JBCS



15:06, sáb out 25

Acesso Aberto/TP



Revisão


Recentes avanços em reações orgânicas catalisadas por níquel
Recent advances in organic reactions catalyzed by nickel

Danielle L. J. Pinheiro; Giovanni W. Amarante*

Departamento de Química, Universidade Federal de Juiz de Fora, Cidade Universitária, São Pedro, 36036-900, Juiz de Fora - MG, Brasil

Recebido em: 17/04/2018
Aceito em: 18/07/2018
Publicado em: 31/07/2018

Endereço para correspondência

*e-mail: giovanni.amarante@ufjf.edu.br

RESUMO

Nickel complexes have been widely used as catalysts in organic reactions. Their low price compared to Pd and Pt complexes, in addition to their high reactivity and affinity to ϖ systems; the possibility to access different oxidation states and the difficulty to undergo beta-hydride elimination are important features that have attracted the attention of chemists in recent decades. Furthermore, some drawbacks observed with Pd catalysis have been solved by Ni catalysis. These Ni based-catalysts have been used in different reaction manifolds to promote challenging transformations. Herein, recent work using nickel catalysts in different types of reactions, such as carbonylations, carboxylations, C-H activations and dual catalytic systems are described. Critical mechanistic investigations, as well as synthetic applications are also covered.

Palavras-chave: nickel; homogeneous catalysis; organic reactions.

INTRODUÇAO

Aspectos históricos

O níquel foi descoberto em 1751 e o seu nome foi derivado do alemao Kupfernickel, pois acreditava-se que o minério de níquel continha cobre. Porém, após sua extraçao, nao foi possível observar o cobre, entao o nomearam de níquel, o malvado demônio.1

Em 1890, Mond observou um diferente comportamento no níquel: o metal reagia com CO a temperatura ambiente, formando o Ni(CO)4, um composto extremamente tóxico, líquido, com baixo ponto de ebuliçao. Esse composto foi muito utilizado para purificar o níquel, dos demais metais.1

O ganhador do prêmio Nobel, Paul Sabatier, em 1922, fez várias observaçoes sobre o níquel e até o comparou a um "cavalo espirituoso", por ser delicado, difícil de controlar e incapaz de sustentar um trabalho. Porém, ao mesmo tempo, descrevia que ao modificar as condiçoes de preparo do catalisador, poderia ser produzido um outro "tipo de níquel" domável, e esse níquel poderia fazer todo tipo de trabalho e manter sua atividade por muito tempo. Sabatier desenvolveu a primeira hidrogenaçao de etileno utilizando o níquel. Outro cientista que muito contribuiu para a química de organoníquel foi Wilke. Ele explorou a estrutura e reatividade de diferentes complexos como por exemplo o Ni(COD)2 e investigou reaçoes de oligomerizaçao de olefinas.1

O desenvolvimento de reaçoes de acoplamento cruzado, reaçoes com alcenos e alcinos, alilaçao nucleofílica, oligomerizaçao, cicloisomerizaçao e acoplamento redutivo catalisadas por níquel foi extensamente explorada na década de 70.2

Aspectos gerais sobre o Níquel

O níquel, muitas vezes, é visto apenas um substituto mais barato em relaçao ao paládio na catálise por metais de transiçao. Afinal de contas, o uso do paládio como catalisador em reaçao de acoplamento cruzado já foi premiado com o prêmio Nobel de 2010 e tem sido amplamente utilizado. Apesar disso, o número de publicaçoes envolvendo catálises por níquel tem crescido cada vez mais em reaçoes de acoplamento cruzado de eletrófilos (haletos e pseudo haletos) e com carbonos nucleofílicos (compostos organometálicos).2

As espécies de níquel demonstram uma excepcional habilidade de se coordenar a moléculas orgânicas insaturadas nas reaçoes. Essa coordenaçao com o centro do níquel o "ativa" e o torna reativo. Outra habilidade do níquel, recentemente revelada com o desenvolvimento da nanotecnologia, é a mediaçao de transformaçoes de sistemas eletrônicos π. Nos últimos anos, mais de 40000 artigos foram publicados e tem demonstrado o potencial da catálise por níquel.2

A formaçao e a quebra de ligaçoes C-C requerem ferramentas especiais, como por exemplo, a catálise por metais de transiçao. Isso se deve a forte ligaçao que há entre os carbonos. A ligaçao fraca formada entre metal e carbono (M-C) fornece a base necessária para a transformaçao catalítica. A energia de dissociaçao da ligaçao C-C muda de 87,4 kcal mol-1 para valores mais baixos entre 38 e 66,5 kcal mol-1 para M-C (Tabela 1).2

 

 

Como pode ser observado pela tabela entre os metais do grupo 10, a força da ligaçao muda na ordem C-Ni < C-Pd < C-Pt. Dessa forma, explica-se sua alta reatividade em relaçao a platina. Por um lado, é uma vantagem sua grande reatividade, por outro, o sistema catalítico pode se tornar difícil de controlar.2

O Níquel é um metal de transiçao relativamente eletropositivo, dessa forma, a adiçao oxidativa, que resulta na perda de densidade eletrônica em torno do níquel, tende a ocorrer relativamente fácil. Como o níquel é mais eletropositivo do que o paládio, a adiçao oxidativa, que ocorre no acoplamento com eletrófilos, tende a ocorrer consideravelmente mais fácil com a catálise de Ni do que por Pd, como em derivados de fenóis3, nitrilas aromáticas4 e até mesmo fluoretos de arila5.1

Porém, consequentemente, a eliminaçao redutiva ocorre mais facilmente nas reaçoes catalisadas por Pd, por ele ser mais eletronegativo do que o Ni, e facilitar a eliminaçao.

O número de oxidaçao do níquel também é mais diversificado do que o do paládio. A maioria das reaçoes catalisadas por esse metal tem como número de oxidaçao Pd(0)/Pd(II) em seu ciclo catalítico, e é mais frequente encontrá-lo em um mecanismo iônico (ou seja, nao radicalar). Da mesma forma, ciclos catalíticos com espécies Ni(0)/Ni(II) sao amplamente encontrados, porém, a fácil acessibilidade a estados de oxidaçao de Ni(I) e Ni(III) permite diferentes reatividades e mecanismos radicalares. Assim, é possível observar muitas reaçoes baseadas em Ni(I)/Ni(III), Ni(0)/Ni(II)/Ni(I), e até mesmo ciclos onde o níquel permanece com Ni(I) durante todo o ciclo catalítico (Figura 1).2

 


Figura 1. Etapas das reaçoes com seus respectivos números de oxidaçao encontradas na catálise de Níquel

 

A β-eliminaçao de hidreto tende a ser mais devagar com o níquel, quando comparado ao paládio, pois a barreira de energia da rotaçao da ligaçao Ni-C anterior a β-eliminaçao de hidreto é significantemente mais alta para o níquel do que para as espécies de paládio, devido a menor eletronegatividade do níquel. (Figura 2).1

 


Figura 2. Diferenças entre Níquel e Paládio

 

Além disso, o preço do NiCl2 é de 0,376 reais mmol-16, enquanto o PdCl2 é de 21,784 reais/mmol6 e o de PtCl2 é de 120,937 reais mmol-1 6.2 O níquel também tem um pequeno raio atômico7 de 1,24 Å, enquanto o do paládio é de 1,39 Å, e o comprimento da ligaçao8 Ni-ligante é relativamente curto quando comparada com a do Pd-ligante, por exemplo, C-Ni é de 1,82 Å, enquanto a C-Pd é de 2,27 Å (Figura 2).

Diante de todas essas características, os pesquisadores têm desenvolvido diversas novas reaçoes envolvendo a catálise com níquel. Esse artigo de revisao abordará apenas alguns exemplos recentes (ente 2016 e 2018) relacionados a catálise por níquel em reaçoes de ativaçao C-H, carboxilaçao, carbonilaçao e sistemas de catálise dupla entre Ni/fotocatalisadores, por serem assuntos atuais, que podem contribuir de maneira positiva para a sociedade química.

 

REAÇOES DE ACOPLAMENTO

Dentre as diversas descobertas na área científica nos últimos tempos, o uso do níquel como catalisador para reaçoes de acoplamento cruzado, foi muito importante, sendo uma das mais poderosas ferramentas desse tipo de reaçao, que se mostrou bastante efetiva, principalmente nas reaçoes de Suzuki-Myaura e Negishi.1 Porém, seu uso nao ficou restrito a essas aplicaçoes, novos sistemas utilizando a catálise por níquel9 foram desenvolvidas como pode ser observada a seguir.

Reaçoes de carbonilaçao

Skrydstrup e colaboradores, recentemente descreveram uma metodologia para a reaçao de 11C-acetilaçao de N-terminais e N-lisinas em peptídeos através de um acoplamento carbonilativo catalisado por paládio, empregando [11C]CO (Esquema 1). Porém, neste caso, apenas produtos acetilados com substituintes metilas foram obtidos. Complexos de paládio com substituintes alquílicos contendo cadeias carbônicas mais longas nao foram utilizadas. Talvez, por falta de estabilidade desses complexos, visto que estes sofrem β-eliminaçao de hidreto facilmente.10

 


Esquema 1. Estratégia para N-11C-acetilaçao de aminas terminais e lisinas residuais

 

Porém, pouco depois, Skrydstrup descreveu uma metodologia de carbonilaçao similar, utilizando complexos de níquel.11,12 O uso de níquel permitiu a obtençao de complexos acilados com cadeias maiores, com intuito de realizar o primeiro acoplamento carbonilativo entre nucleófilos e eletrófilos sp3. Os complexos foram utilizados devido à forte ligaçao dos três nitrogênios ligados ao metal central, prevenindo, assim, ligaçoes de múltiplas unidades de CO com alguns intermediários reativos, além de impedir a β-eliminaçao de hidreto, que ocorre facilmente com o paládio.

Assim, foi reportado o uso desses complexos para o acoplamento cruzado de Negishi, entre reagentes de zinco com brometos de benzila, em atmosfera de CO, pelo uso do sistema de duas câmaras. A viabilidade dessa metodologia é um desafio, já que é um grande problema encontrado nas reaçoes de carbonilaçao catalisadas por paládio, devido a inerente tendência dos complexos alquila de paládio de sofrerem β-eliminaçao de hidreto.13

Primeiramente foi investigado uma série de complexos de níquel(II) e sua habilidade para mediar uma sequência de etapas de reaçoes (Esquema 2). Essas etapas consistem em transmetalaçao com reagentes organometálicos, seguido pela inserçao migratória de 13CO para a produçao de espécies de acil-níquel. O NiL1 foi selecionado como o mais promissor. Para converter esses experimentos estequiométricos em um protocolo catalítico, uma série de reaçoes entre esse ligante e o acoplamento carbonilativo entre BnBr e NPr-ZnBr foi realizada. Para esse propósito foi utilizado o sistema de duas câmaras, onde o gás CO é gerado em velocidade controlada de um sólido precursor, de modo a limitar a exposiçao ao sistema catalítico por excesso de CO. Após otimizar as condiçoes reacionais, um escopo de substratos foi avaliado (Esquema 3). Em geral, diversas funcionalidades no anel aromático do brometo de benzila foram bem toleradas, sem precisar alterar as condiçoes reacionais, gerando cetonas com rendimentos que variaram entre boas e excelentes (entre 45 e 94%). Compostos isotopicamente marcados com 13C foram obtidos. Alguns reagentes de alquil zinco também foram testados no acoplamento com brometo de 4-terc-butilbenzil sobre as mesmas condiçoes, com um aumento de NiL1. Os produtos puderam ser obtidos com rendimentos que variaram entre 47-90%.

 


Esquema 2. Sequencia reacional estequiométrica em CO da reaçao de carbonilaçao catalisada por níquel

 

 


Esquema 3. Reaçoes de acoplamento carbonilativo entre reagentes alquílicos de zinco com brometos benzílicos catalisados por complexos de níquel

 

Um mecanismo foi proposto para a reaçao (Esquema 4). O ciclo se inicia com a transmetalaçao do complexo de níquel 14, gerando o complexo alquílico de níquel(II) 15, o qual sofre inserçao de CO para obter o correspondente complexo acil de níquel(II) 16. A transferência de um único elétron (SET) do eletrófilo para o complexo 16 gera o complexo de níquel(III) 17 e um radical benzílico. A recombinaçao do radical com uma segunda espécie acil de níquel(II) 16, gera o formal complexo acil alquila de níquel(III) 18, o qual sofre eliminaçao redutiva, gerando o produto, enquanto forma espécies de níquel(I) 19. A comproporcionaçao com 17 gera os dois complexos de níquel(II) 14 e 16, que podem recomeçar o ciclo catalítico. Alguns experimentos foram ainda executados, suportando dessa forma o mecanismo proposto.

 


Esquema 4. Ciclo catalítico da reaçao de acoplamento carbonilativo entre reagentes alquílicos de zinco com brometos benzílicos catalisadas por complexos de níquel

 

Reaçoes de carboxilaçao catalisadas por níquel

Atualmente a comunidade química tem voltado suas atençoes para o desenvolvimento de metodologias sintéticas que envolvem o uso de CO2 devido ao impacto negativo gerado por esse gás ao ambiente. O CO2 é um reagente ideal pois é relativamente atóxico e infinitamente abundante. O grande desafio para o uso de dióxido de carbono é sua alta estabilidade cinética e termodinâmica. Porém, pesquisadores tem investigado métodos baseados na catálise de metais de transiçao para superar essas adversidades. O uso do níquel como catalisador nas reaçoes de carboxilaçao14, vem sendo explorados nos últimos anos por alguns grupos de pesquisa, como exemplo, o grupo de Martin15 e de Tsuji16.17

Um mecanismo geral para as reaçoes de carboxilaçao catalisadas por níquel pode ser proposto, mesmo que o uso de diferentes ligantes em cada sistema possa influenciar um pouco (Esquema 5). O ciclo catalítico inicia-se com a reduçao do complexo de Ni(II) a Ni(0) 20, seguido por uma transferência de um único elétron (SET) do haleto de alquila, para formar o transitório radical alquila 21 e espécies de haleto de Ni(I) 22. A recombinaçao e subsequente reduçao pelo manganês(0), produz a espécie reativa η1-Ni(I) 23, que sofre inserçao de CO2, gerando 24. A reduçao mais uma vez do manganês (0), permite o ciclo catalítico recomeçar e formar carboxilato de manganês 25, o qual é hidrolisado durante o término da reaçao, gerando o ácido carboxílico 26.18

 


Esquema 5. Mecanismo geral para reaçao de carboxilaçao catalisada por níquel.

 

Na literatura é possível encontrar protocolos para carboxilaçao de haletos primários, porém a extensao para secondários e terciários ainda é um desafio. Reaçoes em um anel tenso e no orbital reibridizado, como nos anéis de ciclopropilas podem facilitar a carboxilaçao de ciclopropil secundários, levando assim a um novo acesso a ácidos ciclopropil carboxílicos. Pensando nesse desafio, Martin e colaborados descreveram uma metodologia, utilizando condiçoes brandas na presença de CO2, a uma pressao atmosférica (Esquema 6). É a primeira carboxilaçao redutiva catalítica de haletos orgânicos secundários que podem ser conduzidos na ausência de componentes-π adjacentes. Curiosamente, diferentes perfis de estereosseletividades foram encontradas quando diferentes haletos ou ciclopropanos foram empregados. Os produtos foram obtidos com rendimentos que variaram entre 47 e 79%. Foi observado que a presença de substituinte aromático é imprescindível para a reaçao ocorrer. Todas as reaçoes assimétricas foram obtidas na forma de mistura cis/trans, sendo que o isômero majoritário continha a geometria trans. Foi observado ainda que a relaçao cis/trans obtida nos produtos nao se correlacionava bem com as do material de partida, sugerindo dessa forma, que o intermediário reagiria com radicais.18

 


Esquema 6. Carboxilaçao de brometos de ciclopropila

 

Em seguida, foi investigado a possibilidade dos ciclopropanos promoverem uma reaçao análoga a hidrocarboxilaçao com um perfil de alta estereosseletividade. Alterando algumas condiçoes, como o uso de Ni(cod)2 (bis(1,5-ciclooctadieno) niquel(0)) como fonte de nitrogênio, foi possível obter produtos com rendimentos moderados, porém com alta diastereosseletividade (Esquema 7). Foi observado, de forma majoritária, a geometria trans para esses compostos. Enquanto a intermediaçao do hidreto de níquel pode ser justificada do baseado no uso de MePhSiH, o sucesso da utilizaçao de Et3Al nessa carboxilaçao pode sugerir a intermediaçao de niquelactonas seguida por uma subsequente transmetalaçao/β-eliminaçao de hidreto.18

 


Esquema 7. Hidrocarboxilaçao de ciclopropenos

 

Pouco depois, o mesmo grupo investigou o estabelecimento de uma metodologia para promover a carboxilaçao de álcoois simples catalisada por níquel, na ausência de reagentes organometálicos em quantidades estequiométricas e sensíveis ao ar. Assim, foi discutida a hipótese de que CO2 poderia ter duas funçoes, como fonte de C1 e como um grupo de ativaçao para clivagem de ligaçao C-O (Esquema 8). A hipótese é sustentada pela habilidade do CO2 de reagir reversivelmente com álcoois para formar ácidos carboxílicos, diminuindo assim, a energia de ativaçao que promove a cisao C-O, enquanto aumenta a velocidade da adiçao oxidativa do [Ni0Ln] (Ln= ligante), anterior a inserçao de CO2. Dessa forma, os autores desenvolveram uma metodologia para a carboxilaçao de álcoois alílicos, catalisadas por níquel, sob pressao atmosférica. A metodologia foi analisada utilizando dois ligantes diferentes, L3 e L4. Foi observada uma peculiar seletividade, onde o ligante deveria ser utilizado de acordo com o substrato. Substratos ramificados funcionavam bem com o ligante L4 e os substratos lineares funcionavam bem com o ligante L3. A presença de C-O eletrofílicos, que poderia ser susceptível ao acoplamento cruzado por níquel, como aril metil ésteres e aril pivalatos nao competiram com a reaçao de carboxilaçao. Centros quaternários e terciários foram ainda acessados utilizado a metodologia. Os produtos foram obtidos com rendimentos que variaram entre 54 e 92%. Um produto natural foi sintetizado, a cognac lactona (Esquema 9), a fim de demonstrar a aplicabilidade da metodologia.19

 


Esquema 8. Reaçao de carboxilaçao de álcoois alílicos

 

 


Esquema 9. Síntese total da (+) trans-cognac lactona

 

Visando entender a funçao do ligante, foram feitas algumas investigaçoes da reatividade das espécies de [Ni0Ln] (Esquema 10). Foi observado a falta de reatividade quando o álcool alílico 38 foi exposto a quantidades estequiométricas de [Ni0(L3)] ou [Ni(COD)2]/L4 na ausência de CO2, reforçando a ideia que a adiçao oxidativa do álcool para o [Ni0Ln] nao ocorre. Enquanto o [Ni0(L3)2] requer a presença de Zn na rota para formar 40, o correspondente [Ni(COD)2]/L4 produz o produto 39 na ausência do redutor. Os resultados sugerem que há uma intermediaçao do intermediário η1-NiI com o ligante bidentado rígido L3, levando a inserçao de CO2 no átomo de carbono α. Por outro lado, a presença do ligante tridentado L4 pode resultar em um intermediário η1-NiII, que levará a formaçao da ligaçao C-C no carbono γ.19

 


Esquema 10. Experimentos mecanísticos da reaçao de carboxilaçao de álcoois alílicos

 

Recentemente, o grupo de Martin investigou a incorporaçao múltipla de moléculas de CO2 a 1,3-dienos catalisadas por níquel, uma rota elegante para a síntese de ácidos adípicos. Os múltiplos sítios de inserçao de CO2 poderiam ser controlados na ausência de fontes de hidreto pela exploraçao inerente da nucleofilicidade carbogênica de I, como demonstrada no Esquema 11. Sobre um equilíbrio π-σ, os ácidos adípicos podem ser obtidos por subsequentes incorporaçoes regiosseletivas de CO2 à I, que procede a uma reduçao para a recuperaçao de espécies do catalisador Ni(0)Ln. 20

 


Esquema 11. Carboxilaçao de 1,3 dienos

 

Após otimizar as condiçoes reacionais, a generalidade da reaçao de dicarboxilaçao foi investigada (Esquema 12). A proteçao in situ dos ácidos carboxílicos e a reduçao de alcenos foi necessária, sem a necessidade de purificaçao do ácido adípico resultante. Diversos produtos foram obtidos com rendimentos entre 51 e 89%. Butadienos, piperilenos e isoprenos também puderam ser utilizados, gerando produtos com rendimentos entre 61 e 65% e uma regiosseletividade que variou entre 93:7 e 77:23 (Esquema 13). 20

 


Esquema 12. Carboxilaçao 1,4 de 1,3-dienos catalisadas por níquel

 

 


Esquema 13. Experimentos mecanísticos para a reaçao de carboxilaçao 1,4 de 1,3-dienos catalisadas por níquel

 

Em seguida, foram feitos estudos sobre o mecanismo da reaçao (Esquema 13). Primeiramente, foi feito a análise da estereoquímica de 46 com CO2. Trans-47 é preferencialmente formado do que cis-47, sugerindo que o segundo CO2 é inserido no π-alil complexo I por um ataque pela face oposta. Porém, essa interpretaçao nao exclui a rápida interconversao dos complexos π-alil sobre a exposiçao de Ni(0)(L5), anterior a inserçao de CO2. Ao analisar o complexo Ni-1, é possível observar que sua reatividade com 41 nao é comparável ao com Ni(COD)2/L5, pois nao é observado nem mesmo traços de 48. O Ni-2 gerou apenas 48 na presença L5 e Mn. Esses resultados sugerem que o processo de transferência de um elétron (SET) funciona através das espécies de Ni(I).20

Reaçoes de ativaçao C-H

As reaçoes de acoplamento catalisadas por níquel também podem ser particularmente úteis em metodologias de ativaçao C-H. Ainda que alguns exemplos mostraram a mediaçao por níquel em ativaçoes C-H em 1963, desenvolvimentos catalíticos dessa metodologia vêm sendo publicados mais recentemente.21

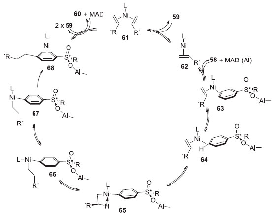
Nakao e colaboradores, em 2016, desenvolveram um novo método para a alquilaçao seletiva de benzamidas, e na posiçao para de cetonas aromáticas, através de uma catálise cooperativa dentre níquel e alumínio. Foi utilizado um sistema co-catalítico volumoso, o MAD (2,6-t-Bu2-4-Me-C6H2O)2AlMe, que permitiu reaçoes entre alcenos e benzamidas ou cetonas para a formaçao dos correspondentes produtos para alquilados. Diversos produtos puderam ser obtidos utilizando a metodologia com rendimentos que variaram entre 34 e 97% e com seletividade entre 78:10:7,5 e >99:1 (Esquema 14).22

 


Esquema 14. Alquilaçao seletiva de benzamidas e cetonas aromáticas

 

Reaçoes para determinar a velocidade inicial da reaçao foram medidas por análise cromatográfica a gás e proporcionou o valor de 3,7 para o efeito isotópico cinético. A reaçao entre 55 e 56 resultou na perda de deutério, exclusivamente na posiçao para de 50 e parcial inserçao de deutério da posiçao a de 56 (Esquema 15). Dessa forma, foi possível inferir a etapa determinante de velocidade e a reversibilidade da ativaçao C-H, exclusivamente da posiçao para.22

 


Esquema 15. Reaçao de alquilaçao utilizando benzamida marcada isotopicamente com deutério

 

Um pouco depois, o mesmo grupo publicou um trabalho utilizando uma metodologia similar onde foi possível expandir o escopo de substratos, alquilando sulfonil arenos. Produtos com rendimentos que variaram entre 23-83% foram obtidos com seletividade entre 73:27- >99:1. (Esquema 16).23

 


Esquema 16. Alquilaçao de sulfonil arenos com alcenos por catálise cooperativa entre Ni/ Al

 

Foi proposto um ciclo catalítico para a reaçao que corrobora com os cálculos DFT obtidos no trabalho anterior (Esquema 17). Assim, o complexo bis(alceno)níquel(0) 61 troca de ligante com o aduto sulfonil areno/MAD para formar o complexo 64 através do Ni(0)-ligado-ao-alceno 62 e o complexo-π 63. A ligaçao C-H é clivada e o complexo alquil-Ni(II)-aril 65 é formado através de uma transferência de hidrogênio concertada. Uma isomerizaçao geométrica gera o complexo de Ni(II) 67 em forma de T através de seu isômero 66, antes da eliminaçao redutiva, que entao gera a ligaçao C-C. O catalisador de alumínio tem como funçao chave a aceleraçao e o regiocontrole da etapa da ativaçao C-H.23

 


Esquema 17. Ciclo catalítico proposto para a reaçao de alquilaçao de sulfonil arenos

 

O grupo de Kayani reportou uma investigaçao sistemática de arilaçao C-H de oxazóis e benzoxazóis catalisadas por níquel, em relaçao a influência eletrônica, estérea e a variaçao do grupo de saída dos eletrófilos fenólicos. O acoplamento do 5-metil benzoxazol com diferentes pivalatos foi explorado primeiramente. Os produtos foram obtidos com rendimentos que variaram entre 44-94% (Esquema 18), sendo que o rendimento mais baixo foi para o produto mais impedido estericamente, o orto-metilfenil pivalato. Um segundo escopo de pivalatos com diversos azóis foi investigado. Essa transformaçao se mostrou compatível com éteres, fluoretos, grupos trifluorometil e alquil benzílicos. O efeito eletrônico se mostrou significativo, como por exemplo, em substratos neutros e ricos em elétrons, que conduziram aos produtos em baixos rendimentos. Os produtos desse escopo foram obtidos com rendimentos entre 57 e 94%. Em seguida foi explorado o acoplamento de azóis com tosilatos e mesilatos. O acoplamento de 5-metil benzoxazol com diversos tosilatos resultou em produtos com baixos rendimentos, quando comparados com o correspondente pivalato (entre 27 e 70%). Rendimentos um pouco melhores foram observados para os mesilatos (entre 30 e 82%). Um escopo utilizando arilaçao de carbamatos também foi demonstrado onde rendimentos entre 22 e 83% foram obtidos.24

 


Esquema 18. Reaçao de arilaçao C-H de azóis

 

Um estudo de competiçao foi ainda realizado para avaliar a reatividade relativa entre diferentes eletrófilos. A reaçao do 5-metil benzoxazol com quantidades equilmolares de dois eletrófilos eletronicamente similares contendo diferentes grupos abandonadores foram explorados (Esquema 19). Foram comparados o mesilato, o pivalato e o carbamato. Os resultados implicaram que as velocidades relativas de arilaçao seguem a seguinte ordem: mesilato > pivalato > carbamato.24

 


Esquema 19. Reaçao utilizada nos estudos de competiçao

 

Miura e colaboradores desenvolveram uma alquilaçao C-H seletiva de 2-piridonas catalisadas por níquel. Após obter as melhores condiçoes reacionais, foi investigado o escopo de 2-piridonas (Esquema 20). A presença de grupos retiradores de elétrons, como CF3 na posiçao C3 e C4 foram toleradas, e os produtos foram obtidos com bons rendimentos. Piridonas contendo substituintes com grupos doadores de elétrons apresentaram reatividade moderada. O método foi um pouco sensível a fatores estéreos, e os substituintes no C5 das piridonas nao acoplaram com o COD. As piridonas halogenadas foram substratos relutantes, e uma pequena, mas significativa, quantidade de piridonas dehalogenados foi detectada por causa da competitiva da adiçao oxidativa da ligaçao halogênio-C em relaçao a baixa valência do centro do níquel. Os produtos foram obtidos com rendimentos que variaram entre 32 e 90%. A reatividade de alguns alcenos também foi investigada (Esquema 20). O 1,3-dieno e o 1,6-dieno contendo metilenos foram testados, assim como alcenos simples terminais, mas nenhum produto de acoplamento foi detectado.25

 


Esquema 20. Alquilaçao de 2-piridonas com dienos e alcenos ativados

 

Experimentos controle com marcaçao isotópica de deutério de 77-d1 e estireno-d8 foram executados a fim de determinar o mecanismo da reaçao. De acordo com essas informaçoes, foi proposto um mecanismo como é apresentado no Esquema 21. O Ni(COD)2 inicialmente liga-se ao 77 e ao estireno para formar o complexo-σ tricoordenado de níquel 79, incluindo a ligaçao C-H da posiçao C-6 da piridona. Subsequente, ocorre a transferência concertada do próton, no qual, a ligaçao C-H é clivada, e duas ligaçoes C-Ni sao formadas. O resultante intermediário s-benzil Ni 81 está em equilíbrio com a estrutura termodinamicamente mais estável π-benzil Ni 81'. A eliminaçao redutiva produzida e a coordenaçao de outro 77 gera o complexo contendo o produto. A troca da ligaçao final com o estireno, libera a piridona alquilada 78, fechando o ciclo catalítico. Os resultados obtidos com os experimentos controle sugerem que o processo de transferência de um único próton é fácil e reversível, e a eliminaçao redutiva é etapa determinante da velocidade e é irreversível. Ao otimizar a reaçao, foi observado o uso indispensável de K3PO4. A funçao exata do K3PO4, nao é totalmente esclarecida pelos autores, mas sabe-se que funciona como ligante aniônico adicional para o Ni e acelera a etapa limitante, a eliminaçao redutiva.25

 


Esquema 21. Ciclo catalítico proposto para reaçao de alquilaçao de 2-piridonas com dienos e alcenos ativados

 

A ativaçao C-H catalisada por níquel, por um tempo, tornou-se limitada a hidrogênios ácidos. O grupo de Chatani desenvolveu um sistema bidentado quelado26 onde é possível ativar hidrogênios nao ácidos como está descrito no Esquema 22 (para simplificar o entendimento, as condiçoes e os grupos que nao estao envolvidos na etapa chave nao foram demonstrados no esquema). Porém, a presença de grupos N(sp2) e NH eram indispensáveis para a reaçao proceder. As reaçoes reportadas podem ser classificadas por dois tipos, dependendo do estado de oxidaçao da espécie catalítica chave. No caso do sistema catalisado por Ni(0), ocorre a coordenaçao do átomo de N(sp2) com o centro do Ni, seguido pela adiçao oxidativa da ligaçao N-H. Isso conduz ao complexo 82 e a clivagem da ligaçao C-H, que procede através da metátase de ligaçao σ, levando a formaçao do complexo ciclo metalado 83, com geraçao concomitante de H2. Este por sua vez, pode ser captado por um aceptor de hidrogênio, como um alcino. No sistema catalisado por Ni(II), ocorre a coordenaçao do N(sp2) com o centro do Ni, seguido pela troca de ligantes, gerando o complexo 84, o qual, após a clivagem da ligaçao C-H através do mecanismo de metalaçao-desprotonaçao concertada (MDC), gera o ciclo metalado 85. Após a formaçao dos ciclos metalados 84 e 85, diversos reagentes podem ser utilizados no restante da reaçao. Independente do mecanismo, a funçao do átomo de N(sp2) é aproximar o catalisador de níquel da ligaçao N-H através de uma coordenaçao, seguida por uma ligaçao covalente N-Ni via adiçao oxidativa ou de troca de ligantes. Os átomos de níquel nos intermediários resultantes 82 e 83, nao sao próximos o suficiente para ativar a orto ligaçao C-H, que serao, em seguida, clivadas. Dessa forma, a formaçao da ligaçao covalente N-Ni é a chave da ativaçao C-H nesse sistema de quelaçao bidentada.27

 


Esquema 22. Etapas chaves da ativaçao

 

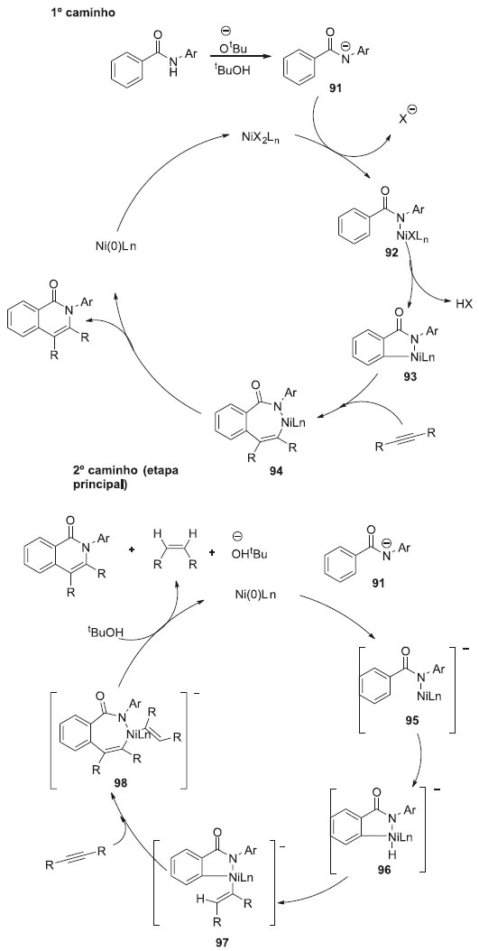
Porém, em 2017, Chatani desenvolveu um novo modelo, onde o uso de uma base forte seria capaz de desprotonar a amida, gerando um ânion que facilmente reagiria com o catalisador de níquel, produzindo uma nova ligaçao entre N e Ni, sem a necessidade de um N(sp2). A reaçao foi testada entre amidas e difenilacetilenos, utilizando diferentes condiçoes, e pode-se confirmar que o uso de bases fortes foi eficiente. Após obter as condiçoes otimizadas, o efeito dos substituintes no nitrogênio foi também examinado. Grupos arilas contendo grupos retiradores ou doadores de elétrons geraram as correspondentes isoquinolinas com altos rendimentos, porém o uso de grupos alquilas produziram os produtos com baixos rendimentos. Em seguida, o escopo de substratos dessa reaçao de anulaçao oxidativa foi avaliado em relaçao as amidas (Esquema 23). Diversos grupos funcionais nos substratos se mostraram tolerantes a metodologia, gerando produtos com rendimentos que variaram entre 32 a 91%. Diferentes alcinos também foram utilizados, e rendimentos entre <5% e 77% foram obtidos através de uma mistura de regioisômeros que variou entre 3:1 até a obtençao de apenas um isômero.28

 


Esquema 23. Reaçao entre amidas aromáticas e difenilacetilenos catalisadas por níquel

 

Com intuito de determinar o mecanismo, experimentos controle foram executados, como a reaçao com marcaçao isotópica de deutério, que nao foi possível observar troca de H/D no produto e na amida recuperada. Assim, conclui-se que a clivagem da ligaçao C-H é irreversível. O efeito cinético isotópico de 3,7 sugeriu que a etapa de clivagem da ligaçao C-H é a etapa determinante de velocidade. Pode-se observar também que a funçao do alcino nao é de apenas componente de acoplamento, ele também é um aceptor de hidrogênio.28

De acordo com os autores, o mecanismo envolve dois caminhos (Esquema 24). O complexo de Ni(II) se inicia no primeiro caminho. Um próton é abstraído da amida pelo KOBut gerando o ânion amidato 91, que reage com Ni(II) para formar o complexo 92. A clivagem da ligaçao C-H orto gera o níquelciclo 93, seguido pela inserçao do alcino na ligaçao N-Ni, que entao sofre eliminaçao redutiva para gerar a isoquinolina e o Ni(0). O Ni(0) nao pode ser oxidado a Ni(II) sob as condiçoes reacionais empregadas. Porém, o ciclo catalítico, no qual o Ni(0) é a espécie catalítica chave, inicia-se no caminho 2. O ânion amidato 91, reage com Ni(0) gerando o complexo de níquel 95, o qual é suficientemente reativo para sofrer adiçao oxidativa, gerando espécies de hidreto de níquel 96, pois o complexo é suficientemente rico em elétrons. A inserçao excessiva de alcinos nas ligaçoes H-Ni e C-Ni geram o complexo 98. A eliminaçao redutiva, seguida pela protonaçao de tBuOH gera a isoquinolina com a regeneraçao de Ni(0) e KOBut com concomitante formaçao de alcenos. Um mecanismo alternativo (Esquema 25) seria a inserçao de um alcino na ligaçao N-Ni em 95 gerando o complexo 99. A adiçao oxidativa da ligaçao C-H orto gerando um niquelciclo de sete membros 100, o qual permite a inserçao de um alcino, levando ao complexo 101. Esse complexo sofre eliminaçao redutiva e protonaçao pelo tBuOH, gerando a isoquinolina com a regeneraçao do Ni(0) e KOBut, com a concomitante formaçao de um alceno.28

 


Esquema 24. Mecanismo proposto para reaçao entre amidas aromáticas e difenilacetilenos catalisadas por níquel

 

 


Esquema 25. Mecanismo alternativo de formaçao da isoquinolina

 

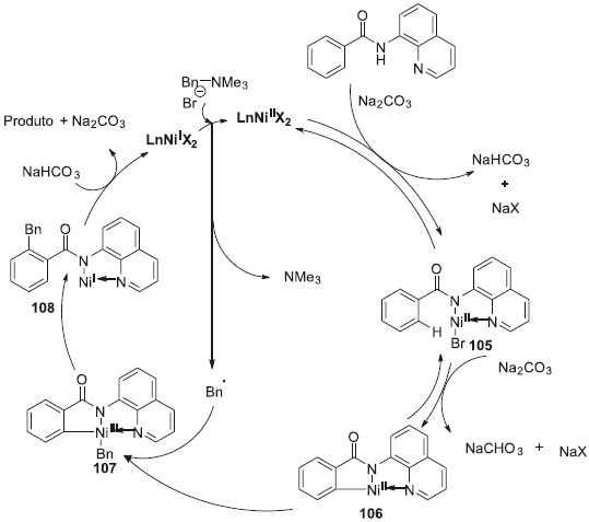
Wei e colaboradores desenvolveram um método para a clivagem de ligaçoes sp2 C-H e C-N, catalisadas por níquel, na reaçao entre amidas aromáticas contendo 8- aminoquinolinas com sais de amônio benzílico. Após otimizar as condiçoes reacionais, uma varredura do contra ânion foi investigada. Foi observado que o uso de iodeto e cloreto geravam produtos com rendimentos mais baixos, enquanto o uso de triflato e hexafluorfosfato nao conduzia ao produto (Esquema 26). Em seguida, um escopo de substratos de carboxamidas foi avaliado com o uso de diferentes 8-aminoquinolinas benzamidinas. Os produtos foram obtidos com rendimentos que variaram entre 58 e 94%. As reaçoes foram mais sensíveis a fatores estéreos. O escopo de sais de amônio benzílicos também foi avaliado e tanto os substratos contendo grupos doadores de elétrons quanto os substratos contendo grupos retirados de elétrons toleraram o método. Os produtos foram obtidos rendimentos entre 81 e 99%. Apenas na presença do nitro o rendimento foi moderado, com apenas 52%.29

 


Esquema 26. Benzilaçao direta de amidas aromáticas catalisadas por níquel

 

Reaçoes controle foram executadas a fim de investigar o mecanismo, utilizando marcaçao isotópica com deutério. Foi observado que uma significativa quantidade de troca H/D foi obtida, porém apenas na ligaçao C-H orto da amida recuperada, indicando, dessa forma, que a clivagem da ligaçao C-H é reversível. Um efeito isotópico cinético de 1,6 foi obtido, sugerindo que a clivagem da ligaçao C-H nao está envolvida na etapa determinante de velocidade. Reaçoes envolvendo captura de radicais também foram executadas e concluiu-se a presença desses no meio. Diante dos experimentos controle, o mecanismo exposto no Esquema 27 foi sugerido. A coordenaçao da amida com Ni seguida pela troca de ligantes gera o Ni(II) contido no complexo 105. A cicloniquelaçao desse intermediário via ativaçao C-H forma o complexo de Ni(II) 106, que é oxidado ao complexo de Ni(III) 107 por um radical benzílico. A eliminaçao redutiva do intermediário 107 seguida pela protonaçao gera o produto desejado e espécies de Ni(I) com sais de amônio benzílico. O tratamento das espécies de Ni(I) com os sais de amônio benzílico produzem radicais benzil e espécies de Ni(II).29

 


Esquema 27. Mecanismo proposto para reaçao de benzilaçao direta de amidas aromáticas catalisadas por níquel

 

O estado de transiçao da eliminaçao redutiva apresentado no Esquema 28, pode explicar a baixa velocidade e rendimento observados, quando, por exemplo, grupos retirados de elétrons estao presentes nos sais de amônio benzílico.29

 


Esquema 28. Estado de transiçao para eliminaçao redutiva.

 

Recentemente, Cramer e colaboradores reportaram uma classe de carbenos N-heterociclos (NHCs) quirais, com o objetivo de substituir o ligante IPr e demonstrar seu potencial na funcionalizaçao C-H enantiosseletiva de piridonas catalisadas por níquel(0). Após otimizar os parâmetros reacionais, diversas 2-piridonas foram testadas (Esquema 29). Diversos grupos alquila e substituintes aromáticos R foram testados. Produtos com grupos doadores e retiradores de elétrons, assim como estericamente mais impedidos, como grupos toluil na posiçao orto puderam ser obtidos, com pouca influência na performance da reaçao. Rendimentos que variaram entre 42 e 90% e razao enantiomérica de 50:50 até 99:1 foram obtidos. Derivados de uracila também foram testados nas condiçoes da metodologia e reagiram com a mesma eficiência, gerando produtos com excelentes rendimentos e enantiosseletividades. 4-Piridonas também foram exploradas, gerando produtos com rendimentos entre 51-91% e 94:6-99:1 r.e.30

 


Esquema 29. Funcionalizaçao C-H enantiosseletiva de piridonas catalisadas por níquel.

 

Assim como o IPr, os carbenos quirais sao estáveis e podem ser isolados. Acredita-se que complexos de níquel trissubstituídos tem a funçao chave de transferência de hidrogênio de ligante para ligante e consequentemente ter uma etapa enantiodeterminante.30

 

SISTEMAS CATALITICOS DUPLOS: FOTOCATALISADORES E NIQUEL

Recentemente, a catálise fotoredox por luz visível tem emergido como um paradigma capaz de realizar diversas transformaçoes químicas através da transferência por um único elétron (SET). A metodologia empregada, tem como vantagem a segurança, o baixo custo, a abundância e a fonte de energia renovável.31 Empregando complexos polipiridínicos com metais de transiçao ou corantes orgânicos como fotocatalisadores sob condiçoes brandas, podem levar a um processo redox, que antes era utilizada no processo tradicional de catálise com metal de transiçao. Assim, a interaçao direta entre fotocatálise e a catálise por metais de transiçao provém um novo processo redox.32 Diversos grupos têm desenvolvidos trabalhos nesse âmbito, e também com a junçao desses sistemas catalíticos32. Molander33, MacMillan e Doyle34, por exemplo, em 2014, reportaram simultaneamente, duas metodologias elegantes para o acoplamento cruzado entre nucleófilos alquílicos e haletos de arila, utilizando uma catálise por níquel e fotocatalisadores.35 Após estes trabalhos, diversos grupos começaram a desenvolver metodologias com esse sistema catalítico duplo (fotocatalisadores e níquel), em diversos tipos de transformaçoes36. Alguns trabalhos recentes foram selecionados e serao demonstrados a seguir.

Shibasaki e colaboradores reportaram a a acilaçao direta C(sp3)-H de éteres através do sinergismo entre a catálise de Ir/Ni. Foi utilizado a combinaçao dos sistemas catalíticos compostos por Ir[dF(CF3)ppy]2(dtbbpy)PF6 (dF(CF3)ppy e complexos de níquel a temperatura ambiente, sob irradiaçao da luz visível (LED azul de 21 W) (Esquema 30). Após otimizar as condiçoes reacionais, um escopo com diferentes cloretos de acila e éteres foram testados. A variedade de cloretos de benzoíla e acila contendo grupos doadores e retiradores de elétrons puderam ser acoplados com éteres, gerando produtos com rendimentos que variaram entre 43 e 81%.37

 


Esquema 30. α-acilaçao fotocatalítica de éteres.

 

Experimentos controle foram realizados a fim de estabelecer alguns aspectos mecanísticos. A reaçao de competiçao utilizando THD/THF-d8 (1/1, v/v) como substrato, levou a uma alta fraçao do produto derivado de THF (kH/kD = 2,4), indicando que a clivagem da ligaçao α- C(sp3)-H está envolvida na etapa determinante de velocidade. Como os éteres possuem alto potencial de oxidaçao (para o THF, E = 1,75 V vs SCE), a clivagem da ligaçao α-oxi C(sp3)-H através do processo de transferência por um único elétron (SET)/desprotonaçao iniciado pela excitaçao de Ir[dF(CF3)ppy]2(dtbbpy)PF6 (E1/2*III/II = 1,21 V vs SCE em CH3CN) foi desfavorável. Um experimento foi testado entre 120 e diversos fotosensibilizadores pela radiaçao da luz visível para avaliar a hipótese que radicais cloreto poderiam ser formados pela homólise Ni-Cl do complexo de Ni(II) 120, através de uma transferência de energia do fotocatalisador excitado de Ir. Os resultados obtidos sugeriram que a oxidaçao do Ni(II) para Ni(III) via transferência de um único elétron nao pode ser obtida pela reaçao. Na verdade, a irradiaçao UV do complexo 120 no estado excitado singleto que leva ao estado excitado tripleto através do cruzamento e da inter-relaxaçao entre os sistemas. Após todos as reaçoes controle, um ciclo catalítico plausível foi elaborado, como está demonstrado no Esquema 31. O fotossensibilizador de Ir, com alto ET, transporta energia de seu estado excitado tripleto para o complexo de Ni(II), gerado pela adiçao oxidativa do cloreto de acila 117, atraído pela transferência de energia tripleto-tripleto para produzir um estado de tripleto do complexo de Ni(II) 119. Esse intermediário sofre homólise Ni-Cl para gerar o radical cloro, o qual é responsável pela abstraçao de α-hidrogênio nos éteres. A captura subsequente dos radicais α-oxi C(sp3) formados pelo catalisador de níquel gera 121. A eliminaçao redutiva de 121 proporciona o correspondente produto a-acilado 118 e regenera o complexo de Ni(0) para levar a subsequente regeneraçao do ciclo catalítico. Foi também relatado a possibilidade do uso de NiCl2, como fonte de Ni.37

 


Esquema 31. Ciclo catalítico proposto para reaçao de α-acilaçao fotocatalítica de éteres

 

O grupo de Helal desenvolveu a primeira reaçao desulfinativa metalafotoredox de acoplamento Csp2-Csp3 entre sais de sulfinato de alquila e haletos de arila catalisada por Ni/Ru. Foi idealizado que os sais de sulfinato de alquila poderiam servir como radicais precursores nas reaçoes metalofotoredox. Acreditou-se que o ciclo catalítico poderia ser gerado através de um radical alquila intermediário, pela oxidaçao do sal sulfinato, que é obtido pela oxidaçao de apenas um elétron (SET) do seu respectivo sal, através da excitaçao do estado tripleto do fotocatalisador [PCn]*, seguido pela liberaçao de SO2. A subsequente geraçao do radical alquila poderia interceptar o ciclo catalisado por Ni, seguindo o mecanismo proposto por Molander e Kozlowski.38

O escopo de substratos com diferentes haletos de arila foram testados levando a produtos farmaceuticamente importantes com rendimentos que variaram entre 17 e 86% (Esquema 32). Um escopo com diferentes sais de sulfinatos também foram explorados e produtos com rendimentos que variaram entre 30 e 73% puderam ser isolados.38

 


Esquema 32. Acoplamente cruzado entre haletos de arila e sulfinatos de alquila catalisadas por Ni/Ru

 

Após o sucesso na avaliaçao de substratos, o método foi testado na síntese de um intermediário útil para a rota sintética de um fármaco (Esquema 33). O composto 129 foi utilizado para a síntese de um inibidor seletivo ATP-competitivo da caseína quinase 1δ, que está associada com a regulaçao do ritmo circadiano. Os produtos foram obtidos com rendimentos que variaram entre 2 e 40%.

 


Esquema 33. Preparaçao do inibidor ATP-competitivo da caseína quinase 1δ

 

Chen e colaboradores reportaram uma metodologia nova para o acoplamento cruzado de aziridinas e alquiltrifluoroborato de potássio catalisados pelo sistema duplo fotocatalisadores/níquel. O protocolo requer uma abordagem branda para a síntese de aminas β-substítuidas. Após estabelecer as condiçoes reacionais otimizadas, um escopo de substratos de aziridinas foi avaliado (Esquema 34). O sistema de dupla catálise se mostrou eficiente e compatível para diversos grupos funcionais. Produtos com rendimentos entre moderados e bons puderam ser obtidos (entre 30 e 71%). Diversos trifluoroboratos de alquila também foram testados e os produtos desejados puderam ser obtidos com rendimentos que variaram entre 36 e 75%. Para demonstrar o potencial sintético do protocolo, uma aplicaçao em fluxo contínuo foi realizada e apresentou bom desempenho, com eficiência de 58% de rendimento. Essa descoberta também implicou que o processo de fotoreaçao poderia ser a etapa determinante de velocidade.39

 


Esquema 34. Reaçoes de acoplamento cruzado de aziridinas e benziltrifluorboratos de potássio

 

Um mecanismo plausível foi proposto como está demonstrado no Esquema 35. Primeiro, o catalisador de Ni(0) 134, formado in situ pelo pre-catalisador de Ni(II), sofre uma inserçao oxidativa, na ligaçao C-N mais volumosa da aziridina 131, proporcionando o azaniquelciclobutano 135. A regiosseletividade pode ser atribuída as diferentes propriedades eletrônicas na deficiência de elétrons do ligante. Enquanto isso, 109 é convertido ao radical benzílico 136, para gerar o estado fotoexcitado do Ir(III)*, através da transferência de um único elétron no processo de oxidaçao. Assim, as espécies de Ni(II) sao rapidamente capturadas pelo radical benzílico 136, gerando o intermediário alquilníquel(III) 137. A eliminaçao redutiva do intermediário 137 gera as espécies de Ni(I) 138, que sofrem outra reduçao pela transferência de um único elétron através da forma reduzida do fotocatalisador de Ir(II). Esse processo fornece o produto 133 pela protonaçao do intermediário 139, com liberaçao do fotocatalisador de Ir(III), fechando assim, os dois ciclos catalíticos.39

 


Esquema 35. Ciclo catalítico proposto para a reaçao de acoplamento cruzado de aziridinas e benziltrifluorboratos de potássio

 

O grupo de Monolikakes reportou a síntese de sulfonas por sulfinatos de sódio ou lítio e iodetos de arilas catalisadas pelo sistema duplo de fotocatalisador e níquel. Diversos sulfinatos de sódio foram testados com diferentes iodetos de arila e heteroarila (Esquema 36). Produtos contendo grupos retirados de elétrons e doadores de elétrons puderam ser obtidos, assim como em diferentes posiçoes do anel aromático, com rendimentos que variaram entre 14 e 89%. A metodologia foi ainda testada na última etapa da síntese de drogas, como fenazona 145 e sildenafil 146, levando aos produtos com 38 e 33% de rendimento, respectivamente (Figura 3). Para expandir o método, reaçoes com sulfinatos de lítio foram utilizados e geraram os produtos correspondentes com bons rendimentos. 40

 


Esquema 36. Reaçao de acoplamento cruzado de sais de ácido sulfinico com iodetos de arila catalisadas por níquel e fotocatalisador

 

 


Figura 3. Aplicaçao sintética em compostos biologicamente ativos

 

Experimentos controle levaram a propor o ciclo catalítico demonstrado no Esquema 37. A irradiaçao do fotocatalisador de RuII gera o estado excitado de *RuII. A oxidaçao da transferência de um único elétron do sulfinato 147 conduz ao radical sulfonil 148 e o complexo de RuI. A adiçao do radical sulfonil 148 para o catalisador de Ni fornece o intermediário de NiI 149, que pode sofrer adiçao oxidativa ao iodeto de arila. O complexo de NiIII 150 sofre eliminaçao redutiva, gerando o produto sulfona 140 e espécies de NiI-I 151. A reduçao da transferência de um único elétron de 151 pelo RuI produz o catalisador de Ni0 com o complexo de RuII no estado fundamental, fechando o ciclo fotocatalisadores e o acoplamento cruzado. A funçao da amina nao foi totalmente esclarecida, sugere-se uma possível mediaçao na transferência de elétron entre os dois ciclos, evitando uma eventual degradaçao do sulfinato.40

 


Esquema 37. Mecanismo proposto para reaçao de acoplamento cruzado entre sais de ácido sulfinico com iodetos de arila catalisadas por níquel e fotocatalisadores

 

Uma metodologia de hidroxilaçao de haletos de arila com água catalisada por um sistema duplo fotocatalisadores/níquel foi desenvolvido pelo grupo de Xue (Esquema 38). Apenas produtos monosubstituídos foram observados, demonstrando assim, um alto grau de quimiosseletividade para essa reaçao. Diversos produtos importantes, como intermediários de compostos bioativos puderam ser obtidos com rendimentos entre 40 e 96% (Esquema 39). O escopo foi ainda expandido para substratos de menor custo, porém mais desafiadores, como os cloretos de arila. Devido à forte ligaçao C-Cl, nao era esperado que a reaçao ocorresse sob as mesmas condiçoes, porém ao aumentarem a temperatura, a reaçao ocorreu e gerou produtos com rendimentos entre 45 e 91%.41

 


Esquema 38. Síntese de fenóis por haletos de arila

 

 


Esquema 39. Hidroxilaçao de brometo de (hetero)arila

 

Com intuito de demonstrar a utilidade do método, um intermediário chave do Elbasvir, um fármaco utilizado para o tratamento contra Hepatite C, foi sintetizado com um rendimento de 71%, com uma pequena perda da enantiosseletividade (Esquema 40). Outra molécula mais complexa também foi testada e gerou o produto com 62% de rendimento. A metodologia foi realizada em escala maior (10 mmol), gerando o produto com 92%. Para analisar se o OH dos produtos fenólicos vem originalmente da água, reaçoes foram carreadas com H2O18. Os produtos foram obtidos com o O18 demarcados isotopicamente, demonstrando assim que o OH realmente é oriundo da água.41

 


Esquema 40. Síntese de um intermediário do Elbasvir

 

CONCLUSOES

Em resumo, a catálise por níquel vem se expandindo muito nos últimos anos, porém, ainda há muitos desafios que precisam ser superados. Devida a sua alta reatividade, muitas vezes, os sistemas catalíticos requerem um esforço maior no desenvolvimento, ainda que o seu potencial sintético seja indiscutível.

Destaca-se entre as maiores vantagens da catálise por complexos de níquel, entre outros, o baixo custo, a catálise com alta performance, as transformaçoes envolvendo substratos inativos, o acesso fácil a reaçoes em cascata, a reaçoes de acoplamento, de ciclizaçao e de fotocatálise, além de sua enorme facilidade na ativaçao de moléculas insaturadas, possibilitando uma variedade de transformaçoes incomuns envolvendo ligaçoes múltiplas.

Muitos complexos de níquel estao associados a alta toxicidade, porém foi possível demonstrar, neste trabalho, que esses complexos catalisam reaçoes altamente relevantes, tais como reaçoes de ativaçao da ligaçao C-H42, carboxilaçao, carbonilaçao e reaçoes de catálise dupla entre níquel e fotocatalisadores. A maioria desses processos exploram os estados de oxidaçao Ni(I)/Ni(III), que sao raros quando comparamos ao Pd. Outros processos envolvendo Ni vêm sendo desenvolvidos, tais como acoplamento descarboxilativo43 e acoplamento cruzado assimétrico envolvendo eletrófilos alquila44,45.

Ainda há muito para ser desenvolvido na catálise por níquel, principalmente devido aos seus diferentes estados de oxidaçao, facilmente acessados. Finalmente, foi possível demonstrar um pouco da sua importância em reaçoes orgânicas, além da sua aplicabilidade recente em síntese orgânica.

 

AGRADECIMENTOS

Os autores agradecem à CAPES, CNPq, FAPEMIG e a UFJF pelo suporte financeiro.

 

REFERENCIAS

1. Tasker, S. Z.; Standley, E. A.; Jamison, T.; Nature 2014, 509, 299.

2. Ananikov, V. P.; ACS Catal. 2015, 5, 1964. Li, B.-J.; Yu, D.-G.; Sun, C.-L.; Shi, Z.-J.; Chem. Eur. J. 2011, 17, 1728.; Rosen, B.; Chem. Rev. 2011, 111, 1346.; Mesganaw, T.; Garg, N. K.; Org. Process Res. Dev. 2013, 17, 29.

3. Li, B.-J.; Yu, D.-G.; Sun, C.-L.; Shi, Z.-J.; Chem. Eur. J. 2011, 17, 1728.; Rosen, B.; Chem. Rev. 2011, 111, 1346.; Mesganaw, T.; Garg, N. K.; Org. Process Res. Dev. 2013, 17, 29.

4. Garcia, J. J.; Brunkan, N. M.; Jones, W. D.; J. Am. Chem. Soc. 2002, 124, 9547.

5. Tsou, T. T.; Kochi, J. K.; J. Am. Chem. Soc. 1979, 101, 6319.

6. Moeda Americana cotada no dia 01/06/1018. 1,0 dóllar americano correspondendo a 3,756 reais.

7. Cordero, B.; Gómez, V.; Platero-Prats, A. E.; Revés, M.; Echeverría, J.; Cremades, E.; Barragan, F.; Alvarez, S.; Dalton Trans. 2008, 0, 2832.

8. Hodgeman CD. - Handbook of Chemistry and Physics, ed. 33. Chemical Rubber Publ Comp, 1951.

9. Guo, J.; Lin, L.; Liu, Y.; Li, X.; Liu, X.; Feng, X.; Org. Lett. 2016, 18, 5540-5543; Sheng, J.; Ni, H. Q.; Liu, G.; Li, Y.; Wang, X. S.; Org. Lett. 2017, 19, 4480-4483; Guangying, T.; Zhang, L.; Liao, X.; Shi, Y.; Wu, Y.; Yang, Y.; You, J.; Org. Lett. 2017, 19, 4830-4833; J. Org. Chem. 2017, 82, 6426-6433; Perkins, R. J.; Pedro, D. J.; Hansen, E. C.; Org. Lett. 2017, 19, 3755-3758; Suzuki N.; Hofstra J. L.; Poremba K. E.; Reisman S. E.; Org. Lett. 2017, 19, 2150-2153.; Li, C.; Kawamata, Y.; Nakamura, H.; Vantourout, J. C.; Liu, Z.; Hou, Q.; Bao D.; Starr J. T.; Chen, J.; Yan, M.; Baran, P. S.; Angew. Chem. Int. Ed. 2017, 56(42), 13088.

10. Andersen, T. L.; Nordeman, P.; Christoffersen, H. F.; Audrain, H.; Antoni, G.; Skrydstrup T.; Angew. Chem. Int. Ed. 2017, 56, 4549.

11. Hoshimoto, Y.; Ashida, K.; Sasaoka, Y.; Kumar, R.; Kamikawa, K.; Verdaguer,X.; Riera, A.; Ohashi, M.; Ogoshi, S.; Angew. Chem. Int. Ed. 2017, 56, 8206; Angew. Chem. 2017, 129, 8318.

12. Dolhem, E.; Oçafrain, M.; Nédélec, J. Y.; Troupel, M.; Tetrahedron 1997, 53, 17089

13. Andersen, T. L.; Donslund, A. S.; Neumann, K. T.; Skrydstrup, T.; Angew. Chem. Int. Ed. 2018, 57, 800.

14. Yu, D.; Teong, S. P.; Zhang, Y.; Coordination Chemistry Reviews, 2015, 293-294, 279.

15. Martin R.; Tortajada A.; Juliá-Hernández F.; Borjesson M.; Moragas T.; Angew. Chem. Int. Ed. 2018, DOI: 10.1002/anie.201803186. DOI: http://dx.doi.org/10.1002/anie.201803186

16. Nogi, K.; Fujihara, T.; Terao, J.; Tsuji, Y.; J. Org. Chem., 2015, 80, 11618.

17. Richmond, E.; Moran, J.; Synthesis 2018, 50, 499.

18. Moragas, T.; Martin, R.; Synthesis 2016, 48, 2816.

19. van Gemmeren, M.; Börjesson, M.; Tortajada, A,; Sun, S. Z.; Okura, K.; Martin, R.; Angew. Chem. Int. Ed. 2017, 56, 6558.

20. Tortajada, A.; Ninokata, R.; Martin, R.; J. Am. Chem. Soc. 2018, 140, 2050.

21. Kleiman, J. P; Dubeck, M.; J. Am. Chem. Soc. 1963, 85, 154.

22. Okumura, S.; Tang, S.; Saito, T.; Semba, K.; Sakaki S.; Nakao Y.; J. Am. Chem. Soc. 2016, 138, 14699.

23. Okumura, S.; Nakao, Y.; Org. Lett. 2017, 19, 584.

24. Steinberg, D. F.; Turk, M. C.; Kalyani, D.; Tetrahedron 2017, 73, 2196.

25. Miura, W.; Hirano, K.; Miura, M.; J. Org. Chem. 2017, 82, 5337.

26. Aihara, Y.; Chatani, N.; J. Am. Chem. Soc. 2013, 135, 5308; Aihara, Y.; Chatani, N.; J. Am. Chem. Soc. 2014, 136, 898; Aihara, Y.; Tobisu, M.; Fukumoto, Y.; Chatani, N.; J. Am. Chem. Soc. 2014, 136, 15509; Yokota, A.; Aihara Y.; Chatani, N.; J. Org. Chem. 2014, 79, 11922; Iyanaga, M.; Aihara, Y.; Chatani, N.; J. Org. Chem. 2014, 79, 11933; Aihara, Y.; Wulbern J.; Chatani, N.; Bull. Chem. Soc. Jpn. 2015, 88, 438; Yokota, A.; Chatani, N.; Chem. Lett. 2015, 44, 902; Kubo, T.; Aihara, Y.; Chatani, N.; Chem. Lett. 2015, 44, 1365; Uemura, T. M.; Yamaguchi; Chatani, N.; Angew. Chem. Int. Ed., 2016, 55, 3162; Kubo, T.; Chatani, N.; Org. Lett. 2016, 18, 1698; Aihara, Y.; Chatani, N.; ACS Catal. 2016, 6, 4323.

27. Misal Castro, L. C.; Chatani, N.; Chem. Lett. 2015, 44, 410; Chatani, N.; Top. Organomet. Chem. 2016, 56, 19.

28. Obata, A.; Ano, Y.; Chatani, N.; Chem. Sci. 2017, 8, 6650.

29. Li, J.; Zheng, Z.; Xiao, T.; Xu, P-F.; Wei, H.; Asian J. Org. Chem. 2018, 7, 133.

30. Diesel, J.; Finogenova, A. M.; Cramer, N.; J. Am. Chem. Soc. 2018, doi: 10.1021/jacs.8b01181. DOI: http://dx.doi.org/10.1021/jacs.8b01181

31. De Almeida, A. M.; De Almeida, M. V.; Amarante, G. W.; Quím. Nova 2015, 38, 1080, .

32. Hopkinson, M. N.; Sahoo, B.; Li J. L.; Glorius, F.; Chem. Eur. J. 2014, 20, 3874.

33. Tellis, J. C.; Primer, D. N.; Molander, G. A.; Science, 2014, 345, 433.

34. Zuo, Z.; Ahneman, D. T.; Chu, L.; Terrett, J. A.; Doyle, A. G.; MacMillan, D. W. C.; Science 2014, 345, 437.

35. Gui, Y-Y.; Sun, L.; Lu, Z-P.; Yu, D-G.; Org. Chem. Front. 2016, 3, 522.

36. DeLano, T. J.; Bandarage, U. K.; Palaychuk, N.; Green, J.; Boyd, M. J.; J. Org. Chem. 2016, 81, 12525.; Amani, J.; Molander, G. A.; Org. Lett. 2017, 19, 3612.; Alam, R.; Molander, G. A.; J. Org. Chem. 2017, 82, 13728.; Matsui, J. K.; Molander, G. A.; Org Lett. 2017, 19, 436.; Liu J.; Ding, W.; Zhou, Q. Q.; Liu, D.; Lu, L. Q.; Xiao, W. J.; Org Lett. 2018, 20, 461.; Amani J.; Molander G. A.; J. Org. Chem. 2017, 82, 1856.

37. Sun, Z.; Kumagai, N.; Shibasaki, M.; Org. Lett. 2017, 19, 3727.

38. Knauber, T.; Chandrasekaran, R.; Tucker, J. W.; Chen, J. M.; Reese, M.; Rankic, D. A.; Sach, N.; Helal, C.; Org. Lett. 2017, 19, 6566.

39. Yu, X-Y.; Zhou, Q-Q.; Wang, P-Z.; Liao, C-M.; Chen, J-R.; Xiao, W-J.; Org. Lett. 2018, 20, 421.

40. Liu, N-W.; Hofman, K.; Herbert, A.; Manolikakes, G.; Org. Lett. 2018, 20, 760.

41. Yang, L.; Huang, Z.; Li, G.; Zhang, W.; Cao, R.; Wang, R.; Wang, C.; Xiao, J.; Xue, D.; Angew. Chem. Int. Ed. 2018, 57, 1968.

42. De Azambuja, F.; Correia, C. R. D.; Quím. Nova 2011, 34, 1779.

43. Sandfort, F.; O'Neill, M. J.; Cornella, J.; Wimmer, L.; Baran, P. S.; Angew. Chem. Int. Ed. 2017, 56, 3319.

44. Mu, X.; Shibata, Y.; Makida, Y.; Fu, G. C. Angew. Chem. Int. Ed. 2017, 56, 5821.

45. Lucas, E. L.; Jarvo, E. R.; Nat. Rev. Chem. 2017, 1, 0065.

On-line version ISSN 1678-7064 Printed version ISSN 0100-4042
Qu�mica Nova
Publica��es da Sociedade Brasileira de Qu�mica
Caixa Postal: 26037 05513-970 S�o Paulo - SP
Tel/Fax: +55.11.3032.2299/+55.11.3814.3602
Free access

GN1