JBCS



17:16, sáb out 25

Acesso Aberto/TP



Revisão


Organocatálise enantiosseletiva: evolução e aspectos recentes
Enantioselective organocatalysis: evolution and recent aspects

Fernanda G. Finelli*; Bruno M. da S. Santos; Lívia C. R. M. da Frota

Instituto de Pesquisas de Produtos Naturais, Universidade Federal do Rio de Janeiro, 21941-901 Rio de Janeiro - RJ, Brasil

Recebido em: 19/08/2018
Aceito em: 19/12/2018
Publicado em: 06/02/2019

Endereço para correspondência

*e-mail: finelli@nppn.ufrj.br

RESUMO

In the last two decades, enantioselective organocatalysis has established itself as one of the three pillars of asymmetric catalysis. The rapid growth in the area is due to the rationalization of organocatalysis based on the generic modes of catalyst activation, being applied to several types of reactions, in a rather generic and predictable way and providing high enantioselectivities. This tutorial review presents the evolution of this area through a brief discussion on all generic modes of activation previously systematized in the literature: activation via enamine, iminium ion, hydrogen-bonding, counterion, SOMO, photoredox, carbene and phase-transfer, and the recent advances in the area.

Palavras-chave: asymmetric catalysis; organocatalysis; mode of activation; organocascade; continuous-flow.

INTRODUÇAO

A organocatálise, ou o uso de moléculas orgânicas na catálise de diversas transformaçoes orgânicas, ganhou força no início do século XXI com as publicaçoes seminais e quase simultâneas de MacMillan e List.1,2 O uso de organocatalisadores apresenta diversas vantagens, tais como estabilidade ao ar, atoxicidade, disponibilidade de preparaçao a partir de produtos naturais, reduzindo os custos e facilitando seu manuseio.

A partir dessas publicaçoes, vêm-se acompanhando um rápido crescimento da área, que se estabeleceu rapidamente como um dos pilares da catálise assimétrica moderna.3-6 Essa expansao deve-se, principalmente, à racionalizaçao da organocatálise com base nos seus diversos modos de ativaçao dos catalisadores. Ou seja, os organocatalisadores, antes utilizados de forma esporádica e sendo racionalizados para cada reaçao individualmente, mostraram-se capazes de ser aplicados a diversas reaçoes, de forma bastante genérica e previsível. Essa racionalizaçao permitiu que uma ampla variedade de reaçoes fosse promovida pelo mesmo organocatalisador, com altas enantiosseletividades, seguindo um mecanismo similar de ativaçao das espécies reacionais em questao.7 Essa característica genérica da ativaçao promovida pelos organocatalisadores é de extrema valia para a pesquisa e também para o setor de produçao de fármacos.5

Nesta revisao, apresentamos de forma concisa uma visao geral e contemporânea da ascensao da Organocatálise Enantiosseletiva dentro da Catálise Assimétrica, acompanhando a evoluçao da área a partir dos seus diferentes e versáteis modos de ativaçao. Foram abordados todos os modos de ativaçao até entao sistematizados na literatura: a ativaçao via enamina, íon imínio, ligaçao de hidrogênio, contra-íon, SOMO, fotorredox, carbeno e transferência de fase. Além disso, apresentamos a relevância da organocatálise em reaçoes em cascata e sua aplicaçao em reaçoes sob condiçoes de fluxo contínuo.

Em cada um dos modos de ativaçao descritos, apresentamos os primeiros exemplos; os principais organocatalisadores utilizados; os modelos propostos para as ativaçoes e suas induçoes assimétricas; os principais tipos de reaçoes promovidas através desses modos de ativaçao já relatados; e os exemplos mais recentes e relevantes, selecionados pelo alto impacto na literatura, mostrando que a área continua em crescimento constante.

 

MODOS DE ATIVAÇAO GENÉRICOS

Organocatálise via enamina

O primeiro relato do uso de organocatalisadores com ativaçao via enamina foi feito nos anos 70 pelos trabalhos independentes de Hajos e Parrish8 e Eder, Sauer e Wiechert9 utilizando S-prolina (2) como catalisador na síntese de cetonas bicíclicas quirais, por meio de reaçoes aldólicas intramoleculares (Esquema 1).

 


Esquema 1. Síntese de cetonas bicíclicas organocatalisadas por prolina

 

Os autores propuseram um mecanismo para a açao da prolina envolvendo um intermediário enamina, mas foi apenas em 2000 que List e colaboradores nao só propuseram um mecanismo mais acertado para a reaçao, mas também demonstraram que a prolina poderia ser aplicada como catalisador em diversas reaçoes aldólicas intermoleculares entre acetona (4) e diversos aldeídos aromáticos (5), estabelecendo um modo de ativaçao genérico envolvendo enaminas intermediárias como nucleófilos. A seletividade pode ser explicada a partir de um estado de transiçao similar ao de Zimmerman-Traxler, onde uma ligaçao de hidrogênio tricíclica, que provê uma certa rigidez ao sistema, gera a seletividade facial para a aproximaçao do nucleófilo, que se dá pela face Re da carbonila (Esquema 2).10

 


Esquema 2. Reaçoes aldólicas enantiosseletivas catalisadas por prolina

 

Desde entao, inúmeros trabalhos foram publicados utilizando a ativaçao por meio de enamina, nao só em reaçoes aldólicas, mas também em reaçoes de Mannich, reaçoes de Michael, reaçoes de substituiçao à carbonila, alfa-alquilaçoes, reaçoes de Aza Michael, dentre outras.11

Os principais organocatalisadores empregados nesses trabalhos sao aminas secundárias quirais, com destaque à prolina e aos seus derivados (Figura 1). A ativaçao se dá pela reaçao entre o organocatalisador e um composto carbonílico, aldeído ou cetona, e a consequente formaçao de um intermediário enamina, que é um excelente nucleófilo e pode participar de diversas reaçoes com diferentes eletrófilos (intermediário I, Figura 1). Por ativar o nucleófilo e, consequentemente, aumentar a energia do orbital molecular ocupado de mais alta energia, essa ativaçao também é conhecida como ativaçao HOMO (do inglês, "Highest Occupied Molecular Orbital"). Ainda neste contexto, a prolina, especificamente, pode atuar como um organocatalisador bifuncional, fazendo a ativaçao via enamina do nucleófilo da reaçao e ao mesmo tempo promovendo a ativaçao do eletrófilo da reaçao por meio de ligaçao de hidrogênio (intermediário II, Figura 1).

 


Figura 1. Principais organocatalisadores e o modo de ativaçao por enamina

 

Apesar de ser um dos modos de ativaçao mais clássicos, a catálise via enamina ainda se mostra uma ferramenta robusta, versátil, e com muito potencial de exploraçao e inovaçao. Recentemente, Bertuzzi e colaboradores reportaram a desaromatizaçao enantiosseletiva de sais de piridina com elevada regiosseletividade para a adiçao em C-4, através de catálise por enamina usando o catalisador 9, gerando 1,4-diidropiridinas 10 (Esquema 3, superior). A induçao da seletividade, proposta pelos autores, ocorre por meio de um estado de transiçao acíclico sinclinal, no qual há interaçao eletrostática do grupo nitro da piridina com o par de elétrons da enamina. Conjuntamente, o grupo difenilsiloximetila estabiliza a enamina em sua conformaçao anti e bloqueia a face Re do seu carbono nucleofílico C3, definindo a aproximaçao com o carbono C4' da piridina e consequentemente a seletividade observada. (Esquema 3, inferior).12 A presença de um grupo retirador de elétrons (GRE) na posiçao 3 do anel mostrou-se fundamental e, quando o grupo nitro é utilizado, geram-se precursores de 4-alquil-3-aminopiperidinas, esqueletos importantes na síntese de alcaloides e outras substâncias de elevado valor medicinal. Neste artigo, por exemplo, é reportada a síntese de uma estrutura central em peptídeos miméticos com açao anticancerígena.

 


Esquema 3. Desaromatizaçao enantiosseletiva de sais de piridina

 

Em 2010, Jiang e colaboradores reportaram a reaçao dominó Michael-Michael-Michael-Aldol tricomponente, contendo quatro etapas organocatalisadas por meio de ativaçao via imínio-enamina-imínio-enamina, através da qual 11 reage com os aldeídos α,β-insaturados 12 e 13 na presença de ácido benzóico e do organocatalisador 9, gerando, através de uma reaçao one-pot, diversos derivados de hidroindanos 14 com um complexo esqueleto policíclico contendo até seis centros estereogênicos contíguos e um esqueleto de espirooxindol (Esquema 4).13 Em 2017, Ren e colaboradores publicaram uma reaçao similar envolvendo também uma reaçao dominó de quatro etapas oxa-Michael-Michael-Michael-Aldol organocatalisadas via imínio-enamina-imínio-enamina pelo mesmo derivado de prolina, gerando oxindolas carbocíclicas fundidas por um estrutura do tipo espiro.14

 


Esquema 4. Reaçao dominó contendo 4 etapas organocatalisadas

 

Em 2016, Fjelbye e colaboradores reportaram uma síntese diastereodivergente de β-fluoro-β-prolinais 17 e 19, contendo dois centros estereogênicos adjacentes.15 O controle da diastereosseletividade foi dado pela escolha entre dois organocatalisadores distintos, sendo o derivado de prolina 16 o organocatalisador de escolha para a fluoraçao syn; e a imidazolidinona 18 a escolha para a fluoraçao anti, melhorando a seletividade natural dada pelo substrato de prolinal. Após a formaçao da enamina, preferencialmente na configuraçao Z, a fluorinaçao ocorre através da aproximaçao da fonte de flúor com o carbono C3 da enamina pela face que nao é impedida pelo grupo lateral da prolina ou imidazolidinona, levando aos produtos com as seletividades reportadas (Esquema 5). Em 2017, o mesmo grupo publicou o uso deste sistema para síntese de β-fluoro-β-prolinais com estruturas espirocíclicas.16

 


Esquema 5. Síntese de β-fluoro-β-prolinais através de organocatálise via enamina

 

Organocatálise via íon imínio

O uso da organocatálise via íon imínio foi relatado pela primeira vez por MacMillan em 2000, na reaçao de Diels-Alder entre aldeídos α,β-insaturados 21 e diferentes dienos 20.17 Nesse estudo, uma série de aminas enantiopuras foram testadas como organocatalisadores, sendo a imidazolidinona 22 aquela que produziu as maiores enantiosseletividades. O controle estéreo proporcionado por 22 se dá pela presença de dois elementos: 1) formaçao seletiva do íon imínio com geometria E, evitando interaçoes do tipo 1,3-alílica entre a olefina e os substituintes metila do catalisador; 2) o bloqueio da face Re do imínio causado pela presença do substituinte benzila, deixando a face Si exposta para a reaçao com o dieno (Esquema 6).

 


Esquema 6. Primeiro relato do uso de catálise enatiosseletiva por imínio

 

A catálise via íon imínio se baseia na capacidade que aminas quirais apresentam de reagir, de forma reversível, com compostos carbonílicos α,β-insaturados, produzindo íons imínio e, consequentemente, reduzindo a energia do orbital molecular desocupado de mais baixa energia (LUMO - do inglês, "Lowest Unoccupied Molecular Orbital").18 Dentre as características principais para que um organocatalisador seja utilizado neste modo de ativaçao estao a eficiência de formaçao reversível e o alto grau de controle da geometria do íon imínio formado, bem como da face da olefina que estará disponível para aproximaçao. Somado a isso, a facilidade de preparaçao e implementaçao da amina sao cruciais.18 As principais famílias de compostos usados para esse modo de ativaçao estao apresentadas na Figura 2.

 


Figura 2. Principais organocatalisadores e modo de ativaçao por íminio

 

Os primeiros organocatalisadores utilizados foram as imidazolidinonas, desenvolvidas por MacMillan no início dos anos 2000.17,19 A imidazolidinona de primeira geraçao mostrou-se eficiente na catálise enantiosseletiva em reaçoes de Diels-Alder,17 cicloadiçao 1,3-dipolar20 e alquilaçao de Friedel-Crafts empregando nucleófilos ricos em elétrons.21 Porém, alguns compostos heteroaromáticos, como indol e furano, apresentaram menor reatividade frente a essas reaçoes de alquilaçao organocatalisadas. Visando solucionar essa limitaçao, MacMillan desenvolveu a imidazolidinona de segunda geraçao (Figura 2).19 O novo organocatalisador foi desenhado de forma a aumentar a eficiência tanto da formaçao do íon imínio intermediário, visto que o par de elétrons do nitrogênio está posicionado afastado dos grupos substituintes, tornando-o menos impedido para reaçao com a carbonila, quanto da formaçao da nova ligaçao carbono-carbono, visto que a ausência de um dos substituintes no carbono vizinho ao nitrogênio torna a face do imínio que está disponível para a aproximaçao menos impedida. Outra classe de organocatalisadores, introduzida em 2005 por Jorgensen,22 sao os diarilprolinol éteres de silício (Figura 2).23 Além da ativaçao de aldeídos α,β-insaturados para funcionalizaçao 1,4-, essa classe de organocatalisadores possibilitou a extensao da reatividade das adiçoes conjugadas para adiçoes 1,6. O emprego de 2,4-dienais levou à formaçao de íons imínio vinílogos apresentando três sítios eletrofílicos distintos.24

Inúmeros trabalhos vêm sendo publicados utilizando a ativaçao através de íon imínio, nao só em reaçoes de Diels-Alder, como também em reaçoes de substituiçao eletrofílica de Friedel-Crafts, reaçoes de Michael, de aminaçao, de oxigenaçao, de epoxidaçao, ciclopropanaçao, entre outras.18

Em 2007, Chen25,26 e Melchiorre27 demonstraram, independentemente, o uso das aminas primárias derivadas de alcaloides cinchona na ativaçao por íon imínio. Essas aminas primárias foram utilizadas em reaçoes de adiçao conjugada em cetonas α,β-insaturadas 24 com diferentes nucleófilos de forma altamente enantiosseletiva (Esquema 7).28-31 O controle da enantiosseletividade se dá por meio da ativaçao da enona pela amina primária presente no catalisador quiral, enquanto interaçoes como ligaçao de hidrogênio ou eletrostáticas aproximam o nucleófilo da enona ativada. Esses catalisadores sao particularmente eficientes na funcionalizaçao de compostos estericamente impedidos, como cetonas e aldeídos substituídos na posiçao α-carbonila.32

 


Esquema 7. Aminas primárias na ativaçao de cetonas α,β-insaturadas

 

Recentemente, Maseras e Melchiorre demonstraram que íons imínio podem interceptar hidroxi-o-quinodinometanos gerados por enolizaçao fotoquímica de benzofenonas 26 de forma enantiosseletiva (Esquema 8).33 Dessa forma, foi possível realizar a β-benzilaçao de aldeídos 27, cujos exemplos relatados na literatura sao escassos.

 


Esquema 8. β-benzilaçao enantiosseletiva de aldeídos α,β-insaturados

 

Organocatálise via ligaçao de hidrogênio

A síntese enantiosseletiva catalisada por moléculas quirais por meio de interaçoes de ligaçao de hidrogênio já vinha sendo explorada desde a década de 80.34 Entretanto, este tema concretiza-se como uma área dentro da catálise assimétrica com as publicaçoes de Jacobsen35 e Corey36 e ganha força com a evoluçao da organocatálise.

Em 1998, Sigman e Jacobsen reportaram que derivados de tioureia catalisam reaçoes de Strecker enantiosseletivas de iminas derivadas de aldeídos alifáticos e aromáticos 30 levando a produtos de hidrocianaçao 32 em rendimentos que variaram entre 69% e 92% e enantiosseletividades de 70 a 91% ee (Esquema 9).35 Em 2002, estudos de RMN, cinéticos, estrutura-atividade e teóricos revelaram que a ativaçao do substrato ocorre por meio de interaçoes entre hidrogênios da tioureia e a imina via dupla ligaçao de hidrogênio.37

 


Esquema 9. Primeira reaçao de Strecker enantiosseletiva organocatalisada

 

Em 1999, Corey e Grogan demonstraram que o biciclo derivado da guanidina 34 catalisa a adiçao de HCN a N-benzidriliminas 33 levando a α-aminonitrilas quirais 35 em rendimentos de 80% a 99% e 50 a 88% ee (Esquema 10).36 Neste sistema, 34 consiste num catalisador bifuncional, ativando o substrato por meio de ligaçao de hidrogênio entre a porçao guanidina e a imina e atuando concomitantemente como catalisador de transferência de fase.

 


Esquema 10. Reaçao de Strecker enantiosseletiva catalisada por 34

 

Uma vez que o potencial do modo de ativaçao genérico dos organocatalisadores via ligaçao de hidrogênio foi percebido, sendo também evidenciado pela publicaçao de Barbas, Lerner e List com a utilizaçao da prolina como catalisador bifuncional em reaçoes aldólicas,10 ele foi aplicado em diversas reaçoes assimétricas. Mais de 30 tipos de reaçoes foram desenvolvidos nos últimos anos, como por exemplo, reaçoes aldólicas, de Diels-Alder, de Henry, de adiçao de Friedel-Crafts, diferentes reaçoes de adiçao conjugada, epoxidaçoes, reaçoes de Mannich, reaçoes de Biginelli, reaçoes de Pictet-Spengler, reaçoes de reduçao, amidaçao e alilaçao, entre outras.34

Diferentes organocatalisadores vêm sendo utilizados neste modo de ativaçao, podendo-se destacar os derivados quirais de tioureias, do BINOL, do alcalóide cinchona e o TADDOL (Figura 3).38,39 Embora os mecanismos para a ativaçao eletrofílica e consequente catálise variem bastante, fundamentalmente, os sítios doadores de ligaçao de hidrogênio dos catalisadores fazem interaçoes secundárias com substratos básicos, diminuindo o LUMO desses eletrófilos e tornando-os bem mais reativos frente a nucleófilos. O produto formado faz ligaçoes de hidrogênio mais fracas com o organocatalisador, permitindo que ele retorne ao ciclo catalítico para ativar um novo eletrófilo. Na Figura 3, a interaçao do organocatalisador derivado da tioureia com um eletrófilo é apresentado como exemplo geral deste modo de ativaçao. Em 2014, Kozlowski e colaboradores realizaram a quantificaçao da ativaçao eletrofílica via ligaçao de hidrogênio por organocatalisadores, por meio de análises de espectroscopia UV/vis de reaçoes de Diels-Alder e Friedel-Crafts.40

 


Figura 3. Principais organocatalisadores e modo de ativaçao por ligaçao de hidrogênio

 

Os ácidos fosfóricos derivados de BINOL também sao amplamente utilizados como organocatalisadores em diversas reaçoes.38 Em 2011, List e colaboradores reportaram a primeira indolizaçao de Fischer enantiosseletiva promovida pelo ácido fosfórico derivado de BINOL 37 de uma série de cicloexanonas 4-substituídas derivadas de fenilidrazonas 36 levando a tetraidrocarbazóis 3-substituídos 38 em altos rendimentos e boas enantiosseletividades (Esquema 11, superior).41 Os autores propoem que o organocatalisador 37 inicialmente acelera a tautomerizaçao hidrazona-eneidrazina, levando aos intermediários quirais I e II. O intermediário II sofre entao um rearranjo sigmatrópico [3,3] irreversível numa velocidade maior que o intermediário I, formando preferencialmente o enantiômero 38 por meio de resoluçao cinética (Esquema 11, inferior).

 


Esquema 11. Reaçao enantiosseletiva de indolizaçao de Fischer

 

Os alcaloides cinchonas e seus derivados sao indutores quirais privilegiados e catalisam diversas classes de reaçoes orgânicas com altas enantiosseletividades. Em particular, as aminas derivadas das cinchonas vêm sendo reconhecidas como uma classe de organocatalisadores gerais, empregada em diversos modos de ativaçao.42 Em 2015, Zhou e colaboradores reportaram a síntese enantiosseletiva de 2-amino-4H-cromenos 43 a partir de fenóis substituídos 39 e malonitrila (40) por meio de uma cascata de reaçoes. Essa cascata inicia-se com a oxidaçao da ligaçao C-H benzílica na presença de MnO2, formando o intermediário 41, que em seguida sofre reaçao de Michael organocatalisada pelo catalisador 44 e ciclizaçao levando aos produtos em rendimentos de 63-97% em altas enantiosseletividades, que variaram entre 88 e 97% ee (Esquema 12).43 Na etapa organocatalisada, o hidrogênio ácido da malonitrila (40) interage com o catalisador bifuncional 44, que atua como base de Lewis, enquanto a quinona 41 é ativada por 44 por meio de ligaçao de hidrogênio, promovendo a adiçao de Michael.

 


Esquema 12. Síntese enantiosseletiva de 2-amino-4H-cromenos 43

 

Em 2016, Melchiore e colaboradores reportaram a reaçao enantiosseletiva de fotoenolizaçao/Diels-Alder organocatalisada entre benzofenonas substituídas 45 e maleimidas 46, utilizando a tioureia derivada de cinchona 47 como organocatalisador, levando a cicloadutos em rendimentos de 61 a 95% e enantiosseletividades de 81 a 94% ee (Esquema 13). No processo catalítico a tioureia quiral ativa a maleimida, por meio de interaçoes nao covalentes, que intercepta o enol intermediário I estereosseletivamente. Além disso, a porçao quinuclidina do catalisador 47 inibe reaçoes secundárias racêmicas, através da reduçao do enol disponível no meio.44

 


Esquema 13. Reaçao enantiosseletiva de fotoenolizaçao/Diels-Alder

 

Organocatálise via contra-íon

O conceito de catálise por contra-íon envolve a transferência de quiralidade por meio de interaçoes eletrostáticas no par iônico formado pela interaçao entre o catalisador iônico quiral e um substrato pró-quiral. Essa interaçao favorece a aproximaçao do nucleófilo por apenas uma das faces do intermediário eletrofílico, fornecendo preferencialmente um dos enantiômeros como produto majoritário.45 Em uma definiçao mais precisa, List denominou como "Catálise assimétrica dirigida por contra-ânion"46 e a descreveu como "refere-se à induçao enantiosseletiva em uma reaçao que procede por meio de um intermediário catiônico que forma um par iônico com um ânion quiral, enantiomericamente puro, fornecido pelo catalisador".46,47

Em 2004, Akiyama48 e Terada49 aplicaram esse conceito pela primeira vez, de forma independente, na reaçao de Mannich entre aril-iminas e silil enol éteres e enolatos, fornecendo β-aminoéteres 53 e 54 e cetonas 57, respectivamente (Esquema 14). Os grupos utilizaram como catalisador os fosfatos orgânicos derivados do BINOL 51 (Esquema 14a) e 52 (Esquema 14b) e a alta enantiosseletividade observada foi atribuída à formaçao de um par iônico entre o íon imínio intermediário e o fosfato quiral (Esquema 14c).

 


Esquema 14. Trabalhos de Akiyama e Terada empregando fosfatos quirais em reaçoes de Mannich

 

As principais classes de catalisadores empregadas em catálise por contra-íon sao os ácidos de Bronsted quirais e as tioureias (Figura 4). A facilidade de síntese, a variaçao estrutural e a generalidade desses catalisadores estao dentre as vantagens que possibilitaram seu emprego em diversos tipos de transformaçoes assimétricas, como a reduçao conjugada de aldeídos50 e cetonas,51 a epoxidaçao de aldeídos α,β-insaturados,52 a abertura de meso-aziridínios, -epissulfônios53 e -halônios,54 a reaçao aldólica de Mukaiyama55 e em substituiçoes alílicas.56

 


Figura 4. Principais organocatalisadores e modo de ativaçao por contra-íon

 

Recentemente, o conceito de catálise assimétrica dirigida por contra-ânion foi aplicado na síntese total da Estriquinina,57 um alcaloide indólico do gênero Strychnos. Uma vez que o uso de diversos ácidos de Lewis quirais havia fornecido apenas misturas racêmicas do TBS-enol éter de silício 61, o emprego da dissulfonimida 60 na adiçao de cetenoacetais de silício 58 a enais 59 forneceu o enol éter 61 de forma enantiosseletiva (Esquema 15).

 


Esquema 15. Preparaçao enantiosseletiva do enol éter de silício 61

 

Pouco depois dos relatos seminais de Akiyama e Terada, Jacobsen demonstrou o emprego da tioureia 63 na reaçao tipo Pictet-Spengler de β-indolil etil lactamas e propôs, baseado em resultados experimentais e cálculos computacionais, que a enantiosseletividade da reaçao seria resultado da interaçao eletrostática entre o íon imínio intermediário com um complexo formado entre o catalisador e o ânion cloreto (Esquema 16).58

 


Esquema 16. Ciclizaçao de hidroxilactamas empregando tioureia como catalisador

 

O conhecimento de que tioureias possuem habilidade de complexar-se com uma variedade de ânions59 possibilitou o emprego desse tipo de catalisador em reaçoes que apresentam intermediários catiônicos, como imínio,60,61 oxicarbênio,62 N-acilpiridinio63,64 e carbocátions.65

Outros doadores de ligaçao de hidrogênio também possuem propriedades de induçao de quiralidade através de ligaçao aniônica para gerar um par iônico quiral intermediátio, como exemplificado recentemente por Jacobsen e colaboradores (Esquema 17).66 Nesse exemplo, o catalisador 67 se complexa com sililtriflatos por meio de interaçao com o contra-ânion para formar um complexo quiral estável, capaz de realizar a cicloadiçao (4+3) entre cátions oxalílicos e derivados do furano. Essa estratégia permite acesso a carbociclos de 7 membros de forma enantiosseletiva, cujo sucesso era limitado até entao. Os autores propoem, baseados em cálculos teóricos, que o principal fator responsável pela enantiosseletividade seria uma interaçao do furano com a porçao aromática do complexo quiral, o que promove uma estabilizaçao do estado de transiçao.

 


Esquema 17. Cicloadiçao (4+3) empregando esquaramida como catalisador

 

Organocatálise via SOMO

Em 2007, MacMillan e colaboradores apresentaram um novo modo de ativaçao de organocatalisadores, adicionando um oxidante a enaminas formadas in situ a partir da imidazolidinona 71 e aldeídos 69, promovendo reaçoes enantiosseletivas de α-alilaçao na presença de aliltrimetilsilano 70 em excelentes rendimentos e enantiosseletividades (Esquema 18).67

 


Esquema 18. Primeiro exemplo de reaçoes ativadas via SOMO

 

Este modo de ativaçao foi chamado de SOMO em alusao às ativaçoes via enamina e via íon imínio, também conhecidas como ativaçoes HOMO e LUMO, respectivamente. Uma vez que a enamina é formada, ela sofre um processo de transferência de um elétron para o oxidante, formando um cátion radicalar intermediário contendo três elétrons π, com um orbital molecular ocupado por um elétron, ou seja, um orbital SOMO (do inglês, "Singly Occupied Molecular Orbital").68,69 Este intermediário pode entao sofrer reaçoes radicalares com uma série de nucleófilos ricos em elétrons π, possibilitando diferentes transformaçoes. Os principais organocatalisadores utilizados neste modo de ativaçao sao as 4-imidazolidinonas, que fornecem altos níveis de enantiocontrole, em combinaçao comumente com oxidantes de cério (IV) (Ce(NH4)(NO3)6), ferro (III) ([Fe(phen)3](PF6)3) ou cobre (II) (Cu(ClO4)2, Cu(TFA)2) (Figura 5).

 


Figura 5. Principais organocatalisadores e modo de ativaçao SOMO

 

Simultaneamente à publicaçao da reaçao de α-alilaçao de MacMillan e colaboradores em 2007, Sibi e Hasegawa reportaram reaçoes de α-oxiaminaçao de aldeídos 73 na presença de TEMPO (74) e quantidades catalíticas da imidazolidinona 75, FeCl3 e NaNO2, em rendimentos moderados a bons e altas enantiosseletividades (Esquema 19, superior).70 Neste artigo, os autores propuseram que a reaçao ocorre através de um mecanismo com ativaçao via SOMO, com a formaçao do cátion radicalar a partir da oxidaçao da enamina formada com a reaçao entre o aldeído 73 e o catalisador 75, seguido da reaçao deste cátion com o TEMPO. Entretanto, em 2010, MacMillan e colaboradores demonstraram através de estudos cinéticos, espectrométricos e espectrofotométricos que esta reaçao prossegue com ativaçao por enamina tradicional (Esquema 19, inferior).71

 


Esquema 19. Reaçoes enantiosseletivas de α-oxiaminaçao de aldeídos

 

Cátions radicalares sao intermediários reativos, capazes de participar da formaçao de ligaçoes C-C, C-O, C-N, C-S e C-X. Sendo assim, uma vez que estes intermediários SOMO-ativados sao formados, diferentes reaçoes podem ser promovidas, tornando este modo de ativaçao bastante atrativo. Uma série de reaçoes enantiosseletivas ativadas via SOMO foram relatadas nos últimos anos, tais como reaçoes de alilaçao, alquilaçao, enolizaçao, arilaçao, carbo-oxidaçao, vinilaçao, alquinilaçao de aldeídos, halogenaçao, ciclizaçao de polienos.72,73

As reaçoes de cicloadiçao (4+2) e (3+2) apresentadas por MacMillan e colaboradores ilustram o grande potencial deste modo de ativaçao. A partir de compostos simples e baratos como aldeídos aromáticos ou β-aminoaldeídos 77 e olefinas conjugadas 78, na presença de imidazolidinona e oxidante, produtos cíclicos funcionalizados com alto valor agregado sao formados com excelente eficiência química, regiosseletividade e estereosseletividade (Esquema 20, superior).74,75 A enamina inicialmente formada a partir da reaçao do organocatalisador 71 ou 79 e o aldeído 77 perde um elétron na presença do oxidante de ferro, formando o cátion radicalar I que reage estereosseletivamente com a olefina conjugada pela face oposta ao grupo R (metila ou benzila) da porçao imidazolidonona, levando ao intermediário II, que é novamente oxidado e forma o carbocátion III que sofre ciclizaçao intramolecular fornecendo o produto (Esquema 20, inferior).

 


Esquema 20. Reaçoes enantiosseletivas de cicloadiçao (4+2) e (3+2)

 

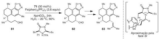
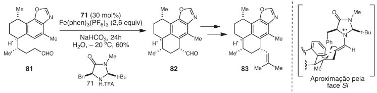
Recentemente, Li e colaboradores empregaram a reaçao enantiosseletiva de α-arilaçao de aldeído organocatalisada via SOMO como etapa-chave na síntese total do diterpeno Pseudopteroxazol (83).76 O aldeído 81 foi submetido à reaçao de α-arilaçao nas condiçoes de MacMillan77 fornecendo o tetraciclo 82 em 60% de rendimento como um único diastereoisômero (Esquema 21).

 


Esquema 21. α-Arilaçao ativada via SOMO empregada em Síntese Total

 

Apesar do valor intrínseco desse modo de ativaçao, cerca de 2 a 2,5 equivalentes de oxidante sao requeridos nas reaçoes, o que representa uma grande desvantagem em termos de economia de átomos e produçao de resíduos. Para resolver essa limitaçao, reaçoes utilizando os catalisadores fotorredox passaram a ser investigadas, dando origem a um novo modo de ativaçao.

Organocatálise via fotorredox

A fotocatálise refere-se ao uso de energia luminosa para aceleraçao de reaçoes químicas através de uma espécie reativa formada no contato com a luz. Mais precisamente, um fotocatalisador ativado pela absorçao de luz é capaz de induzir um substrato, um reagente ou um catalisador secundário a participar de reaçoes radicalares, habilitando reatividades que seriam impossíveis pelo mecanismo iônico tradicional.78-82

Em 2008, um artigo de MacMillan e Nicewicz foi pioneiro ao trazer a fotocatálise para o universo crescente da organocatálise, através da combinaçao de ativaçao via enamina e catalisadores fotorredox, para geraçao de espécies radicalares a partir de brometos. O mecanismo proposto envolve a aproximaçao do radical eletrofílico I, gerado a partir da reduçao do brometo 85 pelo catalisador de rutênio , pela face Si do carbono da enamina II. O radical nucleofílico resultante é entao oxidado para formar o imínio IV, posteriormente hidrolisado para levar aos produtos com excelentes enantiosseletividades (Esquema 22, inferior). Com isso, foi possível realizar a α-alquilaçao enantiosseletiva de diversos aldeídos a partir de compostos α-bromo-carbonílicos (Esquema 22).83

 


Esquema 22. Primeira aplicaçao de fotocatálise em reaçoes organocatalisadas

 

A combinaçao entre a organocatálise enantiosseletiva e a fotocatálise vem se dando a partir de duas estratégias principais: empregando dois catalisadores em conjunto ou empregando um único catalisador. Na primeira abordagem, um catalisador fotorredox metálico ou orgânico combina-se sinergicamente com um organocatalisador quiral em seus diferentes modos de ativaçao genéricos, ativando substratos orgânicos a partir da remoçao ou doaçao de elétrons (Esquema 23, parte superior). Na segunda abordagem, a capacidade de organocatalisadores quirais atingirem um estado excitado após a absorçao de luz é explorada, promovendo a ativaçao de substratos orgânicos em reaçoes assimétricas a partir da geraçao de espécies radicalares sem a necessidade de um outro catalisador (Esquema 23, parte inferior).84 Esses processos de oxidaçao ou reduçao, e consequente transformaçao dos substratos orgânicos em espécies radicalares, podem ocorrer através de etapas de SET (do inglês, "Single Eletron Transfer") ou HAT (do inglês, "Hydrogen Atom Transfer") ou seja, por etapas de transferência de um elétron ou de transferência radicalar de hidrogênio.85,86

 


Esquema 23. Estratégias de combinaçao entre organocatálise enantiosseletiva e fotocatálise

 

O grupo de Melchiorre, que vem publicando excelentes trabalhos com reaçoes fotocatalisadas sem uso de catalisadores metálicos, apresentou recentemente a β-alquilaçao de aldeídos α,β-insaturados 88 utilizando silanos 89, promovida pelo organofotocatalisador derivado de prolina 90, obtendo aldeídos β-alquil-arílicos 91 com excelentes rendimentos e enantiosseletividades (Esquema 24).87

 


Esquema 24. β-Alquilaçao enantiosseletiva aldeídos insaturados

 

O mecanismo proposto pelos autores passa pela excitaçao luminosa do imínio formado entre o catalisador 90 e o aldeído 88. Este imínio, por conta das interaçoes estéricas com o substituinte do catalisador está orientado de forma a minimizar essas interaçoes em sua configuraçao E. No estado excitado, este imínio é capaz de oxidar o silano, formando um radical centrado em carbono que se aproximará pela face Re do radical β-enaminil II, nao bloqueada pelo grupo lateral do catalisador. Essa interaçao leva à formaçao da enamina III, que é posteriormente hidrolisada para levar ao produto e regenerar o catalisador para um novo ciclo catalítico (Esquema 24, inferior).

Diversos fotocatalisadores orgânicos vêm sendo empregados como catalisadores fotorredox. Dentre essas substâncias estao cianoarenos, benzofenonas, quinonas, pirílios, quinolinas, xantenos e tiazinas. Destacam-se os trabalhos que reportaram o uso eficiente de organocatalisadores acridínicos e derivados de carbazoil dicianobenzenos, com sínteses descomplicadas e econômicas. Dentre os catalisadores metálicos, destacam-se os complexos polipiridínicos de rutênio e irídio.80

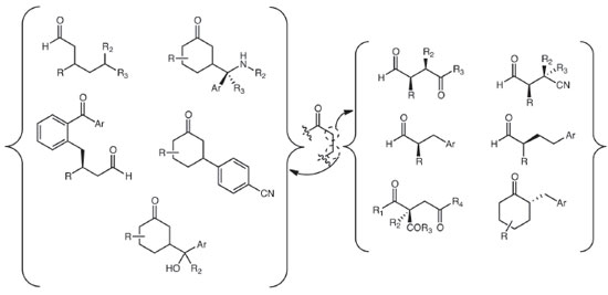
De um modo geral, a reatividade mais explorada na organocatálise fotorredox é a funcionalizaçao de compostos carbonílicos. Essas estratégias comumente usam um organocatalisador para gerar uma espécie rica em elétrons que reagirá com o radical gerado pelo substrato e o catalisador fotorredox. Na Figura 6, uma série de funcionalizaçoes de compostos carbonílicos nas posiçoes alfa e beta promovidas por organocatálise fotorredox é apresentada.88-95 Essa área permanece em constante expansao, oferecendo continuamente novas formas de gerar radicais e explorando diversos tipos de novas conexoes. Grandes avanços neste sentido deverao ser feitos nos próximos anos.

 


Figura 6. Funcionalizaçoes de compostos carbonílicos através de organocatálise fotorredox

 

Organocatálise via carbeno

Os carbenos consistem em compostos neutros contendo um átomo de carbono divalente com seis elétrons na camada de valência, com instabilidade inerente e alta reatividade. Em contraste com os carbenos clássicos, os carbenos N-heterocíclicos (NHCs) sao compostos mais estáveis, devido aos efeitos σ-retiradores e π-doadores dos átomos de nitrogênio adjacentes ao carbono, que ajudam a estabilizar a estrutura do carbeno singleto. Os NHCs vêm sendo bastante explorados, com amplas aplicaçoes tanto como ligantes de metais de transiçao e elementos do bloco p, quanto como organocatalisadores.96-99

As primeiras investigaçoes do uso de NHCs como catalisadores datam de 1943, quando Ugai e colaboradores perceberam que sais tiazólicos catalisavam reaçoes de condensaçao de benzoína. Em 1966, Sheehan e Hunneman apresentaram a primeira versao enantiosseletiva dessa reaçao, utilizando um sal tiazólico quiral como pré-catalisador, entretanto, o excesso enantiomérico foi de apenas 22%. Estes resultados inspiraram diversos estudos, sendo que somente em 1996, Enders e colaboradores apresentaram condensaçoes de benzoína com enantiosseletividades mais altas, empregando como pré-catalisador o sal triazólico quiral 93, que é desprotonado in situ para a geraçao do carbeno (Esquema 25).96

 


Esquema 25. Condensaçao de benzoína enantiosseletiva reportada por Enders et al.

 

Como consequência da expansao das aplicaçoes de NHCs nos últimos 15 anos, tanto na catálise por metais de transiçao, quanto na organocatálise, diferentes tipos de carbenos vêm sendo sintetizados, com destaque aos heterociclos tiazólicos, imidazólicos, imidazolínicos e triazólicos contendo grupos substituintes quirais em suas estruturas (Figura 7). Na maioria das reaçoes, o carbeno é gerado in situ a partir da desprotonaçao do sal correspondente. Esses sais sao bastante estáveis e possuem valores de pKa na faixa de 16 a 24 (em H2O).97

 


Figura 7. Principais tipos de pré-organocatalisadores NHCs

 

O intermediário ativado nas diferentes reaçoes organocatalisadas pelos NHCs resulta de um ataque nucleofílico do carbeno à aldeídos. De acordo com o mecanismo proposto por Breslow em 1958, após este ataque nucleofílico, seguido por etapas de desprotonaçao e reprotonaçao, é formado um intermediário enaminol, conhecido como intermediário de Breslow (Esquema 26).96,100 Esse intermediário reage diretamente com eletrófilos, entretanto, dependendo da natureza dos substituintes do aldeído, ele também pode reagir com nucleófilos ou participar de reaçoes pericíclicas. Essa versatilidade vem promovendo desde reaçoes enantiosseletivas de inversao de polaridade, conhecidas também como reaçoes umpolung, tais como condensaçao de benzoína e reaçoes de Stetter, até reaçoes enantiosseletivas de cicloadiçao, principais exemplos nas publicaçoes mais recentes.98,101-104

 


Esquema 26. Modo de ativaçao nas reaçoes organocatalisadas por NHCs

 

Huang e colaboradores reportaram a síntese enantiosseletiva de organosilanos, contendo dois centros estereogênicos contíguos, a partir de reaçoes de cicloadiçao de Diels-Alder organocatalisadas por NHCs triazólicos entre enolatos, formados a partir da reaçao entre 95 e o carbeno derivado de 97, e β-sililenonas com excelentes diastereo- e enantiosseletividades, usando condiçoes brandas e com amplo escopo do substrato (Esquema 27).105

 


Esquema 27. Síntese enantiosseletiva de organosilanos

 

Recentemente, Glorius e colaboradores apresentaram reaçoes enantiosseletivas de anelaçoes [5 + 2] de viniletileno e aldeídos insaturados, através de um sistema catalítico de cooperaçao entre NHC e paládio, levando a lactonas insaturadas de 7 membros com altas enantiosseletividades. Nessa reaçao, o intermediário π-alil-paládio, formado a partir da descarboxilaçao de 99, sofre um ataque nucleofílico do enol, formado a partir do intermediário de Breslow derivado de 100, seguido pela ciclizaçao enantiosseletiva e regeneraçao do NHC e do catalisador de paládio (Esquema 28).106 No modelo proposto no Esquema 28, pode-se observar que a face Si d o enol Z está bloqueada pelos substituintes do NHC, enquanto a face inferior do intermediário π-alil-paládio está blindada pelos ligantes do paládio, explicando as altas enantiosseletividades da reaçao.

 


Esquema 28. Reaçoes enantiosseletivas de anelaçoes [5 + 2]

 

Organocatálise via transferência de fase

A catálise por transferência de fase envolve o uso de sais de alquilamônio e fosfônio na reaçao entre duas substâncias em diferentes fases imiscíveis, na qual a interaçao do reagente nucleofílico com o catalisador aumenta a sua solubilidade em solventes orgânicos enquanto mantém sua nucleofilicidade. No caso desse sal quaternário ser quiral e nao racêmico, abre-se a possibilidade de se utilizar esse tipo de catálise em síntese assimétrica.107,108

Existem dois mecanismos que podem operar nesse tipo de catálise: o mecanismo interfacial de Makosza109-110 e o mecanismo de extraçao de Starks.111 O primeiro ocorre geralmente em meio básico e envolve a formaçao do nucleófilo por meio de desprotonaçao na interface do meio, seguida de troca-iônica com o catalisador para formaçao de um nucleófilo lipofílico, capaz de solubilizar na fase orgânica. Para evitar a formaçao do produto em sua forma racêmica e garantir um bom controle da estereoquímica absoluta, o catalisador deve ser capaz de realizar a troca iônica rapidamente e bloquear efetivamente uma das faces do reagente eletrofílico pró-quiral. Esse é o tipo de mecanismo operante, por exemplo, em reaçoes de alquilaçao assimétrica (Figura 8).107,108

 


Figura 8. Mecanismo geral interfacial de Makosza (*Q+ = catalisador quiral)

 

No segundo mecanismo, o nucleófilo, usado como sólido ou como soluçao aquosa, é transferido para a fase orgânica por pareamento iônico quiral com o catalisador. Nesses casos, somente o reagente eletrofílico apresenta pró-quiralidade, como é o caso de adiçoes eletrofílicas assimétricas a carbonilas e duplas ligaçoes (Figura 9).108

 


Figura 9. Mecanismo geral de extraçao de Starks (*Q+ = catalisador quiral)

 

O primeiro relato de alquilaçao enantiosseletiva utilizando catalisador de transferência de fase foi feito em 1984 por Dolling e colaboradores.112,113 Neste trabalho, a alquilaçao da indanona 103 foi realizada na presença do sal de amônio quaternário 104, derivado da cinchona. A eficiência e alta enantiosseletividade foram atribuídas à formaçao de um par iônico intermediário envolvendo ligaçoes de hidrogênio e interaçoes eletrostáticas e π-stacking, entre o catalisador 104 e o enolato formado a partir de 103, de modo que apenas a face da frente do ânion fica exposta ao agente alquilante (Esquema 29).

 


Esquema 29. Alquilaçao assimétrica da indanona 103

 

Os principais catalisadores utilizados em transferência de fase sao sais quaternários de nitrogênio e fósforo quirais associados a um contra-íon. Catalisadores derivados de alcaloides cinchona já haviam sido utilizados em catálise assimétrica com sucesso em reaçoes de diidroxilaçao114 quando estes foram derivatizados por alquilaçao em N(1) e empregados pela primeira vez na metilaçao da fenilindanona 103 (Esquema 29).112,113 Desde entao, diversas geraçoes de catalisadores foram desenvolvidos (Figura 10) e empregados em reaçoes aldólicas, de alquilaçao, de epoxidaçao e Mannich.115

 


Figura 10. Estrutura geral dos sais de amônio utilizados como catalisadores

 

O uso de sais de fosfônio como catalisadores quirais de transferência de fase foi relatado pela primeira vez por Shioiri e colaboradores em 1997 na reaçao aldólica assimétrica entre éteres enólicos de silício e aldeídos.116 Pouco se avançou nesse campo na década que se seguiu, porém, diversos estudos de design de novos catalisadores e suas aplicaçoes foram publicados nos últimos dez anos.86 Essa classe de catalisadores é subdividida em três subclasses, dependendo da sua estrutura básica: os sais de p-espirotetraamino fosfônio, os derivados de 1,1'-bisnaftila e os derivados de aminoácidos (Figura 11). Diversos tipos de transformaçoes já foram realizados com sucesso empregando essas classes de sais de fosfônio, dentre eles: aminaçoes, adiçoes conjugadas, reaçoes de Mannich, fluoraçao, reaçao de Aza-Henry e dessimetrizaçoes.117

 


Figura 11. Estrutura geral das classes de sais de fosfônio utilizados como catalisadores

 

Recentemente, Cai e colaboradores relataram a síntese assimétrica de atropoisômeros nao-bisarílicos 108 por meio de substituiçao nucleofílica aromática intramolecular do precursor 106 na presença do sal de cinchônio 107 (Esquema 30).118 Dois integrantes da classe dos diariléter heptanóides, (-)-Pterocarina e (-)-Galeon, foram sintetizados, demonstrando a importância da catálise por transferência de fase na síntese de produtos naturais.

 


Esquema 30. Catálise por transferência de fase na síntese de produtos naturais

 

ORGANOCASCATAS

Por meio de estratégias de síntese orgânica tradicionais, produtos com altíssima complexidade vêm sendo obtidos a custo de diversas etapas, na chamada estratégia "stop and go", que acaba implicando em perdas de eficiência e aumento de custos nas etapas intermediárias de isolamento e purificaçao. Uma síntese de muitas etapas torna-se, dessa forma, desfavorável para escalonamento industrial, por exemplo. Utilizar reaçoes em cascata119 é uma estratégia sintética, que visa poupar etapas de isolamento e purificaçao ao projetar diversas reaçoes que ocorram em etapas sequenciais dentro de um único ambiente reacional ("one-pot"). Essas reaçoes podem se processar com dois ou mais componentes (multicomponente) ou de forma sequencial.120 Essa estratégia é inspirada em processos biossintéticos que, via de regra, nao possuem etapas de isolamento e purificaçao. Para isso, os mecanismos biológicos apoiam-se na especificidade e seletividade das enzimas, que levam os substratos simples a produtos complexos com altíssima eficiência e estereoseletividade. Com o advento da organocatálise e seus modos de ativaçao genéricos, diversas organocascatas, reaçoes em cascata cujas etapas sao organocatalisadas, foram pensadas baseando-se na ortogonalidade dos modos de ativaçao dos diversos substratos presentes.121,122

Uma revisao minuciosa sobre o desenvolvimento das organocascatas está fora do escopo desta publicaçao, dada a complexidade do assunto, o grande número de trabalhos publicados e a diversidade das estratégias sintéticas empregadas, mas diversas revisoes recentes dedicadas exclusivamente a este tema podem ser encontradas, desde as mais genéricas120-124 até as mais específicas125-127 sobre algum tipo particular de cascata.

Uma recente publicaçao na área mostra a síntese enantiosseletiva de espiro-tiazol-4-onas 113 e 114 através de uma reaçao multicomponente, cujo mecanismo proposto pelos autores passa por três etapas em cascata (adiçao de Michael - adiçao de Michael - adiçao de Henry), organocatalisadas pelo derivado de esquaramida 112, promovendo sequenciais ativaçoes por ligaçao de hidrogênio.128 Os autores reportam tiazolonas ariladas com boa variabilidade estrutural, com rendimentos de 54% a 94% (apenas dois casos isolados obtiveram misturas complexas, com rendimentos de 28% para apenas um dos diastereoisômeros esperado), razoes diastereoisoméricas de 1,8:1 até 4,6:1 e excessos enantioméricos excelentes, a maioria entre 93-99% (Esquema 31).

 


Esquema 31. Formaçao de tiazolonas aril-substituídas através de reaçao tricomponente em organocascata de três etapas

 

Pode-se perceber, através deste exemplo, como as cascatas permitem, em uma única reaçao de várias etapas, elevar o nível de complexidade estrutural de forma surpreendente. O rendimento global elevado também seria difícil de ser obtido através de etapas isoladas na síntese tradicional. Destacamos a versatilidade dos organocatalisadores e seus modos genéricos de ativaçao como instrumentos poderosos neste tipo de reatividade, essencial para os químicos que pensam em sínteses totais de produtos naturais e/ou de interesse farmacêutico.

 

REAÇOES ORGANOCATALISADAS SOB CONDIÇOES DE FLUXO CONTINUO

Uma reconhecida desvantagem da organocatálise em comparaçao à catálise metálica é a alta carga de catalisador necessária, em geral cerca de 20 mol%. Para contornar essas dificuldades, muitos trabalhos foram publicados no sentido de imobilizar organocatalisadores em matrizes sólidas, a fim de, com uso desta catálise heterogênea, possibilitar o fácil reuso do organocatalisador. Essa estratégia abre também possibilidades mais vantajosas para o contato entre a organocatálise e a química de fluxo contínuo.

A química de fluxo vem ganhando cada vez mais espaço entre os químicos sintéticos. Seu uso permite o escalonamento de reaçoes para obtençao de quantidades bem maiores de produto; menores riscos ao lidar com produtos potencialmente perigosos, uma vez que, pontualmente, as quantidades que estao postas a reagir sao pequenas; reduz o uso de solventes e evita gastos com purificaçao de intermediários, já que o sistema permite a compartimentalizaçao de diferentes etapas em sequência, em reatores diferentes, com condiçoes diferentes, dentre outros benefícios. É possível, ainda, ampliar o processo de fluxo, através de estaçoes específicas, para que nao apenas reaçoes possam ser feitas em fluxo, mas também outras etapas do processo, como purificaçao, secagem, etc.

Os catalisadores usados para reaçoes em fluxo podem ser homogêneos, sendo injetados como os reagentes para o fluxo, ou podem estar presentes de forma heterogênea, frequentemente dentro de uma coluna através da qual a mistura de reagentes será percolada, sendo esta última a abordagem mais comum. Nesse segundo sistema, uma quantidade muito maior de catalisador está presente em relaçao à quantidade de substrato, pontualmente, melhorando a eficiência da catálise em questao, dependendo do tempo de residência, ou seja, o tempo em que reagentes e catalisador ficarao em contato. Além disso, evita-se que catalisador e produtos fiquem em contato muito tempo, diminuindo as chances de inibiçao ou inativaçao do catalisador por reaçoes colaterais com o produto de interesse.

Um grande número de publicaçoes vem sendo feito na área, destacadas em excelentes revisoes sobre o assunto.129,130 A maior parte das publicaçoes versa sobre a catálise heterogênea, através do desenvolvimento de organocatalisadores suportados em matrizes sólidas. As principais matrizes utilizadas sao matrizes de sílica ou de poliestireno monolíticos, ou seja, de estrutura porosa, altamente permeável e com grande área de superfície para reatividade, unidas ao catalisador através de um espaçador ou conector.

Recentemente, o grupo de Benaglia e Puglisi reportou a reduçao enantiosseletiva de iminas 115 a aminas secundárias protegidas com p-metóxi-fenila 117, em condiçoes de fluxo e em batelada, usando triclorosilano e organocatalisada por N-picolilimidazolidinonas 116. Esse catalisador foi suportado em sílica e em matriz polimérica, na forma de um copolímero de estireno feito a partir de iniciaçao radicalar por AIBN, usando divinilbenzeno como cross-linker e uma mistura de tolueno e 1-dodecanol como solventes porogênicos. Condiçoes otimizadas mostram que a matriz monolítica polimérica sintetizada obteve um desempenho superior às matrizes de sílica, sendo utilizadas para a reduçao de diversas iminas em condiçoes de batelada. Duas iminas diferentes foram reduzidas em condiçoes de fluxo contínuo por mais de 6 horas com excelentes rendimentos de 79-94% e bons excessos enantioméricos, começando com cerca de 85% nas primeiras duas horas, caindo para cerca de 75% após 6 horas de operaçao contínua para as duas iminas testadas. Através deste método, obteve-se um precursor avançado na síntese de rivastigmina, um fármaco utilizado no tratamento do Alzheimer (Esquema 32).131

 


Esquema 32. Reduçao de iminas em condiçao de fluxo contínuo organocatalisada com picolilimidazolidinonas imobilizadas em poliestireno

 

O grupo de Pericàs e colaboradores reportou a síntese de uma diamina vicinal ancorada em poliestireno 122 capaz de catalisar a reaçao de anelaçao de Robinson enantiosseletiva para síntese de uma série de cetonas bicíclicas similares às de Hajos-Parrish e Wieland-Miescher, estruturas importantes na síntese de sesquiterpenoides, diterpenoides e esteroides. Em condiçoes otimizadas, a ciclizaçao foi realizada com rendimentos de 62-87% e excessos enantioméricos de 78-94%, após a prévia formaçao do aduto de Michael a partir da mistura dos reagentes a uma resina comercial contendo DBU (Esquema 33).132

 


Esquema 33. Anelaçao de Robinson catalisada por 122 em condiçoes de fluxo contínuo

 

Na catálise homogênea, um tipo de reaçao que apresenta grande vantagem no uso em fluxo contínuo é a fotocatálise, uma vez que, pelas dimensoes dos reatores, que aumentam muito a superfície de contato, há uma melhor distribuiçao e aproveitamento da intensidade luminosa, diminuindo o tempo reacional, melhorando a seletividade e o controle das condiçoes da reaçao como temperatura. Uma revisao, publicada em 2014, mostrou o grande e rápido desenvolvimento desta área da catálise com o uso de condiçoes em fluxo contínuo.133 Em 2016, Reiser e colaboradores134 descreveram a síntese de um complexo de irídio Ir(ppy)2(PIB-ppy), ancorado a um polímero de poliisobutileno. Graças a um sistema de solventes termomórfico entre heptano e acetonitrila, os autores fizeram com que, nas condiçoes reacionais, a reaçao fosse homogênea, e, após irradiaçao, em temperatura diferente, o sistema voltasse a sua forma bifásica, possibilitando uma fácil separaçao entre o catalisador de irídio (na fase de heptano, pronto para ser reciclado) e os produtos, na fase de acetonitrila. Esse sistema foi capaz de promover diversas reaçoes, como ciclizaçoes, deiodaçoes e isomerizaçao de duplas.

 

CONCLUSOES E PERSPECTIVAS

Em quase duas décadas, a utilizaçao de um número razoável de moléculas orgânicas quirais como catalisadores em transformaçoes orgânicas expandiu-se intensamente com o desenvolvimento de diversos modos de ativaçao dos catalisadores e suas aplicaçoes em vários tipos de reaçoes. A versatilidade em ativar diferentes espécies reacionais, sendo elas nucleófilos, eletrófilos ou até mesmo espécies radicalares, cria excelentes oportunidades para novas aplicaçoes.

Novos modos de ativaçao que possibilitem novas reatividades, o uso dos diferentes modos de ativaçao em novos tipos de reaçoes e o design de novos catalisadores sao sem dúvidas aspectos que ainda podem ser explorados. Entretanto, a organocatálise fotorredox, as organocascatas, a organocatálise na química de fluxo contínuo e suas combinaçoes merecem especial atençao nos próximos anos.

A fotocatálise aumentou o alcance da organocatálise e da síntese orgânica como um todo, revolucionando o modo de se pensar desconexoes em análises retrossintéticas. Grandes progressos ainda devem ser feitos, uma vez que inovaçoes sao reportadas com frequência, levando a novas formas de gerar radicais e a reatividades nao convencionais.

As cascatas aumentam a eficiência das sínteses e permitem que estruturas complexas sejam obtidas rapidamente, diminuindo os custos com grupos de proteçao e isolamento dos intermediários sintéticos. O emprego da organocatálise em reaçoes em cascata é bastante propício devido aos modos de ativaçao distintos e à facilidade de serem combinados, à tolerância dos organocatalisadores a diversos grupos funcionais e suas habilidades em promoverem ativaçoes em condiçoes reacionais brandas, além da capacidade de se empregar o mesmo organocatalisador em ativaçoes distintas. Este campo vem atraindo muita atençao e novas combinaçoes ainda devem ser exploradas.

A química de fluxo contínuo, por sua vez, vem se desenvolvendo dentro da catálise assimétrica. A possibilidade de unir organocatalisadores imobilizados com técnicas de fluxo leva a processos sustentáveis, aumentando o tempo de vida desses catalisadores e eliminando uma das principais limitaçoes da área. O grande desafio neste campo é integrar diversos processos, promovendo cascatas em fluxo, e também a expansao da organocatálise fotorredox sob condiçoes de fluxo contínuo.

Frente ao exposto, nao há dúvidas que a organocatálise continuará evoluindo nos próximos anos, trazendo diversas inovaçoes para a catálise assimétrica.

 

AGRADECIMENTOS

Os autores agradecem ao CNPq, à CAPES, à FAPERJ e à UFRJ pelo suporte financeiro.

 

REFERENCIAS

1. Ahrendt, K. A.; Borths, C. J.; MacMillan, D. W. C.; J. Am. Chem. Soc. 2000, 122, 4243.

2. List, B.; Lerner, R. A.; Barbas III, C. F.; J. Am. Chem. Soc. 2000, 122, 2395.

3. Dalko, P. I.; Moisan, L.; Angew. Chem., Int. Ed. 2004, 43, 5138.

4. Amarante, G. W.; Coelho, F.; Quim. Nova 2009, 32, 469.

5. Aleman, J.; Cabrera, S.; Chem. Soc. Rev. 2013, 42, 774.

6., Qin, Y.; Zhu, L.; Luo, S.; Chem. Rev. 2017, 117, 9433.

7. MacMillan, D. W. C.; Nature 2008, 455, 304.

8. Hajos, Z. G.; Parrish, D. R.; J. Org. Chem. 1974, 39, 1615.

9. Eder, U.; Sauer, G.; Wiechert, R.; Angew. Chem., Int. Ed. Engl. 1971, 10, 496.

10. List, B.; Lerner, R. A.; Barbas, C. F.; J. Am. Chem. Soc. 2000, 122, 2395.

11. Mukherjee, S.; Yang, J. W.; Hoffmann, S.; List, B.; Chem. Rev. 2007, 107, 5471.

12. Bertuzzi, G.; Sinisi, A.; Pecorari, D.; Caruana, L.; Mazzanti, A.; Bernardi, L.; Fochi, M.; Org. Lett. 2017, 19, 834.

13. Jiang, K.; Jia, Z.-J.; Yin, X.; Wu, L.; Chen, Y.-C.; Org. Lett. 2010, 12, 2766.

14. Ren, W.; Wang, X.-Y.; Li, J.-J.; Tian, M.; Liu, J.; Ouyang, L.; Wang, J.-H.; RSC Adv. 2017, 7, 1863.

15. Fjelbye, K.; Marigo, M.; Clausen, R. P.; Juhl, K.; Org. Lett. 2016, 18, 1170.

16. Fjelbye, K.; Marigo, M.; Clausen, R. P.; Juhl, K.; Synlett 2017, 13, 425.

17. Ahrendt, K. A.; Borths, C. J.; MacMillan, D. W. C.; J. Am. Chem. Soc. 2000, 122, 4243.

18. Lelais, G.; MacMillan, D. W. C.; Aldrichimica Acta 2006, 39, 79.

19. Austin, J. F.; MacMillan, D. W. C.; J. Am. Chem. Soc. 2002, 124, 1172.

20. Jen, W. S.; Wiener, J. J. M.; MacMillan, D. W. C.; J. Am. Chem. Soc. 2000, 122, 9874.

21. Paras, N. A.; MacMillan, D. W. C.; J. Am. Chem. Soc. 2001, 123, 4370.

22. Franzén, J.; Marigo, M.; Fielenbach, D.; Wabnitz, T. C.; Jorgensen, K. A.; J. Am. Chem. Soc. 2005, 127, 18296.

23. Donslund, B. S.; Johansen, T. K.; Poulsen, P. H.; Halskov, K. S.; Jorgensen, K. A.; Angew. Chem., Int. Ed. Engl. 2015, 54, 13860.

24. Dell'Amico, L.; Albrecht, Ł.; Naicker, T.; Poulsen, P. H.; Jorgensen, K. A.; J. Am. Chem. Soc. 2013, 135, 8063.

25. Chen, W.; Du, W.; Yue, L.; Li, R.; Wu, Y.; Ding, L.-S.; Chen, Y.-C.; Org. Biomol. Chem. 2007, 5, 816.

26. Xie, J.-W.; Chen, W.; Li, R.; Zeng, M.; Du, W.; Yue, L.; Chen, Y.-C.; Wu, Y.; Zhu, J.; Deng, J.-G.; Angew. Chem., Int. Ed. Engl. 2007, 46, 389.

27. Bartoli, G.; Bosco, M.; Carlone, A.; Pesciaioli, F.; Sambri, L.; Melchiorre, P.; Org. Lett. 2007, 9, 1403.

28. Carlone, A.; Bartoli, G.; Bosco, M.; Pesciaioli, F.; Ricci, P.; Sambri, L.; Melchiorre, P.; Eur. J. Org. Chem. 2007, 2007, 5492.

29. Lu, X.; Deng, L.; Angew. Chem., Int. Ed. Engl. 2008, 47, 7710.

30. Ricci, P.; Carlone, A.; Bartoli, G.; Bosco, M.; Sambri, L.; Melchiorre, P.; Adv. Synth. Catal. 2008, 350, 49.

31. Liu, C.; Lu, Y.; Org. Lett. 2010, 12, 2278.

32. Melchiorre, P.; Angew. Chem., Int. Ed. Engl. 2012, 51, 9748.

33. Dell'Amico, L.; Fernández-Alvarez, V. M.; Maseras, F.; Melchiorre, P.; Angew. Chem., Int. Ed. Engl. 2017, 56, 3304.

34. Doyle, A. G.; Jacobsen, E. N.; Chem. Rev. 2007, 107, 5713.

35. Sigman, M. S.; Jacobsen, E. N.; J. Am. Chem. Soc. 1998, 120, 4901.

36. Corey, E. J.; Grogan, M. J.; Org Lett 1999, 1, 157.

37. Vachal, P.; Jacobsen, E. N.; J. Am. Chem. Soc. 2002, 124, 10012.

38. Parmar, D.; Sugiono, E.; Raja, S.; Rueping, M.; Chem. Rev. 2014, 114, 9047.

39. . Huang, Y.; Unni, A. K.; Thadani, A. N.; Rawal, V. H.; Nature 2003, 424, 146.

40. Walvoord, R. R.; Huynh, P. N. H.; Kozlowski, M. C.; J. Am. Chem. Soc. 2014, 136, 16055.

41. Mueller, S.; Webber, M. J.; List, B.; J. Am. Chem. Soc. 2011, 133, 18534.

42. Cassani, C.; Martin-Rapun, R.; Arceo, E.; Bravo, F.; Melchiorre, P.; Nat. Protoc. 2013, 8, 325.

43. Wu, B.; Gao, X.; Yan, Z.; Chen, M.-W.; Zhou, Y.-G.; Org. Lett. 2015, 17, 6134.

44. Dell'Amico, L.; Vega-Penaloza, A.; Cuadros, S.; Melchiorre, P.; Angew. Chem., Int. Ed. 2016, 55, 3313.

45. Avila, E. P.; Amarante, G. W.; ChemCatChem 2012, 4, 1713.

46. Mahlau, M.; List, B.; Angew. Chem., Int. Ed. Engl. 2013, 52, 518.

47. Phipps, R. J.; Hamilton, G. L.; Toste, F. D.; Nat. Chem. 2012, 4, 603.

48. Takahiko, A.; Junji, I.; Koji, Y.; Kohei, F.; Angew. Chem., Int. Ed. Engl. 2004, 43, 1566.

49. Uraguchi, D.; Terada, M.; J. Am. Chem. Soc. 2004, 126, 5356.

50. Mayer, S.; List, B.; Angew. Chem., Int. Ed. Engl. 2006, 45, 4193.

51. Martin, N. J. A.; List, B.; J. Am. Chem. Soc. 2006, 128, 13368.

52. Xingwang, W.; Benjamin, L.; Angew. Chem., Int. Ed. Engl. 2008, 47, 1119.

53. Hamilton, G. L.; Kanai, T.; Toste, F. D.; J. Am. Chem. Soc. 2008, 130, 14984.

54. Hennecke, U.; Müller, C. H.; Fröhlich, R.; Org. Lett. 2011, 13, 860.

55. Pilar, G. G.; Frank, L.; Patricia, G. G.; Constantinos, R.; Benjamin, L.; Angew. Chem., Int. Ed. Engl. 2009, 121, 4427.

56. Rueping, M.; Uria, U.; Lin, M.-Y.; Atodiresei, I.; J. Am. Chem. Soc. 2011, 133, 3732.

57. Seok, L. G.; Gil, N.; Jisook, P.; Y.-K., C. D.; Chem. - Eur. J. 2017, 23, 16189.

58. Raheem, I. T.; Thiara, P. S.; Peterson, E. A.; Jacobsen, E. N.; J. Am. Chem. Soc. 2007, 129, 13404.

59. Zhang, Z.; Schreiner, P. R.; Chem. Soc. Rev. 2009, 38, 1187.

60. Chandra, P. S.; Jian, Z.; Benjamin, L.; Angew. Chem., Int. Ed. Engl. 2007, 46, 612.

61. Chang, M.; Nisha, M.; X., S. D.; Daniel, S.; Angew. Chem., Int. Ed. Engl. 2013, 52, 14084.

62. Reisman, S. E.; Doyle, A. G.; Jacobsen, E. N.; J. Am. Chem. Soc. 2008, 130, 7198.

63. De, C. K.; Seidel, D.; J. Am. Chem. Soc. 2011, 133, 14538.

64. Mittal, N.; Sun, D. X.; Seidel, D.; Org. Lett. 2012, 14, 3084.

65. Brown, A. R.; Kuo, W.-H.; Jacobsen, E. N.; J. Am. Chem. Soc. 2010, 132, 9286.

66. Banik, S. M.; Levina, A.; Hyde, A. M.; Jacobsen, E. N.; Science 2017, 358, 761.

67. Beeson, T. D.; Mastracchio, A.; Hong, J.-B.; Ashton, K.; MacMillan, D. W. C.; Science 2007, 316, 582.

68. Devery, I. I. I. J. J.; Conrad, J. C.; MacMillan, D. W. C.; Flowers, I. I. R. A.; Angew. Chem., Int. Ed. 2010, 49, 6106.

69. Beel, R.; Kobialka, S.; Schmidt, M. L.; Engeser, M.; Chem. Commun. 2011, 47, 3293.

70. Sibi, M. P.; Hasegawa, M.; J. Am. Chem. Soc. 2007, 129, 4124.

71. Van Humbeck, J. F.; Simonovich, S. P.; Knowles, R. R.; MacMillan, D. W. C.; J. Am. Chem. Soc. 2010, 132, 10012.

72. MacMillan, D. W. C.; Beeson, T. D. Em SOMO and Radical Chemistry in Organocatalysis, Georg Thieme Verlag: Stuttgart, 2012; p. 271.

73. Meciarova, M.; Tisovsky, P.; Sebesta, R.; New J. Chem. 2016, 40, 4855.

74. Jui, N. T.; Lee, E. C. Y.; MacMillan, D. W. C.; J. Am. Chem. Soc. 2010, 132, 10015.

75. Jui, N. T.; Garber, J. A. O.; Finelli, F. G.; MacMillan, D. W. C.; J. Am. Chem. Soc. 2012, 134, 11400.

76. Yang, M.; Yang, X.; Sun, H.; Li, A.; Angew. Chem., Int. Ed. 2016, 55, 2851.

77. Conrad, J. C.; Kong, J.; Laforteza, B. N.; MacMillan, D. W. C.; J. Am. Chem. Soc. 2009, 131, 11640.

78. de Almeida, A. M.; de Almeida, M. V.; Amarante, G. W.; Quim. Nova 2015, 38, 1080.

79. Shaw, M. H.; Twilton, J.; MacMillan, D. W. C.; J. Org. Chem. 2016, 81, 6898.

80. Romero, N. A.; Nicewicz, D. A.; Chem. Rev. 2016, 116, 10075.

81. Huo, H.; Meggers, E.; Chimia 2016, 70, 186.

82. Twilton, J.; Le, C.; Zhang, P.; Shaw, M. H.; Evans, R. W.; MacMillan, D. W. C.; Nat. Rev. Chem. 2017, 1, 0052.

83. Nicewicz, D. A.; MacMillan, D. W. C.; Science 2008, 322, 77.

84. Silvi, M.; Melchiorre, P.; Nature 2018, 554, 41.

85. Capaldo, L.; Ravelli, D.; Eur. J. Org. Chem. 2017, 2017, 2056.

86. Ajij, G.; Akil, A.; Deresh, R.; Adv. Synth. Catal. 2017, 359, 3676.

87. Silvi, M.; Verrier, C.; Rey, Y. P.; Buzzetti, L.; Melchiorre, P.; Nat. Chem. 2017, 9, 868.

88. Welin, E. R.; Warkentin, A. A.; Conrad, J. C.; MacMillan, D. W. C.; Angew. Chem., Int. Ed. Engl. 2015, 54, 9668.

89. Capacci, A. G.; Malinowski, J. T.; McAlpine, N. J.; Kuhne, J.; MacMillan, D. W. C.; Nat. Chem. 2017, 9, 1073.

90. Zhu, Y.; Zhang, L.; Luo, S.; J. Am. Chem. Soc. 2014, 136, 14642.

91. Arceo, E.; Bahamonde, A.; Bergonzini, G.; Melchiorre, P.; Chem. Sci. 2014, 5, 2438.

92. Pirnot, M. T.; Rankic, D. A.; Martin, D. B. C.; MacMillan, D. W. C.; Science 2013, 339, 1593.

93. Petronijević, F. R.; Nappi, M.; MacMillan, D. W. C.; J. Am. Chem. Soc. 2013, 135, 18323.

94. Terrett, J. A.; Clift, M. D.; MacMillan, D. W. C.; J. Am. Chem. Soc. 2014, 136, 6858.

95. Jeffrey, J. L.; Petronijević, F. R.; MacMillan, D. W. C. ; J. Am. Chem. Soc. 2015, 137, 8404.

96. Enders, D.; Niemeier, O.; Henseler, A.; Chem. Rev. 2007, 107, 5606.

97. Hopkinson, M. N.; Richter, C.; Schedler, M.; Glorius, F.; Nature 2014, 510, 485.

98. Flanigan, D. M.; Romanov-Michailidis, F.; White, N. A.; Rovis, T.; Chem. Rev. 2015, 15, 9307.

99. Pastre, J. C.; Correia, C. R. D.; Quim. Nova 2008, 31, 872.

100. Gehrke, S.; Holloczki, O.; Gehrke, S.; Angew. Chem., Int. Ed. Engl. 2017, 56, 16395.

101. Wang, Y.; Wu, B.; Zhang, H.; Wei, D.; Tang, M., Phys. Chem. Chem. Phys. 2016, 18, 19933.

102. Haghshenas, P.; Langdon, S. M.; Gravel, M.; Synlett 2017, 28, 542.

103. Li, J.-L.; Fu, L.; Wu, J.; Yang, K.-C.; Li, Q.-Z.; Gou, X.-J.; Peng, C.; Han, B.; Shen, X.-D.; Chem. Commun. 2017, 53, 6875.

104. Wu, X.; Zhang, Y.; Wang, Y.; Ke, J.; Jeret, M.; Reddi, R. N.; Chi, Y. R.; Yang, S.; Song, B.-A.; Chi, Y. R.; Angew. Chem., Int. Ed. Engl. 2017, 56, 2942.

105. Zhang, Y.; Huang, J.; Guo, Y.; Li, L.; Fu, Z.; Huang, W.; Huang, W.; Angew. Chem., Int. Ed. Engl. 2018, 57, 4594.

106. Singha, S.; Patra, T.; Daniliuc, C. G.; Glorius, F.; J. Am. Chem. Soc. 2018, 140, 3551.

107. Seiji, S.; Keiji, M.; Angew. Chem., Int. Ed. Engl. 2013, 52, 4312.

108. Takashi, O.; Keiji, M.; Angew. Chem., Int. Ed. Engl. 2007, 46, 4222.

109. Makosza, M.; Pure Appl. Chem. 1975, 43, 439.

110. Yang, H.-M.; Wu, H.-S.; Catal. Rev. 2003, 45, 463.

111. Starks, C. M.; J. Am. Chem. Soc. 1971, 93, 195.

112. Dolling, U. H.; Davis, P.; Grabowski, E. J. J.; J. Am. Chem. Soc. 1984, 106, 446.

113. Hughes, D. L.; Dolling, U. H.; Ryan, K. M.; Schoenewaldt, E. F.; Grabowski, E. J. J.; J. Org. Chem. 1987, 52, 4745.

114. Kolb, H. C.; VanNieuwenhze, M. S.; Sharpless, K. B.; Chem. Rev. 1994, 94, 2483.

115. Jew, S.-S.; Park, H.-G.; Chem. Commun. 2009, 7090.

116. Shioiri, T.; Ando, A.; Masui, M.; Miura, T.; Tatematsu, T.; Bohsako, A.; Higashiyama, M.; Asakura, C.; Em Phase-Transfer Catalysis, American Chemical Society: Washington, DC, 1997, vol. 659, p. 136.

117. Liu, S.; Kumatabara, Y.; Shirakawa, S.; Green Chem. 2016, 18, 331.

118. Ding, Q.; Wang, Q.; He, H.; Cai, Q.; Org. Lett. 2017, 19, 1804.

119. Fogg, D. E.; dos Santos, E. N.; Coord. Chem. Rev. 2004, 248, 2365.

120. Rivera, D. G.; Paixao, M. W.; In Stereochemistry and Global Connectivity: The Legacy of Ernest L. Eliel, Volume 2, American Chemical Society: Washington, DC, 2017, vol. 1258, p. 49.

121. Westermann, B.; Avaz, M.; van Berkel, S. S.; Angew. Chem., Int. Ed. Engl. 2010, 49, 846.

122. Sohtome, Y.; Nagasawa, K.; Org. Biomol. Chem. 2014, 12, 1681.

123. Grondal, C.; Jeanty, M.; Enders, D.; Nat. Chem. 2010, 2, 167.

124. Pellissier, H. Em Domino Reactions; Tietze, L. F., ed.; Wiley-VCH: Weinheim, 2013.

125. Sreekumar, V.; Daniel, R.; Angew. Chem., Int. Ed. Engl. 2016, 55, 13934.

126. André, G.; Dieter, E.; Angew. Chem., Int. Ed. Engl. 2012, 51, 314.

127. Nayak, S.; Panda, P.; Bhakta, S.; Mishra, S. K.; Mohapatra, S.; RSC Adv. 2016, 6, 96154.

128. Yuanyuan, X.; Rongrong, J.; Youming, W.; Zhenghong, Z.; Adv. Synth. Catal. 2018, 360, 1961.

129. Finelli, F. G.; Miranda, L. S. M.; de Souza, R. O. M. A.; Chem. Commun. 2015, 51, 3708.

130. Rodríguez-Escrich, C.; Pericàs, M. A.; Eur. J. Org. Chem. 2015, 2015, 1173.

131. Porta, R.; Benaglia, M.; Annunziata, R.; Puglisi, A.; Celentano, G.; Adv. Synth. Catal. 2017, 359, 2375.

132. Cañellas, S.; Ayats, C.; Henseler, A. H.; Pericàs, M. A.; ACS Catal. 2017, 7, 1383.

133. Garlets, Z. J.; Nguyen, J. D.; Stephenson, C. R. J.; Isr. J. Chem. 2014, 54, 351.

134. Rackl, D.; Kreitmeier, P.; Reiser, O.; Green Chem. 2016, 18, 214.

On-line version ISSN 1678-7064 Printed version ISSN 0100-4042
Qu�mica Nova
Publica��es da Sociedade Brasileira de Qu�mica
Caixa Postal: 26037 05513-970 S�o Paulo - SP
Tel/Fax: +55.11.3032.2299/+55.11.3814.3602
Free access

GN1