JBCS



17:12, sáb out 25

Acesso Aberto/TP



Artigo


Condensação aldólica de furfural e acetona catalisada por bases orgânicas nitrogenadas: um estudo preliminar de desempenho catalítico visando a produção de bioquerosene de aviação
Aldol condensation of furfural with acetone catalyzed by nitrogenated organic bases: a preliminary study of the catalytic performance toward the production of biojet fuel

Vinícius W. FariaI; Guilherme C. AlmeidaII; Cláudio J. A. MotaI,II,III,*

I. Escola de Química, Universidade Federal do Rio de Janeiro, 21941-901 Rio de Janeiro - RJ, Brasil
II. Instituto de Química, Universidade Federal do Rio de Janeiro, 21941-901 Rio de Janeiro - RJ, Brasil
III. INCT Energia e Ambiente, Universidade Federal do Rio de Janeiro 21941-909 Rio de Janeiro - RJ, Brasil

Recebido em 17/10/2017
Aceito em 05/03/2018
Publicado na web em 04/04/2018

Endereço para correspondência

*e-mail: cmota@iq.ufrj.br

RESUMO

The aldol condensation between furfural and acetone was studied in the presence of organic bases, such as Piperazine (PIP), 3-Aminopropyltriethoxysilane (APTES) and 1,5,7-Triazabicyclo [4.4.0] dec-5-ene (TBD), as basic catalysts. The latter base showed the highest conversion rates of furfural and high selectivity to the single-condensation product 4-(2-Furyl)-3-buten-2-on (F-Ac). These data are consistent with the greater basicity of TBD in relation to the other amines. This study was carried out aiming at the future anchoring of the bases in inorganic supports for the production of heterogeneous catalysts.

Palavras-chave: furfural; acetone; aldol condensation; TBD.

INTRODUÇAO

Novas alternativas tecnológicas sustentáveis têm sido desenvolvidas no sentido de buscar novos caminhos para substituir os combustíveis de origem fóssil. A produçao de biocombustíveis é uma das formas de se gerar energia a partir de recursos renováveis.1-5 O bioquerosene de aviaçao é um biocombustível inovador ainda pouco explorado, porém, com grande potencial devido à possibilidade de uso de matéria-prima oriunda de biomassa.6,7

O processo de produçao de biocombustível envolve nao somente a escolha da matéria-prima, mas também a escolha de uma rota química para geraçao do produto. Quatro rotas tecnológicas de produçao de bioquerosene vêm recebendo destaque:8-11

(a) transesterificaçao/descarbonilaçao/hidrogenaçao de óleos vegetais e gorduras;

(b) síntese de Fischer-Tropsch a partir de biomassa (processos BTL);

(c) hidroprocessamento de óleo vegetal;

(d) condensaçao aldólica e hidrogenaçao de furfural e derivados.

As rotas sao interessantes sob o ponto de vista sustentável. No entanto, possuem grandes desafios, uma vez que exploram um campo ainda nao economicamente rentável. As rotas (a) e (c) têm como fonte de biomassa os triglicerídeos, já a última rota tem como fonte a decomposiçao de açúcares presentes em biomassa lignocelulósica, podendo ter alto potencial para produçao de biocombustíveis.10-13 A hidrólise de celulose e hemicelulose, seguida da degradaçao ácida da glicose e xilose produzidas formam o 5-hidroximetilfurfural e o furfural, respectivamente. A condensaçao aldólica entre o furfural e acetona pode formar compostos oxigenados de maior cadeia que, uma vez hidrogenados, podem produzir alcanos na faixa de 8 a 16 átomos de carbono, ideal para a produçao de querosene de aviaçao. A reaçao envolve a formaçao do intermediário 4-(2-Furil)-4-hidroxi-2-butanona (F-OH) que, na sequência, desidrata formando o produto insaturado 4-(2-Furil)-3-buten-2-ona (F-Ac). Este produto pode reagir com uma segunda molécula de furfural e formar o 1,4-pentadien-3-ona-1,5-di-2-furanil (F-Ac-F)14 conforme o esquema reacional mostrado na Figura 1.

 


Figura 1. Condensaçao aldólica entre a acetona e o furfural

 

A presença de catalisadores básicos na condensaçao aldólica entre furfural e a acetona é imprescindível.15,16 Muitos processos químicos industriais utilizam catalisadores em pelo menos uma das etapas. Um catalisador deve apresentar altas taxas de conversao e seletividade aos produtos desejados.17 Dumesic e colaboradores publicaram18 um trabalho referente à produçao de n-alcanos líquidos por uma rota química baseada em carboidratos de biomassa ligninocelulósica. A combinaçao sequencial de reaçoes de hidrólise/desidrataçao de polissacarídeos, condensaçao aldólica e hidrogenaçao, forma uma rota química atraente, recentemente aplicada na formulaçao de combustíveis automotivos. A desidrataçao foi realizada por catalisadores ácidos, a condensaçao aldólica por catalisadores sólidos básicos e a desidrataçao/hidrogenaçao por catalisadores de metais nobres suportados. A principal ideia é a utilizaçao de um reator catalítico de quatro fases com entradas para cada componente: reagentes orgânicos em meio aquoso, hexadecano, gás hidrogênio e catalisador. O hexadecano torna a fase orgânica mais hidrofóbica removendo as espécies hidrofóbicas (produtos) do catalisador antes de haver a deposiçao de coque no catalisador.

West, Dumesic e colaboradores empregaram um sistema bifásico, utilizando tetraidrofurano (THF), com objetivo de separar os produtos solúveis no meio orgânico e insolúveis em água. O cloreto de sódio é usado para diminuir a miscibilidade entre as fases orgânica e aquosa.11 No entanto, diante do uso do solvente orgânico e quantidade de água no processo, o sistema bifásico nao parece ser a melhor alternativa para produçao dos n-alcanos lineares. Constata-se, também, a formaçao de ácidos orgânicos que podem neutralizar o catalisador básico.19 Catalisadores óxidos metálicos e hidrotalcitas em meio aquoso foram, também, testados na reaçao.20,21 Há estudos sobre a aplicaçao de catalisadores zeolíticos em testes catalíticos na reaçao de condensaçao aldólica.22,23

Esta rota foi testada com três catalisadores diferentes usados em cada etapa. Inicialmente, os carboidratos foram hidrolisados na presença de HCl e transformados em hemicelulose e oligômeros de xilose. Na sequência, os açúcares foram desidratados para formar o furfural. A reaçao de condensaçao aldólica entre furfural e acetona, seguida da hidrogenaçao dos intermediários formados, produziu n-alcanos. A reaçao de condensaçao aldólica foi catalisada por NaOH levando a excelentes rendimentos. Os catalisadores metálicos suportados utilizados nas reaçoes de hidrogenaçao foram Pd/Al2O3 e Pt/NbOPO4.11

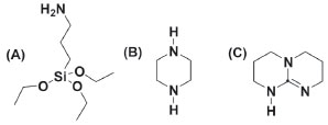
Os compostos orgânicos com funçoes aminas possuem características básicas de Lewis e de Bronsted. O 1,5,7-Triazabiciclo[4.4.0]dec-5-eno (TBD) é uma base forte com valor de pKa do ácido conjugado igual 26.24 O TBD tem sido usado na catálise de algumas reaçoes orgânicas como, por exemplo, na reaçao de Henry,25 na reaçao de Michael,26 reaçao de Horner-Wadsworth-Emmos,27 Claisen-Schimidt28 e entre benzaldeído e 1-metoxi-2-metil-1-trimetil siloxipropeno.29 Nosso grupo empregou esta base ancorada em sílica mesoporosa na transesterificaçao de óleos vegetais para produçao de biodiesel, obtendo excelentes rendimentos.30 3-Aminopropil trietoxisilano (APTES) possui um grupoamino primário, enquanto que a piperazina tem estrutura cíclica com a presença de dois grupos aminos secundários. Elas possuem valores de pKa do ácido conjugado igual a 10,5 e 9,8, respectivamente. Ambas já foram aplicadas em reaçoes de condensaçao de Knoevenagel31-33 e também na captura de dióxido de carbono.33,34 A Figura 2 mostra as estruturas químicas dos compostos orgânicos.

 


Figura 2. Estrutura química de compostos amino-orgânicos (a) APTES, (b PIP e (c) TBD

 

No presente trabalho, propoe-se empregar compostos orgânicos básicos com grupamentos funcionais amino primário, secundário e terciário, com diferentes basicidades, visando um estudo preliminar catalítico com aplicaçao na reaçao de condensaçao aldólica entre furfural e acetona. Os compostos testados foram a Piperazina (PIP), o 3-Aminopropiltrietoxisilano (APTES) e o 1,5,7-Triazabiciclo[4.4.0]dec-5-eno (TBD). A ideia é poder verificar a viabilidade de ancoragem destas bases em suportes inorgânicos visando a heterogeneizaçao posterior do sistema catalítico.

 

PARTE EXPERIMENTAL

Reagentes e solventes

Furfural e acetona foram adquiridos da Sigma-Aldrich, em grau analítico, bem como as bases orgânicas piperazina (PIP), 3-Aminopropiltrietoxisilano (APTES) e 1,5,7-Triazabiciclo[4.4.0]dec-5-eno (TBD).

Avaliaçao catalítica

A avaliaçao catalítica foi realizada variando-se os seguintes parâmetros: tipo e quantidade de catalisador (TBD, APTES e PIP), temperatura de reaçao e razao molar Acetona/Furfural. A quantidade de furfural nas reaçoes foi de 1 mL. Assim, para razao molar 10:1 acetona: furfural a quantidade de acetona foi de 9 mL. Em todos os testes de avaliaçao catalítica a agitaçao no reator tipo Parr foi mantida em 900 rpm. Após o final de cada experimento foi retirada uma alíquota do meio reacional e solubilizada em acetato de etila, sendo entao analisada em equipamento de cromatografia gasosa acoplada a espectrômetro de massas. A coluna cromatográfica foi do tipo HP-5 (5% Fenil, 95% Dimetilpolisiloxano) com comprimento de 30 m, espessura de filme igual a 0,25 µm e diâmetro interno de 0,25 mm. As condiçoes de análise foram: temperatura inicial de forno igual a 50 °C, tempo inicial de 1,5 min e temperatura máxima em 250 °C. A taxa de aquecimento é igual a 15 °C min-1, modo split 100:1. A conversao de furfural, seletividade ao F-Ac e frequência de turnover estao descritas pelas equaçoes 1, 2, 3 e 4, tendo sido obtidas a partir das análises cromatográficas através de curvas de calibraçao.

Na primeira série de testes catalíticos avaliou-se a atividade dos catalisadores TBD, APTES e PIP frente à reaçao de condensaçao aldólica entre a acetona e furfural a 50 °C, durante 7 h, com 1,4 mol% de catalisador/mol de furfural e razao molar 10:1 acetona/furfural. Alguns efeitos de variáveis independentes reacionais foram estudados ao melhor catalisador avaliado: temperatura, quantidade de catalisador e razao molar acetona/furfural.

Na segunda série de testes de avaliaçao catalítica, o catalisador 1,5,7-Triazabiciclo[4.0.0]dec-5-eno (TBD) foi testado frente à condensaçao aldólica entre a acetona e o furfural, 1,4 mol% catalisador/mol furfural em todos os experimentos. Cada experimento foi avaliado em diferentes temperaturas: 25 °C, 50 °C, 75 °C e 100 °C. O tempo reacional foi igual a 7 h e a razao molar 10:1 acetona/furfural.

Na terceira série de testes de avaliaçao do catalisador, todos os experimentos foram feitos à temperatura de 50 °C,variando-se a quantidade de catalisador 0,7; 1,4; 3 e 6 mol% de catalisador/mol de furfural. O tempo reacional experimental foi de 7 h e a razao molar acetona /furfural foi de 10:1 em todos os experimentos da série.

Na quarta série de testes de avaliaçao catalítica a temperatura reacional foi mantida a 50 0C durante 6 h e variou-se a razao molar acetona/furfural. Foram testadas as razoes molares acetona/furfural de 1:2, 1:1, 5:1, 10:1 e 15:1. A quantidade de catalisador 1,4 mol% de catalisador/mol furfural foi mantida constante em todos os testes.

 

RESULTADOS E DISCUSSAO

Comparaçao de catalisadores à base amino-orgânica

Na primeira série de testes catalíticos os três catalisadores, TBD, APTES e PIP foram comparados na reaçao de condensaçao aldólica entre furfural e acetona. A Figura 3 mostra a conversao de furfural com o tempo. Nota-se a maior atividade catalítica do TBD, que promoveu 100% de conversao após cerca de 7 horas de reaçao. Neste mesmo tempo, o APTES converteu pouco mais de 47% de furfural e a PIP apenas cerca de 15%. A justificativa pode ser relacionada à basicidade das aminas. O pKa dos ácidos conjugados do TBD é igual a 26, enquanto que o pKa do APTES e PIP sao 10,5 e 9,8, respectivamente. Nestes testes catalíticos observou-se somente o intermediário F-OH e o produto insaturado F-Ac. Inicialmente, a base remove o hidrogênio alfa da acetona resultando em espécie rica em elétrons denominada enolato (carbânion). Este íon é estabilizado pela deslocalizaçao de carga por ressonância em direçao ao átomo de oxigênio. A seguir, o carbânion ataca a carbonila do furfural formando uma nova ligaçao C-C. Após transferência de próton é formado o intermediário F-OH. Na sequência, pode ocorrer nova abstraçao do próton ácido adjacente à carbonila para gerar um enolato, o qual pode, na sequência, eliminar grupamento OH- para gerar o produto insaturado 4-(2-Furil)-3-buteno-2-o na (F-Ac).

 


Figura 3. Conversao do furfural com o tempo de reaçao.Condiçoes reacionais: 50 °C, 1,4 mol% de catalisador/mol furfural, razao molar acetona/ furfural 10:1

 

A Tabela 1 mostra os resultados de conversao e seletividade para os catalisadores a 50 °C e 2 h de reaçao. A frequência de turnover [F.T.] foi calculada como parâmetro de atividade catalítica. Nota-se que o catalisador TBD teve maior frequência de turnover, logo maior atividade catalítica quando comparado aos catalisadores APTES e PIP. A seletividade ao F-Ac também foi maior com o catalisador TBD, corroborando a hipótese de sua maior basicidade ser a responsável pelo melhor desempenho catalítico, tanto em termos de conversao como de seletividade ao produto desejado.

 

 

Os testes catalíticos seguintes foram realizados com o catalisador TBD, já que foi o que promoveu o melhor desempenho nos testes comparativos. Os experimentos foram realizados com objetivo de investigar a influência das variáveis independentes na conversao de furfural e seletividade ao produto F-Ac. Os efeitos estudados foram a temperatura, quantidade de catalisador (mol% catalisador/mol de furfural) e razao molar acetona/furfural. O estudo destes efeitos busca encontrar uma faixa operacional de testes experimentais de reaçao para avaliar a viabilidade do uso de TBD ancorado em suportes inorgânicos utilizados como catalisadores heterogêneos.

Efeito da temperatura na atividade catalítica do TBD

O efeito da temperatura de reaçao foi estudado devido à sua importância na cinética de reaçao. Além disso, altas temperaturas podem favorecer a degradaçao do furfural, podendo formar co-produtos orgânicos ácidos, que podem neutralizar a base e limitar a formaçao de produtos da condensaçao. A Figura 4 mostra o perfil da conversao de furfural e seletividade ao produto F-Ac ao longo do tempo na faixa de temperatura investigada. Foram realizados quatro testes visando a comparaçao entre diferentes temperaturas 25 °C, 50 °C, 75 °C e 100 °C, usando 1,4 mol% de catalisador TBD/mol de furfural e 7 h de reaçao. A conversao do furfural variou de 60% a 100% com o aumento da temperatura entre 25 °C e 100 °C. Nota-se que os resultados a 75 e 100 °C nao diferem significativamente, com 100% de conversao na primeira hora de reaçao. Em todos os experimentos houve somente a formaçao do intermediário F-OH e do produto F-Ac. A 25 °C, ainda com baixa conversao de furfural, observa-se uma maior seletividade ao intermediário F-OH e baixa seletividade ao produto F-Ac. O teste a 50 °C já mostra maiores conversoes de furfural e diminuiçao da seletividade ao intermediário F-OH, com prevalência do produto F-Ac. Nas temperaturas mais altas, a conversao é igualmente maior assim como a seletividade ao F-Ac, que é praticamente o único produto observado conforme mostra na Figura 5.

 


Figura 4. Influência da temperatura na conversao do furfural. Condiçoes reacionais: 1,4 mol% catalisador TBD/mol furfural, razao molar acetona/furfural igual 10:1; 7 h de reaçao

 

 


Figura 5. Influência da temperatura na seletividade do produto F-Ac. Condiçoes reacionais: 1,4 mol% catalisador TBD/mol furfural, razao molar acetona/furfural igual 10:1; 7 h de reaçao

 

Efeito da quantidade de catalisador TBD

A Figura 6 descreve os resultados obtidos variando-se as quantidades de catalisador TBD. A conversao de furfural aumenta com uma maior quantidade molar da base, como era de se esperar. Com 6 mol% de TBD/mol de furfural observa-se 100% de conversao em menos de 1 h de reaçao. Este mesmo valor de conversao é alcançado em cerca de 2 h quando se usa 3 mol% de TBD/mol de furfural. No valor de 1,4 mol% de TBD/mol de furfural a conversao integral só é obtida após cerca de 7 h; com o valor de 0,7 mol de TBD/mol de furfural a conversao atinge em torno de 40% após 7 h.

 


Figura 6. Efeito da quantidade de TBD na conversao de furfural. Condiçoes reacionais: 50 °C, razao molar acetona/furfural igual 10:1 e 7 h de reaçao

 

A Figura 7 mostra a seletividade ao produto F-Ac. Nota-se que com a maior quantidade de base a seletividade chega a 100% em menos de 1 h de reaçao. Para o valor de 3 mol% de TBD/mol de furfural a seletividade de 100% é atingida entre 2 e 3 h. Nos outros dois casos, o intermediário F-OH é sempre observado no intervalo de tempo estudado. Para uma quantidade de 1,4 mol% de TBD/mol de furfural a seletividade ao F-Ac é de 95% após 7 h, enquanto que para 0,7 mol% de TBD/mol de furfural a seletividade a este produto é em torno de 20%, após as mesmas 7 h.

 


Figura 7. Efeito da quantidade de TBD na seletividade ao produto F-Ac ao longo do tempo de reaçao. Condiçoes reacionais: 50 °C, razao molar acetona/ furfural igual 10:1 e 7 h de reaçao

 

Os dados de conversao e seletividade mostram que é importante ajustar uma concentraçao de base ao meio reacional. Maiores quantidades levam, como esperado, a menores tempos para se atingir conversao e seletividade de 100%. Todavia, uma maior quantidade de base incorre num maior custo operacional, já que a base TBD nao é barata. Assim, uma quantidade entre 1,4 e 3 mol% de TBD/mol de furfural parece a ideal para comprometer bons resultados de conversao e seletividade a um custo aceitável para o processo.

Efeito da razao molar acetona/furfural

Na quarta série de experimentos, o objetivo foi comparar a atividade catalítica do TBD em diferentes razoes molares acetona/furfural. As condiçoes reacionais foram 50 °C em 6 h de reaçao. Em todos os experimentos houve somente a formaçao do intermediário F-OH e do produto F-Ac. A Tabela 2 mostra os resultados. É possível verificar que a conversao de furfural e seletividade ao F-Ac é crescente quando a razao molar acetona/furfural aumenta de 1:2 até 15:1.

 

 

A primeira etapa no mecanismo da condensaçao aldólica é a desprotonaçao da acetona para formaçao do enolato que, em seguida, ataca a molécula de furfural. A maior razao molar acetona/furfural favorece a reaçao, pois aumenta a concentraçao do enolato no meio reacional e, por conseguinte, a conversao do furfural. Dessa maneira, a taxa de reaçao depende da quantidade de sítios básicos e da formaçao de intermediários enolatos.

 

COMPARAÇAO ENTRE TBD E OUTROS CATALISADORES

O catalisador TBD foi comparado com catalisadores heterogêneos, como óxidos mistos e hidrotalcitas. Os resultados estao representados na Tabela 3. Nota-se que o TBD possui maior atividade e seletividade que os catalisadores básicos heterogêneos mais tradicionais. Os óxidos mistos de MgO-ZrO2 (entrada 2) e MgO-Al2O3 (entrada 3) apresentam conversoes menores, assim como menor seletividade ao produto F-Ac, numa mesma temperatura reacional. Vale salientar que nestes experimentos a razao molar acetona/furfural foi de 1:1, mas o tempo foi significativamente maior, assim como a quantidade molar de catalisador. Já para a hidrotalcita de Co e Al, numa mesma razao molar de 10:1 de acetona/furfural, a conversao foi de 83%, mas a 120 °C e 10 h de reaçao. Estes dados mostram que o TBD tem grande potencial de ser utilizado como catalisador nesta reaçao, sobretudo se for ancorado em um suporte inorgânico, com vistas à reutilizaçao do catalisador.

 

 

CONCLUSOES

Três diferentes tipos de catalisadores básicos foram testados em reaçao de condensaçao aldólica entre a acetona e o furfural. O composto orgânico 1,5,7-Triazabiciclo[4.4.0]dec-5-eno (TBD) teve melhor atividade catalítica comparada à Piperazina (PIP) e ao 3-Aminopropil trietoxisilano (APTES), apresentando maior conversao de furfural, e seletividade ao 4-(2-Furil)-3-buten-2-ona. Este resultado está associado à maior basicidade do TBD em comparaçao com as outras aminas.

Experimentos de variaçao de condiçoes reacionais mostraram que conversao de 100% pode ser alcançada em temperaturas de 75 °C em cerca de 1 h de reaçao. A quantidade molar de base em relaçao ao furfural, bem como a razao molar acetona/furfural, afetam significativamente a conversao e seletividade da reaçao. Um percentual de TBD de 3% molar em relaçao ao furfural já permite obter 100% de conversao e seletividade em 3 h, enquanto uma razao molar de acetona/furfural de 10:1 parece ser a mais adequada para obtençao de alta conversao e seletividade.

 

AGRADECIMENTOS

Os autores agradecem as agências de fomento CAPES, CNPq e FAPERJ (E-26/202.741/2016) pelo suporte financeiro.

 

REFERENCIAS

1. Mota, J. A. J.; Monteiro, R. S.; Quim. Nova 2013, 36, 1483.

2. Suarez, P. A. Z.; Santos, A. L. F.; Rodrigues, J. P.; Alves, M. B.; Quim. Nova 2009, 32, 768.

3. Rodrigues, J. A. R.; Quim. Nova 2011, 34, 1242.

4. Azadi, P.; Malina, R.; Barrett, S. R. H.; Kraft, M.; Renewable Sustainable Energy Rev. 2017, 76, 1479.

5. Dabdoub, M. J.; Bronzel, J. L.; Quim. Nova 2009, 32, 776.

6. Lima, P. S.; Ferreira, L. A.; Freitas, L. H.; Rheinheimer, M. W.; Sokolovicz, Y. C. A.; Schrekker, H. S.; J. Braz. Chem. Soc. 2014, 25, 2266.

7. Diederichs, G. W.; Mandegari, M. A.; Farzad, S.; Görgens, J. F.; Bioresour. Technol. 2016, 216, 331.

8. Silva, N. L.; Maciel, M. R. W.; Maciel Filho, R.; Batistella, C. B.; PI0803465-6, 2008.

9. Chiaramonti, D.; Prussi, M.; Buffi, M.; Tacconi, D.; Appl. Energy 2014, 136, 767.

10. Cremonez, P. A.; Feroldi, M.; Araújo, A. V.; Borges, M. N.; Meier, T. W.; Feiden, A.; Teleken, J. G.; Renewable Sustainable Energy Rev. 2015, 43, 1063.

11. West, R. W.; Liu, Z. Y.; Dumesic, J. A.; ChemSusChem. 2008, 1, 417.

12. Mccall, M. J.; Kocal, J. A.; Bhattacharyya, A.; Kalnes, T. N.; Brandvold, T. A.; US8039682B2, 2011.

13. Maciel Filho, R.; Batistella, C.; Maciel, Wolf, M. R.; Silva, N. L.; AS 0667963097BR - C1, 2012.

14. Fakhfakh, N.; Cognet, P.; Cabassud, M.; Lucchese, Y.; Los Rios, M. D.; Chem. Eng. Process 2008, 4, 349.

15. Sun, Y.; Cheng, J.; Bioresour. Technol. 2002, 83, 1.

16. Huber, G. W.; Dumesic, J. A.; Catal. Today. 2006, 111, 119.

17. Shreve, R. N.; Brink, J. A. J.; Chemical Process Industries, 4th ed., McGraw-Hill: Washington, 1997.

18. Huber, G. W.; Dumesic, J. A.; Science 2005, 308, 1446.

19. West, R. M.; Liu, Z. Y.; Peter, M.; Gartner, C. A.; Dumesic, J. A.; J. Mol. Catal. A 2008, 296, 18.

20. Faba, L.; Diaz, E.; Ordonez, S.; Biomass Bioenergy 2013, 56, 592.

21. Xu, C.; Liu, Y. G. X.; Xin, R.; Wang , Z.; RSC Adv. 2013, 3, 793.

22. Kikhtyanin, O.; Chlubná, P.; Jindrová, T.; Kubicka, D.; Dalton Trans. 2014, 43, 10628.

23. Kikhtyanina, O.; Kelbichová, V.; Vitvarová, D.; Kubu, M.; Kubicka, D.; Catal. Today 2014, 227, 154.

24. Schroeder, G.; Luska, B.; Jarczewski, A. Nowak-Wydra, B.; Brzezinski, B.; J. Mol. Struct. 1995, 344, 77.

25. Simoni, D.; Rondanin, R.; Morini, M.; Baruchello, R.; Invidata, F. P.; Tetrahedron Lett. 2000, 41, 1607.

26. Horvath, A.; Tetrahedron Lett. 1996, 37, 4423.

27. Simoni, D.; Rossi, M.; Rondanin, R.; Mazzali, A.; Baruchello, R.; Malagutti, C.; Roberti, M.; Invidata, F. P.; Org. Lett. 2000, 2, 3765.

28. Cota, I.; Medina, F.; Sueiras, J.; Tichit, D.; Tetrahedron Lett. 2011, 52, 385.

29. Srivastava, R.; J. Mol. Catal. A 2007, 264, 146.

30. De Lima, A. L.; Mbengue, A.; Gil, R. A. S.; Ronconi, C. M.; Mota, C. J. A.; Catal. Today 2014, 226, 210.

31. Rana, S.; Jonnalagadda, S. B.; Catal. Commun. 2017, 92, 31.

32. Shanmuganathan, S.; Greiner, L.; de María, P. D.; Tetrahedron Lett. 2010, 51, 6670.

33. Das,S. K. ; Wang, X.; Ostwal, M. M.; Zhao, Y. F.; Han, Y.; Lai, Z.; Chem. Eng Sci. 2016 , 145 , 21.

34. Vilarrasa-García, E.; Cecilia, J. A.; Azevedo, D.C.S.; Cavalcante Jr., C.L.; Rodríguez-Castellon, E.; Microporous Mesoporous Mater. 2017, 249, 25.

On-line version ISSN 1678-7064 Printed version ISSN 0100-4042
Qu�mica Nova
Publica��es da Sociedade Brasileira de Qu�mica
Caixa Postal: 26037 05513-970 S�o Paulo - SP
Tel/Fax: +55.11.3032.2299/+55.11.3814.3602
Free access

GN1