JBCS



17:27, sáb out 25

Acesso Aberto/TP



Nota Técnica


Aplicação de programa computacional livre em planejamento de experimentos: um tutorial
Application of free computational program in experimental design: a tutorial

Fabíola Manhas Verbi PereiraI; Edenir Rodrigues Pereira-FilhoII,*

I. Instituto de Química, Universidade Estadual Paulista, 14800-060 Araraquara - SP, Brasil
II. Departamento de Química, Universidade Federal de São Carlos, 13565-905 São Carlos - SP, Brasil

Recebido em: 24/03/2018
Aceito em: 06/06/2018
Publicado em: 28/06/2018

Endereço para correspondência

*e-mail: erpf@ufscar.br

RESUMO

This tutorial intends to show to the readers a step-by-step guide to perform a factorial design in their experiments. The examples used here cover most of doubts and questions related to teaching classes at graduation course. Free computational software was applied, as well as, codes were designed by the authors for the calculations. The complexity of each example is attached to the challenges and decisions that the experimentalist faces in its research. In addition, 24 videos were prepared to help the readers. The authors hope to foster the factorial design as an easy and helpful tool for chemists and general researchers in academia and industry.

Palavras-chave: Octave; factorial design; analysis of variance; regression model; template surface.

INTRODUÇAO

A aplicaçao de ferramentas quimiométricas relacionadas ao planejamento fatorial de experimentos é uma realidade em diversos laboratórios de pesquisa e também no setor industrial.1,2 Tais ferramentas têm contribuído para aprimorar processos de fabricaçao e de síntese, bem como na proposiçao rápida de métodos analíticos mais sensíveis e com alta frequência de amostragem.3-9 As vantagens da aplicaçao do planejamento fatorial sao inquestionáveis e amplas, podendo ser resumidas em: (1) execuçao de um número reduzido de experimentos quando comparado com o procedimento univariado convencional; (2) economia de recursos financeiros; (3) obtençao de resultados com maiores confiabilidades química e estatística; (4) possibilidade de obter um modelo matemático que permitirá a realizaçao de previsoes em condiçoes que nao foram testadas.10-25

Na literatura científica nacional e internacional é frequente encontrar relatos de inúmeras aplicaçoes, além de quase uma dezena de revisoes, livros e tutoriais sobre o assunto. 26-48 Adicionalmente, desde 2015 vários livros em língua portuguesa25,45 têm sido publicados sobre o tema, agregando mais conhecimento à produçao pioneira publicada por Barros Neto et al.48 Estes aspectos mostram a popularidade, a importância e a consolidaçao do tema. Entretanto, apesar de todos os esforços oriundos de diferentes autores brasileiros na proposiçao de experimentos didáticos para o ensino de planejamento fatorial, um tópico ainda precisa ser complementado: a utilizaçao de programas livres e de fácil acesso, além da viabilizaçao e da popularizaçao do emprego de tais ferramentas pelos usuários.49-51 Novaes et al.52 publicaram em 2017 uma revisao abordando a utilizaçao de planejamento fatorial na otimizaçao de variáveis de processo. Os autores efetuaram uma excelente compilaçao dos principais programas comerciais disponíveis e apontaram também a faixa de preços dos mesmos. Entretanto, exemplos que utilizam planejamento fatorial e programas livres sao inexistentes na literatura científica nacional e também internacional.

Assim, a principal proposta deste tutorial é apresentar a utilizaçao do programa livre Octave53 como uma ferramenta de fácil implementaçao em estudos que envolvam planejamento fatorial. Desta forma, foram propostas três rotinas computacionais direcionadas para: (1) efetuar os cálculos de efeitos em um planejamento fatorial completo e contrastes para um planejamento fracionário, (2) proposiçao de modelos de regressao de primeiro ou segundo grau e (3) visualizaçao de superfície de resposta e gráfico de contorno. Além disso, foi desenvolvido um arquivo no Microsoft Excel para inspeçao visual das superfícies de respostas geradas. A Figura 1 mostra um esquema geral para a utilizaçao deste tutorial onde sao abordadas 6 etapas que se complementam: (1) Triagem das variáveis, (2) Proposiçao de modelos, (3 e 4) Analysis of Variance (Tabela Anova), (5) Avaliaçao dos coeficientes e (6) Validaçao do modelo proposto. O esquema da Figura 1 será discutido detalhadamente nas próximas seçoes deste tutorial.

 


Figura 1. Procedimento geral composto por 6 etapas para a realizaçao e interpretaçao correta de um planejamento de experimentos

 

O programa Octave é livre podendo ser utilizado em diferentes sistemas operacionais, tais como Windows, Linux, Mac, BSD e Source, sendo possível o seu emprego em duas versoes: Comand line interface (CLI) e Guide user interface (GUI). Sao escassos os trabalhos que já empregaram esse programa na literatura com objetivos didáticos ou até mesmo científicos. Assim, esse tutorial tem como principal objetivo preencher essa lacuna por meio do uso do programa Octave com a aplicaçao de três rotinas computacionais e quatro exemplos coletados na literatura. Na apresentaçao dos exemplos também foram preparados vídeos para auxiliar o leitor na utilizaçao do programa e das ferramentas aqui ilustradas.

 

PARTE EXPERIMENTAL

Descriçao dos conjuntos de dados

Para a ilustraçao das ferramentas que sao tratadas neste tutorial foram selecionados três conjuntos de dados químicos a partir de estudos publicados no periódico científico Journal of The Brazilian Chemical Society.54-56 A autorizaçao para uso destes dados foi gentilmente cedida pela PubliSBQ. A particularidade dos artigos escolhidos está relacionada com a possibilidade de exemplificar 4 estratégias de utilizaçao de planejamento fatorial na análise de experimentos: (1) planejamento fatorial completo, (2) fracionário e planejamentos para geraçao de modelos de regressao constituídos por matrizes do tipo (3) Doehlert42 e (4) Box-Behnken.4 Os exemplos 1 e 2 estao relacionados com a etapa 1 mostrada na Figura 1 e ilustram a triagem das variáveis mais importantes para o estudo de um determinado problema. A proposta é apresentar uma sequência lógica com o aumento do grau de complexidade e de refinamento que cada conjunto de dados pode oferecer. Assim, os exemplos 3 e 4 mostram a utilizaçao das etapas de 3 a 6 da Figura 1.

O exemplo 1 aborda a necessidade em melhorar as condiçoes experimentais de um procedimento para a determinaçao de espécies de antimônio inorgânico. Três variáveis foram avaliadas com o planejamento fatorial completo de 2 níveis (23).54

Já no exemplo 2, é mostrado um planejamento fatorial fracionário de 2 níveis com o objetivo de testar a influência de 4 variáveis. A geratriz utilizada foi 1234, onde a quarta variável foi obtida pela multiplicaçao das variáveis 1, 2 e 3 (24-1). O objetivo geral foi a caracterizaçao de micropartículas quanto ao seu diâmetro médio e à distribuiçao do tamanho. 55

Para demonstrar o refinamento do resultado obtido pelo planejamento fatorial completo do exemplo 1, retornamos ao primeiro conjunto de dados,54 porém, utilizando um planejamento do tipo Doehlert. Assim, no exemplo 3 foi empregado o arquivo "template_superfície" preparado no Microsoft Excel para visualizaçao da superfície de resposta e identificaçao da melhor condiçao de trabalho. Para aqueles que nao possuem o Microsoft Excel, foi preparada uma rotina computacional chamada "super_fabi" para visualizaçao da superfície de resposta e gráfico de contorno.

O exemplo 4 mostra a utilizaçao do planejamento Box-Behnken para avaliar a conversao de álcool benzílico, tendo como resposta a ser monitorada o rendimento da formaçao de benzaldeído.56 Esse quarto exemplo contou com 4 variáveis e a melhor condiçao de trabalho proposta pelo modelo de regressao foi identificada com a ferramenta Solver disponível no Microsoft Excel e com a realizaçao de derivadas parciais no Octave ou no Excel.

Rotinas computacionais utilizadas

No desenvolvimento deste tutorial e cálculos dos exemplos utilizados, foram preparadas três rotinas computacionais no programa Octave (versao 4.2.1).53 A primeira rotina é denominada de "fabi_efeito" e tem como objetivo calcular os efeitos, a porcentagem de importância relativa de cada efeito57 e seus erros.25,58 O material suplementar (Rotina computacional fabi_efeito) mostra a rotina preparada e a mesma pode ser utilizada em planejamentos completos e também fracionários com ou sem a realizaçao de réplicas.

A segunda rotina computacional é denominada "regression2" e permite o cálculo da tabela contendo a análise de variância (Analysis of variance, Anova). Além disso, sao gerados gráficos mostrando as médias quadráticas da regressao, resíduo, erro puro e falta de ajuste, bem como os testes F (calculados e tabelados), valores de coeficientes de regressao (variaçao explicada e explicável), valores experimentais versus previstos, valores previstos versus resíduos, histograma dos resíduos e coeficientes de regressao calculados. Essa rotina computacional também é apresentada no material suplementar (Rotina computacional regression2). A terceira rotina ("super_fabi") foi preparada para mostrar superfície de resposta e gráfico de contorno dos modelos calculados.

As rotinas podem ser utilizadas também no programa computacional Matlab sem necessidade de qualquer adaptaçao.

 

RESULTADOS E DISCUSSAO

Exemplo 1: Planejamento fatorial completo

No primeiro exemplo sobre o uso de planejamento fatorial completo, os autores54 estudaram a influência de 3 variáveis (planejamento 23) na intensidade do sinal de fluorescência visando a determinaçao de espécies de antimônio. A Tabela 1 mostra os experimentos realizados, bem como as respostas obtidas. Ao todo foram executados 11 experimentos (8 experimentos mais 3 réplicas no ponto central), o objetivo era obter uma alta intensidade de fluorescência e realizar uma triagem das variáveis mais importantes (etapa 1 da Figura 1).

 

 

É recomendável que a organizaçao dos dados deva ser realizada em uma planilha no Excel, facilitando a manipulaçao dos mesmos. Alternativamente, a organizaçao dos dados pode ser efetuada no próprio Octave e oportunamente serao mostrados vídeos de como preparar os dados neste programa.

Com os experimentos descritos na Tabela 1 é possível calcular 7 efeitos: 3 principais, sendo um para cada variável de forma individual (1, 2 e 3), 3 de interaçoes secundárias (12, 13 e 23) e 1 de interaçao de terceira ordem (123). Assim, é necessário montar uma matriz (X) de dados para o cálculo desses 7 efeitos. Os efeitos 1, 2 e 3 serao calculados por meio das colunas codificadas mostradas na Tabela 1. Já os efeitos secundários e o de terceira ordem serao calculados ao multiplicar as respectivas colunas. Por exemplo, a interaçao 12 (interaçao entre as variáveis 1 e 2) será calculada ao multiplicar as colunas das variáveis 1 e 2 e assim por diante.25 Estas operaçoes podem ser facilmente efetuadas no Excel ou no próprio Octave e a matriz X formada terá as dimensoes 8:7, onde 8 representa os experimentos de 1 a 8 (Tabela 1) e 7 os efeitos que serao calculados. Os experimentos no ponto central nao precisam ser utilizados no cálculo dos efeitos.

Como os autores efetuaram 3 réplicas no ponto central (experimentos de 9 a 11 na Tabela 1) é possível calcular a variância, o erro experimental, o erro de um efeito, bem como o valor de t correspondente.48 Para o primeiro exemplo temos que:

em que é a média dos 3 experimentos no ponto central (experimentos de 9 a 11). Para o erro experimental teremos:

Como foram efetuadas 3 réplicas (n = 3), o número de graus de liberdade será 2 (n -1) e o correspondente valor de t com 95% de confiança será 4,30. Todos os exemplos desse tutorial e as rotinas computacionais preparadas utilizaram um intervalo de confiança de 95%. O erro de um efeito52 é calculado pela Equaçao 3:

em que n e k sao o número de réplicas efetuadas e o número de variáveis, respectivamente.

Para o exemplo 1 teremos:

Para proceder os cálculos, no Octave deve ser digitada a seguinte linha de comando:

[efeito, porc]=fabi_efeito(X,y,0.46,4.30);

em que X, y, 0.46 e 4.30 representam, respectivamente, a matriz X (8:7), o vetor y (8:1) com a resposta (intensidade de fluorescência), o erro de um efeito e o valor de t correspondente ao número de graus de liberdade. Os três experimentos replicados no ponto central nao precisam ser considerados. Assim, a matriz X terá 8 linhas no lugar de 11. Os parâmetros de saída (outputs) "efeito"e "porc" mostram os efeitos calculados e a porcentagem para cada um deles. Caso os experimentos nao tenham réplicas, nao será possível calcular os erros experimental e de um efeito, assim o operador deve substituir o erro de um efeito e o valor de t pelo valor zero ([efeito, porc, erro_efeito]=fabi_efeito(X,y,0, 0);).

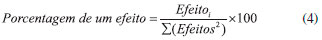
A rotina apresentará os gráficos mostrados na Figura 2. O primeiro gráfico (Porcentagem dos efeitos, Figura 2a) mostra a porcentagem que cada efeito exerce sobre o total dos efeitos57 e foi calculada por meio da Equaçao 4:

 


Figura 2. Porcentagem relativa dos efeitos calculados (a) e o gráfico de probabilidade (b) para o exemplo 1

 

É possível observar que três efeitos representam grande importância relativa quando comparados com os demais. Esses efeitos sao aqueles identificados com os números 2 (variável 2), 1 (variável 1) e 4 (interaçao 12) e apresentam, nesta ordem, maior grau de importância. Já o segundo gráfico (Gráfico de probabilidade, Figura 2b) é possível confirmar que esses 3 efeitos sao realmente os mais importantes, pois estao posicionados a certa distância do 0 no eixo x (Efeitos). A linha azul vertical mostra a posiçao do zero no eixo x e as duas linhas verticais vermelhas indicam o intervalo de confiança25,48 dos efeitos calculados por meio da Equaçao 3:

No gráfico de probabilidade é notado que os efeitos 2 (relativo à variável 2), 1 (relativo à variável 1) e 4 (relativo à interaçao 12) estao distantes do intervalo de confiança dos efeitos, delimitado pelas duas linhas verticais vermelhas. Além disso, nota-se também que o efeito da variável 3 (identificado com o número 3) e suas interaçoes 13, 23 e 123, identificados com os números 5, 6 e 7, respectivamente, nao sao importantes, estando localizadas próximas ao zero no eixo x. Assim, a variável 3 pode ser removida do planejamento fatorial, resultando entao em novas réplicas e permitindo calcular um novo valor para o erro de um efeito. Essa operaçao foi realizada e é mostrada no material suplementar (Resultados obtidos para o exemplo 1 após a remoçao da variável 3).

Como conclusao do exemplo 1, é possível notar que para obter altos sinais de fluorescência é necessário, idealmente, diminuir e aumentar as condiçoes experimentais das variáveis 1 e 2, respectivamente. Já a variável 3 foi inócua para a faixa testada de 10 a 30 min, podendo ser fixada em qualquer condiçao dentro deste intervalo.

Planejamento fatorial fracionário

O exemplo 2 mostra a aplicaçao da rotina "fabi_efeito" no cálculo de contrastes25,48 de um planejamento fatorial fracionário e está relacionada também com a etapa 1 descrita na Figura 1. A Tabela 2 mostra os experimentos efetuados e as respostas para o tamanho do diâmetro de partícula (resposta 1) e distribuiçao dos mesmos (resposta 2). O objetivo dos autores55 foi minimizar e maximizar as respostas 1 e 2, respectivamente.

 

 

Os autores efetuaram 3 réplicas no ponto central (variáveis codificadas em 0, experimentos 9 - 11) e a quarta variável foi obtida pela multiplicaçao das colunas das variáveis 1, 2 e 3, sendo a geratriz igual a 1234. Com as réplicas no ponto central é possível calcular o erro de um efeito para ambas as respostas: 0,62 e 0,059 para as respostas 1 e 2, respectivamente, como mostram as Equaçoes de 1 a 3. Com a configuraçao desse planejamento fatorial fracionário, os efeitos de primeira ordem estao confundidos com efeitos de terceira ordem e os efeitos de segunda ordem estao confundidos entre si.25,48 Com os 11 experimentos efetuados é possível calcular 7 contrastes (C): 1+234 (C1), 2+134 (C2), 3+124 (C3), 4+123 (C4), 12+34 (C5), 13+24 (C6) e 14+23 (C7).

A Figura 3 mostra os gráficos de porcentagem (Figura 3a) e de probabilidade (Figura 3b) para a primeira resposta após a utilizaçao da rotina "fabi_efeito":

 


Figura 3. Porcentagem relativa dos contrastes calculados (a) e o gráfico de probabilidade (b) para o exemplo 2

 

[efeito1, porc1]=fabi_efeito(X,y1,0.62,4.30);

Novamente, os dados de entrada (inputs) 0.62 (erro de um efeito) e 4.30 (valor de t para o erro experimental) podem ser substituídos por zero, caso nao tenham sido efetuadas réplicas. Na preparaçao da matriz X nao é necessário considerar os experimentos no ponto central.

Com os gráficos da Figura 3 é possível perceber que os contrastes mais importantes sao o 2+134 (identificado com o número 2 na Figura 3), 4+123 (número 4), 13+24 (número 6) e 14+23 (número 7). Assim, para obter menores tamanhos de partícula, é necessário utilizar as variáveis 2 e 4 nos níveis alto e baixo, respectivamente. As variáveis 1 e 3 devem estar nos níveis opostos das variáveis 4 e 2, respectivamente, ou seja, nos níveis alto (variável 1) e baixo (variável 3). Assim, este exemplo permitiu ordenar as variáveis em termos de importância, sendo que as variáveis 2 e 4 mostraram maiores contrastes que as demais sobre a resposta.

O material suplementar (Resultados para a segunda resposta do exemplo 2) mostra os gráficos obtidos para a resposta 2. Os maiores contrastes foram obtidos para a variável 4 (identificada com o número 4), o contraste 12+34 (número 5), a variável 2 (número 2) e por fim o contraste 13+24 (número 6). Para obter maior distribuiçao do tamanho de partículas é necessário utilizar a variável 4 no nível baixo, as variáveis 1 e 2 devem estar em níveis opostos, a variável 2 deve estar no nível alto (assim a variável 1 deverá estar no nível baixo) e a variável 3 deve estar no nível oposto da variável 1, ou seja, no nível alto.

Ao comparar as conclusoes para as 4 variáveis frente às duas respostas, nota-se que as variáveis 1 e 3 apresentam condiçoes contraditórias. Assim, o ponto central poderia ser o nível mais adequado para ambas, permitindo assim a obtençao de uma condiçao de compromisso para as respostas avaliadas.

Modelos de regressao

Exemplo 3

No exemplo 3 voltamos ao artigo utilizado no exemplo 1. Após os resultados apontarem que as variáveis concentraçoes de HCl e de NaBH4 foram as mais importantes (etapa 1), a próxima açao foi realizar um planejamento fatorial do tipo Doehlert no sentido de obter uma condiçao ótima de trabalho. Uma das características do planejamento fatorial do tipo Doehlert42 é a possibilidade de testar as variáveis em diferentes números de níveis. No exemplo 1, nota-se que a variável 2 (NaBH4) apresenta um efeito ligeiramente maior que a variável 1 (HCl). Assim, a concentraçao de NaBH4 foi testada em 5 níveis (de -1 a +1) e a concentraçao de HCl em 3 (de -0,866 a +0,866). Os autores poderiam ter optado também pelo planejamento fatorial composto central (etapa 2 da Figura 1), no qual o número de níveis é o mesmo para ambas as variáveis. A Tabela 3 mostra os experimentos efetuados, bem como os sinais monitorados para o analito em questao.

 

 

Com os experimentos descritos na Tabela 3, é possível calcular um modelo com 6 coeficientes: b0 (constante), b1, b2 (lineares), b11, b22 (quadráticos) e b12 (interaçao). Assim, é necessário montar uma matriz X contendo 9 linhas (os experimentos) e 6 colunas (os coeficientes). O coeficiente b0 é estabelecido por uma coluna com números 1. Já os coeficientes b1 e b2 sao as colunas codificadas das duas variáveis mostradas na Tabela 3. Os coeficientes b11 e b22 sao os termos quadráticos das variáveis 1 e 2, respectivamente e sao obtidos ao elevar ao quadrado essas duas variáveis. O coeficiente b12 é obtido ao multiplicar as colunas das variáveis 1 e 2 (Tabela 3). Para efetuar os cálculos dos coeficientes de regressao e da tabela Anova (etapas 3 e 4 da Figura 1), foi utilizada a funçao regression2 (Material suplementar) e a linha de comando foi a seguinte:

[Mod_par,Coef,Pred] = regression2(X,y,48.7,2);

em que X, y, 48.7 e 2 sao os parâmetros de entrada (inputs) do modelo compostos pela matriz X, vetor y, soma quadrática do erro puro (SQEP) e seu grau de liberdade, respectivamente. Os parâmetros de saída (outputs) da funçao regression2 sao a tabela Anova (Mod_par), os coeficientes calculados (Coef) e os valores previstos pelo modelo (Pred). A SQEP foi obtida por meio das réplicas efetuadas no ponto central:

em que xi e sao as réplicas efetuadas no ponto central e a média dos mesmos, respectivamente.

A rotina "regression2" mostra inicialmente 4 gráficos que sao apresentados na Figura 4. O primeiro gráfico (Figura 4a) mostra as médias quadráticas da regressao (MQR, coluna verde), resíduo (MQr, coluna amarela), erro puro (MQEP, coluna vermelha) e falta de ajuste (MQFaJ, coluna rosa). Os números inseridos nas colunas da Figura 4a mostram os valores das médias quadráticas. No caso específico da MQr e MQFaJ sao mostrados também os valores de t tabelado com 95% de confiança. A situaçao desejável é que a MQR seja muito maior que a MQr. Idealmente, a razao entre MQR e MRr deveria ser alto para afirmar que o modelo calculado possui uma adequada condiçao estatística, permitindo a sua utilizaçao para previsoes.48 O cálculo desta razao representa a variância do modelo, em que os valores de Fcalculado e Ftabelado sao comparados. Assim, esse parâmetro é uma das verificaçoes a serem feitas por meio da tabela Anova (etapa 3 da Figura 1). Para o caso específico do exemplo 3, o valor de F foi da ordem de 400. O valor de F tabelado com 5 (MQR) e 3 (MQr) graus de liberdade é 9,013 com 95% de confiança e a razao entre o valor calculado e o tabelado é superior a 40. Idealmente essa razao deveria ser superior a 10. O segundo gráfico da Figura 4 mostra esses resultados por meio das colunas azuis (Figura 4b). A terceira coluna azul mostra a razao entre os valores de F (Fcalculado/Ftabelado = 400/9 = cerca de 40). Nessa coluna foi colocada uma linha horizontal vermelha no valor 10 para que o experimentador tenha uma impressao visual da qualidade do modelo.

 


Figura 4. Gráficos dos valores de médias quadráticas (a), teste F para MQR e MQr (b), teste F para MQFaJ e MQEP (c) e variaçao explicada (R2) e explicável (R2max) (d) para o exemplo 3

 

As primeiras impressoes levam a concluir que o modelo calculado apresenta uma boa regressao. Entretanto, é necessário verificar também se o mesmo apresenta ou nao falta de ajuste. Essa observaçao é ilustrada na etapa 4 da Figura 1.

Assim, ao dividir a MQFaJ pela MQEP é obtido um valor de F da ordem de 17. Esse valor calculado deve ser comparado com aquele tabelado. O gráfico com colunas vermelhas da Figura 4 mostra os valores de F calculado e tabelado e também a razao entre ambos (Figura 4c). É possível notar que o valor calculado é inferior ao tabelado com 95% de confiança. Esse gráfico mostra também que o modelo calculado nao apresenta falta de ajuste, pois os valores de MQFaJ e MQEP se confundem estatisticamente (F calculado < F tabelado). A terceira coluna vermelha mostra a razao entre os valores de F (Fcalculado/Ftabelado = 17/19 = inferior a 1). A linha horizontal vermelha nesta coluna foi colocada no valor 1 para auxiliar o experimentador na verificaçao da falta de ajuste ou nao do modelo.

Por fim, o quarto gráfico da Figura 4 mostra os valores de variaçao explicada (R2) e a máxima variaçao explicável (R2max)25 (Figura 4d). A situaçao ideal é que ambos sejam o mais próximo de 1, o que de fato está ocorrendo, visto que ambas as colunas estao próximas às linhas vermelhas horizontais que indicam o valor 1. Essas informaçoes podem ser visualizadas também na matriz Mod_par que é gerada pela rotina "regression2".

Como o modelo calculado nao apresenta evidências de falta de ajuste, é possível utilizar a MQr como variância para os 6 coeficientes calculados. Além disso, é necessário informar à rotina computacional o valor de t com n-1 graus de liberdade da MQr. No caso específico do exemplo 3 esses valores serao: 161 e 4,30, respectivamente (ver Figura 4a).

Após a inserçao dessas informaçoes sao mostrados mais três gráficos, que sao apresentados na Figura 5. O primeiro gráfico (Figura 5a) mostra o valor experimental versus o previsto para a propriedade que está sendo modelada (círculos). Além disso, os símbolos (+) e (-) na Figura 5a mostram os valores quando os coeficientes foram somados e subtraídos ao intervalo de confiança, respectivamente. Assim, o leitor pode ter uma percepçao sobre a faixa de valores previstos para um determinado experimento. O segundo gráfico (Figura 5b) mostra os valores previstos versus o resíduo e o histograma dos resíduos. A situaçao ideal é que os resíduos estejam distribuídos de forma aleatória e próximos de zero. O último gráfico da Figura 5 mostra os coeficientes de regressao (Figura 5c) calculados (triângulos invertidos) e o intervalo de confiança (sinais de + nas cores azul e vermelho). Percebe-se que o intervalo de confiança do sexto coeficiente (b12) compreende o valor zero, sendo considerado nao significativo ao nível de confiança de 95%. Para visualizar os coeficientes com mais detalhes basta digitar "Coef" na janela de comandos do Octave, na qual é mostrada uma matriz com 6 linhas (os 6 coeficientes) e 4 colunas para: os coeficientes, os coeficientes subtraídos do intervalo de confiança, os coeficientes somados ao intervalo de confiança e o intervalo de confiança.

 


Figura 5. Gráficos dos valores experimental versus previsto (a), previsto versus resíduo e histograma dos resíduos (b) e coeficientes de regressao (c) para o exemplo 3

 

Como o coeficiente b12 nao é significativo, é necessário recalcular o modelo58 utilizando apenas os coeficientes válidos. Entretanto, é necessário visualizar se novas réplicas serao formadas após a eliminaçao do coeficiente insignificante. No caso específico do exemplo 3 nao foram formadas novas réplicas e o seguinte comando deve ser dado no Octave:

[Mod_par,Coef,Pred] = regression2(X(:,1:5),y,48.7,2);

Veja que o coeficiente de número 6 (b12) foi omitido. O material suplementar (Resultados para o exemplo 3 recalculado) mostra os gráficos gerados para o modelo recalculado. O modelo apresentou uma leve falta de ajuste, mas nesse caso foi ainda utilizada a MQr para calcular a variância dos coeficientes. Os coeficientes válidos com 95% de confiança foram:

Ao modelo obtido pode ser aplicada a derivada parcial para calcular a regiao ótima de trabalho ou ainda pode ser visualizada no gráfico de superfície de resposta. A Figura 6 mostra a superfície de resposta obtida no arquivo "template_superfície" do Excel e nota-se uma regiao de trabalho que permite obter sinais de fluorescência mais intensos (Figura 6a).

 


Figura 6. Superfícies de respostas (a, b, c, e) e gráficos de contorno (d, f) para o modelo gerado pelo exemplo 3

 

Esta regiao pode ser melhor visualizada ao apagar os valores relativos à mesma no template_superfície. Essa operaçao irá gerar um efeito visual no gráfico de superfície de resposta que é ilustrado também na Figura 6b. A regiao ótima de trabalho após aplicar a derivada parcial é 3,4 mol/L para o HCl (v1) e 1,3% m/v para o NaBH4. Nesta condiçao, o sinal de fluorescência previsto é da ordem de 790. Os autores do trabalho do exemplo 3 indicaram uma regiao de ótimo muito próxima daquela calculada: 3,07 e 1,24 para o HCl e NaBH4, respectivamente. Nas Figuras 6c a 6f sao mostrados também estes dois pontos por meio das superfícies e dos gráficos de contorno.

Alternativamente, a superfície de resposta pode ser calculada utilizando a funçao "super_fabi" que foi preparada no Octave. O material suplementar mostra o código da funçao e a forma como deve ser utilizada está detalhada por meio de vídeo.

Exemplo 4

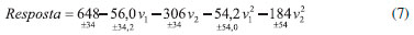
O exemplo 456 mostra a utilizaçao de um planejamento Box-Behnken (etapa 2 da Figura 1). Os autores investigaram o comportamento de 4 variáveis no rendimento de benzaldeído. A Tabela 4 mostra os 29 experimentos efetuados, bem como a resposta obtida para cada um.

 

 

O objetivo dos autores foi obter altos valores para a resposta e com o planejamento fatorial em questao é possível calcular 15 coeficientes: b0 (constante), b1, b2, b3, b4 (coeficientes lineares para cada variável), b11, b22, b33, b44 (coeficientes quadráticos para cada variável), b12, b13, b14, b23, b24, b34 (coeficientes de interaçao de segunda ordem para as variáveis). Os experimentos de 25 a 29 representam as 5 réplicas no ponto central para calcular a SQEP (ver Equaçao 6).

O material suplementar (Primeiro modelo calculado) mostra os gráficos gerados ao calcular o modelo e o mesmo nao apresentou falta de ajuste:

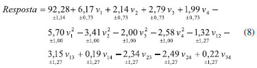
O primeiro modelo estabelecido mostra que dois coeficientes nao sao significativos ao nível de confiança de 95%: b14 (0,19 ± 1,27, décimo segundo coeficiente) e b34 (0,22 ± 1,27, décimo quinto coeficiente). A retirada desses dois coeficientes nao permitiu a formaçao de novas réplicas. O modelo foi recalculado na ausência desses coeficientes e os gráficos resultantes sao mostrados no Material Suplementar (Modelo recalculado).

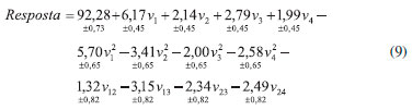
O modelo final gerado apresentou os seguintes coeficientes válidos:

Por meio da Equaçao 9 nota-se que todos os coeficientes sao significativos ao nível de confiança de 95%. Para identificar a melhor condiçao de trabalho foi utilizada a ferramenta Solver59 disponível no Microsoft Excel. Com o Solver foram testados dois métodos para soluçao do problema: o Gradaçao Reduzida Generalizada (GRG) Nao Linear e o Evolutionary. Além disso, pode ser aplicada também a derivada parcial. Os cálculos da derivada parcial sao mostrados no Octave e o material suplementar (Cálculo da derivada parcial) mostra a realizaçao dos mesmos com o estabelecimento das matrizes.

Os resultados obtidos sao mostrados na Tabela 5. Com a utilizaçao do Solver é necessário estabelecer níveis máximos e mínimos para cada uma das variáveis. No caso específico do exemplo 4, a condiçao ideal para as 4 variáveis deve estar entre -1 e +1 (valores codificados) e representam o domínio experimental testado. A Tabela 5 mostra também a melhor condiçao operacional identificada pelos autores do trabalho. Nota-se que as duas estratégias de resoluçao da Equaçao 9 (Solver e derivada parcial) permitem obter resultados muito próximos.

 

 

CONCLUSOES

A Tabela 6 mostra uma lista dos vídeos elaborados para melhor detalhamento dos cálculos efetuados neste tutorial, bem como, o uso das ferramentas desenvolvidas. Cada exemplo apresenta vídeos curtos que permitem que o leitor acompanhe todas as etapas de utilizaçao do material proposto. No link abaixo é possível efetuar o download dos vídeos, bem como das rotinas computacionais "fabi_efeito", "regression2", "super_fabi" e do "template_superfície": https://www.dropbox.com/sh/aiuvutcknbch5te/AAC-6Bef2WUsJZ-LJP2imh_Ea?dl=0

 

 

O material desenvolvido poderá ser aplicável a diversos seguimentos, tais como Quality by design (QbD), Process analytical technology (PAT), planejamento de misturas, e também àqueles que envolvam múltiplas respostas (desejabilidade).60,61

Além disso, estas ferramentas podem ser empregadas em métodos da química verde,62 no cálculo de incertezas,63 e também em normas de diversas agências regulatórias, tais como o Instituto Nacional de Metrologia, Qualidade e Tecnologia (Inmetro) e a Agência Nacional de Vigilância Sanitária (Anvisa).

 

AGRADECIMENTOS

Os autores sao gratos à Fundaçao de Amparo à Pesquisa do Estado de Sao Paulo (FAPESP, processos 2016/00779-6, 2017/05550-0 e 2016/01513-0) e ao Conselho Nacional de Desenvolvimento Científico e Tecnológico (CNPq, processos 401074/2014-5 e 305637/2015-0). Os autores expressam gratidao à PubliSBQ por permitir o uso dos exemplos em caráter ilustrativo neste tutorial.

 

MATERIAL SUPLEMENTAR

O Material Suplementar está disponível em http://quimicanova.sbq.org.br, em formato pdf com acesso livre. Esse material apresenta os seguintes itens:

 

REFERENCIAS

1. Seasholtz, M. B.; Chemom. Intell. Lab. Syst. 1999, 45, 55.

2. Oberg, T.; J. Chem. Educ. 2006, 83, 1178.

3. Teófilo, R. F.; Reis, E. L.; Reis, C.; Silva, G. A.; Kubota, L. T.; J. Braz. Chem. Soc. 2004, 15, 865.

4. Costa, L. M.; Ferreira, S. L. C.; Nogueira, A. R. A.; Nóbrega, J. A.; J. Braz. Chem. Soc. 2005, 16, 1269.

5. Polonini, H. C.; Oliveira, M. A. L.; Ferreira, A. O.; Raposo, N. R. B.; Grossi, L. N.; Brandao, M. A. F.; J. Braz. Chem. Soc. 2011, 22, 1263.

6. Gontijo, E. S. J.; Oliveira, F. S. D.; Fernandes, M. L.; Silva, G. A.; Roeser, H. M. P.; Friese, K.; J. Braz. Chem. Soc. 2014, 25, 208.

7. Pereira-Filho, E. R.; Poppi, R. J.; Arruda, M. A. Z.; Quim. Nova 2002, 25, 246.

8. Silva, J. A.; Damasceno, B. P. G. L.; Silva, F. L. H.; Madruga, M. S.; Santana, D. P.; Quim. Nova 2008, 31, 1073.

9. Vicentini, F. C.; Figueiredo-Filho, L. C. S.; Janegitz, B. C.; Santiago, A.; Pereira-Filho, E. R.; Fatibello-Filho, O.; Quim. Nova 2011, 34, 825.

10. Silva, J. B. P.; J. Braz. Chem. Soc. 2000, 11, 219.

11. Bortoloti, J. A.; Andrade, J. C.; Bruns, R. E.; J. Braz. Chem. Soc. 2004, 15, 241.

12. Snetsinger, P.; Alkhatib, E.; J. Chem. Educ. 2018, 95, 636.

13. Smith, R. B.; Billingham Jr.; J. Chem. Educ. 1968, 45, 113.

14. Norcross, B. E.; Clement, G.; Weinstein, M.; J. Chem. Educ. 1969, 46, 694.

15. Ryswyk, H. V.; Van Hecke, G. R.; J. Chem. Educ. 1991, 68, 878.

16. Oles, P. J.; J. Chem. Educ. 1998, 75, 357.

17. Lang, P. L.; Miller, B. I.; Nowak, A. T.; J. Chem. Educ. 2006, 83, 280.

18. Bouzidi, N.; Gozzi, C.; J. Chem. Educ. 2008, 85, 1544.

19. Krawczyk, T.; Slupska, R.; Baj, S.; J. Chem. Educ. 2015, 92, 317.

20. Oliveira, R. R.; Neves, L. S.; Lima, K. M. G.; J. Chem. Educ. 2012, 89, 1566.

21. Liguori, L.; J. Chem. Educ. 2017, 94, 465.

22. Colombo, R.; Yariwake, J. H.; Lanza, M. R. V.; Quim. Nova 2014, 37, 535.

23. Meftah, M. E.; Bigan, M.; Blondeau, D.; Chem. Educator 2003, 8, 318.

24. Stolzberg, R. J.; Chem. Educator 2001, 6, 291.

25. Pereira Filho, E. R.; Planejamento fatorial em química: maximizando a obtençao de resultados, Edufscar: Sao Carlos, 2015.

26. Ferreira, S. L. C.; Bruns, R. E.; Ferreira, H. S.; Matos, G. D.; David, J. M.; Brandao, G. C.; da Silva, E. G. P.; Portugal, L. A.; dos Reis, P. S.; Souza, A. S.; dos Santos, W. N. L.; Anal. Chim. Acta 2007, 597, 179.

27. Leardi, R.; Anal. Chim. Acta 2009, 652, 161.

28. Ferreira, S. L. C.; Korn, M. G. A.; Ferreira, H. S.; Silva, E. G. P.; Araújo, R. G. O.; Amorim, F. A. C.; Souza, A. S.; Macedo, S. M.; Lima, D. C.; Jesus, R. M.; Appl. Spectrosc. Rev. 2007, 42, 475.

29. Sundberg, R.; Chemometr. Intell. Lab. Syst. 1994, 24, 1.

30. Lundstedt, T.; Seifert, E.; Abramo, L.; Thelin, B.; Nystrom, A.; Pettersen, J.; Bergman, R.; Chemometr. Intell. Lab. Syst. 1998, 42, 3.

31. Hanrahan, G.; Lu, K.; Crit. Rev. Anal. Chem. 2006, 36, 3.

32. Nunes, C. A.; Freitas, M. P.; Pinheiro, A. C. M.; Bastos, S. C.; J. Braz. Chem. Soc. 2012, 23, 2003.

33. Langsrud, O.; Ellekjaer, M. R.; Naes, T.; J. Chemometr. 1994, 8, 205.

34. Ferreira, S. L. C.; Bruns, R. E.; Silva, E. G. P.; Santos, W. N. L.; Quintella, C. M.; David, J. M.; Andrade, J. B.; Breitkreitz, M. C.; Jardim, I. C. S. F.; Barros Neto, B.; J. Chromatogr. A 2007, 1158, 2.

35. Hibbert, D. B.; J. Chromatogr. B 2012, 910, 2.

36. Strange, R. S.; J. Chem. Educ. 1990, 67, 113.

37. Tarley, C. R. T.; Silveira, G.; Santos, W. N. L.; Matos, G. D.; Silva, E. G. P.; Bezerra, M. A.; Miró, M.; Ferreira, S. L. C.; Microchem. J. 2009, 92, 58.

38. Novaes, C. G.; Bezerra, M. A.; Silva, E. G. P.; Santos, A. M. P.; Romao, I. L. S.; Santos Neto, J. H.; Microchem. J. 2016, 128, 331.

39. Dejaegher, B.; Heyden, Y. V.; J. Pharmaceut. Biomed. 2011, 56, 141.

40. Sahu, P. K.; Ramisetti, N. R.; Cecchi, T.; Swain, S.; Patro, C. S.; Panda, J.; J. Pharmaceut. Biomed. 2018, 147, 590.

41. Barros Neto, B.; Scarminio, I. S.; Bruns, R. E.; Quim. Nova 2006, 29, 1401.

42. Ferreira, S. L. C.; Santos, W. N. L.; Quintella, C. M.; Barros Neto, B.; Bosque-Sendra, J. M.; Talanta 2004, 63, 1061.

43. Bezerra, M. A.; Santelli, R. E.; Oliveira, E. P.; Villar, L. S.; Escaleira, L. A.; Talanta 2008, 76, 965.

44. Candioti, L. V.; Zan, M. M. D.; Cámara, M. S.; Goicoechea, H. C.; Talanta 2014, 124, 123.

45. Ferreira, S. L. C.; Introduçao às técnicas de planejamento de experimentos, Vento Leste: Salvador, 2015.

46. Box, G. E. P.; Hunter, J. S.; Hunter, W. G.; Statistics for experimenters design, innovation, and discovery, Wiley: Hoboken, 2005.

47. Myers, R. H.; Montgomery, D. C.; Anderson-Cook, C. M.; Response surface methodology process and product optimization using designed experiments, Wiley: Hoboken, 2009.

48. Barros Neto, B.; Scarminio, I. S.; Bruns, R. E.; Como fazer experimentos, Bookman: Porto Alegre, 2010.

49. Teófilo, R. F.; Ferreira, M. M. C.; Quim. Nova 2006, 29, 338.

50. Breitkreitz, M. C.; Souza, A. M.; Poppi, R. J.; Quim. Nova 2014, 37, 564.

51. Pereira-Filho, E. R.; Pereira, F. M. V.; Lemos, S. G.; Chem. Educator 2009, 14, 200.

52. Novaes, C. G.; Yamaki, R. T.; Paula, V. F.; Nascimento Jr.; B. B.; Barreto, J. A.; Valasques, G. S.; Bezerra, M. A.; Rev. Virtual Quim. 2017, 9, 1184.

53. http://www.octave.org, acessada em junho 2018.

54. Santos, G. S.; Silva, L. O. B., Santos Júnior, A. F.; Silva, E. G. P., Santos, W. N. L.; J. Braz. Chem. Soc. 2018, 29, 185.

55. Morais, W. A.; Barros Neto, B., Cavalcanti, I. M. F.; Xavier Junior, F. H., Magalhaes, N. S. S.; Maciel, M. A. M.; J. Braz. Chem. Soc. 2017, 28, 1494.

56. Xiaoxiang, H.; Yingying, K.; Chunhua, X.; Xiujuan, T.; Qing, C.; Kuiwu, W.; Chin-Te, H.; Li-Lic, L.; Shang-Bin, L.; J. Braz. Chem. Soc. 2018, 29, 88.

57. Zaviska, F.; Drogui, P.; Blais, J-F.; Mercier, G.; Lafrance, P.; J. Hazard. Mater. 2011, 185, 1499.

58. Leonardi, D.; Lamas, M. C.; Olivieri, A. C.; J. Pharmaceut. Biomed. 2008, 48, 802.

59. http://www.solver.com

60. Costa, N. R.; Lourenço, J.; Pereira, Z. L.; Chemometr. Intell. Lab. Syst. 2011, 107, 234.

61. Guerra, R. R. G.; Martins, F. C. P.; Lima, C. G. S.; Gonçalves, R. H.; Leite, E. R.; Pereira-Filho, E. R.; Schwab, R. S.; Tetrahedron Lett. 2017, 58, 903.

62. Gozálvez, J. M.; García-Díaz, J. C.; J. Chem. Educ. 2006, 83, 647.

63. Chui, Q. S. H.; J. Braz. Chem. Soc. 2007, 18, 424.

On-line version ISSN 1678-7064 Printed version ISSN 0100-4042
Qu�mica Nova
Publica��es da Sociedade Brasileira de Qu�mica
Caixa Postal: 26037 05513-970 S�o Paulo - SP
Tel/Fax: +55.11.3032.2299/+55.11.3814.3602
Free access

GN1