.; Zawisza, A.; Carbohydr. Res. 2015, 417, 34.

106. Regueira, J. L. L. F.; Dantas, C. R.; Freitas, J. J. R.; Silva, A. J. F. S.; Freitas Filho, J. R.; Menezes, P. H.; Freitas, J. C. R.; Synthesis 2016, 48, 1069.

107. Freitas Filho, J. R.; Freitas, J. J. R.; Cottier, L.; Sinou, D.; Srivastava, R. M.; J. Chil. Chem. Soc. 2015, 60, 2646.

108. Costa, P. L. F.; Melo, V. N.; Guimaraes, B. M.; Schuler, M.; Pimenta, V.; Rollin, P.; Tatibouët, A.; Oliveira, R. N.; Carbohydr. Res. 2016, 436, 1 e referências citadas.

109. Mangsang, W.; Sirion, U.; Saeeng, R.; Tetrahedron 2015, 71, 8593 e referências citadas.

110. Liu, Y.; Song, T.; Meng, W.; Xu, Y.; Wang, P. G.; Zhao, W.; Tetrahedron Lett. 2016, 57, 2758.

111. Chen, P.; Su, J.; Tetrahedron Lett. 2016, 72, 84.

112. Yadav, J. S.; Reddy, B. V. S.; Pandey, S. K.; New J. Chem. 2001, 25, 538.

113. Yadav, J. S.; Reddy, B. V. S.; Reddy, K. B.; Satyanarayana, M.; Tetrahedron Lett. 2002, 43, 7009.

114. Suryakiran, N.; Reddy, S. M.; Srinivasulu, M.; Venkateswarlu, Y.; Synth. Commun. 2008, 38, 170.

115. Gomez, A. M.; Lobo, F.; Miranda, S.; Lopez, J. C.; Molecules 2015, 20, 8357.

116. Guppi, S. R.; Zhou, M.; O'Doherty, G. A.; Org. Lett. 2006, 8, 293.

117. Zhang, G.; Shi, L.; Liu, Q.; Wang, J.; Li, L.; Liu, X.; Tetrahedron 2007, 63, 9705.

118. Srivastava, R. M.; Oliveira, F. J. S.; Silva, L. P.; Freitas Filho, J. R.; Oliveira, S. P.; Lima, V. L. M.; Carbohydr. Res. 2001, 332, 335.

119. Castagnolo, D.; Botta, L.; Botta, M.; Carbohydr. Res. 2009, 344, 1285.

120. Bataille, C.;Bégin, G.; Guillam, A. LoicLemiègre, Lys, C.; Maddaluno, J.; Toupet, L.; J. Org. Chem. 2002, 67, 8054.

121. Babu, R. S.; O'Doherty, G. A.; J. Am. Chem. Soc. 2003, 125, 12406.

122. Guaragna, A.; Napolitano, C.; D'Alonzo, D.; Pedatella, S.; Palumbo, G.; Org. Lett. 2006, 8, 4863.

123. Mukherjee, A.; Jayaraman, N.; Carbohydr. Res. 2013, 380, 51.

124. Bussolo, V. D.; Romano. M. R.; Favero, L.; Pineschi, M.; Crott, P.; J. Org. Chem. 2006, 71, 1696.

125. Joly, J.-P.; Roze, F.; Banas, S.; Quilès, F.; Tetrahedron Lett. 2010, 51, 3236.

126. Dotsenko, I. A.; Zhao, Q.; Franz, A. H.; Batoon, P.; Samoshina, N. M.; Samoshin, V. V.; Arkivoc 2014, V, 16.

127. Sakakibara, T.;Narumi, S.; Matsuo, I.; Okada, S.; Nakamura, T.; Carbohydr. Res. 2007, 342, 2339.

128. Santos, J. A. M.; Santos, C. S.; Almeida, C. L. A.; Silva, T. D. S.; Freitas Filho, J. R.; Militao, G. C. G.; Silva, T. G.; Cruz, C. H. B.; Freitas, J. C. R.; Menezes, P. H.; Eur. J. Med. Chem. 2017, 128, 192.

129. Freitas Filho, J. R.; Srivastava, R. M.; Silva, W. J. P.; Cottier, L.; Sinou, D.; Carbohydr. Res. 2003, 338, 673.

130. Srivastava, R. M.; Souza, A. M. A.; Silva, L. P.; Freitas Filho, J. R.; Hallwass, F.; J. Braz. Chem. Soc. 2002, 13, 158.

131. Freitas Filho, J. R.; Cottier, L.; Srivastava, R. M.; Sinou, D.; Synlett 2003, 1358.

132. Oliveira, R. N.; Cottier, L.; Sinou, D.; Srivastava, R. M.; Tetrahedron 2005, 61, 8271.

133. Okazaki, H.; Hanaya, K.; Shoji, M.; Hada, N.; Sugai, T.; Tetrahedron 2013, 69, 7931.

On-line version ISSN 1678-7064 Printed version ISSN 0100-4042
Qu�mica Nova
Publica��es da Sociedade Brasileira de Qu�mica
Caixa Postal: 26037 05513-970 S�o Paulo - SP
Tel/Fax: +55.11.3032.2299/+55.11.3814.3602
Free access

GN1