JBCS



12:24, sáb out 25

Acesso Aberto/TP



Educação


Avaliação das causas de retenção em química geral na Universidade Federal do Amazonas
Evaluating of low pass rates in general chemistry at the Federal University of Amazon

Klenicy K. L. Yamaguchi*; Jath da Silva e Silva

Instituto de Saúde e Biotecnologia, Universidade Federal do Amazonas, 69460-000 Coari - AM, Brasil

Recebido em 20/08/2018
Aceito em 10/12/2018
Publicado na web em 14/02/2019

Endereço para correspondência

*e-mail: klenicy@gmail.com

RESUMO

Failing classes is one of the main causes students are held back in universities, which in turn has several academic, social and economic impacts. This study aims to identify factors associated with students flunking General Chemistry, as well as to propose institutional interventions that can remedy these setbacks. The methodology used was based on a conceptual model of nontraditional undergraduate students, evaluating student academic outlook and relating that with institutional data on subject pass rate. Results showed it was possible to correlate variables that influence pass rates in General Chemistry, highlighting the following: busy schedule, study method, high class load per semester, deficiencies in basic chemistry and math, and socioeconomic factors. Results in this work help identify challenges that can aid in developing strategies to eradicate or minimize failing in General Chemistry in higher education institutions in Brazil.

Palavras-chave: super senior; teaching Chemistry; Amazon.

INTRODUÇAO

O número de ingressantes nas instituiçoes de educaçao superior cresceu nos últimos anos. Segundo os dados do Censo da Educaçao Superior feito pelo Instituto Nacional de Estudos e Pesquisas Educacionais Anísio Teixeira – INEP, em 2016 o aumento foi de 1,9%.1 Paralelamente, cresceram também os índices estatísticos sobre a evasao universitária, principalmente os relacionados aos cursos de licenciatura que chegam a valores superiores a 50%, como os descritos para as licenciaturas de Física (57,2%), Química (52,3%) e Matemática (52,6%), o que agrava consideravelmente o problema do grande déficit de professores de ciências.

Trabalhos realizados sobre evasao apontam a permanência prolongada em disciplinas consideradas difíceis como um dos fatores que contribuem para a desistência do curso.2-6 Entre elas, tem-se a Química Geral, comumente dividida em teórica e experimental. As dificuldades provenientes dessa disciplina acabam sendo determinantes para os recém universitários pois é, frequentemente, o primeiro contato dos discentes com o universo da Química na universidade, abrindo portas para as disciplinas que a seguem, como química orgânica e bioquímica para os cursos da área de saúde e as demais químicas: analítica, inorgânica e físico-química, para os cursos de exatas, engenharias e licenciaturas.

A retençao em Química Geral vem permeando discussoes sobre o ensino de graduaçao, tanto nacional quanto internacionalmente, indicando a necessidade do aprofundamento nos estudos a respeito, buscando suas causas e estratégias para reduçao. As pesquisas na área contribuem para o avanço do conhecimento sobre o processo de permanência prolongada nessa disciplina e entre os fatores relacionados, citam-se: docentes que ministram essa disciplina em formato tradicional; dificuldades no processo de aprendizagem dos discentes; baixo nível de conhecimento básico dos alunos e a pouca aplicaçao dessa disciplina nos conceitos no cotidiano.4-7 Para Cracolice e Busby,5 essa disciplina na faculdade vai muito além da aquisiçao de conhecimento de conteúdo e precisa preparar o discente para o desenvolvimento da capacidade de raciocínio e para o meio científico.

Segundo Pastoriza et al.,3 as dificuldades encontradas pelos alunos levam a um alto índice de reprovaçao e, quando a forma produtiva de assimilar os saberes nao é encontrada ao repetir a disciplina, contribui consideravelmente para a evasao do curso.

A retençao pode ser definida como a condiçao em que o estudante demanda um tempo maior do que o previsto na matriz curricular, tendo que cursar novamente uma disciplina em que nao tenha sido aprovado. Segundo Andrade, Meira e Vasconcelos,8 esse índice elevado de reprovaçao pode ocorrer pela pouca afinidade com o curso selecionado, fragmentaçao da estrutura curricular, dificuldades de adaptaçao à organizaçao universitária e fatores endógenos inerentes à relaçao ensino e aprendizagem, e exógenos, como motivaçoes financeiras.

Verifica-se que os efeitos desse fenômeno sao danosos e bem perceptíveis, nao somente no cunho acadêmico, mas também econômico e social. A ampliaçao da duraçao do curso retarda a inserçao de profissionais de nível superior no mercado profissional e representa um acréscimo de recursos para a instituiçao (pessoal, administrativo, estrutural e financeiro), gerando um aumento de investimentos (energia e tempo).2,9

Dificuldades na determinaçao de políticas adequadas que possam reduzir a incidência desse fenômeno sao perceptíveis e esse trabalho buscou identificar os fatores associados à retençao e às açoes de intervençao institucionais que possibilitam a melhoria desses altos índices. Para tanto, foi realizado um levantamento das principais dificuldades encontradas na perspectiva dos acadêmicos em Química Geral no curso de Ciências do Instituto de Saúde e Biotecnologia da Universidade Federal do Amazonas e realizada a análise dos dados de retençao nos últimos 10 anos.

O campus possui sede no município de Coari, localizado na regiao do Médio Solimoes, cerca de 363 Km em linha reta da capital do estado, Manaus. Situa-se em uma área importante pela exploraçao do gás e do petróleo. Atende aos municípios de Alvaraes, Anama, Anori, Beruri, Codajás, Maraa, Tefé e Uarini, que assim como a sede, apresenta os rios como principal meio de transporte, o que dificulta o acesso da populaçao as universidades da capital. O curso de Ciências: Biologia e Química foi criado considerando as diretrizes nacionais para os cursos superiores do MEC por meio da implantaçao da modalidade "licenciatura com habilitaçao dupla" visando atender a carência de professores nos campos das Ciências de um modo geral, bem como Biologia e Química, especificamente.

 

METODOLOGIA

Este trabalho parte de uma metodologia integrante entre uma pesquisa bibliográfica e uma pesquisa de campo. A pesquisa adotou abordagem qualitativa e quantitativa com caraterísticas de estudo descritivo e caráter exploratório buscando correlaçoes e explicaçoes para a problemática da alta retençao na disciplina de Química Geral.

A primeira etapa consistiu na revisao bibliográfica e busca de teorias para fundamentaçao do estudo incluindo o levantamento de dados a partir do sistema acadêmico com intuito de embasar o estudo de campo. Buscou-se descobrir a existência de relaçoes entre a retençao em Química Geral e as variáveis baseadas no Modelo Conceitual de Desgaste de Estudante nao tradicionais de Bean e Metzner10 associadas aos seguintes critérios: 1) desempenho acadêmico; 2) variáveis acadêmicas; 3) experiência e objetivos educacionais e 4) variáveis ambientais. Novos itens foram incluídos tendo em vista o interesse de enriquecer as associaçoes, como a afinidade com a disciplina e a perspectiva de intervençao relacionada ao discente, ao docente e à instituiçao.

Os dados utilizados na pesquisa de campo foram obtidos por meio de questionários aplicados aos acadêmicos, caracterizando o trabalho como um estudo de caso. A amostragem participante foi composta por estudantes do Instituto de Saúde e Biotecnologia da Universidade Federal do Amazonas (ISB-UFAM), no município de Coari, Amazonas, Brasil. O critério adotado para seleçao dos alunos foi a retençao na disciplina de Química Geral teórica. Para tanto, foram convidados a participar os discentes de uma turma extra do curso de Ciências: Biologia e Química formada por 38 indivíduos que após assinarem o termo de consentimento livre e esclarecido receberam o questionário contendo 27 perguntas abertas e fechadas.

A terceira etapa do percurso metodológico constituiu-se da coleta de dados da instituiçao (dados secundários) relativos à situaçao acadêmica dos alunos relacionados ao percentual de aprovaçao e retençao, além da natureza deste último. A retençao foi calculada baseando-se na resoluçao vigente, considerando em retençao os estudantes que reprovaram por falta, trancamento ou nota inferior à média 5,0 e considerou o período de 2007 à 2017.

Os dados obtidos foram tabulados e analisados quantitativamente de modo a apresentá-los sob a forma de percentual e de número absoluto. A análise de dados deu-se por meio da proporçao entre o número de indivíduos que forneceram cada resposta e o total de pessoas que responderam à pergunta. Além disso, também se pôde aplicar, sobre o material coletado, uma análise qualitativa das dificuldades. Os dados obtidos foram submetidos à análise estatística calculando a média, moda e mediana utilizando o programa de estatística R 2.14.0® para Windows.

 

RESULTADOS

O foco desse estudo foi a identificaçao de fatores associados ao fenômeno da permanência prolongada dos discentes na disciplina de Química Geral no curso de Ciências: Biologia e Química oferecidos nos 10 anos de existência do Instituto de Saúde e Biotecnologia fazendo correlaçoes entre as variáveis e aprofundando a compreensao do problema com proposta de soluçoes. Os resultados podem ser compreendidos como formados pelas seguintes etapas: a) caracterizaçao de perfis dos discentes retidos; b) elaboraçao das causas da retençao; c) identificaçao e apresentaçao de estratégias de açoes voltadas à reduçao do tempo prolongado na disciplina.

Caracterizaçao dos sujeitos

Os discentes que participaram da pesquisa eram 61% do gênero feminino e 39% do masculino. A amostragem era de acadêmicos de períodos diferentes, sendo o maior percentual localizado entre os discentes do quarto período, seguido de 16% do segundo, 13% do sexto e os demais percentuais divididos entre o oitavo (8%) e décimo (8%) (Figura 1A). Em relaçao à idade, 3% corresponderam à faixa etária de até 18 anos, seguidos de 53% com idade entre 19 a 21 anos, 32% de 22 a 24 anos e 12% com idade acima de 25 anos. Segundo o censo 2016, a idade média com a qual os estudantes ingressam na faculdade é de aproximadamente 21 anos, o que corrobora com os dados encontrados nessa pesquisa.11

 


Figura 1. Dados sobre as retençoes em Química geral. A) caracterizaçao dos períodos dos acadêmicos; B) Quantidade de retençoes por aluno

 

Dados sobre a retençao

Ao ser analisado a quantidade de reprovaçoes em Química Geral, verificou-se uma correlaçao com a periodizaçao, em que quanto maior o período, mais reprovaçoes eram verificadas na amostra entrevistada. Um maior percentual foi detectado em alunos que estavam repetindo a disciplina pela terceira vez (Figura 1B).

Entre as disciplinas Química Geral teórica e Química Geral experimental, verificou-se uma discrepância entre os valores de aprovaçao. Enquanto no universo analisado apenas 3 pessoas afirmaram que ficaram retidos na disciplina experimental, 89% dos discentes já ficaram retidos pelo mais de uma vez na disciplina teórica e 26% reprovaram mais de 2 vezes. Esses dados podem ser subsidiados pelos dados obtidos sobre índices de reprovaçao/aprovaçao nessas disciplinas nos anos anteriores, conforme a Figura 2.

 


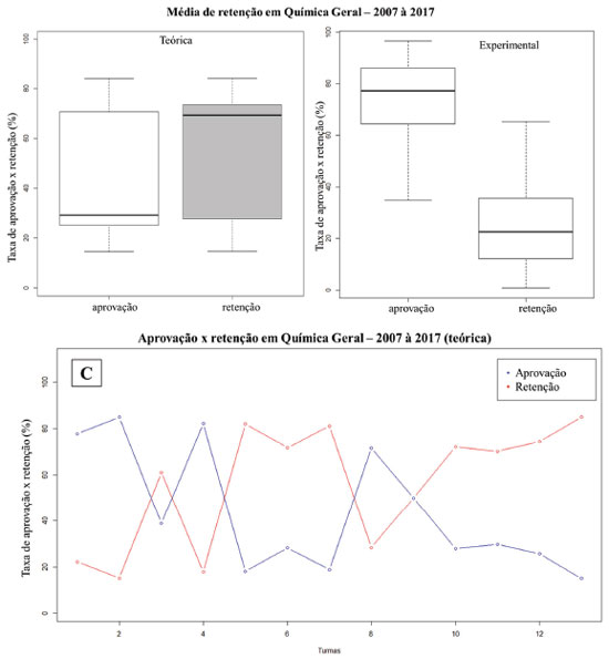
Figura 2. Percentual de aprovaçao e retençao em Química Geral. A) Percentual médio da disciplina Química Geral Teórica; B) Experimental e C) índice de aprovaçao e retençao no período de 2007 à 2017 de Química Geral teórica

 

O modelo gráfico de caixa ou boxplot é uma ferramenta estatística utilizada para avaliar a distribuiçao empírica dos dados identificando nesse trabalho a relaçao entre a média das retençoes priorizando a faixa comum e excluindo as variáveis independentes. Por meio dessa ferramenta pôde-se revelar os percentuais médios significativos no processo (Figura 2A e 2B). Verificou-se que nos 10 anos de existência do campus, a média de retençao Química Geral experimental foi de 26,46% e mediana de 22,64%. Em Química Geral teórica a média foi de 56,25% e mediana de 70,18%.

Na Figura 2B é possível visualizar o quanto o índice de retençao foi superior ao de aprovaçao nas turmas em que essa disciplina foi ofertada. Em apenas 31% das ofertas o índice de aprovaçao foi superior ao de retençao e, analisando as quatro últimas ofertas, observa-se um aumento gradativo desse índice.

Segundo a Lei de Diretrizes e Bases (LDB 9394), os tipos de retençao podem ser divididos em 3 grupos: reprovaçao por nota, reprovaçao por falta e trancamento. Os dados institucionais a respeito do índice de aprovaçao e retençao em Química Geral no período de 2007 a 2017 podem ser visualizados na Figura 3. Ao se observarem as informaçoes contidas na tabela, evidencia-se que o problema está associado ao baixo rendimento dos alunos nas atividades avaliativas da disciplina em comparaçao com a frequência dos alunos, visto que o índice de retençao por nota é predominante ao de reprovaçao por frequência.

 


Figura 3. Aproveitamento da disciplina de Química Geral

 

O risco de retençao de alunos com uma reprovaçao é 2,3 vezes o daqueles que nao reprovaram. Para indivíduos com duas a cinco reprovaçoes o risco é de 4,8 vezes, enquanto que para aqueles com mais de seis o risco é de 41,7 vezes.2

No que se refere à média de retençao no ISB-UFAM, os índices que norteiam sao altos, e acabam alertando para um problema que pode culminar em um problema institucional. Essa disciplina é pré-requisito para as outras químicas (orgânica, inorgânica, analítica e físico-química). Com esse número alarmante de reprovaçoes, a evasao poderá ser uma realidade próxima por meio do jubilamento dos discentes que nao conseguirem em tempo hábil finalizar o curso. Atualmente o curso de Ciências: Biologia e Química é de 10 períodos semestrais, ou seja, cinco anos. Se houver mais que quatro retençoes, há uma alta probabilidade de completar o tempo de jubilamento, levando em consideraçao que a disciplina é comumente ofertada uma vez ao ano.

Os dados institucionais refletem os resultados obtidos pelo questionário na turma de Química Geral, a partir do qual se verificou que 79% dos discentes reprovaram por nota, seguido de 18% de reprovaçao por falta e 3% por trancamento que envolviam motivos diversos que nao foram objeto deste trabalho. Esses dados foram sustentados quando na questao posterior 85% dos discentes afirmaram que frequentaram a disciplina até o final do período e apenas 15% afirmaram que nao tiveram frequência até o final do período. Um ponto que merece ser analisado vem do fato de os discentes, ao terem reprovaçao por falta e por nota, segundo o sistema, serem computados como reprovaçao por falta. Dessa forma, o índice de reprovaçoes por nota pode conter um percentual maior do que é verificado pelos índices encontrados. Esses podem ser visualizados por meio da Tabela 1.

 

 

Ao serem questionados sobre as consequências da retençao na disciplina de Química Geral, os discentes foram quase unânimes nas respostas dissertativas, ao citarem o atraso no curso devido as disciplinas consideradas pré-requisito, levando-se em consideraçao que no ISB-UFAM a disciplina de Química Geral é ofertada apenas uma vez ao ano e uma reprovaçao na disciplina tem como consequência a permanência do discente durante um ano a mais. Para minimizar essa situaçao, vem sendo realizadas turmas extras nos períodos em que essa disciplina é oferecida, o que explica o fato de haver mais de uma turma durante o mesmo período na Tabela 1, tendo em vista que, por ser dos períodos iniciais, os calouros acabam preenchendo a maior parte das vagas ofertadas, com cerca de 5 vagas remanescentes para os discentes que nao estao periodizados.

Ciribelli e Ferreira12 afirmam que a retençao nas disciplinas iniciais tem dificultado a evoluçao dos acadêmicos dentro do curso, sendo possível, assim, levantar a hipótese de que o fato de o estudante nao apresentar esse desenvolvimento contribua para os casos de evasao, tendo em vista que ambos ocorrem no ambiente universitário e envolvem os mesmos tipos de autores (estudantes, professores, familiares e outros pontos em comum). Segundo dados do censo de 2016, a evasao nos cursos de Química chega a 80% em algumas regioes do Brasil e Química Geral Teórica está inserida entre as três disciplinas em que houve maior percentual de reprovaçao entre os discentes jubilados, acompanhados de Introduçao a ciência da computaçao e álgebra linear, sendo a reprovaçao por nota com cerca de 10% e reprovaçao por nota com 18%.9

Verificou-se que 50% dos discentes já pensaram em algum momento em desistir ou trancar o curso por conta da retençao e 58% dos entrevistados afirmaram que conhecem alguém que desistiu ou fez reopçao por outro curso devido à retençao na disciplina ou pelas consequências dessa retençao. Ao avaliarem o histórico, apenas cerca de um quarto do percentual (25%) dos discentes afirmaram que nao reprovaram em outras disciplinas, dos quais 36% foram em uma única disciplina, 32% em duas, 21% em três e 11% em 4 ou mais. Leva-se em consideraçao que nao foi avaliado quantas vezes uma mesma disciplina foi realizada, e sim as diversidades das disciplinas.

Dificuldades

Após avaliar o desempenho acadêmico, seguiu-se as análises do Modelo Conceitual de Desgaste de Estudante nao tradicionais avaliando variáveis acadêmicas, de experiência e objetivos educacionais e variáveis ambientais com a análise socioeconômica dos participantes. Assim como no modelo original da metodologia de Bean e Metzner,10 pode-se fazer possíveis relaçoes entre a quantidade de retençao, as variáveis explicativas e a perspectiva dos acadêmicos. Os principais resultados podem ser visualizados na Tabela 2.

 

 

Afinidade com a disciplina

Na turma analisada verificou-se que como o curso é de ciências, há disciplinas da área de biologia e de química. Alguns discentes afirmaram que já haviam completado as disciplinas da área de biologia e alguns até defendido o trabalho final de curso, no entanto, nao haviam prosseguido no viés químico devido à retençao em Química Geral.

Na avaliaçao, 79% dos discentes afirmaram que se pudessem separar a habilitaçao do curso, optariam por selecionar apenas uma área de concentraçao. Esse percentual é complementado pela questao seguinte, em que ao serem questionados sobre quais das duas áreas eles se identificaram mais, a maior parte dos estudantes analisados (63%) afirmaram que se identificam mais com Biologia, seguido de 19% que se identificavam com Química e 18% com ambas. Além do que, afirmam que a retençao em Química Geral teórica diminui a preferência pela área de concentraçao em química, seja total ou parcialmente.

A fim de apresentar, em linhas gerais, os critérios e motivos para a escolha do curso, considerou-se a Figura 4 como forma de nortear a análise dessa pesquisa.

 


Figura 4. Critérios para seleçao do curso universitário

 

Os dados encontrados sao condizentes com as questoes anteriores no que diz respeito a preferência das disciplinas do eixo em biologia. Outro ponto relevante dar-se-á pelo fato do maior percentual dos discentes terem selecionado esse curso pela nota acessível no processo de seleçao. Os estudantes revelam que encontram nas licenciaturas uma forma de ingresso com baixa concorrência no ensino superior.

Atualmente a entrada dos discentes nas universidades federais é principalmente através do Exame Nacional do Ensino Médio (ENEM). Nesse processo, os estudantes fazem uma prova de conhecimentos gerais e somente após a computaçao das notas é realizada a seleçao do curso. Esse é um assunto abordado por muitos trabalhos científicos em que em alguns casos os discentes optam pelo curso em que possuem pontuaçao para entrar e nao necessariamente nos que tem afinidade ou que sonharam cursar.

Verificou-se que apenas 10% dos discentes afirmaram que selecionaram o curso pela "vocaçao docente". As discussoes que permeiam esse tema sao retratadas de maneira diversa e nos mais variados contextos, sendo uma temática importante que visa auxiliar na compreensao da complexidade que envolve a escolha docente como profissao.

A vocaçao profissional é a tendência ou habilidade natural construída pelo indivíduo para exercer uma profissao. No entanto, as pesquisas no campo de educaçao têm demonstrado que a atuaçao nao se restringe apenas na vocaçao e nem ao domínio de um conjunto de técnicas aprendidas no curso de formaçao, sendo um emaranhado complexo de variáveis.13-15 Dessa forma, o indivíduo que nao consegue reconhecer-se pertencente a esse grupo, tende a distanciar-se, ocasionando frequentemente conflitos ao reconhecerem que o curso que optam nao corresponde às expectativas profissionais almejadas.2,4

Metodologia de estudo

Um outro ponto que merece ser analisado é relacionado à metodologia de estudo dos discentes. O ingresso a um curso universitário, seja por meio de um vestibular ou do ENEM, nao garante que os mesmos apresentem maturidade para estudar. Autores descrevem que há um grande impacto na forma como os discentes encaravam a metodologia de estudo no Ensino Médio, em que conseguiam na véspera abranger todo o conteúdo da prova, para a situaçao na universidade, em que há uma maior quantidade de assuntos e que precisa ser estudado com antecedência.

A educaçao no Ensino Básico (Fundamental e Médio) difere-se consideravelmente da realidade de um ensino superior, variando desde a didática até a formataçao dos trabalhos exigidos nos mesmos. Ao ingressarem num curso superior, frequentemente o aluno revela um despreparo para o planejamento dos estudos das disciplinas e se depara com diversos campos de atuaçao que o levará a amadurecer para a sua nova realidade.16 Como a disciplina Química Geral é ofertada comumente nos períodos iniciais, percebe-se uma falta de amadurecimento universitário oriundo dos discentes por nao saberem a metodologia de como estudar. Nesse sentido, estudos internacionais confirmam os dados encontrados neste trabalho ao relatarem que muitos alunos se chocam ao ingressarem na universidade devido às abordagens pedagógicas serem distintas das do Ensino Médio, por vezes inadequadas ao perfil desse aluno, e à integraçao de novas informaçoes e conhecimentos.6

A questao 8 (Tabela 1) constata dados preocupantes sobre os acadêmicos em relaçao a quantidade de horas semanais que eles se dedicam para estudar. Verificou-se que mais que 76% dos discentes afirmam que utilizam menos que 35 minutos diários para essa finalidade e somente 5% afirmam que estudam mais que 7 horas semanais, o que equivale a cerca de 1 hora diária. 19% estudam entre 5 e 6 horas e o maior percentual (46%) dos estudantes afirmam que disponibilizam 3-4 horas para rever os conteúdos e realizar exercícios, seguidos de 30% que reconhecem que estudam somente de 1 ou 2 horas semanais

Segundo alguns autores, essa disciplina confronta os alunos com muito conteúdo e pouco tempo para assimilar o que é ministrado.17,18 E o tempo descrito pelos discentes nessa pesquisa torna-se insuficiente para que ocorra um maior aproveitamento da disciplina. Faz-se necessário um tempo maior para que ocorra o amadurecimento do estudante e entao ele comece a encarar os problemas de frente. Para Pastoriza et al.,3 muitos alunos só assistem aula e vao estudar na semana de prova e somente depois da avaliaçao descobrem que nao estudaram o suficiente.

Os dados encontrados nesse trabalho sao condizentes com o artigo de Jesus et al.,4 no qual os autores descrevem que a maioria dos discentes dedicam apenas 2 h semanais aos seus estudos individuais fora da sala de aula. Nesse artigo os autores alertam para o fato de a distribuiçao dessas horas semanais ainda estarem divididas entre as disciplinas do período, em que com um número médio de cinco disciplinas, 2 h semanais passa a ser um tempo extremamente pequeno para a capacidade do aprendizado, explicando assim as notas baixas obtidas na disciplina.

No que se refere ao material didático que os alunos costumam estudar, os índices norteiam que 38% baseiam-se em vídeo aulas ou sites da internet, seguidos de 31% que estudam pelo livro indicado pelo docente como referência bibliográfica ou livros complementares, 22% utilizam as anotaçoes das aulas e apenas 9% buscam artigos científicos.

Perfil socioeconômico

Analisando o perfil socioeconômico dos discentes, examinou-se que 84% nao trabalham. Ao serem questionados sobre a moradia, 68% moram com os pais, 11% com o cônjuge e 8% moram sozinhos. Os demais percentuais dividem-se entre outros familiares ou amigos. Cerca de 35% dos discentes recebem alguma bolsa ou auxílio promovido pela Universidade, sendo 79% originada de auxílio acadêmico, 14% de auxílio moradia e 7% de bolsa trabalho.

Segundo uma das descriçoes, "ter que me sustentar, pagar aluguel e estudar é difícil. Estudar e saber que no fim do mês tem conta para pagar tira a concentraçao e o foco", afirma um dos discentes (31 anos).

Os resultados encontrados nessa pesquisa sao condizentes com os descritos para as Universidades Federais do Rio de Janeiro, Minas Gerais e Brasília, em que a influência socioeconômica interfere diretamente na dedicaçao da disciplina fora da sala de aula, afetando o seu desenvolvimento acadêmico e comprometendo a aprendizagem significativa.4,18-20

Além disso, uma das interferências relacionadas às reprovaçoes que incide diretamente na questao socioeconômica é relacionada ao coeficiente de rendimento acumulado. As reprovaçoes diminuem a possibilidade do recebimento de "assistência estudantil", o que segundo algumas pesquisas relatam que influencia diretamente no processo de permanência prolongada do curso.21,22 Segundo Mazzetto et al.21 e Cabrera et al.,22 o estudante que recebe apoio financeiro tem maiores condiçoes de integraçao social e acadêmica.

Detecçao da dificuldade

Química Geral é uma disciplina de importância fundamental e abrange um amplo conjunto de saberes, dando embasamento para explicaçao de como acontece os mecanismos e reaçoes nas diversas áreas do conhecimento. Quando os alunos conseguem integrar os conceitos aprendidos com outras disciplinas como cálculo, física, biologia, genética, entre outras, há uma completa discussao dos conceitos, além da aplicaçao na vida contemporânea e nos setores em que é desenvolvida. No entanto, quando esse campo de visao nao é vislumbrado, torna-se uma barreira para aprendizagem.

Para avaliar a perspectiva e o grau das dificuldades, os discentes pontuaram numa escala de 1 a 5, em que 1 é nenhuma dificuldade e 5 é dificuldade alta, como os mesmos avaliavam a dificuldade na disciplina de Química Geral teórica, sendo: 1 – nenhuma; 2 – pouca; 3 – média; 4 – alta; 5 – altíssima (Figura 5).

 


Figura 5. Tipos de dificuldades relatadas pelos discentes em Química Geral

 

Na análise dos estudantes, as maiores dificuldades estao relacionadas aos cálculos matemáticos e na base em química. Ao avaliarem os conteúdos que haviam maior dificuldade, verificou-se que a Estequiometria e o balanceamento, tópicos que envolvem cálculos matemáticos, apresentaram 69% da seleçao dos discentes, seguidos de reaçoes químicas (13%), ligaçoes químicas (8%), estrutura atômica (2%) e outros (8%).

Avaliando-se de forma geral os motivos que contribuem para o alto índice de retençao, o grupo sustentou especificidades que apontam caraterísticas culturais referentes a educaçao básica. Na autoanálise, 84% consideram o Ensino Médio como fraco ou regular, 13% bom, 3% muito bom e nenhum considerou ótimo. Complementando, na questao posterior, cerca de 32% dos indivíduos afirmaram que a maior dificuldade está relacionada a conteúdos importantes que nao sao vistos no Ensino Médio, seguidos de 24% que reconhecem a dificuldade pessoal nos conteúdos de química, 16% relacionam ao pouco tempo dedicados a estudar, 20% relacionam a falta de tempo devido ao trabalho e 8% atribuem a comunicaçao ou didática do docente.

No universo analisado, todos os estudantes cursaram o Ensino Médio em escolas públicas, sendo 3% no Instituto Federal e 97% em escolas estaduais. Além disso, esse curso abrange a inserçao de estudantes do médio Solimoes, com 89% sendo do próprio município, Coari, mas com representantes nas cidades vizinhas Manaus (3%), Alvaraes (5%), Amaturá (3%).

Na perspectiva de Gadotti23 o desempenho do sistema escolar nao tem dado conta da universalizaçao da educaçao básica de qualidade e essa falta é descrita em outros trabalhos científicos.4,20,24

Entre os fatores que podem explicar a grande dificuldade que os alunos encontram citam-se os três principais: a) heterogeneidade das turmas, ou seja, alunos com pouco entendimento dos conceitos que foram estudados no Ensino Médio, até alunos que possuem um bom e consistente domínio do assunto; b) quantidade de disciplinas de carga horária e c) dificuldade com o método de estudo continuado na universidade.3

As dificuldades detectadas podem ser correlacionadas com a falta de professores qualificados para dar aulas, comprometendo o desenvolvimento educacional dos estudantes e enfraquecendo a educaçao de base.24 Segundo o INEP, o desempenho insatisfatório de grande parte dos participantes, tanto provenientes de escolas públicas quanto de escolas privadas, remete a esse problema do déficit de qualidade do ensino no país. Verifica-se que, segundo os dados do MEC em 2010,25 somente 13% dos professores de química em exercício possuem formaçao na área. Esses dados formam problemas cíclicos pois os professores que ministram as aulas possuem dificuldade nas metodologias de ensino, repassando para os alunos, que acabam muitas vezes nao gostando da disciplina e nao apresentando base para a universidade.26,27

Dessa forma, o acúmulo de pequenas variáveis pode ocasionar graves problemas. Assim, os resultados desta pesquisa, como o pouco tempo para estudar, a quantidade de disciplinas e os fatores socioeconômicos, podem associar-se e comprometer a qualidade da aprendizagem, destacando os indícios da problemática envolvida.

Intervençao

As pesquisas sao comumente voltadas para a evasao, no entanto, para que um estudante se desligue completamente de uma instituiçao de nível superior há um acúmulo de pequenos motivos que norteiam a decisao final. As reprovaçoes recorrentes nas mesmas disciplinas sao uma das principais causas da evasao nas licenciaturas, fazendo com que os discentes se desestimulem com o curso e nao consigam atingir a meta de serem profissionais graduados na área.

Dessa forma, detectar açoes que viabilizem uma erradicaçao ou minimizaçao desse quadro torna-se uma contribuiçao imensurável para o setor educacional e de alto interesse para as comunidades científicas. Nessa perspectiva pôde-se avaliar a opiniao discente sobre intervençoes acerca dessa problemática, na qual os acadêmicos apontaram os pontos que poderiam ser avaliados para haver uma melhoria no aproveitamento da disciplina e, consequentemente, menor índice de reprovaçao relacionado tanto aos discentes quanto aos docentes.

Em relaçao ao discente, eles reconhecem que precisam dedicar-se mais à disciplina, disponibilizando mais tempo para estudar e uma busca maior de materiais didáticos complementares. E em relaçao aos docentes e à instituiçao, houve solicitaçoes de aulas de nivelamento e maior comunicaçao entre os docentes e os discentes. Outro ponto relevante foi a aplicaçao de aulas contextualizadas e atividades lúdicas e experimentais a fim de aplicar os conteúdos teóricos.

A preocupaçao com a dificuldade dos discentes na disciplina de Química vêm fazendo com que pesquisas sejam desenvolvidas a fim de apresentar as causas e consequências desse déficit. Machado et al.19 e Campelo e Lins17 destacam que a retençao deve ser contabilizada como item de despesa para o estado no Ensino Superior, tanto no setor público quanto no privado, tendo em vista que sao recursos investidos sem o devido retorno e que apresentam ociosidade de professores, funcionários, equipamentos e espaço físico.

Cabe destacar que os dados aprofundados como os encontrados nesse trabalho acerca da retençao na disciplina de Química geral no ensino superior brasileiro sao pouco explorados, o que acarreta numa diminuta compreensao do problema. Os principais trabalhos evocam açoes que podem auxiliar no processo de aprendizado, como o uso de artigos científicos nas aulas, tecnologia de informática e comunicaçao, uso de softwares, atividades lúdicas e experimentais, entre outras.3 Essas informaçoes sao de grande relevância para o aprimoramento das aulas, no entanto, esse assunto apresenta uma complexidade maior do que a abordada.

Os parâmetros metodológicos de Bean e Metzner10 também foram propostos por Pereira et al.2 ao avaliarem os fatores envolvidos no processo de permanência prolongada dos discentes na Universidade Federal do Espírito Santo, nos quais foram detectados 21 fatores intervenientes, destacando-se o desempenho acadêmico e o número de reprovaçoes como as variáveis mais significativas. Outros fatores apontados na pesquisa desses autores foram o ambiente institucional, contexto familiar e condiçoes financeiras dos acadêmicos.

A retençao em Química Geral é um problema notório e difícil de ser tratado, pois suas causas sao de modo algum fáceis de detectar e isso é devido ao fato de que cada regiao, cada instituiçao de Ensino e cada estudante tem suas particularidades.28-30 No entanto, verificou-se por meio dessa pesquisa que há problemas fundamentais comuns nos cursos em que essa disciplina é ofertada e que dificultam a minimizaçao destas taxas de retençao.

No trabalho de Francisco et al.29 os autores defendem a ampliaçao do tempo para discussoes conceituais durante as aulas a fim de identificar as deficiências de conhecimento, organizaçao e correlaçao de conceitos químicos. Para esses autores, é necessário que o docente tenha o controle do nível da turma para que as intervençoes possam ocorrer de forma significativa.

Uma intervençao que vem sendo reportada com resultado satisfatório é o uso de curso de nivelamento, ou seja, curso de revisao ou preparatório para a disciplina de Química Geral antes do período letivo. Essa estratégia apresentou um declínio significativo das taxas de reprovaçao dos calouros na Universidade de Benedictine em Chicago, aumentando cerca de 50% as aprovaçoes.6

Identificar as deficiências e dificuldades dos discentes é uma possibilidade de mudar o quadro atual de reprovaçoes e, consequentemente, de evasao universitária. Em acréscimo, tem-se o aperfeiçoamento de processos de ensino e aprendizagem por meio de ferramentas que aproximem os discentes na aplicaçao e assimilaçao dos conteúdos. Dessa forma, a premissa da qualidade do ensino deve começar desde os primeiros períodos até o final da universidade, tendo os professores o papel de motivar os discentes a seguirem sua vocaçao em meio a todas as dificuldades que os acompanharao no caminho dessa longa jornada que é a formaçao no nível superior.

 

CONCLUSAO

A retençao na disciplina de Química Geral é um problema comum nos cursos universitários e os resultados detectados neste artigo buscam contribuir para o alcance da erradicaçao ou minimizaçao nas instituiçoes de educaçao superior brasileiras, sejam elas públicas ou privadas.

Esta pesquisa apresenta, além dos fatores associados à retençao, as consequências institucionais e a influência da situaçao financeira dos discentes para o desempenho acadêmico. Com base nos resultados obtidos, sugere-se que a retençao resulta fundamentalmente nas seguintes variáveis: pouca afinidade com a disciplina, dificuldade socioeconômica, metodologia de estudo inadequada e deficiência no ensino de base, principalmente relacionada às disciplinas de ciências e matemática.

As soluçoes vislumbradas sao cursos de nivelamento, estímulo dos acadêmicos e acompanhamento do desempenho parcial e contínuo, a fim de minimizar o efeito de retençao. Sugere-se a continuaçao das pesquisas nessa área envolvendo a perspectiva docente sobre esses índices, acompanhamento dos professores que ministram a disciplina e a correlaçao de dados entre os cursos que oferecem Química Geral.

Espera-se, com os resultados dessa pesquisa, contribuir com os estudos existentes sobre a evasao e retençao nos cursos de nível superior, criando subsídios que favoreçam estudos mais aprofundados sobre o tema e melhorando, assim, o nível de educaçao e desenvolvimento do país.

 

REFERENCIAS

1. http://portal.inep.gov.br/artigo/-/asset_publisher/B4AQV9zFY7Bv/content/mec-e-inep-divulgam-dados-do-censo-da-educacaosuperior-2016/21206, acessada em janeiro de 2019.

2. Pereira, A. S; Carneiro, T. C. J; Brasil, G. H; Corassa, M. A. C.; Ensaio: aval. pol. públ. educ. 2015, 23, 1015.

3. Pastoriza, B. S; Rosa, A. F. M; Araújo, M. B. C.; Amaral, S. T; Salgado, T. D. M.; Del Pino, J. C.; Renote 2007, 1.

4. Jesus, J. A; Silva, M. S; Santana, G. P.; Scientia Amazonia 2013, 2, 28.

5. Cracolice, M. S.; Busby, B. D.; J. Chem. Educ. 2015, 92, 179.

6. Stone, K. L.; Fendrick, S. E.; Educ. Sci. 2018, 8, 5.

7. Castro, K. S. S.; Teixeira, M. A. P.; Psicologia Argumento 2014, 32, 9.

8. Andrade, J. M.; Meira, G. R. J. M.; Vasconcelos, Z. B.; Psicol., Ciênc. Prof. 2002, 22, DOI: 10.1590/S1414-98932002000300008.

9. http://download.inep.gov.br/educacao_superior/censo_superior/documentos/2016/notas_sobre_o_censo_da_educacao_superior_2016.pdf, acessada em janeiro de 2019.

10. Bean, J. P.; Metzner, B. S. A.; Review of Educational Research 1985, 55, 485.

11. Sander, B.; Gestao da educaçao na América Latina: construçao e reconstruçao do conhecimento, 1º ed., Autores Associados: Campinas, 1995.

12. Ciribelli, B. C. N.; Dissertaçao de mestrado, Universidade Federal de Juiz de Fora, Brasil, 2015.

13. Pimenta, S. G.; Saberes pedagógicos e atividade docente, Cortez: Sao Paulo, 1999

14. Guimaraes, V. S.; Formaçao de professores: saberes, identidade e profissao, Papirus: Campinas, 2010.

15. Rêses, E. S. De vocaçao para profissao: Sindicalismo docente da educaçao básica no Brasil, 1a ed., Paralelo: Brasília, 2015

16. Yamaguchi, K. K. L; Furtado, M. A. S.; Rev. Educ. Online 2018, 28, 108.

17. Campello, A. V. C.; Lins, L. N.; Anais eletrônicos do Encontro Nacional de Engenharia de Producao, Rio de Janeiro, 2008. Disponível em http://www.abepro.org.br/biblioteca/enegep2008_TN_STO_078_545_11614. pdf, acessado em janeiro de 2019.

18. Cunha, A. M; Tunes. E.; Silva, R. R.; Quim. Nova 2001, 24, 262.

19. Machado, S. P.; Melo Filho, J. M.; Pinto, A. C.; Quim. Nova 2005, 28, S41.

20. Braga, M. M.; Miranda-Pinto, C. O. B.; Cardeal, Z. L.; Quim. Nova 1997, 20, 438.

21. Mazzetto, S. E.; Bravo, C. C.; Carneiro, S.; Quim. Nova 2002, 25, 1204.

22. Cabrera, A.; Castañeda, M.; Nora, A.; Hengstler, D.; International Journal of Higher Education 1992, 63, 143.

23. Gadotti, M.; Sao Paulo em Perspectiva 2000, 14, 1.

24. Passoni, L. C.; Vega, M. R.; Giacomini, R.; Barreto, A. M. P.; Soares, J. dos S. C.; Crespo, L. C.; Quim. Nova Esc. 2012, 34, 201.

25. http://portal.mec.gov.br/component/tags/tag/32044-censo-da-educacaosuperior, acessada em janeiro de 2019.

26. Saviani, D.; Rev. Bras. Ed. 2009, 14, 40.

27. Francisco Jr., W. E. F. A.; Quim. Nova Esc. 2009, 31, 113.

28. Vanny, A. F. A.; Matos, W. H.; Almeida, M. D. B.; Montenegro, M. S. B.; Tecnia 2017, 2, 65.

29. Francisco, J. S.; Nicoll, G.; Trautmann, M.; J. Chem. Educ. 1998, 75, 210.

30. Santos Junior, J. S.; Real, G. C. M.; Avaliaçao 2017, 22, 385.

On-line version ISSN 1678-7064 Printed version ISSN 0100-4042
Qu�mica Nova
Publica��es da Sociedade Brasileira de Qu�mica
Caixa Postal: 26037 05513-970 S�o Paulo - SP
Tel/Fax: +55.11.3032.2299/+55.11.3814.3602
Free access

GN1