JBCS



20:18, sáb out 25

Acesso Aberto/TP



Revisão


MOFs (Metal-Organic Frameworks): uma fascinante classe de materiais inorgânicos porosos
MOFs (Metal-Organic Frameworks): a fascinating class of porous inorganic materials

Regina C. G. Frem*; Guilherme Arroyos; Jader B. da Silva Flor; Renata C. Alves; Guilherme N. Lucena; Caroline M. da Silva; Mariana F. Coura

Departamento de Química Geral e Inorgânica, Instituto de Química, Universidade Estadual de São Paulo, 14800-970 Araraquara - SP, Brasil

Recebido em 23/04/2018
Aceito em 16/07/2018
Publicado na web em 11/09/2018

Endereço para correspondência

*e-mail: rcgfrem@iq.unesp.br

RESUMO

Metal-Organic Frameworks (MOFs) are, according to IUPAC, coordination polymers with an open framework containing potential voids, which can be accessible after activation processes. These materials have aroused interest in the academic environment - and more recently in industry - because their properties such as high crystallinity, permanent microporosity, high surface areas, and the possibility of functionalization. This has enabled applications in different areas, such as gas adsorption, catalysis, drug delivery, photonics and others. Depending on the judicious choice of the metals and the organic linkers, MOFs with different topologies and functions can be created. Synthetic routes for the preparation of these materials will be discussed, highlighting those in consonance with the Green Inorganic Chemistry. Strategies for controlling the size and morphology of the crystals will also be presented, as well the most recent methodologies for the large-scale production. This review will also discuss the use of MOFs in the context of energy and environment, particularly referring to the adsorption and/or transformation of CO2, storage of H2 and CH4 as well potable water capture.

Palavras-chave: MOFs; porous materials; reticular chemistry; green inorganic synthesis; environment and energy.

INTRODUÇAO

As MOFs (Metal-Organic Frameworks) consistem em uma classe de materiais porosos, cujo campo de pesquisa tem crescido muito rapidamente nas últimas duas décadas, particularmente após o trabalho icônico de Omar Yaghi e coautores1 sobre um composto de Zn(II) contendo 1,4-benzeno-dicarboxilato (tereftalato) como ligante, chamado MOF-5. Estes materiais sao formados a partir da interaçao entre íons ou clusters metálicos e ligantes orgânicos multitópicos. Deve-se salientar que a ligaçao química metal-ligante envolvida na formaçao de MOFs é de natureza predominantemente covalente do tipo ácido/base de Lewis (íon metálico e ligante, respectivamente), visto que se tratam de compostos de coordenaçao.2

Após 1999, mais do que uma centena de artigos de revisao3-7 e alguns livros8-13 têm sido publicados envolvendo o design e a síntese de MOFs, análises estrutural e topológica, propriedades e aplicaçoes, além de estudos de modelagem molecular. Com relaçao a este último tópico, os principais grupos de pesquisa em MOFs têm usado predominantemente a dinâmica molecular clássica para estudar os tipos de interaçao com moléculas gasosas, embora alguns estudos utilizando a simulaçao de estrutura eletrônica baseada na Teoria do Funcional da Densidade (DFT) também estao sendo realizados.3,8

Do ponto de vista do ensino de Química, periódicos como o Journal of Chemical Education vêm demonstrando a importância da realizaçao de experimentos sobre o tema MOFs em disciplinas de Química Inorgânica,14,15 já estando inclusive na capa de um importante livro-texto de Química Geral.16 No que diz respeito à material de referência sobre o assunto disponível em língua portuguesa, do que seja do nosso conhecimento, existem apenas dois artigos publicados na Química Nova17,18 e um livro coordenado pelo professor Severino Alves, da Universidade Federal de Pernambuco.19 Portanto, a grande motivaçao para a publicaçao desse artigo de revisao é colaborar na disponibilizaçao, para nossos jovens pesquisadores e estudantes brasileiros, de um texto conciso e atualizado, em língua portuguesa, sobre o estado da arte dessa nova classe de materiais inorgânicos porosos, e que possa, dessa forma, despertar o interesse para essa importante e atual área do conhecimento. De fato, o grande interesse nesse tipo de material, que praticamente nao é encontrado na natureza - com exceçao dos minerais stepanovita e zhemchuzhnikovita20 - está relacionado com o conjunto de suas propriedades bem características. Alta cristalinidade, microporosidade permanente (em sua grande maioria), valores elevados de área superficial, baixa densidade, boas estabilidades térmica e química,21,22 além da possibilidade de funcionalizaçao de seus poros, tornam as MOFs altamente atrativas em pesquisa de fronteira. No que diz respeito à funcionalizaçao desses materiais, importante destacar a predominância de ligaçoes covalentes nesse processo, que podem ocorrer no ligante e/ou no metal, sendo este último caso apenas possível se houver sítios de coordenaçao insaturados. Dentro dessa perspectiva, estudos vêm sendo realizados envolvendo aplicaçoes desse tipo de material em diferentes áreas como armazenamento23,24 e separaçao de gases,25 catálise heterogênea,26 liberaçao de fármacos,27 fotônica,28 entre outras.29-32

A partir de 2012, a Divisao de Química Inorgânica da IUPAC (Uniao Internacional de Química Pura e Aplicada) tem recomendado o uso da definiçao oficial de MOF como "uma rede de coordenaçao com ligantes orgânicos contendo cavidades potencialmente vazias".2,33 Do ponto de vista histórico, o primeiro trabalho acerca dessa classe de materiais foi publicado por Kinoshita e colaboradores em 1959.34 Esse artigo envolveu a síntese de um sólido de coordenaçao construído a partir de interaçoes covalentes entre íons Cu(I) tetraédricos e adiponitrila como ligante. Trinta anos mais tarde, Hoskins e Robson publicaram o primeiro artigo no qual foi introduzido o conceito de estruturas poliméricas porosas baseadas em ligaçoes covalentes metal-ligante.35 Usando o modelo nod-and-spacer proposto por Wells em 1978,36 um sólido de coordenaçao 3D foi obtido, consistindo de centros tetraédricos ligados por unidades de construçao lineares. Dez anos se passaram antes que pudesse ter sido evidenciada a prova da porosidade permanente para MOFs.37 Esse mesmo grupo de pesquisa, liderado pelo professor Omar Yaghi, preparou o composto de coordenaçao [Zn4O(BDC)3].(DMF)8(C6H5Cl), onde BDC = 1,4-benzenodicarboxilato e DMF = N,N'-dimetilformamida, conhecido1 como MOF-5. A partir de entao, as MOFs começam a se tornar conhecidas no meio acadêmico e observa-se um crescimento vertiginoso dessa área de pesquisa. No que se refere à nomenclatura das MOFs, é bastante comum que elas sejam "batizadas" com uma sigla que representa o nome do lugar onde foram originalmente obtidas, seguido por um número inteiro (n) atribuído em ordem cronológica da descoberta. Como exemplos, podemos citar as MOFs conhecidas como MIL-n (MIL = Matériaux de I'Institut Lavoisier),38 HKUST-n (HKUST = Hong-Kong University of Science and Technology)39 ou UiO-n (UiO = Universitetet i Oslo).40

Síntese Reticular e Topologias de MOFs

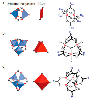
Visando analisar os fatores responsáveis pela montagem das MOFs a partir de blocos de construçao moleculares e que contribuíssem entao para o planejamento racional dessa classe de materiais, o grupo do professor Omar Yaghi desenvolveu uma metodologia, baseada nos conceitos da Química Modular,41 conhecida como Síntese Reticular. Na estratégia proposta, moléculas orgânicas politópicas se ligam a íons de metais de transiçao.42 Em seguida, os autores relataram o próximo estágio no desenvolvimento das MOFs, introduzindo o conceito de unidades de construçao secundárias (secondary building units, SBUs)43 que sao ligadas por ligaçoes covalentes fortes através de todo o cristal. SBUs podem entao ser definidas como "complexos e clusters moleculares nos quais os modos de coordenaçao do ligante e as geometrias de coordenaçao do metal podem ser utilizados na transformaçao desses fragmentos em redes estendidas porosas usando ligantes politópicos". Em 2003, o grupo publica, entao, um artigo definitivo no qual fica estabelecida a estratégia conceitual (Síntese Reticular) para a construçao racional de MOFs a partir de unidades de construçao moleculares.44 Química Reticular se refere, portanto, à organizaçao de estruturas ordenadas pré-determinadas através de blocos de construçao moleculares rígidos (SBUs) que se repetem e se mantém unidos através de ligaçoes metal-ligante. Nesse trabalho, os autores redefinem o termo SBU (originalmente usado para descrever fragmentos de zeólitas), se referindo à geometria das unidades definidas pelos pontos de extensao. Na Figura 1, por exemplo, algumas SBUs sao mostradas, onde os pontos de extensao correspondem aos átomos de carbono (em preto) em MOFs baseadas em carboxilatos.45 No lado direito dessa mesma figura, pode ser vista uma representaçao química dos mesmos blocos de construçao.

 


Figura 1. Duas formas diferentes de representar algumas unidades de construçao (SBUs, Secondary Building units) de MOFs baseadas em ligantes carboxilatos. A esquerda: O, vermelho; C, preto; poliedros metal-oxigênio em azul; polígono ou poliedro definidos pelos átomos de carbono do carboxilato (SBUs) em vermelho. A direita: representaçao química. (a) SBU dinuclear quadrada (paddle-wheel) do tipo [M2(O2CR)4L2] (M = metal de transiçao, L = ligante axial) com quatro grupos carboxilatos em ponte, (b) SBU trimetálica µ3-oxo do tipo [M3O(O2CR)6L3] com seis carboxilatos em ponte, (c) SBU tetrametálica µ4-oxo [M4O(O2CR)6], protótipo de um octaedro molecular. Reproduzido das referências 44 e 45 com permissao da Nature e American Chemical Society

 

No entanto, para a formaçao de uma rede estendida, é imprescindível que as unidades de construçao secundárias (as SBUs) sejam posicionadas corretamente na estrutura do material (para garantir a tridimensionalidade) e para isso, a geometria do ligante orgânico passa a desempenhar um papel da maior relevância. Como mostra a Figura 2A, materiais construídos a partir do mesmo bloco de construçao quadrado (ver representaçao a da Figura 1) podem apresentar diferentes dimensionalidades, dependendo da forma do ligante orgânico que os interconecta. Poliedros discretos (uso, nesse caso, do ligante angular 1,3-benzenodicarboxilato) até MOFs 3D, passando por cadeias 1D e folhas 2D podem ser formados.46 Na Figura 2B, está ilustrada a estrutura cristalina da MOF-101 de topologia nbo, construída a partir da combinaçao entre blocos de construçao quadrados do tipo Cu2(COO)4 e o ligante 2-bromo-1,4-benzenodicarboxilato.47

 


Figura 2. (a) Nanopartícula, cadeia, folha e 3D rede estendida formadas pelas interconexoes entre a mesma SBU quadrada do tipo paddlewheel (vermelho) e ligantes ditópicos de diferentes geometrias (preto), (b) Estrutura cristalina do [Cu2{o-Br-C6H3(CO2)2}22H2O].(DMF)8.(H2O)2 (MOF-101) com topologia nbo. Cu, azul; O, vermelho; C, preto; Br, verde. A esfera amarela representa uma das cavidades na estrutura do material. Reproduzido das referências 46 e 47 com permissao da Cambridge University Press and American Chemical Society

 

Logo, do ponto de vista da química reticular, para uma geometria específica de unidade de construçao, MOFs racionalmente projetadas podem ser sintetizadas. Pelo fato de os vértices topologicamente diferentes e a conectividade entre eles serem praticamente infinitos, o número de estruturas possíveis seria, em princípio, ilimitado. Contudo, o ponto central desse modelo é que, de acordo com os princípios do design geométrico, há um número relativamente pequeno de topologias básicas (default nets) que podem ser formadas. Em outras palavras, dependendo da geometria e conectividade dos blocos de construçao, as MOFs sintetizadas apresentarao topologias básicas simples.48,49 E a partir dos dados topológicos coletados, as redes mais comuns podem ser identificadas através da base de dados Reticular Chemistry Structure Resource (RCSR).50 No momento em que esse artigo está sendo redigido (abril de 2018) mais do que 2800 redes 3D diferentes estao descritas na base RCSR.50 No entanto, a maioria delas apresentam topologias básicas muito simples para uma determinada forma e conectividade dos blocos de construçao. A título de ilustraçao, a Tabela 1 lista topologias comuns (default nets) com um ou dois tipos de SBUs e MOFs representativas de cada uma delas.48,49 Deve ser destacado que os códigos de três letras que identificam as redes que descrevem as topologias das MOFs podem ser abreviaçoes de um tipo de estrutura (pcu = primitive cubic), nome de um mineral (dia = diamante) ou a forma contraída da fórmula de compostos químicos, como srs que corresponde à rede de átomos de silício em SrSi2.51-53

 

 

Importante informar que, na mesma época em que Yaghi e O'Keeffe desenvolviam os primeiros trabalhos sobre MOFs (início da década de 2000), Kitagawa e colaboradores60 relataram a descoberta do sólido 3D altamente poroso [{CuSiF64,4'-bipiridina.2}n], construído através de uma estratégia sintética análoga baseada em blocos de construçao.

De qualquer modo, convém destacar aqui que o modelo da química reticular só é capaz de prever a estrutura e a topologia da rede de uma MOF se seus blocos de construçao tiverem uma forte tendência em formar clusters específicos tais como [Zn4O(COO)6] na MOF-5, por exemplo. Reaçoes envolvendo os mesmos íons metálicos e ligantes podem de outro modo levar à formaçao de MOFs completamente diferentes, dependendo da rota sintética e/ou das condiçoes de reaçao usadas para obter o material. Também é muito difícil projetar a síntese de uma MOF cuja estrutura consiste de SBUs de formas nao bem definidas, por exemplo. Dentro desse contexto, Yaghi e O'Keeffe publicaram em 2012 um trabalho de revisao onde mostram como reduzir estruturas de alta complexidade às topologias básicas.61

MOFs estruturalmente mais complexas podem ser desenhadas e construídas usando a estratégia conceitual conhecida como SBB (supermolecular building block) proposta por Zaworotko.62-64 Essa concepçao de engenharia de cristal é baseada no uso de poliedros metal-orgânicos (MOPs) grandes e de alta simetria como blocos de construçao (SBBs) para a construçao de uma nova classe de MOFs com alto nível de controle sobre a topologia e um novo nível de escala (vários nanômetros) para a estrutura resultante. Apenas para dar um exemplo, a Figura 3 ilustra uma MOF porosa com topologia pcu, construída de poliedros discretos do tipo [Cu6L8](NO3)12(L = N,N',N''-tris3-piridinil.-1,3,5-benzenotricarbóxiamida) como unidades de construçao (SBBs).65 Este composto orgânico (L) de simetria-C3 atua como ligante facial triangular enquanto íons Cu(II) tetragonalmente distorcidos podem ser considerados os vértices do octaedro molecular. Os contraíons nitrato ligam esses vértices metálicos, uma vez que o sítio axial do íon Cu(II) está direcionado para o exterior dos nanocages, servindo como um nó de conexao para a formaçao da rede 3D. Como também pode ser observado na Figura 3, dois tipos diferentes de nanocages (representados pelos octaedros amarelos e verdes) interagem entre si através de forças intermoleculares do tipo π.π stacking entre os anéis aromáticos centrais dos ligantes. No entanto, a MOF retém as cavidades em escala nanométrica, que originalmente pertenciam aos poliedros de construçao (MOPs). Mais recentemente, Eddaoudi e Lah introduziram outra estratégia de design para a construçao de MOFs de alta complexidade estrutural baseada no conceito de supermolecular building layer (SBL).66,67 A partir dessa metodologia, é possível obter redes tridimensionais de diversas topologias via o empilhamento de MOFs bidimensionais usando, por exemplo, os sítios metálicos axiais disponíveis na vizinhança e ligantes ditópicos.

 


Figura 3. (a) ligante N,N',N''-tris(3-piridinil)-1,3,5-benzenotricarbóxiamida; (b) octaedro discreto (MOP) do tipo [Cu6L8]12+ com faces (em azul) representando os C3-ligantes e vértices (em verde) representando os íons Cu2+; (c) uma rede cúbica primitive (pcu) obtida pela ligaçao entre as MOPs e ânions nitrato; (d) diagrama de empacotamento esquemático da estrutura cristalina, mostrando o nitrato ditópico como bastoes verdes ou amarelos e a interaçao intermolecular do tipo π.π, como pontos em cinza. Reproduzido das referências 63 e 65 com permissao da The Royal Society of Chemistry e American Chemical Society

 

Há uma classificaçao recente das MOFs68 que leva em conta o efeito exercido pela molécula ou íon-hóspede em seu interior e está representada na Figura 4.

 


Figura 4. Representaçoes estruturais do efeito da remoçao de uma molécula ou íon hóspede (G) dos poros de MOFs de diferentes geraçoes. Legenda: aresta azul = ligantes; poliedro vermelho = SBU metálica; esfera azul = modificaçao pós-sintética; elipse rosa: espécie de interesse. Adaptada da referência 68 com permissao da The Royal Society of Chemistry

 

De fato, as MOFs relatadas à época do trabalho pioneiro de Yaghi e O'Keeffe 1999. possuíam apenas um íon metálico como vértice da rede metalorgânica. Estes íons nao eram robustos o suficiente para manter a rigidez estrutural quando se removiam as moléculas de solvente oclusas nos poros. Portanto, ao dessorver estas moléculas, a estrutura colapsava, sendo entao possível utilizá-la apenas uma única vez.69 Estas MOFs foram classificadas como de primeira geraçao e estao representadas no canto superior esquerdo da Figura 4. Por outro lado, quando os vértices da estrutura sao compostos pelas unidades de construçao secundária (secondary building units, SBUs),44 na realidade clusters metálicos rígidos, formam-se MOFs categorizadas como de segunda geraçao,1 também ilustradas na Figura 4. Estas MOFs possuem, entao, estrutura rígida, além de porosidade permanente, ao se remover moléculas de solvente adsorvidas em suas cavidades. No que diz respeito às MOFs de terceira geraçao, estas apresentam uma certa flexibilidade estrutural como principal característica.70 Esta flexibilidade faz com que a estrutura se deforme reversivelmente quando uma substância é adsorvida ou por efeito de um estímulo externo (luz, temperatura ou campo elétrico). Estes materiais sao chamados de breathing MOFs ou MOFs dinâmicas.71 As MOFs de quarta geraçao sao aquelas que podem sofrer modificaçoes pós-sintéticas sem alterar a topologia do material. Estas funcionalizaçoes consistem em introduzir grupos funcionais (moléculas ou íons) na estrutura da MOF já sintetizada visando reconhecimento molecular de sítios específicos.72-74 Ao contrário do processo de adsorçao de hóspedes nos poros, na modificaçao pós-sintética, a substância introduzida passa a fazer parte da estrutura do material. As MOFs de terceira e quarta geraçoes estao representadas na parte inferior da Figura 4.

 

ESTRATÉGIAS DE PREPARAÇAO DE MOFS EM PEQUENA E GRANDE ESCALA

Várias rotas sintéticas para a preparaçao de MOFs têm sido apresentadas e discutidas na literatura.75-78 A maioria consiste de métodos em soluçao tais como mistura direta de íons metálicos solúveis e ligantes orgânicos (via adiçao direta ou difusao lenta),79 solvotérmico (usando aquecimento elétrico),80 síntese assistida por microondas (também sob condiçoes solvotérmicas),81 sonoquímico82 e eletroquímico.83,84 A síntese solvotérmica, por exemplo, embora muito importante para a obtençao e crescimento de monocristais adequados para resoluçao estrutural por difratometria de raios-X (DRX), necessita de tempos prolongados de reaçao (alguns dias) e temperaturas relativamente altas (~ 400 K), além do uso de solventes caros, tóxicos e de alto ponto de ebuliçao como a dimetilformamida. Além disso, a formaçao de fases impuras (moléculas do ligante em excesso ou recristalizadas, por exemplo) resulta em rendimentos baixos quando a MOF é preparada por essa técnica. De qualquer forma, do ponto de vista ambiental, sínteses de estado sólido sao muito mais adequadas e dentro desse contexto, se destaca a síntese mecanoquímica85,86 (em almofariz ou reator específico) que ocorre a temperatura ambiente, é muito rápida (minutos) e virtualmente livre de solvente.87 Mais recentemente, para evitar o uso de compostos metálicos solúveis (e a formaçao de subprodutos acídicos), tem sido proposto o uso de precursores metálicos sólidos como hidróxidos ou óxidos, e assim é possível preparar MOFs tendo apenas água como o único subproduto.88 Sob essa mesma perspectiva, a partir de 2011, a conversao de gel seco vem sendo investigada89-91 para obter MOFs em alto rendimento, usando um volume de reaçao bastante reduzido e gerando quantidade mínima de rejeitos.

Produçao em grande escala. Para produzir grandes quantidades de MOFs para o mercado, algumas rotas sintéticas têm sido investigadas. Os métodos para manufatura em grande escala de produtos baseados em MOFs precisam preencher certos requisitos como reprodutibilidade, eficiência (rendimentos altos), economia (matéria-prima barata) e compromisso ambiental (alta pureza do produto e baixo consumo de energia). A partir de 2005, quando foi relatado pela primeira vez o uso da rota eletroquímica para preparar HKUST-1,92 a BASF vem produzindo essa MOF de cobre em escala de tonelada (Basolite C300, comercializada pela Sigma-Aldrich)78 usando esse método que é versátil e de baixo custo. MOFs também podem ser produzidas de modo contínuo usando reatores de fluxo,93,94 método solvotérmico,95,96 técnicas de fluxo contínuo como aerosol ou spray-drying (ver Figura 5)97,98 e rota mecanoquímica. A partir dessa metodologia de estado sólido, tem sido possível a síntese por extrusao para a produçao em larga escala de alguns tipos de MOFs.99

 


Figura 5. (a) Ilustraçao esquemática e (b) fotografia mostrando o equipamento para a síntese em fluxo contínuo por spray-drying da MOF UiO-66. Reproduzido da referência 97 com permissao da The Royal Society of Chemistry

 

Há também alguns trabalhos interessantes sobre processos de produçao de MOFs por batelada.100-103 Contudo, independente do processo de produçao, as MOFs sao obtidas invariavelmente como pós insolúveis e diversas técnicas (extrusao, uso de aglutinantes, pressao mecânica, etc.) têm possibilitado processá-los em formas macroscópicas específicas, tais como extrudatos, pellets, pérolas, monolitos,97,104-106 entre outras arquiteturas até mais complexas.107,108 Logo, controlando espacialmente o processo de nucleaçao em posiçoes determinadas, é possível estruturar MOFs em superestruturas ordenadas (core shell, por exemplo), o que abre certamente uma nova oportunidade para melhorar o desempenho do material. Sob essa mesma perspectiva e visando aplicaçoes industriais,109,110 MOFs têm também sido empregadas na produçao de filmes finos cristalinos,111-113 membranas,114,115 e compósitos.116,117

 

NUCLEAÇAO E CRESCIMENTO DE MOFs

Em princípio, as MOFs podem ser sintetizadas de maneira a produzir cristais com estrutura, forma e tamanho desejados. Avanços nas áreas de cristalografia e engenharia de cristais permitiram a obtençao de partículas com morfologia ou tamanho adequados para melhorar o desempenho das MOFs em diversas aplicaçoes, além de facilitar a sua implementaçao em dispositivos funcionais.78 A formaçao de um cristal de MOF depende diretamente da natureza dos ligantes, metais e solventes usados na síntese, das concentraçoes dos reagentes e de parâmetros experimentais (temperatura, pH, tempo de reaçao, etc.), além da rota sintética utilizada. A morfologia da partícula formada (hábito cristalino) nem sempre reflete sua estrutura de retículo. Como exemplo, podemos citar a MOF de Cu(II) HKUST-1 que possui estrutura cúbica de face centrada mas pode cristalizar na forma de partículas octaédricas.118,119 Existem na literatura diversos artigos tratando dos processos de cristalizaçao de MOFs.76,120,121 Gascon e colaboradores, por exemplo, propuseram que a cristalinidade do produto está diretamente ligada a concentraçao dos reagentes. A soluçao inicial deve-se encontrar com uma supersaturaçao mínima dos reagentes para que ocorra a nucleaçao. Durante o processo de nucleaçao podem ser formados núcleos cristalinos ou amorfos, que por sua vez crescerao e formarao os cristais de MOFs. Este crescimento pode ocorrer via três mecanismos, relacionados à supersaturaçao da mistura reacional de partida. O crescimento espiral (spiral growth) ocorre em condiçoes de baixas supersaturaçao e concentraçoes dos reagentes. O crescimento "birth and spread growth" ocorre com supersaturaçao um pouco maior; neste caso, formam-se vários núcleos sobre a superfície da partícula formada, sendo que estes núcleos propagam-se formando as faces do cristal. Por fim, o crescimento adesivo (adhesive growth) ocorre em alta supersaturaçao com incorporaçao de núcleos na superfície da partícula formada, que por sua vez crescem em diversas direçoes e orientaçoes cristalográficas. Dependendo destes processos podem ser formadas partículas com faces lisas ou rugosas, dependendo também da velocidade de crescimento do material, como pode ser visualizado na Figura 6.

 


Figura 6. Possíveis tipos de crescimento de cristais de MOFs, dependendo do grau de supersaturaçao da mistura reacional. Adaptada da referencia 76 e reproduzida com permissao da Elsevier

 

Em geral, as MOFs apresentam alta cristalinidade, no entanto estes processos de crescimento das partículas podem afetar diretamente a cristalinidade do composto formado. Quando ocorre crescimento adesivo, em condiçao de alta supersaturaçao, podem ser formados polímeros de coordenaçao infinitos (ICP) que se organizam na forma de partículas esféricas amorfas.122

Controlando o tamanho e a forma das partículas

Como esperado para a maioria dos nanomateriais, MOFs obtidas em escala nanométrica exibem propriedades físicas diferentes das dos materiais de origem (sólido bulk).123,124 Por essa razao, dependendo da aplicaçao que se pretenda, é mais apropriado que as MOFs sejam miniaturizadas em escala nanométrica.125 Da mesma forma, é também importante conhecer métodos de controle sobre a morfologia de nano- e microcristais de MOFs.126 A Figura 7 mostra uma imagem de microscopia eletrônica de transmissao de alta resoluçao de um nanocristal monodisperso do material Zn-MOF-74,127 onde os clusters metálicos e os canais hexagonais de diâmetro ~11 Å podem ser observados. De acordo com os autores, essa foi a primeira vez que dados de microscopia eletrônica permitiram a observaçao de um cluster metálico ligando a fase orgânica em uma MOF.

 


Figura 7. (a) Imagem de Microscopia Eletrônica de Transmissao de altíssima resoluçao de uma nanopartícula (20 nm) de Zn-MOF-74 orientada ao longo da direçao [001], mostrando um arranjo hexagonal dos poros; (b) uma visao mais aproximada dos poros da partícula, onde os clusters de Zn podem ser visualizados. Reproduzido da referência 127 com permissao da American Chemical Society

 

Embora essa MOF tenha sido obtida através da mistura direta dos materiais de partida e em princípio, os métodos usados para sintetizar MOFs em escala micrométrica128 possam ser usados para preparar nanoMOFs, há alguns métodos específicos para a síntese de partículas de MOFs com tamanho e forma controlados.129,130 Um deles usa moduladores de coordenaçao131,132 onde ligantes monodentados sao introduzidos no meio reacional para competir diretamente com as moléculas do linker (polidentado) pelos sítios de coordenaçao nos blocos de construçao. Acidos monocarboxílicos, como o ácido acético ou fórmico, podem ser usados como moduladores, desempenhando importante papel no controle da nucleaçao e crescimento das partículas. Kitagawa e co-autores publicaram um estudo interessante no início dessa década133 no qual foi demonstrada a transiçao morfológica de cristais de HKUST-1 (de octaedros para nanopartículas cúbicas) com o aumento na concentraçao do modulador (ácido n-dodecanóico ou láurico nesse caso). Como alternativa, um grande excesso do linker pode também ser usado para esse mesmo propósito.134 Em qualquer caso, ambos os mecanismos de modulaçao aumentam a reprodutibilidade da síntese e a cristalinidade das nanopartículas obtidas. Outra possibilidade para modular o tamanho e a morfologia de partículas de MOFs envolve a preparaçao de micelas reversas através da mistura de dois líquidos imiscíveis na presença de um surfactante. Nesse caso, as microemulsoes obtidas atuam como nanoreatores químicos confinando a síntese da MOF a escala nanométrica.135 Além disso, ajustando a concentraçao do surfactante, Sun e colaboradores demonstraram que é também possível controlar a morfologia da nanopartícula e desse modo, cubos, cubos truncados, cuboctaedros e octaedros puderam ser obtidos.136 No entanto, deve ser destacado que o uso do método de microemulsao fornece rendimentos baixos e pouca reprodutibilidade, provavelmente pelo grande número de parâmetros envolvidos no processo de formaçao da micela. Para evitar a necessidade de adiçao de solventes imiscíveis ou surfactantes, Maspoch e colaboradores137 propuseram o uso da técnica de secagem por aspersao (spray-drying) para a preparaçao de microcápsulas. O método consiste na dispersao de gotículas contendo os precursores em uma superfície aquecida podendo, dessa forma, ser usado como uma forma de encapsulamento.

Controlando o tamanho e a funcionalidade dos poros

Apesar da vasta literatura sobre essa excitante área do conhecimento, ainda sao raros trabalhos em língua portuguesa acerca de dois aspectos muito importantes quando nos referimos a aplicaçoes de MOFs: o tamanho e a superfície da parede do poro. De fato, para algumas aplicaçoes, especialmente armazenagem/separaçao de gases e catálise heterogênea, os microporos muito pequenos da grande maioria das MOFs podem ser um problema no transporte de massa, por exemplo. Por essa razao, algumas estratégias têm sido usadas para introduzir grandes poros (> 2 nm)138,139 objetivando a construçao de MOFs mesoporosas140-142 e também materiais macroporosos143 tais como cápsulas, microesferas ocas, etc. O uso de linkers mais longos144,145 foi um dos primeiros métodos usados para aumentar o tamanho dos poros de uma MOF, embora em alguns casos isso tenha levado à formaçao de estruturas interpenetradas (catenaçao),146-148 reduzindo a área superficial disponível, o tamanho de poro e a estabilidade estrutural. O uso de surfactantes como agentes direcionadores de estrutura (template) pode ser uma alternativa, e nesse caso em geral mesoporos estarao presentes, além dos microporos.149-151

Além da possibilidade de modular o tamanho do poro de uma MOF, é também possível funcionalizar a superfície do poro, ligando grupos funcionais aos linkers orgânicos e, dessa forma, conferir novos níveis de funcionalidade ao material.152 Dentro desse contexto, Yaghi e co-autores153 propuseram um método que permite prever a performance de uma mesma MOF, para adsorçao de um gás, por exemplo, após a incorporaçao de diferentes combinaçoes de grupos químicos funcionais. Várias funcionalidades diferentes também podem ser introduzidas em uma MOF, com retençao total de sua cristalinidade e porosidade, através de um processo conhecido como modificaçao pós-sintética (PSM), isto é, a modificaçao química é realizada após a MOF ter sido sintetizada.73,154,155 A funcionalizaçao da parede do poro pode ocorrer por uma interaçao covalente entre grupos funcionais e os linkers orgânicos e/ou através dos sítios metálicos coordenativamente insaturados dentro da estrutura da MOF, entre outras estratégias.156-159 Além da química covalente dentro dos poros, por assim dizer, novas propriedades tais como acidez/basicidade ou magnetismo podem ser introduzidas pela encapsulaçao de nanopartículas inorgânicas nos poros das MOFs.160-162 Essa estratégia sintética para modificar a arquitetura dos poros tem conferido novos desempenhos às MOFs, principalmente na área de catálise heterogênea.163

 

MOFs, ENERGIA E MEIO-AMBIENTE

As propriedades físicas e químicas características das MOFs tornam-nas materiais relevantes para uma gama de aplicaçoes.164-166 Importantes e atuais trabalhos de referencia nas áreas de biomedicina,167-170 fotônica,28,171-173 adsorçao174,175 e separaçao de gases,176,177 catálise,26,178-180 entre outras,181-183 podem ser facilmente acessados. No entanto, considerando a relevância da descoberta de novos materiais que possam atuar na área de Energia e Meio Ambiente, a última parte desse artigo de revisao será devotada ao uso de algumas MOFs no armazenamento de hidrogênio, metano e água, assim como na captura seletiva de CO2 a partir de fontes de combustao. Ainda que, devido às necessidades energéticas da sociedade atual, os combustíveis fósseis ainda estejam sendo usados,184 a queima destes compostos gera gases poluentes em excesso, algo que vem contribuindo muito para as mudanças climáticas do planeta.185 A comunidade científica ultimamente tem se mobilizado para o desenvolvimento de novas matrizes energéticas capazes de substituir estes combustíveis fósseis e que sejam menos poluentes. Pesquisas avançadas indicam que a resposta para essa importante questao talvez esteja em moléculas pequenas e simples como hidrogênio, metano e o gás carbônico (ver Figura 8).186

 


Figura 8. Etapas de produçao dos gases essenciais no fornecimento de energia. Setas coloridas representam o fluxo de diferentes vetores energéticos ou sub-produtos: verde, metano; azul, hidrogênio; vermelho, combustíveis tradicionais com alto teor de carbono; preto, eletricidade; branco, dióxido de carbono. Reproduzido da referência 186 com permissao da Nature

 

O hidrogênio pode vir a ser uma matriz energética muito eficiente que apresenta água como subproduto de sua combustao. Já o dióxido de carbono e o metano sao os principais gases estufa causadores do aquecimento global. Portanto a captura, uso e/ou transformaçao dessas importantes moléculas começam a despertar o interesse tanto para a obtençao de energia ou compostos industrialmente úteis quanto para reduzir as emissoes destes gases na atmosfera. Dentro desse contexto, as MOFs, devido às suas propriedades como elevada área específica, porosidade permanente e possibilidade de funcionalizaçao química, vêm sendo estudadas para utilizaçao na captura e/ou conversao destas pequenas moléculas.186 As vantagens no uso destes materiais porosos estao na possibilidade de armazenar gases sem a necessidade de altas pressoes, já que eles estarao adsorvidos nos poros da estrutura. Isto torna as MOFs potenciais armazenadoras de gás em células a combustível (vide o protótipo do carro elétrico da Mercedes-Benz F125!)187 ou tanques de veículos movidos à hidrogênio ou metano, por exemplo, aumentando a autonomia e a segurança e diminuindo o impacto ambiental (ver a seguir).188

Hidrogênio. Devido ao baixo ponto de ebuliçao e baixa densidade do hidrogênio, o emprego das técnicas normalmente utilizadas para o armazenamento desse gás (compressao em tanques pressurizados ou liquefaçao em tanques criogênicos) limita o seu transporte, já que os equipamentos sao grandes, pesados e apresentam riscos de segurança elevados.189 Sendo assim, pesquisas para armazenamento de hidrogênio em materiais porosos como as MOFs tem despertado um grande interesse e se tornado cada vez mais frequentes, visto que a interaçao com esse gás acontece através do mecanismo de fisissorçao, sendo reversível e com uma cinética rápida de adsorçao/dessorçao. Novos materiais porosos vêm sendo descobertos desde entao, sendo necessário que estes possuam poros bem pequenos para ocluir as moléculas de gás hidrogênio e nao permitir que elas escapem. A MOF-177, por exemplo, é um composto poroso de zinco que possui área específica de 4.500 m2 g-1 e tem sido considerada um dos materiais mais eficientes para adsorçao e armazenagem de hidrogênio.189-194 Porém, a quantidade de hidrogênio retido à temperatura ambiente ainda é pequena, motivo pelo qual algumas estratégias (funcionalizaçao de ligantes, introduçao de sítios metálicos abertos, etc) estao sendo utilizadas para aumentar a eficiência de armazenamento nessa condiçao.189,195,196 A incorporaçao de nanopartículas metálicas, por exemplo, na estrutura de MOFs está sendo utilizada como uma estratégia para aumentar a força de interaçao entre as moléculas de hidrogênio e o compósito NPs@MOF sintetizado. Apesar do mecanismo de adsorçao nao ser completamente conhecido (sugere-se que ocorra através do hydrogen spillover effect, formaçao de hidrogênio monoatômico pela sua dissociaçao catalisada), essa abordagem é empregada devido ao forte potencial de adsorçao das nanopartículas, à elevada área específica das MOFs e a indicaçao da ocorrência de uma ligaçao mais forte com o hidrogênio.105,197 Dentro desse contexto, o aumento da eficiência na adsorçao de hidrogênio pode ser observado no compósito Pd@MIL-100(Al), no qual nanopartículas de paládio foram incorporadas na estrutura da MOF de alumínio. Os experimentos mostraram que embora tenha havido uma reduçao na área específica do material, uma maior adsorçao de H2 foi observada à temperatura ambiente.198 Além do armazenamento de hidrogênio, MOFs também estao sendo aplicadas para a separaçao de gases, através de sua utilizaçao na produçao de membranas199 e filmes.200 De fato, o hidrogênio é empregado em muitos processos industriais, sendo necessário realizar sua separaçao de outros gases. E nesse caso, as propriedades características desses materiais porosos permitem a sua utilizaçao na separaçao de diversas misturas gasosas envolvendo H2 e CO2, H2O e CH4, por exemplo.201

Metano. Embora a energia proveniente do hidrogênio seja limpa, acredita-se que a humanidade ainda dependerá dos combustíveis fósseis por bastante tempo.202 Sendo assim, é necessário que haja um controle das emissoes de gases estufa para desacelerar o processo de aquecimento global. O metano e o gás carbônico sao as principais moléculas responsáveis pelo aumento da temperatura no planeta. A emissao de 1 kg de CH4 equivale à emissao de 25 kg de CO2, tornando-o ainda mais poluente.203 A molécula de CH4, porém, é extremamente energética (entalpia padrao de combustao = -890 kJ.mol-1) e acredita-se que antes do uso do hidrogênio como matriz energética, o metano será o principal combustível utilizado nos automóveis, sendo este já comercializado com o nome de gás natural. Estudos recentes na área de MOFs visam utilizá-las para armazenamento deste gás para posterior conversao em CO2 através da queima, com o aproveitamento da energia por um automóvel, por exemplo. Existem várias MOFs relatadas na literatura como boas adsorvedoras de metano204-206 sendo alguns exemplos os materiais HKUST-1,207-209 MOF-519, MOF-520,210 UTSA-20,211 MOF-177,22 NOTT-101,212 UTSA-110a213 e Al-soc-MOF.214 Estes sólidos de coordenaçao porosos vêm apresentando melhores desempenhos frente aos materiais convencionais para armazenamento de CH4 principalmente pelo fato de poderem ser quimicamente modificados afim de aumentar seu potencial de adsorçao (ver a seguir). A título de ilustraçao, a Volkswagen em parceria com a BASF e o grupo do professor Omar Yaghi, desenvolveram um carro protótipo, Caddy EcoFuel car, cujos tanques foram preenchidos com metano adsorvido na Basolite C300 (HKUST-1). Em 2007, um teste foi realizado com esse veículo, em uma viagem que saiu de Berlim em direçao à Bangkok na Asia, resultando em uma autonomia de 32000 Km!215 Recentemente duas novas abordagens vêm ganhando a atençao dos pesquisadores na tentativa de aumentar a adsorçao de gases como o metano. A primeira estratégia, ilustrada na Figura 9, faz uso de conectores orgânicos topologicamente equivalentes, mas com funcionalidades distintas para a construçao de MOFs multivariadas (MTV-MOFs). Dentro deste contexto, Li e colaboradores216 construíram MTV-MOFs a partir da NOTT-101 conectando a essa estrutura, ligantes orgânicos contendo os grupamentos piridina, piridazina e pirimidina. Os resultados evidenciaram que o armazenamento de metano pode ser consideravelmente aumentado na presença desses grupos funcionais. A segunda abordagem visa promover a funcionalizaçao pós-sintética de MOFs com grupamentos sítio-específicos que auxiliem na adsorçao do gás metano.217,218

 


Figura 9. Esquema de construçao das MTV-MOFs: integraçao de diferentes blocos de construçao (conectores orgânicos) com tamanho e forma semelhantes, mas com funcionalidades distintas. Reproduzido da referência 219, publicado pela The Royal Society of Chemistry

 

Uso do biogás como fonte de metano. Uma etapa crítica da utilizaçao do biogás como combustível renovável é a sua purificaçao, que consiste basicamente na remoçao de dióxido de carbono.220 Nesse aspecto, a adsorçao torna-se uma alternativa viável para a remoçao de CO2 a partir do biogás, sendo que diferentes tipos de materiais como argilas,221 zeólitas, nanotubos de carbono222 e sílicas223 vêm sendo estudados para tal fim. E mais recentemente, as MOFs vêm ganhando destaque nesse campo,224,225 principalmente quando usadas na forma de membranas.226-228 Em um trabalho recente, Ferreira e colaboradores, utilizando a técnica de adsorçao por pressao oscilante, estudaram a aplicaçao da MOF-53(Al) na purificaçao de misturas de CO2/CH4.229 Os autores observaram que essa MOF possui uma alta seletividade para CO2 e uma capacidade de adsorçao de 4,3 mol kg-1 a uma pressao de 3,5 bar. Além disso, foi realizada a simulaçao e otimizaçao computacional de dois processos de purificaçao de biogás em escala industrial, obtendo-se capacidades de recuperaçao de CH4 de até 93%, além de uma produtividade de 2,78 mol kg-1 h-1. No caso de membranas de matriz mista (MMM), Cheng e colaboradores, utilizando a técnica de spin coating, sintetizaram MMM baseadas em polímeros com microporosidade intrínseca contendo nanofolhas 2D da MOF CuBDC.230 A otimizaçao da síntese levou à produçao de MMM ultrafinas com espessura de 660 nm e 10% em massa de CuBDC. As membranas apresentaram uma seletividade de 15,6 para CO2/CH4 e uma permeabilidade a CO2 de 407 GPU, mostrando-se um promissor material a ser utilizado na purificaçao de biogás.

Dióxido de carbono. MOFs também têm sido objeto de estudo para captura seletiva de CO2 e como na maioria dos materiais porosos, a adsorçao depende da área específica e do tamanho e volume de poros.231 Há uma série de pesquisas relatando estes materiais como bons capturadores de gás carbônico232-237 sendo recomendável existir sítios abertos (coordenativamente insaturados) nos metais ou grupos funcionais que induzam a polarizabilidade da molécula apolar de CO2. Alguns exemplos sao a Mg-MOF-74,238 Cu-TDPAT,239 SIFSIX-Cu-2-I 240 e MOF-210.22

Cabe destacar, no entanto, que a pesquisa atual nessa área tem avançado no sentido de usar as MOFs nao apenas para capturar, mas também converter CO2 em produtos químicos de alto valor agregado.241 Pesquisas recentes têm mostrado, por exemplo, o uso de MOFs modificadas242 ou compósitos para a fotoreduçao catalítica243,244 de CO2.245-248 A ideia consiste em realizar fotossíntese artificial para a conversao de CO2 e H2O em produtos de maior valor agregado249,250 como CO, HCOOH, HCHO, CH3OH e CH4. Embora estes estudos ainda estejam em fase inicial, as MOFs NH2-MIL-125 (Ti), NH2-UiO-66 e NH2-MIL-101 (Fe) foram recentemente relatadas como fotocatalisadores para a reduçao de dióxido de carbono sob irradiaçao de luz na regiao do visível. Importante destacar que essas MOFs possuem grupos amina que interagem com a molécula de CO2, aumentando assim a adsorçao desse gás.248Ainda neste contexto, o desenvolvimento de filmes finos de MOFs sobre a superfície de nanotubos de Ti/TiO2 foi relatado pela primeira vez por Cardoso e colaboradores251 para a reduçao fotoeletrocatalítica de CO2 com formaçao de metanol e etanol, como ilustra a Figura 10.

 


Figura 10. Fotoeletroreduçao de CO2 catalisada por nanopartículas de ZIF-8 suportadas sobre nanotubos de Ti/TiO2. Reproduzido da referência 251 com permissao da Elsevier

 

A MOF ZIF-8 foi selecionada para este propósito por apresentar área específica elevada, excelente estabilidade térmica e química, alta capacidade de quimissorçao e ativaçao252 de CO2 e habilidade para mediar a reduçao do gás sob irradiaçao UV em baixos potenciais elétricos. Este trabalho demonstra que a fotoeletrocatálise realizada utilizando compósitos de MOFs sobre a superfícies de nanotubos de Ti/TiO2 tem aplicaçoes promissoras nos campos de conversao de energia e proteçao ambiental.

Agua. As alteraçoes climáticas e o aumento do crescimento demográfico ameaçam um dos maiores recursos naturais, a água, essencial para a manutençao e subsistência do ecossistema.253 Aproximadamente 70% da superfície do nosso planeta é composto por água, sendo que 2,5% é água doce e apenas 0,3% dessa parcela compoe a porçao superficial de água doce presente em rios e lagos.254 Segundo a Organizaçao das Naçoes Unidas para a Educaçao, Ciência e Cultura (Unesco), estima-se para o ano de 2050, uma populaçao mundial entre 9,4 e 10,2 bilhoes de pessoas e um aumento de 55% na demanda de água (entre consumo, higiene, alimentaçao e energia). Nessa projeçao, e esse é um dado alarmante, mais de 45% da populaçao mundial nao atingirá a cota diária mínima de 50 litros de água por pessoa.255 Nesse contexto, a adsorçao de moléculas de água em materiais porosos pode ser uma soluçao promissora frente aos atuais geradores de água atmosférica que consomem muita energia para condensaçao do vapor.256 Dentre esses materiais, merecem destaque as MOFs de zircônio MOF-801 e MOF-841, que adsorvem cerca de 32% e 40% de água em massa, respectivamente,257 e a IRMOF-74 contendo cobalto como centro metálico, que sob simulaçoes de condiçoes desérticas 45 ºC, umidade relativa de 5% durante o dia e 35% à noite., é capaz de armazenar 82% de água em massa.258 Visando, entao, comprovar a eficiência de adsorçao em condiçoes reais, Yaghi e colaboradores desenvolveram um aparato baseado na MOF-801, [Zr6O4(OH)4(fumarato)6], que foi capaz de extrair água potável do ar no deserto de Tempe, no Arizona, USA. O protótipo do aparato está ilustrado na Figura 11. Durante o período da noite, a umidade atmosférica (tao baixa quanto 20%) é adsorvida pela MOF e o processo de dessorçao ocorre durante o dia, com o calor gerado pelo sol. O vapor dessorvido é, entao, condensado e coletado (cerca de 0,28 L de água por quilograma de MOF por dia).259 Ainda que sejam resultados preliminares e o experimento tenha sido realizado em uma escala muito pequena, o desenvolvimento de novas MOFs com altas capacidade e cinética de adsorçao pode levar a um aumento significativo na extraçao de água líquida do vapor atmosférico.260

 


Figura 11. Protótipo do dispositivo de adsorçao de água utilizando a MOF-801. Reproduzido da referência 259 com permissao da American Association for the Advancement of Science

 

CONSIDERAÇOES FINAIS

Esperamos que esse trabalho possa ajudar a despertar o interesse por essa fascinante área de pesquisa, cuja importância tem sido demonstrada nao só pelo número muito grande de publicaçoes e o engajamento crescente de pesquisadores de outros campos do conhecimento, como também pelo emergente interesse comercial. As MOFs sao materiais versáteis por possuírem um número quase ilimitado de combinaçoes entre metais e ligantes politópicos, e sua porosidade e área específica podem ser controladas em funçao do método de síntese e da natureza do ligante utilizado. As demais propriedades como alta cristalinidade, boa estabilidade térmica e possibilidade de modificaçoes estruturais que facilitam o reconhecimento de determinados grupos funcionais em regioes sítio-específicas contribuem para a vasta gama de aplicaçoes em potencial. Dentro deste contexto, as MOFs vêm contribuindo para a soluçao de problemas ambientais, relacionados a quatro pequenas, porém importantes, moléculas: hidrogênio, metano, dióxido de carbono e água. O uso de MOFs para armazenamento de hidrogênio e metano pode ser uma potencial aplicaçao para substituir combustíveis fósseis. As altas capacidades de adsorçao desses materiais podem também ser aproveitadas para captura de dióxido de carbono, visando a transformaçao deste gás em materiais combustíveis (metano e metanol) e/ou compostos de alto valor agregado (ácido fórmico, formaldeído), minimizando os impactos decorrentes do efeito estufa. Na adsorçao de água, a MOF-801 tem auxiliado na captaçao de água líquida a partir da umidade atmosférica, sem gasto e utilizaçao de energia elétrica, na tentativa de solucionar problemas relacionados a sua escassez em condiçoes extremas, como as desérticas. Concluindo, novas MOFs com propriedades ainda inimagináveis deverao ser descobertas e, por ser uma área relativamente nova, ainda há muito a ser estudado. É a intençao dos autores desse trabalho que ele possa de alguma forma motivar o surgimento de novos grupos de pesquisa em MOFs no Brasil.

 

AGRADECIMENTOS

Os autores agradecem a CAPES, ao CNPq e a FAPESP pelo apoio recebido.

 

REFERENCIAS

1. Li, H.; Eddaoudi, M.; O'Keeffe, M.; Yaghi, O. M.; Nature 1999, 402, 276.

2. Batten, S. R.; Champness, N. R.; Chen, X.-M.; Garcia-Martinez, J.; Kitagawa, S.; Öhrström, L.; O'Keeffe, M.; Suh, M. P.; Reedijk, J.; CrystEngComm 2012, 14, 3001.

3. Levason, B.; Bradshaw, D.; Coord. Chem. Rev. 2016, 307, 105.

4. Coudert, F. X.; Fuchs, A. H.; Coord. Chem. Rev. 2015, 307, 211.

5. Kaskel, S.; Fischer, R.; J. Mater. Chem. 2012, 22, 10093.

6. Li, M.; Li, D.; O'Keeffe, M.; Yaghi, O. M. ;Chem. Rev. 2014, 114, 1343.

7. Yuan, S.; Feng, L.; Wang, K.; Pang, J.; Bosch, M.; Lollar, C.; Sun, Y.; Qin, J.; Yang, X.; Zhang, P.; Wang, Q.; Zou, L.; Zhang, Y.; Zhang, L.; Fang, Y.; Li, J.; Zhou, H. C.; Adv. Mater. 2018, 1704303, 1.

8. Kaskel, S.; The Chemistry of Metal-Organic Frameworks. Synthesis, Characterization and Applications, Wiley: New York, 2016.

9. Jiang, J.; Metal-Organic Frameworks Materials Modeling towards Potential Engineering Applications, Pan Stanford Publ.: Florida, 2015.

10. MacGillivray, L. R.; Lukehart, C. M.; Metal-Organic Framework Materials, Wiley-VCH Verlag: Berlin, 2014.

11. Farrusseng, D.; Metal-Organic Frameworks. Applications from Catalysis to Gas Storage, Wiley-VCH Verlag: Berlin, 2011.

12. Schröder, M.; Functional Metal-Organic Frameworks: Gas Storage, Separation and Catalysis, Springer: Berlin, 2010.

13. Frem, R. C. G.; Arroyos, G.; Lucena, G. N.; Flor, J. B. S.; Fávaro, M. A.; Coura, M. F.; Alves, R. C. In Recent Advances in Complex Functional Materials From Design to Application; Longo, E., La Porta, F. A., eds.; Springer: Berlin, 2017, cap. 14.

14. Sumida, K.; Arnold, J.; J. Chem. Educ. 2011, 88, 92.

15. Crane, J. L.; Anderson, K. E.; Conway, S. G.; J. Chem. Educ. 2015, 92, 373.

16. Brown, T. E.; LeMay, H. E.; Bursten, B. E.; Murphy, C.; Woodward, P.; Stoltzfus, M. E.; Chemistry: The Central Science, 13th ed., Pearson: London, 2015.

17. Dantas Ramos, A. L.; Tanase, S.; Rothenberg, G.; Quim. Nova 2014, 37, 123.

18. Galaço, A. R. B. S.; Lima, J. F.; Serra, O. A.; Quim. Nova 2018, 41, 678.

19. Alves-Jr, S.; Metal Organic Frameworks (MOFs): da síntese a aplicaçoes em meio ambiente, saúde e segurança pública, CRV Ltda.: Curitiba, 2016.

20. Huskic, I.; Pekov, I. V.; Krivovichev, S. V.; Friscic, T.; Sci. Adv. 2016, 2, e1600621.

21. Farha, O. K.; Eryazici, I.; Jeong, N. C.; Hauser, B. G.; Wilmer, C. E.; Sarjeant, A. A.; Snurr, R. Q.; Nguyen, S. T.; Yazaydin, A. Ö.; Hupp, J. T.; J. Am. Chem. Soc. 2012, 134, 15016.

22. Furukawa, H.; Ko, N.; Go, Y. B.; Aratani, N.; Choi, S. B.; Choi, E.; Yazaydin, A. O.; Snurr, R. Q.; O'Keeffe, M.; Kim, J.; Yaghi, O. M.; Science 2010, 329, 424.

23. Song, Z.; Nambo, A.; Tate, K. L.; Bao, A.; Zhu, M.; Jasinski, J. B.; Zhou, S. J.; Meyer, H. S.; Carreon, M. A.; Li, S.; Yu, M.; Nano Lett. 2016, 16, 3309.

24. Férey, G.; Serre, C.; Devic, T.; Maurin, G.; Jobic, H.; Llewellyn, P. L.; De Weireld, G.; Vimont, A.; Daturi, M.; Chang, J.-S.; Chem. Soc. Rev. 2011, 40, 550.

25. Férey, G.; Serre, C.; Chem. Soc. Rev. 2009, 38, 1380.

26. Llabrés i Xamena, F. X.; Gascon, J.; Metal Organic Frameworks as Heterogeneous Catalysts, RSC Publ.: London, 2013.

27. Erucar, I.; Keskin, S.; Ind. Eng. Chem. Res. 2016, 55, 1929.

28. Mingos, D. M. P. In Metal-Organic Frameworks for Photonics Applications; Chen, B., Qian, G., eds.; Springer: Berlin, 2014.

29. Zou, Z.; Wang, S.; Jia, J.; Xu, F.; Long, Z.; Hou, X.; Microchem. J. 2016, 124, 578.

30. Choi, K. M.; Jeong, H. M.; Park, J. H.; Zhang, Y.; Kang, J. K.; Yaghi, O. M.; ACS Nano 2014, 8, 7451.

31. Yamagiwa, H.; Sato, S.; Fukawa, T.; Ikehara, T.; Maeda, R.; Mihara, T.; Kimura, M.; Sci. Rep. 2015, 4, 6247.

32. Coronado, E.; Mínguez Espallargas, G.; Chem. Soc. Rev. 2013, 42, 1525.

33. Batten, S. R.; Champness, N. R.; Chen, X.-M.; Garcia-Martinez, J.; Kitagawa, S.; Öhrström, L.; O'Keeffe, M.; Suh, M. P.; Reedijk, J.; Pure Appl. Chem. 2013, 85, 1715.

34. Yukio, K.; Ikuo, M.; Taiichi, H.; Yoshihiko, S.; Bull. Chem. Soc. Jpn. 1959, 32, 1221.

35. Hoskins, B. F.; Robson, R.; J. Am. Chem. Soc. 1989, 111, 5962.

36. Wells, A. F.; Bull. Am. Math. Soc. 1978, 84, 466.

37. Li, H.; Eddaoudi, M.; Groy, T. L.; Yaghi, O. M.; J. Am. Chem. Soc. 1998, 120, 8571.

38. Ferey, G.; Mellot-Draznieks, C.; Serre, C.; Millange, F.; Dutour, J.; Science 2005, 309, 2040.

39. Chui, S.-Y. S.; Lo, S. M.-F.; Charmant, J. P. H.; Orpen, A. G.; Williams, I. D.; Science 1999, 283, 1148.

40. Kandiah, M.; Nilsen, M. H.; Usseglio, S.; Jakobsen, S.; Olsbye, U.; Tilset, M.; Larabi, C.; Quadrelli, E. A.; Bonino, F.; Lillerud, K. P.; Chem. Mater. 2010, 22, 6632.

41. Michl, J. Modular Chemistry, Kluwer Academic Publishers: Dordrecht, 1995.

42. Yaghi, O. M.; Li, H.; Davis, C.; Richardson, D.; Groy, T. L.; Acc. Chem. Res. 1998, 31, 474.

43. Eddaoudi, M.; Moler, D. B.; Li, H.; Chen, B.; Reineke, T. M.; O'Keeffe, M.; Yaghi, O. M.; Acc. Chem. Res. 2001, 34, 319.

44. Yaghi, O. M.; O'Keeffe, M.; Ockwig, N. W.; Chae, H. K.; Eddaoudi, M.; Kim, J.; Nature 2003, 423, 705.

45. Cook, T. R.; Zheng, Y. R.; Stang, P. J.; Chem. Rev. 2013, 113, 734.

46. Yaghi, O. M.; Li, Q.; MRS Bull. 2009, 34, 682.

47. Eddaoudi, M.; Kim, J.; O'Keeffe, M.; Yaghi, O. M.; J. Am. Chem. Soc. 2002, 124, 376.

48. O'Keeffe, M.; Eddaoudi, M.; Li, H.; Reineke, T.; Yaghi, O. M.; J. Solid State Chem. 2000, 152, 3.

49. Ockwig, N. W.; Delgado-Friedrichs, O.; O'Keeffe, M.; Yaghi, O. M.; Acc. Chem. Res. 2005, 38, 176.

50. http://rcsr.anu.edu.au, acessada em agosto de 2018.

51. O'Keeffe, M.; Peskov, M. A.; Ramsden, S. J.; Yaghi, O. M.; Acc. Chem. Res. 2008, 41, 1782.

52. Hendon, C. H.; Walsh, A.; Chem. Sci. 2015, 6, 3674.

53. Öhrström, L.; Crystals 2015, 5, 154.

54. Eubank, J. F.; Walsh, R. D.; Eddaoudi, M.; Chem. Commun. 2005, 0, 2095.

55. Biradha, K.; Fujita, M.; Angew. Chem., Int. Ed. 2002, 41, 3392.

56. Dietzel, P. D. C.; Morita, Y.; Blom, R.; Fjellvåg, H.; Angew. Chem., Int. Ed. 2005, 44, 6354.

57. Furukawa, H.; Go, Y. B.; Ko, N.; Park, Y. K.; Uribe-Romo, F. J.; Kim, J.; O'Keeffe, M.; Yaghi, O. M.; Inorg. Chem. 2011, 50, 9147.

58. Furukawa, H.; Kim, J.; Ockwig, N. W.; O'Keeffe, M.; Yaghi, O. M.; J. Am. Chem. Soc. 2008, 130, 11650.

59. Liang, L.-L.; Zhang, J.; Ren, S.-B.; Ge, G.-W.; Li, Y.-Z.; Du, H.-B.; You, X.-Z.; CrystEngComm 2010, 12, 2008.

60. Noro, S.; Kitagawa, S.; Kondo, M.; Seki, K.; Angew. Chem., Int. Ed. 2000, 39, 2081.

61. Furukawa, H.; Cordova, K. E.; O'Keeffe, M.; Yaghi, O. M.; Science 2013, 341, 1230444.

62. Lu, J.; Mondal, A.; Moulton, B.; Zaworotko, M. J.; Angew. Chem., Int. Ed. 2001, 113, 2171.

63. Perry IV, J. J.; Perman, J. A.; Zaworotko, M. J.; Chem. Soc. Rev. 2009, 38, 1400.

64. Zaworotko, M. J.; Nat. Chem. 2009, 1, 267.

65. Park, J.; Hong, S.; Moon, D.; Park, M.; Lee, K.; Kang, S.; Zou, Y.; John, R. P.; Kim, G. H.; Lah, M. S.; Inorg. Chem. 2007, 46, 10208.

66. Guillerm, V.; Kim, D.; Eubank, J. F.; Luebke, R.; Liu, X.; Adil, K.; Lah, M. S.; Eddaoudi, M.; Chem. Soc. Rev. 2014, 43, 6141.

67. Kim, D.; Liu, X.; Lah, M. S.; Inorg. Chem. Front. 2015, 2, 336.

68. Liu, J.; Chen, L.; Cui, H.; Zhang, J.; Zhang, L.; Su, C.-Y.; Chem. Soc. Rev. 2014, 43, 6011.

69. Yaghi, O. M.; Li, G.; Li, H.; Nature 1995, 378, 703.

70. Sanda, S.; Parshamoni, S.; Konar, S.; Inorg. Chem. 2013, 52, 12866.

71. Serre, C.; Bourrelly, S.; Vimont, A.; Ramsahye, N. A.; Maurin, G.; Llewellyn, P. L.; Daturi, M.; Filinchuk, Y.; Leynaud, O.; Barnes, P.; Férey, G.; Adv. Mater. 2007, 19, 2246.

72. Wang, Z.; Cohen, S. M.; Chem. Soc. Rev. 2009, 38, 1315.

73. Cohen, S. M.; Chem. Rev. 2012, 112, 970.

74. Burrows, A. D.; Frost, C. G.; Mahon, M. F.; Richardson, C.; Angew. Chem., Int. Ed. 2008, 47, 8482.

75. Hu, Z.; Zhao, D.; Dalton Trans. 2015, 44, 19018.

76. Seoane, B.; Castellanos, S.; Dikhtiarenko, A.; Kapteijn, F.; Gascon, J.; Coord. Chem. Rev. 2016, 307, 147.

77. Dey, C.; Kundu, T.; Biswal, B. P.; Mallick, A.; Banerjee, R.; Acta Crystallogr., Sect. B: Struct. Sci., Cryst. Eng. Mater. 2014, 70, 3.

78. Stock, N.; Biswas, S.; Chem. Rev. 2012, 112, 933.

79. He, M.; Yao, J.; Liu, Q.; Wang, K.; Chen, F.; Wang, H.; Microporous Mesoporous Mater. 2014, 184, 55.

80. Williams, I. D.; Nat. Chem. 2014, 6, 953.

81. Klinowski, J.; Almeida Paz, F. A.; Silva, P.; Rocha, J.; Dalton Trans. 2011, 40, 321.

82. Son, W.-J.; Kim, J.; Kim, J.; Ahn, W.-S.; Chem. Commun. 2008, 47, 6336.

83. Martinez-Joaristi, A.; Juan-Alcañiz, J.; Serra-Crespo, P.; Kapteijn, F.; Gascon, J.; Cryst. Growth Des. 2012, 12, 3489.

84. Stassen, I.; Styles, M.; Van Assche, T.; Campagnol, N.; Fransaer, J.; Denayer, J.; Tan, J. C.; Falcaro, P.; De Vos, D.; Ameloot, R.; Chem. Mater. 2015, 27, 1801.

85. Sakamoto, H.; Matsuda, R.; Kitagawa, S.; Dalton Trans. 2012, 41, 3956.

86. Friščić, T.; J. Mater. Chem. 2010, 20, 7599.

87. Pichon, A.; Lazuen-Garay, A.; James, S. L.; CrystEngComm 2006, 8, 211.

88. Zhan, G.; Zeng, H. C.; Chem. Commun. 2017, 53, 72.

89. Shi, Q.; Chen, Z.; Song, Z.; Li, J.; Dong, J.; Angew. Chem., Int. Ed. 2011, 50, 672.

90. Ahmed, I.; Jeon, J.; Khan, N. A.; Jhung, S. H.; Cryst. Growth Des. 2012, 12, 5878.

91. Das, A. K.; Vemuri, R. S.; Kutnyakov, I.; McGrail, B. P.; Motkuri, R. K.; Sci. Rep. 2016, 6, 28050.

92. Mueller, U.; Puetter, H.; Hesse, M.; Wessel, H.; WO 2005/049892 2015.

93. Gimeno-Fabra, M.; Munn, A. S.; Stevens, L. A.; Drage, T. C.; Grant, D. M.; Kashtiban, R. J.; Sloan, J.; Lester, E.; Walton, R. I.; Chem. Commun. 2012, 48, 10642.<, /p>

94. Rubio-Martinez, M.; Batten, M. P.; Polyzos, A.; Carey, K.-C.; Mardel, J. I.; Lim, K.-S.; Hill, M. R.; Sci. Rep. 2014, 4, 1.

95. Dunne, P. W.; Munn, A. S.; Starkey, C. L.; Huddle, T. A.; Lester, E. H.; Philos. Trans. R. Soc., A 2015, 373, 20150015.

96. McKinstry, C.; Cathcart, R. J.; Cussen, E. J.; Fletcher, A. J.; Patwardhan, S. V.; Sefcik, J.; Chem. Eng. J. 2016, 285, 718.

97. Garzón-Tovar, L.; Cano-Sarabia, M.; Carné-Sánchez, A.; Carbonell, C.; Imaz, I.; Maspoch, D.; React. Chem. Eng. 2016, 1, 533.

98. Garcia Marquez, A.; Horcajada, P.; Grosso, D.; Ferey, G.; Serre, C.; Sanchez, C.; Boissiere, C.; Chem. Commun. 2013, 49, 3848.

99. Crawford, D.; Casaban, J.; Haydon, R.; Giri, N.; McNally, T.; James, S. L.; Chem. Sci. 2015, 6, 1645.

100. Reinsch, H.; Waitschat, S.; Chavan, S. M.; Lillerud, K. P.; Stock, N.; Eur. J. Inorg. Chem. 2016, 2016, 4490.

101. Majano, G.; Pérez-Ramírez, J.; Adv. Mater. 2013, 25, 1052.

102. Huo, J.; Brightwell, M.; El Hankari, S.; Garai, A.; Bradshaw, D.; J. Mater. Chem. A 2013, 1, 15220.

103. Cho, H. Y.; Kim, J.; Kim, S. N.; Ahn, W. S.; Microporous Mesoporous Mater. 2013, 169, 180.

104. Chen, Y.; Huang, X.; Zhang, S.; Li, S.; Cao, S.; Pei, X.; Zhou, J.; Feng, X.; Wang, B.; J. Am. Chem. Soc. 2016, 138, 10810.

105. Ren, J.; Musyoka, N. M.; Langmi, H. W.; Swartbooi, A.; North, B. C.; Mathe, M.; Int. J. Hydrogen Energy 2015, 40, 4617.

106. Moitra, N.; Fukumoto, S.; Reboul, J.; Sumida, K.; Zhu, Y.; Nakanishi, K.; Furukawa, S.; Kitagawa, S.; Kanamori, K.; Chem. Commun. 2015, 51, 3511.

107. Furukawa, S.; Reboul, J.; Diring, S.; Sumida, K.; Kitagawa, S.; Chem. Soc. Rev. 2014, 43, 5700.

108. Lee, J.; Kwak, J. H.; Choe, W.; Nat. Commun. 2017, 8, 14070.

109. Czaja, A. U.; Trukhan, N.; Müller, U.; Chem. Soc. Rev. 2009, 38, 1284.

110. Silva, P.; Vilela, S. M. F.; Tomé, J. P. C.; Almeida Paz, F. A.; Chem. Soc. Rev. 2015, 44, 6774.

111. Zacher, D.; Schmid, R.; Wöll, C.; Fischer, R. A.; Angew. Chem., Int. Ed. 2011, 50, 176.

112. Li, W.-J.; Liu, J.; Sun, Z.-H.; Liu, T.-F.; Lü, J.; Gao, S.-Y.; He, C.; Cao, R.; Luo, J.-H.; Nat. Commun. 2016, 7, 11830.

113. Stassen, I.; Styles, M.; Grenci, G.; Gorp, H. V.; Vanderlinden, W.; Feyter, S. D.; Falcaro, P.; Vos, D. De; Vereecken, P.; Ameloot, R.; Nat. Mater. 2015, 15, 304.

114. Qiu, S.; Xue, M.; Zhu, G.; Chem. Soc. Rev. 2014, 43, 6116.

115. Kong, L.; Zhang, X.; Liu, Y.; Li, S.; Liu, H.; Qiu, J.; Yeung, K. L.; Mater. Chem. Phys. 2014, 148, 10.

116. Aguilera-Sigalat, J.; Bradshaw, D.; Coord. Chem. Rev. 2015, 307, 267.

117. Zhu, Q.-L.; Xu, Q.; Chem. Soc. Rev. 2014, 43, 5468.

118. Chui, S. S. Y.; Lo, S. M. F.; Charmant, J. P. H.; Orpen, a G.; Williams, I. D.; Science 1999, 283, 1148.

119. Lin, K. S.; Adhikari, A. K.; Ku, C. N.; Chiang, C. L.; Kuo, H.; Int. J. Hydrogen Energy 2012, 37, 13865.

120. Millange, F.; Medina, M. I.; Guillou, N.; Férey, G.; Golden, K. M.; Walton, R. I.; Angew. Chem., Int. Ed. 2010, 49, 763.

121. Stavitski, E.; Goesten, M.; Juan-Alcañiz, J.; Martinez-Joaristi, A.; Serra-Crespo, P.; Petukhov, A. V.; Gascon, J.; Kapteijn, F.; Angew. Chem., Int. Ed. 2011, 50, 9624.

122. Spokoyny, A. M.; Kim, D.; Sumrein, A.; Mirkin, C. A.; Chem. Soc. Rev. 2009, 38, 1218.

123. Carné, A.; Carbonell, C.; Imaz, I.; Maspoch, D.; Chem. Soc. Rev. 2011, 40, 291.

124. Sindoro, M.; Yanai, N.; Jee, A. Y.; Granick, S.; Acc. Chem. Res. 2014, 47, 459.

125. Bloch, E. D.; Queen, W. L.; Krishna, R.; Zadrozny, J. M.; Brown, C. M.; Long, J. R. Science 2012, 335, 1606.

126. Masoomi, M. Y.; Beheshti, S.; Morsali, A.; Cryst. Growth Des. 2015, 15, 2533.

127. Diaz-Garcia, M.; Mayoral, A.; Diaz, I.; Sanchez-Sanchez, M.; Cryst. Growth Des. 2014, 14, 2479.

128. Bunzen, H.; Grzywa, M.; Hambach, M.; Spirkl, S.; Volkmer, D.; Cryst. Growth Des. 2016, 16, 3190.

129. Jin, L.-N.; Liu, Q.; Sun, W.-Y.; CrystEngComm 2014, 16, 3816.

130. Flügel, E. A.; Ranft, A.; Haase, F.; Lotsch, B. V.; J. Mater. Chem. 2012, 22, 10119.

131. Diring, S.; Furukawa, S.; Takashima, Y.; Tsuruoka, T.; Kitagawa, S.; Chem. Mater. 2010, 22, 4531.

132. Guo, H.; Zhu, Y.; Qiu, S.; Lercher, A. J.; Zhang, H.; Adv. Mater. 2010, 22, 4190.

133. Umemura, A.; Diring, S.; Furukawa, S.; Uehara, H.; Tsuruoka, T.; Kitagawa, S.; J. Am. Chem. Soc. 2011, 133, 15506.

134. Cravillon, J.; Münzer, S.; Lohmeier, S. J.; Feldhoff, A.; Huber, K.; Wiebcke, M.; Chem. Mater. 2009, 21, 1410.

135. Rieter, W. J.; Taylor, K. M. L.; An, H.; Lin, W.; Lin, W.; J. Am. Chem. Soc. 2006, 128, 9024.

136. Liu, Q.; Jin, L.-N.; Sun, W.-Y.; Chem. Commun. 2012, 48, 8814.

137. Carné-Sánchez, A.; Imaz, I.; Cano-Sarabia, M.; Maspoch, D.; Nat. Chem. 2013, 5, 203.

138. Hyo Park, J.; Min Choi, K.; Joon Jeon, H.; Jung Choi, Y.; Ku Kang, J.; Sci. Rep. 2015, 5, 12045.

139. Bradshaw, D.; El-Hankari, S.; Lupica-Spagnolo, L.; Chem. Soc. Rev. 2014, 43, 5431.

140. Grünker, R.; Bon, V.; Müller, P.; Stoeck, U.; Krause, S.; Mueller, U.; Senkovska, I.; Kaskel, S.; Chem. Commun. 2014, 50, 3450.

141. Song, L.; Zhang, J.; Sun, L.; Xu, F.; Li, F.; Zhang, H.; Si, X.; Jiao, C.; Li, Z.; Liu, S.; Liu, Y.; Zhou, H.; Sun, D.; Du, Y.; Cao, Z.; Gabelica, Z.; Energy Environ. Sci. 2012, 5, 7508.

142. Xuan, W.; Zhu, C.; Liu, Y.; Cui, Y.; Chem. Soc. Rev. 2012, 41, 1677.

143. Ahmed, A.; Hodgson, N.; Barrow, M.; Clowes, R.; Robertson, C. M.; Steiner, A.; McKeown, P.; Bradshaw, D.; Myers, P.; Zhang, H.; J. Mater. Chem. A 2014, 2, 9085.

144. Li, T.; Kozlowski, M. T.; Doud, E. A.; Blakely, M. N.; Rosi, N. L.; J. Am. Chem. Soc. 2013, 135, 11688.

145. Deng, H.; Grunder, S.; Cordova, K. E.; Valente, C.; Furukawa, H.; Hmadeh, M.; Gandara, F.; Whalley, A. C.; Liu, Z.; Asahina, S.; Kazumori, H.; O'Keeffe, M.; Terasaki, O.; Stoddart, J. F.; Yaghi, O. M.; Science 2012, 336, 1018.

146. Chen, B.; Eddaoudi, M.; Hyde, S. T.; O'Keeffe, M.; Yaghi, O. M.; Science 2001, 291, 1021.

147. Shekhah, O.; Wang, H.; Paradinas, M.; Ocal, C.; Schüpbach, B.; Terfort, A.; Zacher, D.; Fischer, R. A.; Wöll, C.; Nat. Mater. 2009, 8, 481.

148. Farha, O. K.; Malliakas, C. D.; Kanatzidis, M. G.; Hupp, J. T.; J. Am. Chem. Soc 2010, 132, 950.

149. Seoane, B.; Dikhtiarenko, A.; Mayoral, A.; Tellez, C.; Coronas, J.; Kapteijn, F.; Gascon, J.; CrystEngComm 2015, 17, 1693.

150. Zhao, Y.; Zhang, J.; Han, B.; Song, J.; Li, J.; Wang, Q.; Angew. Chem., Int. Ed. 2011, 50, 636.

151. Qiu, L. G.; Xu, T.; Li, Z. Q.; Wang, W.; Wu, Y.; Jiang, X.; Tian, X. Y.; Zhang, L.; Angew. Chem., Int. Ed. 2008, 47, 9487.

152. Li, B.; Chrzanowski, M.; Zhang, Y.; Ma, S.; Coord. Chem. Rev. 2016, 307, 106.

153. Kong, X.; Deng, H.; Yan, F.; Kim, J.; Swisher, J. A.; Smit, B.; Yaghi, O. M.; Reimer, J. A.; Science 2013, 341, 882.

154. Deria, P.; Mondloch, J. E.; Karagiaridi, O.; Bury, W.; Hupp, J. T.; Farha, O. K.; Chem. Soc. Rev. 2014, 43, 5896.

155. Cohen, S. M. Chem. Sci. 2010, 1, 32.

156. Karagiaridi, O.; Bury, W.; Mondloch, J. E.; Hupp, J. T.; Farha, O. K.; Angew. Chem., Int. Ed. 2014, 53, 4530.

157. Evans, J. D.; Sumby, C. J.; Doonan, C. J.; Chem. Soc. Rev. 2014, 43, 5933.

158. Brozek, C. K.; Dincă, M. Chem. Soc. Rev.; 2014, 43, 5456.

159. Han, Y.; Li, J.-R.; Xie, Y.; Guo, G.; Chem. Soc. Rev. 2014, 43, 5952.

160. Huang, L.; He, M.; Chen, B.; Hu, B.; J. Mater. Chem. A 2015, 3, 11587.

161. Juan-Alcañiz, J.; Gascon, J.; Kapteijn, F.; J. Mater. Chem. 2012, 22, 10102.

162. Esken, D.; Turner, S.; Lebedev, O. I.; Van Tendeloo, G.; Fischer, R. A.; Chem. Mater. 2010, 22, 6393.

163. Lu, G.; Li, S.; Guo, Z.; Farha, O. K.; Hauser, B. G.; Qi, X.; Wang, Y.; Wang, X.; Han, S.; Liu, X.; DuChene, J. S.; Zhang, H.; Zhang, Q.; Chen, X.; Ma, J.; Loo, S. C. J.; Wei, W. D.; Yang, Y.; Hupp, J. T.; Huo, F.; Nat. Chem. 2012, 4, 310.

164. Li, B.; Wen, H. M.; Cui, Y.; Zhou, W.; Qian, G.; Chen, B. ;Adv. Mater. 2016, 28, 8819.

165. Bai, Y.; Dou, Y.; Xie, L.-H.; Rutledge, W.; Li, J.-R.; Zhou, H.-C.; Chem. Soc. Rev. 2016, 45, 2327.

166. Cui, Y.; Li, B.; He, H.; Zhou, W.; Chen, B.; Qian, G.; Acc. Chem. Res. 2016, 49, 483.

167. Imaz, I.; Rubio-Martínez, M.; An, J.; Solé-Font, I.; Rosi, N. L.; Maspoch, D.; Chem. Commun. 2011, 47, 7287.

168. Giménez-Marqués, M.; Hidalgo, T.; Serre, C.; Horcajada, P.; Coord. Chem. Rev. 2015, 307, 342.

169. Tan, L.-L.; Song, N.; Zhang, S. X.-A.; Li, H.; Wang, B.; Yang, Y.-W.; J. Mater. Chem. B 2016, 4, 135.

170. Doonan, C.; Riccò, R.; Liang, K.; Bradshaw, D.; Falcaro, P.; Acc. Chem. Res. 2017, 50, 1423.

171. Lahoud, M. G.; Frem, R. C. G.; Marques, L. F.; Arroyos, G.; Brandao, P.; Ferreira, R. A. S.; Carlos, L. D.; J. Solid State Chem. 2017, 253.

172. Stavila, V.; Talin, A. A.; Allendorf, M. D.; Chem. Soc. Rev. 2014, 43, 5994.

173. Lustig, W. P.; Mukherjee, S.; Rudd, N. D.; Desai, A. V.; Li, J.; Ghosh, S. K.; Chem. Soc. Rev. 2017, 46, 3242.

174. Simon, C. M.; Braun, E.; Carraro, C.; Smit, B.; Proc. Natl. Acad. Sci. U. S. A. 2017, 114, 287.

175. Barea, E.; Montoro, C.; Navarro, J. A. R.; Chem. Soc. Rev. 2014, 43, 5419.

176. Denny Jr., M. S.; Moreton, J. C.; Benz, L.; Cohen, S. M.; Nat. Rev. Mat. 2016, 1, 16078.

177. Banerjee, D.; Cairns, A. J.; Liu, J.; Motkuri, R. K.; Nune, S. K.; Fernandez, C. A.; Krishna, R.; Strachan, D. M.; Thallapally, P. K.; Acc. Chem. Res. 2015, 48, 211.

178. Chughtai, A. H.; Ahmad, N.; Younus, H. A.; Laypkov, A.; Verpoort, F.; Chem. Soc. Rev. 2015, 44, 6804.

179. Alegre-Requena, J. V.; Marqués-López, E.; Herrera, R. P.; Díaz, D. D.; CrystEngComm 2016, 18, 3985.

180. Huang, Y.-B.; Liang, J.; Wang, X.-S.; Cao, R.; Chem. Soc. Rev. 2017, 46, 126.

181. Zhao, X.; Liu, S.; Tang, Z.; Niu, H.; Cai, Y.; Meng, W.; Wu, F.; Giesy, J. P.; Sci. Rep. 2015, 5, 11849.

182. Wang, L.; Han, Y.; Feng, X.; Zhou, J.; Qi, P.; Wang, B.; Coord. Chem. Rev. 2015, 307, 361.

183. Ullman, A. M.; Brown, J. W.; Foster, M. E.; Léonard, F.; Leong, K.; Stavila, V.; Allendorf, M. D.; Inorg. Chem. 2016, 55, 7233.

184. bp.com/statisticalreview, acessada em agosto de 2018.

185. http://data.worldbank.org/indicator/EN.ATM.CO2E.KT, acessada em agosto de 2018.

186. Schoedel, A.; Ji, Z.; Yaghi, O. M.; Nat. Energy 2016, 1, 16034.

187. http://www.emercedesbenz.com/autos/mercedes-benz/concept-vehicles/mercedes-benz-f125-research-vehicle-technology, acessada em agosto de 2018.

188. http://www.interacademycouncil.net/File.aspx?id=24548, acessada em agosto de 2018.

189. Langmi, H. W.; Ren, J.; North, B.; Mathe, M.; Bessarabov, D.; Electrochim. Acta 2014, 128, 368.

190. Furukawa, H.; Miller, M. A.; Yaghi, O. M.; J. Mater. Chem. 2007, 17, 3197.

191. Rowsell, J. L. C.; Yaghi, O. M.; Angew. Chem., Int. Ed. 2005, 44, 4670.

192. Dinča, M.; Dailly, A.; Liu, Y.; Brown, C. M.; Neumann, D. A.; Long, J. R.; J. Am. Chem. Soc. 2006, 128, 16876.

193. Yan, Y.; Blake, A. J.; Lewis, W.; Barnett, S. A.; Dailly, A.; Champness, N. R.; Schröder, M.; Chem. - Eur. J. 2011, 17, 11162.

194. Schlichtenmayer, M.; Hirscher, M.; J. Mater. Chem. 2012, 22, 10134.

195. Villajos, J. A.; Orcajo, G.; Martos, C.; Botas, J. A.; Villacañas, J.; Calleja, G.; Int. J. Hydrogen Energy 2015, 40, 5346.

196. Hirscher, M.; Panella, B.; Schmitz, B.; Microporous Mesoporous Mater. 2010, 129, 335.

197. Falcaro, P.; Ricco, R.; Yazdi, A.; Imaz, I.; Furukawa, S.; Maspoch, D.; Ameloot, R.; Evans, J. D.; Doonan, C. J.; Coord. Chem. Rev. 2016, 307, 237.

198. Zlotea, C.; Campesi, R.; Cuevas, F.; Leroy, E.; Dibandjo, P.; Volkringer, C.; Loiseau, T.; Férey, G.; Latroche, M.; J. Am. Chem. Soc. 2010, 132, 2991.

199. Li, P.; Wang, Z.; Qiao, Z.; Liu, Y.; Cao, X.; Li, W.; Wang, J.; Wang, S.; J. Membr. Sci. 2015, 495, 130.

200. Kuppler, R. J.; Timmons, D. J.; Fang, Q. R.; Li, J. R.; Makal, T. A.; Young, M. D.; Yuan, D.; Zhao, D.; Zhuang, W.; Zhou, H. C.; Coord. Chem. Rev. 2009, 253, 3042.

201. Jin, H.; Wollbrink, A.; Yao, R.; Li, Y.; Caro, J.; Yang, W.; J. Membr. Sci. 2016, 513, 40.

202. https://science.energy.gov/~/media/bes/pdf/reports/files/Basic_Research_Needs_for_Carbon_Capture_rpt.pdf, acessada em agosto de 2018.

203. https://climatechangeconnection.org/emissions/co2-equivalents/~, acessada em agosto de 2018.

204. He, Y.; Zhou, W.; Qian, G.; Chen, B.; Chem. Soc. Rev. 2014, 43, 5657.

205. Koh, H. S.; Rana, M. K.; Wong-Foy, A. G.; Siegel, D. J.; J. Phys. Chem. C 2015, 119, 13451.

206. Mason, J. A.; Oktawiec, J.; Taylor, M. K.; Hudson, M. R.; Rodriguez, J.; Bachman, J. E.; Gonzalez, M. I.; Cervellino, A.; Guagliardi, A.; Brown, C. M.; Llewellyn, P. L.; Masciocchi, N.; Long, J. R.; Nature 2015, 527, 357.

207. Peng, Y.; Krungleviciute, V.; Eryazici, I.; Hupp, J. T.; Farha, O. K.; Yildirim, T.; J. Am. Chem. Soc. 2013, 135, 11887.

208. Simon, C. M.; Kim, J.; Gomez-Gualdron, D. A.; Camp, J. S.; Chung, Y. G.; Martin, R. L.; Mercado, R.; Deem, M. W.; Gunter, D.; Haranczyk, M.; Sholl, D. S.; Snurr, R. Q.; Smit, B.; Energy Environ. Sci. 2015, 8, 1190.

209. Eddaoudi, M.; Kim, J.; Rosi, N.; Vodak, D.; Wachter, J.; O'Keeffe, M.; Yaghi, O. M.; Science 2002, 295, 469.

210. Gándara, F.; Furukawa, H.; Lee, S.; Yaghi, O. M.; J. Am. Chem. Soc. 2014, 136, 5271.

211. Guo, Z.; Wu, H.; Srinivas, G.; Zhou, Y.; Xiang, S.; Chen, Z.; Yang, Y.; Zhou, W.; O'Keeffe, M.; Chen, B.; Angew. Chem., Int. Ed. 2011, 50, 3178.

212. He, Y.; Zhou, W.; Yildirim, T.; Chen, B. Energy Environ. Sci. 2013, 6, 2735.

213. Wen, H. M.; Li, B.; Li, L.; Lin, R. B.; Zhou, W.; Qian, G.; Chen, B.; Adv. Mater. 2018, 30, 1704792.

214. Alezi, D.; Belmabkhout, Y.; Suyetin, M.; Bhatt, P. M.; Weseliński, Ł. J.; Solovyeva, V.; Adil, K.; Spanopoulos, I.; Trikalitis, P. N.; Emwas, A. H.; Eddaoudi, M.; J. Am. Chem. Soc. 2015, 137, 13308.

215. http://www.ecofuel-asia-tour.com, acessada em agosto de 2018.

216. Li, B.; Wen, H.-M.; Wang, H.; Wu, H.; Yildirim, T.; Zhou, W.; Chen, B.; Energy Environ. Sci. 2015, 8, 2504.

217. Szilágyi, P. A.; Serra-Crespo, P.; Gascon, J.; Geerlings, H.; Dam, B.; Front. Energy Res. 2016, 4, 2012.

218. Jiang, J.; Furukawa, H.; Zhang, Y. B.; Yaghi, O. M.; J. Am. Chem. Soc. 2016, 138, 10244.

219. Schneemann, A.; Bon, V.; Schwedler, I.; Senkovska, I.; Kaskel, S.; Fischer, R. A.; Chem. Soc. Rev. 2014, 43, 6062.

220. Zhou, K.; Chaemchuen, S.; Verpoort, F.; Renewable Sustainable Energy Rev. 2017, 79, 1414.

221. Pires, J.; Juźków, J.; Pinto, M. L.; Colloids Surf., A 2018, 544, 105.

222. Yang, T.; Lu, L.; Wang, S.; Cao, W.; Lu, X.; Mol. Simul. 2017, 7022, 1.

223. Mafra, L.; Čendak, T.; Schneider, S.; Wiper, P. V.; Pires, J.; Gomes, J. R. B.; Pinto, M. L.; Chem. Eng. J. 2018, 336, 612.

224. Billemont, P.; Heymans, N.; Normand, P.; De Weireld, G.; Adsorption 2017, 23, 225.

225. Chen, C. X.; Zheng, S. P.; Wei, Z. W.; Cao, C. C.; Wang, H. P.; Wang, D.; Jiang, J. J.; Fenske, D.; Su, C. Y.; Chem. - Eur. J. 2017, 23, 4060.

226. Kong, C.; Du, H.; Chen, L.; Chen, B.; Energy Environ. Sci. 2017, 10, 1812.

227. Peng, Y.; Li, Y.; Ban, Y.; Yang, W.; Angew. Chem., Int. Ed. 2017, 56, 9757.

228. Sabetghadam, A.; Seoane, B.; Keskin, D.; Duim, N.; Rodenas, T.; Shahid, S.; Sorribas, S.; Guillouzer, C. Le; Clet, G.; Tellez, C.; Daturi, M.; Coronas, J.; Kapteijn, F.; Gascon, J.; Adv. Funct. Mater. 2016, 26, 3154.

229. Ferreira, A. F. P.; Ribeiro, A. M.; Kulaç, S.; Rodrigues, A. E.; Chem. Eng. Sci. 2015, 124, 79.

230. Cheng, Y.; Wang, X.; Jia, C.; Wang, Y.; Zhai, L.; Wang, Q.; Zhao, D.; J. Membr. Sci. 2017, 539, 213.

231. Li, J. R.; Ma, Y.; McCarthy, M. C.; Sculley, J.; Yu, J.; Jeong, H. K.; Balbuena, P. B.; Zhou, H. C.; Coord. Chem. Rev. 2011, 255, 1791.

232. Millward, A. R.; Yaghi, O. M.; J. Am. Chem. Soc. 2005, 127, 17998.

233. Liu, J.; Thallapally, P. K.; McGrail, B. P.; Brown, D. R.; Liu, J.; Chem. Soc. Rev. 2012, 41, 2308.

234. Sabouni, R.; Kazemian, H.; Rohani, S.; Environ. Sci. Pollut. Res. 2014, 21, 5427.

235. Zhao, P.; Lampronti, G. I.; Lloyd, G. O.; Suard, E.; Redfern, S. A. T.; J. Mater. Chem. A 2014, 2, 620.

236. Chen, S.; Lucier, B. E. G.; Boyle, P. D.; Huang, Y.; Chem. Mater. 2016, 28, 5829.

237. Zhang, J.; Shreeve, J. M.; Dalton Trans. 2016, 45, 2363.

238. Caskey, S. R.; Wong-Foy, A. G.; Matzger, A. J.; J. Am. Chem. Soc. 2008, 130, 10870.

239. Li, B.; Zhang, Z.; Li, Y.; Yao, K.; Zhu, Y.; Deng, Z.; Yang, F.; Zhou, X.; Li, G.; Wu, H.; Nijem, N.; Chabal, Y. J.; Lai, Z.; Han, Y.; Shi, Z.; Feng, S.; Li, J.; Angew. Chem., Int. Ed. 2012, 51, 1412.

240. Nugent, P.; Belmabkhout, Y.; Burd, S. D.; Cairns, A. J.; Luebke, R.; Forrest, K.; Pham, T.; Ma, S.; Space, B.; Wojtas, L.; Eddaoudi, M.; Zaworotko, M. J.; Nature 2013, 495, 80.

241. Beyzavi, M. H.; Stephenson, C. J.; Liu, Y.; Karagiaridi, O.; Hupp, J. T.; Farha, O. K.; Front. Energy Res. 2015, 2, 1.

242. Deria, P.; Li, S.; Zhang, H.; Snurr, R. Q.; Hupp, J. T.; Farha, O. K.; Chem. Commun. 2015, 51, 12478.

243. Zhang, T.; Lin, W.; Chem. Soc. Rev. 2014, 43, 5982.

244. Wang, C. C.; Zhang, Y. Q.; Li, J.; Wang, P.; J. Mol. Struct. 2015, 1083, 127.

245. Roy, S. C.; Varghese, O. K.; Paulose, M.; Grimes, C. a.; ACS Nano 2010, 4, 1259.

246. Corma, A.; Garcia, H.; J. Catal. 2013, 308, 168.

247. Ozin, G. A.; Adv. Mater. 2015, 27, 1957.

248. Dhakshinamoorthy, A.; Asiri, A. M.; García, H.; Angew. Chem., Int. Ed. 2016, 55, 5414.

249. Goeppert, A.; Czaun, M.; Jones, J.-P.; Prakash, G. K. S.; Olah, G. A.; Chem. Soc. Rev. 2014, 43, 7995.

250. Wang, D.; Huang, R.; Liu, W.; Sun, D.; Li, Z.; ACS Catal. 2014, 4, 4254.

251. Cardoso, J. C.; Stulp, S.; de Brito, J. F.; Flor, J. B. S.; Frem, R. C. G.; Zanoni, M. V. B.; Appl. Catal., B 2018, 225.

252. Lu, G.; Farha, O. K.; Zhang, W.; Huo, F.; Hupp, J. T.; Adv. Mater. 2012, 24, 3970.

253. United Nations World Water Assessment Programme / UN-Water; The United Nations World Water Development Report 2018: Nature-Based Solutions for Water. Paris, UNESCO, 2018.

254. http://www.mma.gov.br/estruturas/sedr_proecotur/_publicacao/140_publicacao09062009025910.pdf. Acessada em agosto de 2018.

255. United Nations World Water Assessment Programme; The United Nations World Water Development Report 4: Managing Water under Uncertainty and Risk. Paris, UNESCO, 2012, 1.

256. Shourideh, A. H.; Ajram, W. B.; Lami, J. A.; Haggag, S.; Mansouri, A.; Therm. Sci. Eng. Prog. 2018, 6, 14.

257. Furukawa, H.; Gándara, F.; Zhang, Y.-B.; Jiang, J.; Queen, W. L.; Hudson, M. R.; Yaghi, O. M.; J. Am. Chem. Soc. 2014, 136, 4369.

258. Rieth, A. J.; Yang, S.; Wang, E. N.; Dincă, M.; ACS Cent. Sci. 2017, 3, 668.

259. Kim, H.; Yang, S.; Rao, S. R.; Narayanan, S.; Kapustin, E. A.; Furukawa, H.; Umans, A. S.; Yaghi, O. M.; Wang, E. N.; Science 2017, 356, 430.

260. Kim, H.; Rao, S. R.; Kapustin, E. A.; Zhao, L.; Yang, S.; Yaghi, O. M.; Wang, E. N.; Nat. Commun. 2018, 9, 1191.

On-line version ISSN 1678-7064 Printed version ISSN 0100-4042
Qu�mica Nova
Publica��es da Sociedade Brasileira de Qu�mica
Caixa Postal: 26037 05513-970 S�o Paulo - SP
Tel/Fax: +55.11.3032.2299/+55.11.3814.3602
Free access

GN1