JBCS



12:27, sáb out 25

Acesso Aberto/TP



Artigo


Sensor potenciométrico basado en nanopartículas de sulfuro de plata soportadas en materiales carbonosos para la detección de cianuro libre
Potentiometric sensor based on silver sulfide nanoparticles supported in carbonaceous material for the detection of free cyanide

Andy Alfredo Cárdenas-RiojasI; Ademar WongII,III; Maria Del Pilar T. SotomayorII,III; Adolfo La Rosa-ToroI; Angélica María Baena-MoncadaI,*

I. Laboratorio de Investigación de Electroquímica Aplicada, Facultad de Ciencias de la Universidad Nacional de Ingeniería, Av. Túpac Amarú 210, Rímac, Lima, Perú
II. Instituto de Química, Universidade Estadual Paulista, 14801-970 Araraquara – SP, Brasil
III. Instituto Nacional de Tecnologias Alternativas para Detecção, Avaliação Toxicológica e Remoção de Micropoluentes e Radioativos, Araraquara – SP, Brasil

Recebido em 07/09/2018
Aceito em 20/12/2018
Publicado na web em 20/02/2019

Endereço para correspondência

*e-mail: baenaangelica@gmail.com

RESUMO

Two sensors were synthesized for the detection of free cyanide (CN-), based on silver sulfide nanoparticles (Np-Ag2S) supported on Multiwall Carbon Nanotubes (MWCNT) and hierarchical porous carbon (HPC). The Ag2S/HPC400 and Ag2S/MWCNT were characterized by physicochemical techniques such as Raman spectroscopy, X-Ray diffraction (XRD) and Scanning electron microscopy (SEM). These sensors were evaluated against the detection of free cyanide by potentiometry; the stability, reproducibility and linearity of each sensor were determined. A limit of detection of 3.34 μg L-1 and a limit of quantification of 11.05 μg L-1 for Ag2S/HPC400 sensor was obtained; while for the Ag2S/MWCNT sensor a limit of detection and limit of quantification value of 23.17 μg L-1 and 76.46 μg L-1 were obtained, respectively. The results show that the presence of carbonaceous materials with a hierarchical structure improves the limits of quantification and detection of the Ag2S/HPC400 sensor.

Palavras-chave: hierarchical porous carbon; sensors; free cyanide; silver sulfide; multiwall carbon nanotubes.

INTRODUCCIÓN

El CN- es un componente tóxico para la salud humana y los seres vivos. El límite permisible de cianuro en aguas de consumo humano, según los estándares de calidad Ambiental (ECA) en Perú es de 22 μg L-1.1 Existen normas internacionales y nacionales que regulan el contenido de cianuro en el aire, el agua y otros medios. El valor máximo del cianuro en agua potable, establecido por la Agencia de Protección Ambiental (EPA) de los Estados Unidos es de 200 μg L-1,2 mientras que la Unión Europea tiene un límite aún más bajo de 50 μg L-1. La concentración máxima permitida en aguas minerales es 70 μg L-1, similar al límite establecido por la Organización Mundial de la Salud en el agua potable.2

Debido a la toxicidad del cianuro y la necesidad de cuantificar su concentración en cuerpos de aguas, se han desarrollado un gran número de métodos analíticos como: La espectrometría de absorción atómica,3-6 espectrofluorimetría,7-9 espectrofotometría de absorción molecular,10 cromatografía de gases,11 y la electroforesis capilar.12 Sin embargo, estos métodos de análisis necesitan equipos sofisticados aumentando los costos y tiempo de análisis. Los métodos electroquímicos se perfilan como una buena estrategia para la detección de cianuro en bajas concentraciones. Dentro de los métodos electroquímicos se destaca los que emplean electrodos selectivos de iones (EIS).13 Sin embargo, su aplicación se ve limitada debido a que la sensibilidad se ve afectada por los interferentes aniónicos como haluros, sulfuros, y iones metálicos que se acomplejan con el cianuro como: Cd, Ag, Cu, Zn, Ni y Hg, además de su baja sensibilidad, comparada con los sensores amperométricos.14

Algunos electrodos de iones selectivos emplean sulfuro de plata, en este caso el ion plata reacciona con el ion cianuro para formar el complejo [Ag(CN)2]– , liberando iones sulfuro. Su respuesta resulta en una pendiente teórica presentando un valor de 59 mV/dec.13-15 Las ecuaciones 1 y 2 entre el sulfuro de plata y los iones cianuro se muestran a continuación:16

Para lograr las características deseadas en un sensor (bajos límites de detección, selectivos, estables, etc.) se emplean materiales activos nanoparticulados, los cuales deben ser soportados en materiales de carbón con la finalidad de lograr una alta dispersión. El soporte debe tener una buena conductividad eléctrica, un área superficial accesible y a su vez favorecer la difusión de reactivos y productos.17 Yari en 2011 investigó iones Ag (I) soportadas en nanotubos de carbono de pared múltiple, como sensor selectivo de iones para la determinación de cianuro libre en solución acuosa. El sensor presentó un rango lineal muy amplio (0,1 - 21,0 nmol L-1 de cianuro), con un límite de detección de 13,0 nmol L-1, y un tiempo de respuesta menor a 2 min.18 Adicionalmente, se han desarrollado sensores potenciométricos para la detección de cianuro, basados en micropartículas de Ag/Ag2S tipo core-shell formando un compósito con grafito. El electrodo presentó una sensibilidad de 90,1 mV/dec y un límite de detección de 0,021 mg L-1, siendo un buen indicador para detectar cianuro en aguas.19 En este trabajo de investigación se soportaron nanopartículas de sulfuro de plata sobre carbón poroso jerarquizado y nanotubos de carbón de pared múltiple, con la finalidad de evaluar la contribución del material y estructura del soporte frente a la detección de cianuro libre.

 

PARTE EXPERIMENTAL

Síntesis de carbones porosos jerarquizados Para la síntesis de los carbones porosos jerárquicos se utilizó nanopartículas de óxido de silicio (Np-SiO2) de 400 nm como moldes rígidos. Las Np-SiO2 fueron impregnadas con la resina resorcinol/formaldehído (precursora de carbón). Esta resina está constituida por la mezcla de 1 gr de resorcinol, 1.6 mL de formaldehído, y 0.4 mL de carbonato de sodio 0.1 mol L-1 como catalizador, con un tratamiento posterior a 100 ºC que permite la formación de la resina.20 El compósito Resina-SiO2 se carbonizó a 900 ºC en atmósfera inerte durante 24 h. Finalmente el molde de Np-SiO2 fue removido por tratamiento con ácido fluorhídrico al 10% en medio etanol/agua (1:1). Para la formación de las nanopartículas de sulfuro de Plata Np-Ag2S se utilizó el método de coprecipitación. 200 mL de AgNO3 8.0 mmol L-1 fueron mezclados con 250 mg del material carbonoso (HPC400 o MWCNT), a la mezcla se añadió gota a gota 20 mL de sulfuro de amonio 4 mmol L-1, a temperatura ambiente en atmósfera de N2,19 obteniendo nanopartículas de Ag2S (Np-Ag2S) soportadas en los diferentes materiales carbonosos.

Caracterización fisicoquímica

La morfología y el tamaño de las Np-Ag2S sintetizadas se caracterizó empleando Microscopía Electrónica de Barrido. El tamaño de la cristalita de las Np-Ag2S se determinó por difracción de Rayos X, 70º > 2θ > 5º. La caracterización de los materiales carbonosos se realizó mediante Espectroscopía Raman (Horiba Scientific), con un láser de 532 nm, aplicando una potencia de 10%, complementariamente se obtuvo información del enlace Ag-S empleando espectroscopía IR en un barrido de 400 – 3000 cm-1.

Preparación del electrodo de carbón vítreo modificado

2 mg de Ag2S/HPC400 y Ag2S/MWCNT por separado, fueron dispersados en 500 µL de agua ultrapura y 15 µL de Nafión (5 wt.% Aldrich), se llevó a ultrasonido durante aproximadamente 30 minutos, hasta obtener una dispersión homogénea. Una alícuota de 10 µL de la tinta preparada fue depositada sobre la superficie del carbón vítreo. El electrodo preparado fue secado bajo atmósfera de nitrógeno para su posterior caracterización.

Caracterización electroquímica

Las medidas electroquímicas fueron realizadas utilizando un Potenciostato-Galvanostato Autolab (µAutolab type III, Autolab/Eco Chemie), en una celda electroquímica de tres electrodos. Se utilizó como electrodo auxiliar un alambre de platino; como electrodo de referencia se utilizó el electrodo de Ag(s)/AgCl(s)/Cl- (KCl 3 mol L-1) y como electrodo de trabajo el electrodo de carbón vítreo de 3 mm de diámetro modificado con cada uno de los materiales preparados en el paso anterior. Las medidas voltamperométricas se realizaron utilizando como electrolito soporte KOH 0.1 mol L-1, entre – 0.2 y 0.6 V a una velocidad de barrido de 20 mV s-1.

Las medidas de potencial se realizaron en una celda de dos electrodos, utilizando un potenciómetro SCHOTT GERATE pH-Meter CG818. Se utilizó como electrolito soporte 0.1 mol L-1 de KOH, se adicionaron alícuotas de una solución concentrada de KCN para obtener un rango de concentraciones entre 1×10-8 -1×10-2 mol L-1 [CN-].

La evaluación de la selectividad del sensor para la detección de cianuro se realizó por potenciometría, utilizando como interferentes iones cloruro, carbonatos, y sulfuros, en un rango de concentración 0.01 - 10 µg L-1.

 

RESULTADOS Y DISCUSIÓN

Síntesis y caracterización de los sensores Ag2S/HPC400 yAg2S/ MWCNT

El HPC400 fue sintetizado utilizando moldes rígidos de esferas de óxido de sílicio de 400 nm de diámetro. Su caracterización morfológica por SEM puede observarse en la Figura 1. El carbón obtenido presenta macroporos de aproximadamente 200 nm de diámetro como se observa en la imagen ampliada (Figura 1 B), definido por el empleo del molde rígido durante la síntesis. Se puede observar adicionalmente poros de 50 nm de diámetro, originados durante la eliminación del molde de silicio, estos poros se forman en los puntos de unión entre esfera y esfera. Adicionalmente, se observa la presencia de mesoporosidad en las paredes del carbón.

 


Figura 1. Imágenes SEM (A) HPC400, (B) HPC400 con aumento, (C) Ag2S/HPC400, (D) Ag2S/HPC400 con aumento

 

El HPC400 y los MWCNT fueron dispersados en una solución precursora de Ag+ (AgNO3); luego a estas dispersiones se añadió gota a gota sulfuro de amonio como agente reductor para formar los compósitos Ag2S/HPC400 y Ag2S/MWCNT respectivamente. La ecuación 3 presenta la reacción entre el nitrato de plata y el sulfuro de amonio para obtener Ag2S.

En la Figura 1 C y D (imagen SEM con mayor magnificación) se puede apreciar el material Ag2S/HPC400, durante la formación de las nanopartículas en el HPC400 ocurren fracturas y se forman nanohilos de Ag2S.

Los resultados de la síntesis de las nanopartículas de sulfuro de plata sobre los nanotubos de carbón se puede apreciar en la Figura 2 A y B. Las nanopartículas conservan una morfología y tamaño similar a la que se obtiene con las Np-Ag2S sin soportar (Figura 2 C y D).

 


Figura 2. Imágenes SEM (A) Ag2S/MWCNT, (B) Ag2S/MWCNT con aumento, (C) Np-Ag2S, (D) Np-Ag2S con aumento

 

La Figura 3 muestra el difractograma de las Np-Ag2S, Ag2S/HPC400 y Ag2S/MWCNT sintetizadas por el método coprecipitación, los picos formados coincidieron con las características de los cristales de Ag2S indicando una estructura monoclínica.21,22

 


Figura 3. Difractograma para las Np-Ag2S y los sensores Ag2S/HPC400 y Ag2S/MWCNT

 

La Figura 4A muestra los espectros Raman de los sensores Ag2S/MWCNT, Ag2S/HPC400 y las Np-Ag2S sin soportar. Estos espectros presentan bandas intensas en 1300 y 1600 cm-1, correspondiente a las bandas D y G, además presenta dos bandas adicionales menos intensas a 2650 cm-1, denominada G' y a 2900 cm-1 siendo estas características de los materiales carbonosos empleados en el soporte.23 La vibración del enlace Ag-S no se puede apreciar debido a que su señal es solapada con la banda G en 1300 cm-1 correspondiente al carbón. Para complementar el análisis, se analizó las muestras empleando espectroscopía IR. La Figura 4B muestra el espectro IR para los materiales obtenidos, se observa una banda débil en el rango 500 – 600 cm-1 del Ag-S.24

 


Figura 4. (A) Espectro RAMAN de los sensores sintetizados, utilizando un láser de 532 nm y una potencia de 10 %. (B) Espectro FT-IR para las Np-Ag2S y los sensores Ag2S/HPC-400 y Ag2S/MWCNT

 

En las voltamperometrías cíclicas para los sensores Ag2S/HPC400 y Ag2S/MWCNT usando como electrolito soporte KOH 0.1 mol L-1 mostradas en las Figuras 1S. A y B, se observan un pico de oxidación de Ag0 a Ag(I) a 0.31 V y un pico de reducción a 0.05 V, la corriente asociada al pico de reducción25, en el sensor Ag2S/MWCNT, es mucho mayor que en el sensor Ag2S/HPC400 pudiendo estar relacionado a la mayor área superficial del material conformado con MWCNT accesible por difusión iónica.

Estudio de estabilidad

Se realizó la prueba de estabilidad de los sensores Ag2S/HPC400 y Ag2S/MWCNT, para el cual se determinó el tiempo necesario para establecer el equilibrio de reacción entre las Np-Ag2S con el ion cianuro, medido a diferentes concentraciones de cianuro libre (1×10-8 - 1×10-2 mol L-1)[CN-]. La Figura 5 A presenta los resultados obtenidos con el sensor Ag2S/HPC400 el cualestablece el potencial de equilibrio en menos de 1 minuto, el valor de potencial es constante y aumenta con el incremento de concentración del ion cianuro restableciendo el equilibrio en menos de 3 minutos, mientras que el sensor Ag2S/MWCNT (Figura 5 B) alcanza el potencial de equilibrio aproximadamente a los 5 minutos, todas las medidas se realizaron por triplicado. El mayor tiempo empleado para alcanzar el potencial de equilibrio parece estar relacionado al mayor tiempo empleado en la difusión del ion cianuro al interior del electrodo conformado con MWCNT, en el caso del sensor Ag2S/HPC400, el menor tiempo para establecer el potencial de equilibrio puede atribuirse a una dispersión más homogénea de las Np-Ag2S sobre la superficie porosa del HPC y al rápido acceso al interior de los poros del HPC confiriéndole una mejor estabilidad.

 


Figura 5. Pruebas de estabilidad de los sensores (A) Ag2S/HPC400, (B) Ag2S/MWCNT

 

Prueba de reproducibilidad y linealidad de los sensores Ag2S/ HPC400 y Ag2S/MWCNT

La prueba de reproducibilidad se realizó por triplicado con el objetivo de obtener un promedio de las pendientes de los sensores Ag2S/HPC400 y Ag2S/MWCNT. En la Figura 6 se observa la curva de calibración obtenida del promedio de las tres pruebas realizadas. En la Tabla 1 se puede observar que el sensor Ag2S/HPC400 presenta valores de pendiente similares para cada una de las pruebas realizadas, con un valor promedio de pendiente de -43.82 mV/dec; el mismo comportamiento se observó para el sensor Ag2S/MWCNT, sin embargo, su valor de pendiente es menor (-17.002 mV/dec) al valor obtenido con el sensor Ag2S/HPC400. Adicionalmente, el sensor Ag2S/HPC400 presenta un valor de pendiente similar al electrodo ISE comercial.

 

 

Según los resultados obtenidos el sensor Ag2S/HPC400 presenta linealidad en el rango de concentraciones de 1×10-7 - 1×10-3 mol L-1 [CN-], se obtuvo una ecuación de la recta: E (mV) = 385.24 – 43.82 log [CN-], con un r2 = 0.991. En el caso del sensor Ag2S/MWCNT se obtuvo una ecuación E (mV) = 250.34 – 17.002 log [CN-] en el rango lineal entre 1×10-7 - 1×10-5 mol L-1 [CN-], con un r2 = 0.9711.

Se calculó el límite de detección (LD) y el límite de cuantificación (LC) del sensor Ag2S/HPC400, en un rango de concentraciones de 1×10-7 - 1×10-3 mol L-1 [CN-], mediante el método recomendado por la IUPAC.26 Además, se realizaron cálculos estadísticos con el cual se obtuvo la validez del modelo de la regresión lineal del sensor, estos resultados se indican en la Tabla 2. Se obtuvo un límite de detección para el sensor Ag2S/HPC400 de 3.3±0.2 µg L-1 y un límite de cuantificación de 11.0±0.5 µg L-1; mientras que para el sensor Ag2S/MWCNT se obtuvo un valor de LD y LC de 9.2±1.9 µg L-1 y 30.4±3.0 µg L-1, comparativamente más altos que los obtenidos con el sensor Ag2S/HPC400. Se concluye que el sensor Ag2S/HPC400 presenta una mayor sensibilidad que el sensor Ag2S/MWCNT.

 

 

 


Figura 6. Curvas de calibración para la detección de cianuro libre en un rango de concentraciones de 1×10-7 - 1×10-3 mol L-1 para (A) Ag2S/HPC400 y 1×10-5 -1×10-7 mol L-1 para (B) Ag2S/MWCNT. En KOH 0.1 mol L-1

 

Prueba de selectividad

La evaluación de la selectividad se realizó empleando los siguientes iones interferentes: Cl–, CO32– y S2–, se realizó el método de relación de interferente, se calculó : para obtener el grado selectividad a partir de la ecuación 4 de Nikolsky-Eisenman.

donde : es el coeficiente de selectividad potenciométrico del ion B con respecto al ion principal A; aA: es la actividad para el ionA; aB: es la actividad para el ion B; ZA: es el número de carga, es un entero con signo y magnitud correspondiente al ion principal A; ZB: es el número de carga correspondientes a la carga de ion interferente, B. El signo de este número de carga es el mismo que el del ion principal.

Si > 1, el ISE es selectivo al interferente más que al ion primario (CN-).

Si < 1, el ISE responde selectivamente al ion primario, (CN-), más que el ion interferente.

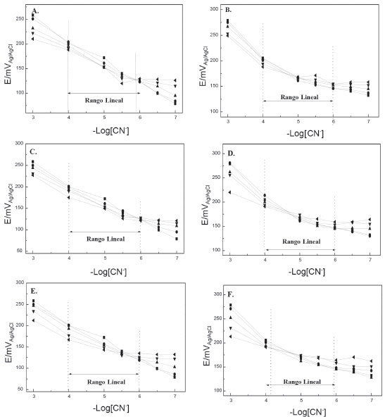
Las pruebas de selectividad para ambos sensores desarrollados se realizaron en un rango de concentración de 0.01 – 10 ppm del ion interferente (Cl, CO32– y S2–). En la Figura 7 se puede observar la disminución de la sensibilidad de ambos sensores, Ag2S/HPC400 y Ag2S/MWCNT, y la disminución de su rango lineal de 1×10-7 -1×10-3 mol L-1 [CN-] a 1×10-6 - 1×10-4 mol L-1 [CN-] en relación al incremento de la concentración de los diferentes interferentes; en la Tabla 3 se indican los resultados obtenidos para cada sensor.

 


Figura 7. Pruebas de selectividad por potenciometría para los sensores desarrollados en presencia de diferentes concentraciones de interferentes: 0 ppm, 0.01 ppm, 0.1 ppm, 1 ppm, 10 ppm. Interferente Cl-: (A) Ag2S/HPC400; (B) Ag2S/MW

 

 

 

En la Tabla 3 se presenta los valores de los coeficientes de selectividad. El sensor Ag2S/HPC400 presenta coeficientes de selectividad menores que uno para los tres interferentes en un rango de concentración de 0.01 - 10 ppm. Para el caso del sensor Ag2S/MWCNT se encontró que solo es selectivo a bajas concentraciones de los tres interferentes (0.01 ppm).

En la Tabla 4 se compara al electrodo Ag2S/HPC400 con otros sensores para la detección de cianuro libre, los límites de detección y de cuantificación obtenidos son mas bajos19,27,28 que los obtenidos en este trabajo; sin embargo, están dentro de los límites establecidos por los estándares de calidad ambiental en Perú de 22 µg L-1.1

 

 

CONCLUSIONES

Se desarrollaron dos sensores potenciométricos basados en nanopartículas de Ag2S soportadas en carbones porosos jerarquizados y nanotubos de carbón de pared múltiple. Los materiales obtenidos Ag2S/HPC400 y Ag2S/MWCNT fueron evaluados en la detección de cianuro libre. Se obtuvo un límite de detección para el sensor Ag2S/HPC400 de 3.34 µg L-1 y un límite de cuantificación de

11.05 µg L-1; mientras que para el sensor Ag2S/MWCNT se obtuvo un valor de LD y LC de 23.17 µg L-1 y 76.46 µg L-1, respectivamente. El sensor Ag2S/HPC400 es más sensible y selectivo que el Ag2S/MWCNT. Estas diferencias se pueden deber a las características del soporte, el carbón poroso jerarquizado permite una mejor difusión del electrólito y mejor acceso a los sitios activos. La evaluación con los diferentes iones interferentes en el sensor Ag2S/HPC400 indican que la sensibilidad al ion cianuro se ve afectada en el siguiente orden: Cl > S2– > CO32–.

El sensor Ag2S/HPC400 presenta potenciales aplicaciones para ser empleado como sensor electroquímico para la detección de cianuro libre en muestras de agua.

 

MATERIAL SUPLEMENTARIO

Algunas imágenes de los sistemas utilizados en este trabajo están disponibles en http://quimicanova.sbq.org.br, en forma de archivo PDF, acceso gratis.

 

AGRADECIMENTOS

Los autores agradecen el soporte económico brindado por Cienciactiva-CONCYTEC bajo el convenio FONDECYT 210-2015.

 

REFERENCIAS

1. Decreto Supremo Nº 002-2008-MINAM, Ministerio del Ambiente, Perú, 2008.

2. Wallschlager, D.; Final Report: Low-Level Speciation of Cyanide in Waters, Research Project Database, Grantee Research Project, ORD, US EPA, 2001.

3. Ma, J.; Dasgupta, P. K.; Anal. Chim. Acta 2010, 673, 117.

4. Noroozifar, M.; Khorasani-Motlagh, M.; Hosseini, S. N.; Anal. Chim. Acta 2005, 528, 269.

5. Noroozifar, M.; Khorasani-Motlagh, M.; Hosseini, S. N.; Chem. Anal. 2006, 51, 285.

6. Noroozifar, M.; Khorasani-Motlagh, M.; Zare-Dorabei, R.; Talanta 2007, 72, 1773.

7. Noroozifar, M.; Khorasani-Motlagh, M.; Taheri, A.; Zare-Dorabei, R.; Anal. Sci. 2008, 24, 669.

8. Recalde-Ruiz, D. L.; Andrés-García, E.; Díaz-García, M. E.; Analyst 2008, 125, 2100.

9. Worlinsky, J. L.; Halepas, S.; Brückner, C.; Org. Biomol. Chem. 2014, 12, 3991.

10. Gürkan, R.; Yılmaz, Ö. J.; Iran. Chem. Soc. 2013, 10, 631.

11. Paul, B. D.; Smith, M. L.; J. Anal. Toxicol. 2006, 30, 511.

12. Zhang, Q.; Maddukuri, N.; Gong, M.; J. Chromatogr. A 2015, 1414, 158.

13. Han, W. S.; Lee, H. J.; Lee, J. S.; Lee, Y. H.; Hong, T. K.; J. Anal. Chem. 2014, 69, 187.

14. Randviir, E. P.; Banks, C. E.; TrAC, Trends Anal. Chem. 2015, 64, 75.

15. Jovanović, V. M.; Sak-Bosnar, M.; Jovanovć, M. S.; Anal. Chim. Acta. 1987, 196, 221

16. Xie, F.; Dreisinger, D. B.; Hydrometallurgy 2007, 88, 98.

17. Antolini, E.; Appl. Catal., B 2009, 88, 1.

18. Yari, A.; Sepahvand, R.; Microchim. Acta 2011, 174, 321.

19. Olazo-Quispe, R.; La Rosa-Toro Gómez, A.; Revista de la Sociedad Química del Perú 2014, 80, 51.

20. Baena-Moncada, A. M.; Planes, G. A.; Moreno, M. S.; Barbero, C. A.; J. Power Sources. 2013, 221, 42.

21. Martínez-Castañón, G. A.; Mater. Lett. 2005, 59, 529.

22. Du, Y.; J. Am. Chem. Soc. 2010, 132, 1470.

23. Dresselhaus, M. S.; Jorio, A.; Hofmann, M.; Dresselhaus, G.; Saito, R.; Nano Letters 2010, 10, 751.

24. Kim, Y.-Y; Walsh, D.; Nanoscale. 2010, 2, 240.

25. Guo, J.; Hsu, A.; Chu, D.; Chen, R.; J. Phys. Chem.C. 2010, 114, 4324

26. Buck, R. P.; Lindner, E.; Pure Appl. Chem. 2009, 66, 2527.

27. Shamsipur, M.; Karimi, Z.; Amouzadeh-Tabrizi, M.; Microchem. J. 2017, 133, 485.

28. Taheri, A.; Noroozifar, M.; Khorasani-Motlagh, M.; J. Electroanal. Chem. 2009, 628, 48.

On-line version ISSN 1678-7064 Printed version ISSN 0100-4042
Qu�mica Nova
Publica��es da Sociedade Brasileira de Qu�mica
Caixa Postal: 26037 05513-970 S�o Paulo - SP
Tel/Fax: +55.11.3032.2299/+55.11.3814.3602
Free access

GN1