JBCS



14:55, sáb out 25

Acesso Aberto/TP



Artigo


Síntese, caracterização e avaliação da atividade citotóxica de compostos ciclopaladados contendo como ligantes benzaldeidoxima ortometalada e etilenotiouréia
Synthesis, characterization and cytotoxic activity evaluation of cyclopalladated compounds containing orthometallated benzaldehydeoxime and ethylenethiourea as ligands

Nathália A. ThomazellaI; Sahra C. LemosI; Ronan F. F. de SouzaI; Rodrigo A. de SouzaI; Antonio E. MauroI; Iracilda Z. CarlosII; Adelino V. G. NettoI,*

I. Departamento de Química Geral e Inorgânica, Instituto de Química, Universidade Estadual Paulista, 14800-060 Araraquara - SP, Brasil
II. Departamento de Análises Clínicas, Faculdade de Ciências Farmacêuticas, Universidade Estadual Paulista, 14800-903 Araraquara - SP, Brasil

Recebido em 08/06/2018
Aceito em 03/09/2018
Publicado na web em 25/09/2018

Endereço para correspondência

*e-mail: adelino.netto@unesp.br

RESUMO

The halide-bridge cleavage reaction of the [Pd(C2,N-bzox)(µ-Cl)]2 compound (bzox = benzaldehydeoxime) with ethylenethiourea (L) in the 1:2 molar ratio at room temperature yielded the cyclopalladated compound [Pd(C2,N-bzox)(Cl)(L)] (1) whose replacement of the halide group by the addition of suitable salts afforded compounds of general formulae [Pd(C2,N-bzox)(X)(L)] {X = Br- (2), I- (3)}. All compounds were characterized by melting point, elemental analyses, infrared and 1H- and 13C{1H}-NMR spectroscopies revealing the complexes formation with the oxime coordinated to Pd(II) as C,N-chelating and the ethylenethiourea as a monodentate ligand via the sulfur atom. The cytotoxicity of cyclopalladated compounds has been evaluated in vitro against murine mammary tumor cell (LM3) showing cytotoxic activity similar to cisplatin.

Palavras-chave: cyclopalladated complexes; oximes; ethylenethiourea; imidazolidine-2-thione; cytotoxicity.

INTRODUÇAO

Os complexos metálicos têm sido extensivamente investigados por apresentarem propriedades antitumorais que configuram um novo horizonte para o desenvolvimento de novos fármacos.1-4 A incorporaçao de metais de transiçao nas estruturas de moléculas candidatas a fármacos pode conferir-lhes propriedades inusitadas com relaçao aos seus análogos puramente orgânicos, como acidez de Lewis, magnetismo, atividade redox, luminescência, entre outros. Além disso, os íons metálicos apresentam números de coordenaçao, preferências estereoquímicas e reatividade que dependem da sua carga, tamanho e estrutura eletrônica, tornando-os uma plataforma única para o planejamento de novos fármacos com conceitos muito diferentes daqueles usados para moléculas orgânicas.5,6 Atualmente, fármacos como a cisplatina, carboplatina e oxaliplatina sao utilizados em cerca de 50 a 70% dos tratamentos de tumores,7 contudo, a baixa seletividade unida à resistência adquirida pelo organismo a essas drogas e aos efeitos colaterais que elas causam motivam o desenvolvimento de novos compostos mais eficazes e menos tóxicos.8,9 Nesse contexto, os complexos de paládio(II) representam uma alternativa promissora pelas semelhanças entre os íons Pd(II) e Pt(II). No entanto, devido à alta labilidade desses complexos em soluçao, diferentes estratégias sao empregadas para aumentar sua estabilidade, possibilitando assim que a integridade estrutural do complexo seja mantida até que o(s) alvo(s) farmacológico(s) seja(m) atingido(s).

Alicerçados em argumentos da Química de Coordenaçao, os químicos inorgânicos sintéticos logo desenvolveram uma estratégia para obter complexos de Pd(II) biologicamente ativos e mais estáveis do ponto de vista cinético utilizando ligantes quelantes.5,10,11 Dentre os tipos de compostos quelatos de paládio(II), os ciclopaladados ocupam uma posiçao de destaque por apresentarem: i) atividade citotóxica contra células tumorais sensíveis e resistentes à cisplatina; ii) capacidade de diminuir o crescimento de tumores em modelos de animais; iii) atividade antiproliferativa potente frente à microorganismos patógenos.12-17

Ciclopaladado pode ser definido como qualquer composto quelato de paládio que contenha uma ligaçao Pd-C, estabilizada intramolecularmente por um ou dois átomos doadores neutros (Y), pertencentes aos grupos 15 ou 16 da tabela periódica.18 Nas últimas décadas, compostos ciclopaladados vêm suscitando cada vez mais interesse da comunidade científica pelas suas potencialidades medicinais.16-17 Como exemplo, a citotoxicidade do composto ciclopaladado [Pd2(R(+)C2,N-dmpa)2(µ-dppe)Cl2], {R(+)C2,N-dmpa = N,N-dimetil-1-feniletilamina e dppe = 1,2-etanobis(difenilfosfina)} frente à linhagem de leucemia humana (K562) foi investigada por Moraes et al., sendo demonstrada que a atividade citotóxica, in vitro, inferior a 1,50 µmol L-1, estava associada à oxidaçao de proteínas presentes na membrana mitocondrial, além do fato do composto ser capaz de promover a morte das células tumorais sem apresentar toxicidade para células sanguíneas normais.19

A incorporaçao de tiouréias no arcabouço molecular de ciclopaladados tem se mostrado uma estratégia interessante na obtençao de compostos biologicamente ativos. Nesse contexto, Moro et al. investigaram a atividade citotóxica dos ciclometalados [Pd(C2,N-dmba)(X)(L)], (X = Cl-, Br-, I-; C2,N-dmba = N,N-dimetilbenzilamina, L = tiouréia) frente à linhagem de células de adenocarcinoma mamário murino (LM3).20,21 O complexo sintetizado [Pd(C2,N-dmba)(I)(L)] apresentou um potencial citotóxico (IC50 = 14,4 ± 1,92 mol L-1) frente à linhagem LM3 mais ativo que a cisplatina (IC50 = 30,3 ± 3,72 µmol L-1).9 Cabe destacar que os ciclopaladados demonstraram nao ser genotóxicos, mostrando que os mesmos apresentam um mecanismo de açao que nao envolve necessariamente a interaçao com o DNA.

De acordo com Higgins et al.,22 compostos de paládio portadores de iminas ortometaladas (R''R'C=NR) tendem a ser mais citotóxicos que aqueles constituídos por aminas alifáticas, como a N,N-dimetilbenzilamina (dmba). Apesar dos avanços significativos nessa área, ainda nao há relatos na literatura sobre os efeitos provocados na citotoxicidade dos ciclopaladados contendo oximas ortometaladas.

Oximas representam uma classe de compostos orgânicos de fórmula R''R'C=NOH formadas pela condensaçao entre aldeído/cetona e a hidroxilamina.23 Ciclopaladados contendo oximas ortometaladas têm sido amplamente estudados por suas propriedades catalíticas em diversas reaçoes orgânicas, sendo muito utilizados como catalisadores em reaçoes de Heck e Suzuki-Miyaura.24 Embora as propriedades catalíticas dessa classe de ciclopaladados tenha motivado um número significativo de estudos, suas propriedades biológicas permanecem ainda inexploradas.

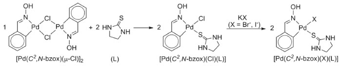
Dando continuidade ao interesse do nosso grupo pelas relaçoes estrutura-atividade envolvendo compostos de paládio,25-28 e partindo do nosso conhecimento prévio a respeito da estrutura e atividade dos compostos [Pd(C2,N-dmba)(X)(L)], cuja citotoxicidade já é bem estabelecida,20,21 esse trabalho tem como objetivo investigar a influência da natureza do anel ciclometalado na citotoxicidade dessa classe de compostos por meio da síntese de uma classe de compostos análogos de fórmula [Pd(C2,N-bzox)(X)(L)] {C2,N-bzox = benzaldeidoxima, L = etilenotiouréia; X = Cl- (1), Br- (2) e I- (3)}, visando averiguar o efeito da substituiçao do anel ortometalado na citotoxicidade dos compostos obtidos, como indicado no Esquema 1.

 


Esquema 1. Modificaçao no anel ciclometalado do composto ativo [Pd(C2,N-dmba)(X)(L)]

 

PARTE EXPERIMENTAL

Materiais

Os reagentes E-benzaldeidoxima (Aldrich), N,N-dimetilbenzilamina (Aldrich), cloreto de paládio(II) (Aldrich), etilenotiouréia (Aldrich), brometo de potássio (Merck) e iodeto de potássio (Merck) foram utilizados sem purificaçao adicional. Os solventes acetona, metanol, clorofórmio, acido acético e n-pentano de pureza analítica foram adquiridos da Merck.

Caracterizaçao dos complexos 1-3

As análises quantitativas de carbono, hidrogênio e nitrogênio foram realizadas no analisador elementar Perkin Elmer, modelo 2400 Series II CHNS-O. Os espectros de absorçao na regiao do infravermelho foram registrados no espectrofotômetro NICOLET, modelo SX-FT Impact 400, na regiao de 4000-400 cm-1, utilizando a técnica de pastilha de KBr. Os espectros de ressonância magnética nuclear de 1H e 13C{1H} foram registrados em espectrômetro multinuclear VARIAN, modelo INOVA 500, operando a 500 MHz para hidrogênio. Acetona deuterada (Aldrich) foi utilizada para dissoluçao dos complexos enquanto que dimetilsulfóxido deuterado (Aldrich) para a dissoluçao dos ligantes (benzaldeidoxima e etilenotiouréia) livres.

Síntese dos complexos 1-3

O dímero [Pd(C2,N-dmba)(µ-Cl)]2 foi obtido, previamente, por meio da reaçao entre cloreto de paládio(II) e N,N'-dimetilbenzilamina (dmba), como descrito na literatura.29-31 O complexo precursor [Pd(C2,N-bxoz)(µ-Cl)]2, (P) foi sintetizado pela reaçao de transciclometalaçao entre o dímero [Pd(C2,N-dmba)(µ-Cl)]2 e a benzaldeidoxima livre.32,33

Os complexos [Pd(C2,N-bzox)(X)(L)] {X = Cl- (1), Br- (2) e I- (3); L = etilenotiouréia} foram obtidos por metodologia semelhante à descrita por Moro et al.21,22 Resumidamente, 4,0 mL de uma soluçao metanólica contendo etilenotiouréia (0,380 mmol) foi adicionada, gota a gota, ao [Pd(C2,N-bxoz)(µ-Cl)]2(0,190 mmol) suspenso em 10,0 mL de uma mistura de metanol:acetona 1:1. A soluçao resultante foi mantida em agitaçao magnética por 1 h, à temperatura ambiente. Posteriormente, o solvente foi removido sob pressao reduzida e o sólido amarelado resultante foi lavado com metanol e n-pentano e seco sob vácuo resultando no complexo 1. Rendimento: 54%.

Os complexos 2 e 3 foram obtidos adicionando 3,0 mL de uma soluçao metanólica de KBr ou KI (0,190 mmol), contendo 15 gotas de água, ao [Pd(C2,N-bzox)(Cl)(L)] (0,190 mmol) solubilizado em 10,0 mL de uma mistura de metanol:acetona 1:1. A soluçao resultante foi mantida em agitaçao magnética por 1 h, a temperatura ambiente, e o solvente foi removido sob pressao reduzida. Os sólidos obtidos foram lavados com água e n-pentano e secos sob vácuo. Rendimento: 95%.

Linhagem celular e meio de cultura

A linhagem tumoral murina de adenocarcinoma mamario (LM3), que cresce espontaneamente em camundongos BALB/c, foi doada generosamente pela Dra. Elisa Bal de Kier Joffé do Instituto de Oncologia Angel H. Roffo, Buenos Aires, Argentina. As células foram cultivadas em meio MEM (Gibco®, USA), suplementado com 10% de soro fetal bovino (Gibco®, USA) e 4 µg mL-1 de gentamicina (Aldrich), a 37 °C em atmosfera úmida com 5% de CO2. As células foram separadas por tripsina a 0,01% em EDTA 1 mmol L-1 (Gibco®, EUA), realizando repiques três vezes por semana. As células aderentes viáveis foram determinadas pela contagem em câmara de Neubauer utilizando o corante azul de Tripan (0,04%). Após a cultura, as células foram tratadas com diferentes concentraçoes dos compostos por 24 h.

Determinaçao da viabilidade celular

Para avaliar a viabilidade celular da linhagem tumoral LM3 foi usado o ensaio com brometo de 3-(4,5-dimetiltiazol-2-il)-2-5-difeniltetrazólio (MTT).34 Em placas de 96 poços com fundo chato, foram plaqueadas, em triplicata, 5,0 x104 células/poço da linhagem tumoral em seu respectivo meio de cultura, para serem incubadas em estufa a 37 °C e 5% de CO2. Após 24 h, as células foram tratadas com os compostos e mantidas, novamente, em estufa por mais 24 h. Em seguida, a viabilidade celular foi determinada adicionando a soluçao de MTT (5 mg mL-1) em cada poço e incubando as placas no escuro por 3 h a 37 °C e 5% de CO2. Após esse período, foi adicionado isopropanol para solubilizaçao dos cristais de formazan e a leitura de absorbância foi realizada em 540 nm em espectrofotômetro UV/visível para microplacas (Multiskan Ascent, Labsystems, Finlândia).

Os ensaios de citotoxicidade celular in vitro foram realizados com os ligantes livres (benzaldeidoxima e etilenotiouréia), com o complexo precursor (P) e com os complexos 1-3. Os compostos foram previamente diluídos em DMSO e posteriormente em meio de cultura, de tal modo que a concentraçao final de DMSO (1%) nao revelou nenhuma atividade citotóxica. Controles positivos e negativos foram incluídos em todos os experimentos. Os valores de IC50(concentraçao necessária para inibir 50% da proliferaçao celular) foram determinados por meio da curva dose-resposta empregando o programa Microcal Origin Pro 8.0TM.

 

RESULTADOS E DISCUSSAO

O complexo precursor [Pd(C2,N-bzox)(µ-Cl)]2(P) foi preparado pela transciclometalaçao do [Pd(C2,N-dmba)(µ-Cl)]2 com a benzaldeidoxima (bzox).33 O complexo [Pd(C2,N-bzox)(Cl)(L)] (1) foi sintetizado pela reaçao de clivagem do complexo precursor com o ligante etilenotiouréia (L) na proporçao molar 1:2, enquanto que os complexos [Pd(C2,N-bzox)(X)(L)] {X = Br- (2) e I- (3)} foram obtidos a partir do complexo 1 pela reaçao de substituiçao de haleto, como mostra a Figura 1 .

 


Figura 1. Esquema de síntese dos complexos [Pd(C2,N-bzox)(X)(L)] {X= Cl- (1), Br- (2) e I- (3)}

 

Os complexos obtidos sao sólidos estáveis à luz e ao ar e, com exceçao do precursor, todos sao solúveis em acetona gerando soluçoes com coloraçao amarelo-alaranjada. A Tabela 1 mostra os resultados de análise elementar e a temperatura de decomposiçao para os complexos 1-3 e para o precursor P.

 

 

Os resultados da análise elementar estao em concordância com as fórmulas [Pd(C2,N-bzox)(µ-Cl)]2 e [Pd(C2,N-bzox)(X)(L)], condizendo com a estrutura binuclear proposta para o complexo P e mononuclear proposta para os complexos 1-3. Os complexos foram caracterizados por espectroscopia vibracional no infravermelho (IV) e espectroscopias de ressonância magnética nuclear (RMN) de 1H e 13C{1H}. Os resultados obtidos encontram-se a seguir.

Espectroscopia vibracional no infravermelho

As frequências vibracionais no infravermelho trazem informaçoes importantes sobre o modo de coordenaçao dos ligantes ao centro metálico nos complexos. A Tabela 2 apresenta as principais absorçoes observadas nos espectros do precursor P e dos complexos 1-3.

 

 

As principais bandas atribuídas às oximas no infravermelho referem-se aos estiramentos das ligaçoes O-H, C=N, N-O e a deformaçao fora do plano das ligaçoes C-H de anéis aromáticos.35,36 Para a benzaldeidoxima (bzox), as bandas em 3186, 1634 e 984 cm-1 sao atribuídas, respectivamente, aos modos vibracionais νOH, νC=N e νNO, enquanto que a presença de duas bandas intensas em 755 e 691 cm-1, referentes ao modo vibracional γCH, indicam a estrutura monosubstituída do anel aromático da bzox.35,37 No complexo precursor [Pd(C2,N-bzox)(µ-Cl)]2(P) o deslocamento das bandas νOH em 216 cm-1, e νNO em 69 cm-1, para frequências vibracionais maiores, está em concordância com o esperado para os estiramentos dessas ligaçoes quando a oxima se coordena ao centro metálico pelo nitrogênio imínico.36,38-40 As bandas γCH podem ser utilizadas como evidência para ortometalaçao. A presença de apenas uma banda intensa em 747 cm-1 para o complexo P, em comparaçao a duas bandas intensas γCH no ligante livre, corrobora com a ortodissubstituiçao do anel aromático da benzaldeidoxima.37,41

Os espectros no infravermelho dos complexos [Pd(C2,N-bzox)(X)(L)] {X = Cl- (1), Br- (2), I- (3)} apresentaram as bandas características da benzaldeidoxima ortometalada, além de bandas atribuídas ao ligante etilenotiouréia (L). A estrutura do L pode ser descrita por um hibrido de ressonância com a contribuiçao de três formas canônicas, a tiona (A) e a tiol (B/C),42 como mostrado na Figura 2 .

 


Figura 2. Formas canônicas da etilenotiouréia (L)

 

Para etilenotiouréia (L), as principais bandas no infravermelho referem-se aos estiramentos das ligaçoes N-H, C-N e C=S.43 A etilenotiouréia pode se coordenar ao centro metálico tanto pelo átomo de enxofre quanto pelos átomos de nitrogênio. Se a coordenaçao ocorrer via átomo de enxofre, as formas canônicas B e C aumentam sua contribuiçao estrutural, promovendo um enfraquecimento da ligaçao C=S e um fortalecimento da ligaçao C-N.37,44 Nos complexos 1-3, a banda νC=S (511 cm-1, na etilenotiouréia livre) encontra-se deslocada, cerca de 12 cm-1, para frequências vibracionais menores, enquanto que a banda νCN (1522 cm-1, na etilenotiouréia livre) encontra-se deslocada, cerca de 10 cm-1, para frequências maiores, sugerindo que a coordenaçao do ligante ocorreu via átomo de enxofre. Além disso, a presença da banda intensa νNH (3250 cm-1 na etilenotiouréia livre) nos complexos confirma a presença do ligante neutro em sua estrutura.25

Ressonância magnética nuclear

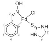
Os espectros de RMN de 1H dos complexos 1-3 exibem apenas um conjunto de sinais, o que confirma a presença de uma única espécie em soluçao. Os sinais dos átomos de hidrogênio e carbono foram atribuídos a partir das correlaçoes observadas nos espectros de HMQC e HMBC e segue o esquema de numeraçao indicado na Figura 3 .

 


Figura 3. Numeraçao adotada para atribuiçao dos sinais de RMN de 1H e 13C{1H}

 

No RMN de 1H, o aparecimento de apenas quatro sinais na regiao dos aromáticos, em torno de 7,32 (H3, dd), 7,28 (H6, dd), 7,09 (H4, td) e 7,02 ppm (H5, td) condiz com a presença do anel ortopaladado da bzox na estrutura dos complexos 1-3. Nos espectros de RMN de 13C{1H} dos complexos 1-3, o deslocamento do sinal de carbono do grupo imínico (-HC=N) de, aproximadamente, 10 ppm para campo mais baixo sugere a coordenaçao da bzox pelo átomo de nitrogênio. Além disso, o surgimento de um sinal de carbono quartenário em 142,45 ppm, atribuído a C2 e deslocado para campo mais baixo em relaçao ao ligante livre (126,55 ppm) confirma a presença do fragmento C2,N-ortopaladado da bzox na estrutura dos complexos 1-3.32,45

A espectroscopia de RMN também confirma a coordenaçao do ligante etilenotiouréia via átomo de enxofre. Nos espectros de RMN de 1H dos complexos 1-3, o deslocamento para campo mais baixo dos núcleos de hidrogênio NH, em relaçao ao ligante livre, é atribuído a uma diminuiçao da densidade eletrônica ao redor do átomo de nitrogênio, decorrente da coordenaçao do ligante via átomo de enxofre, o que enfraquece a ligaçao C=S enquanto fortalece a ligaçao C-N. Esse fato é confirmado pelo deslocamento do sinal 13C=S para campo mais alto, nos espectros de RMN de 13C{1H} dos complexos 1-3.21,25,44 Os dados de RMN de 1H e 13C{1H} para os ligantes e o complexo 1 estao reunidos na Tabela 3.

 

 

Atividade citotóxica frente a linhagem tumoral LM3

A atividade citotóxica dos complexos 1-3, do precursor P e dos ligantes livres (bzox e L) foi avaliada frente às células murinas de adenocarcinoma mamário (LM3). A Tabela 4 exibe os valores de IC50 obtidos em comparaçao com o da cisplatina e com o dos ciclopaladados do tipo [Pd(C2,N-dmba)(X)(tu)] (X = Cl, Br, I) frente a essa linhagem tumoral.

 

 

A benzaldeidoxima e a etilenotiouréia foram consideradas inativas, visto que apresentaram uma baixa citotoxicidade frente à linhagem tumoral. No entanto, todos os complexos mostram-se mais ativos, indicando o sinergismo na associaçao dos ligantes ao centro de paládio(II).

O complexo binuclear P mostrou-se menos ativo que os complexos mononucleares 1-3, que por sua vez, foram mais citotóxicos frente a LM3 que a cisplatina, destacando a importância da associaçao do metalociclo ao ligante tiocarbonilado na atividade citotóxica dos complexos. Diferentemente do comportamento observado para os compostos do tipo [Pd(C2,N-dmba)(X)(tu)], em que a atividade citotóxica dos compostos aumentou na sequência I > Br > Cl,20,21 os ciclopaladados 1-3 apresentaram níveis de citotoxicidade comparáveis, no intervalo de 15,3-25,0 µmol L-1. Tal fato sugere que a alteraçao do haleto na esfera de coordenaçao do paládio nao produz efeito significativo na citotoxicidade, sendo plausível que os compostos 1-3 originem espécie(s) ativa(s) similar(es) no meio de cultura. De fato, Ryabov et al.32 evidenciaram que ciclopaladados do tipo [Pd(C2,N-bzox)(Cl)(L)] {C2,N-bzox = benzaldeidoxima e L = piridina} sao suscetíveis à hidrolise em pH de 3 a 10, resultando em espécies do tipo [Pd(C2,N-bzox)(OH)(L)] e [Pd(C2,N-bzox)(OH2)(L)]+. Tendo em vista as conclusoes do trabalho de Ryabov, é muito provável que os compostos 1-3 também tenham um comportamento análogo em soluçao, entretanto, sao necessários mais estudos para elucidar a natureza dessas espécies em soluçao.

 

CONCLUSAO

Esse trabalho descreveu a síntese e caracterizaçao espectroscópica de uma série inédita de ciclopaladados contendo benzaldeidoxima ortometalada de fórmula [Pd(C2,N-bzox)(X)(L)] {X = Cl- (1), Br- (2), I- (3); L = etilenotiouréia}. Os produtos foram obtidos com sucesso a partir da clivagem de dímero precursor pela etilenotiouréia e posterior reaçao de metátese do ligante cloro pelo haleto apropriado. A estrutura mononuclear dos compostos e a coordenaçao do ligante sulfurado foram evidenciadas por técnicas espectroscópicas em soluçao (RMN) e no estado sólido (infravermelho).

Os compostos ciclopaladados obtidos neste trabalho exibiram índices de citotoxicidade semelhantes (15,3-25,0 µmol L-1) frente à linhagem de adenocarcinoma mamário murino LM3, sugerindo que espécies ativas similares sejam produzidas durante a incubaçao desses compostos no meio de cultura. Cabe destacar que todos os compostos se mostraram mais citotóxicos que a cisplatina (30,3 ± 3,72 µmol L-1). Comparando-se os resultados desse trabalho com aqueles descritos para a família [Pd(C2,N-dmba)(X)(L)], fica evidente que a substituiçao da N,N-dimetilbenzilamina pela benzaldeidoxima ortometalada teve um papel importante na diferença do padrao de citotoxicidade dessas duas séries de ciclopaladados, o que poderá nortear a síntese de futuros análogos contendo oximas ortometaladas.

 

MATERIAL SUPLEMENTAR

Espectros no infravermelho e ressonância magnética nuclear de 1H e 13C{1H} dos complexos e dos ligantes (bzox e L) relatados neste trabalho estao disponíveis para livre acesso em http://quimicanova.sbq.org.br.

 

AGRADECIMENTOS

Agradecemos à Dra. E. B. K. Joffé do Instituto de Oncologia Angel H. Roffo pela doaçao da linhagem celular de tumor mamário murino LM3. Agradecemos, também, a M. C. P. Placeres pelo suporte técnico nos ensaios biológicos. Esta pesquisa foi apoiada pela FAPESP (proc. 2012/15486-3 e 2016/177115), pelo CNPq (proc. 422105/2016-3) e pela CAPES.

 

REFERENCIAS

1. Colotti, G.; Ilari, A.; Boffi, A.; Morea, V.; Mini-Rev. Med. Chem. 2013, 13, 211.

2. Drewry, J. A.; Gunning, P. T.; Coord. Chem. Rev. 2011, 255, 459.

3. Rijt, S. H. V.; Sadler, P. J.; Drug Discovery Today 2010, 14, 1089.

4. Bruijnincx, P. C. A.; Sadler, P. J.; Curr. Opin. Chem. Biol. 2008, 12, 197.

5. Sadler, P. J.; Platinum Met. Rev. 2008, 52, 21.

6. Cohen, S. M.; Curr. Opin. Chem. Biol. 2007, 11, 115.

7. Albert, J.; Granell, J.; Qadir, R.; Quirante, J.; Calvis, C.; Messeguer, R.; Badía, J.; Baldomà, L.; Bardia, M. F.; Calvet, T.; Organometallics 2014, 33, 7284.

8. Frezza, M.; Hindo, S.; Chen, D.; Davenport, A.; Schmitt, S.; Tomco, D.; Ping Dou, Q.; Curr. Pharm. Des. 2010, 16, 1813.

9. Medici, S.; Peana, M.; Nurchi, V. M.; Lachowicz, J. I.; Crisponi, G.; Zoroddu, M. A.; Coord. Chem. Rev. 2015, 284, 329.

10. Gielen, M.; Tiekink, E. R. T.; Metallotherapeutic Drugs and Metal-Based Diagnostic Agents: The Use of Metals in Medicine, 1st ed., John Wiley & Sons Ltd: England, 2007.

11. Garoufis, A.; Hadjikakou, S. K.; Hadjiliadis, N.; Coord. Chem. Rev. 2009, 253, 1384.

12. Bechara, A.; Barbosa, C. M. V.; Paredes-Gamero, E. J.; Garcia, D. M.; Silva, L. S.; Matsuo, A. L.; Nascimento, F. D.; Rodrigues, E. G.; Caires, A. C. F.; Smaili, S. S.; Bincoletto, C.; Eur. J. Med. Chem. 2014, 79, 24.

13. Alam, M. N.; Huq, F.; Coord. Chem. Rev. 2016, 316, 36.

14. Gigli, R.; Pereira, G. J. S.; Antunes, F.; Bechara, A.; Garcia, D. M.; Spindola, D. G.; Jasiulionis, M. G.; Caires, A. C. F.; Smaili, S. S.; Bincoletto, C.; Eur. J. Med Chem. 2016, 107, 245.

15. Caires, A. C. F.; Anti-Cancer Agents Med. Chem. 2007, 7, 484.

16. Cutillas, N.; Yellol, G. S.; De Haro, C.; Vicente, C.; Rodríguez, V.; Ruiz, J.; Coord. Chem. Rev. 2013, 257, 2784.

17. Omae, I.; Coord. Chem. Rev. 2004, 280, 84.

18. Caires, A. C. F.; Mauro, A. E.; Quim. Nova 1996, 19, 59.

19. Moraes, V. W. R.; Caires, A. C. F.; Paredes-Gamero, E. J.; Rodrigues, T.; Cell Death Dis. 2013, 4, e658.

20. Moro, A. C.; da Cunha, G. A.; de Souza, R. F. F.; Mauro, A. E.; Netto, A. V. G.; Carlos, I. Z.; Resende, F. A.; Varanda, E. A.; Pavan, F. R.; Leite, C. Q. F.; Med. Chem. Res. 2015, 24, 2879.

21. Moro, A. C.; Mauro, A. E.; Netto, A. V. G.; Ananias, S. R.; Quilles, M. B.; Carlos, I. Z., Pavan, F. R.; Leite, C. Q. F.; Horner, M.; Eur. J. Med. Chem. 2009, 44, 4611.

22. Higgins, J. D.; Neely, L.; Fricker, S.; Matthey, J.; J. Inorg. Biochem. 1993, 49, 149.

23. Hoffman, R. V.; Organic Chemistry: An Intermediate Text, 2nd ed., Wiley: Hoboken, 2004.

24. Alacid, E.; Alonso, D. A.; Botella, L.; Nájera, C.; Pacheco, M. C.; Chem. Rec. 2006, 6, 117.

25. Moura, T. R.; Cavalcanti, S. L.; de Godoy, P. R. D. V.; Sakamoto-Hojo, E. T.; Rocha, F. V.; de Almeida, E. T.; Deflon, V. M.; Mauro, A. E.; Netto, A. V. G.; Trans. Met. Chem. 2017, 42, 565.

26. Silva, C.; Ribeiro, L. B.; Furuno, C. C.; da Cunha, G. A.; de Souza, R. F. F.; Netto, A. V. G.; Mauro, A. E.; Frem, R. C. G.; Fernandes, J. A.; Paz, F. A. A.; Marino, L. B.; Pavan, F. R.; Leite, C. Q. F.; Polyhedron 2015, 100, 10.

27. Barra, C. V.; Rocha, F. V.; Morel, L.; Gautier, A.; Garrido, S. S.; Mauro, A. E.; Frem, R. C. G.; Netto, A. V. G.; Inorg. Chim. Acta 2016, 446, 54.

28. Rocha, F. V.; Barra, C. V.; Garrido, S. S.; Manente, F. A.; Carlos, I. Z.; Ellena, J.; Fuentes, A. S. C.; Gautier, A.; Morel, L.; Mauro, A. E.; Netto, A. V. G.; J. Inorg. Biochem. 2016, 159, 165.

29. Cope, A. C.; Friedrich, E. C.; J. Am. Chem. Soc. 1968, 90, 909.

30. Maassarani, F.; Pfeffer, M.; Borgne, G. L.; Organometallics 1987, 6, 2029.

31. Lucca Neto, V. A.; Mauro, A. E.; Caires, A. C. F.; Ananias, S. R.; de Almeida, E. T.; Polyhedron 1998, 18, 413.

32. Ryabov, A. D.; Kazankov, G. M.; Yatsimirsky, A. K.; Kuz'mina, L. G.; Burtseva, O. Y.; Dvortsova, N. V.; Polyakov, V. A.; Inorg. Chem. 1992, 31, 3083.

33. Selvakumar, K.; Vancheesan, S.; Varghese, B.; Polyhedron 1997, 16, 2257.

34. Mosmann, T.; J. Immunol. Methods 1983, 65, 55.

35. Palm, A.; Werbin, H.; Can. J. Chem. 1953, 31, 1004.

36. Kaya, Y.; Icsel, C.; Yilmaz, V. T.; Buyukgungor, O.; J. Organomet. Chem. 2014, 752, 83.

37. Socrates, G.; Infrared and Raman characteristic group frequencies. Infrared and Raman characteristic group frequencies, 3rd ed., John Wiley & Sons Ltd: Chichester, 2004.

38. Keeney, M. E.; Osseo-Asare, K.; Woode, K. A.; Coord. Chem. Rev. 1984, 59, 141.

39. Hiroshi, O.; Kyoji, M.; Kunio, N.; Bull. Chem. Soc. Jpn. 1970, 43, 3480.

40. Bozza, G. F.; de Farias, R. L.; de Souza, R. F. F.; Rocha, F. V.; Barra, C. V.; Deflon, V. M.; de Almeida, E. T.; Mauro, A. E.; Netto, A. V. G.; J. Mol. Struct. 2019, 1175, 195.

41. Nakamoto, K.; Infrared and Raman spectra of inorganic and coordination compounds, 5th ed., John Wiley & Sons Ltd: New York, 1997.

42. Wheatley, P. J.; Acta Crystallogr. 1953, 6, 369.

43. Dwarakanath, K.; Sathyanarayana, D. N.; Bull. Chem. Soc. Jpn. 1979, 52, 2699.

44. Nadeem, S.; Rauf, M. K.; Bolte, M.; Ahmad, S.; Tirmizi, S. A.; Asma, M.; Hameed, A.; Trans. Met. Chem. 2010, 35, 555.

45. Abellan-Lopez, A.; Chicote, M.-T.; Bautista, D.; Vicente, J.; Dalton Trans. 2014, 43, 592.

On-line version ISSN 1678-7064 Printed version ISSN 0100-4042
Qu�mica Nova
Publica��es da Sociedade Brasileira de Qu�mica
Caixa Postal: 26037 05513-970 S�o Paulo - SP
Tel/Fax: +55.11.3032.2299/+55.11.3814.3602
Free access

GN1