JBCS



20:17, sáb out 25

Acesso Aberto/TP



Revisão


Avanços químicos no planejamento e desenvolvimento de derivados do paracetamol
Chemical advances on design and development of paracetamol derivatives

Rosivaldo S. BorgesI,II,*; Ana Carolina S. P. S. JesusI; Laice F. CardosoI; Clícia L. NeriI; Roberto B. MoraisII,#; Valéria A. BarrosII; Albérico B. F. da SilvaIII

I. Faculdade de Farmácia, Instituto de Ciências da Saúde, Universidade Federal do Pará, 66033-100 Belém - PA, Brasil
II. Instituto de Ciências da Saúde, Universidade Federal do Pará, 66033-100 Belém - PA, Brasil
III. Departamento de Química e Física Molecular, Instituto de Química de São Carlos, Universidade de São Paulo, 13560-970 São Carlos - SP, Brasil

Recebido em 23/10/2017
Aceito em 20/08/2018
Publicado na web em 03/09/2018

Endereço para correspondência

*e-mail: rosborg@ufpa.br

RESUMO

Acetaminophen or paracetamol is a widely used analgesic and antipyretic drug and appears to be safe if used at normal therapeutic doses, but in large doses produce liver and / or kidney damage in humans and experimental animals. Prostaglandin endoperoxide synthase (PGES) and cytochrome P-450 are the key enzymes in humans as they are responsible for the analgesic and toxicity effects of paracetamol, respectively. At present, the development of new derivatives still has few impacts on clinical applications of safe compounds. Thus, in this work are discussed, a series of approaches on the design and development of acetaminophen derivatives. Some efforts were realized in our own research group.

Palavras-chave: paracetamol; acetaminophen; derivatives; toxicity; design.

INTRODUÇAO

Aspectos gerais

O paracetamol 1, acetaminofen ou N-acetil-p-aminofenol (PAR), mostrado na Figura 1, foi introduzido na terapêutica depois de uma descoberta acidental da acetanilida, ao mesmo tempo em que os salicilatos eram descobertos. Ele é utilizado como medicamento desde 1878 até hoje em muitos países como analgésico e antipirético, em apresentaçoes farmacêuticas como único princípio ativo ou em associaçao, no alívio de sintomas relacionados a processos inflamatórios dolorosos, dores crônicas e odontológicas, sendo ainda bastante difundido em pediatria.1 É extensamente usado e livremente comercializado na maioria dos países. No Reino Unido, aproximadamente 3,2 milhoes de tabletes de PAR sao consumidos todo ano, perfazendo uma média de 55 tabletes por pessoa.2

 


Figura 1. Fórmula estrutural do paracetamol

 

Como agente analgésico e antipirético, o PAR tem provado eficácia clínica no alívio temporário de dores leves a moderadas associadas a resfriado comum, dor de cabeça, dor de dente, dores musculares, dor nas costas, dores leves de artrite, cólicas menstruais e reduçao da febre, sendo eficazes em bebês, crianças e adultos.3

O PAR demonstrou inibir a açao de agentes pirogênicos no centro regulador de calor no cérebro por bloqueio da formaçao e liberaçao de prostaglandinas no sistema nervoso central, uma vez que a febre ocorre quando a enzima prostaglandina endoperóxido sintase (PGES) elevada atua na área pré-óptica do hipotálamo anterior, resultando em diminuiçao da perda de calor e aumento do ganho de calor.3-6

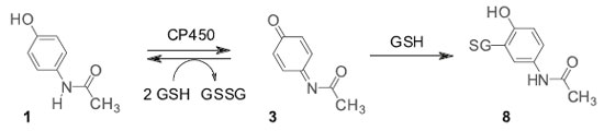
Apesar de todos os efeitos benéficos, este composto demonstrou alta toxidade independente da dose e concentraçao plasmática alcançada, mas principalmente pela reatividade dos produtos de biotransformaçao, que podem atuar como intermediários de reaçao. De fato, estes compostos sao formados pelo metabolismo oxidativo, em que o PAR é metabolizado através de um sistema enzimático oxidativo de funçao mista, contendo citocromo P-450 (CP450) formando os intermediários do tipo semiquinona e quinona imina, denominados N-acetil-p-benzosemiquinona imina (NAPSQI) e N-acetil-p-benzoquinona imina (NAPQI), respectivamente.5

Estrutura e propriedades

O PAR se apresenta como um pó branco e cristalino, com fórmula molecular C8H9NO2, peso molecular igual a 151,16 g mol-1 e pKa a 25 oC é 9,51. A solubilidade de 1 g da substância em água é 70 mL a 25 oC e 20 mL a 100 oC, 10 mL em álcool etílico, 50 mL em clorofórmio, 40 mL em glicerina, mas é fracamente solúvel em éter etílico. O composto estável entre pH 4 e 7 a 25 oC, sendo estável também à temperatura, luz e umidade.1 Ele e outros compostos relacionados podem ser determinados e caracterizados por diversos métodos de análises.7-14

Biotransformaçao do paracetamol

As possíveis rotas de biotransformaçao do PAR sao mostradas na Figura 2. Embora um intermediário radicalar, a NAPSQI 2 tenha sido proposto,15-17 acredita-se que a formaçao de NAPQI 3, um intermediário eletrofílico reativo, é o principal responsável pela toxidade observada pelo uso do PAR.18,19

 


Figura 2. Vias de biotransformaçao do paracetamol

 

A absorçao de doses terapêuticas baixas de PAR é normalmente completa, a biodisponibilidade sistêmica no meio plasmático e meia-vida é mais ou menos 75% em 1,5 a 2,5 horas, respectivamente.20 Os metabólitos urinários identificados e discutidos em vários artigos de revisao do PAR (1)21 sao principalmente metabolizados por glucuronidaçao e sulfataçao, constituindo-se nas principais vias de metabolizaçao. Estes importantes conjugados, PAR-glucuronídeo (4) e PAR-sulfato (5), sao considerados mais solúveis em água que o composto original, sendo eliminados principalmente pela via urinária (ambos) e um pouco pela via biliar (PAR-Gluc). Aproximadamente 30 e 55% do PAR administrado sao excretados na urina nestas formas.22 Além desses, um derivado nao tóxico catecólico, o 3-hidroxiparacetamol (6) também é formado.23-25 Enquanto que outro possível derivado, formado pela eliminaçao da acetamida, o p-benzoquinona (7) é considerado tóxico também, como um reagente eletrofílico.26

No entanto, em vários animais de laboratório, uma pequena parte de PAR é provavelmente metabolizada via um terceiro caminho, isto é, a oxidaçao pelo sistema microssomal CP450, enzima contendo uma oxidase de funçao mista, para formar a NAPQI (3). Um aduto de NAPQI e glutationa via adiçao 1,4 de Michael e o correspondente conjugado de cisteína e mercapturato (8) sao os produtos ácidos formados, encontrados na urina humana depois da ingestao de PAR.27 Embora uma reaçao de oxidaçao secundária de hidroxilaçao do PAR, a formaçao do 3-hidroxiparacetamol (6) provavelmente aconteça também no homem por ter sido encontrado na urina de pacientes envenenados com altas doses de PAR.28 Além disso, em animais e provavelmente em humanos, foi demonstrado que as enzimas com atividade peroxidase, como prostaglandina sintase e mieloperoxidase, talvez tenham também a habilidade de catalisar o metabolismo oxidativo do PAR.20

Mecanismos de hepatotoxidade

Após a ingestao de doses alta de PAR, o principal evento é a hepatotoxidade centrolobular dependente do sistema CP450 no homem e em animais de laboratório, que pode ser mensurada pelo aumento dos níveis de alanina aminotransferase (ALT) plasmática.5,23,24,29 Em doses normais de PAR (1), na maioria das espécies, inclusive no homem, uma quantidade pequena de intermediários reativos NAPQI (3) é formada. Na presença de glutationa reduzida (GSH), por exemplo, em hepatócitos isolados de rato, a NAPQI pode ser reduzida de volta para PAR ou ligada covalentemente com GSH para formar conjugados 3-glutationa-S-il-paracetamol (8), mostrada na Figura 3, (PAR-SG)30,31 sem efeitos adversos significantes. No entanto, após uma sobredose ou quando o sistema microsomal P-450 está aumentado (induçao enzimática), os níveis de GSH hepático sao diminuídos mais extensivamente e pode nao mais compensar uma produçao aumentada de NAPQI, o que tem sido evidenciado especialmente através da relaçao em que a depleçao mitocondrial de GSH está diretamente correlacionada com a toxidade hepática.32

 


Figura 3. Principais metabólitos oxidados do paracetamol

 

As vias mais prováveis de reaçao da NAPQI sao a formaçao de adutos com proteínas,5 oxidaçao de sulfidrila de proteínas,33 ligaçao covalente com DNA em órgaos como fígado e rins,34 rompendo a homeostase celular. Deste modo, em ratos, camundongos e humanos, uma overdose de PAR pode resultar em severa necrose hepática centrolobular.35 Porém, a necrose tubular renal também foi observada.36 Embora a falência renal aguda seja incomum, altas doses podem levar a falência hepática fulminante.37 Além disso, a necrose epitelial pulmonar de células nao ciliadas bronquiolar38 e adutos covalentes com proteínas foram observados em pulmoes de ratos.39-41

Os efeitos danosos agudos foram encontrados no sangue, principalmente nas plaquetas, após a ingestao de grandes quantidades de PAR.42 Além disso, a exposiçao de humanos ao uso terapêutico crônico de PAR, em longo prazo está correlacionada com o aumento do risco de doença renal crônica.43

Várias condiçoes fisiopatológicas podem ocasionar um desequilíbrio entre a produçao e a proteçao contra radicais livres de oxigênio. Este desequilíbrio é chamado estresse oxidativo,44 o qual está frequentemente aumentado quando ocorre uma reduçao da defesa antioxidante ou aumento dos oxidantes endógenos e exógenos. Os mecanismos de iniciaçao do estresse oxidativo podem ser mediados por espécies reativas de oxigênio ou pela açao oxidante direta de um metabólito reativo, como na hepatotoxicidade induzida pelo PAR. Isso pode ser demonstrado na alteraçao da relaçao de NADPH / NADP+,45 GSH / GSSG46 e ProtSH / ProtSSProt.18

Os fenômenos posteriores decorrem do fato da capacidade da NAPQI oxidar grupos tiólico de cisteína presentes no GSH ou proteínas tiólicas, produzindo ligaçoes dissulfeto GSSG.47 O aumento da oxidaçao de grupos tiol das proteínas tem sido mostrado em hepatócitos, o qual representa um importante parâmetro na toxicidade mediada por PAR.48 A oxidaçao de GSH por NAPQI pode acontecer via diversos mecanismos, como propostos por vários autores para NAPQI e seus homólogos metilados.49-51

A administraçao contínua de etanol em ratos, levando a uma provável induçao enzimática de CYP2E1, mostrou um aumento da ligaçao com proteína em aproximadamente 97% nos microssomas hepáticos, mas a conjugaçao com cisteína de apenas 33%.52

Outras enzimas podem ser relevantes no processo de ativaçao do PAR, dentre estas as peroxidases se destacam, incluindo mieloperoxidase, cloroperoxidase e lactoperoxidase,53-55 bem como a funçao peroxidase da PGES.56-59 Nos glóbulos brancos, por exemplo, as mieloperoxidases se mostraram bioativadoras de uma grande variedade de fármacos. Em outros tecidos com baixa atividade de P450, a PGES pode ser também responsável pela bioativaçao, tal como nos rins, onde a toxicidade do PAR pode ser resultante da ativaçao por esta via enzimática.60

A p-benzoquinona (6) foi recentemente apontada como responsável pela interaçao com proteínas microtubulares in vitro, podendo levar à interferência no funcionamento do aparelho mitótico celular, causando a separaçao anormal dos cromossomos e induçao de aneuploidia.26 De fato, a aneuploidia é considerada um evento crítico no processo de transformaçao da célula neoplásica.61 Além disso, uma proteína nuclear arilada foi observada após a administraçao de PAR,62 concluindo-se que o PAR pode induzir o rompimento da lâmina nuclear. Além disso, o PAR extingue o radical tirosil em uma subunidade da enzima ribonucleotídeo redutase, diminuindo a velocidade da polimerizaçao do DNA que é necessária para preencher lacunas nas fitas de DNA.34,63

Inibiçao farmacológica da cicloxigenase

A inibiçao da ciclooxigenase (COX) pelo PAR pode estar relacionada com a sua capacidade de reagir com o radical tirosil presente na PGES.64 A PGES apresenta duas atividades distintas. A primeira é a atividade ciclooxigenase, que catalisa a oxigenaçao do ácido araquidônico (AA) para seu endoperóxido-hidroperóxido (ROOH; PGG2).20 A outra atividade é peroxidase ou hidroperoxidase, que catalisa a reduçao do PGH2 para a endoperóxido-alcólico (ROH; PGH2),64,65,30 como demonstrado na Figura 4.

 


Figura 4. Formaçao das prostaglandinas via reaçao de peroxidaçao do ácido araquidônico

 

A açao terapêutica do PAR pode estar baseada tanto na inibiçao da atividade COX quanto na funçao peroxidase da PGES, uma vez que ambas previnem as prostaglandinas de serem formadas e, desse modo, reduz a temperatura corporal até níveis mais normais de febre (atividade antipirética) e melhora a sensaçao de dor (atividade analgésica).3,56,66,67

Entretanto, embora a atividade de peroxidase seja só um aspecto de PGES, diversos grupos têm estudado as possíveis relaçoes de estrutura-atividade entre os potenciais de oxidaçao, a coplanaridade da cadeia lateral da N-acetil, etc., relacionados com peroxidases específicas. Assim, diversos derivados do PAR foram sintetizados e avaliados, mas nenhum deles apresentou maior segurança ou eficácia,15,23,56,57,68-71 sendo essa a motivaçao de nosso grupo na continuidade da pesquisa. Até o momento, poucos grupos no Brasil realizaram alguma estratégia de modificaçao molecular para derivados do paracetamol ou outros compostos relacionados.72-77 Associaçoes moleculares por métodos de hibridaçao ou modificaçoes no sistema aromático nao foram consideradas nesta revisao.78,79

 

MODIFICAÇOES ESTRUTURAIS DO PARACETAMOL

Homólogos dimetilados

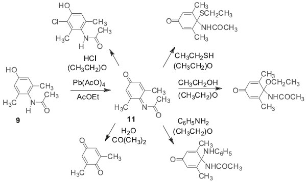
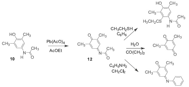
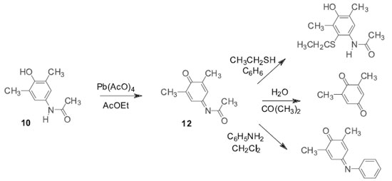
O mecanismo de toxicidade do sistema quinona-imina foi realizado através do estudo da reatividade dos derivados dimetilados na forma quinona-imina reagindo com nucleófilos.80,81 Os compostos 2,6-dimetil-PAR (9) (Figura 5) e 3,5-dimetil-PAR (10) (Figura 6) foram oxidados com tetraacetato de chumbo para formar N-acetil-2,6-dimetil-p-benzoquinona iminas e N-acetil-3,5-dimetil-p-benzoquinona iminas, respectivamente. A reaçao do composto 11 com HCl formou 3-cloro-2,6-dimetil-4-hidroxi-acetanilida, enquanto que as reaçoes com anilina, etanotiol e etanol formaram os adutos tetraédricos, através da adiçao ao carbono da imina, em oposiçao aos produtos de adiçao esperados da quinona-imina, como um reagente eletrofílico via adiçao de Michael, enquanto que a reaçao com água formou derivado dimetil-p-benzoquinona.

 


Figura 5. Reatividade do intermediário quinona-imina dimetilado 11 com nucleófilos

 

 


Figura 6. Reatividade do intermediário quinona-imina dimetilado 12 com nucleófilos

 

Entretanto, o composto 12 reagiu com água e anilina, levando à substituiçao do carbono da imina, gerando 2,6-dimetil-p-benzoquinona e 3,5-dimetil-N-fenil-p-benzoquinona-imina, enquanto que o etanotiol formou o composto 3,5-dimetil-2-tioetil-4-hidroxi-acetanilida, através de reaçao de Michael. Estes resultados diferem muito do esperado e proposto na literatura, deixando algumas dúvidas, se nao foram encontradas as condiçoes reacionais ou se a reatividade molecular da NAPQI pode ser alterada pelo efeito estéreo-eletrônico das duas metilas.

A hepatotoxicidade e a nefrotoxicidade foram avaliadas através do grau de necrose celular usando ratos e camundongos. As doses foram administradas pelas vias intraperitoneal (IP) e intragástrica (IG). Os compostos 3 e 5 substituídos apresentaram maior toxidade em doses crescentes, seguido pelos derivados 2 e 6 substituídos, comparados ao paracetamol (1) e o N-metil-paracetamol (15).81

Homólogos metilados

Derivados monometilados do PAR propostos por Nelson et al49 mostraram uma diminuiçao, tanto da atividade analgésica, quanto do potencial citotóxico, quando comparados ao paracetamol 1 e ao 3-metilparacetamol 13, demonstrando que estas atividades estao diretamente relacionadas, sendo observado também que o composto 2-metilparacetamol 14 possui atividade muito menor e que o N-metilparacetamol 15 é praticamente inativo, observados pelos valores de dose efetiva (DE50) na Figura 7 e na Tabela 1. A toxicidade está de acordo com a prova de funçao hepática, medida pelos níveis de transaminase.70

 


Figura 7. Derivados monometilados do paracetamol

 

 

 

Estes resultados mostram que estas duas atividades podem ser dependentes da formaçao do intermediário p-benzoquinona-imina (NAPQI). De fato, sem uma reaçao de N-desmetilaçao no derivado N-metil (15), ele nao pode formar o intermediário tipo quinona-inina, o que explicaria sua baixa atividade. Todavia, os derivados 3-metil (13) e 2- metil (14) devem formar quinona-imina, mas a posiçao do grupamento metila pode diferir a reatividade química desses compostos quando comparados com o PAR. Adicionalmente, os resultados de necrose celular apresentados na Tabela 2 confirmam que para compostos dimetilados admistrados seja pela via intraperitoneal (IP) ou intragástrica (IG), o derivado substituído na posiçao 2,6 (9) apresenta menor citotoxidade quando comparado ao seu isômero posicional 3,5 (10) e o PAR (1), devido a algum tipo de impedimento estérico durante o processo de metabolismo para a formaçao de derivados NAPQI.

 

 

Além disso, a capacidade redox pode explicar a capacidade de formar o intermediário reativo NAPQI e a atividade analgésica dos derivados, usando voltametria cíclica em diferentes condiçoes de pH. Os valores demonstraram uma relaçao direta da potência citotóxica e atividade analgésica com o potencial de oxidaçao, sendo que os mais baixos valores sao mais ativos, expostos na Tabela 3. No entanto, eles nao explicam a diferença na toxicidade, reafirmando assim a importância do efeito estérico na produçao de quinona-iminas.

 

 

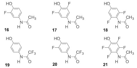
Análogos fluorados

A hepatotoxicidade e açao analgésica de seis análogos fluorados do paracetamol, compostos de 16-21, mostrados na Figura 8, foram avaliadas em ratos. Apesar da baixa atividade analgésica dos demais compostos, o candidato 20 foi 3,5 vezes mais ativo com menor potencial tóxico que o paracetamol. O potencial de oxidaçao dos compostos 19 e 20 foram os mais altos. Após o estudo da relaçao estrutura e atividade nenhum destes compostos avançou para a fase clínica.68

 


Figura 8. Derivados fluorados do paracetamol

 

Homólogos mono e dialquilados

A toxidade de derivados 3-monoalquil e 3,5-dialquil foi relacionada ao coeficiente de partiçao óleo/água (Log P), um parâmetro de solubilidade, sendo observado que os derivados contendo os substituintes volumosos, com maior valor de Log P, diminuem tanto a oxidaçao quanto a reatividade da aceto-imida-p-benzoquinona, mostrando que esta propriedade pode ser controlada pela lipofilicidade e efeitos estéricos,82-84 exemplificados na Tabela 4. As substituiçoes na posiçao 3-alquil mostrou potência similar ao paracetamol, 2-alquil foram menos potentes e 3,5-dialquil apresentaram a mesma potência analgésica e menor toxidade, comparando os níveis de transaminase entre os grupos, tratados e controle, enquanto que a N-alquilaçao destituí a molécula tanto da toxidade quanto da atividade analgésica.31

 

 

A diferença na toxicidade destes compostos parece estar relacionada tanto pela produçao de adutos quanto pela depleçao dos níveis de glutationa reduzida, sendo que os monossubstituídos apresentam os dois mecanismos, enquanto que os dissubstituídos apresentam apenas o mecanismo de reduçao,31 como mostra a Figura 9.

 


Figura 9. Mecanismos de reduçao de mono e dissubstituídos análogos

 

Análogos estruturais

Outro conjunto de derivados do paracetamol foi avaliado, sendo que as modificaçoes ocorreram nas posiçoes 3 e 5, através da introduçao de grupos alquílicos, halogenetos, oxigenados e sulfetos, a seguir na Tabela 5. Os compostos mostraram significativa mudança nas propriedades eletrônicas, mostrando uma reduçao do potencial de oxidaçao (POx) quando R1 e R2 sao grupos elétron-doadores (EDG) e elevaçao deste valor quando estes grupos sao elétron-retiradores (EWG). Os valores do POx mostraram boa correlaçao com atividade biológica (IC50) e toxicidade medida pelos níveis da atividade da enzima hepática lactato desidrogenase (LDH), sendo que os compostos com EDG foram mais ativos e menos tóxicos.

 

 

Substituiçoes de grupos elétron doadores (-CH3, -OCH3 e -SCH3) nas posiçoes 3,5 decrescem o potencial de ionizaçao, aumentam a inibiçao da ciclo-oxigenase e diminuem a toxicidade, enquanto que com grupos elétron atraentes (-F, -Cl, -Br e -I) diminuem a atividade biológica, mas reduzem a toxicidade discretamente.69 Bessems e colaboradores15 estudaram este grupo de compostos pelo método ab initio e demonstraram que a saída do hidrogênio ligado ao grupo fenol é muito mais favorecida do que o a saída do hidrogênio ligado ao nitrogênio do grupo amida em 125 kJ mol-1, sendo confirmada experimentalmente por meio do espectro de ESR (Espectro de Ressonância de Spin). Estes valores foram confirmados pelo método DFT.85,86

Derivados acil-etér-alquílico

Derivados com substituiçoes duplas foram concebidas visando desenvolver moléculas com atividade anti-inflamatória, uma vez que o paracetamol nao possui essa propriedade terapêutica. A síntese foi baseada na estrutura química do paracetamol, tendo em vista a elevada gastrotoxicidade da aspirina. As alteraçoes nas funçoes acetamida e fenol, gerando os derivados acil-etér ilustrados na Figura 10. Os compostos exibiram maiores atividades analgésicas e antinflamatórias quando comparados com a aspirina. Adicionalmente, das treze combinaçoes, onze demonstraram possuir atividade analgésica 2-10 vezes comparado à potência da aspirina 47. Além disso, todas as combinaçoes mostraram baixíssima gastrotoxicidade quando comparadas à aspirina,87 resultados mostrados na Tabela 6.

 


Figura 10. Paracetamol e derivados acil-éter-alquílico

 

 

 

O estudo da relaçao entre estrutura química e atividade biológica usando cálculos quânticos no nível DFT/B3LYP/6-31G(d) mostrou boa correlaçao entre o potencial de ionizaçao e os resultados biológicos, indicando a importância do caráter doador de elétrons dos derivados acil-éter do paracetamol. Além disso, o aumento das propriedades estéricas, tais como volume e superfície molecular, decrescem a atividade anti-inflamatória em modelos in vivo.88

Nitroderivados do paracetamol

Nosso grupo desenvolveu um eficiente protocolo para a síntese de nitroderivados do paracetamol (Figura 11). Os derivados 3-nitro- e 3,5-dinitro-paracetamol foram preparados através de reaçao de nitraçao regiosseletiva. As estruturas dos compostos nitrados foram confirmadas por ressonância magnética nuclear de hidrogênio e carbono e comparadas com o paracetamol. A substituiçao ocorre seletivamente na posiçao ortho ao grupo fenol com altos rendimentos. A reaçao usando a mistura HNO3 e H2SO4 na proporçao (1:5) em ácido acético produziu o composto 3-nitro-paracetamol como produto majoritário, enquanto que a reaçao do HNO3 em ácido acético produziu o 3,5-dinitro-paracetamol como produto principal. Os compostos apresentaram um aumento de sua acidez na seguinte ordem: paracetamol < 3-nitro-paracetamol < 3,5-dinitro-paracetamol, devido ao efeito retirador de elétrons do grupo nitro. Os resultados mostraram que a presença de grupos fortemente elétron-retiradores, além de modificar os efeitos eletrônicos, contribuíam também para o aumento da solubilidade aquosa, sendo os primeiros derivados hidrossolúveis do paracetamol.89 As avaliaçoes antioxidantes e analgésicas estao sendo realizados atualmente.

 


Figura 11. Paracetamol e seus nitroderivados

 

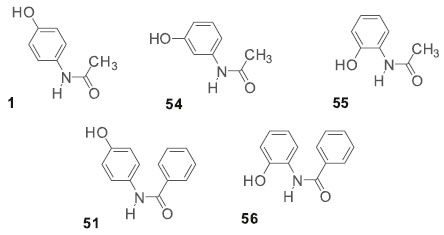
Associaçao molecular p-aminofenol e salicilatos

Em um esforço para desenvolver derivados de salicilatos como antioxidantes, nosso grupo utilizou o farmacóforo antioxidante do paracetamol 1 em uma associaçao molecular com o ácido salicílico 50, que pertencem a classe dos anti-inflamatórios nao esteróides, bem como pela substituiçao do grupo acetamida por benzamida. Três derivados desta associaçao entre p-aminofenol e salicilatos foram sintetizados e sua atividade antioxidante avaliada e comparada com aos seus genitores e o trolox. A estratégia sintética geral empregada para preparar os compostos alvos foi baseada na acilaçao ou benzoilaçao do p-aminofenol ou ácido 5-amino-salicílico com cloreto do benzoíla ou anidrido acético, formando o p-benzamidafenol 51, ácido 5-acetilamido-2-hidroxibenzóico 52 e ácido 5-benzamido-2-hidroxibenzóico 53, respectivamente, com rendimento 80-90% (Figura 12). Os dados de RMN de H1 e C13 foram usados para determinar a estrutura dos produtos derivados da reaçao.90

 


Figura 12. Derivados da associaçao molecular

 

Foi realizado estudo teórico do metabolismo do ácido salicílico usando cálculos de química quântica pela teoria do funcional de densidade no nível B3LYP, com a base 6-31G*, empregada para obter a energia, o potencial de ionizaçao e a distribuiçao da densidade de spin do ácido salicílico comparando com seus derivados, fenol e ácido benzóico. Os resultados confirmam a geraçao regiosseletiva do ácido 2,5-dihidroxibenzóico pelo CP450 e ácido 2,3-dihidroxibenzóico e catecol como derivados da reaçao seqüestrantes da atividade antioxidante.91

Além disso, as atividades antioxidantes dos compostos foram comparadas com o potencial de ionizaçao e o HOMO, calculados usando métodos TDF, para explorar a relaçao estrutura-atividade. Todos os cálculos foram executados usando os pacotes computacionais Gaussian 03, Hyperchem 7.5 e ChemOffice 2005. A atividade antioxidante foi determinada pela medida da inibiçao dos níveis de TBARS na peroxidaçao lipídica em eritrócitos humanos iniciadas por Fe2+ e ácido ascórbico, peróxido de hidrogênio e AAPH. Suas atividades seqüestrante de radicais livres foram avaliadas também, usando um radical livre estável, 1,1-difenil-2-picrilhidrazil (DPPH). O composto substituído pelo grupamento benzoíla (51) exibiu uma inibiçao mais potente do que o paracetamol, enquanto que os derivados da associaçao molecular (52 e 53) exibiram uma inibiçao mais potente do que o ácido salicilico. Os parâmetros moleculares relacionados à distribuiçao de eletrônica e estrutural, tais como potencial de ionizaçao (PI) e orbital molecular ocupado de mais alta energia (HOMO), apresentaram uma boa correlaçao com a açao antioxidante.92

Nos modelos de nocicepçao e inflamaçao o composto 52 apresentou inibiçao significante e dose-dependente com as doses utilizadas (10, 5 e 2,5 mg kg-1) nos testes de contorçao abdominal e formalina na fase 2, edema de pata e de orelha, bem como ausência de mortes na toxicidade oral aguda com as doses máximas permitidas para esse teste (2000 e 5000 mg kg-1). Esse composto apresenta atividade antinociceptiva de origem inflamatória, sem envolvimento de receptores opióides, atividade anti-inflamatória e antiedematogênica, classificado como agente xenóbióticos de baixa toxicidade. Este efeito pode ser devido à presença do grupo carboxilato polar, que altera as propriedades de ADMETox (absorçao, distribuiçao, metabolismo, excreçao e toxicidade) do paracetamol.93

Regioisômeros

Outro planejamento molecular realizado por nosso grupo foi baseado na estrutura do ligante usando métodos de química quântica no nível DFT para regioisômeros do paracetamol como candidatos a fármacos analgésicos (Figura 13). Os descritores moleculares HOMO, PI, energia de dissociaçao da ligaçao fenólica (EDLOH) e distribuiçao da densidade de spin foram relacionados com a reatividade química do radical tirosil, um grupo reativo presente no sitio ativo da ciclo-oxigenase, bem como pela formaçao de moléculas do tipo N-acetil-benzoquinona imina através da abstraçao de elétron ou hidrogênio, as quais sao responsáveis pela toxicidade do paracetamol.94

 


Figura 13. Regioisômeros do paracetamol

 

Os resultados mostraram a molécula ortobenzamol (56) como a mais promissora. Esse composto foi sintetizado, avaliado em modelos de nocicepçao como contorçao abdominal, edema de pata e placa quente, e os resultados confirmaram a prediçao do estudo teórico. Todos os resultados biológicos sugerem uma atividade antinociceptiva mediada por receptores opióides. De fato, os resultados mostraram que no tempo de 90 e 120 min, o novo composto teve um efeito comparável à mofina, usada como droga padrao para este teste.95

 

CONSIDERAÇOES FINAIS E PERSPECTIVAS

Uma detalhada revisao do paracetamol e seus mecanismos farmacológicos sobre a enzima prostaglandina endoperóxido sintase, e toxicológicos, mediados pelo sistema de oxidaçao mista citocromo P-450, foi apresentada. Os estudos envolvendo derivados mono- e di-alquilados, halogenados, análogos heteroatômicos, amida e éter foram propostos visando ampliar a atividade e reduzir a toxicidade. Estes compostos modificaram os aspectos eletrônicos, conformacionais, a solubilidade e a reatividade, alterando as concentraçoes dos candidatos nas biofases e o modo de interaçao no sitio ativo, descrevendo as relaçoes entre estrutura e atividade. Adicionalmente, os derivados propostos por nosso grupo de pesquisa, tais como os nitroderivados, derivados da associaçao paracetamol e salicilatos, e regioisômeros avaliados até o momento mostraram um perfil diferenciado, especialmente na modificaçao das propriedades de ADMETox.

Novos esforços estao sendo realizados visando o desenvolvimento de novos derivados mais seguros do paracetamol e com melhor perfil terapêutico, em nosso grupo de pesquisa, o Núcleo de Estudos e Seleçao de Moléculas Bioativas - NESBio/UFPA, em parceria com o grupo de Química Quântica do Instituto de Química de Sao Carlos da Universidade de Sao Paulo.86,88,92,94-96

 

REFERENCIAS

1. The Merck Index. 9th ed., Rahway, 1976.

2. Jones, A. L.; J. Toxicol. Clin. Toxicol. 1998, 36, 277.

3. Flower, R. J.; Vane, J. R.; Nature 1972, 240, 410.

4. Lister, C. F.; McLean, A. E.; Toxicology 1997, 116, 49.

5. Nelson, S. D.; Drug Met. Rev. 1995, 27,147,

6. Stoyanovsky, D. A.; Cederbaum, A. L.; Toxicol. Lett. 1999, 106, 23.

7. Salles, M. O.; Araujo, W. R.; Paixao, T. R. L. C.; J. Braz. Chem. Soc. 2016, 27, 54.

8. Santos, A. M.; Vicentini, F. C.; Deroco, P. B.; Rocha-Filho, R. C.; Fatibello-Filho, O.; J. Braz. Chem. Soc. 2015, 26, 2159.

9. De Oliveira, R.; Pissetti, F. L.; Lucho, A. M. S.; Quim. Nova 2016, 39, 146.

10. Ruela, A. L. M.; Araújo M. B.; Pereira G. R.; Quim. Nova 2009, 32, 165.

11. França, M. D.; Santos, L. M.; Silva, T. A.; Borges, K. A.; Silva, V. M.; Patrocinio, A. O. T.; Trovó, A. G.; Machado, A. E. H.; J. Braz. Chem. Soc. 2016, 27, 1094.

12. Gandhi, S. V.; Ranher, S. S.; Deshpande, P. B.; Shah, D. K.; J. Braz. Chem. Soc. 2011, 22, 1068.

13. Moreira, T. S.; Cid, Y. P.; Pierre, M. B. R.; de Sousa, V. P.; Kummerle, A. E.; Fraga, C. A. M.; Quim. Nova 2009, 32, 1324.

14. De Oliveira, R. G.; Alencar-Filho, E. B.; Vasconcellos, M. L. A. A.; Quim. Nova 2014, 37, 69.

15. Bessems, J. G. M.; De Groot, M. J.; Baede, E. J.; Te Koppele, J. M.; Vermeulen, N. P. E.; Xenobiotica 1998, 28, 855.

16. De Vries, J.; Biochem. Pharmacol. 1981, 30, 399.

17. Hinson, J. A.; Roberts, D. W.; Benson, R. W.; Dalhoff, K.; Loft, S.; Poulsen, H. E.; Lancet 1990, 335, 732.

18. Albano, E.; Rundgren, M.; Harvison, P. J.; Nelson, S. D.; Moldeus, P.; Mol. Pharmacol. 1985, 28, 306.

19. Van De Straat, R.; Vromans, R. M.; Bosman, P.; De Vries, J.; Vermeulen, N. P. E.; Chem.-Biol. Interact. 1988, 64, 267.

20. Bessems, J. G. M; Vermeulen, N. P. E.; Crit. Rev. Toxicol. 2001, 31, 55.

21. Thomas, S. H. L.; Pharmacol. Ther. 1993, 60, 91.

22. Tone, Y.; Kawamata, K.; Murakami, T.; Higashi, Y.; Yata, N.; J. Pharmacobio-Dyn. 1990, 13, 327.

23. Harvison, P. J.; Guengerich, F. P.; Rashed, M. S.; Nelson, S. D.; Chem. Res. Toxicol. 1988, 64, 47.

24. Hinson, J. A.; Pohl, L. R.; Monks, T. J.; Gillette, J. R.; Guengerich, F. P.; Drug Metab. Dispos. 1980, 24, 289.

25. Forte, A. J.; Wilson, J. M.; Slattery, J. T.; Nelson, S. D.; Drug Metab. Dispos. 1984, 12, 484.

26. Pfeiffer, E.; Metzler, M.; Chem.-Biol. Interact. 1996, 102, 37.

27. Prescott, L. F.; Br. J. Clin. Pharmacol. 1980, 10, 291S.

28. Knox J. H.; Jurand J.; J. Chromatogr. 1977, 142, 651.

29. Blazka, M. E.; Wilmer, J. L.; Holladay, S. D.; Wilson, R. E.; Luster, M. I.; Toxicol. Appl. Pharmacol. 1995, 133, 43.

30. Moldéus, P.; Andersson, B.; Rahimtula, A.; Berggren, M.; Biochem. Pharmacol. 1982, 31, 1363.

31. Van De Straat, R.; De Vries, J., Kulkens, T.; Debets, A. J.; Vermeulen, N. P. E.; Biochem. Pharmacol. 1986, 35, 3693.

32. Vendemiale, G.; Grattagliano, I.; Altomare, E.; Turturro, N.; Guerrieri, F.; Biochem. Pharmacol. 1996, 52, 1147.

33. Tirmenstein, M. A.; Nelson, S. D.; J. Biol. Chem. 1990, 265, 3059.

34. Hongslo, J. K.; Smith, C. V.; Brunborg, G.; Soderlund, E. J.; Holme J. A.; Mutagenesis 1994, 9, 93.

35. Vermeulen, N. P. E.; Bessems, J. G. M.; Van De Straat, R.; Drug Metab. Rev. 1992, 24, 367.

36. Emeigh Hart, S. G.; Wyand, D. S.; Khairallah, E. A.; Cohen, S. D.; Toxicol. Appl. Pharmacol. 1996, 136, 161.

37. Eguia, L.; Materson, B. J.; Pharmacotherapy 1997, 17, 363.

38. Jeffery, E. H.; Haschek, W. M.; Toxicol. Appl. Pharmacol. 1988, 93, 452.

39. Bartolone, J. B.; Beierschmitt, W. P.; Birge, R. B.; Hart, S. G.; Wyand, S.; Cohen, S. D.; Khairallah, E. A.; Toxicol. Appl. Pharmacol. 1989, 99, 240.

40. Lubek, B. M.; Avaria, M.; Basu, P. K.; Wells, P. G.; Fundam. Appl. Toxicol. 1988, 10, 596.

41. Wells, P. G.; Wilson, B.; Winn, L. M.; Lubek B. M.; Can. J. Physiol. Pharmacol. 1995, 73, 1123.

42. Fischereder, M.; Jaffe, J. P.; Am. J. Hematol. 1994, 45, 258.

43. Sandler, D. P.; Smith, J. C.; Weinberg, C. R.; Buckalew, V. M. Jr.; Dennis, V. W.; Blythe, W. B.; Burgess, W. P.; N. Engl. J. Med. 1989, 320, 1238.

44. Sies, H.; Angew Chem., Int. Ed. Engl. 1986, 25, 1058.

45. Keller, R. J., Hinson, J. A.; Drug Metab. Dispos. 1991, 19, 184.

46. Subrahmanyam, V. V.; McGirr, L. G.; O'Brien, P. J.; Chem.-Biol. Interact. 1987, 61, 45.

47. Birge, R. B.; Bartolone, J. B.; Cohen, S. D.; Khairallah, E. A.; Smolin, L. A.; Biochem. Pharmacol. 1991, 42, 197.

48. Adamson, G.M.; Harman, A. W.; Biochem. Pharmacol. 1993, 38, 2289.

49. Nelson, S. D.; Tirmenstein, M. A.; Rashed, M. S.; Myers, T. G.; Adv. Exp. Med. Biol. 1991, 283, 579.

50. Novak, M.; Pelecanou, M.; Pollack, L.; J. Am. Chem. Soc. 1986, 108, 112.

51. Zhou, L. X.; Erickson, R. R.; Holtzman, J. L.; Biochim. Biophys. Acta 1997, 1335, 153.

52. Nelson, S.; Dahlin, E. A.; Mol. Pharmacol. 1981, 20, 195.

53. Potter, D. W.; Miller, D. W.; Hinson, J. A.; Mol. Pharmacol. 1986, 29, 155.

54. Potter, W. Z.; Davis, D. C.; Mitchell, J. R., Jollow, D. J., Gillette, J. R.; Brodie, B. B.; J. Pharmacol. Exp. Ther. 1973, 187, 203.

55. Harvison, P. J.; Egan, R. W.; Gale, P. H.; Nelson, S. D.; Adv. Exp. Med. Biol. 1986, 197, 739.

56. Eszter, H.; Vereczkey, L.; Monostory, K.; Biochem. Biophys. Res. Commun. 2002, 291, 1089.

57. Potter, D. W.; Hinson, J. A.; J. Biol. Chem. 1987, 262, 974.

58. Eling, T. E.; Curtis, J. F.; Pharmacol. Ther. 1992, 53, 261.

59. Pirmohamed, M.; Madden, S.; Park, B. K.; Clin. Pharmacokinet. 1996, 31, 215.

60. Eastmond, D. A.; Toxicol. Lett. 1993, 67, 105.

61. Khairallah, E. A.; Bruno, M. K.; Hong, M.; Cohen, S. D.; Toxicologist 1995, 15.

62. Hoivik, D.J.; Manautou, J. E.; Tveit, A.; Mankowski, D. C.; Khairallah, E. A.; Cohen, S. D.; Fundam. Appl. Toxicol. 1996, 32, 79.

63. Kulmacz, R. J.; Palmer, G.; Tsai, A. L.; Mol. Pharmacol. 1991, 40, 833.

64. Kulmacz, R. J.; Pendleton, R. B.; Lands, W. E. M.; J. Biol. Chem. 1994, 269, 5527.

65. Malmberg, A. B.; Yaksh, T. L.; Science 1992, 257, 1276.

66. Mattamal, M. B.; Zenser, T. V.; Brown, W. B.; Herman, C. A.; Davis, B. B.; J. Pharmacol. Exp. Ther. 1979, 210, 405.

67. Barnard, S.; Storr R. C.; O'Neill, P. M.; Park, B. K.; J. Pharm. Pharmacol. 1993, 45, 736.

68. Bessems, J. G. M.; Gaisser, H. D.; Te Koppele, J. M.; Van Bennekom, W. P.; Commandeur, J. N. M.; Vermeulen, N. P. E.; Chem.-Biol. Interact. 1995, 98, 237.

69. Harvison, P. J.; Forte, A. J.; Nelson, S. D.; J. Med. Chem. 1986, 1, 1737.

70. Park, B. K.; Kitteringham, N. R.; Drug Metab. Rev. 1994, 26, 605.

71. Araújo, C. R. M.; Leite Filho, C. A.; Santos, V. L. A.; Maia, G. L. A.; Gonsalves, A. A.; Quim. Nova 2015, 38, 868.

72. Kankanala, K.; Reddy, V. R; Mukkanti, K.; Pal, S.; J. Braz. Chem. Soc. 2010, 21, 1060.

73. Pericherla, S.; Mareddy, J.; Geetha, R. D. P.; Gollapudi, P. V; Pal, S.; J. Braz. Chem. Soc. 2007, 18, 384.

74. Jayaselli, J.; Cheemala, J. M. S.; Geetha Rani, D. P.; Pal, S.; J. Braz. Chem. Soc. 2008, 19, 509.

75. Baptistella, L. H. B.; Giacomini, R. A.; Imamura, P. M.; Quim. Nova 2003, 26, 284.

76. Sangi, D. P.; Quim. Nova 2016, 39, 995.

77. Nam, T. G.; Nara, S. J.; Zagol-Ikapitte, I.; Cooper, T.; Valgimigli, L.; Oates, J. A.; Porter, N. A.; Boutaud, O.; Pratt, D. A.; Org. Biomol. Chem. 2009, 7, 5103.

78. Fresno, N.; Pérez-Fernández, R.; Goicoechea, C.; Alkorta, I.; Fernández-Carvajal, A.; de la Torre-Martínez, R.; PloS One 2014, 9, e113841.

79. Fernando, C.R.; Calder, I.C.; Ham, K. N.; J. Med. Chem. 1980, 23, 1153.

80. Calder, I. C.; Hart, S. J.; Healey, K.; Ham, K. N.; J. Med. Chem. 1981, 24, 988.

81. Van De Straat, R.; De Vries, J.; Groot, E. J.; Zijl, R.; Vermeulen, N. P.; Toxicol. Appl. Pharmacol. 1987, 89, 183.

82. Van De Straat, R.; De Vries, J.; Vermeulen, N. P.; Biochem. Pharmacol. 1987, 36, 613.

83. Van De Straat, R.; De Vries, J.; De Boer, H. J. R.; Vromans, R. M.; Vermeulen, N. P.; Xenobiotica 1987, 17, 1.

84. Diniz, J. E. M.; Borges, R. S.; Alves, C. N.; J. Struc. Mol. (THEOCHEM) 2003, 673, 93.

85. Alves, C. N.; Borges, R. S. & Da Silva, A. B. F.; Int. J. Quant. Chem. 2006, 106, 2617.

86. Duffy, J. R.; Dearden, J. C.; Rostron, C.; Pharm. Pharmacol. 2001, 53, 1505.

87. Silva, J. R.; Queiroz, L. M. D.; Queiroz, A. N.; Souza, P. J. C.; Borges, R. S.; J. Comput. Theor. Nanosci. 2011, 8, 670.

88. Costa W. S.; Gurrao E. P. C.; Trabalho de Conclusao de Curso, Universidade Federal do Pará, Brasil, 2004.

89. Borges, R. S.; Tese de Doutorado, Universidade Federal do Pará, Brasil, 2007.

90. Borges, R. S.; Mendes, A. P. S.; Silva, B. H. S.; Alves, C. N.; Nascimento, J. L. M.; Med. Chem. Res. 2011, 20, 269.

91. Borges, R. S; Pereira, G. A. N.; Vale, J. K. L.; França, L. C. S.; Monteiro, M. C.; Alves, C. N.; Da Silva, A. B. F. Chem. Biol. Drug Des. 2013, 81, 419.

92. Queiroz, L. M. D.; Dissertaçao de Mestrado, Universidade Federal do Pará, Brasil, 2010.

93. Queiroz, L. M. D.; Rocha, J. R.; Leitao, A.; Montanari, C. A.; Da Silva, A. B. F.; Sousa, P. J. C.; Borges, R. S.; Chem. Biol. Drug Des. 2012, 80, 99.

94. Borges, R. S.; Barros, T. G.; Pereira, G. A. N.; Batista, J.; Beleza Filho, R. F. G. P.; Veiga, A. A. S.; Hamoy, M.; Mello, V. J.; Da Silva, A. B. F.; Barros, C. A. L.; Pharmacol. Pharm. 2014, 5, 1185.

95. Al-Mustafa, Z. H., Al-Ali, A. K., Qaw, F. S.; Abdul-Cader, Z.; Toxicology 1997, 121, 223.

96. Bergman, K.; Muller, L.; Teigen S. W.; Mutat. Res. 1996, 349, 263.

 

#Programa de Pós-Graduaçao em Química Medicinal e Modelagem Molecular.

On-line version ISSN 1678-7064 Printed version ISSN 0100-4042
Qu�mica Nova
Publica��es da Sociedade Brasileira de Qu�mica
Caixa Postal: 26037 05513-970 S�o Paulo - SP
Tel/Fax: +55.11.3032.2299/+55.11.3814.3602
Free access

GN1