JBCS



17:12, sáb out 25

Acesso Aberto/TP



Educação


Experimento com abacate, borra de café, licuri e leite de coco para extração de óleo, produção de biodiesel e análise espectral
Avocado, spent coffee grounds, licuri and coconut milk for oil extraction, biodiesel production, and spectral analysis

Silvio CunhaI,II,*; Marina Costa RodriguesI,II; Rosiene Reis MattosI,III; Leonardo Sena Gomes TeixeiraI,II; Airam Oliveira SantosIII; Elaine V. SantosIII; Rauan S. SouzaIII; Givaldo dos Santos AndradeIV; Rodrigo De PaulaIV; Djane S. de JesusV

I. Instituto de Química, Universidade Federal da Bahia, Campus de Ondina, 40170-115 Salvador - BA, Brasil
II. Instituto Nacional de Ciência e Tecnologia em Energia e Ambiente, Universidade Federal da Bahia, Campus de Ondina, 40170-290 Salvador - BA, Brasil
III. Instituto Federal de Educação, Ciência e Tecnologia Baiano, Campus Senhor do Bonfim, Caixa Postal 55, 48970-000, Senhor do Bonfim - BA, Brasil
IV. Centro de Formação de Professores, Universidade Federal do Recôncavo da Bahia, 45300-000, Amargosa - BA, Brasil
V. Instituto Federal de Educação, Ciência e Tecnologia da Bahia, Campus Salvador, Rua Emídio dos Santos, s/n - Barbalho, 40301-015 Salvador - BA, Brasil

Recebido em 30/09/2017
Aceito em 19/02/2018
Publicado na web em 08/03/2018

Endereço para correspondência

*e-mail: silviodc@ufba.br

RESUMO

An undergraduate organic chemistry experiment for oil extraction and biodiesel production using alternative biomass was developed, whereby oils of avocado, coconut and spent coffee grounds were obtained and submitted to transesterification reaction with CH3OH under NaOH catalysis. Avocado and coffee oils were obtained by typical extraction and coconut oil was obtained through water evaporation of coconut milk in a domestic microwave oven. The commercial oil of licuri (Syagrus coronate), a Brazilian native biomass, was also converted to biodiesel. All four oils and four biodiesels were characterized by 1H-NMR and FTIR, and a comparative study of these spectra reveled that FTIR analyses alone provides enough information to discriminate between oil and biodiesel and confirm transesterification reaction. Besides, the unsaturation degree of all oils was determined by 1H-NMR. A mechanistic proposal concerning the role of NaOH catalysis is presented, excluding the sodium methoxide formation.

Palavras-chave: biodiesel; transesterification; undergraduate organic chemistry experiment.

INTRODUÇAO

A formaçao contemporânea dos profissionais da Química com ênfase na sustentabilidade demanda o treinamento experimental em Química Verde, sendo assim desejável o emprego de biomassa como fonte renovável de reagente químico. Se, além do reagente, o produto da reaçao é intrinsicamente associado ao tema ambiental e tecnológico, a aula tende a capturar a atençao do estudante e intensificar seu envolvimento com o experimento. A produçao de biodiesel contempla todos estes aspectos e, nao por acaso, existem várias propostas de aulas onde o tema biodiesel é abordado, Figura 1.1-11

 


Figura 1. Biomassas empregadas na síntese de biodiesel em aulas experimentais e caracterizaçoes típicas

 

Desde a contribuiçao seminal de Donaghy e colaboradores em 2006,2 que descreveram a primeira proposta de ensino para a produçao de biodiesel empregando óleo de soja comercial e o residual de fritura, NaOH como catalisador e metanol como agente de transesterificaçao, caracterizando tanto os óleos quanto produto por espectroscopias de absorçao molecular no infravermelho (IV) e de ressonância magnética nuclear de hidrogênio (RMN de Hidrogênio), estes dois óleos da mesma biomassa prevalecem como matéria-prima na maioria dos experimentos didáticos. Contudo, há relatos propondo alternativas como borra de café,11 sementes de jojoba,10 óleos de arroz, uva e pequi.3 Há também predominância da catálise básica, e algumas preparaçoes didáticas de biodiesel empregam procedimentos mais complexos, utilizando catálise básica e em sequência catálise ácida para a esterificaçao dos ácidos graxos livres, avaliando o teor de catalisador e a consequente saponificaçao.3

Apesar destas significativas contribuiçoes à disseminaçao da produçao e caracterizaçao de biodiesel em experimentos destinados ao treinamento laboratorial, há ainda demanda por experimentos de química orgânica nos quais o estudante produza o óleo e o transforme no biodiesel, e que empregue biomassas alternativas para estes fins.12 Adicionalmente, a análise espectral do óleo e do biodiesel é feita entre estes, nao sendo encontrada a análise espectral comparativa entre os óleos e entre os biodieseis.

Face ao nosso envolvimento com a transposiçao didática de temas atuais no ensino experimental de química orgânica verde,13 descrevemos aqui o emprego de biomassas alternativas na produçao do biodiesel em aulas de graduaçao: abacate (Persea americana), leite de coco (Cocos nucifera), borra de café e licuri (Syagrus coronata), com ênfase na extraçao do óleo dos três primeiros e que, para além da produçao do biodiesel de todas as biomassas, realiza a análise espectral comparativa dos triglicerídeos e biodieseis.

 

RESULTADOS E DISCUSSAO

Extraçao dos óleos das biomassas alternativas para aula de química orgânica

Na maioria dos experimentos didáticos de produçao de biodiesel a matéria-prima é o óleo de soja comercial ou o residual de fritura. Todavia, Fontoura e colaboradores descreveram a preparaçao de biodiesel em aula de química orgânica empregando doze diferentes matérias-primas, incluindo soja e sebo, sendo o mais amplo trabalho de comparaçao de óleos já realizado em aulas experimentais de biodiesel.3 Em todos estes experimentos o óleo empregado foi sempre o comercial, e só recentemente a extraçao do óleo foi proposta como parte integrante da aula de obtençao do biodiesel de jojoba (Simmondsia chinensis)10 e da borra de café,11 ou a extraçao dos triglicerídeos de várias sementes, incluindo café, soja e girassol.5

Apesar do valor pedagógico destas propostas, é desejável que o profissional da química esteja habilitado no isolamento de óleos de fontes renováveis empregando diversas técnicas de obtençao dos triglicerídeos em laboratório de química orgânica. Para contribuir no saneamento desta lacuna, a presente proposta engloba a obtençao do óleo de abacate, de coco e da borra residual de café, Figura 2.

 


Figura 2. Obtençao dos óleos e produçao dos biodieseis

 

A seleçao das biomassas alternativas levou em consideraçao a facilidade de acesso às mesmas. O abacate é um fruto sazonal amplamente difundido no Brasil, e o óleo de coco é comercialmente disponível, mas é o mais caro dentre os aqui estudados. Porém, é facilmente obtido do leite de coco disponível comercialmente. A borra de café é um resíduo facilmente encontrado, e sua inserçao na aula tem o aspecto de aproveitar uma biomassa que é descartada no lixo.14 O licuri é uma planta muito difundida no nordeste brasileiro, e encerra este aspecto regional. Portanto, na obtençao do biodiesel foi empregado seu óleo comercial, em funçao do acesso restrito ao fruto fora da regiao Nordeste. Adicionalmente, para a produçao dos óleos foram empregados três procedimentos distintos, de forma que o conjunto dos estudantes passa a conhecer uma diversidade de técnicas experimentais de obtençao de óleo.

Como estratégia das aulas, propoe-se a realizaçao dos experimentos em duplas de estudantes por biomassa, ao longo de duas aulas de 3-4 h de duraçao, e que cada dupla fique responsável por um tipo de biomassa uma vez que o tempo limitado da aula nao permite que a mesma equipe realize todas as operaçoes para todas biomassas. Na primeira aula realiza-se a extraçao do óleo e, na segunda, a transesterificaçao e obtençao dos espectros. O professor deve adequar a estratégia da aula em funçao da natureza do curso e da infraestrutura do laboratório de ensino. No final das duas aulas as informaçoes das equipes sao compartilhadas para a realizaçao da análise espectral comparativa, como adiante descrito.

Extraçao do óleo de abacate

Empregar o fruto do abacateiro como matéria-prima para a produçao de biodiesel causa nos estudantes uma sensaçao próxima do espanto da descoberta, que a princípio nao associam um fruto que consomem com alguma regularidade à possibilidade de produçao de óleo e subsequente transformaçao.

Apesar de haver proposta de aula experimental de bioquímica aplicando abacate para caracterizaçao dos seus triglicerídeos através da transesterificaçao,15 nao há proposta específica de aula visando a obtençao do óleo de abacate para produçao de biodiesel.

Para extraçao do óleo, 200 g da polpa do abacate foram convertidas em uma pasta homogênea e submetida a secagem em estufa. O material semissólido desidratado foi submetido a extraçao contínua em aparelho Soxhlet, fornecendo 14 mL de óleo verde após eliminaçao do hexano, correspondendo ao consumo de 21 mL de hexano/mL de óleo obtido. O óleo foi caracterizado por IV e RMN e submetido à reaçao de transesterificaçao para a produçao de biodiesel, adiante descrita.

Extraçao do óleo da borra de café

Enquanto abacate, licuri e leite de coco têm finalidade alimentar reconhecida e com pouca geraçao de resíduo, o consumo destes alimentos nao é comparável ao que consumimos diariamente de café. O cafezinho faz parte do nosso cotidiano e seu consumo gera resíduo sólido tanto na indústria de café solúvel quanto devido ao hábito de beber café coado em casa, no trabalho e nas redes de lanchonetes e restaurantes. Em Salvador da Bahia, existem trabalhadores do asfalto que têm como fonte de renda a venda de café em carrinho típico que já faz parte do folclore moderno, tanto assim que o carrinho de café da Bahia é motivo de concursos e matéria jornalística em programas locais de televisao.16,17

A borra da indústria do café solúvel é um resíduo cujo aproveitamento tem sido motivo de pesquisa, pois estima-se que 34 t de borra de café sao produzidas por dia, o que representa um potencial para a produçao de 1,5 t de óleo, mas a borra do café doméstico é descartada no lixo sem qualquer aproveitamento.14 Por esse aspecto, decidimos incorporar esta biomassa residual no experimento didático, pois assim intensifica os princípios da Química Verde. A borra do café pode ser coletada tanto nas residências dos estudantes quanto no próprio local onde a extraçao do óleo será realizada.

No relato disponível na literatura para a extraçao do óleo de café e produçao do biodiesel em aula de graduaçao, o solvente empregado na extraçao foi o heptano, e o procedimento para a produçao do biodiesel empregou catálise ácida numa reaçao de transesterificaçao que durou 24 h.11 No procedimento aqui desenvolvido empregamos extraçao a quente com hexano como solvente extrator por ser mais acessível aos laboratórios de ensino, e catálise básica na produçao do biodiesel para que a aula possa ser executada num único dia.

O rendimento do óleo é muito variável, pois o teor de óleo contido na borra é dependente do tipo e da qualidade do pó de café usado, bem como do modo de preparo da bebida. O rendimento ficou entre 4-5% nas diversas vezes que a extraçao foi realizada, representando o consumo de 98 mL de hexano/mL de óleo obtido, que foi caracterizado por IV e RMN e convertido a biodiesel.

Produçao do óleo de coco

Existem descriçoes de produçao de biodiesel empregando óleo de coco,18 mas nenhuma que execute a produçao do óleo em aula de química orgânica. Para a obtençao do óleo do coco no contexto da aula experimental, desenvolvemos um procedimento diferente do tradicionalmente ensinado nos cursos práticos, onde a extraçao por partiçao sólido-líquido com solvente apolar é o princípio empregado. Na produçao do óleo de coco o material de partida foi o leite de coco comercial, e o procedimento consiste da evaporaçao da água da emulsao que é o leite de coco, o que foi realizado em um forno de micro-ondas doméstico. Por este motivo, a produçao do óleo de coco demanda o menor volume de solvente extrator dentre os óleos aqui produzidos. Duas marcas de leite de coco foram testadas, mas apenas com a marca Sococo o experimento foi reprodutível.

Uma amostra de 300 g do leite de coco foi desidratada em um tempo total de 23 min. Os cuidados neste experimento estao relacionados ao controle do superaquecimento durante a desidrataçao, que leva à carbonizaçao da amostra e projeçao do material na cavidade do forno. Para evitar estes fatos, a desidrataçao deve ser conduzida em recipiente de vidro refratário, como as assadeiras de vidro comumente utilizadas nas residências para processar alimentos ao forno, as quais maximizam a superfície de evaporaçao do líquido; quanto maior essa superfície, mais eficaz a evaporaçao. O recipiente deve ser coberto com filme plástico, destes que sao empregados para recobrir alimentos, e vários orifícios sao perfurados para a saída do vapor d'água (ver Figura 4S). Para a massa acima indicada, o aquecimento é interrompido a cada 5 min e o formo é deixado esfriar com a porta aberta por 1 min, quando novo ciclo de aquecimento se inicia, sendo este procedimento seguido até o tempo total indicado. Aquecimento ininterrupto causa a carbonizaçao extensiva do material e perdas por projeçao devido à evaporaçao intensa da água.

Forma-se um resíduo oleoso e um material sólido parcialmente carbonizado, sendo o óleo escoado e o recipiente lavado com hexano para remover o óleo residual. O óleo amarelo resultante torna-se incolor ao ser tratado com carvao ativado, e rendeu 64 mL, o que representa o consumo de 1 mL de hexano/mL de óleo obtido (ver detalhes no experimental e Figura 4S).

A obtençao do óleo de coco é realizada em no máximo uma hora, desde a pesagem da amostra à quantificaçao do óleo, que foi caracterizado por IV e RMN e convertido a biodiesel. O espectro na regiao do IV do óleo aqui produzido (Figura 4S) foi idêntico ao de uma amostra de óleo comercial (Figura 18S).

Além do emprego do forno de micro-ondas doméstico, esta é a primeira proposta de aula experimental de química para a produçao do óleo de coco e subsequente produçao do biodiesel. Como efeito colateral, o laboratório é tomado pelo agradável aroma de cocada, que alegra a todos.

Produçao de biodiesel das biomassas alternativas para aula de química orgânica

De posse do óleo de cada biomassa alternativa, alíquotas foram empregadas em reaçao de transesterificaçao para a produçao do respectivo biodiesel empregando metanol e catálise básica, Figura 2. Considerando a reaçao geral da transesterificaçao, um mol de triglicerídeo reage com três mols de álcool, formando três mols de ésteres alquílicos e um mol de glicerol como coproduto. Excesso de álcool favorece o deslocamento do equilíbrio para o sentido da formaçao dos ésteres e influencia diretamente nas propriedades físico-químicas do biodiesel formado. Dessa forma, a proporçao 6:1 é geralmente adotada como proporçao molar de álcool em relaçao ao triglicerídeo, acarretando em produto de acordo com as especificaçoes internacionais e minimizando a presença de intermediários como mono ou diglicerídeos.19

Nos procedimentos descritos na literatura de ensino de química, a produçao de biodiesel é realizada empregando uma proporçao volumétrica entre o óleo e o álcool (geralmente metanol), o que resulta em proporçao molar entre o triglicerídeo e o álcool diferente da proporçao acima mencionada em trabalhos de pesquisa.1-11 Sao indicadas proporçoes em volume entre o óleo, geralmente de soja, e o metanol que variam de 25 a 40%. Apesar de nao ser claramente explicitado, parece que esta reduçao do volume de metanol objetiva minimizar a exposiçao dos estudantes a este álcool, reconhecidamente tóxico.

A substituiçao do metanol por etanol poderia ser uma alternativa mais aderente aos princípios da química verde, mas sabe-se que a síntese do biodiesel etílico é operacionalmente mais complexa que o metílico e que as transesterificaçoes etílicas sao mais lentas e necessitam maiores quantidades de álcool e catalisador, o que diminui o êxito quando aplicada em aulas.19 Por estas razoes, o procedimento foi executado com metanol na proporçao volumétrica indicada nos textos destinados a aula experimental, embora o uso de etanol pudesse contemplar apropriadamente a proposta verde do projeto.

Nas biomassas deste trabalho, os óleos de abacate, borra de café e licuri sofreram transesterificaçao com metanol na razao molar MeOH:óleo de 8,5, 8,2 e 6,3:1 , respectivamente, mantendo constante a razao molar KOH:óleo (0,1). Para o óleo de coco nao foi observada separaçao de fases entre o glicerol e o biodiesel com estas proporçoes, indicando que a transesterificaçao nao foi completa. Assim, adotou-se proporçao molar de 6,2:1 de metanol em relaçao ao óleo, a qual permitiu melhor transferência de massa durante a reaçao, emulsao menos estável e consequente melhor rendimento. Na obtençao do biodiesel da borra de café a relaçao de 2,5:1 do óleo com o metanol foi suficiente para a produçao do biodiesel.

Os rendimentos obtidos para os biodieseis das quatro biomassas estudadas estao indicados na Tabela 1, e foram calculados através da razao dos volumes de biodiesel formado e de óleo utilizado, em analogia aos diversos textos de preparaçao de biodiesel para aulas experimentais.1-11 É importante destacar que este é o primeiro relato sobre o uso dos óleos de abacate e licuri como matérias-primas para a produçao de biodiesel em aula experimental.

 

 

Análise espectral comparativa dos óleos e biodieseis

Fontoura e colaboradores, na sua excelente proposta de aula de óleos e gorduras em química orgânica, conduzem os estudantes à realizaçao da análise comparativa de diversas varáveis físico-químicas dos óleos e gorduras e dos biodieseis, inclusive com a análise da mistura dos ésteres metílicos dos biodieseis por cromatografia em fase gasosa.3 Destarte, apesar do significativo valor pedagógico deste trabalho, nao houve a execuçao da análise comparativa das matérias-primas e produtos via IV e RMN.

Nos experimentos didáticos que empregam o tema biodiesel e caracterizam o produto e a matéria-prima por IV e/ou RMN, a comparaçao dos espectros do óleo original com o biodiesel é feita para a certificaçao da ocorrência da reaçao química, nao explorando o potencial didático da comparaçao entre os vários óleos e entre seus correspondentes biodieseis. A maioria dessas propostas didáticas emprega RMN para esta caracterizaçao, algumas associam RMN e IV, e poucas usam exclusivamente o IV.5,6,8,18,20

Na proposta dos nossos trabalhos de transposiçao didática para desenvolver experimentos sustentáveis de química orgânica, é crucial que a execuçao seja possível em diferentes contextos de infraestrutura de ensino experimental, com materiais de fácil acesso e que contemplem a existência de mínimo parque instrumental, mas ainda proporcione o máximo valor pedagógico. Assim, empregamos aqui correlaçoes entre IV e RMN, de forma que nos locais onde o acesso a RMN para aulas de graduaçao seja limitado se possa, empregando IV, chegar às mesmas conclusoes.

Na Figura 3 sao apresentados os espectros parciais de RMN de 1H dos óleos e seus correspondentes biodieseis (espectros completos no Material Suplementar) obtidos em espectrômetro dedicado ao ensino, onde é possível verificar o desaparecimento dos sinais dos hidrogênios metilênicos carbinólicos da porçao glicerina dos triglicerídeos (OCH2: δ 4,00-4,50 ppm) e o aparecimento do singleto da metoxila no biodiesel (OCH3: δ 3,54 ppm), o que comprova a ocorrência da reaçao de transesterificaçao com metanol.

 


Figura 3. Espectros parciais de RMN de 1H (CDCl3, 90 MHz) dos óleos e biodieseis

 

Para comprovar a ocorrência da reaçao de transesterificaçao, diversos parâmetros podem ser invocados, como a cromatografia em camada delgada (CCD), teste de combustao,3 sendo o espectro de RMN um deles. As propostas de experimento de graduaçao que empregam como técnica de análise espectral exclusivamente RMN ignoram o IV ou tendem a minimizar a análise por IV para diferenciar o triglicerídeo do biodiesel, chegando até mesmo a afirmar que os "IVs de lipídios e biodieseis sao praticamente idênticos e difíceis de distinçao visual".20 Esta é uma afirmaçao muito imprecisa pois usam como exemplo para sustentar o nao emprego do IV a absorçao de éster, desconsiderando a riqueza de detalhes da espectrometria na regiao do IV. Num texto didático de química orgânica que se pretende formativo, desconsiderar uma técnica de elucidaçao estrutural em detrimento de outra ou minimizar sua potencialidade nao é apropriado para a formaçao plena do futuro químico, e nao corresponde à atuaçao profissional nas fábricas, institutos de pesquisa e instituiçoes de ensino de profissionais da Química.

É possível empregar também a análise do IV para comprovar a ocorrência da reaçao para além da funçao éster. Dessa forma, na Figura 4 estao agrupadas porçoes dos espectros na regiao do infravermelho (1500-1000 cm-1) dos óleos e dos biodieseis das quatro biomassas alternativas estudadas onde, através de uma simples inspeçao visual, é possível distinguir triglicerídeos de seus biodieseis. Em particular, sao úteis as comparaçoes das bandas de absorçoes presentes nos triglicerídeos em 1464-1470 e 1456 cm-1 (como um ombro da primeira); nos biodieseis existem as mesmas absorçoes em 1462-1464 e 1456 cm-1 (também como um ombro da primeira) mas sempre seguida da absorçao em 1435 cm-1 (inexistente no triglicerídeo). Adicionalmente, nos triglicerídeos sempre ocorre a banda larga em 1153-1163 cm-1, enquanto que no biodiesel esta absorçao desaparece e dá lugar ao conjunto de absorçao em 1196 e 1169-1171 cm-1. Este conjunto de bandas aditivas à banda da funçao éster metílico permite o diagnóstico preciso da ocorrência da reaçao e distinçao entre matéria-prima e produto.

 


Figura 4. Intervalo dos espectros na regiao do infravermelho (1500-1000 cm-1, ATR) do óleo (abaixo) e o biodiesel (acima) das biomassas alternativas estudadas

 

As mudanças no IV acima mencionadas sao bem descritas na literatura de caracterizaçao de biodiesel;21 porém, até onde foi possível apurar, nunca foram empregadas no contexto de experimento didático de produçao de biodiesel para evidenciar o sucesso da reaçao. Do exposto, nas aulas experimentais em instituiçoes onde o espectrômetro de RMN é inacessível, é completamente seguro aplicar o procedimento de diagnóstico por IV para comprovar a reaçao de transesterificaçao, aliando-a a outra análise físico-química simples (CCD, teste de combustao), sem prejuízo do valor pedagógico do experimento.

Uma característica dos óleos comestíveis que é muito comentada e comparada pela populaçao em geral, é o seu grau de insaturaçao (GI). Neste sentido, existem descriçoes de determinaçao do GI de óleos e gorduras empregando RMN, inclusive em algumas propostas de aulas de graduaçao.22 Todavia, esta medida ainda nao foi aplicada em aulas de preparaçao de biodiesel. Assim, para explorar ao máximo o potencial didático do experimento aqui apresentado, propomos também avaliar o GI dos óleos.

Uma vez realizada a distinçao entre triglicerídeo e biodiesel é fácil perceber, na comparaçao dos espectros de RMN de 90 MHz, a diferença da quantidade de hidrogênios olefínicos entre os óleos e mensurar o GI de cada um deles. Uma primeira inspeçao visual da intensidade relativa dos sinais olefínicos em δ 5,00-5,60 ppm com os dos metilênicos carbinólicos da porçao glicerina dos triglicerídeos em δ 4,00-4,50 ppm já é capaz de indicar que o óleo de coco é o mais saturado dos triglicerídeos isolados, e que os mais insaturados sao, nesta ordem, lícuri, borra de café é abacate, Figura 3.

Para quantificar o GI dos óleos empregando-se RMN de 1H é necessário calcular a razao entre as integraçoes dos sinais olefínicos e carbinólicos dos óleos de cada biomassa. O sinal do hidrogênio metínico da porçao glicerina dos triglicerídeos encontra-se sobreposto aos sinais dos hidrogênios olefínicos (OCH + HC=CH: δ 5,00-5,60 ppm). Como o sinal do OCH da glicerina é comum a todos triglicerídeos, mas a quantidade de insaturaçoes é variável, é possível verificar o grau de insaturaçao dos óleos comparando-se a integraçao dos sinais em δ 5,00-5,60 ppm, subtraindo a contribuiçao relativa de um hidrogênio (referente ao OCH), com os dos metilênicos carbinólicos da porçao glicerina dos triglicerídeos (OCH2: δ 4,00-4,50 ppm).

Para exemplificar o cálculo do GI, na Figura 5 é apresentado o intervalo do espectro de RMN de hidrogênio para o óleo de licuri, onde a integraçao dos hidrogênios metilênicos carbinólicos da porçao glicerina do triglicerídeo em δ 4,00-4,50 ppm foi normalizada para quatro hidrogênios pois existem duas unidades OCH2 da porçao glicerina do óleo que se encontram neste intervalo de deslocamento químico. Com esta normalizaçao, a integraçao do sinal dos hidrogênios em δ 5,00-5,60 ppm assumiu o valor 10,61, mas como nesse intervalo temos a sobreposiçao do outro H referente à porçao da glicerina do óleo e também os hidrogênios olefínicos do óleo, basta subtrair uma unidade para sabermos a intensidade da integraçao referente apenas aos hidrogênios olefínicos. Dessa forma, chega-se ao valor 9,61 que resulta na relaçao GI = 9,61/4 = 2,40 para o óleo de licuri. Os dados normalizados da integraçao e o GI dos óleos estao indicados na Tabela 1. Pode-se verificar que o óleo de coco é o mais saturado dos triglicerídeos isolados, pois apresenta o menor valor de GI, e que os mais insaturados sao, nesta ordem, lícuri, borra de café e abacate, Tabela 1.

 


Figura 5. Intervalos dos espectros de RMN de 1H (CDCl3, 90 MHz) do óleo e do biodiesel do licuri para o cálculo do grau de insaturaçao do óleo e da conversao do biodiesel, respectivamente

 

É possível empregar os espectros de RMN de 1H para calcular a conversao obtida de cada biodiesel produzido.23,24 Para isto, sao consideradas as integraçoes dos sinais dos hidrogênios da metoxila em δ 3,7 ppm e do carbono metilênico alfa à carbonila em δ 2,3 ppm e, mesmo empregando um aparelho de campo magnético baixo dedicado a experimentos de ensino, foi possível obter uma boa resoluçao entre estes sinais (ver Figuras 11S, 13S, 15S e 17S). A conversao em ésteres metílico é dada pela razao das duas integraçoes, corrigidas pelos números de hidrogênios de cada sinal, de forma que:

onde: CEM é a conversao em ésteres metílicos (%); IntOCH3 é a integraçao dos sinais referentes aos hidrogênios do éster metílico, em aproximadamente 3,7 ppm; IntCH2α é a integraçao dos sinais referentes aos hidrogênios do grupo metilênico vizinho à carbonila do éster metílico, em aproximadamente 2,3 ppm. Este sinal está presente em todas as moléculas derivadas dos triglicerídeos, incluindo resíduos nao transesterificados, ácidos graxos livres, resíduos de saponificaçao, etc.23,24

Aplicando para o biodiesel de licuri com os valores apresentados na Figura 5, temos que CEM = (2x3/3x2,12)x100 = 94%. Os valores das conversoes calculados para todos biodieseis estao informados na Tabela 1.

O mecanismo da catálise básica da reaçao de transesterificaçao nos textos didáticos de produçao de biodiesel e a correçao de um erro conceitual

A reaçao de esterificaçao de Fischer e de transesterificaçao estao entre as transformaçoes químicas presentes na formaçao dos profissionais da Química pois englobam conhecimentos de temas como catálise ácida e básica, equilíbrio químico e formas de deslocá-lo em favor do produto, acidez e basicidades de compostos orgânicos e a química do grupo carbonila.25

Em alguns textos didáticos sobre aspectos gerais de biodiesel e de propostas de experimentos prevalece a catálise básica na substituiçao acílica.1-11 Quando consideraçoes mecanísticas sao apresentadas neste cenário e KOH ou NaOH sao os catalisadores, muitos mencionam textualmente e equacionam a formaçao de alcóxido através da reaçao da base hidroxila com o álcool, geralmente metanol, e consideram que o nucleófilo que ataca a carbonila é o íon metóxido.1,6,8,12,26

A formaçao de metóxido e água através da reaçao de KOH ou NaOH com MeOH é significativamente desfavorecida, e este tipo de erro tem se propagado nos textos de experimentos de biodiesel. A incompatibilidade de metóxido de sódio com água é bem conhecida dos químicos orgânicos que já precisaram preparar soluçao desse reagente, e Bucholtz,12 na sua proposta de produçao didática de biodiesel empregando soluçao comercial de metóxido de sódio em metanol, destaca os cuidados do uso deste reagente, que reage violentamente com água.

A origem do equívoco que CH3OH seria um ácido mais forte que H2O (que resulta no erro de que metóxido poderia ser formado por reaçao de hidróxido com metanol) presente nos livros texto de química orgânica foi recentemente explicada num trabalho elegante de Silverstein e Heller, que resgatam o valor correto do pKa da H2O para 14 (e nao 15,74), enquanto que o de MeOH é 15,54.27 Portanto, nao é correto afirmar que o nucleófilo que ataca a carbonila é o íon metóxido; o nucleófilo que ataca a carbonila é o próprio metanol.

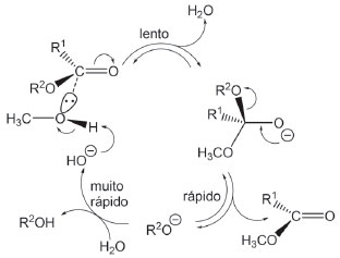
No mecanismo da substituiçao nucleofílica em derivados de ácidos carboxílicos é bem conhecido que a formaçao do intermediário tetraédrico é a etapa lenta da reaçao em duas etapas (adiçao e eliminaçao).25 Para acomodar o papel catalítico do NaOH ou KOH na síntese de biodiesel uma proposta de mecanismo que melhor contempla todos os fatos experimentais,28 tendo a formaçao do intermediário tetraédrico como a etapa lenta,25 é apresentada na Figura 6. Assim, uma primeira etapa concertada de pseudo primeira ordem opera no ciclo catalítico onde o álcool é o solvente da reaçao, com a participaçao do catalisador HO-, e exclui a participaçao de metóxido como nucleófilo.29

 


Figura 6. Ciclo catalítico do mecanismo da transesterificaçao na produçao de biodiesel com CH3OH como solvente e catálise básica por hidróxido

 

CONCLUSAO

Foi desenvolvido um conjunto de experimentos integrados de extraçao de óleos e produçao dos respectivos biodieseis de abacate, coco, borra de café e licuri, adequado para aulas experimentais de química orgânica, que reforça a adequaçao de biomassa como tema transversal para a formaçao dos profissionais da química e contribui para o fortalecimento do ensino de Química Verde, pois aproveita biomassas nao convencionais que sao desperdiçadas sem uso, como a borra de café e o excedente da produçao de abacate ou do fruto eventualmente descartado por ser considerado inadequado para consumo.

A aula resgata a habilidade dos químicos na extraçao de óleos de fontes variadas, empregando técnicas diversas e complementares, preservando assim um saber tradicional, com destaque para a obtençao do óleo a partir do leite de coco, sendo a primeira descriçao desta abordagem para aula experimental, e também do abacate como biomassa para biodiesel. Além desses aspectos, a proposta intensifica a interpretaçao do espectro da regiao do infravermelho na diferenciaçao do óleo e do biodiesel, e revisita a proposta mecanística da reaçao de produçao de biodiesel.

 

PARTE EXPERIMENTAL

Os espectros na regiao do infravermelho foram obtidos na forma de filme (ATR) em um aparelho SHIMADZU IR Affinity-1, e os espectros de RMN (CDCl3) foram obtidos em 90 MHz para 1H empregando o aparelho Anasazi Eft-90. Abacate, pó de café, leite de coco e óleo de licuri foram adquiridos em mercado local.

Extraçao do óleo de abacate

Amasse de forma mecânica, com auxílio de um garfo, 200 g de polpa de abacate até textura homogênea. Transfira para uma forma de alumínio e distribua pela superfície até formar uma fina camada. Aqueça em estufa a 60 °C por 12 h. Transfira a polpa desidratada para um extrator Soxhlet acoplado a um balao de 500 mL, contendo 300 mL de hexano. Após 4 extraçoes cessar o aquecimento, resfrie o balao até temperatura ambiente e elimine o hexano em um evaporador rotatório. Foi obtido 14 mL de um óleo verde.

Extraçao do óleo da borra de café

Após preparar a bebida do café, coloque a borra para secar ao ar dois dias e acondicione na geladeira para evitar proliferaçao de fungos. Pese 50 g da borra de café em um Erlenmeyer de 500 mL e adicione 200 mL de hexano. Aqueça a mistura em placa por 45 min com leve fervura em capela com exaustao. Filtre em papel de filtro e transfira o filtrado para um balao previamente pesado. Elimine o hexano em evaporador rotatório e pese o balao contendo o óleo. Foram obtidos 2,34 ± 0,21 g, equivalente a 2,05 ± 0,15 mL de óleo, numa triplicata.

Extraçao do óleo a partir do leite de coco

Pese 300 g de leite de coco comercial (marca SOCOCO) e transfira para recipiente de vidro temperado. Cubra o recipiente com filme de PVC, faça pequenos furos na superfície e coloque em forno micro-ondas doméstico. Deixe evaporar a água do leite de coco por aproximadamente 23 min em potência máxima. A cada intervalo de 5 min pare o aquecimento, abra a porta do forno de micro-ondas e deixe esfriar por 1 min. Ao término da evaporaçao deixe o recipiente de vidro esfriar (CUIDADO) até a temperatura ambiente. Filtre o óleo extraído à vácuo com auxílio de carvao ativado e utilize 60 mL de hexano para lavar do resíduo. Transfira o filtrado para um balao previamente pesado, elimine o hexano em evaporador rotatório e pese o balao contendo o óleo. Foram obtidos 58 g de óleo de coco equivalendo a 64 mL.

Obtençao de biodiesel do óleo de abacate

Em um balao de 50 mL, adicione 10 mL do óleo de abacate e 3,5 mL de soluçao metanólica de KOH previamente preparada com 0,2250 g de KOH e 5 mL de metanol. Adapte a um condensador de refluxo e aqueça a mistura a 45 °C, com agitaçao, por 15 min. Após este tempo transfira para um funil de separaçao, descarte a fase aquosa e faça lavagens sucessivas da fase orgânica com 5 mL de soluçao de HCl a 0,5% (v/v), 5 mL de soluçao saturada de NaCl e por fim lavagem com 5 mL de água destilada. Remova resíduo de água utilizando sulfato de sódio anidro. Transfira o produto para um balao previamente pesado. Foram obtidos 7,5 mL do biodiesel de coloraçao verde.

Obtençao de biodiesel do óleo da borra de café

Em um balao de 25 mL, adicione 1,5 mL do óleo da borra de café e 0,5 mL de uma soluçao metanólica de KOH previamente preparada com 0,2250 g de KOH e 5 mL de metanol. Adapte a um condensador de refluxo e aqueça a mistura a 45 °C, com agitaçao, por 10 min. Faça a lavagem e secagem da mesma forma descrita para o biodiesel de abacate. Foi obtido 0,3 mL do biodiesel.

Obtençao de biodiesel do óleo de coco

Em um balao de 25 mL, adicione 1,50 mL do óleo de coco previamente extraído e 1,64 mL de soluçao metanólica de KOH previamente preparada com 0,2250 g de KOH e 5 mL de metanol. Adapte a um condensador de refluxo e aqueça a mistura a 45 °C, com agitaçao, por 10 min. Faça a lavagem e secagem da mesma forma descrita para o biodiesel de abacate. Foi obtido 1,02 mL do biodiesel incolor, com leve odor de coco.

Obtençao de biodiesel do óleo de licuri

Em um balao de 50 mL, adicione 10 mL do óleo de licuri e 3,5 mL de uma soluçao metanólica de KOH previamente preparada com 0,2250 g de KOH e 5 mL de metanol. Adapte a um condensador de refluxo e aqueça a mistura a 45 °C, com agitaçao, por 15 min. Faça a lavagem e secagem da mesma forma descrita para o biodiesel de abacate. Foram obtidos 9,5 mL do biodiesel, de coloraçao amarela.

 

MATERIAL SUPLEMENTAR

Fotos da sequência da produçao do óleo de coco, espectros na regiao do infravermelho e de RMN de 1H estao disponíveis em http://quimicanova.sbq.org.br , na forma de arquivo PDF, com acesso livre.

 

AGRADECIMENTOS

Os autores agradecem o suporte financeiro do Conselho Nacional de Desenvolvimento Científico e Tecnológico - CNPq, Coordenaçao de Aperfeiçoamento de Pessoal de Nível Superior - CAPES, e Fundaçao de Amparo à Pesquisa do Estado da Bahia - FAPESB. Também agradecemos as bolsas de pós-graduaçao da CAPES de M. C. Rodrigues e R. R. Mattos, e ao CNPq pelas bolsas de produtividade em pesquisa de S. Cunha e L. S. G. Teixeira. Agradecemos ao Professores S. Capim (IFBaiano) pelas análises de RMN e ao Professor M. M. Victor (UFBA) por nos informar sobre o trabalho (Ref. 28) com o mecanismo da catálise básica.

 

REFERENCIAS

1. Rinaldi, R.; Garcia, C.; Marciniuk, L. L.; Rossi, A. V.; Schuchardt, U.; Quim. Nova 2007, 30, 1374.

2. Clarke, N. R.; Casey, J. P.; Brown, E. D.; Oneyma, E.; Donaghy, K. J.; J. Chem. Educ. 2006, 83, 257. Ver também: Akers, S. M.; Conkle, J. L.; Thomas, S. N.; Rider, K. B.; J. Chem. Educ. 2006, 83, 260; Hoffman, A. R.; J. Chem. Educ. 2011, 88, 197; Bladt, D.; Murray, S.; Gitch, B.; Trout, H.; Liberko, C.; J. Chem. Educ. 2011, 88, 201.

3. Oliveira, D. M.; Ongaratto, D. P.; Fontoura, L. A. M.; Naciuk, F. F.; Santos, V. O. B; Kunz, J. D.; Marques, M. V.; Souza, A. O.; Pereira, C. M. P.; Samios, D.; Quim. Nova 2013, 36, 734.

4. De La Rosa, P.; Azurin, K. A.; Page, M. F. Z.; J. Chem. Educ. 2014, 91, 1689.

5. Goldstein, S. W.; J. Chem. Educ. 2014, 91, 1693.

6. Behnia, M. S.; Emerson, D. W.; Steinberg, S. M.; Alwis, R. M.; Dueñas, J. A.; Serafino, J. O.; J. Chem. Educ. 2011, 88, 1290.

7. Ault, A. P.; Pomeroy, R.; J. Chem. Educ. 2012, 89, 243.

8. Pohl, N. L. B.; Streff, J. M.; Brokman, S.; J. Chem. Educ. 2012, 89, 1053.

9. Pierce, K. M.; Schale, S. P.; Le, T. M.; Larson, J. C.; J. Chem. Educ. 2011, 8, 806.

10. Daconta, L. V.; Minger, T.; Nedelkova, V.; Zikopoulos, J. N.; J. Chem. Educ. 2015, 92, 1741.

11. Bendall, S.; Birdsall-Wilson, M.; Jenkins, R.; Chew, Y. M. J.; Chuck, C. J.; J. Chem. Educ. 2015, 92, 683.

12. Ramos, L. P.; Kothe, V.; César-Oliveira. M. A. F.; Muniz-Wypych, A. S.; Nakagaki, S.; Krieger, N.; Wypych, F.; Cordeiro, C. S., Rev. Virtual Quim. 2008, 9, 317; Silverman, J. R.; J. Chem. Educ. 2016, 93, 1679; Santos, A. P. B.; Pinto, A.; Quim. Nova. Esc. 2009, 31, 58; Oliveira, F. C. C.; Suarez, P. A. Z.; Santos, W. L. P.; Quim. Nova Esc. 2008, 3; Castro, H. F.; Mendel, A. A.; Santos, J. C.; Aguiar, C. L.; Quim. Nova 2004, 27, 146; Costa Neto, P. R.; Rossi, L. F. S.; Zagonel, G. F.; Ramos, L. P.; Quim. Nova 2000, 23, 531; Bucholtz, E.; J. Chem. Educ. 2007, 84, 296; Stout, R.; J. Chem. Educ. 2007, 84, 1765.

13. Cunha, S.; Fontes, T.; Araújo, D. M., Riatto; V. B.; Quim. Nova 2018, 41, 116; Cunha, S.; Matos, J. S.; Quim. Nova 2017, 40, 1253; Riatto, V. B.; Victor, M. M., Cunha, S.; Magalhaes, A. C. R., Cruz, F. T.; Carriço, C. S., Quim. Nova 2015, 38, 727; Cunha, S.; Costa, O. B. S.; Santana, L. L. B.; Lopes, W. A.; Quim. Nova 2015, 38, 874. Cunha, S.; Iunes, C. E. M.; Oliveira, C. C.; de Santana, L. L. B.; Quim. Nova 2015, 38, 1125; Cunha, S.; Santos Filho, R. F.; Riatto, V. B.; Dourado, G. A. A.; Quim. Nova 2013, 36, 190. Cunha, S.; de Santana, L. L. B.; Quim. Nova 2012, 35, 642; Cunha, S.; Lustosa, D. M.; Conceiçao, N. D.; Fascio, M.; Magalhaes, V.; Quim. Nova 2012, 35, 638.

14. Durán, C. A. A.; Tsukui, A.; Santos, F. K. F; Martinez, S. T.; Bizzo, H. R.; Rezende, C. M., Rev. Virtual Quim. 2017, 9, 107.

15. Bendinskas, K.; Weber, B.; Nsouli, T.; Nguyen, H. V.; Joyce, C.; Niri, V., Jaskolla, T. W.; J. Chem. Educ. 2014, 91, 1697.

16. https://365salvador.wordpress.com/2013/05/24/24-de-maio-carrinho-de-cafe/, acessada em Fevereiro de 2018.

17. https://www.youtube.com/watch?v=NErY0ssPEm0, acessada em Fevereiro de 2018.

18. Crowther, M. W.; J. Chem. Educ. 2008, 85, 1550.

19. Sanli, H., Canakci, M.; Energy Fuels 2008, 22, 2713.

20 Bladt, D.; Murray, S.; Gitch, B.; Trout, H.; Liberko, C.; J. Chem. Educ. 2011, 88, 201.

21 Rabelo, S. N.; Ferraz, V. P.; Oliveira, L. S.; Franca, A. S. Int. J. Environ. Sci. Development 2015, 6, 964.

22. Hartel, A. M., Moore, A. C.; J. Chem. Educ. 2014, 91, 1702; Fry, C. G.; Hofstetter, H.; Bowman, M. D.; J. Chem. Educ. 2017, 94, 1319.

23. Guzatto, R.; Martini, T. L.; Samios, D.; Fuel Process. Technol. 2011, 92, 2083.

24 Gelbard, G.; Brès, O.; Vargas, R. M.; Vielfaure, F.; Schuchardt, U. F.; J. Am. Oil Chem. Soc. 1995, 72, 1239.

25. Costa, P. R. R.; Pilli, R. A.; Pinheiro, S.; Vasconcellos, M. L. A. A.; Substâncias Carboniladas e Derivados, Artmed Editora: Porto Alegre, 2003, pp. 252; A alternativa do ataque do álcool à carbonila e, só entao, o HO- subtrair o hidrogênio do álcool, ao mesmo tempo que o oxigênio refaz a ligaçao dupla ao carbono nao reflete a formaçao do intermediário tetraédrico como etapa lenta.

26 Meneghetti, S. M. P.; Meneghetti, M. R.; Brito, Y. C.; Rev. Virtual Quim. 2013, 5, 63.

27. A análise detalhada dos argumentos termodinâmicos que comprovam que a H2O é um ácido mais forte que o MeOH estao fora do escopo do trabalho aqui descrito, mas podem ser verificados neste artigo pedagógico e na bibliografia adicional aí citada: Silverstein, T. P.; Heller, S. T.; J. Chem, Educ. 2017, 94, 690.

28. Tang, Z.; Wang L.; Yang, J.; Eur. J. Lipid Sci. Technol. 2008, 110, 747.

29. A reaçao é de pseudo primeira ordem pois o álcool atua como solvente e, ao mesmo tempo, reagente, e está em quantidade superior ao triglicerídeo. A entidade química HO- atua como catalisador e, neste caso, tem ordem de reaçao igual a zero. Portanto, apesar da ordem global da reaçao ser 2, a [álcool]x (onde x é a ordem de reaçao em relaçao ao álcool) é incorporada na constante de velocidade e a equaçao geral tem a seguinte forma: v = k'[triglicerídeo]y[catalisador]z, em que z = 0 e k' = k[álcool]x, sendo x+y=2.

On-line version ISSN 1678-7064 Printed version ISSN 0100-4042
Qu�mica Nova
Publica��es da Sociedade Brasileira de Qu�mica
Caixa Postal: 26037 05513-970 S�o Paulo - SP
Tel/Fax: +55.11.3032.2299/+55.11.3814.3602
Free access

GN1