JBCS



20:17, sáb out 25

Acesso Aberto/TP



Revisão


Especiação dinâmica de metais traço em ambiente aquático usando cronopotenciometria de redissolução anódica
Dynamic speciation of trace metals in aquatic environment using anodic stripping chronopotentiometry

Adnívia Santos Costa MonteiroI,III,#; Danielle GoveiaII; Elise RotureauIV; André Henrique RosaI,*; Jorge Cesar MasiniIII; José Paulo PinheiroIV

I. Instituto de Ciência e Tecnologia, Universidade Estadual Paulista, 18087-180 Sorocaba – SP, Brasil
II. Universidade Estadual Paulista, Campus de Itapeva, 18409-010 Itapeva – SP, Brasil
III. Departamento de Química Fundamental, Instituto de Química, Universidade de São Paulo, Av. Prof. Lineu Prestes 748, 05508-000 São Paulo– SP, Brasil
IV. LIEC/UMR7360, Université de Lorraine, CNRS, 15 Avenue du Charmois, Vandoeuvre-lès-Nancy F-54501, França

Recebido em 26/01/2018
Aceito em 12/04/2018
Publicado na web em 22/05/2018

Endereço para correspondência

*e-mail: ahrosa@unesp.com.br
#e-mail alternativo: adniviacosta@hotmail.com

RESUMO

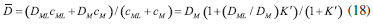
The contamination of natural environments by trace metals has several adverse effects on human health, which is mainly due to the high toxicity, persistence and reactivity of these species in the environment. To understand the bioavailability of trace metals, it is necessary to know the speciation in equilibrium and the dynamic behavior of the system. In this context, the present work aims to present a bibliographic review about the potentialities of the Stripping Chronopotentiometry (SCP) and Stripping Chronopotentiometry at Scanned Deposition Potential (SSCP) in the study of dynamic trace metal speciation. These techniques have low detection limits and do not suffer interference due to the adsorption of organic matter on the surface of the working electrode. Coupling these techniques with the Absence of Gradients and Nernstian Equilibrium Stripping (AGNES) enables simultaneous determination of free ions, complexation equilibrium constants and diffusion coefficients of the complexes, thus providing information on the dynamic and heterogeneity of the metal complexes in the presence of macromolecules or particles. In this paper we will present the theory of dynamic speciation of trace metals, a detailed description of how to use the techniques to obtain this information, and examples of application in model systems and natural samples.

Palavras-chave: metal complexes; metal ions; lability; redissolution techniques; deposition time.

INTRODUÇAO

O interesse no estudo de metais traço em soluçao provém da elevada toxicidade, persistência e reatividade de muitos destes no ambiente. Em ambientes aquáticos naturais, os íons metálicos podem se distribuir em diferentes espécies como resultado das interaçoes com componentes da matriz (matéria orgânica, partículas inorgânicas) e das características físico-químicas (temperatura, força iônica, pH, potencial redox, presença de outros íons) do meio. A maioria das espécies formadas tem caráter polifuncional e polieletrolítico, apresentando ampla faixa de constantes de velocidade de formaçao/dissociaçao e de tamanhos, que controlam a biodisponibilidade, toxicidade e mobilidade dos íons metálicos.1

O estudo da distribuiçao dessas espécies é denominado de especiaçao de metais. O termo especiaçao foi definido como a descriçao da abundância de um elemento numa amostra (distribuiçao da espécie), enquanto a análise de especiaçao se refere aos procedimentos analíticos de identificaçao e/ou medida quantitativa de uma ou mais espécies químicas numa amostra.2

Cada uma destas espécies pode se comportar de forma diferente em termos de mobilidade e biodisponibilidade em sistemas aquáticos naturais, portanto, estao sujeitas à mudança de condiçoes e praticamente nunca atingem o equilíbrio químico. Isto torna o estudo da especiaçao muito mais complicado, uma vez que se faz necessária uma compreensao da cinética das reaçoes do íon metálico para elucidar as relaçoes entre as suas diferentes formas físico-químicas, suas reatividades, mobilidade e biodisponibilidades nos processos ambientais e biológicos.3

Em águas naturais, a concentraçao total de metais relevantes para o ambiente é geralmente baixa (<100 nM), sendo que para íons metálicos livres é frequentemente muito mais baixa (<1 nM). Desta forma, técnicas analíticas devem combinar capacidade de especiaçao e alta sensibilidade.4

Do ponto de vista experimental o número de técnicas capazes de determinar a concentraçao de íons metálicos livres e de realizar estudos de especiaçao dinâmica aos níveis de concentraçoes de metais traço em águas naturais é muito limitado. As duas revisoes mais relevantes sobre esse assunto, publicadas em 2006 por Sigg et al.,5 e 2009 por Pesavento et al.,6 classificam as técnicas analíticas para especiaçao em águas naturais em técnicas eletroanalíticas e de separaçao. As técnicas eletroanalíticas incluem a voltametria de redissoluçao anodica (ASV), a cronopotenciometria de redissoluçao anódica (SCP), a voltametria de redissoluçao catódica com competiçao de ligante (CLE-SV) e a técnica de redissoluçao em equilíbrio nernstiano na ausência de gradientes (AGNES).

As técnicas de separaçao sao baseadas em troca iônica (IE) e resinas complexantes (CR), incluindo ainda técnicas de microsseparaçao, como difusao em filmes finos por gradientes de concentraçao (DGT), em membranas líquidas suportadas (PLM) e membranas de Donnan (DMT).

Dentre as técnicas eletroanalíticas, tem-se destacado a utilidade de SCP7 e cronopotenciometria de redissoluçao com varredura de potencial de deposiçao (SSCP),8 sobretudo quando acopladas com a técnica de redissoluçao em equilíbrio nernstiano na ausência de gradientes (AGNES).9 De fato, para SSCP a equaçao de onda é conhecida rigorosamente no regime de corrente cinética, permitindo assim acesso direto à informaçao sobre a natureza dinâmica dos complexos metálicos.10,11 Isso permitiu criar uma interessante dicotomia entre o desenvolvimento experimental destas técnicas e um significativo desenvolvimento teórico, iniciado em 2005 com a publicaçao de Pinheiro, Van Leeuwen e Minor,12 abordando uma nova teoria de especiaçao dinâmica em dispersoes coloidais.

Dentro deste contexto, o presente trabalho tem como objetivo apresentar uma revisao bibliográfica sobre as técnicas de cronopotenciometria de redissoluçao anódica para estudo da especiaçao dinâmica de metais traço em ambientes aquáticos, incluindo a interpretaçao físico-química do sinal obtido em sistemas modelo e meios naturais. Serao apresentadas em maior detalhe algumas aplicaçoes particularmente relevantes, como, por exemplo, estudos de complexaçao de chumbo e cádmio com substâncias húmicas para ilustrar a heterogeneidade dos ligantes naturais.

Histórico da especiaçao usando técnicas de redissoluçao anódica em ambiente aquático

As técnicas de redissoluçao sao efetuadas em duas etapas: na primeira aplica-se uma diferença de potencial constante no eletrodo de trabalho durante um intervalo de tempo fixo, levando à reduçao do íon metálico, o qual fica amalgamado no eletrodo de mercúrio ou depositado na superfície de um eletrodo sólido. Em seguida, na etapa de redissoluçao, o metal amalgamado é reoxidado de modo controlado, de forma a determinar a quantidade de metal reduzido na etapa de deposiçao.

Na etapa de redissoluçao é comum usar técnicas voltamétricas como varredura linear (DC-ASV), pulso diferencial (DP-ASV) ou onda quadrada (SW-ASV), sendo o sinal obtido diretamente proporcional à concentraçao do íon metálico na soluçao. A característica mais interessante destas técnicas comparada com as voltametrias diretas é a pré-concentraçao do metal no volume ou superfície do eletrodo (com fatores maiores de 100 e frequentemente maiores que 1000), de modo que a corrente de reoxidaçao é bem menos perturbada por correntes capacitivas ou impurezas na soluçao, sendo por isso, normalmente utilizada para análise de soluçoes extremamente diluídas, da ordem de 10-10 mol L-1. A descriçao matemática do sinal correspondente à reoxidaçao do metal é complicada e normalmente só existem soluçoes numéricas para poucos eletrodos de trabalho.13

Do ponto de vista analítico as técnicas de redissoluçao tiveram um desenvolvimento marcante durante a década de 1970, como se pode ler no livro de Vydras et al.14 Mas é a partir de 1980, com a crescente comercializaçao de potenciostatos controlados por computadores pessoais que estas técnicas se generalizaram.15

Por outro lado, o desenvolvimento da especiaçao de metais em ambiente aquático está muito ligado ao livro "Aquatic Chemistry", a obra seminal de Werner Stumm e J. J. Morgan, publicado em 1970 quando Stumm estava em Harvard.16 Justamente em 1970, Stumm volta à sua terra natal, a Suíça, mais precisamente Zurique, tornando-se professor titular no Instituto Federal de Tecnologia (ETH) e diretor do EAWAG (Institute for Water Ressources and Water Pollution Control). Neste instituto, que liderou até 1992, ele implementou a sua visao multidisciplinar da pesquisa em ambientes aquáticos, sendo que um dos pilares importantes foi a determinaçao de metais traço por técnicas eletroquímicas de redissoluçao. Outros aspectos importantes da sua visao foi a natureza dinâmica dos ambientes naturais, muito impulsionada pelos seus estudos de adsorçao em superfícies de partículas minerais, com especial relevância para os oxo-hidróxidos de ferro.

Nas décadas de 1980 e 1990, além dos trabalhos de Werner Stumm no EAWAG, diversos outros grupos e pesquisadores contribuíram de forma relevante para o desenvolvimento dos estudos de especiaçao de metais traço em ambientes aquáticos, tanto do ponto de vista teórico como do ponto de vista experimental, sendo que dentre estes últimos, as técnicas de redissoluçao foram importantes devido aos seus baixos limites de detecçao. Nesse sentido destacam-se as importantes contribuiçoes dos grupos de Jacques Buffle (CABE, Université de Geneve, Suiça),1 Herman Van Leeuwen (University of Wageningen, Holanda), T. M. Florence (CSIRO, Austrália),17 Hans Nurnberg e Pavel Valenta (Juelich, Alemanha),18 François Morel (University of Princeton, USA) e sua estudante de doutorado Janet Hering (University of North Carolina, USA, recentemente diretora do EAWAG),19 Jaume Puy e Josep Galceran (Universidad de Lleida, Espanha).

O contexto do trabalho desenvolvido, especialmente a sua natureza dinâmica, é resumido de forma clara por T.M. Florence20 quando diz que a "Anodic stripping voltammetry (ASV) is the technique most commonly used for speciation of heavy metals in waters. It has high sensitivity for the common toxic heavy metals, copper, lead, cadmium and zinc (which are measured in the same analysis), and the ASV-labile metal (ex., the metal measurable by ASV at the natural pH of the water or in mildly acid conditions) may approximate to the bioavailable fraction".

A natureza dinâmica das técnicas de redissoluçao

A questao principal da especiaçao dinâmica está ligada à biodisponibilidade dos complexos metálicos, ou seja, se estes podem ou nao contribuir para a quantidade de metal internalizado por um organismo e, consequentemente, a sua toxicidade.

Neste contexto, em primeiro lugar , deve-se considerar se os complexos metálicos sao dinâmicos ou inertes. A natureza dinâmica de um complexo é expressa pela relaçao entre a cinética da dissociaçao química e o transporte difusivo (do metal livre e do complexo) na direçao de uma interface por efeito do gradiente de concentraçao. Como esses processos se relacionam a um organismo ou uma técnica analítica, eles sao dependentes do tempo de residência do complexo na camada de difusao associada à superficie do organismo ou eletrodo.

Assim, é necessário comparar o tempo característico da técnica (t) (o qual pode ser entendido como o tempo que o íon metálico livre, M, demora para percorrer completamente a camada de difusao), com o tempo de vida característico do íon metálico livre na soluçao, o que pode ser obtido a partir das constantes de velocidade de associaçao (ka) ou de dissociaçao (kd), dadas por 1/kacL,t ou 1/kd, respectivamente, sendo cL,t a concentraçao total do agente complexante L. Para uma escala de tempo (t) muito maior do que o tempo de vida de M e de seu complexo ML, cada íon metálico individual pode reagir com elevada frequência, passando da condiçao livre para a forma de complexo no interior da camada de difusao. Esta situaçao é denominada dinâmica. Quando o tempo de vida de M e ML sao maiores do que a escala de tempo operacional, o complexo nao se dissocia no interior da camada de difusao. Este é o caso estático, sendo as espécies designadas como complexos inertes, quando os complexos ML nao contribuem para o fluxo e apenas os íons metálicos livres podem ser reduzidos no eletrodo.21

As reaçoes de associaçao dos metais traço: o mecanismo de Eigen

É muito importante referir que o caso da cinética de complexaçao dos íons metálicos em sistemas aquosos é um caso muito particular na cinética química. De fato, esta segue o mecanismo de Eigen,21,22 que consiste em duas etapas principais: (i) formaçao de um complexo precursor na esfera externa de coordenaçao (do inglês, outher sphere (os)); (ii) posterior liberaçao da molécula de água da esfera interna (do inglês, inner sphere (is)) com entrada do agente complexante, para formar uma ligaçao de coordenaçao com o íon metálico:

em que kαos e kdos sao, respectivamente, as constantes de velocidade de formaçao e de taxa de dissociaçao para o complexo de esfera externa; {M(H2O)6•L}+ , enquanto kαis e kdis sao as constantes de velocidade para a substituiçao da molécula de H2O por L na formaçao do complexo de esfera interna, e vice-versa, respectivamente.

O aspecto particularmente interessante deste mecanismo é que a etapa limitante da velocidade para a formaçao do complexo de esfera interna {M(H2O)6•L}+ é a perda de uma molécula de água da esfera interna, sendo, portanto, apenas dependente do íon metálico e logo independente da natureza do ligante.

A constante de velocidade é geralmente nomeada como kw. Assim, kαis = kw, sendo o valor de kw independente do ligante L. A Tabela 1 mostra alguns valores de kw que podem ser encontrados na literatura para diferentes metais.23


 

 

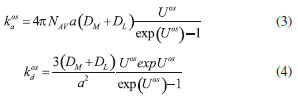
A formaçao dos complexos de esfera externa é puramente eletroestática. As constantes de velocidade para a formaçao/dissociaçao do complexo na esfera externa sao oriundas da energia da interaçao eletrostática adimensional (Uos) e das mobilidades do M(H2O)62+ e L, representadas por seus respectivos coeficientes de difusao (DM e DL), conforme apresentado24 nas Equaçoes 3 e 4:

sendo a: distância centro-a-centro de maior aproximaçao entre o íon complexo M(H2O)62+ intacto e o ligante L. Para um único par iônico M L numa soluçao eletrolítica, Uos é dado pela Equaçao 5.

sendo εε0: permissividade do meio; zM e zL: números algébricos das cargas M e L, respectivamente; κ: inverso da distância de Debye.

O primeiro termo entre parêntesis na equaçao 5 representa a energia primária de Coulomb de atraçao eletrostática entre o metal e o ligante, e o segundo termo corrige a energia para o efeito de blindagem, devido à presença de eletrólito. Os íons de eletrólito indiferentes na soluçao diminuem o efeito da atraçao entre o cátion metálico e o ânion ligante. O parâmetro eletrostático que contabiliza o efeito do eletrólito é a distância de Debye,25 geralmente denotado como κ-1:

sendo Σizi2ci*: soma de todos os íons presentes no meio, representados por sua carga zi e a concentraçao no interior da soluçao, .

O termo UOS / exp(UOS) – 1 na equaçao 3 se aproxima da unidade quando UOS se aproxima de zero. O limite de zero de UOS corresponde ao processo de encontro dos reagentes M e L, unicamente controlado por difusao. A expressao é maior do que 1 para UOS < 0 (atraçao), e menor do que 1 para UOS > 0 (repulsao). A razao kαos / kdos é a constante de estabilidade de formaçao dos complexos de esfera externa, KOS, que está relacionada com UOS através da equaçao:26

No estado estacionário do processo contínuo de formaçao dos complexos de esfera interna, a concentraçao do precursor de esfera externa (Equaçao 1) pode ser considerada como essencialmente independente do tempo. A constante global, ka, para a formaçao do complexo de esfera interna a partir de M(H2O)6 e Lpode ser escrita de acordo com a Equaçao 8.

Neste contexto, o mecanismo de Eigen apresenta dois casos limitantes:22,24

1. A primeira etapa (Equaçao 1) é rápida em relaçao a segunda etapa (Equaçao 2) e o complexo de esfera externa tende para o estado de equilíbrio com o metal livre M. Logo, ka torna-se:

2. Quando a formaçao do complexo de esfera externa é a etapa limitante da velocidade, tem-se:

Comumente, duas condiçoes podem levar a situaçoes em que os valores de kdos sao semelhantes ou menores que os valores de KW: (i) íons metálicos com desidrataçao muito rápida (valores elevados de KW como, por exemplo, Pb(II), Cd(II), Hg(II), Cu(II)) e (ii) ligantes com uma carga altamente negativa. A grande negatividade de zL, leva a um valor correspondentemente grande de atraçao UOS, resultando em um valor relativamente baixo de kαos.

A consequência mais importante do mecanismo de Eigen é que a constante de associaçao do metal com o ligante depende apenas das características do metal (a sua carga e KW) e da carga do ligante, facilitando muito a interpretaçao das cinéticas de reaçao dos metais.

O conceito de labilidade

Se os complexos sao dinâmicos e dissociam na camada de difusao adjacente à superfície do eletrodo ou organismo, ainda temos de considerar o problema do transporte reativo, ou seja, a distinçao entre complexos lábeis e nao-lábeis. Esta é mais sutil, tendo em vista que ambas definiçoes se referem a sistemas com taxas relativamente altas de conversao de espécies complexadas em íons metálicos livres.

Os complexos metálicos lábeis sao caracterizados por altas velocidades de dissociaçao/reassociaçao, nas quais o fluxo de difusao (Jdif) é muito menor que o fluxo cinético (Jkin), em qualquer escala espacial relevante, sendo mantido o equilíbrio entre o metal total complexado e livre. Consequentemente, os processos de transporte de metal livre e complexado nao podem ser separados, existindo uma difusao acoplada.27

Em contraste, os complexos sao nao-lábeis quando a cinética de dissociaçao/reassociaçao é mais lenta, ou seja, em que a taxa de dissociaçao efetiva é próxima do transporte por difusao (fluxo difusivo menor, ou da mesma ordem de grandeza do fluxo cinético). Nesse caso, a taxa de dissociaçao (no volume de reaçao) determina a contribuiçao do complexo para o fluxo interfacial de íons metálicos.21

A distinçao entre complexos lábeis, nao-lábeis e inertes é de fundamental importância para compreender a especiaçao dinâmica de metais e depende de vários parâmetros, com especial destaque para o tempo característico do processo, o qual está associado à espessura da camada de difusao. De maneira geral, para uma dada concentraçao total de metal, a quantidade de metal disponível para participar do processo interfacial (reduçao ou internalizaçao por um organismo) depende da natureza dinâmica dos complexos em soluçao. A Figura 1 ilustra esquematicamente os diferentes comportamentos.

 


Figura 1. Representaçao esquemática dos comportamentos característicos de complexos metálicos determinados pela relaçao entre o intervalo de tempo do experimento, t, e a cinética de associaçao/dissociaçao do complexo, sendo kin = cinético e dif = difusao. Fonte: adaptado de Mota et al.

 

No caso de complexos lábeis o sinal das técnicas de redissoluçao é proporcional à concentraçao total do metal em soluçao e no caso de quase-lábeis é proporcional a uma fraçao do metal total. Entao, no caso de sistemas constituídos por complexos quase-lábeis, é praticamente impossível a quantificaçao correta das espécies em soluçao por técnicas voltamétricas de redissoluçao.

Este fato levou, no final da década de 1970, ao aparecimento dos primeiros critérios de labilidade, propostos inicialmente por Davison28 para a VRA usando um eletrodo de filme fino de mercúrio (TMFE) e depois por van Leeuwen,29 usando o conceito de espessura da camada de reaçao de Koutecky e Korita.30 Os critérios de labilidade sao expressos como desigualdades entre o fluxo cinético e o fluxo difusional devido à complexidade das equaçoes que descrevem o sinal experimental. Tais critérios permitem estimar teoricamente se os complexos sao lábeis ou nao, assegurando a correçao dos cálculos de especiaçao.

As limitaçoes das técnicas de redissoluçao anódica em ambientes aquáticos naturais

Além do problema crucial de identificaçao da natureza dos complexos, as técnicas de redissoluçao anódica sofrem ainda uma série de problemas técnicos que afetam o seu desempenho em especiaçao de metais traço em águas naturais.

O principal problema é a adsorçao de matéria orgânica presente em águas naturais à superfície do eletrodo devido às suas propriedades hidrofóbicas e/ou a um ganho de entropia.31 Em VRA, a adsorçao pode estar presente nas etapas de deposiçao e redissoluçao, tendo sido apresentada na literatura várias tentativas para discriminar a sua influência em cada uma das etapas.32-34 Para diminuir este efeito na etapa de deposiçao deve se utilizar um potencial de deposiçao no qual a adsorçao de espécies orgânicas seja minimizada. No entanto, vários estudos de isotermas de adsorçao de diferentes ácidos húmicos, efetuados para diferentes potenciais aplicados, diferentes pH e forças iônicas mostram que é impossível evitar totalmente este fenômeno.35-38 Outra estratégia é alterar a composiçao ou mudar a soluçao da célula na etapa de redissoluçao,39 ou utilizar eletrodos cujas superfícies sao modificadas quimicamente para diminuir a adsorçao.40-42

Outro problema experimental sério em VRA é o conhecido efeito de superfície. Esse efeito decorre do fato de que na etapa de redissoluçao a concentraçao de metal nas adjacências do eletrodo se torna muito maior do que no interior da soluçao, podendo inclusive saturar os sítios de complexaçao do ligante presente nas mesmas camadas de soluçao. De fato, para avaliar os parâmetros de complexaçao a partir destas medidas, a concentraçao do ligante nao complexado na superfície do eletrodo, , deve ser a mesma que no interior da soluçao, cL e a concentraçao total do ligante, cL,t deve estar em tal excesso que cL = cL,t. Para satisfazer esta condiçao num intervalo de 5% de erro possível deve-se ter cL,t > 20cML0 para técnicas de redissoluçao, o que, na presença de uma complexaçao forte, equivale a cL,t > 20cM,t0 . Para se respeitar esta condiçao é necessário que a cL,t > 500 cM,t.43

Mota et al.44 estudaram o efeito da concentraçao à superfície do eletrodo através da variaçao de cM,t / cL,t, tendo demonstrado que quando cM,t0 é menor que cL,t mas nao é desprezável frente a este, a altura do pico decresce e a largura à meia altura aumenta comparativamente à ausência de ligante. Tal situaçao conduz a picos voltamétricos mais baixos e mais largos,45 e o aumento ainda maior de cMt td torna o ligante completamente saturado à superfície do eletrodo, dando origem a um ombro no voltamograma.

Quando ocorre a adsorçao do ligante no eletrodo, também se observa um efeito de superfície com um comportamento semelhante ao descrito acima, devido à saturaçao gradual dos sítios de complexaçao do ligante adsorvido pelo metal.46,47

Por outro lado, as técnicas de cronopotenciometria de redissoluçao anódica, no modo de eletrólise completa na etapa de reoxidaçao, permitem obter informaçao dinâmica diretamente e contornar a maioria das limitaçoes das técnicas de VRA.8

As técnicas de cronopotenciometria de redissoluçao anódica

Nos primeiros trabalhos usando a técnica de cronopotenciometria de redissoluçao anódica, entao denominada "Potentiometric Stripping Analysis" (PSA),48 aplicava-se uma corrente de reoxidaçao relativamente elevada, gerando-se uma difusao linear semi-infinita no interior do eletrodo. Com isso a reoxidaçao nao era quantitativa, de modo que ao final de cada experimento ainda restava metal amalgamado no eletrodo, causando os mesmos inconvenientes observados nas medidas por VRA, como adsorçao de compostos orgânicos e efeito de superfície.

Por certo, as técnicas de cronopotenciometria de redissoluçao anódica apenas sao vantajosas quando se aplica uma baixa corrente de reoxidaçao de tal forma que a reoxidaçao ocorra lentamente, permitindo que todo o metal seja reoxidado, ou seja, atingindo a depleçao completa. Neste caso, temos uma eletrólise para a qual pode-se simplesmente aplicar a lei de Faraday e obter uma relaçao quantitativa direta entre o sinal analítico (tempo de reoxidaçao) e a concentraçao do metal na amostra.7

A principal vantagem da SCP sobre as técnicas de VRA é a discriminaçao da carga capacitiva devido à forma de medir o sinal (tempo de reoxidaçao do metal). Esse tempo é obtido a partir da medida da área do pico obtido da derivada de potencial versus o tempo, eliminando assim todas as correntes capacitivas, incluindo aquelas provocadas pela adsorçao.49 Além disso, o fato de a SCP ser efetuada no modo de depleçao completa faz com que o sinal corresponda ao número de mols de metal amalgamado ou depositado. Medindo-se a área do pico, o sinal deixa de ser perturbado por distorçoes que afetam as medidas da altura do pico, o que tipicamente ocorre com as técnicas de VRA sujeitas ao efeito de superfície. Ao mesmo tempo, as medidas de SCP necessitam de menor excesso de ligante em soluçao.50 A SCP apresenta ainda um limite de detecçao comparável com o da voltametria de redissoluçao por pulso diferencial (DP-ASV), sendo também menos sensível à formaçao de complexos intermetálicos no amalgama.51

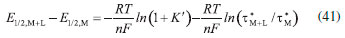
Talvez o aspecto mais interessante destas técnicas seja a existência, no caso da SSCP, de uma equaçao analítica para a onda no regime de corrente cinética.10 Foi demonstrado que a partir da curva de SSCP é possivel obter sempre a constante de estabilidade termodinâmica dos complexos, independentemente da natureza dinâmica destes, usando uma expressao do tipo DeFord-Hume.52

Além disso, por comparaçao dos parâmetros característicos da onda da SSCP (o tempo de reoxidaçao limite e o potencial de deposiçao de meia-onda, Ed,1/2) se obtém um indicador experimental de labilidade dos complexos metálicos.11

Todavia, em presença de ligantes heterogêneos, como as substâncias húmicas, deixa de ser possível interpretar a variaçao de Ed,1/2 da SSCP de uma forma simples, pois a heterogeneidade influencia o declive da onda de SSCP.53 Nestes casos é aconselhável fazer medidas consecutivas de SSCP e AGNES para obter informaçao termodinâmica, cinética e sobre a heterogeneidade.54 Outras vantagens referem-se ao fato de que utilizando um filme fino de mercúrio as medidas podem conduzidas sem necessidade de desoxigenaçao prévio da amostra, tornando assim, mais fácil a sua realizaçao in-situ.55

A seguir descreve-se em detalhe essas técnicas, os seus fundamentos teóricos, a interpretaçao do sinal e sua implementaçao experimental em estudos de especiaçao em ambientes aquáticos.

Cronopotenciometria de redissoluçao anódica (SCP)

Sendo uma técnica de redissoluçao, a SCP tem a etapa de deposiçao característica, na qual se aplica um potencial de deposiçao (Ed) suficientemente negativo para que a concentraçao de metal livre na superfície do eletrodo tenda a zero durante um intervalo de tempo rigorosamente controlado (tempo de deposiçao, td), normalmente em células eletroquímicas nas quais as condiçoes de transporte de massa do metal do interior da soluçao para o eletrodo de trabalho sao conhecidas. Assim, essa técnica diferencia-se na etapa de reoxidaçao, na qual a quantificaçao do metal acumulado é feita por cronopotenciometria, ou seja, aplicando uma corrente de oxidaçao constante (Is) e seguindo a variaçao do potencial do eletrodo de trabalho com o tempo, E versus t.

Na presença de processos faradaicos, o sinal analítico é dado pelo tempo necessário (tempo de reoxidaçao, τ*) para a reoxidaçao completa do metal depositado. Todavia, é difícil determinar o sinal analítico a partir do cronopotenciograma, pois estas curvas podem ser distorcidas por efeitos de cargas. A forma mais exata é determinar os τ* a partir da derivada dt/dE vs E, visto que a contribuiçao capacitiva corresponde à regiao sob a linha de base e a área do pico corresponde unicamente à contribuiçao faradaica.7

Do ponto de vista matemático tem-se nas etapas de deposiçao e reoxidaçao:

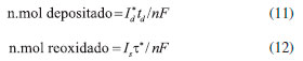
em que Is é a corrente de reoxidaçao, τ* o tempo de reoxidaçao, Id* a corrente limite de deposiçao, td o tempo de deposiçao, n o número de elétrons envolvido no processo e F a constante de Faraday.

Como no modo da depleçao o número de mols de metal depositado é igual ao número de mols de metal reoxidados, entao o tempo de transiçao limite7 é dado por:

O parâmetro chave aqui é a corrente limite de deposiçao, Id*, que para o caso da reduçao de um íon metálico na ausência de ligantes é dada por:

em que A é a área do eletrodo, DM é o coeficiente de difusao do metal, c*M,T é a concentraçao total de íon metálico no interior da soluçao e δM é a espessura da camada de difusao, que depende do tipo de eletrodo de trabalho e das condiçoes hidrodinâmicas da célula eletroquímica.

Os experimentos de SCP têm sido conduzidos principalmente com o eletrodo estático de gota de mercúrio (HMDE) ou com o eletrodo rotativo de filme fino de mercúrio (TMF/RDE). Como os eletrodos de filme fino tem grandes vantagens (uma vez que o TMF/RDE tem um volume muito menor e uma área maior do que o HMDE apresenta uma sensibilidade mais elevada) para as técnicas de redissoluçao, todo o desenvolvimento teórico está relacionado a estes eletrodos.56 No caso dos TMF/RDE, a espessura da camada de difusao é dada pela equaçao de Levitch.57

em que ω é velocidade de rotaçao (νrot) angular, dada por ω = 2πνrot e ν é o coeficiente de viscosidade da soluçao em análise.

Interpretaçao do sinal de SCP do íon metálico em presença de ligantes

Em matrizes ambientais, é comum considerar a situaçao de excesso de ligante, isto é, a condiçao em que a concentraçao total de ligante é muito superior à concentraçao total do metal. Assim, o equilíbrio termodinâmico em soluçao entre o metal e o ligante é descrito pela constante de estabilidade, K' = KcL,T = cML/cM, sendo que cL,T representa a concentraçao total do ligante, cML a concentraçao do complexo e cM a concentraçao de metal livre.

A questao agora é compreender como a presença de ligante, ou seja, a natureza dos complexos formados, vai afetar o sinal de SCP, ou seja, a corrente limite de reduçao, Id*, e o tempo de reoxidaçao, τ*.

No caso mais simples, isto é, para sistemas estáticos (complexos inertes), todo o metal complexado deixa de estar disponível para ser reduzido e o sinal obtido é diretamente proporcional ao metal livre em soluçao, cM*.

Para os sistemas dinâmicos, a velocidade de dissociaçao do complexo determina a contribuiçao do complexo para o fluxo do íon metálico na interface. Este fluxo corresponde à corrente cinética derivada pela aproximaçao Koutecky e Koryta.30 A partir da Figura 2, pode-se observar que a camada de difusao é dividida conceitualmente em duas regioes em que os perfis de concentraçao de M e ML sao diferentes.

 


Figura 2. Representaçao esquemática dos perfis de concentraçao de M e ML, em funçao da distância, x, a partir da superfície do eletrodo (c0M), ilustrando a camada de reaçao (cµM e cµML). Fonte: adaptado de Pinheiro et al.62

 

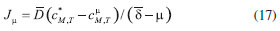
Na primeira regiao, de δ a µ, os perfis sao acoplados e, na segunda regiao, de µ à superfície do eletrodo, a concentraçao de ML é constante, enquanto a de M vai a zero. Estas duas regioes sao separadas pelo limite da espessura da camada de reaçao, µ, que, do ponto de vista físico-químico, corresponde ao percurso do metal livre desde que se dissocia até voltar a se associar, dado por:

Considera-se que a partir do interior da soluçao até µ o equilíbrio entre M e ML é mantido constante, mas de µ até à superfície do eletrodo (x=0) nao há equilíbrio, sendo que o fluxo total é dado unicamente pelo fluxo cinético. Esta aproximaçao é restrita a espessuras de camada de reaçao menores do que a camada de difusao.

No intervalo de µ < x < δ os complexos sao lábeis, tendo-se que o fluxo de metal livre e complexado na posiçao x = µ é dado pela equaçao:

sendo o coeficiente de difusao médio dado por:

e a espessura da camada de difusao média, , é modificada em conformidade com as condiçoes hidrodinâmicas:

Por outro lado, entre 0 < x < µ, cML = cMLµ nao há dissociaçao de complexo, sendo o fluxo à superfície dado por:

Assumindo condiçoes de estado estacionário, é obrigatório que os fluxos a x = µ e x = 0 sejam iguais, Jµ = J, podendo-se assim resolver a equaçao 17 para a concentraçao de metal total no ponto µ:

Sabendo-se que neste ponto (x = µ) o sistema ainda está em equilíbrio, ou seja:

a substituiçao da equaçao 22 na equaçao 21 fornece o valor de concentraçao do íon metálico livre na posiçao µ:

Substituindo a equaçao 23 na equaçao 20 e a resolvendo em relaçao ao fluxo, J, tem-se:

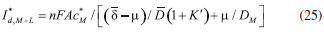
No caso da corrente limite de deposiçao em presença de ligantes, ou seja, para potenciais de deposiçao suficientemente negativos, a concentraçao de metal na superfície tende para zero, e reconhecendo que o fluxo é (J = I/nFA), obtém-se:

Sendo que:

Assim, para a corrente limite no caso geral dinâmico nao é possível discriminar o sinal, pois este depende de três parâmetros: da espessura da camada de reaçao, µ, da constante de equilíbrio, K′, e do coeficiente de difusao do complexo, DML, que obviamente nao podem ser obtidos a partir de um único sinal experimental.

Por outro lado, no caso de sistemas lábeis, para os quais >>µ, tem-se que µ/DM também é desprezível frente ao primeiro termo, de modo que a equaçao 25 torna-se:

e como cM,T = cM(1 + K) tem-se:

Se dividirmos esta equaçao pela equaçao 14, ou seja, pela corrente limite obtida na ausência de ligantes, tem-se:

Se utilizar a equaçao 13 e resolver para –D, obtem-se:

equaçao a partir da qual se pode calcular K′ conhecendo DM ou DML e sabendo K′ (nos casos em que DML < DM):

Como se pode observar, a técnica de SCP, tal como as técnicas de VRA, contém muita informaçao na corrente limite, mas esta nao se encontra acessível devido à complexidade do sinal. Nas técnicas de VRA essa limitaçao é normalmente complementada recorrendo à informaçao contida na posiçao do pico no eixo do potencial em presença de ligantes, por comparaçao à sua posiçao na ausência destes. Todavia, em SCP esse tipo de análise é muito mais complicada que em VRA,58 impossibilitando sua utilizaçao.

Para superar este inconveniente foi introduzida a técnica de SCP por etapas, isto é, a SCP com varredura de potencial de deposiçao (SSCP, do inglês scanned deposition potential).8 Nesta técnica a variaçao do potencial de meia onda da curva de SSCP, na presença e ausência de ligantes, fornece informaçao confiável sobre as constantes de complexaçao dos metais ou, no caso de ligantes heterogêneos, sobre o grau de heterogeneidade química dos mesmos.10

Cronopotenciometria de redissoluçao anódica com Varredura de Potencial (SSCP)

As curvas de SSCP (Figura 3) sao construídas a partir de uma série de medidas de SCP individuais obtidas a diferentes potenciais de deposiçao, Ed, abrangendo situaçoes em que nenhum metal é reduzido no eletrodo, passando pela regiao de Nernst, e chegando à regiao de potenciais onde todo o metal que chega à superfície do eletrodo é reduzido (situaçao limitada por difusao).

 


Figura 3. Exemplo de curva de SSCP de Pb(II) 1 × 10-7 mol L-1 na ausência de ligante, em NaNO3 0,01 mol L-1. Experimentos realizados utilizando um eletrodo de filme fino de mercúrio

 

Nesta abordagem, o tempo de reoxidaçao, , é medido para uma variedade de potenciais de deposiçao, Ed, ou seja, a única informaçao retirada de cada onda individual de SCP é a área do pico.

Em seguida, é apresentada a base teórica descrevendo a curva de SSCP para uma soluçao contendo apenas íons metálicos8 e, posteriormente, para o comportamento completo de corrente cinética, incluindo os respectivos casos limites. Como no caso da SCP, essa descriçao será baseada na teoria da camada de difusao no estado estacionário, considerando um eletrodo rotativo de filme fino de mercúrio (TMFE/RDE).

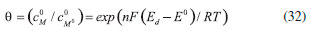
A reduçao reversível de um cátion metálico segue um comportamento nernstiano entre as concentraçoes de metal à superfície do eletrodo de trabalho, em soluçao cM0, e amalgamado no eletrodo, cM00 , que pode ser escrito em termos da sua razao, θ:

Ao aplicar uma baixa corrente de reoxidaçao, ou seja, no modo de depleçao completa, estamos na situaçao em que a concentraçao de metal reduzido à superfície do eletrodo, cM00, e no interior do eletrodo, cM0* , sao idênticas, ou seja, nao é necessário considerar um gradiente de concentraçao ou fluxo no interior do eletrodo.

Durante o tempo de deposiçao a concentraçao de metal amalgamado aumenta até atingir cM0* ao tempo td, o que pode ser representado pela integral no tempo da corrente de deposiçao, Id:

em que V é o volume do eletrodo.

Ao mesmo tempo, à superfície do eletrodo, mas do lado da soluçao, cM0 , pode ser obtida a partir da corrente de reduçao:

Substituindo-se as equaçoes 31 e 32 na expressao de Nernst (Equaçao 30), obtém-se:

A soluçao desta equaçao integral simples em funçao da corrente é:

em que τd é a constante de tempo característico do processo de deposiçao definida por:

A carga total, Q, depositada no eletrodo durante a etapa de deposiçao, td, pode ser obtida por integraçao da equaçao 34 entre t = 0 e td:

Como em SCP a carga obtida na etapa de deposiçao tem que ser igual à carga medida na etapa de redissoluçao (Q = ISτ), a equaçao da curva de SSCP, que descreve a relaçao entre τ e Ed no regime de depleçao completa, é:

O valor limite do tempo de reoxidaçao (τ*), é obtido para os potenciais de deposiçao muito maiores do que o potencial padrao (Ed >> E0), ou seja, quando θ → 0. Neste caso τd torna-se muito maior que td (tdd << 1), e o termo exponencial da equaçao 37 pode ser desenvolvido como uma série, na qual se desprezam os termos de ordem superior resultando na equaçao 13:

Interpretaçao do sinal de SSCP para o íon metálico em presença de ligantes

Em presença de excesso de ligantes formando complexos 1:1 com o íon metálico, a equaçao de Nernst pode ser escrita em funçao do metal total presente em soluçao como:

No caso geral a equaçao da curva de SSCP é dada a partir da Equaçao 37, sendo o Id* substituído por I*d,M+L (Equaçao 25):

e na equaçao 35 em presença de ligantes o termo, τd,M+L, será dado por:

A curva de SSCP na regiao da corrente limite em presença de ligantes é equivalente ao sinal de SCP e pode ser analisada conforme explicado anteriormente. Assim, o interesse adicional da SSCP corresponde à regiao onde se observa o deslocamento do potencial devido à formaçao de complexos. Para equaçoes de onda polarográfica esta análise é feita recorrendo à equaçao de DeFord-Hume52 que relaciona a variaçao dos potenciais de meia-onda, ΔEd,1/2, com a constante de estabilidade dos complexos, K'. No caso da SSCP foi demonstrado que apesar de forma da curva nao ser idêntica à de uma curva polarográfica, a equaçao de DeFord-Hume é válida, mesmo para sistemas nao lábeis:11

em que o termo experimental τM=L* é apenas uma correçao geométrica relacionada à diminuiçao da corrente limite devido à perda de labilidade e/ou à diminuiçao do coeficiente de difusao no caso de ligantes macromoleculares, ou seja, em sistemas onde DML< DM.

A Figura 4 exemplifica duas curvas de SSCP, uma em que só existe metal (M) e outra em presença de ligantes complexantes (M + L), evidenciando os dois resultados experimentais independentes: as variaçoes do potencial de meia onda e do tempo de transiçao limite.

 


Figura 4. Exemplo de curva de SSCP na (▲) ausência do ligante, M, e (♦) na presença do ligante, M+L, indicando a variaçao do potencial de deposiçao, Ed,1/2 e tempo de transiçao limite, τ. Condiçoes: FI: 0,01 mol L-1, pH 7,5, concentraçao de Cd(II): 5,04x10-7 mol L-1, razao M/L 1:1

 

Um dos aspectos mais relevantes da SSCP é que o tempo de transiçao sempre reflete a magnitude do fluxo da deposiçao original, independentemente da sua natureza (ou seja, controlada por difusao ou controlada cineticamente), de modo que a constante K' pode ser calculada a partir desta, independentemente do grau de labilidade do sistema.11

Se a adsorçao de substâncias orgânicas, o excesso de superfície e a natureza dinâmica dos complexos nao afetam os resultados obtidos pela equaçao de DeFord-Hume em SSCP, o mesmo já nao se pode dizer da heterogeneidade química dos complexos em soluçao.

Em sistemas heterogêneos, o sinal de SSCP torna-se mais difícil de analisar, tornando-se necessário complementar esta técnica com outras para compreender a especiaçao, tornando AGNES extremamente interessante,59 pois permite determinar o íon metálico livre usando o mesmo sistema experimental e com limites de detecçao similares.

Técnica de redissoluçao nernstiana na ausência de gradientes (AGNES)

A redissoluçao nernstiana na ausência de gradientes (AGNES) é uma técnica eletroquímica de redissoluçao utilizada para a determinaçao direta da concentraçao de metal livre.9 Na etapa de deposiçao se aplica um potencial próximo ao potencial de reduçao padrao do metal até o momento em que o equilíbrio termodinâmico entre o metal amalgamado e o interior da soluçao seja atingido.

A concentraçao acumulada depende apenas da concentraçao de íon metálico no interior da soluçao (c*M) e é independente de qualquer outra característica do meio, como a complexaçao ou adsorçao eletrolítica. No fim da etapa de deposiçao, obtém-se a razao entre o metal amalgamado e em soluçao, segundo a Equaçao de Nernst:

em que Y: representa o ganho (ou fator de pré-concentraçao); cM,amalg: concentraçao de íon metálico amalgamado; E0: potencial de reduçao padrao do metal; Ed: potencial de deposiçao.

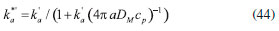
Na etapa de reoxidaçao pretende-se apenas quantificar o metal amalgamado, tendo sido usadas várias técnicas diferentes para isso. Ao fazer sequencialmente AGNES e SSCP a forma mais fácil de quantificar o metal amalgamado em AGNES é usar uma etapa de reoxidaçao similar à SCP.60 Na segunda etapa o tempo de reoxidaçao (τ) é diretamente proporcional a cM,amalg, o qual é diretamente proporcional à concentraçao de íon metálico no interior da soluçao segundo:

Assim, a AGNES funciona de forma análoga a um eletrodo de íons seletivo (EIS), permitindo a determinaçao direta do valor do íon metálico livre na soluçao, com limites de detecçao muito baixos, que, por exemplo, sao da ordem de nanomolar para Cd(II) com tempos de deposiçao de 1 a 2 minutos em eletrodos de filme fino de Hg.61 Além disso, conhecendo o metal livre na soluçao e o balanço de massa para o metal, o valor da constante de estabilidade K é obtido diretamente.

 

COMO ESTUDAR A ESPECIAÇAO DINAMICA DE METAIS TRAÇO USANDO TECNICAS CRONOPOTENCIOMÉTRICAS

Neste momento é importante explicar como se usam estas técnicas para estudar a especiaçao dinâmica com os diferentes tipos de ligantes possíveis, pois dependendo de suas características e do conhecimento que temos deles, a quantidade de experimentos necessários pode variar bastante.

Note que, tanto para a SSCP como para AGNES, uma calibraçao prévia é sempre necessária.

A onda de SSCP produz duas informaçoes experimentais distintas:

i) o tempo de reoxidaçao limite (τ*M+L), que depende da constante de estabilidade termodinâmica, K′ (K = KcL,T), do coeficiente de difusao do complexo, DML, e da constante de velocidade de associaçao, ka (através da espessura da camada de reaçao, µ),

ii) a variaçao dos potenciais de onda, sendo o mais importante o de meia-onda, ΔEd,1/2, que em sistemas homogêneos só depende da constante de estabilidade termodinâmica, K′, e que em sistemas quimicamente heterogêneos depende também do grau de heterogeneidade.

Em sistemas complexos deve-se complementar com AGNES para obter a concentraçao de metal livre no interior da soluçao, c*M.

Em relaçao aos tipos de ligantes, de uma forma relativamente simples podemos identificá-los como:

Tipo 1) ligantes pequenos contendo dois ou três grupos funcionais conhecidos, respeitando a condiçao DM = DML;

Tipo 2) macromoléculas ou nanopartículas quimicamente homogêneas, mas de dimensao maior que o íon metálico, apresentando DML << DM;

Tipo 3) macromoléculas (substâncias húmicas, partículas minerais, etc.) ou nanopartículas quimicamente heterogêneas, DML << DM;

Tipo 4) misturas de ligantes, de um ou vários tipos anteriores (por exemplo: mistura de ligantes presentes em águas naturais)

Relembrando que em estudos de complexaçao dinâmica estamos fundamentalmente interessados na natureza dos complexos, os quais podem ser complexos inertes, que nao dissociam na espessura da camada de difusao e nao contribuem para o sinal, complexos lábeis, que estao em equilíbrio em todos os pontos da camada de difusao e podem ser completamente reduzidos durante o tempo de deposiçao, e complexos quase-lábeis, dos quais apenas uma fraçao pode ser reduzida durante o tempo de deposiçao. Relembre-se, ainda, que a natureza dinâmica de um complexo depende da escala de tempo da técnica, que por sua vez depende da espessura da camada de difusao.

A Figura 5 demonstra os sinais de SSCP obtidos para os ligantes pequenos (tipo 1, DM = DML). A característica dos complexos inertes (Figura 5a) é que como apenas o íon metálico é reduzido, o sinal apresenta o mesmo potencial de meia-onda do metal livre. Por outro lado, o valor de tempo de reoxidaçao limite (τ*M+L) corresponde apenas ao metal livre e logo diminui de acordo com o fator cM/cM,T. Este comportamento é característico dos complexos inertes, qualquer que seja o tipo de ligante, pois em qualquer caso apenas o íon metálico é reduzido, e logo, se efetuarmos AGNES, devemos obter exatamente o mesmo valor.

 


Figura 5. Exemplo genérico de curva SSCP para Cd(II) normalizada pela calibraçao (linha azul), e na presença do ligante (linha vermelha), M + L, indicando (a) a situaçao de complexos inertes; (b) a situaçao de complexos lábeis e (c) a situaçao de complexos quase-lábeis

 

No caso dos complexos lábeis (Figura 5b), o valor de τ*M+L é igual ao valor obtido na calibraçao, pois todo o íon metálico é reduzido, mas a presença de complexos desloca o potencial de meia-onda e podemos obter o valor de K' a partir da equaçao 39.

Para os complexos quase-lábeis (Figura 5c) temos um deslocamento de potencial de meia-onda devido à presença de complexos, a partir do qual se pode obter igualmente o valor de K′ (equaçao 39). Além disso, observa-se um decréscimo do valor de τ*M+L, que neste caso é exclusivamente provocado pela perda de labilidade (pois DM = DML), a partir do qual se pode obter o valor de µ (equaçao 25) e, logo, o valor de ka′ (equaçao 16).

No caso dos ligantes de tipo 2 (macromoléculas ou nanopartículas quimicamente homogêneos), como o DML < DM, o valor de τ*M+L será menor que o valor da calibraçao, quer para o caso lábil, quer para o caso quase-lábil.

A abordagem clássica numa dispersao coloidal ou sistema nanoparticulado quimicamente homogêneo é estudar o efeito do pH e da força iônica na especiaçao dinâmica.

No caso de complexos lábeis (Figura 4), a variaçao do potencial de meia-onda, ΔEd,1/2, fornece a constante de estabilidade, K′. Como o decréscimo de τ*M+L depende somente de K′ e DML (equaçao 31), pode-se também usar esta técnica para obter o coeficiente de difusao dos ligantes.62

No caso quase-lábil o decréscimo de τ*M+L depende de K′, DML e µ (equaçao 25), mas ΔEd,1/2 continua dependendo somente da constante de estabilidade, K′. Nesse caso, temos uma das potencialidades mais interessantes da SSCP, que é a do diagnóstico de labilidade incorporado nos resultados experimentais. De fato, desde que o valor de DML seja conhecido, podemos calcular K′ a partir do decréscimo de τ*M+L como se o sistema fosse lábil (equaçao 31) e comparar com o valor de K′ obtido através de ΔEd,1/2 (equaçao 39). Se os valores forem iguais, o sistema é labil, mas se o valor do decréscimo de τ*M+L for maior, entao pode-se inferir que o sistema está perdendo labilidade.

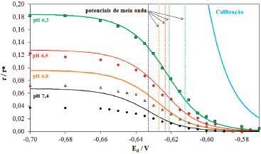
Podemos ver um exemplo na Figura 6, em que a variaçao do pH induz a desprotonaçao dos ligantes na superfície das partículas de látex carboxiladas,11 o que induz um aumento da concentraçao de ligante desprotonado (cL,T) e, logo, uma perda de labilidade, expressa pelo afastamento dos pontos experimentais da simulaçao das curvas de SSCP lábeis usando os valores de K′ da equaçao 39.

 


Figura 6. Dados experimentais de SSCP e respectivas simulaçoes para o caso labil de um sistema de Cd(II)/nanopartículas de látex carboxiladas em diferentes valores de pH. As curvas experimentais foram obtidas com soluçao de Cd(II) 2 x10-4 mol m-3 em KNO3 0,1 mol m-3, a diferentes pH. Dados Pinheiro e Van Leeuwen11

 

Note-se que a observaçao direta da perda de labilidade nao nos permite sempre obter um valor confiável de constante de associaçao, ka, devido aos erros experimentais associados às medidas e à propagaçao de erro neste cálculo, a qual é aumentada pela raiz quadrada da equaçao 16.

No caso dos ligantes de tipo 3 (macromoléculas ou nanopartículas quimicamente heterogêneas), que é o caso mais comum em sistemas naturais, com participaçao predominante da matéria orgânica natural (MON), constituída principalmente pelas substâncias húmicas, a distinçao entre complexos lábeis e quase-lábeis é dificultada pela heterogeneidade do sistema.

A abordagem clássica é tentar criar um modelo eletrostático, caracterizando o sistema por titulaçoes ácido-base em meios de diferentes forças iônicas, para depois investigar a especiaçao dinâmica através de titulaçoes com o íon metálico de interesse, de forma a obter informaçao sobre a heterogeneidade química utilizando uma vasta faixa de razoes metal/ligante em diferentes pH.

Nestes casos, é muito importante efetuar também a quantificaçao de metal livre por AGNES.

A concentraçao do metal livre obtida por AGNES permite, em conjunto com o balanço de massa, calcular o valor de K′. A comparaçao deste com o K′ obtido por ΔEd,1/2 permite aferir se o sistema é quimicamente heterogêneo, e comparando com o K′ obtido pelo decréscimo de τ*M+L, verificar se o sistema é lábil.

O problema nestes sistemas macromoleculares é obter os valores de DML, pois alguns desses sistemas sao polidispersos. Para se contornar essa dificuldade, podem-se realizar medidas alternativas, como a espectroscopia de correlaçao de fluorescência, ou as próprias medidas de SSCP/AGNES usando complexos metálicos tendencialmente lábeis e relativamente pouco heterogêneos, como ocorre de maneira geral com complexos de Cd(II).62

Uma vez que a curva de SSCP é constituída por um conjunto de medidas individuais obtidas a diferentes potenciais de deposiçao, e que para cada um destes existe na superfície do eletrodo uma relaçao metal/ligante diferente no caso de sistemas heterogêneos, cada ponto da curva de SSCP corresponderá a um valor de constante de equilíbrio diferente, podendo ainda haver perda de labilidade com este aumento da constante de estabilidade.63 Assim, o efeito da heterogeneidade na curva SSCP é alterar a inclinaçao na zona nernstiana, como se pode observar na Figura 7. Conforme se progride para potenciais mais negativos de Ed, observa-se um desvio dos pontos experimentais (sistema heterogêneo) em relaçao à curva simulada (sistema homogêneo).64

 


Figura 7. Dados experimentais de SSCP e respectivas simulaçoes para o caso labil homogêneo para um sistema de Pb(II)/nanopartículas de silica a diferentes razoes metal/partículas. Dados: Goveia et al.64

 

O fenômeno da heterogeneidade da complexaçao de cátions metálicos com substâncias húmicas tem sido objeto de vários modelos, como o modelo da funçao de equilíbrio diferencial (DEF), que se baseia numa isoterma de Freundlich proposto por Buffle et al.,65 e os modelos do tipo NICA propostos por Van Riemsdijk et al.66

A curva de SSCP contém uma quantidade de informaçao sobre heterogeneidade equivalente a uma titulaçao cobrindo várias ordens de grandeza da razao metal/ligante. No entanto, a extraçao dessa informaçao nao é simples. Vários estudos de heterogeneidade têm sido realizados sobre o sinal de SSCP com diferentes níveis de sucesso, começando por modelos do tipo isoterma de Freundlich (DEF)53,63,67 e pela análise completa da onda de SSCP proposta por Serrano et al.68

Os resultados têm sido muito influenciados pelos erros experimentais, aumentados pela natureza logarítmica das equaçoes e pela complexidade das expressoes matemáticas envolvidas. Atualmente este é um dos tópicos mais interessantes a serem desenvolvidos.

Ligantes de tipo 4, ou seja, misturas de ligantes de um ou vários dos tipos anteriores, que se encontram normalmente em águas naturais, sao difíceis de estudar diretamente. A principal questao está relacionada com a interpretaçao do sinal, pois estas misturas sao polidispersas e polifuncionais. Neste caso é importante caracterizar o máximo possível a amostra, sobretudo a natureza dos ligantes (MON, partículas minerais, outros ligantes orgânicos), bem como as condiçoes ambientais de pH e salinidade, além da concentraçao total de metal presente.

Os maiores desafios neste momento sao os estudos de sistemas ternários compostos por misturas de cátions metálicos, matéria orgânica natural (MON) e partículas minerais (oxohidróxidos de ferro, argilominerais e partículas contendo cálcio, como calcita e apatita), sobretudo pela tendência da MON em adsorver à superficie das partículas, processo cuja cinética é mais lenta que a da complexaçao dos metais com ambos. Em comparaçao com os sistemas binários (íon metálico/ligante) existem muito poucos estudos de sistemas ternários.

Nestas matrizes é importante utilizar AGNES para obter a concentraçao de metal livre e compreender o sinal de SSCP para inferir a informaçao dinâmica e da heterogeneidade da mistura. Num sistema complexo, a interpretaçao do sinal vai, por exemplo, requerer o conhecimento dos coeficientes de difusao dos ligantes majoritários, como demonstraram Rocha et al.69 num estudo de misturas de polímeros de diferentes tamanhos.

Outra possibilidade é fracionar a amostra por tamanho, por exemplo, usando ultrafiltraçao, e estudar as fraçoes,70 sendo importante realizar estudos com várias técnicas para caracterizar e compreender as interaçoes entre os diferentes componentes da matriz. Ocasionalmente os íons metálicos podem ser usados como sondas para comprender outros processos.

 

ESTUDOS DE ESPECIAÇAO DINAMICA DE METAIS TRAÇO EM SISTEMAS MODELO E MEI, OS NATURAIS

As principais linhas do desenvolvimento teórico da especiaçao dinâmica

A publicaçao de uma equaçao de onda analítica para o regime de corrente cinética da curva de SSCP10 em 2004, permitindo acesso direto à informaçao sobre a natureza dinâmica dos complexos metálicos, iniciou uma era de desenvolvimento teórico sobre a cinética dos processos de complexaçao de metais traço com partículas naturais e antrópicas, iniciado em 2005 com a publicaçao de uma nova teoria de especiaçao dinâmica dos metais traço em dispersoes coloidais por Pinheiro, van Leeuwen e Minor.12

De uma forma breve pode-se referir que inicialmente as teorias de especiaçao dinâmica foram desenvolvidas supondo que a distribuiçao dos ligantes era homogênea em relaçao ao volume da soluçao, desconsiderando a natureza coloidal de uma grande parte dos ligantes presentes em águas naturais. Esta nova teoria12 assume que os ligantes estao localizados dentro da geometria das partículas coloidais de superfície e demonstrou que os valores das constantes de formaçao/dissociaçao encontrados para estes sistemas podem ser muito diferentes daqueles encontrados para uma soluçao verdadeiramente homogênea.

A principal diferença é que o transporte local controlado por difusao de íons metálicos para a partícula deve ser levado em consideraçao pois pode alterar significativamente a constante de associaçao efetiva, denominada Ka, quando comparada com a constante de associaçao do mecanismo de Eigen, K*'a, que é utilizada no caso de uma soluçao homogênea.12 Esta nova constante pode ser expressa por:

em que cp é a densidade do número de partículas e a é o raio da partícula.

Essa constante de associaçao efetiva, K*'a, apresenta dois valores limites: 12

(1) o limite difusivo para k'a(4παDMcp)-1>>1, em que k'a = 4παDMcp . Essa situaçao ocorre somente para metais que tenham valores de kw relativamente altos;

(2) o limite cinético para k'a(4παDMcp)-1>>1, em que k*'a=k'a, esperado para metais que possuem baixos valores de kw; em que encontramos de novo a constante de associaçao de Eigen.

A amplitude da diferença entre ka e ka* pode ser de várias ordens de grandeza, de modo que os complexos com ligantes coloidais se tornam menos dinâmicos ou mesmo estáticos para partículas de maiores dimensoes. Note-se que no limite difusivo, como os coeficientes de difusao dos diferentes cátions metálicos (DM) sao muito semelhantes, ka* vai depender do tamanho (a) e concentraçao (cp) das partículas, ou seja, torna-se independente do metal.

Em seguida, o mesmo grupo investigou a labilidade em sistemas eletroquímicos com eletrodos planares,71 desenvolvendo um critério de labilidade em sistemas com transporte por convecçao.72 Foi concluído que num sistema particulado, com os ligantes localizados na superfície da partícula, a desprotonaçao dos ligantes em funçao da variaçao do pH faz variar a labilidade do sistema mais rapidamente que o aumento do número de partículas.

Em 2008, Duval et al.73 expandiram essa teoria para sistemas em suspensoes de partículas coloidais permeáveis (géis) e semi-permeáveis (core-shell), onde os sítios de ligaçao sao distribuídos de acordo com perfis espaciais tridimensionais. Em 2009 foi adicionado o efeito da dupla camada elétrica do ponto de vista teórico,74 mais tarde verificado experimentalmente.75

Uma evoluçao interessante foi o estudo da labilidade de complexos em presença de misturas de ligantes. Salvador et al.76 propuseram teoricamente que ao adicionar um ligante que forma complexos mais lábeis a um sistema, a labilidade dos complexos já presentes nesse sistema aumenta e, ao adicionar um ligante que forma complexos menos lábeis, a labilidade dos complexos já presentes em soluçao diminui devido ao acoplamento de todos os processos de associaçao/dissociaçao na matriz. Este efeito foi verificado experimentalmente em 2010 por SCP e AGNES em duas matrizes: Cd/NTA/glicina e Cd/NTA/ácido citrico.77

Em 2011, van Leeuwen et al.78 apresentaram uma teoria para partículas esféricas permeáveis com distribuiçao homogênea de ligantes e cargas, seguida em 201379 de uma interessante publicaçao sobre a extraordinária reatividade de nanopartículas. Neste trabalho se explica que, para nanopartículas carregadas, a reatividade se deve fundamentalmente a uma acumulaçao do tipo de Boltzmann de reagentes iônicos e a uma aceleraçao condutiva do seu transporte. Em seguida, esses conceitos foram generalizados para toda a dinâmica de complexaçao de íons metálicos com nanopartículas, incluindo o papel central do transporte por conduçao-difusao, a partiçao dos íons entre a soluçao e o volume da partícula e as dinâmicas de associaçao/dissociaçao com os sítios reativos dentro do volume da partícula,80 tendo extendido esta aproximaçao para distribuiçoes heterogêneas de ligantes no volume da partícula em 2014.81

Em 2017, Town et al.82 questionam a definiçao da espessura da camada de reaçao num sistema coloidal sugerindo que a cinética intrapartícula afeta a reatividade na superfície do eletrodo. No seguimento deste trabalho, Duval e colaboradores redefiniram o conceito de camada de reaçao para o caso de sistemas coloidais83 e apresentaram as diferentes situaçoes possíveis para o caso de partículas rígidas, semipermeáveis (core-shell) e permeáveis (géis).84

Em termos de trabalhos de revisao podemos citar que em 2009 van Leeuwen e Buffle85 apresentaram uma revisao detalhada dos princípios das cinéticas de complexaçao de ions metálicos com agentes complexantes de diferentes tamanhos. Em 2012, Mota et al.86 reportaram os principais desenvolvimentos teóricos na interpretaçao das características cinéticas da interconversao de espécies de complexos metálicos considerando três aspectos distintos: o efeito de protonaçao do ligante, a ligaçao iônica com macromoléculas fortemente carregadas (por exemplo, os ácidos fúlvicos) e a introduçao da teoria dinâmica para a ligaçao de metal em dispersoes coloidais.12

Finalmente, em 2017, van Leeuwen et al.87 apresentaram uma revisao crítica sobre a cinética de associaçao de cátions com diferentes tipos de nanopartículas, identificando a contribuiçao do campo elétrico criado pelas cargas da partícula e identificando os fatores que determinam qual a etapa limitante do processo global de associaçao/dissociaçao.

Exemplos de estudos de especiaçao dinâmica em sistemas modelo e naturais

Desde 2004 surgem numerosos trabalhos utilizando o excelente potencial das técnicas de SCP, SSCP e AGNES para estudar a especiaçao de metais tanto em sistemas modelos quanto em sistemas naturais. Algumas revisoes críticas foram publicadas sobre SCP,88 comparando-a com outras técnicas nao-eletroquímicas89,90 ou com outras técnicas eletroanalíticas.86,91

Todavia, o número de estudos em que o foco é a especiaçao dinâmica é menor, devido à maior dificuldade da interpretaçao desses resultados e ao menor número de modelos teóricos adequados a descrevê-los. Uma boa parte destes estudos tem sido realizada para comprovar as teorias que abordamos no tópico anterior, nao sendo necessariamente repetida aqui. Neste tópico será descrito de forma sucinta algumas das publicaçoes mais interessantes como ilustraçao do potencial destas técnicas e da metodologia para estudar alguns dos problemas de especiaçao dinâmica relevantes atualmente.

Em 2007, van Leeuwen e Town92 estudaram por SSCP as correntes cinéticas de reduçao de complexos ML2 e concluiram que a etapa limitante era a dissociaçao de ML M. A metodologia usada para estudar este processo pode ser aplicada a quaisquer complexos de ordem MLn.

Domingos et al.93 usaram os resultados de SSCP para aferir a capacidade da técnica de permeaçao em membranas líquidas (PLM) de realizar estudos de especiaçao dinâmica. Os estudos efetuados usando partículas de diferentes tamanhos permitiram concluir que a análise do sinal de PLM era muito complicada, pois com o aumento de tamanho da partícula o controle do transporte do íon metálico através da membrana se alterava.

Rotureau e van Leeuwen94,95 estudaram a cinética da complexaçao de Pb(II) com carboximetildextranas, mostrando que a labilidade dos complexos evolui com o tempo, numa escala de várias horas, começando por serem lábeis e tornando-se progressivamente menos lábeis, concluindo que os íons Pb(II) provocam uma reorganizaçao estrutural no ligante. Estes trabalhos demonstraram que os íons metálicos podem ser usados como sondas para estudar o comportamento dos ligantes, neste caso evidenciando uma reorganizaçao estrutural numa macromolécula.

Em 2011, Goveia et al.64 estudaram a complexaçao de Pb(II) com nanopartículas de sílica (Ludox LS30, d=7,5 nm), tendo verificado que em pH 6,5 e força iônica 1,5 mmol L-1 os complexos eram heterogêneos e perdiam labilidade em concentraçoes elevadas de partículas. Este sistema tem um interesse particular, pois a pequena dimensao das partículas e a excelente sensibilidade da SSCP permitiram estudar sistemas onde o número de partículas é superior ao número de íons metálicos em soluçao.

Em 2012, Town et al.96 estudaram a interaçao Cu(II) e Ni(II) com substâncias húmicas usando as novas teorias dinâmicas e observaram que para o íon cobre,96 com a diminuiçao da força iônica, o mecanismo de difusao pode influenciar a cinética, mesmo para moléculas de dimensoes nao muito grandes como as substâncias húmicas. Num segundo estudo, verificaram que para o íon cuja desidrataçao é lenta, como o níquel, o mecanismo de Eigen continua válido, mas para íons cuja desidrataçao é rápida, como o Cu(H2O)62+, a aceleraçao do transporte por conduçao prevê constantes cinéticas de dissociaçao pelo menos uma ordem de magnitude maiores para força iônicas entre 0,01 – 0,1 mol dm-3, podendo ser ainda maiores nas forças iônicas típicas de águas doces.97

Rotureau,98 em 2014, realizou um estudo de interaçao de Cd(II) e Pb(II) com partículas de argila, mostrando que os complexos de Cd(II) sao homogêneos e lábeis e os de Pb(II) sao heterogêneos e também lábeis. Neste trabalho, os coeficientes de difusao das partículas foram determinados a partir dos estudos com Cd(II), demonstrando mais uma vez a possibilidade de usar estas técnicas para estudar propriedades dos ligantes.

Diaz de Alba et al.99 estudaram a especiaçao de Pb(II) em água do mar sintética e natural com um conteúdo de 2 mg L-1 de matéria orgânica natural (NOM) usando SSCP e AGNES em diferentes valores de pH entre 2,7 e 8,6. Os resultados mostram complexos lábeis abaixo de pH 7,0 e uma acentuada perda de labilidade acima deste valor.

Em 2015, Domingos et al.100 estudaram a influência das camadas poliméricas de policarboxilatos que recobrem nanopartículas de CdTe/CdS na estabilizaçao da nanopartícula e na interaçao com outros cátions metálicos presentes no meio ambiente. Os experimentos usando SSCP mostraram que apesar da solubilidade das nanopartículas ser maior a pH 8,5 do que a pH 6,0, a quantidade de Cd(II) livre em soluçao era muito menor, pois este está complexado na camada polimérica, e que em presença de Pb(II), este podia tanto ser complexado pela camada, como trocar com o Cd(II) e formar PbS na superficie da partícula. Este estudo mostra a versatilidade da SSCP como técnica para estudar o destino de nanopartículas metálicas no meio ambiente.

Town101 investigou a competiçao entre Ca(II) e Pb(II) na complexaçao com substâncias húmicas por SSCP, tendo observado um grande aumento de labilidade dos complexos de Pb por adiçao daquele.

Rotureau et al.102 investigaram o efeito da temperatura sobre a labilidade dos sitemas Cd-NTA e Pb-IDA usando SSCP, tendo verificado que a labilidade aumenta com a temperatura devido ao aumento da constante de velocidade de associaçao e da espessura da camada de difusao.

Em 2016, Rotureau et al.103 utilizaram Cd(II) como sonda para estudar, por SSCP, os efeitos estruturais em duas partículas core-shell de polimetil metacrilato/N-isopropilacrilamida (PMMA/PNIPAM) carboxiladas com ácidos acrílico ou metacrílico multireativas. Estas partículas sofrem alteraçoes estruturais por efeito da temperatura, pH e força iônica, sendo que tais alteraçoes sao refletidas por variaçoes da heterogeneidade das constantes de equilíbrio com Cd(II).

Vale a pena ressaltar que os experimentos utilizando AGNES, SCP e SSCP para os estudos em sistemas modelo e/ou naturais foram desenvolvidos originalmente com a aplicaçao em eletrodos de mercúrio, principalmente com o eletrodo estático de gota de mercúrio (HMDE)104-107 ou com o eletrodo rotativo de filme fino de mercúrio (TMF/RDE).8,28,29,55,56,57,61,108 Embora os eletrodos de filme de mercúrio ofereçam alta sensibilidade, a busca por materiais alternativos109 que apresentem desempenho eletroquímico e resultados semelhantes surgiu devido aos problemas associados com a utilizaçao e manipulaçao desse metal, tais como toxicidade, volatilidade e dificuldade para descarte adequado.110,111 Nesse sentido, foi demonstrado que eletrodos de filme de Bi podem ser usados para determinaçao de Pb(II) livre por AGNES na presença de vários ligantes.109 Nos últimos anos, os eletrodos impressos têm sido uma alternativa interessante, apresentando como vantagens: baixo custo de produçao, facilidade de modificaçao para aumento de seletividade e/ou sensibilidade, podendo ainda ser usados em medidas in situ (devido ao seu pequeno tamanho), além de minimizar problemas de contaminaçao.108,112-115 Sensores impressos de ouro, por exemplo, foram usados para investigar as interaçoes dinâmicas de Hg(II) com ácidos húmicos e suspensoes de microalgas.110,111

Assim, estudos recentes têm demosntrado que metais como ouro e bismuto apresentam propriedades eletroquímicas que permitem seu uso em especiaçao dinâmica, sendo considerados "ambientalmente amigáveis" por serem menos tóxicos e terem enorme potencial para viabilizar a realizaçao de estudos on site.109-111,116

 

CONCLUSOES

Neste artigo abordamos os desenvolvimentos teóricos e metodológicos das técnicas cronopotenciométricas no estudo da especiaçao dinâmica de metais traço. Estas técnicas permitiram desenvolver a determinaçao de constantes de estabilidade de complexos de metais traço e o estudo das suas características dinâmicas com ligantes de ocorrência naturais e antrópicos em ambientes aquáticos, abrindo caminho ao desenvolvimento de novas teorias físico-químicas de especiaçao dinâmica em sistemas coloidais e novas possibilidades de estudo dos ligantes macromoleculares ou particulados utilizando íons metálicos como sondas. Dentre as novas possibilidades, estamos desenvolvendo uma metodologia de AGNES/SSCP para a determinaçao do Hg(II) livre e dos seus parâmetros dinâmicos na presença de diferentes ligantes orgânicos, com o uso de um sistema automatizado por análise por injeçao sequencial (SIA, sequential injection analysis). Além disso, em termos de novas aplicaçoes, pode-se investigar a especiaçao dinâmica com materiais usados para tratamento de água, tais como microalgas, sorventes sintéticos (polímeros com grupo funcionais complexantes) e/ou naturais (argilominerais).

 

REFERENCIAS

1. Buffle, J.; Complexation reactions in aquatic systems: An analytical approach, Ellis Horwood: Chichester, 1988.

2. Templeton, D. M.; Freek, A.; Cornelis, R.; Danielssom, L. C.; Muntau, H.; van Leeuwen, H. P.; Lobinski, R.; Pure Appl. Chem. 2000, 72, 1470.

3. Buffle, J.; Wilkinson, K. J.; van Leeuwen, H. P.; Environ. Sci. Technol. 2009, 43, 7174.

4. Buffle, J.; Parthasarathy, N.; Djane, N. K.; Matthiasson, L. Em IUPAC Series Permeation Liquid Membranes for Field Analysis and Speciation of Trace Compounds in Waters in In Situ Monitoring of Aquatic Systems Chemical Analysis and Speciation; Buffle, J., Horvai, G., eds.; Chichester, 2000b, cap 10.

5. Sigg, L.; Black, F.; Buffle, J.; Cao, J.; Cleven, R.; Davison, W.; Galceran, J.; Gunkel, P.; Kalis, E.; Kistler, D.; Martin, M.; Noel, S.; Nur, Y.; Odzak, N.; Puy, J.; van Riemsdijk, W.; Temminghoff, E.; Tercier-Waeber, M. L.; Toepperwien, S.; Town, R. M.; Unsworth, E.; Warnken, K. W.; Weng, L. P.; Xue, H. B.; Zhang, H.; Environ. Sci. Technol. 2006, 40, 1941.

6. Pesavento, M.; Alberti, G.; Biesuz, R.; Anal. Chim. Acta 2009, 631, 141.

7. Town, R. M.; van Leeuwen, H. P.; J. Electroanal. Chem. 2001, 509, 65.

8. van Leeuwen, H. P.; Town, R. M.; Environ. Sci. Technol. 2003, 37, 3952.

9. Galceran, J.; Companys, E.; Puy, J.; Cecilia, J.; Garces, J. L. J.; J. Electroanal. Chem. 2004, 566, 109.

10. Van Leeuwen, H. P.; Town, R. M.; J. Electroanal. Chem. 2004,561, 74.

11. Pinheiro, J. P.; van Leeuwen, H. P.; J. Electroanal. Chem. 2004, 570, 75.

12. Pinheiro, J. P.; Minor, M.; van Leeuwen, H. P.; Langmuir 2005, 21, 8642.

13. Bard A. J.; Faulkner L. R.; Electrochemical Methods: Principles and Applications, 2nd ed., Wiley: New York, 2001.

14. Vydra, F.; Stulik, K.; Julakova, E.; Electrochemical Stripping Analysis, Halstead: New York, 1977.

15. Wang, J.; Stripping Analysis: Principles, Instrumentation and Applications, VCH: Michigan, 1985.

16. Stumm, W.; Morgan, J. J.; Aquatic Chemistry, Wiley: New York, 1970.

17. Florence, T. M.; Analyst, 1986, 111, 489.

18. Nürnberg, H. W.; Valenta, P.; Em Proceedings of NATO Advanced Research Institute on Trace Metals in Sea Water; Wong, C. S., Boyle, E., Bruland, K. W., Burton, J. D., Goldberg, E. D., eds.; Sicily, 1981.

19. Morel, F. M. M.; Hering, J. G.; Principles and applications of aquatic chemistry, Wiley: New York, 1993.

20. Florence, T. M.; Talanta 1982, 29, 364.

21. van Leeuwen, H. P.; Electroanalysis 2001, 13, 830.

22. Eigen, M.; Pure Appl. Chem. 1963, 6, 97.

23. Margerum, D. W.; Cayley, G. R, Weatherburn, D. C. Pagenkopf, G. K. Em Coordination Chemistry; Martell, A.; ed.; Monograph American Chemical Society: Washington, D. C., 1978.

24. van Leeuwen, H. P.; Town, R. M.; Buffle, J.; Langmuir 2011, 27, 4519.

25. Debye, P.; Trans. Electrochem. Soc. 1942, 82, 272.

26. Fuoss, R. M.; J. Am. Chem. Soc. 1958, 80, 5061.

27. van Leeuwen, H. P.; Buffle, J.; Lovric, M.; Pure Appl. Chem. 1992, 64, 1028.

28. Davison, W.; J. Electroanal. Chem. 1978, 87, 395.

29. van Leeuwen, H. P.; J. Electroanal. Chem. 1979, 99, 93.

30. Koutecky, J.; Korita, J.; Electrochim. Acta 1961, 3, 318.

31. Mota, A. M.; Santos, C. M. M. Em Trace metal speciation of labile chemical species in natural waters: Electrochemical methods. In Metal speciation and bioavailability; Tessier, A., Turner, D., eds.; John Wiley & Sons: New York, 1995, cap.5.

32. Ugapo, T.; Pickering, W. F.; Talanta 1985, 32, 131.

33. Gregor, J. E.; Powel, H. K. J.; Anal. Chim. Acta 1988, 211, 141.

34. Plavsic, M.; Cosovic, B.; Miletic, S.; Anal. Chim. Acta 1991, 255, 15.

35. Raspor, B.; Nurnberg, H. W.; Valenta, P.; Branica, M.; Mar. Chem. 1984, 15, 217.

36. Raspor, B.; Sci. Total Environ. 1989, 81, 319.

37. Mota, A. M.; Pinheiro, J. P.; Gonçalves, M. L. S.; Water Res. 1994, 28, 1296.

38. Pinheiro, J. P.; Mota, A. M.; Gonçalves, M. L. S.; van Leeuwen, H. P.; Environ. Sci. Technol. 1994, 28, 2119.

39. Morrison, G. M. P.; Florence, T. M.; Stauber, J. L.; Electroanalysis 1990, 2, 9.

40. Murray, R. M.; Em Electroanalytical Chemistry: A Series of Advances; Bard, A. J., ed.; Marcel Dekker: New York, 1984.

41. Ryan, M. D.; Chambers, J. Q.; Anal. Chem. 1992, 64, 116.

42. Rocha, L. S.; Pinheiro, J. P. Carapuça, H. M.; Langmuir 2006, 22, 8247.

43. Buffle, J.; J. Electroanal. Chem. 1981, 125, 273.

44. Mota, A. M.; Buffle, J.; Kounaves, S. P.; Gonçalves, M. L. S.; Anal. Chim. Acta. 1985, 172, 30.

45. Filella, M.; Buffle, J.; van Leeuwen, H. P.; Anal. Chim. Acta. 1990, 232, 223.

46. Buffle, J.; Vuileumier, J. J.; Tercier, M. L.; Parthasarathy, N.; Sci. Total Environ. 1987, 60, 96.

47. Bugarin, M. G.; Mota, A. M.; Pinheiro, J. P.; Gonçalves, M. L. S.; Anal. Chim. Acta. 1994, 294, 281.

48. Jagner, D.; Analyst 1982, 107, 593.

49. Town, R. M.; van Leeuwen, H. P.; J. Electroanal. Chem. 2002, 523, 15.

50. van Leeuwen, H. P.; Town, R. M.; J. Electroanal. Chem. 2002, 523, 25.

51. Town, R. M.; van Leeuwen, H. P.; J. Electroanal. Chem. 2004, 573, 157.

52. De Ford, D. D.; Hume, D. N.; J. Am. Chem. Soc. 1951, 73, 5321.

53. Town, R. M.; van Leeuwen, H. P.; Aust. J. Chem. 2004, 57, 992.

54. Domingos, R.F.; Huidobro, C.; Companys, E.; Puy, J; Galceran, J.; Pinheiro, J. P.; J. Electroanal. Chem. 2008, 617, 148.

55. Parat, C.; Schneider, A.; Castetbon, A.; Potin-Gautier, M.; Anal. Chim. Acta 2011, 688, 162.

56. Rocha, L. S.; Pinheiro, J. P.; Carapuça, H. M.; J. Electroanal. Chem. 2007, 610, 45.

57. Levich,V. G. Physicochemical Hydrodynamics, Prentice-Hall: New Jersey, 1962.

58. Town, R. M.; van Leeuwen, H. P.; J. Electroanal. Chem. 2002, 535, 25.

59. Domingos, R. F.; Huidobro, C.; Companys, E.; Puy, J.; Galceran, J.; Pinheiro, J. P.; J. Electroanal. Chem. 2008, 617, 148.

60. Parat, C.; Authier, L.; Aguilar, D.; Companys, E.; Puy, J.; Galceran, J.; Potin-Gautier, M.; Analyst 2011, 136, 4337.

61. Rocha, L. S.; Companys, E.; Galceran, J.; Carapuca, H. M.; Pinheiro, J. P.; Talanta 2010, 80, 1887.

62. Pinheiro, J. P.; Domingos, R. F.; Lopez, R.; Brayner, R.; Fievet, F.; Wilkinson, K.; Colloids Surf., A 2007, 295, 200.

63. Town, R. M.; Environ. Sci. Technol. 2008, 42, 4014.

64. Goveia, D.; Pinheiro, J. P.; Milkova, V.; Rosa, A. H.; van Leeuwen, H. P.; Langmuir 2011, 27, 7877.

65. Buffle, J.; Altmann, R. S.; Filella, M.; Tessier, A.; Geochim. Cosmochim. Acta. 1990, 54, 1535.

66. Kinniburgh, D. G.; van Riemsdijk, W. H; Koopal, L. K; Borkovec, M.; Benedetti, M. F; Avena, M. J.; Colloids Surf., A 1999, 151, 166.

67. Domingos, R. F.; Lopez, R.; Pinheiro, J. P.; Environ. Chem. 2008, 5, 24.

68. Serrano, N.; Diaz-Cruz, J. M.; Arino, C.; Esteban, M.; Puy, J.; Companys, E.; Galceran, J.; Cecilia, J.; J. Electroanal. Chem. 2007, 600, 275.

69. Rocha, L. S.; Botero, W. G.; Alves, N. G.; Moreira, J. A.; Da Costa, A. M. R.; Pinheiro, J. P.; Electrochim. Acta. 2015, 166, 402.

70. Monteiro, A. S. C.; Parat, C.; Rosa, A. H.; Pinheiro, J. P.; Talanta 2016, 152, 118.

71. Pinheiro, J. P.; Minor, M.; van Leeuwen, H. P.; J. Electroanal. Chem. 2006, 587, 292.

72. Pinheiro, J. P.; Domingos, R. F.; Minor, M.; van Leeuwen, H. P.; J. Electroanal. Chem. 2006, 596, 64.

73. Duval, J. F. L.; Pinheiro, J. P.; van Leeuwen, H. P.; J. Phys. Chem., A 2008, 112, 7137.

74. Duval, J. F. L.; J. Phys. Chem. A 2009, 113, 2275.

75. Duval, J. F. L.; Farinha, J. P. S.; Pinheiro, J. P.; Langmuir 2013, 29, 13835.

76. Salvador, J.; Garces, J. L.; Galceran, J.; Puy, J.; J. Phys. Chem. B 2006, 110, 13661.

77. Pinheiro, J. P.; Salvador, J.; Companys, E.; Galceran, J.; Puy, J.; Phys. Chem. Chem. Phys. 2010, 12, 1131.

78. van Leeuwen, H. P.; Town, R. M.; Buffle, J.; Langmuir 2011, 27, 4514.

79. van Leeuwen, H. P.; Buffle, J.; Duval, J. F. L.; Town, R. M.; Langmuir 2013, 29, 10302.

80. Town, R. M.; Buffle, J.; Duval; J. F. L.; van Leeuwen, H. P.; J. Phys. Chem. A 2013, 117, 7654.

81. Polyakov, P. D.; Duval, J. F. L.; Phys. Chem. Chem. Phys. 2014, 16, 2010.

82. Town, R. M.; Pinheiro, J. P.; van Leeuwen, H. P.; Langmuir 2017, 33, 527.

83. Duval, J. F. L.; Town, R. M.; van Leeuwen, H. P.; J. Phys. Chem. C. 2017, 121, 19147.

84. Duval, J. F. L.; Phys. Chem. Chem. Phys. 2017, 19, 11815.

85. van Leeuwen, H. P.; Buffle, J. ; Environ. Sci. Technol. 2009, 43, 7175.

86. Mota, A. M.; Pinheiro, J. P.; Goncalves, M. L. S.; J. Phys. Chem. A 2012, 116, 6442.

87. van Leeuwen, H. P.; Duval, J. F. L.; Pinheiro, J. P.; Blust, R.; Town, R. M.; Environ. Sci.: Nano 2017, 4, 2133.

88. Serrano, N; Diaz-Cruz, J. M.; Arino, C.; Esteban, M.; Electroanalysis 2007, 19, 2049.

89. Sigg, L.; Black, F.; Buffle, J.; Cao, J.; Cleven, R.; Davison, W.; Galceran, J.; Gunkel, P.; Kalis, E.; Kistler, D.; Town, R. M.; van Leeuwen, H. P.; Environ. Sci. Technol. 2006, 40, 1941.

90. Pesavento, M.; Alberti, G.; Biesuz, R.; Anal. Chim. Acta 2009, 631, 141.

91. Companys, E.; Galceran, J.; Pinheiro, J. P.; Puy, J.; Salaün, P.; Curr. Opin. Electrochem. 2017, 3, 144.

92. van Leeuwen, H. P.; Town, R. M.; J. Electroanal. Chem. 2006, 587, 154.

93. Domingos, R. F.; Benedetti, M. F.; Pinheiro, J. P.; Anal. Chim. Acta. 2007, 589, 261.

94. Rotureau, E.; van Leeuwen, H. P.; J. Phys. Chem. A 2008, 112, 7177.

95. Rotureau, E.; van Leeuwen, H. P.; J. Phys. Chem. A 2009, 113, 12879.

96. Town, R. M.; Duval; J. F. L.; Buffle, J.; van Leeuwen, H. P.; J. Phys. Chem. A 2012, 116, 6489.

97. Town, R. M.; van Leeuwen, H. P.; Buffle, J.; Environ. Sci. Technol. 2012, 46, 10498.

98. Rotureau, E.; Colloids Surf., A 2014, 441, 291.

99. Diaz, A. M.; Galindo R. M. D.; Pinheiro, J. P.; Environ. Chem. 2014, 11, 149.

100. Domingos, R. F.; Franco, C.; Pinheiro, J. P.; Environ. Sci. Pollut. Res. 2015, 22, 2900.

101. Town, R. M.; Environ. Chem. 2015, 12, 137.

102. Rotureau, E.; Waldvogel, Y.; Present, R. M.; Pinheiro, J. P.; J. Electroanal. Chem. 2015, 752, 68.

103. Rotureau, E.; Waldvogel, Y.; Pinheiro, J. P.; Farinha, J. P. S.; Bihannic, I.; Present, R. M.; Duval, J. F. L.; Phys. Chem. Chem. Phys. 2016, 18, 31711.

104. Galceran, J.; Companys, E.; Braungardt, C.; Worsfold, P.; Puy, J.; Anal. Chim. Acta 2016, 917, 40.

105. Chito, D.; Weng, L.; Galceran, J.; Companys, E.; Puy, J.; van Riemsdijk, W. H.; van Leeuwen, H. P.; Sci. Total Environ. 2012, 421-422, 244.

106. Aguilar, D.; Parat, C.; Galceran, J.; Companys, E.; Puy, J.; Authier, L.; Potin-Gautier, M.; J. Electroanal. Chem. 2013, 689, 283.

107. Galceran, J.; David, L. C.; Companys, E.; Castro, C. R.; Salvador, J.; Puy, J.; J. Electroanal. Chem. 2014, 722-723, 118.

108. Rocha, L. S.; Companys, E.; Carapuça, H. M.; Pinheiro, J. P.; Talanta 2010, 80, 1887.

109. Rocha, L. S.; Galceran, J.; Puy, J.; Pinheiro, J. P.; Anal. Chem. 2015, 87, 6078.

110. Do Nascimento, F. H.; Masini, J. C.; Talanta 2012, 100, 57.

111. Do Nascimento, F. H.; Rigobello-Masini, M.; Domingos, R. F.; Pinheiro, J. P.; Masini, J. C.; Algal Res. 2017, 24, 347.

112. Li, M.; Li, Da-W.; Guangli, X.; Long, Yi-T.; Curr. Opin. Electrochem. 2017, 3, 143.

113. Cadkovaa, M.; Kovarovaa, A.; Dvorakovaa, V.; Metelkab, R.; Bilkovaa, Z.; Koreckaa, L.; Talanta 2018, 182, 115.

114. Parat, C.; Authier, L.; Aguilar, D.; Companys, E.; Puy, J.; Galceran, J.; Potin-Gautier, M.; Analista 2011, 136, 4337.

115. Parat, C.; Aguilar, D.; Authier, L.; Potin-Gautier, M.; Companys, E.; Puy, J.; Galceran, J.; Electroanalysis 2011, 23, 627.

116. Domingos, R. F.; Carreira, S.; Galceran, J.; Salaün, P.; Pinheiro, J. P.; Anal. Chim. Acta. 2016, 920, 29.

On-line version ISSN 1678-7064 Printed version ISSN 0100-4042
Qu�mica Nova
Publica��es da Sociedade Brasileira de Qu�mica
Caixa Postal: 26037 05513-970 S�o Paulo - SP
Tel/Fax: +55.11.3032.2299/+55.11.3814.3602
Free access

GN1