JBCS



21:36, sáb out 25

Acesso Aberto/TP



Artigo


Equações lineares e não lineares para prever o comportamento de propriedades físico-químicas de combustível de aviação misturado com bioquerosene drop-in alternativo
Linear and non-linear equations to predict the behavior of physico-chemical properties of aviation fuel mixed with alternative bioquerosene drop-in

Bruno K. V. IhaI,*; Leila Ribeiro dos SantosII; Lenilson Afonso dos SantosI; Maria Esther SbampatoII; José A. F. F. RoccoI

I. Departamento de Química, Instituto Tecnológico de Aeronáutica, 12228-900 São José dos Campos - SP, Brasil
II. Departamento de Propulsão, Instituto Tecnológico de Aeronáutica, 12228-900 São José dos Campos - SP, Brasil

Recebido em: 04/05/2018
Aceito em: 24/09/2018
Publicado em: 31/10/2018

Endereço para correspondência

*e-mail: bkviha@gmail.com

RESUMO

Density, viscosity and calorific values are important physical properties to affect the utilization of biofuel. In this work, mixtures of farnesane and a "jet fuel", QAv-1, were used to study the variation of density and kinematic viscosity as a function of the volumetric fraction of farnesane and temperature. Experimental measurements were carried out for nineteen farnesane blends and pure farnesane and QAv-1, at four temperatures in the range of 293 - 323 K. Variation of high heating (HHV) and low heating (LHV) values were also determined for different blends of farnesane/QAv-1. Several empirical correlations were used to predict the density, the kinematic viscosity, HHV and LHV values. By using some of these empirical correlations, the estimated values of those three properties studied are in excellent agreement with the experimental data, with low absolute average prediction error.

Palavras-chave: farnesane; jet-fuel drop in; density; viscosity; heating values.

INTRODUÇAO

A indústria da aviaçao mundial representa 2% das emissoes globais de dióxido de carbono (CO2) (Associaçao Internacional do Transporte Aéreo - IATA, 2011) e, se nao forem tomadas quaisquer medidas, as emissoes triplicarao até 2050. A indústria da aviaçao tem grande interesse em participar de um esforço global para mitigar as emissoes de gases de efeito estufa e, portanto, está comprometida em reduzir as emissoes de CO2. O objetivo atual é uma reduçao de 50% das emissoes de CO2 em relaçao aos níveis de 2005.1-4

A atividade de pesquisa científica e tecnológica no segmento de aviaçao é forçada pelas demandas de consumo de querosene em razao do crescimento do segmento de aviaçao em todo o mundo e, particularmente, no Brasil.5 As possíveis fontes de substituiçao, fósseis ou renováveis, envolvem produtos cujas especificaçoes devem atender aos mais elevados padroes de qualidade para combustíveis de aviaçao. O governo brasileiro tem se mobilizado para contribuir com um ambiente propício à pesquisa de biocombustíveis que sejam compatíveis com o querosene de aviaçao mineral, aproveitando o grande potencial que o país apresenta em biomassa e sua longa tradiçao em combustíveis renováveis.6

Os denominados biocombustíveis drop-in sao combustíveis que podem ser misturados com querosene de aviaçao convencional até uma proporçao específica, permitindo que possa ser empregada a mesma infraestrutura de abastecimento já existente, nao havendo necessidade de adaptaçao das aeronaves e suas turbinas.7,8

O bioquerosene (farnesano) utilizado neste trabalho é uma tecnologia da empresa Amyris® que mudou geneticamente a levedura utilizada na fermentaçao da cana de açúcar, de forma que o produto seja um hidrocarboneto denominado farneseno. O farneseno (C15H24) pode ser transformado em produtos para a indústria química (p. ex., óleos industriais e automotivos e lubrificantes) ou em combustíveis para transporte. Para ser utilizado como biocombustível, o farneseno é hidrogenado, dando origem ao farnesano (C15H32), que apresenta características semelhantes ao querosene de aviaçao (QAv-1).

O conhecimento da variaçao de propriedades físicas, como densidade, viscosidade e poder calorífico de misturas biocombustível/combustível, é importante uma vez que impactam diretamente no desempenho de motores. Na literatura, há diversos modelos e equaçoes que permitem prever as variaçoes de densidade, viscosidade e poder calorífico em funçao da fraçao de biocombustível na mistura.9 Geralmente, com um número relativamente pequeno de dados experimentais, pode-se fazer o ajuste das curvas e encontrar os parâmetros das equaçoes-modelo. Com estas equaçoes, pode-se calcular o valor das propriedades citadas em diferentes condiçoes experimentais, tais como temperatura e/ou fraçao de biocombustível na mistura.

O presente trabalho tem por objetivo a determinaçao da variaçao de importantes propriedades físicas de misturas de QAv-1 com farnesano. As propriedades estudadas foram a densidade, a viscosidade e o poder calorífico superior e inferior. Foram avaliadas diversas misturas, entre 95% e 5% de farnesano, em temperaturas entre 293 K e 323 K, e estabelecidos parâmetros de equaçoes-modelo que tornam possível o cálculo das propriedades estudadas em diferentes condiçoes experimentais de concentraçao e temperatura.

 

PARTE EXPERIMENTAL

A Amyris Biotechnologies Inc. sediada na Califórnia, USA, com uma planta-demo no Brasil (Campinas, SP) produz o farneseno num processo de fermentaçao dos açúcares presentes no caldo da cana-de-açúcar. Esta fermentaçao envolve várias reaçoes enzimáticas e modificaçoes genéticas da levedura Saccharomyces cerevisiae. A etapa seguinte promove a hidrogenaçao do farneseno e sua transformaçao em farnesano, C15H32, um terpeno também denominado 2, 6, 10-trimetilduodecano, cuja fórmula estrutural é apresentada no Esquema 1. A etapa final é a destilaçao para a separaçao do farnesano, com a finalidade de obter um produto considerado puro, com cerca de 95% de farnesano. O produto é um líquido de cor amarelada que pode conter enxofre em teores menores que 3 mg kg-1 mas ausência de compostos aromáticos.10

 


Esquema 1. Estrutura molecular do farnesano

 

O querosene de aviaçao QAv-1 é uma mistura de hidrocarbonetos líquidos obtidos a partir do fracionamento do petróleo. É uma mistura complexa formada por hidrocarbonetos alifáticos, naftênicos e aromáticos, com número de átomos de carbono entre C8 e C16, com pontos de ebuliçao entre 150 e 290 °C. É uma fraçao do petróleo intermediária à gasolina e o diesel. Considerando-se todos os componentes do QAv-1, suas proporçoes em massa e a respectiva análise estrutural, pode-se estabelecer uma fórmula molecular média,11 C11H21, com massa molar igual a 153,3 g moL-1.

Para a preparaçao das misturas utilizou-se farnesano doado pela empresa Amyris® e QAv-1 comercial, pertencendo cada um deles a um único lote. As misturas foram preparadas em baloes volumétricos de 1,00 L, em quantidade suficiente para realizar todos os ensaios, cobrindo a faixa de 5% a 95% em volume de farnesano, em um total de 19 misturas. A densidade e a viscosidade foram medidas a 293 K; 303 K; 313 K e 323 K. Preliminarmente, foram feitas mediçoes em triplicata para cada técnica e condiçao experimental.

Para determinaçao da densidade das amostras, utilizou-se um equipamento certificado - densímetro digital automático de bancada Rudolph Research Analytical, modelo DDM 2911- Série 3.5, com módulo Peltier para controle de temperatura. A amostra é injetada através de uma seringa em um capilar de volume constante. Durante o procedimento de mediçao (completamente automatizado), aguarda-se o equilíbrio térmico da amostra na temperatura ajustada e o dado de densidade é fornecido após alguns minutos, considerando uma pressao de 1,1013 bar. O equipamento é rotineiramente calibrado e apresenta um desvio padrao de ± 0,00001 g cm-3, garantindo um grau de confiança de 95%.

A mediçao da viscosidade das amostras foi realizada utilizando-se um viscosímetro modelo LAUDA Proline PV15, com módulo Peltier para o controle da temperatura. A determinaçao de viscosidades cinemáticas envolve o uso de viscosímetros capilares padronizados. A escolha do capilar adequado foi feita com base nos valores de viscosidade das misturas estimados com base nos valores das viscosidades médias do farnesano e do QAv-1. A constante do capilar de vidro utilizado é igual a 0,01 mm2 s-2. A lavagem dos capilares foi feita com hexano seguida do enxague com a própria amostra. As mediçoes de viscosidade foram feitas em triplicata.

Para a determinaçao do poder calorífico, foi utilizado o calorímetro da marca IKA, modelo C 1. Este equipamento é um calorímetro de combustao e mede o poder calorífico superior (PCS) de substâncias líquidas e sólidas nao explosivas. As amostras sao queimadas em um recipiente metálico fechado, com oxigênio sob pressao, a uma temperatura inicial padrao de 22,8 °C. A quantidade de calor liberada, medida em um sistema previamente calibrado com pastilhas de ácido benzóico, permite o cálculo do PCS. Utilizou-se cerca de 0,5 g de amostra em cada determinaçao, pesando-se diretamente no cadinho utilizado para a queima, por meio de uma balança analítica da Quimis, modelo Q500B210C, com precisao de ± 0,0001 g. O poder calorífico da amostra é calculado considerando-se o peso da amostra combustível, a capacidade calorífica do calorímetro e a variaçao da temperatura da água. As determinaçoes foram feitas em triplicata.

 

RESULTADOS E DISCUSSAO

Para verificar a possibilidade de se prever com exatidao as propriedades físicas das misturas em diferentes concentraçoes e temperaturas, contando com um número pequeno de determinaçoes experimentais ou apenas com as propriedades dos componentes puros, alguns modelos matemáticos foram estudados e encontram-se descritos a seguir.

Densidade das misturas de farnesano com QAv-1

A Tabela 1S (Material Suplementar) apresenta os valores experimentais de densidade (g cm-3) para farnesano e QAv-1 puros e misturas farnesano/QAv-1 em diferentes proporçoes, em diferentes temperaturas.

A densidade diminui em funçao do aumento de temperatura, o que pode ser atribuído ao ganho de energia térmica das moléculas da mistura. A densidade está relacionada com a força de atraçao entre as moléculas do líquido; com o ganho de energia térmica as moléculas conseguem se afastar mais umas das outras e, consequentemente, a densidade diminui. A análise dos dados experimentais mostra, também, que a densidade diminui com o aumento da fraçao de farnesano. Esta variaçao é justificada considerando que a densidade do farnesano é menor que a densidade do querosene.

Variaçao da densidade com a fraçao volumétrica de farnesano

O primeiro modelo estudado considera que a densidade de misturas de dois ou mais componentes em uma dada temperatura pode ser calculada considerando as densidades individuais dos componentes da mistura e as respectivas fraçoes, dadas pela razao volume do componente/volume total ou pela porcentagem. Para uma mistura binária, a densidade a uma certa temperatura é dada por:9

em que ρm é a densidade da mistura, X1 e X2 sao as fraçoes volumétricas dos componentes 1 e 2, e ρ1 e ρ2, as respectivas densidades.

Utilizando os valores de densidade do farnesano e do querosene e a equaçao (1), os valores das densidades das misturas em diferentes proporçoes de farnesano foram calculados. Os erros relativos percentuais foram obtidos usando a equaçao (2) e, com os resultados obtidos para cada temperatura, os respectivos desvios médios absolutos (dma) foram calculados conforme a equaçao (3):

em que xi e yi representam, respectivamente, o valor experimental e o valor calculado com a equaçao (1).

Os valores de dma (%) foram calculados para cada conjunto de 19 fraçoes de farnesano (n = 19) e os seguintes resultados foram obtidos para cada temperatura: dma (293 K) = 0,02%; dma (303 K) = 0,02%; dma (313 K) = 0,03% e dma (323 K) = 0,03%. Desta forma, verifica-se que os valores de densidade calculados com a equaçao (1) apresentam excelente concordância com os valores experimentais.

Considerando que a densidade varia linearmente em funçao da fraçao de farnesano, os dados experimentais foram ajustados a uma equaçao de primeiro grau, y = a x + b, em que b representa a densidade do QAv-1 puro. Para obtençao dos parâmetros a e b, além do coeficiente de correlaçao, aplicou-se o método dos mínimos quadrados (regressao linear). Os resultados estao apresentados na Tabela 1. Neste caso, os valores de dma (%) foram calculados para o conjunto de dados de densidade em cada temperatura, resultando todos iguais a 0,02%, tornando evidente a excelente concordância entre os valores experimentais e os calculados. A Tabela 1 apresenta, ainda, a excelente concordância entre os valores de densidade experimentais e calculados para os componentes puros.

 

 

A comparaçao entre os valores de densidade das misturas farnesano/QAv-1 calculados com a equaçao (1) e a equaçao de primeiro grau mostra que para ambas a correlaçao com os dados experimentais é excelente, como verificado pelos valores de dma iguais a 0,02% ou 0,03%.

Variaçao da densidade com a temperatura e a fraçao de farnesano nas misturas com QAv-1

Um modelo simples para calcular a densidade de misturas binárias de biodiesel/diesel como uma funçao da temperatura e da fraçao do biodiesel foi estabelecida por Ramirez-Verduzco et al.12 Esse modelo é representado pela seguinte equaçao:

onde a, b e c sao os parâmetros ajustáveis da equaçao, X é a fraçao volumétrica do biocombustível na mistura e T é a temperatura em Kelvin (K). Aplicando-se este modelo para o sistema farnesano/QAv-1, os parâmetros da equaçao (4) foram estimados utilizando os 76 dados experimentais de densidade (Tabela 1S) relativos às misturas (nao foram incluídos os dados para o farnesano e o QAv-1 puros). Os parâmetros encontrados sao apresentados na equaçao (4)(a):

Usando a equaçao (4)(a), os valores de densidade foram calculados para as 76 misturas de farnesano/QAv-1 e comparados com os dados experimentais. A correlaçao entre os dados calculados e os experimentais é excelente, sendo comprovada com o cálculo do coeficiente de correlaçao r2 que resultou igual a 0,9996. Os erros relativos percentuais foram calculados e, a partir deles, obteve-se o valor do desvio médio absoluto (dma) igual a 0,002%, o que confirma o excelente ajuste e estabelece a possibilidade de se calcular a densidade de misturas com proporçoes de farnesano e temperaturas diferentes das utilizadas experimentalmente.

A Figura 1 mostra a variaçao dos erros relativos percentuais dos valores de densidade calculados. Os erros percentuais encontram-se numa faixa entre - 0,07% e + 0,06%. Pode-se verificar a presença de erros sistemáticos positivos nos valores extremos de densidade. Estes erros foram observados para valores de densidade maiores que 0,80 g cm-3 (que correspondem a fraçoes volumétricas de farnesano abaixo de 15% a 293 K), e valores menores que 0,76 g cm-3 (que correspondem a fraçoes maiores que 70% de farnesano a 323 K). Para a faixa intermediária, que compreende a maior parte dos pontos experimentais, a distribuiçao de erros relativos é equilibrada.

 


Figura 1. Erros relativos percentuais de densidade de misturas de farnesano/ QAv-1 calculada em funçao da densidade experimental

 

Viscosidade cinemática de misturas de farnesano com QAv-1

A viscosidade cinemática ou coeficiente de viscosidade é a medida da resistência oferecida por uma substância em fluir e tem como origem a atraçao intermolecular entre as moléculas do fluído. Geralmente, a viscosidade cinemática de um biocombustível é mais alta quando comparada à do diesel, por exemplo.13 As viscosidades mais altas afetam as características de aerossol do combustível, ocasionando uma atomizaçao pobre e formaçao de gotas maiores, o que pode causar deposiçao de carbono nos filtros de combustível e nas válvulas de injeçao. Uma vantagem de se utilizar misturas biocombustível/combustível pode ser a otimizaçao da viscosidade para melhorar o desempenho de um motor. Assim, torna-se importante avaliar a variaçao da viscosidade para diferentes composiçoes das misturas biocombustível/combustível e diferentes temperaturas. Com esse propósito, alguns valores de viscosidade devem ser determinados experimentalmente e a partir deles, utilizando alguns modelos matemáticos,9 pode-se fazer a previsao dos valores de viscosidade cinemática para outras temperaturas e composiçoes das misturas.

A Tabela 2S apresenta os valores experimentais de viscosidade cinemática (mm2 s-1) e os respectivos desvios padrao para farnesano e QAv-1 puros e misturas farnesano/QAv-1 em diferentes proporçoes e temperaturas. A viscosidade cinemática aumenta com o aumento da fraçao de farnesano e diminuiu com o aumento da temperatura. O aumento da viscosidade em funçao da fraçao de farnesano pode ser explicado pelo fato de a viscosidade do farnesano ser maior que a do QAv-1.

Variaçao da viscosidade cinemática com a fraçao volumétrica de farnesano

Os modelos de equaçoes13-15 que relacionam a viscosidade cinemática com a fraçao volumétrica de farnesano na mistura com querosene, utilizados no presente trabalho, encontram-se na Tabela 2. Os parâmetros de cada equaçao foram encontrados fazendo-se o ajuste dos dados experimentais pelo método de regressao por mínimos quadrados.

 

 

A Tabela 2 apresenta os parâmetros a, b e c das equaçoes (5) e (6) e os valores de desvio médio absoluto (dma), além da amplitude dos erros percentuais dos valores de viscosidade cinemática calculados com aquelas equaçoes. Pode-se observar que os coeficientes de correlaçao encontrados para a aplicaçao das equaçoes (5) e (6) evidenciam uma ótima concordância entre os valores calculados e os experimentais. Por outro lado, pode-se observar que no caso da aplicaçao da equaçao (7) nao há uma concordância satisfatória entre os valores de viscosidade calculados e os experimentais, relativos a cada fraçao de farnesano, em todas as temperaturas utilizadas. No caso da equaçao (7), os erros encontrados sao maiores variando de 0,2 a 5,1%.

A Figura 2 apresenta a variaçao dos valores experimentais (símbolos) de viscosidade cinemática em funçao da fraçao volumétrica porcentual de farnesano para diferentes temperaturas. Nesta figura, também é apresentada a variaçao dos valores de viscosidade calculados com as equaçoes (5), (6) e (7). É possível verificar a concordância menor entre os dados experimentais (símbolos) e os calculados usando a equaçao (7) e uma concordância excelente com o uso das equaçoes (5) e (6).

 


Figura 2. Valores experimentais (símbolos) e calculados (linhas) de viscosidade cinemática em funçao da fraçao volumétrica de farnesano - Eq. (5) ----- Eq. (6) -··- Eq. (7)

 

Variaçao da viscosidade cinemática das misturas farnesano/QAv-1 com a temperatura

O aumento da temperatura leva a uma diminuiçao nas forças de atraçao coesiva e aumenta a energia cinética das moléculas, provocando a diminuiçao da viscosidade. Os modelos de equaçoes,13,16-18 que relacionam a viscosidade cinemática com a temperatura, utilizados no presente trabalho, encontram-se na Tabela 3. Os parâmetros de cada equaçao foram calculados fazendo-se o ajuste dos dados experimentais por um método de regressao por mínimos quadrados. Além dos modelos encontrados na literatura, os dados experimentais foram ajustados por regressao polinomial de grau 2.

 

 

A Tabela 3 apresenta os parâmetros a, b e c das equaçoes (8) a (12), os coeficientes de correlaçao entre os valores de viscosidade cinemática experimentais e calculados e a amplitude dos erros percentuais para cada equaçao e temperatura. Estao apresentados apenas os valores relativos às fraçoes de farnesano variando de 20 em 20 unidades, entretanto, os cálculos foram efetuados para todos os 76 dados experimentais.

De acordo com os resultados apresentados na Tabela 3, excelentes coeficientes de correlaçao foram encontrados para as equaçoes (8), (10) e (12). A mesma observaçao se aplica também quando se analisam os valores dos erros percentuais. No caso das equaçoes exponenciais (9) e (11), foram encontrados erros relativos percentuais significativamente maiores e, além disso, observa-se uma oscilaçao em funçao da temperatura, com erros negativos para 293 K e 323 K e positivos para 303 K e 313 K.

De acordo com os valores apresentados, considerando que com a equaçao (12) obtiveram-se os menores erros relativos e que esses erros nao foram sistematicamente positivos ou negativos para cada temperatura (Tabela 3), pode-se concluir que a equaçao polinomial de grau 2, equaçao (12), é a que representa com maior exatidao a correlaçao entre a viscosidade cinemática das misturas e a temperatura.

Variaçao da viscosidade cinemática em funçao da fraçao volumétrica de farnesano e da temperatura

Para relacionar a variaçao da viscosidade cinemática de uma mistura biocombustível / combustível com a temperatura e a fraçao do biocombustível simultaneamente, foram aplicados seis modelos matemáticos,12,19-21 apresentados na Tabela 4.

 

 

Considerando as equaçoes apresentadas, (13) a (18), os seis modelos foram aplicados para determinar os parâmetros que relacionam a viscosidade cinemática, das misturas de farnesano/querosene, com a fraçao e a temperatura. Os valores dos 76 dados experimentais de viscosidade cinemática, obtidos em funçao da fraçao volumétrica de farnesano (X) e da temperatura (T) para as misturas farnesano/QAv-1, foram utilizados.

A Tabela 4 reúne os valores encontrados (a, b, c e d) para as equaçoes (13) a (18). Sao apresentados também os respectivos coeficientes de correlaçao (r2), os valores do desvio médio absoluto (dma) e a amplitude dos erros percentuais. Pode-se observar que os coeficientes de correlaçao sao muito bons para os seis modelos empregados, r2 ≥ 0,994.

Utilizando os seis modelos de correlaçao apresentados na Tabela 4, os valores de viscosidade e os respectivos erros relativos foram calculados para as 76 misturas farnesano/QAv-1. Pode-se observar que os valores mais baixos de dma foram obtidos com as equaçoes (14) e (16). Por outro lado, os dados apresentados na mesma tabela permitem estabelecer que os modelos relativos às equaçoes (13) e (17) nao sao adequados. Apesar de os valores de dma serem perfeitamente aceitáveis, a faixa de valores de erro relativo é significativamente alta. Tem-se o intervalo de + 7,7% a - 2,3% para equaçao (13) e + 5,7% a - 2,1% para a equaçao (17).

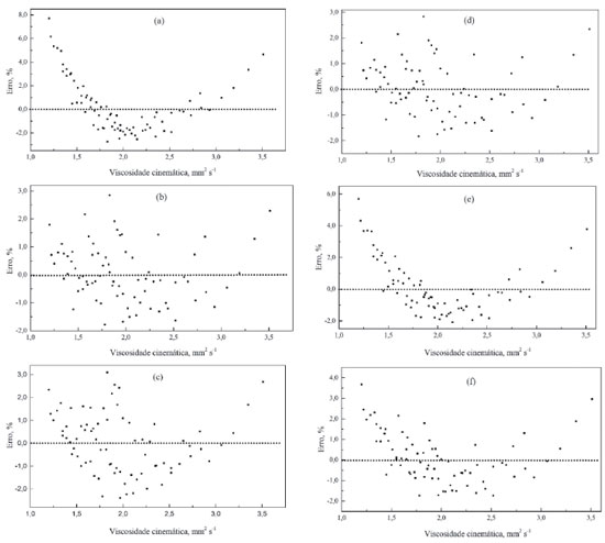
A Figura 3 apresenta a variaçao dos erros relativos em funçao da viscosidade cinemática experimental. Conforme se observa nas Figuras 3(a) e 3(e) relativas ao uso das equaçoes (13) e (17), sao evidentes os erros sistemáticos nos valores calculados da viscosidade cinemática. Considerando a faixa total de valores experimentais de viscosidade (ν = 1,17 mm2 s-1 a 3,68 mm2 s-1), tem-se que para valores mais baixos (ν ≤ 1,5 mm2 s-1) e mais altos (ν ≥ 2,9 mm2 s-1) de viscosidade, os erros sao sistematicamente positivos. Na faixa intermediária, a maioria dos erros é negativa.

 


Figura 3. Erros relativos dos valores de viscosidade cinemática calculados para as misturas de farnesano com QAv-1, em funçao da viscosidade experimental; (a) Eq.(13); (b) Eq.(14); (c) Eq.(15); (d) Eq.(16); (e) Eq.(17); (f) Eq.(18)

 

As Figuras 3(c) e 3(f)) apresentam uma distribuiçao ligeiramente melhor que as Figuras (a) e (e), mas também apresentam faixas com erros sistemáticos. No caso das Figuras 3(b) e 3(d), a distribuiçao dos erros relativos é equilibrada considerando-se os erros positivos e negativos. Dessa forma, os modelos que utilizam as equaçoes (14) e (16) sao os que melhor representam a variaçao da viscosidade cinemática em funçao da temperatura e da fraçao de farnesano nas misturas com QAv-1.

A Figura 4 apresenta a correlaçao entre os valores de viscosidade cinemática experimentais e os calculados com a equaçao (14). O coeficiente de correlaçao (r2) encontrado é igual a 0,998 e confirma a excelente concordância obtida entre os valores calculados e os experimentais. Cabe ressaltar que a mesma conclusao foi confirmada com o uso da equaçao (16).

 


Figura 4. Correlaçao entre os valores de viscosidade cinemática calculados com a equaçao (14) e os valores experimentais

 

Poder calorífico de misturas farnesano com QAv-1

O poder calorífico representa a quantidade de calor liberada durante a combustao completa de um combustível e, consequentemente, adquire um valor que varia de acordo com a composiçao química do combustível. Há dois tipos de poder calorífico, classificados como superior (PCS) e inferior (PCI). O primeiro corresponde à quantidade de calor produzida por grama de combustível quando este sofre combustao completa, em excesso de ar, e os gases de descarga sao resfriados de modo que o vapor de água formado seja condensado (o calor contido no vapor de água é recuperado). O segundo equivale à quantidade de calor que um grama de combustível pode produzir quando sofre combustao completa, com excesso de ar, e a água é produzida e mantida no estado de vapor.22

As reaçoes de combustao completa do farnesano, Fns, e do querosene de aviaçao, QAv-1, sao representadas pelas seguintes equaçoes químicas:

Variaçao do poder calorífico superior com a fraçao volumétrica de farnesano

A Tabela 5 apresenta a média dos valores experimentais de poder calorífico superior (PCS) determinados em funçao da fraçao volumétrica porcentual de farnesano (Xv,Fns). Os valores das fraçoes em massa do farnesano na mistura sao também apresentados nesta tabela, . Pode-se observar que os valores de PCS aumentam em funçao do aumento da fraçao de farnesano, variando de 45793 (100% de QAV-1) a 46946 J g-1 (100% de farnesano).

 

 

Os valores experimentais de PCS variam linearmente em funçao da fraçao volumétrica (X) de farnesano na mistura. Desta forma, os dados foram ajustados a uma equaçao de reta e os seguintes parâmetros foram obtidos:

Para efeito de comparaçao, os valores de PCS foram calculados através da equaçao (21) e encontram-se na Tabela 5. Os erros relativos percentuais foram obtidos para cada resultado e a partir de seus valores absolutos calculou-se o valor do dma, que resultou em 0,08%. O intervalo dos erros relativos é - 0,22% a + 0,15%.

O poder calorífico superior para cada mistura pode também ser calculado usando a seguinte equaçao:22

em que os subíndices Fns e QAv-1 representam o farnesano e o QAv-1 na mistura e Xm, como já definido, representa a fraçao do farnesano em massa. As propriedades do farnesano e do QAv-1 necessárias ao cálculo dos valores de PCS sao os valores de PCS para componentes puros (46946 J g-1 para o farnesano e 45793 J g-1 para o QAv-1) e para o cálculo das fraçoes em massa as densidades a 293 K sao 0,7687 g cm-3 para o farnesano e 0,8030 g cm-3 para o QAv-1.

A Tabela 5 reúne os valores experimentais e os calculados usando a equaçao (22) e os erros relativos percentuais. Observa-se uma concordância excelente entre os valores calculados e experimentais evidenciada também pelo valor do desvio médio absoluto (dma) resultante igual a 0,10%. O intervalo dos erros relativos é - 0,2% e + 0,3%. Os resultados obtidos sao, também, semelhantes aos obtidos pelo ajuste dos dados experimentais a uma equaçao de reta, conforme consta na Tabela 5.

A comparaçao entre todos os valores de PCS calculados com as equaçoes (21) e (22) mostra que em todos os casos a correlaçao com os dados experimentais é muito boa, como demonstrado pelos valores de dma iguais, respectivamente, a 0,08%; e 0,10%.

Variaçao do poder calorífico inferior com a fraçao volumétrica de farnesano

Como definido anteriormente, o poder calorífico inferior (PCI) equivale à quantidade de calor que um grama de combustível pode produzir quando entra em combustao, com excesso de ar, e a água produzida é mantida no estado de vapor, ou seja, é o calor útil da combustao. O PCI de uma substância é calculado descontando-se do valor do PCS obtido experimentalmente, a contribuiçao do calor de vaporizaçao da água.

De acordo com as equaçoes (19) e (20), observa-se que para cada mol de farnesano e QAv-1 queimados sao produzidos, respectivamente, 16 e 21/2 mol de água. Sabendo-se que as massas moleculares dos componentes das misturas sao 212,4 g moL-1 para o farnesano e 153,3 g moL-1 para o QAv-1, serao obtidos 1,356 g de água na queima de 1 g de farnesano e 1,234 g de água na queima de 1 g de QAv-1. O calor de vaporizaçao da água, Cv(água), é igual a 540 cal g-1 ou 2259 J g-1 e, deste modo, o PCI experimental das misturas (J g-1) pode ser calculado através de:

A Tabela 6 apresenta os valores de PCI experimentais calculados. Da mesma forma que os valores de PCS experimentais, os valores de PCI apresentam uma correlaçao linear com as fraçoes de farnesano. Assim, os dados foram ajustados a uma equaçao de reta e os seguintes parâmetros foram obtidos:

 

 

Os valores de PCI das misturas de farnesano com QAv-1 foram obtidos, também, a partir dos valores de PCI dos componentes puros utilizando-se a equaçao (25):

em que PCIFns é 43883 J g-1 e PCIQAV-1, 43005 J g-1 (calculados através das mediçoes experimentais, Tabela 6).

A Tabela 6 apresenta os valores de PCI calculados com as equaçoes (24) e (25) e os respectivos erros relativos percentuais. Observa-se uma concordância excelente entre os valores calculados com as duas equaçoes e os experimentais. O valor do desvio médio absoluto (dma) calculado para os conjuntos de dados obtidos com ambas as equaçoes resultou igual a 0,09%.

 

CONCLUSOES

A densidade das misturas, conforme o esperado, diminui com o aumento da fraçao de farnesano pois sua densidade é menor que a densidade do QAv-1. Diminui também em funçao do aumento da temperatura. A relaçao entre a densidade e a fraçao de farnesano nas misturas com QAv-1 mostrou excelentes resultados tanto com a equaçao de reta quanto com a equaçao da mistura. Considera-se vantajosa a equaçao da mistura, pois nao é necessário fazer ajustes para encontrar os parâmetros; esta equaçao depende unicamente da consideraçao das fraçoes volumétricas dos componentes da mistura e de suas densidades. Com relaçao à variaçao da densidade em funçao da temperatura e da fraçao de farnesano, os valores de densidade calculados apresentaram uma excelente concordância com os dados experimentais. Os erros relativos resultaram bastante baixos ficando entre - 0,07% e + 0,06%.

A viscosidade das misturas farnesano/QAv-1 aumenta com o aumento da fraçao volumétrica de farnesano e diminui com o aumento da temperatura. A relaçao entre a viscosidade e a fraçao volumétrica de farnesano nas misturas mostrou excelentes resultados com a equaçao polinomial de grau 2, com desvios médios absolutos da ordem de 0,4% (para 303 K e 323 K) e 0,5% (para 293 K e 313 K).

A previsao da variaçao da viscosidade em relaçao à fraçao de farnesano e à temperatura foi testada com aplicaçao de seis equaçoes. Duas equaçoes exponenciais levaram a resultados similares e satisfatórios. Nos dois casos, o valor de dma foi 0,8%. No caso destas duas equaçoes observou-se também uma distribuiçao equilibrada dos erros relativos positivos e negativos.

O poder calorífico é um parâmetro importante na seleçao de um combustível. Este valor determina a energia química do combustível a qual específica a eficiência da combustao. O poder calorífico depende de várias características e, entre elas, o tamanho da cadeia carbônica. No caso das misturas de farnesano/QAv-1, considerando as fórmulas moleculares do farnesano, C15H32, e do QAv-1, C11H21, o aumento dos valores de PCS e PCI pode ser associado ao fato de o aumento da fraçao de farnesano representar um número maior de átomos de carbono.

 

MATERIAL SUPLEMENTAR

A Tabela 1S apresenta os valores experimentais de densidade (g cm-3) para farnesano e QAV-1 puros e misturas farnesano/QAv-1 em diferentes proporçoes, em diferentes temperaturas.

A Tabela 2S apresenta os valores experimentais de viscosidade cinemática (mm2 s-1) para farnesano e QAv-1 puros e misturas farnesano/QAv-1 em diferentes proporçoes e temperaturas. Sao apresentados também os valores de desvio padrao dos valores de viscosidade cinemática.

O material suplementar associado a este artigo pode ser consultado na versao online em: http://quimicanova.sbq.org.br/, com livre acesso.

 

AGRADECIMENTOS

Os autores agradecem à Amyris® pelo fornecimento das amostras de farnesano, à CAPES e ao CNPq.

 

REFERENCIAS

1. Bailis, R. E.; Baka, J. E.; Environ. Sci. Technol. 2010, 44, 8684.

2. Hileman, J. I.; Blanco, E. R.; Bonnefoy, P. A.; Carter, N. A.; Progress in Aerospace Sciences 2013, 63, 84.

3. http://www.iata.org/pressroom/facts_figures/Documents/vision-2050.pdf, acessada em junho de 2017.

4. Kousoulidou, M.; Lonza, L.; Transportation Research Part D 2016, 46, 166.

5. Cremonez, P. A.; Feroldi, M.; Araújo, A. V.; Borges, M. N.; Meier, T. W.; Feiden, A.; Teleken, J. G.; Renewable Sustainable Energy Rev. 2015, 43, 1063.

6. https://www.cgee.org.br/serie-documentos-tecnicos, acessada em agosto de 2017.

7. Pires, A. P. P.; Han, Y.; Kramlich, J.; Garcia-Perez, M.; BioResources 2018, 13, 2632.

8. Karatzos, S.; McMillan, J. D.; Saddler, J. N.; IEA Bioenergy Task 39 - The Potential and Challenges of Drop-in Biofuels, 2014, 203 p.

9. Gaonkar, N.; Vaidya, R. G. Em Renewable Energy Systems; Kale, S. A., ed.; Nova Science Publishers, Inc.: New York, 2017, cap. 9.

10. Millo, F.; Bensaid, S.; Fino, D.; Marcano, S. J. C.; Vlachos, T.; Debnath, B. K.; Fuel 2014, 138, 134.

11. Edwards, T.; Maurice, L. Q.; J. Propul. Power 2001, 17, 461.

12. Ramírez-Verduzco, L. F.; García-Flores, B. E.; Rodríguez-Rodríguez, J. E.; Jaramillo-Jacob, A. R.; Fuel 2011, 90, 1751.

13. Gülüm, M.; Bilgin, A.; Fuel Process. Technol. 2016, 149, 121.

14. Alptekin, E.; Canakci, M.; Renewable Energy 2008, 33, 2623.

15. Grunberg, L.; Nissan, A.; Nature 1949, 164, 799.

16. Jouyban, A.; Khoubnasabjafari, M.; Gharamaleki, Z. V.; Fekari, Z.; Acree Jr., W. E.; Chem. Pharm. Bull. 2005, 53, 519.

17. Benjumea, P.; Agudelo, J.; Agudelo, A.; Fuel 2008, 87, 2069.

18. Fasina, O. O.; Hallman, H.; Craig-Schmidt, M.; Clements, C.; J. Am. Oil Chem. Soc. 2006, 83, 899.

19. Joshi, R. M.; Pegg, M. J.; Fuel 2007, 86, 143.

20. Krisnangkura, K.; Sansa-ard, C.; Aryusuk, K.; Lilitchan, S.; Kittiratanapiboon, K.; Fuel 2010, 89, 2775.

21. Tesfa, B.; Mishra, R.; Gu, F.; Powles, N.; Renewable Energy 2010, 35, 2752.

22. McAllister, S.; Chen, J.-Y.; Fernandez-Pello, A. C. Em Fundamentals of Combustion Processes, Mechanical engineering Series; McAllister, S., Chen, J.-Y., Fernandez-Pello, A. C., eds.; Springer: New York, 2011.

On-line version ISSN 1678-7064 Printed version ISSN 0100-4042
Qu�mica Nova
Publica��es da Sociedade Brasileira de Qu�mica
Caixa Postal: 26037 05513-970 S�o Paulo - SP
Tel/Fax: +55.11.3032.2299/+55.11.3814.3602
Free access

GN1