JBCS



11:58, sáb out 25

Acesso Aberto/TP



Revisão


A família das bambus[n]urilas
The bambus[n]uril family

Renato Salviato Cicolani#; Grégoire Jean-François Demets*

Departamento de Química, Faculdade de Filosofia Ciências e Letras de Ribeirão Preto, Universidade de São Paulo, Av. Bandeirantes 3900, 14040-901 Ribeirão Preto - SP, Brasil

Recebido em: 13/12/2017
Aceito em: 03/05/2018
Publicado em: 19/06/2018

Endereço para correspondência

*e-mail: greg@usp.br
#alternative e-mail: renatosc@usp.br

RESUMO

This review describes the properties of the bambus[n]urils and some of their applications. These macrocycles are synthesized by the condensation of glycoluril derivatives and paraformaldehyde in acid medium. The alternate conformation of the monomers creates low electron density regions at the center of the macrocycle cavity and this is the main cause of bambus[n]urils high affinity and selectivity towards anions. Due to these properties, bambus[n]urils have been used for the detection of anions in mixtures, but also in complex supramolecular systems where they act as donors in photoinduced electron-transfer processes, and synthetic ion-channels for example. These compounds are relatively recent and deserve attention for their potential in many branches of chemistry, especially in supramolecular and inclusion chemistry.

Palavras-chave: cavitands; bambus[n]urils; anion binding; inclusion chemistry.

INTRODUÇAO

Macrociclos orgânicos que delimitam cavidades representam uma oportunidade ímpar para o estudo da química em meio confinado, que é um ramo muito importante da química supramolecular. A associaçao desses macrociclos com outras moléculas é consequência de interaçoes nao covalentes entre moléculas hóspedes-hospedeiras1 e tem sido muito estudada por conta de diversas aplicaçoes em catálise, estocagem e transporte de fármacos e sensores, por exemplo.2 Cavitandos como as cucurbit[n]urilas (CB[n]),3-6 pirogalol[n]arenos,7 calix[n]arenos,8 ou as ciclodextrinas,9 por exemplo, possuem cavidades capazes de hospedar outras entidades químicas denominadas hóspedes. A restriçao vibracional imposta pelo macrociclo (hospedeiro) somada a um campo elétrico particular existente em sua cavidade pode levar a molécula hóspede a estados energéticos e configuraçoes (vibracional, rotacional e/ou eletrônico) diferenciados, até entao insustentáveis em soluçao ou fase gasosa, a ponto de alterar consideravelmente suas propriedades físico-químicas assim como sua reatividade.10

As bambus[n]urilas, abreviadas por BU[n] (n = 4, 6), sao uma classe de macrociclos análogas às cucurbiturilas que foram sintetizadas pela primeira vez por Sindelar e colaboradores11 a partir da reaçao de condensaçao da 2,4-dimetilglicolurila com paraformaldeído em meio ácido. Os autores verificaram que o produto obtido, a metil-bambus[6]urila (MeBU[6]), apresentava conformaçao similar à de um gomo de bambu, planta da família bambusoideae, da qual emprestou seu nome. É importante ressaltar que as glicolurilas utilizadas na síntese das BU[n] sao formadas a partir de uma ureia nao substituída e outra contendo substituinte em seus nitrogênios. Isso faz com que os monômeros das BU[n] sejam unidos por uma ponte metilênica apenas e se arranjem de forma alternada nos macrociclos (Figura 1). Esta conformaçao peculiar gera uma cavidade com baixa densidade eletrônica, que justifica a grande afinidade e seletividade das BU[n] por ânions e hóspedes com alta densidade eletrônica.12

 


Figura 1. Fórmula estrutural das bambus[n]urilas, salientando sua confor maçao alternada

 

Por conta desta característica, as BU[n] vêm ganhando espaço na literatura especializada, e têm se mostrado importantes blocos de montagem em sistemas supramoleculares diversos, para fins de desenvolvimento de sensores,13 translocaçao de ânions através de membranas lipídicas,14 como molde em estruturas auto-organizadas15 e na detecçao de ânions em soluçao aquosa.16 A presente revisao tem como objetivo apresentar a família das bambus[n]urilas, sua síntese, suas propriedades físico-químicas mais importantes e algumas de suas aplicaçoes mais relevantes e atuais.

 

SINTESE E PROPRIEDADES

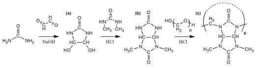
A primeira síntese de BU[n] descrita na literatura,11 a da MeBU[6], envolve a preparaçao de dois precursores, a trans-4,5-di-hidroxi-imidazolidin-2-ona e a 2,4-dimetilglicolurila (Figura 2). Partindo de ureia e glioxal em meio alcalino17 se obtém a trans-4,5-di-hidroxi-imidazolidin-2-ona, que reage posteriormente com a 1,3-dimetilureia em meio ácido para produzir a 2,4-dimetilglicolurila. A reaçao da 2,4-dimetilglicolurila com paraformaldeído em ácido clorídrico produz uma mistura que contém polímeros lineares e uma mistura dos macrociclos MeBU[4] e MeBU[6]. Após as etapas de purificaçao, o produto majoritário isolado é na realidade o caviplexo H+(Cl-@MeBU[6]) ou simplesmente Cl-@MeBU[6]. É possível ainda obter o macrociclo vazio MeBU[6]12 tratando o caviplexo Cl-@MeBU[6] com ácido iodídrico para substituir o íon cloreto por iodeto e posteriormente eliminá-lo na forma de iodo molecular por oxidaçao com peróxido de hidrogênio.

 


Figura 2. Esquema de síntese para obtençao da (a) 4,5-di-hidroxi-imidazolidin-2-ona, (b) 2,4-dimetilglicolurila e (c) metil-bambus[6]urila

 

Algo interessante é que as cucurbit[n]urilas (CB[n]), que sao estruturalmente análogas às BU[n], também sao obtidas a partir da reaçao de condensaçao de uma glicolurila com formaldeído em meio ácido.4 No entanto, o arranjo diferente das unidades de glicolurila na estrutura das CB[n] faz com que formem complexos com cátions e moléculas neutras. As hemi-cucurbit[n]urilas (hmCB[n]),18,19 outro tipo de macrociclo hospedeiro, sao formadas a partir de grupamentos imidazolidin-2-ona conectados por pontes metilênicas. Basicamente, a estrutura das hmCB[n] é similar a uma CB[n] cortada simetricamente pelo plano equatorial. Como as unidades imidazolin-2-ona das hmCB[n] sao ligadas somente por uma ponte metilênica, a estrutura desses macrociclos é pouco rígida e permite a alternância dos monômeros, da mesma forma que ocorre com as BU[n]. Isso ocasiona na formaçao de uma regiao com menor densidade eletrônica no centro da molécula, fazendo com que as hmCB[n] e as BU[n] apresentem maior afinidade por ânions. Comparando a estrutura da MeBU[6], da hmCB[6] e da CB[6] é possível verificar que o arranjo espacial dos monômeros e sobretudo sua liberdade para adotarem ou nao a configuraçao alternada sao fatores preponderantes nas propriedades das cavidades que delimitam, como solvofobicidade e seletividade (Figura 3).20

 


Figura 3. (a) Visao lateral dos macrociclos CB[6] (esquerda), hmCB[6] (centro) e BU[6] (direita). Mapa de densidade superficial de elétrons dos mesmos macrociclos, visto (b) de lado e (c) por cima. As superfícies foram calculados por DFT a nível de teoria B3LYP/6-31G*. As regioes em vermelho e azul representam, respectivamente, regioes de maior e menor densidade eletrônica

 

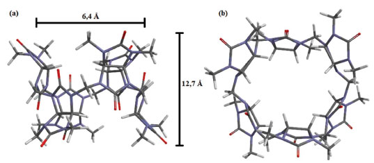
Ainda que as hmCB[n] complexem ânions, a afinidade e seletividade com que o fazem sao consideravelmente menores que as das BU[n], o que se explica pela diferença de densidade eletrônica superficial das bambusurilas. A inclusao de haletos na cavidade da MeBU[6] ocorre por conta de interaçoes entre os átomos de hidrogênio da cintura do macrociclo com o haleto, gerando ligaçoes de hidrogênio do tipo C-H···X-. A MeBU[6] apresenta um diâmetro de 6,4 Å e 12,7 Å de comprimento,11 o que torna a cavidade relativamente grande para inclusao e estabilizaçao de outras moléculas (Figura 4). Sindelar e colaboradores21 determinaram a constante de afinidade da MeBU[6] e haletos por meio de titulaçoes microcalorimétricas e confirmaram a tendência observada anteriormente,11,12 sendo a constante de afinidade da MeBU[6] pelos íons iodeto e brometo cerca de 1000 e 100 vezes maior, respectivamente, que por aquela observada para íon cloreto.

 


Figura 4. (a) Visao lateral da MeBU[6] indicando seu diâmetro e comprimento. (b) Visao superior da MeBU[6]

 

O espectro de RMN de 1H da MeBU[6] é relativamente simples,12 sendo observados apenas três sinais, em δ = 5,41 ppm (s, 12H), 4,20 ppm (s, 12H) e 3,03 ppm (s, 36H) que sao atribuídos aos hidrogênios da cintura, da ponte metilênica e do substituinte metila, respectivamente. A presença de ânions no interior da cavidade da MeBU[6] influencia no deslocamento químico destes átomos de hidrogênio,11 como por exemplo no caso do caviplexo Cl-@MeBU[6] que apresenta deslocamentos químicos em 5,35, 5,15 e 3,11 ppm.

Os dados sobre as propriedades físico-químicas fundamentais da MeBU[6] ainda sao relativamente escassos na literatura, mas consideráveis avanços tem sido realizados por Cicolani,22 tais como determinaçao do comportamente térmico, solubilidade em diversos solventes e formaçao de complexos com cátions. A estabilidade térmica da MeBU[6] nao é discutida na literatura, somente é apresentado que o caviplexo Cl-@MeBU[6] sofre degradaçao em temperaturas acima de 300 °C.11 Com relaçao aos dados de solubilidade presentes na literatura, a MeBU[6] é muito pouco solúvel na maioria dos solventes usuais, sendo que em água, a solubilidade do caviplexo Cl-@MeBU[6] é de apenas 0,020 g dm-3, enquanto que a MeBU[6] é totalmente insolúvel.11,12

Cálculos computacionais foram realizados para prever e elucidar algumas das propriedades fundamentais da MeBU[6]. O espectro de infravermelho simulado para a MeBU[6],23 por exemplo, mostra que este macrociclo apresenta diversos modos vibracionais, sendo que se destacam as bandas em 1757 e 1714 cm-1, atribuídas ao estiramento das ligaçoes C=O do grupamento 1,3-dimetilureia e ureia, respectivamente, em 1168 cm-1 atribuída ao estiramento da ligaçao C-C e em 775 cm-1 atribuída ao estiramento da ligaçao C-N-C da ponte metilênica.

Diversos cálculos foram realizados para prever a formaçao de caviplexos envolvendo a MeBU[6] e ânions, como ClO4- e BF4-,24 CN-,25 OCN- e SCN-,26 NO3-,27 HS-,28 metanossulfonato e trifluorometanossulfonato.29 Existem também cálculos envolvendo a complexaçao da MeBU[6] com os cátions H3O+,30 Cs+ (31 e Na+,32 nos átomos de oxigênio dos opérculos. Vale ressaltar que em todas as simulaçoes com cátions foram utilizados pares iônicos, uma vez que as interaçoes com cátions sozinhos nao sao termodinamicamente favoráveis.

Desde a descoberta da MeBU[6], diversos derivados foram reportados contendo resíduos alifáticos e substituintes aromáticos.33-37 De maneira geral, as glicolurilas dissubstituídas reagem com formaldeído em meio ácido, em condiçoes específicas, produzindo as respectivas BU[n] funcionalizadas (Figura 5). As benzil-bambus[4]urila (BnBU[4]), benzil-bambus[6]urila (BnBU[6]) e propil-bambus[6]urila (PrBU[6])34 foram obtidas a partir das 2,4-dibenzilglicolurila ou 2,4-dipropilglicolurila, respectivamente, em solventes apolares, e nao em meio aquoso como na síntese da MeBU[6]. A BnBU[6] obtida era capaz de formar complexos com elevada constante de formaçao com diversos ânions em clorofórmio,35 diferente da MeBU[6], que é pouco solúvel nesse mesmo solvente. Esse resultado mostrou a influência do substituinte ligado às BU[n] nas propriedades da mesma.

 


Figura 5. Esquema geral de síntese das bambus[n]urilas (n = 4, 6) a partir da condensaçao de glicolurilas dissubstituídas com formaldeído catalisada por ácido

 

Heck e colaboradores36 obtiveram os derivados alil-bambus[4]urila (AlilBU[4]) e alil-bambus[6]urila (AlilBU[6]) a partir de síntese assistida por micro-ondas, utilizando a di-alil-glicolurila como precursor. Alteraçoes nas condiçoes de síntese levavam a diferentes distribuiçoes de homólogos. Além disso, os autores obtiveram a PrBU[4] a partir da hidrogenaçao catalítica da AlilBU[4] utilizando H2 na presença de catalisador 10% Pd/C em etanol.

Sindelar e colaboradores sintetizaram a p-carboxi-benzil-bambus[6]urila (BzCOOH)BU[6],37 de elevada solubilidade em meio aquoso neutro e básico, e as 3-carboxipropil-bambus[6]urila (PrCOOH)BU[6] e 5-carboxipentil-bambus[6]urila (pentilCOOH)BU[6].38 A afinidade por ânions destes últimos é modulada tanto pelo tamanho do substituinte R ligado à BU[6] quanto pelo pH da soluçao. A obtençao de derivados das BU[n] solúveis em água e com afinidade por ânions representa um passo importante para o estudo destes cavitandos, uma vez que permite contornar limitaçoes óbvias no que tange às aplicaçoes, como em bioquímica e medicina,2,33 por exemplo, e foram assunto de investigaçoes recentes.

Além de BU[n] modificadas com diversos grupos laterais R, foram sintetizados outros derivados por substituiçao do átomo de oxigênio do grupamento 1,3-dimetilureia do macrociclo (Figura 6). As metil-semitio-bambus[4]urila (MeBUS[4]) e metil-semitio-bambus[6]urila (MeBUS[6]),39 por exemplo, sao obtidas a partir da reaçao da 2,4-dimetil-semitio-glicolurila com paraformaldeído em meio ácido. Um ponto interessante é que esses derivados das BU[n] sao capazes de incluir ânions em seu interior e complexar cátions como Pd2+ e Hg2+ nos portais de seus opérculos por meio dos átomos de enxofre.

 


Figura 6. Estrutura das MeBU[6] (esquerda), MeBUS[6] (centro) e MeBUN[6] (direita)

 

Outros exemplos de substituiçao do hetero-átomo do grupamento 1,3-dimetilureia da BU[n] reportado na literatura sao as metil-semiaza-bambus[4]urila (MeBUN[4]) e metil-semiaza-bambus[6]urila (MeBUN[6]),40,41 macrociclos obtidos a partir da reaçao das MeBUS[4] e MeBUS[6] com aminas em refluxo de tetrahidrofurano. Estas semiaza-bambusurilas, sao capazes de complexar múltiplos ânions em suas cavidades como, por exemplo, dois íons trifluorometanossulfonato e um íon iodeto simultaneamente. Ao mesmo tempo que as MeBUN[4] e MeBUN[6] sao capazes de formar caviplexos relativamente estáveis com ânions, estes sao lábeis o suficiente para desligarem-se deles em determinadas condiçoes e permitir seu trânsito pelas cavidades, evidenciando assim seu potencial como ionóforos sintéticos.

Titulaçoes calorimétricas isotérmicas (ITC) e de RMN de 1H foram efetuadas para obtençao das constantes de formaçao dos caviplexos (Kform) de BU[n] com diversos ânions (Tabela 1). A partir dos resultados obtidos, é possível verificar que o tamanho e simetria do ânion caviplexado influenciam na afinidade, bem como o substituinte ou hetero-átomo do macrociclo.

 

 

ALGUMAS APLICAÇOES

Detecçao de ânions em mistura por RMN de 1H

Sensores químicos seletivos a analitos específicos sao importantes para detecçao e quantificaçao de cátions,42 ânions43 ou moléculas neutras.44 Existe uma grande demanda por sistemas químicos capazes de identificar ânions em soluçao como por exemplo, em análises de água e análises ambientais em geral.45 A maioria dos sensores para ânions descritos na literatura opera em meio orgânico, sendo ainda escassos aqueles que funcionem em água.46,47

Dada a capacidade das BU[n] de incluir ânions seletivamente, Sindelar e seu grupo48 adicionaram os derivados BnBU[6] (DMSO-d6 + 5% de D2O) e (BnCOOH)BU[6] (K2DPO4 20 mmol dm-3 em D2O), respectivamente, a soluçoes que continham doze ânions distintos e realizaram análises de RMN de 1H na tentativa de utilizar esses macrociclos como sensores de ânions.

Os espectros de RMN de 1H indicaram a formaçao de caviplexos com estequiometria de 1:1 e os deslocamentos químicos observados permitiram a identificaçao dos respectivos ânions (BF4-, PF6-, ClO4-, NO3-, ReO4-, CN-, HSO4-Cl-, Br-, I-, SCN-, IO4-), confrontando os resultados com experimentos controle com os caviplexos de ânions isolados.

A BnBU[6] apresenta elevada seletividade em complexar com os ânions, sendo que a maioria destes pôde ser identificada pelo simples deslocamento químico dos hidrogênios da ponte metilênica (Tabela 2). Por outro lado, a (BnCOOH)BU[6], que é mais solúvel em água, apresenta menor afinidade pelos ânions Cl-, CN-, IO4-, ReO4- e possibilita somente a diferenciaçao de quatro dos doze ânions em mistura somente (PF6-, ClO4-, I-).

 

 

Transferência eletrônica foto-induzida entre BU[6] e aceptor de elétrons

Reaçoes de transferência eletrônica foto-induzida (TEF) sao a peça central de sistemas de conversao de energia luminosa em energia elétrica em sistemas químicos, como células solares, por exemplo.49 Os viologênios sao dicátions orgânicos passíveis de reduçao por TEF e podem ser utilizados para conversao de energia solar em eletricidade.50 No entanto, a baixa estabilidade dos radicais-cátions radicalares favorece muito decaimentos nao-radiativos, dificultando sua aplicaçao em células solares. Por conta disso, matrizes como zeólitas51 e redes metalorgânicas52 sao utilizadas na tentativa de estabilizar esses cátions radicalares.

Recentemente, Sindelar e seu grupo53 reportaram a obtençao de um material cristalino fotoativo constituído de MeBU[6] e hexafluorofosfato de metil-viologênio, MV(PF6)2, em que o macrociclo age como doador de elétron na fotorreduçao do MV2+. A MeBU[6] complexa um íon PF6- em cada portal, de forma que um átomo de flúor axial de cada ânion fique incluído na cavidade do macrociclo por conta de pseudo-ligaçoes de hidrogênio do tipo C-H···F. Na forma cristalina, as camadas contendo o complexo 2PF6-@MeBU[6] alternam-se com camadas formadas pelos íons MV2+. A estrutura resultante (Figura 7) é mantida coesa por interaçoes coulômbicas (entre MV2+ e PF6-), dipolo-dipolo (entre pelo menos um oxigênio da MeBU[6] e um anel aromático do MV2+) e íon-dipolo (MV2+ ou PF6- e os solventes).

 


Figura 7. Empacotamento da estrutura cristalina do sistema MeBU[6]/MV2+/PF6- (bambusurila: marrom; MV2+: azul; PF6-: verde; acetonitrila: cinza; água: vermelho). Reproduzido parcialmente com permissao da American Chemical Society (2017, v. 139, p. 2598)

 

A irradiaçao desse sólido misto de MeBU[6]/MV2+/PF6- (Figura 8) com luz ultravioleta (266 e 375 nm) leva à mudança de coloraçao de amarelo para azul, persistente por aproximadamente cinco horas. Esta variaçao de cor é indicativo típico da formaçao do cátion radical MV+• que só poderia ser explicado pela oxidaçao da MeBU[6] pelo MV2+. Os autores sugerem que, inicialmente, o viologênio do complexo MV2+·2PF6-@MeBU[6] é excitado a um estado singleto com energia suficiente para oxidar a MeBU[6] e reduzir o MV2+. O par íon-radical MV+•·2PF6-@MeBU[6]+• formado no estado singleto sofre decaimento para um estado triplete de menor energia, que é responsável pela coloraçao azul. Finalmente, ocorre uma transferência eletrônica proibida por spin pouco eficiente, o que resulta na formaçao do complexo inicial MV2+·2PF6-@MeBU[6] e explica o elevado tempo de meia-vida observado. Este estudo foi um marco, pois foi o primeiro do gênero envolvendo MeBU[6].47

 


Figura 8. Complexo de metil-viologênio (a), hexafluorofosfato (b) e metil-bambus[6]urila (c), passível de transferência de elétrons foto-induzida do macrociclo para o metil-viologênio

 

Transporte transmembrana de ânions

A troca de ânions entre uma célula e sua vizinhança é importante para a regulaçao de fenômenos biológicos essenciais à vida,54 como a manutençao da concentraçao de íons fluoreto para crescimento de ossos e dentes,55 de íons cloreto nos rins56 e de íons iodeto nas glândulas tireóide, entre outros.57 Os transportadores naturais mais comuns sao proteínas de membrana58 e complexos macromoleculares.59 Muito tem sido feito para se desenvolver transportadores de ânions sintéticos, que possam agir a partir de interaçoes eletrostáticas, ligaçoes de hidrogênio e halogênio e/ou interaçoes π.60 É importante ressaltar, no entanto, que nem todos os transportadores de íons sintéticos sao eficazes em sistemas biológicos, uma vez que parâmetros como o coeficiente de partiçao e a mobilidade no interior da membrana do transportador sao propriedades essenciais a serem consideradas.61

Tendo isso em vista, Reany e colaboradores62 estudaram se as MeBU[6], MeBUS[6] e MeBUN[6] apresentavam potencial como transportadores de ânions através de bicamadas lipídicas, justamente porque os três macrociclos apresentam afinidade por ânions similares. De acordo com a literatura,39,40 a afinidade com que os macrociclos complexam o íon cloreto é MeBUS[6] > MeBU[6] > MeBUN[6]. Os autores estudaram o transporte de íons cloreto através de vesículas de 1-palmitoil-2-oleoil-sn-glicero-3-fosfocolina (POPC), monitorando a fluorescência da lucigenina, um corante sensível a ânions (Figura 9). Os resultados comprovaram que a eficiência do transporte aumentava de acordo com o aumento da afinidade dos macrociclos pelo ânion. A questao de se a MeBUS[6] poderia operar como um canal aniônico ou carreador de ânions foi resolvida a partir da adiçao de colesterol na vesícula de POPC. Os resultados indicaram que houve uma diminuiçao do transporte de ânion com o aumento da porcentagem de colesterol, indicando, portanto, que a MeBUS[6] era de fato um carreador de ânion, uma vez que o macrociclo precisava se deslocar na membrana para promover o transporte. Além disso, concluiu-se que os cátions nao apresentavam nenhum efeito tanto no mecanismo de transporte quanto na seletividade, sugerindo um transporte de ânions através de mecanismos ânion-ânion antiporte ao invés de uma troca simultânea de cátion e ânion. O trabalho de Reany e colaboradores mostrou que as BU[n] apresentam a característica de um transportador aniônico eficaz, propriedade que deve ser estudada futuramente em sistemas biológicos.

 


Figura 9. Representaçao esquemática do influxo de íon cloreto e efluxo de íon nitrato através de vesículas de POPC, monitorada pela fluorescência da lucigenina. Reproduzido parcialmente com permissao da The Royal Society of Chemistry (2017, v. 53, p. 7558)

 

Sistemas supramoleculares

Sistemas complexos e funcionais em que os componentes sao unidos e organizados por interaçoes nao-covalentes constituem a base da química supramolecular.63 Sistemas supermoleculares sao obtidos a partir de interaçoes eletrostática, hidrofóbica, ligaçao de hidrogênio ou empilhamento π entre moléculas distintas (blocos de construçao) e apresentam propriedades diferentes que a mera soma das propriedades individuais de seus componentes.64 Uma série de sistemas supramoleculares foram apresentados na literatura, dos quais se destacam os rotaxanos,65 as estruturas auto-organizadas66 e os macrociclos supermoleculares.67 Esses sistemas supramoleculares encontram uma série de aplicaçoes como sensores químicos68 e biológicos,69 catalisadores,70 carreadores71 ou materiais eletrocrômicos e em eletrônica molecular por exemplo.72

Na literatura sao reportados alguns complexos supramoleculares contendo BU[n], para além dos apresentados nesta revisao até este ponto. Sindelar e colaboradores73 verificaram a formaçao de um complexo supramolecular estável de BnBU[6] com íons benzoato e tosilato em clorofórmio contendo resíduo de água. Os dados de difraçao de raios-X de monocristal indicaram que os ânions em questao nao sao incluídos na cavidade do macrociclo, uma vez que esses hóspedes sao relativamente grandes. Foi verificado, no entanto, que os íons benzoato ou tosilato formam complexos com a BnBU[6] na proporçao de 2:1 unidos por ligaçoes de hidrogênio com uma molécula de água no centro da cavidade do macrociclo (Figura 10). Essa funçao da água como mediador da complexaçao em solventes apolares úmidos ou no estado sólido já havia sido verificada antes na formaçao de cápsulas moleculares com outros macrociclos, como os resorcin[n]arenos e pirogalol[n]arenos,74 e indica que as BU[n] apresentam potencial para aplicaçoes similares.

 


Figura 10. Visao lateral da estrutura cristalina do complexo de íons benzoato com a BnBU[6] na proporçao 2:1. Reproduzido com permissao da The Royal Society of Chemistry (2014, v. 50, p. 1372)

 

Sindelar e colaboradores75 tentaram sintetizar caviplexos com BnBU[6] e diversos diaquil fosfatos. Diferentemente do complexo anterior, o grupamento fosfato pode ser incluído no interior do macrociclo na proporçao 1:1 em duas configuraçoes distintas em soluçao: internamente, de forma que os substituintes alquila fiquem voltados para fora em sentido oposto, ou externamente, com o grupamento fosfato parcialmente incluído e os substituintes voltados para fora no mesmo sentido. A configuraçao do tipo externa fez com que os autores estudassem a capacidade das BU[n] de formarem rotaxano, sendo o macrociclo o rotor e os derivados de íons fosfatos os eixos. Algo interessante é que poucos rotaxanos baseados na inclusao de espécies aniônicas em macrociclos foram reportados na literatura até o presente momento,75-78 sendo a formaçao de rotaxanos com BU[n] algo no mínimo incomum.

Baseado nisso, foram realizados experimentos de inclusao de fosfatos aniônicos contendo grupos alcinos terminais como substituintes e posterior reaçao de condensaçao com azidas substituídas, na presença de brometo de cobre (I), para a formaçao dos respectivos triazóis. O objetivo dos autores era verificar se os triazóis e a BnBU[6] formavam rotaxanos e como o tamanho do subtituinte dos íons azida influenciaria na estabilidade desses sistemas supramoleculares (Figura 11). Os resultados de RMN de 1H mostraram que os triazóis com substituintes pouco volumosos, como etila e propila, podiam se desligar do macrociclo, enquanto os mais volumosos, como trifenilmetila, nao permitiam a descomplexaçao da supermolécula em soluçao, o que em princípio pareceu promissor.

 


Figura 11. Representaçao esquemática da formaçao de um rotaxano de bambusurila (retângulo) e triazol por reaçao de condensaçao

 

No entanto, análises por difraçao de raios-X mostraram que somente a BnBU[6] com moléculas de solvente era obtida no estado sólido, sem nenhum sinal dos derivados de íon fosfato. Experimentos similares realizados com a MeBU[6] indicaram a formaçao de complexos com estequiometria 2:1 de dialquil-fosfato/bambusurila ligados pelos grupos fosfato em posiçao distal a cada opérculo externamente à cavidade. Esses resultados fizeram com que os autores excluíssem a possibilidade de utilizar as BU[n] em estruturas interligadas, mas abrem espaço para outras tentativas com outras moléculas hóspedes.

 

CONSIDERAÇOES FINAIS

Em menos de oito anos, desde que foram sintetizadas pela primeira vez, as bambus[n]urilas já ganharam um lugar de destaque entre os cavitandos, ocupando cada vez mais espaço na literatura especializada em química de inclusao. Isso se explica, em grande parte, pela sua capacidade de complexar ânions de forma seletiva e com elevadas constantes de formaçao. Nao restam dúvidas que esse macrociclo é tao promissor e importante quanto as ciclodextrinas, cucurbiturilas ou pirogalolarenos, e que viabilizará o desenvolvimento de aplicaçoes nos diversos segmentos da química supramolecular. Até este momento, foram publicados cerca de quarenta artigos sobre as bambusurilas, o que mostra que ainda há muito a ser estudado sobre o assunto.

A presente revisao teve como objetivo apresentar a família das bambus[n]urilas, suas propriedades e algumas de suas potenciais aplicaçoes. O escopo da revisao é bastante limitado, mas isso se deve principalmente à escassez de trabalhos na literatura. Ainda existem muitas vacâncias na literatura específica com relaçao às bambus[n]urilas, como por exemplo, seu uso em catálise, a estabilidade química e física desses macrociclos e a capacidade de estocarem e transportarem fármacos em sistema do tipo "drug delivery". Pouco se sabe ainda sobre a dinâmica de inclusao de moléculas neutras, e acerca da natureza das interaçoes no seio da cavidade. Nao se sabe, por exemplo, qual a contribuiçao de interaçoes dipolares, solvofóbicas, das ligaçoes de hidrogênio e demais forças para a inclusao desses hóspedes. Trabalhos com gases ainda sao inexistentes, e nao há registro ainda de materiais que a utilizem em aplicaçoes no estado sólido. Uma das limitaçoes a ser superada é a dificuldade de síntese desses compostos, uma vez que sao vários os passos e os rendimentos ainda sao bem pequenos.

A maioria dos estudos realizados com as bambusurilas sao originários da República Tcheca, onde foram reportadas pela primeira vez. Outros estudos têm surgido na China, Israel, Portugal, India, Uruguai e França, e aqui no Brasil, nosso grupo tem se dedicado ao estudo das propriedades fundamentais das bambusurilas, suas características eletroquímicas e de coordenaçao. Acreditamos que uma revisao em língua portuguesa sobre o assunto pode abrir novas perspectivas de pesquisa à nossa comunidade.

 

AGRADECIMENTOS

Os autores agradecem à CNPq proc. 309570/2015-8, CNPq proc. 134552/2015-6, FAPESP proc. 2016/12666-1 e FAPESP 2017/19595-5 pelo financiamento das pesquisas.

 

REFERENCIAS

1. Jiou, J.; Chiravuri, K.; Gudapati, A.; Gassensmith, J. J.; Curr. Org. Chem. 2014, 18, 2002.

2. Atwood, J. L.; Lehn, J.-M.; Comprehensive Supramolecular Chemistry, Pergamon: Oxford, 1996.

3. Buschmann, H.-J.; Cleve, E.; Jansen, K.; Wego, A.; Schollmeyer, E.; Mater. Sci. Eng., C 2003, 6, 531.

4. Demets, G. J.-F.; Quim. Nova 2007, 30, 1313.

5. Reddy, K. R. K. K.; Cavallini, T. de S.; Demets, G. J.-F.; Silva Jr., L. F.; New J. Chem. 2014, 38, 2262.

6. de Lima, S. M.; Gomez, J. A.; Barros, V. P.; Vertuan, G. de S.; Assis, M. D.; Graeff, C. F. O.; Demets, G. J. F.; Polyhedron 2010, 29, 3008.

7. Chapin, J. C.; Kvasnica, M.; Purse, B. W.; J. Am. Chem. Soc. 2012, 134, 15000.

8. Bagatin, I. A.; Cruz, A. T.; Toma, H. E.; Politi, M. J.; Demets, G. J.-F.; J. Incl. Phenom. Macrocyc. Chem. 2005, 52, 189.

9. Szejtli, J.; Chem. Rev. 1998, 98, 1743.

10. Holliday, B. J.; Mirkin, C. A.; Angew. Chem., Int. Ed. 2001, 40, 2022.

11. Svec, J.; Necas, M.; Sindelar, V.; Angew. Chem., Int. Ed. 2010, 49, 2378.

12. Svec, J.; Dusek, M.; Fejfarova, K.; Stacko, P.; Klán, P.; Kaifer, A.E.; Li, W.; Hudeckova, E.; Sindelar, V.; Chem. Eur. J. 2011, 17, 5605.

13. Busschaert, N.; Caltagirone, C.; Rossom, W. V.; Gale, P. A.; Chem. Rev. 2015, 115, 8038.

14. Davis, J. T.; Gale, P. A.; Okunola, O. A.; Prados, P.; Sanchez, J. C. I.; Nat. Chem. 2009, 1, 138.

15. Spence, G. T.; Beer, P. D.; Acc. Chem. Res. 2013, 46, 571.

16. Li, Y.; Flood, A. H.; Angew. Chem. 2008, 47, 2649.

17. Correia, H. D.; Cicolani, R. S.; Moral, R. F.; Demets, G. J.-F.; Synthesis 2016, 48, 210.

18. Miyahara, Y.; Goto, K.; Oka, M.; Inazu, T.; Angew. Chem., Int. Ed. 2004, 43, 5019.

19. Buschmann, H.-J.; Jansen, K.; Schollmeyer, E.; Inorg. Chem. Commun. 2003, 6, 531.

20. Cova, T. F. G. G.; Nunes, S. C. C.; Valente, A. J. M.; Melo, T. M. V. D. P.; Pais, A. A. C. C.; J. Mol. Liq. 2017, 242, 640.

21. Révész, A.; Schroder, D.; Svec, J.; Wimmerová, M.; Sindelar, V.; J. Phys. Chem. A 2011, 115, 11378.

22. Cicolani, R. S.; Dissertaçao de Mestrado, Universidade de Sao Paulo, Brasil, 2017, 98 p.

23. Gobre, V. V.; Dixit, P. H.; Khedkar, J. K.; Gejji, S. P.; Comput. Theor. Chem. 2011, 976, 76.

24. Toman, P.; Makrlík, E.; Vañura, P.; Acta Chim. Slov. 2011, 58, 846.

25. Toman, P.; Makrlík, E.; Vañura, P.; Chem. Phys. Lett. 2012, 547, 63.

26. Toman, P.; Makrlík, E.; Vañura, P.; Monatsh. Chem. 2012, 143, 985.

27. Toman, P.; Makrlík, E.; Vañura, P.; Acta Chim. Slov. 2013, 60, 174.

28. Makrlík, E.; Toman, P.; Vañura, P.; Monatsh. Chem. 2014, 145, 877.

29. Makrlík, E.; Toman, P.; Vañura, P.; Monatsh. Chem. 2015, 146, 1609.

30. Toman, P.; Makrlík, E.; Vañura, P.; Monatsh. Chem. 2012, 143, 373.

31. Toman, P.; Makrlík, E.; Vañura, P.; Monatsh. Chem. 2012, 143, 1368.

32. Makrlík, E.; Toman, P.; Vañura, P.; Monatsh. Chem. 2014, 145, 721.

33. Cova, T. F. G. G.; Nunes, S. C. C.; Pinho e Melo, T. M. V. D.; Pais, A. A. C. C.; Chem. Phys. Lett. 2017, 672, 89.

34. Havel, V.; Svec, J.; Wimmerova, M.; Dusek, M; Pojarova, M; Sindelar, V.; Org. Lett. 2011, 13, 4000.

35. Havel, V.; Sindelar, V.; ChemPlusChem 2015, 80, 1601.

36. Rivollier, J.; Thuéry, P.; Heck, M-P.; Org. Lett. 2013, 15, 480.

37. Yawer, M. A.; Havel, V.; Sindelar, V.; Angew. Chem., Int. Ed. 2015, 54, 276.

38. Havel, V.; Babiak, M.; Sindelar, V. Chem. Eur. J. 2017, 23, 8963.

39. Singh, M.; Solel, E.; Keinan, E.; Reany, O.; Chem. Eur. J. 2015, 21, 536.

40. Singh, M.; Solel, E.; Keinan, E.; Reany, O.; Chem. Eur. J. 2016, 22, 8848.

41. Solel, E.; Singh, M.; Reany, O.; Keinan, E.; Phys. Chem. Chem. Phys. 2016, 18, 13180.

42. Gerasko, O. A.; Fedin, V. P.; Russ. J. Inorg. Chem. 2011, 56, 2025.

43. Choi, K. H.; Hamilton, A. D.; Coord. Chem. Rev. 2003, 240, 101

44. Gonzalez, A. D.; Hoepfl, H.; Medrano, F.; Yatsimirsky, A. K.; J. Org. Chem. 2010, 75, 2259.

45. Chang, S. G.; Littlejohn, D.; Hu, K. Y.; Science 1987, 237, 756.

46. Evans, N. H.; Beer, P. D.; Angew. Chem., Int. Ed. 2014, 53, 11716.

47. Langton, M. J.; Robinson, S. W.; Marques, I.; Félix, V.; Beer, P. D.; Nat. Chem. 2014, 6, 1039.

48. Havel, V.; Yawer, M. A.; Sindelar, V.; Chem. Commun. 2015, 51, 4666.

49. Silab, S. D.; Doran, S.; Yagci, Y.; Chem. Rev. 2016, 116, 10212.

50. Yoon, K. B.; Kochi, J. K.; J. Am. Chem. Soc. 1988, 110, 6586.

51. Alvaro, M.; Bizzoca, G.; Ferrer, B.; Garcia, H.; de Miguel, M.; Teruel, L.; ChemPhysChem 2010, 11, 3456.

52. Alvaro, M.; Carbonell, E.; Ferrer, B.; Llabrés, X. F. X.; Garcia, H. Chemistry 2017, 13, 5106.

53. Fiala, T.; Ludvikova, L.; Heger, D.; Svec, J.; Slanina, T.; Vetrakova, L.; Babiak, M.; Necas, M.; Kulhanek, P.; Klan, P.; Sindelar, V.; J. Am. Chem. Soc. 2017, 139, 2597.

54. Wright, S. H.; Dantzler, W. H.; Physiol. Rev. 2004, 84, 987.

55. Cametti, M.; Rissanen, K.; Chem. Commun. 2009, 20, 2809.

56. Jentsch, T. J.; Maritzen, T.; Zdebik, A. A.; J. Clin. Invest. 2005, 115, 2039.

57. Delange, F.; Thyroid 1994, 4, 107.

58. Evans, N. H.; Beer, P. D.; Angew. Chem., Int. Ed. 2014, 53, 11716.

59. Patel, N.; Ramachandran, S.; Azimov, R.; Kagan, B. L.; Lal, R.; Biochemistry 2015, 54, 7320.

60. Gale, P. A.; -Tomás, R. P.; Quesada, R.; Acc. Chem. Res. 2013, 46, 2801.

61. Gale, P. A.; Acc. Chem. Res. 2011, 44, 216.

62. Lang, C.; Mohite, A.; Deng, X.; Yang, F.; Dong, Z.; Xu, J.; Liu, J.; Keinan, E.; Reany, O. Chem. Commun. 2017, 53, 7557.

63. Lehn, J. -M.; Chem. Soc. Rev. 2007, 36, 151.

64. Bohne, C.; Chem. Soc. Rev. 2014, 43, 4037.

65. Xue, M.; Yang, Y.; Chi, X.; Yan, X.; Huang, F.; Chem. Rev. 2015, 115, 7398.

66. Lehn, J.-M.; Angew. Chem., Int. Ed. Engl. 1990, 29, 1304.

67. Lindoy, L. F.; Park, K. M.; Lee, S. S.; Chem. Soc. Rev. 2013, 42, 1713.

68. Oshovsky, G. V.; Reinhoudt, D. N.; Verboom, W.; Angew. Chem., Int. Ed. 2007, 46, 2366.

69. Daze, K. D.; Pinter, T.; Beshara, C. S.; Ibraheem, A.; Minaker, S. A.; Ma, M. C. F.; Courtemanche, R. J. M.; Campbell, R. E.; Hof, F.; Chem. Sci. 2012, 3, 2695.

70. Hirst, A. R.; Roy, S.; Arora, M.; Das, A. K.; Hodson, N.; Murray, P.; Marshall, S.; Javid, N.; Sefcik, J.; Boekhoven, J.; Esch, J. H. van.; Santabarbara, S.; Hunt, N. T.; Ulijin, R. V.; Nat. Chem. 2010, 2, 1089.

71. Lehn, J.-M.; Science. 1985, 227, 849.

72. Schott, M.; Lorrmann, H.; Szczerba, W.; Beck, M.; Kurth, D. G.; Sol. Energy Mater. Sol. Cells 2014, 126, 68.

73. Havel, V.; Sindelar, V.; Necas, M.; Kaifer, A. E.; Chem. Commun. 2014, 50, 1372.

74. Avram, L.; Cohen, Y.; Rebek, J. Jr. ; Chem. Commun. 2011, 47, 5368.

75. Fiala, T.; Sindelar, V.; Supramol. Chem. 2016, 28, 810.

76. Ghosh, P.; Mermagen, O.; Schalley, C. A.; Chem. Commun. 2002, 22, 2628.

77. Li, Y.; Flood, A. H.; Angew. Chem., Int. Ed. 2008, 47, 2649.

78. Lee, S.; Chen, C. -H.; Flood, A. H.; Nat. Chem. 2013, 5, 704.

On-line version ISSN 1678-7064 Printed version ISSN 0100-4042
Qu�mica Nova
Publica��es da Sociedade Brasileira de Qu�mica
Caixa Postal: 26037 05513-970 S�o Paulo - SP
Tel/Fax: +55.11.3032.2299/+55.11.3814.3602
Free access

GN1