JBCS



17:16, sáb out 25

Acesso Aberto/TP



Artigo


Sorção de CO2 utilizando líquido iônico aditivado com extensores de área superficial
CO2 sorption using ionic liquid additivated with surface area extenders

André L. A. De SouzaI,#; Michele O. VieiraI,#; Barbara B. PolessoI,#; Fabiana W. CobalchiniI; Franciele L. BernardII; Felipe Dalla VecchiaI,III,#; Sandra EinloftI,*,#

I. Escola Politécnica, Pontificia Universidade Católica do Rio Grande do Sul, Prédio 30, Av. Ipiranga, 6681, Partenon, 90619-900 Porto Alegre - RS, Brasil
II. Escola de Ciências, Pontificia Universidade Católica do Rio Grande do Sul, Prédio 12, Av. Ipiranga, 6681, Partenon, 90619-900 Porto Alegre - RS, Brasil
III. Instituto do Petróleo e dos Recursos Naturais, Pontificia Universidade Católica do Rio Grande do Sul, Av. Ipiranga, 6681, Prédio 96J, Partenon, 90619-900 Porto Alegre - RS, Brasil

Recebido em 08/03/2018
Aceito em 20/03/2018
Publicado na web em 10/04/2018

Endereço para correspondência

*e-mail: einloft@pucrs.br

RESUMO

The study of environmentally friendly CO2 sorption agents are growing due to the need of mitigate this gas from atmosphere. Ionic Liquids (ILs) present the advantage of having low vapor pressures and being chemically and thermally stable. Besides, their properties can be designed by varying the groups of the cation or anion. Yet, these compounds present a lower desorption energy when compared to amines based chemical solvents. These characteristics make ILs potentially important for the development of new processes focused on the mitigation of global warming. However, ILs have high viscosity and high cost, making them economically unfeasible. To minimize these problems, bubble glass can be used as an additive in ionic liquids to reduce cost and viscosity. Bubble glass has several applications in industry, presenting low cost and high chemical and mechanical resistance. This work evaluated the CO2 solubility in [bmim][BF4] and [mbmim][Tf2N] pure and mixed with boron silicate bubble glass in volumetric concentrations of 5% to 50%. Data are reported at 27 bar of pressure and temperatures of 303 and 323 K. Mixed systems with 50% concentration of bubble glass showed the best sorption results for both ionic liquids.

Palavras-chave: ionic liquid; carbon dioxide; bubble glass; isochoric saturation cell.

INTRODUÇAO

A partir da revoluçao industrial, o desenvolvimento tecnológico ganhou grande impulso, proporcionando um aumento significativo da concentraçao de dióxido de carbono (CO2) na atmosfera terrestre.1 Como consequência, a geraçao de gases poluentes, provenientes da atividade humana, atinge patamares nunca antes vistos. A concentraçao de CO2 apresentou um aumento de 280 ppm na era pré-industrial para uma média global de 406 ppm registrados em 2017.2,3

Para se mitigar os efeitos das altas concentraçoes de gases de efeito estufa, necessariamente se deve considerar a captura e fixaçao do CO2.4-6 Atualmente estao disponíveis tecnologias comerciais para captura do CO2 de fontes emissoras estacionárias. Estas tecnologias se baseiam nos princípios de absorçao química ou física, de adsorçao física, de destilaçao criogênica ou de membranas.7-11

Os líquidos iônicos (sais orgânicos constituídos por um cátion orgânico e um ânion que pode ser orgânico ou inorgânico, comumente líquidos à temperatura ambiente, com baixo ponto de fusao e alto ponto de ebuliçao), apesar de serem conhecidos desde o início do século passado,12-14 ainda despertam interesse na academia e na indústria por suas características singulares que lhe conferem uma gama de propriedades físicas e químicas.

Os líquidos iônicos, quando utilizados como solventes, apresentam vantagens significativas se comparados aos tradicionais solventes orgânicos, como baixíssima pressao de vapor, estabilidade térmica, reciclabilidade, ampla faixa de solubilidade e uma ampla janela eletroquímica. Estas propriedades físicas sao os diferenciais que vêm gerando o grande número de estudos dos líquidos iônicos.15,16 Tendo em vista essas propriedades, os líquidos iônicos sao utilizados como solventes em reaçoes, catalisadores, em processos de separaçao, como eletrólitos em células de combustíveis, como fluídos de transferência de calor, em processos biotecnológicos e como solventes de absorçao ou adsorçao, principalmente de gases do efeito estufa.17-20

Vários autores têm estudado a influência de nano e micropartículas sólidas no comportamento dos líquidos iônicos quando em soluçoes coloidais ou emulsoes.21-24 Sabe-se que algumas partículas sólidas, dependendo de sua constituiçao química, interagem com os líquidos iônicos alterando sua organizaçao espacial e, como consequência, as propriedades físicas e químicas do sistema sólido-líquido.25,26

Entre as partículas já estudadas e com dados publicados na literatura, está o óxido de silício (SiO2), que interage com os líquidos iônicos. Estas alteraçoes de comportamento dos sistemas híbridos se apresentam de modo diferente para os líquidos iônicos hidrofóbicos e hidrofílicos, sugerindo que dependendo do íon que constitui o liquido iônico, os mesmos interagem com a superfície da partícula sólida, criando arranjos espaciais diferentes daquele do liquido iônico no estado puro.27

A indústria do vidro soprado, desde o ano de 1914, produz um subproduto de baixo custo, conhecido como contas de vidro, que nada mais sao que microesferas ocas de vidro com alta resistência mecânica e térmica. As propriedades físicas das microesferas de vidro lhes conferem baixo peso específico, elevada área superficial, alta resistência mecânica à compressao, alta resistência térmica, baixa viscosidade e baixíssimo custo (microesferas de vidro sao comercializadas por aproximadamente US$ 17 kg-1 e quando se considera seu peso específico de 200 kg m-3, o custo volumétrico é de aproximadamente US$ 3 L-1) quando comparado com o dos líquidos iônicos.28,29

Buscando associar as características destes dois materiais, a interaçao entre microesferas de vidro com os líquidos iônicos [mbmim][NTf2] (hidrofóbico) e [bmim][BF4] (hidrofílico) foi estudada pela adiçao destas esferas no processo de sorçao de CO2 a alta pressao (27 bar) nas temperaturas de 30, 40 e 50 °C. O objetivo é melhorar a performance de sorçao de CO2 com a diminuiçao do volume de líquido iônico (material de alto custo) por substituiçao pelas microesferas de vidro (material de baixo custo) nas concentraçoes de 5, 10 e 50%.

 

PARTE EXPERIMENTAL

Materiais

1-clorobutano (Acros Organics, 99,0%), 1-metilimidazol (Sigma Aldrich, 99,0%), acetona (Vetec, 99,5%), acetonitrila (Merck 99,0%), bis-(trifluorometanosulfonil)imidato de lítio (Alfa Aesar, 98,0%), dióxido de carbono (Air liquids, 99,998%), tetrafluoroborato de sódio (Acros Organics, 98,0%), toluene (Merck, 99,9%) foram usados sem purificaçao.

Síntese e caracterizaçao dos liquidos iônicos

Os líquidos iônicos bis-(trifluorometanosulfonil)imidato de 1-(3-metilbutil)-3-metilimidazólio [mbmim][NTf2] e tetrafluoroborato de 1-butil-3-metilimidazólio [bmim][BF4] foram sintetizados seguindo procedimentos já descritos na literatura.30-32

Os líquidos iônicos foram caracterizados por Espectroscopia no Infravermelho com Transformada de Fourier (FTIR) usando um espectrofotômetro Perkin-Elmer modelo Spectrum 100 FT-IR, com acessório de refletância atenuada total (ATR), assim como Ressonância Magnética Nuclear de Próton (1H-NMR) num espectrofotômetro Varian, modelo VNMRS 300 MHz, usando DMSO-d6 como solvente em tubos de vidro de 5 mm de diâmetro.

[mbmim][NTf2] - 1H-NMR (300 MHz, DMSO-d6) δ (ppm): 9,13 [s, 1H]; 7,79 [d, 1H, J=1,7 Hz]; 7,70 [d, 1H, J=1,8 Hz]; 4,24 [t, 2H]; 3,85 [s, 3H]; 1,69 [m, 2H, J=7,2 Hz]; 1,51 [m, 1H, J=13,4; 6,5 Hz]; 0,92 [s, 6H]. FTIR ν (cm-1): 3157-3121 (C-H aromática), 2964 (C-H de CH2), 2877 (C-H de CH3), 1628 (C=N aromática), 1573-1471 (C=C aromática), 1226 (C-N aromática), 1180 (C-N alifática), 1048 (S=O), 846 (N-S), 789 (C-S), 739-653 (C-F).

[bmim][BF4] - 1H-NMR (300 MHz, DMSO-d6) δ (ppm): 9,17 [s, 1H]; 7,85 [d, 1H, J=1,7 Hz]; 7,79 [d, 1H, J=1,6 Hz]; 4,26 [t, 2H, J=7,2 Hz]; 3,94 [s, 3H]; 1,95-1,76 [m, 2H, J=14,9; 7,5 Hz]; 1,36 [dt, 2H, J=14,6; 7,3 Hz]; 1,00 [t, 3H, J=7,3 Hz]. FTIR ν (cm-1): 3164-3121 (C-H aromática), 2964 (C-H de CH2), 2877 (C-H de CH3), 1628 (C=N aromática), 1575-1466 (C=C aromática), 1285 (C-N aromática), 1169 (C-N alifática), 1030-843 (B-F).

Caracterizaçao das microesferas de vidro

As microesferas de vidro foram fornecidas pela 3M do Brasil na especificaçao K20. Este material é formado por microesferas ocas de vidro soda-cal boro silicato com a aparência de um pó branco muito fino. As especificaçoes das microesferas de vidro, fornecidas pelo fabricante, é apresentada na Tabela 1.

 

 

A caracterizaçao das microesferas de vidro foi realizada por microscopia eletrônica de varredura (MEV) em equipamento FEI Inspect F50 no modo de elétrons secundários (SE). As amostras foram dispostas em stubs e recobertas com uma fina camada de ouro. Para a obtençao das micrografias foi aplicada uma tensao de 10 kV.

A Figura 1 apresenta imagens (MEV) mostrando que as microesferas analisadas possuem superfícies rugosas (Figura 1a) e diâmetros nao uniformes (Figura 1b) que variam de 2 a 30 mícron.

 


Figura 1. MEV da microesfera de vidro

 

Ensaios de sorçao de CO2

Os ensaios de sorçao foram realizados numa célula de equilíbrio de volume constante com janelas de safira e os cálculos realizados pelo método da saturaçao isocórica. O esquema de montagem da célula de equilíbrio é ilustrado na Figura 2.

 


Figura 2. Esquema de montagem do sistema da célula de equilíbrio de saturaçao isocórica

 

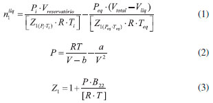
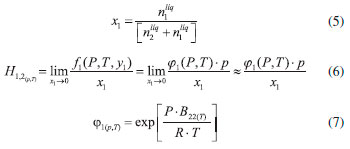
Para o ensaio de sorçao, foram testados os líquidos puros, e misturas de 5%, 10% e 50% de microesferas nos líquidos iônicos. Essas porcentagens dizem respeito ao volume de microesferas, ou seja, a amostra LI 10% mesf corresponde a 90% do volume de líquido iônico e os outros 10% do volume de microesferas de vidro. As misturas foram preparadas e uma massa aproximada de 12 g de amostra (mistura LI + mesf) foi adicionada no interior da célula de equilíbrio e aplicado 1 h de vácuo (10-2 bar) para retirada de umidade residual da amostra. Os ensaios de sorçao foram realizados em triplicata. Para cada teste, o vaso reservatório foi pressurizado com CO2(g) até a pressao de 27 bar nas temperaturas de 30 °C, 40 °C ou 50 °C. Após a pressurizaçao da célula de equilíbrio com o CO2 do vaso reservatório, o sistema foi mantido sob agitaçao constante em 1000 rpm, até que a amostra de líquido iônico e o CO2(g) alcançassem o equilíbrio termodinâmico. Para a etapa de dessorçao do CO2 no líquido, entre cada medida foi aplicado 1 h de vácuo. As equaçoes empregadas nos cálculos sao as seguintes (Eq. 1-7):

em que Pi e Ti sao a pressao e a temperatura na primeira determinaçao PVT, e Peq e Teq sao a pressao e a temperatura no equilíbrio. Z1 é o fator de compressibilidade para o gás puro, e B22 (cm3 cm-1) é o segundo coeficiente virial para o gás puro, conforme a Eq. 4.

Os coeficientes a, b e c para o CO2 foram consultados em banco de dados eletrônico (NPL, 2008), conforme segue: a = 137,6; b = 87,7 e c = 325,7. A solubilidade foi, entao, expressa em fraçao molar e calculada a constante de Henry para cada líquido iônico.33,34

sendo f1 a fugacidade do soluto, e φ1 é o coeficiente de fugacidade do soluto.

Determinaçao da densidade das misturas

A determinaçao da densidade das misturas de líquido iônico com as microsesferas de vidro nas concentraçoes de 5, 10 e 50% foi realizada com um picnometro de vidro de 10 mL devidamente calibrado e a densidade foi calculada segundo Eq. 8:

A Tabela 2 mostra os resultados de densidade obtidos experimentalmente a 30 °C das misturas.

 

 

Determinaçao das propriedades termodinâmicas

Quando consideramos as funçoes termodinâmicas de estado, energia livre de Gibbs (G), entalpia (H) e entropia (S), as mesmas sao correlacionadas pela Eq. 9, uma das equaçoes fundamentais da termodinâmica.35

A funçao ΔG (T), nao havendo mudança de fase, quando representada graficamente comporta-se como uma reta,36 sendo ΔH (T) o coeficiente linear e ΔS (T) o coeficiente angular. Considerando-se as grandezas H e S, à pressao constante, estas sao também funçoes da temperatura, conforme demonstrado nas Eq. 10 e 11:

 

RESULTADOS E DISCUSSAO

Sorçao de CO2

Os resultados obtidos com a célula de equilíbrio isocórica para os sistemas de líquidos iônicos [mbmim][NTf2] (Tabela 3) e [bmim][BF4] (Tabela 4) puros e com as microesferas de vidro nas concentraçoes 5%, 10% e 50% sao apresentados e representados na Figura 3, na qual é apresentado o efeito da adiçao das microesferas de vidro no valor de solubilidade de CO2 obtido em funçao da temperatura.

 

 

 

 

 


Figura 3. Valores experimentais da sorçao do CO2 no [mbmim][NTf2] (a) e [bmim][BF4] (b) puro e nos sistemas híbridos com microesferas de vidro

 

Como pode-se observar na Figura 3, se constata que o sistema híbrido microesferas de vidro - [mbmim][NTf2] (hidrofóbico) apresenta um comportamento homólogo àquele desenvolvido pelo LI [bmim][BF4], e que apresentaram resultados de adsorçao melhores do que aos o LI puro, independente da concentraçao de microesferas e da temperatura. No entanto, no caso presente com [bmim][BF4], o incremento de capacidade de adsorçao foi menor do que aquele obtido com o líquido iônico [mbmim][NTf2].

Observamos que o sistema híbrido com LI hidrofóbico ([mbmim][NTf2]), Figura 3a, apresentou uma sorçao de CO2 superior àquela do líquido iônico puro em qualquer das concentraçoes de microesferas. No sistema híbrido hidrofílico ([bmim][BF4]), Figura 3b, observou-se um comportamento diferente. Uma sorçao superior no LI hidrofílico foi obtida somente na concentraçao de 50% de microesferas, nas demais concentraçoes de microesferas o sistema apresentou fraçoes molares de CO2 inferiores aquelas do líquido iônico puro.

Nos sistemas híbridos [mbmim][NTf2] - microesferas de vidro se observa resultados de sorçao significativamente melhores do que o do LI puro e resultados consistentes de aumento da sorçao à medida que se aumentou o volume de microesferas, sugerindo que o aumento da área superficial disponível no sistema facilita a difusao e sorçao do CO2 pelo líquido iônico. Já no sistema híbrido com [bmim][BF4], o comportamento só se altera com concentraçoes elevadas de microesferas, nas quais a disponibilidade de área superficial passa a ser significativa.

Na Tabela 5 sao apresentados os valores de fraçao molar em funçao da temperatura dos sistemas mistos com 50% de microesferas comparado com o liquido iônico puro, bem como o incremento da fraçao molar obtida pela adiçao das microesferas onde se pode observar a diferença de comportamento entre os líquidos iônicos hidrofílico e hidrofóbico. No caso do líquido iônico hidrofílico ([bmim][BF4]), o aumento de temperatura do sistema melhorou o desempenho de sorçao, enquanto que no sistema com líquido iônico hidrofóbico ([mbmim][NTf2]) o aumento de temperatura nao impactou significativamente o desempenho de sorçao, mantendo-se praticamente constante em funçao da temperatura.

 

 

Para os sistemas híbridos, o sistema composto pelo líquido iônico [mbmim][NTf2] foi o que apresentou a maior incremento de fraçao molar. Essa melhoria na sorçao com o aumento da temperatura no sistema hidrofílico pode ser explicada pela relaçao entre o aumento de temperatura com o aumento da energia cinética das moléculas, enfraquecendo as prováveis ligaçoes de hidrogênio que ligam os íons dos LIs aos silanóis da superfície das microesferas de vidro, aumentando as distâncias intermoleculares e assim facilitando a difusao das moléculas do CO2.37

No arranjo tridimensional dos líquidos iônicos derivados dos imidazólios, os cátions e os ânions se auto arranjam, formando empilhamentos moleculares com canais onde os ânions se localizam no centro destes túneis.38 Os líquidos iônicos interagem fortemente com os silanóis presentes nas partículas de SiO2 formando ligaçoes de hidrogênio, como mostrado na Figura 4.39

 


Figura 4. Interaçao do [mbmim][NTf2] (a) e [bmim][BF4] (b) com as microesferas de vidro

 

Sabemos que a hidrofobicidade depende diretamente da densidade de carga do ânion,40,41 assim, se considerarmos que a carga do ânion [NTf2-] é mais deslocada do que a do [BF4-], os líquidos iônicos com ânions [NTf2-] sao mais hidrofóbicos que os líquidos iônicos com [BF4-], o que nos permite deduzir que a forte atratividade entre as moléculas dos silanóis e os ânions [BF4-] provoca a formaçao de ligaçoes de hidrogênio e a aproximaçao espacial destas, enquanto que ligaçoes de van der Waals geram uma fraca atratividade do ânion hidrofóbico [NTf2-] e os silanóis e, portanto, espacialmente mais afastada, justificando os comportamentos diferenciados dos líquidos iônicos estudados. Neste último caso, a maior disponibilidade de espaços vazios intermoleculares facilitaria a permeaçao e fixaçao das moléculas de dióxido de carbono. Por estas interaçoes (pontes de hidrogênio e van der Waals) serem fracas, nenhuma delas é visível por espectroscopia na regiao do infravermelho.42,43

Constantes termodinâmicas da sorçao de CO2

Com os dados de equilíbrio líquido vapor obtidos foram calculadas a entalpia molar, a entropia molar e a energia livre de Gibbs para a sorçao do CO2 nos diversos sistemas estudados. Estes resultados sao apresentados na Tabela 6 para os sistemas com os líquidos iônicos [mbmim][NTf2] e [bmim][BF4], respectivamente. Os valores obtidos para variaçao de entalpia, de entropia e da energia livre de Gibbs dos sistemas estudados sao consistentes com aqueles publicados anteriormente.44,45

 

 

Para melhor se visualizar o efeito das microesferas de vidro na espontaneidade do sistema híbrido - CO2, foi construído um gráfico de ΔG versus % de microesferas de vidro boro silicato, apresentado na Figura 5.

 


Figura 5. Energia Livre de Gibbs versus % microesferas de vidro para o sistema puro e misto de [bmim][BF4] e [mbmim][NTf2] com microesferas de vidro

 

Os valores de energia de Gibbs apresentados para o [bmim][BF4] estao de acordo com aqueles apresentados anteriormente por Jacquemim44 e nos mostram que a adiçao de microesferas de vidro até concentraçoes de 10% torna o sistema menos espontâneo, ou seja, requerendo maior quantidade de energia para a sorçao do CO2. Ao se atingir concentraçoes de microesferas de 50% em volume no sistema misto a variaçao da energia de Gibbs do sistema retorna a valores próximos ao do LI puro, justificando o melhor desempenho na sorçao do CO2. Já no caso do [mbmim][NTf2] se pode visualizar que a adiçao de microesferas de vidro favoreceu a sorçao do CO2 ao diminuir a energia livre de Gibbs à medida que o percentual de microesferas de vidro cresceu até o limite testado de 50%.

Custo dos sistemas hibridos LI - microesferas de vidro

Dos resultados apresentados, fica comprovado que os líquidos iônicos sao materiais capazes de sorver gases e que a formaçao de material misto com microesferas de vidro aumenta a capacidade de sorçao de CO2. Além deste aumento de eficiência de sorçao, o impacto econômico destes novos materiais é expressivo. Considerando-se que as microesferas de vidro têm um custo aproximado de US$ 3 L-1,28,29,46 em comparaçao com o alto custo dos líquidos iônicos, é proferível uma viabilidade econômica bastante significativa destes sistemas híbridos.

 

CONCLUSAO

A adiçao de microesferas de vidro altera o comportamento dos líquidos iônicos imidazólios quanto à capacidade de sorçao do CO2. Para o líquido iônico [mbmim][NTf2] com 50% em volume de microesferas, o aumento de capacidade de sorçao do dióxido de carbono foi da ordem de 11% frente ao LI puro.

A temperatura foi outra variável cujo aumento nos sistemas com o líquido iônico [bmim][BF4] provocou um incremento na capacidade de sorçao de CO2, enquanto que nos sistemas com o líquido iônico [mbmim][NTf2] a variaçao da temperatura nos limites testados nao provocou alteraçao na capacidade de sorçao do CO2.

As funçoes termodinâmicas mostram que, para os sistemas com líquido iônico [bmim][BF4], as microesferas de vidro em concentraçoes abaixo de 50% provocaram um aumento da energia livre de Gibbs, que nos indica uma diminuiçao da espontaneidade da sorçao de CO2. Já nos sistemas com o líquido iônico [mbmim][NTf2], a adiçao de microesferas de vidro em todas concentraçoes estudadas provocou uma constante diminuiçao da energia livre de Gibbs, sinalizando um aumento da espontaneidade da sorçao do dióxido de carbono, sendo esta diminuiçao do ΔG diretamente proporcional ao volume de microesferas de vidro adicionada.

O aumento de eficiência na captura de CO2 nos sistemas mistos com microesferas de vidro trazem uma reduçao de custo do fluido de sorçao proporcional ao ganho de eficiência quando comparado ao custo dos LI puros.

 

AGRADECIMENTOS

A Capes pelas bolsas de estudo concedidas e a 3M do Brasil pelas microesferas de vidro K20 doadas. SE agradece ao CNPq pela bolsa DT.

 

REFERENCIAS

1. Herzog, H.; Szulczewki, M.; Macminn, C.; Juanes, R.; PNAS 2012, 109, 5185.

2. NOAA - National Organic & Atmospheric Administration; Trend in Atmospheric Carbon Dioxide - Mauna Loa, 2017. http://www.esrl.noaa.gov/gmd/ccgg/trends/mlo.html#mlo_full, acessada em Março 2018.

3. IPCC - Intergovernmental Panel on Climate Change; Special Report. Renewable Energy Sources and Climate Change Mitigation, 2011.

4. Vieira, M. O.; Aquino, A. S.; Schütz, M. K.; Vecchia, F. D.; Ligabue, R.; Seferin, M; Einloft, S.; Energy Procedia 2017, 114, 7141.

5. Aquino, A. S.; Bernard, F. L.; Vieira, M. O.; Borges, J. V.; Rojas, M. F.; Vecchia, F. D.; Ligabue, R. A.; Seferin, M.; Menezes, S.; Einloft, S.; J. Braz. Chem. Soc. 2014, 25, 2251.

6. Vieira, M. O.; Monteiro, W. F.; Neto, B. S.; Ligabue, R.; Chaban, V. V.; Einloft, S.; Catal. Lett. 2018, 148, 108.

7. Bernard, F. L.; Polesso, B. B.; Cobalchini, F. W.; Chaban, V. V.; Do Nascimento, J. F.; Dalla Vecchia, F.; Einloft, S.; Energy Fuels 2017, 31, 9840.

8. Bernard, F. L.; Duczinski, R. B.; Rojas, M. F.; Fialho, M. C. C.; Carreño, L. A.; Chaban, V. V.; Vecchia, F. D.; Einloft, S.; Fuel 2018, 211, 76.

9. Fernández, R. M.; Pacheco, M. L.; Martinez, R. A.; Pradilla Q. K.; Bernard, F.; Einloft, S.; Carreño D. L. A.; Fluid Phase Equilib. 2017, 452, 103.

10. Bernard, F. L.; Polesso, B. B.; Cobalchini, F. W.; Donato, A. J.; Seferin, M.; Ligabue, R.; Chaban, V. V.; Do Nascimento, J. F.; Dalla Vecchia, F.; Einloft, S.; Polymer 2016, 102, 199.

11. Fernández, M.; Carreño, L. A.; Bernard, F.; Ligabue, R.; Einloft, S.; Macromol. Symp. 2016, 368, 98.

12. Wasserscheid, P.; Welton, T.; Ionic Liquids in Synthesis, 2nd ed., Wiley-VCH Verlag GmbH & Co.: Weinheim, 2008.

13. Bourbigou, H. O.; Magna, L.; Morvan, D.; Appl. Catal., A 2010, 373, 1.

14. Welton, T.; Coord. Chem. Rev. 2004, 248, 2459.

15. Francisco, M.; Arce, A.; Soto, A.; Fluid Phase Equilib. 2010, 294, 39.

16. Figueroa, J. D.; Fout, T.; Plasynski, S.; Mcilvried, H.; Srivastava, R.; Int. J. Greenhouse Gas Control 2008, 2, 9.

17. Li, L.; Zhao, N.; Wei, W.; Sun, Y.; Fuel 2011, 108, 112.

18. Plechkova, N. V.; Seddon, K. R.; Chem. Soc. Rev. 2008, 37, 123.

19. Rahman, M. H.; Siaj, M.; Larachi, F.; Chem. Eng. Process. 2010, 49, 313.

20. Vieira, M. O.; Monteiro, W. F.; Ligabue, R.; Seferin, M.; Chaban, V. V.; Andreeva, N. A.; Nascimento, J. F.; Einloft, S.; J. Mol. Liq. 2017, 241, 64.

21. He, Z.; Alexandridis, P.; Phys. Chem. Chem. Phys. 2015, 17, 18238.

22. Park, Y.; Lin, K. Y. A.; Park, A. H. A.; Petit, C.; Front. Energy Res. 2015, 3, 1.

23. Monteiro, W. F.; Vieira, M. O.; Aquino, A. S.; Souza, M. O.; Lima, J.; Einloft, S.; Ligabue, R.; Appl. Catal., A 2017, 544, 46.

24. Aquino, A. S.; Bernard, F. L.; Borges, J. V.; Mafra, L.; Vecchia, F. D.; Vieira, M. O.; Ligabue, R.; Seferin, M.; Chaban, V. V.; Cabrita, E. J.; Einloft, S.; RSC Adv. 2015, 5, 64220.

25. Lad, V. N.; Murphy, Z. V. P.; J. Ind. Eng. Chem. 2014, 201, 274.

26. Frost, D.; Nofen, E. M.; Dai, L. L.; Adv. Colloid Interface Sci. 2014, 206, 92.

27. Kowsari, E.; The Design of Nanoscale Inorganic Materials with Controlled Size and Morphology by Ionic Liquids, 2nd ed., Wiley-VCH Verlag GmbH & Co.: Weinheim, 2008.

28. http://www.glass-bubble.com, acessada em Março 2018.

29. http://www.3m.com/engineeredadditives, acessada em Março 2018.

30. Welton, T.; Chem. Rev. 1999, 99, 2071.

31. Jain, N.; Kumar, A.; Chauhan, S.; Chauhan, S. M. S.; Tetrahedron 2005, 61, 1015.

32. Gordon, C. M.; Muldoon, M. J. Em Ionic Liquids in Synthesis; Wasserscheid, P., Welton, T., eds.; Wiley-VCH: Weinheim, 2008.

33. Jacquemin, J.; Gomes, M. F. C.; Husson, P.; Majer, V.; J. Chem. Thermodyn. 2006, 38, 490.

34. Borg, P. H.; Majer, V.; Gomes, M. F. C.; J. Chem. Eng. Data 2003, 48, 480.

35. Mccabe, L. W.; Smith, J. C.; Unit operations of chemical engineering, 2nd ed., McGraw-Hill: New York, 1967.

36. Simoni, J. A.; Chagas, A. P.; Quim. Nova 2007, 30, 501.

37. Shiflett, M. B.; Yokozeki, A.; Ind. Eng. Chem. Res. 2005, 44, 4453.

38. Dupont, J.; Scholten, J. D.; Chem. Soc. Rev. 2010, 39, 1780.

39. He, Z.; Alexandridis, P.; Phys. Chem. Chem. Phys. 2015, 17, 18238.

40. Smith; D. E.; Haymet, A. D. J.; J. Chem. Phys. 1993, 98, 6445.

41. Grossman, J. C.; Schwegler, E.; Galli, G.; J. Phys. Chem. B 2004, 108, 15865.

42. Mutua, F. N.; Lin, P.; Koech, J. K.; Wang, Y.; Mater. Sci. Appl. 2012, 3, 856.

43. Patankar, S. N.; Das, A.; Kranov, Y. A.; Composites, Part A 2009, 40, 897.

44. Jacquemim, J.; Gomes, M. F. C.; Husson, P.; Majer, V.; J. Chem. Thermodyn. 2006, 38, 490.

45. Anthony, J. L.; Margin, E. J.; Brenneck, J. F.; J. Phys. Chem. B 2002, 106, 7315.

46. http://www.apdmro.com/3M-Glass-Bubbles-K20-p, acessada em Março 2018.

 

#Programa de Pós-Graduaçao em Engenharia e Tecnologia de Materiais

On-line version ISSN 1678-7064 Printed version ISSN 0100-4042
Qu�mica Nova
Publica��es da Sociedade Brasileira de Qu�mica
Caixa Postal: 26037 05513-970 S�o Paulo - SP
Tel/Fax: +55.11.3032.2299/+55.11.3814.3602
Free access

GN1