JBCS



12:30, sáb out 25

Acesso Aberto/TP



Artigo


Disponibilidade de nutrientes e carbono orgânico em solos contendo carvão hidrotérmico lavado e não lavado e comparação com solos antropogênicos
Nutrient and organic carbon release in soils containing washed and not washed hydrochar compared to anthropogenic soils

Ariane Maziero SantanaI; Márcia Cristina BisinotiI; Camila Almeida MeloI; Odair Pastor FerreiraII; Altair Benedito MoreiraI,*

I. Departamento de Química e Ciências Ambientais, Instituto de Biociências, Letras e Ciências Exatas, Universidade Estadual Paulista "Júlio de Mesquita Filho" 15054-000, São José do Rio Preto - SP, Brasil
II. Departamento de Física, Universidade Federal do Ceará, 60455-900 Fortaleza - CE, Brasil

Recebido em 14/09/2018
Aceito em 08/01/2019
Publicado na web em 20/02/2019

Endereço para correspondência

*e-mail: altair.moreira@unesp.br

RESUMO

Hydrochar washed (1.0, 2.5, 5.0 and 10.0 %) and not washed (10.0%) produced by hydrothermal carbonization using vinasse and sugarcane bagasse was applied in sand, ultisol and oxisol columns, and the release of NO3-, Orthophosphate, SO42-, Total Organic Carbon (TOC), H+ were evaluated for 30 days. These results were compared with the release of these parameters from experiments conducted with anthropogenic soils. The results demonstrated that higher amounts of nutrients were released for the experiments conducted with hydrochar not washed. With higher rates of hydrochar washed, higher the amount of nutrients released. TOC and SO42- were released throughout the experiment, which is beneficial from the agricultural point of view. Low values of orthophosphate and nitrate release in the leachates were observed for ultisol and oxisol due to the clay and iron and manganese oxides contents. Principal components analysis confirmed the observations and demonstrated that SO42- and TOC preferentially influence the oxisol, being that nitrate and pH influenced the columns containing Terra Mulata and sand. The results allow to conclude that it is possible to adjust the application rate of hydrochar in soils with lower fertility in order to increase it as observed for anthropogenic soils.

Palavras-chave: hydrochar; soil columns; Terra Preta de Indio and Terra Mulata; sugarcane by-products; hydrothermal carbonization.

INTRODUÇAO

A agroindústria brasileira é uma das grandes geradoras de biomassa. A indústria sucroenergética do Brasil ocupa mundialmente o 1º lugar na produçao de açúcar e 2° lugar em produçao de etanol a partir da cana-de-açúcar e, concomitantemente, gera quantidades elevadas de subprodutos tais como, bagaço de cana-de-açúcar (~ 177,2 milhoes de toneladas) e de vinhaça (~ 420 bilhoes de litros). Estes valores foram estimados apenas para a safra 2017/2018.1,2 Várias alternativas vêm sendo propostas para um destino mais sustentável do bagaço de cana-de-açúcar,3 com destaque para o uso como combustível, na cogeraçao de energia elétrica e na produçao de etanol de segunda geraçao.4-6 Mais recentemente, o bagaço e palha de cana-de-açúcar também têm sido uma alternativa para a produçao de polpa celulósica. 7 Em relaçao à vinhaça, o seu principal uso é a aplicaçao nos solos por meio da fertirrigaçao como fonte de nutrientes e matéria orgânica, o que tem contribuído para a reduçao do uso de fertilizantes. 8-10 Entretanto, devido ao grande volume de vinhaça gerado pelas indústrias, essa prática pode ser inviabilizada devido ao elevado custo de transporte, além de apresentar potencial de salinizaçao do solo e desenvolvimento da mosca da espécie Stomoxys calcitrans, também conhecida como "mosca-dos-estábulos", a qual tem provocado perdas no setor agropecuário.10,11 Diante dessas limitaçoes, alguns trabalhos na literatura sugerem a pirólise e a carbonizaçao hidrotérmica (CHT) dessas biomassas como uma alternativa promissora para minimizar os problemas relatados transformando-as em um material com elevado teor de carbono, podendo agregar valor econômico aos produtos gerados.12-17 No processo de pirólise,18 a biomassa necessariamente deve estar seca e a reaçao ocorre sob temperatura que variam entre 350 a 800 ºC na ausência parcial ou total de oxigênio, em que o consumo de energia é normalmente elevado, sendo o produto sólido gerado denominado de carvao pirogênico ou biochar.

No processo de CHT, a biomassa úmida e/ou seca é aquecida em meio aquoso, em reator fechado, com temperaturas entre 180 e 300 °C, na qual a biomassa é submetida às pressoes que sao autogeradas (2-6 MPa) decorrentes do vapor da saturaçao de água (água subcrítica)18-20 produzido durante o aquecimento. Ainda nessa etapa do processo, a transformaçao da biomassa ocorre por diversas reaçoes químicas, formando um produto sólido rico em carbono e nutrientes a depender do tipo de biomassa utilizada. Ao material carbonáceo formado a partir da CHT, dá-se o nome de carvao hidrotérmico (do inglês: hydrochar) e o sobrenadante é denominado de água de processo, o qual também é rico em matéria orgânica e nutrientes.21-23

A CHT de bagaço de cana-de-açúcar e vinhaça tem se apresentado como uma alternativa viável à produçao de carvao hidrotérmico (CH), apresentando elevada capacidade de retençao de água e, devido a suas características físico-químicas, apresenta potencial para uso agrícola.16,17 Melo et al.16 mostraram como o tempo de reaçao, porcentagem de aditivo e temperatura afetam o CH gerado no processo de carbonizaçao de vinhaça e bagaço de cana-de-açúcar empregando ácido fosfórico como aditivo, sendo que o aumento da temperatura e quantidade de aditivo resulta na maior incorporaçao de P no CH. Os autores também sugeriram a formaçao da fase estruvita K (MgKPO4.6H2O), a qual é conhecida por ser um fertilizante de baixa taxa de liberaçao, o que reforçou a hipótese de que o material tenha características promissoras como condicionador do solo. Silva et al.17 mostraram que o uso de ácidos (H2SO4, H3PO4, H3BO3), bases (NaOH, KOH) e sais (FeCl2, (NH4)2 SO4) no processo de carbonizaçao de bagaço de cana-de-açúcar com vinhaça possibilita incorporar outros nutrientes no CH, tais como Fe, B, N e S e, além daqueles já estavam presentes na biomassa de partida.

Muitos estudos têm sido conduzidos visando avaliar a adiçao de carvoes ao solo como alternativa para melhorar a fertilidade,a retençao de água,24-26 para aumentar o estoque de carbono e disponibilizar mais nutrientes para os solos.27-29 A inspiraçao de aplicar carvoes ao solo surgiu com o advento dos solos denominados "Terra Preta de Indio" (TPI) e Terras Mulatas (TM) encontrados na Amazônia, os quais sao solos antropogênicos conhecidos pela elevada fertilidade associada à presença de P, Ca, Mg, Zn, Mn e ao alto teor de C estável (de origem pirogênica).30 Essa característica contribui com a estabilizaçao da matéria orgânica no solo (MOS), proporciona aumento da atividade microbiana e o sequestro de carbono.31-33 Além disso, contribui para o aumento da capacidade de troca catiônica (CTC) dos solos.29,34 As Terras Mulatas e Terras Pretas apresentam características físico-químicas semelhantes, contudo, diferenciam-se basicamente na quantidade de artefatos presentes. Nas Terras Mulatas os artefatos sao quase inexistentes. Apesar de todas estas vantagens de adicionar biochar ao solo, a obtençao deste material requer consumo de energia tanto para a secagem da biomassa quanto para a pirólise, sendo também uma preocupaçao a possibilidade de formaçao de hidrocarbonetos policíclicos aromáticos (HPA), que sao compostos orgânicos persistentes.35,36 A formaçao de HPA no biochar é dependente da biomassa, da temperatura de processamento, da natureza química da atmosfera usada em sua produçao (se oxidante, inerte ou redutora).35,37,38

Estudos de liberaçao de nutrientes em colunas sao fundamentais para avaliar as características do material quanto sua possível influência na fertilidade, se adicionados aos solos. Pesquisas dessa natureza com o biochar têm sido conduzidos,12,13,26,28 porém o emprego de CH em solos sao ainda escassos na literatura.39 Estudo conduzido por Kanthle et al.40 avaliou o efeito da liberaçao de nitrato em um solo da India (Inceptisol) com diferentes concentraçoes de carbono orgânico (1,18; 0,97 e 0,79%) para o controle e com três taxas de aplicaçao de biochar de talo de milho (10, 20 e 40 t biochar/ha de solo). Os autores observaram reduçao na liberaçao de nitrato em funçao do aumento de CO no solo e também para a maior taxa de aplicaçao de biochar. Outro estudo conduzido com a adiçao de 1% de três tipos de biochar de madeira (Quercus lobata, Pinus taeda e Tripsacum floridanum) foi aplicado em estudos de coluna contendo areia e dois tipos de solos da Flórida, Estados Unidos (Neossolo e Ultissolo argiloso) sendo observado o efeito de sorçao de carbono orgânico, N e P em funçao do tipo de carvao e do tipo de solo.29 Pratiwi et al.41 investigaram a liberaçao de nutrientes frente a aplicaçao de biochar de casca de arroz em taxa de 4% em Loamy solo (Japao) e observaram uma reduçao na liberaçao de nitrato (23%), amônio (11%) e fosfatos (72%) quando comparado com a coluna controle. Estes resultados sugerem que a aplicaçao de biochar pode melhorar as propriedades do solo. O único trabalho com CH de subprodutos da indústria sucroenergética disponível39 avaliou a liberaçao de nutrientes e carbono orgânico com a aplicaçao de carvao hidrotérmico lavado produzido com ácido fosfórico como aditivo, na proporçao de 1% e 4% (m/m) em argissolo e latossolo. Os resultados foram bastante promissores e indicaram que o argissolo e latossolo imobilizam N e P liberados do carvao hidrotérmico, sendo que o carbono orgânico foi liberado lentamente. Estes resultados sugerem que o CH produzido apresenta um grande potencial para aumentar a fertilidade do solo.

Os objetivos do presente trabalho foram (a) avaliar a liberaçao de nitrato, ortofosfato (P), sulfato e carbono orgânico total (TOC) com a aplicaçao de carvao hidrotérmico lavado (CHL) nas taxas (0; 1,0; 2,5; 5,0 e 10,0%) e de carvao hidrotérmico nao lavado (CHSL) (10%) em dois tipos de solos brasileiros e (b) comparar o quanto às características dos solos podem ser melhoradas com a aplicaçao do carvao hidrotérmico em comparaçao com os solos antropogênicos (Terra Mulata e Terra Preta de Indio) que sao reconhecidos pela elevada fertilidade.

 

PARTE EXPERIMENTAL

Amostras de solo e biomassas

As amostras de solos foram coletadas nas camadas superficiais de 0-20 cm, secas ao ar a temperatura ambiente, homogeneizadas e peneiradas (<2 mm).42 Para os experimentos de liberaçao em coluna, foram utilizados 4 tipos de solos (1) argissolo (20º48'19.0"S e 49º19'40,2"W), (2) latossolo (20º48'19.79"S e 49º19'43.51"W)30,39 solos antropogênicos da Amazônia: (3) Terra Mulata (TM) (3º04'05.17"S e 58º34'11.68"O)30 e (4) Terra Preta de Indio (TPI) (04º04'51.9''S e 058º24'50.7''O) e (5) um controle de areia quartzosa. Os solos antropogênicos foram coletados e tiveram liberaçao do Instituto Brasileiro do Meio Ambiente e dos recursos Ambientais Renováveis (Autorizaçao de Coleta SISBIO nº 50042-2) e cadastro no Sistema Nacional de Gestao do Patrimônio Genético e do Conhecimento Tradicional Associado (SISGen) número A0018C2.

O bagaço de cana-de-açúcar e a vinhaça foram fornecidos por uma usina sucroenergética da regiao noroeste do estado de Sao Paulo. A vinhaça foi armazenada em garrafas de polietileno tereftalato de 2 L sob refrigeraçao a 10 ºC e homogeneizaçao por agitaçao antes do uso. O bagaço de cana-de-açúcar foi previamente seco em temperatura ambiente, triturado, homogeneizado e peneirado (< 0,5 mm).

Carvao Hidrotérmico

O carvao hidrotérmico foi produzido empregando carbonizaçao hidrotérmica de vinhaça e bagaço de cana-de-açúcar utilizando ácido fosfórico como aditivo (4%). Maiores detalhes sobre o procedimento de carbonizaçao podem ser consultados em Melo et al.16 e Fregolente et al.43 Foram utilizados dois tipos de carvao hidrotérmico (CH): i) um que foi lavado (CHL) com água destilada até pH constante (pH aproximadamente 3,6); ii) e o outro que nao foi submetido a etapa de lavagem (CHSL), ou seja, após o isolamento por filtraçao foi seco a 80 ºC e aplicado nas colunas. Parâmetros físico-químicos do CH produzido sao apresentados na Tabela 1.

 

 

Experimento de liberaçao de nutrientes e carbono em colunas de solo

Os experimentos de liberaçao de nutrientes e carbono em colunas de solo foram conduzidos em triplicata em colunas cilíndricas de acrílico (40 cm de altura x 3,4 cm de diâmetro interno). Na extremidade inferior da coluna foi colocado papel de filtro comum e fechado com tampa de PVC (perfurada). As colunas foram preenchidas e compactadas com os solos (densidade de 1,47; 1,40; 1,35; 1,31 e 1,63 g cm-3 para areia, argissolo, latossolo, terra mulata (TM) e terra preta de índio (TPI), respectivamente) até 20 cm de altura. As colunas foram afixadas em um suporte de madeira, sendo acoplado um funil com mangueira de policloreto de vinila (PVC) para recolher as amostras de lixiviado. No topo de cada coluna foram adicionadas 0,0; 1,0; 2,5; 5,0 e 10,0% (m/m) de CHL e 10% (m/m) de CHSL que corresponde a uma taxa de aplicaçao de 0, 20, 50, 100 e 200 t/ha em colunas de areia, argissolo e latossolo (Figura 1). Para os solos TM e TPI nao foram adicionados CH, pois a hipótese é que o CH quando aplicado em solos poderia melhorar a liberaçao de nutrientes e carbono assemelhando-o aos observados em solos antropogênicos. Em cada coluna foi percolada água destilada em quantidade que representa a pluviosidade mensal acumulada. Foram percolados diariamente em cada coluna 115 mL de água destilada totalizando 3,5 L ao final de 30 dias. Após a dosagem de água destilada nas colunas de solo por um período de 24 h (1 evento), o lixiviado de cada coluna foi coletado diariamente e armazenado em um frasco âmbar. As amostras coletadas (1º, 2º, 4º, 6º, 8º, 10º, 15º, 20º, 25º, 30º dia) foram mantidas sob refrigeraçao a ± 5,0 ºC e analisadas dentro de até 48 h. Nas amostras dos lixiviados foram determinados pH, nitrato, ortofosfato (P), sulfato e Carbono Orgânico Total (TOC).

 


Figura 1. Esquema experimental das colunas de solo (areia, argissolo, latossolo,) com diferentes taxas de aplicaçao de 1,0%; 2,5%; 5,0% e 10,0% de Carvao Hidrotérmico lavado (CHL) e 10,0% de Carvao Hidrotérmico Nao Lavado (CHSL) e colunas de solo antropogênicos (TPI e TM) sem adiçao de CH

 

Caracterizaçao físico-química dos solos, CH e do lixiviado das colunas

As características físico-químicas das amostras de solo e carvao hidrotérmico foram avaliadas por: i) densidade pelo método do anel volumétrico,45 ii) determinaçoes da concentraçao de sulfato e fósforo assimilável;42 iii) nitrato46 e iv) análise elementar de C, H, N, S feita utilizando um analisador elementar (Fisons, EA 1108, USA). As porcentagens de oxigênio foram obtidas por: O = 100 − (%N + %C + %H+ %S + %Cinzas). Detalhes e informaçoes para os métodos das seguintes análises (teor de umidade, cinza e matéria orgânica, matéria volátil e pH podem ser consultadas nas referências citadas).17,39 Os espectros vibracionais na regiao do infravermelho (do inglês, Fourier Transform Infrared Spectroscopy - FTIR) para as amostras de vinhaça seca, bagaço de cana-de-açúcar, Carvao Hidrotérmico Lavado (CHL) e Carvao Hidrotérmico Nao Lavado (CHSL) foram obtidos na faixa espectral de 4000-400 cm-1, sendo a média de 20 varreduras (Perkin Elmer, Spectrum Two UATR, USA).

As análises granulométricas das amostras de solos foram determinadas pelo método do densímetro.47 Para a vinhaça e lixiviado das colunas de solo, as concentraçoes de sulfato e ortofosfato (P)48 e nitrato46 foram determinadas por métodos espectroscópicos e o Carbono Orgânico Total foi determinado por um analisador de car-bono orgânico total, (TOC-VCSN, Shimadzu).

Análise Estatística: Análise de Componentes Principais (PCA)

Uma análise exploratória dos dados obtidos foi conduzida utilizando Análise de Componentes Principais (PCA). A matriz de dados (X) foi autoescalonada e os escores e os loadings foram calculados empregando o software Octave.

 

RESULTADOS E DISCUSSAO

Propriedades físico-químicas do CH

O carvao hidrotérmico utilizado neste trabalho foi obtido conforme descrito por outros autores.16,17,49 No entanto a caracterizaçao físico-química e os espectros vibracionais na regiao do infravermelho (FTIR) tiveram de ser obtidos novamente a fim de verificar a reprodutibilidade considerando que a biomassa de partida é heterogênea. A Figura 2 apresenta os espectros FTIR para as biomassas (a) vinhaça, (b) bagaço de cana-de-açúcar, (c) Carvao Hidrotérmico Lavado (CHL) e (d) Carvao Hidrotérmico Nao Lavado (CHSL). Para as biomassas, na regiao de 3500 cm-1 a 3000 cm-1, observa-se uma banda larga de intensidade média correspondente aos estiramentos de grupos O-H e N-H. O estiramento O-H pode ser atribuído à presença de funçoes álcool e fenóis e N-H à presença de funçoes aminas e amidas. Para as amostras CHL e CHSL observa-se diminuiçao na intensidade da banda larga entre 3500 a 3000 cm-1 indicando a eliminaçao de grupos hidroxila através da reaçao de desidrataçao que ocorre no processo de CHT.50 Bandas em aproximadamente 2960, 2938, 2926 cm-1, para a vinhaça e bagaço de cana-de-açúcar, e bandas entre 2800 a 3000 cm-1, para CHL e CHSL, correspondem a grupos alifáticos e sao atribuídos aos estiramentos assimétrico (-CH3) e simétrico (-CH2).50,51 A regiao entre 1700 a 1600 cm-1 (1712, 1687, 1601, 1605 cm-1) apresentou bandas que indicam a ocorrência de reaçoes de carboxilaçao e aromatizaçao do carvao hidrotérmico.16

 


Figura 2. Espectros FTIR para as amostras de (a) vinhaça, (b) bagaço de cana-de-açúcar,(c) Carvao Hidrotérmico lavado (CHL) e (d) Carvao Hidrotérmico Nao Lavado (CHSL)

 

Para as amostras de carvao hidrotérmico, a banda na regiao de 1700 cm-1 pode ser atribuída aos modos de estiramento C=O de ácidos carboxílicos, com uma possível contribuiçao de C=O de amidas. A banda na regiao de 1600 cm-1 pode ser atribuída a ligaçoes C=C de anéis aromáticos, o que evidencia a aromatizaçao do carvao hidrotérmico.16 A banda em 1394 cm-1 presente na vinhaça (Figura 2a) pode ser atribuída ao modo de vibraçao NO3-, o que corrobora com os resultados obtidos por Melo et al.16 As banda na regiao de 1460-1000 cm-1 sao características de materiais celulósicos, os quais apresentam vibraçoes relacionadas aos grupamentos hidroxilas, ésteres, éter e vibraçoes de deformaçao O-H.50 Uma banda intensa e larga entre 1200-900 cm-1 pode nos carvoes ser atribuída aos estiramentos da ligaçao C-O-C, de ligaçoes P-O e P-O-H, bem como de Si-O-Si tanto no espectro de FTIR do bagaço de cana-de-açúcar quanto dos carvoes hidrotérmicos. Especificamente, na regiao de 1031 cm-1 para o espectro de bagaço de cana-de-açúcar pode ter contribuiçoes de Si-O-Si. Bandas entre 1112 e 1047 presente no CHL e CHSL, correspondem ao estiramento (P-O e P-O-H) a partir das fases de PO4-2 e HPO4-2 que foram confirmadas por MELO et al.16 por análise de Difraçao de Raios X (DRX) em carvao hidrotérmico obtido com a mesma matéria-prima e mesmas condiçoes de reaçao. Essas bandas também podem ser atribuídas a C-O-C de anéis glicosídicos da celulose e contribuiçoes de Si-O-Si. Para CHSL também foi observada banda em 670 cm-1 que pode ser atribuída ao ânion sulfato, devido à presença da fase cristalina CaSO4, previamente confirmado por análise de DRX.16 Segundo esses autores, a sua presença é decorrente do sulfato presente na vinhaça, que corrobora com concentraçoes significativas de Ca e S encontradas no carvao hidrotérmico.

As características químicas do carvao hidrotérmico (CHL e CHSL), bagaço de cana-de-açúcar, TPI, TM, Latossolo, Argissolo e Areia sao apresentadas na Tabela 1. O carvao hidrotérmico produzido, CHL, apresentou 60% de C, 5,6% de H, 3,0% de N e o CHSL possui de 46% de C, 3,9% de H, 1,9% de N. Para o CHL, os valores foram semelhantes aos obtidos em trabalhos já realizados pelo grupo16,17,39 e por outros autores.52 Dessa forma, observa menor quantidade dos elementos C, H e N na amostra CHSL possivelmente, devido a fraçao inorgânica que foi lixiviada durante o processo de lavagem do carvao.

A razao molar O:C para o CHL e CHSL foi de 0,04 e 0,61, respectivamente, que permite sugerir que este material quando aplicado no solo terá longo tempo de meia-vida, sendo este superior a 100 anos para o CHSL.53 Esta diferença entre o CHL e o CHSL, provavelmente se deve ao processo de lavagem, sendo associada a remoçao de moléculas de baixa massa molecular e solúveis em água advindas da decomposiçao incompleta da biomassa.

Os carvoes produzidos também apresentaram elevados teores de matéria orgânica o que corrobora com estudos anteriores.16,39 A concentraçao de fósforo assimilável, nitrato e sulfato no CHSL sao praticamente sete, sete e cinco vezes maiores do que no CHL, respectivamente (Tabela 1). Deste modo, esses resultados sugerem que o CHSL pode apresentar potencial para uso agrícola superior quando do emprego do CHL.16,39

Destaca-se os baixos valores de pH (Tabela 1) dos carvoes hidrotérmicos (CHL = 3,39 e CHSL = 2,81) que está associado ao processo de carbonizaçao e as condiçoes do meio reacional. A aplicaçao do CHL e CHSL no solo provavelmente requererá correçao de acidez, bem como da microflora presente ou que se desenvolverá na presença de cada tipo de solo e diferentes taxas de cada tipo de CH empregado. Alguns trabalhos relatam que o uso de CH em solos aumenta a retençao de água e a biomassa microbiana, sendo que a degradaçao microbiológica de alguns compostos orgânicos tem sido associada a um aumento do pH, sendo este processo dependente do tempo de contato CH/solo.54,55

Comportamento do pH, carbono orgânico total e nutrientes nos lixiviados das colunas de solo

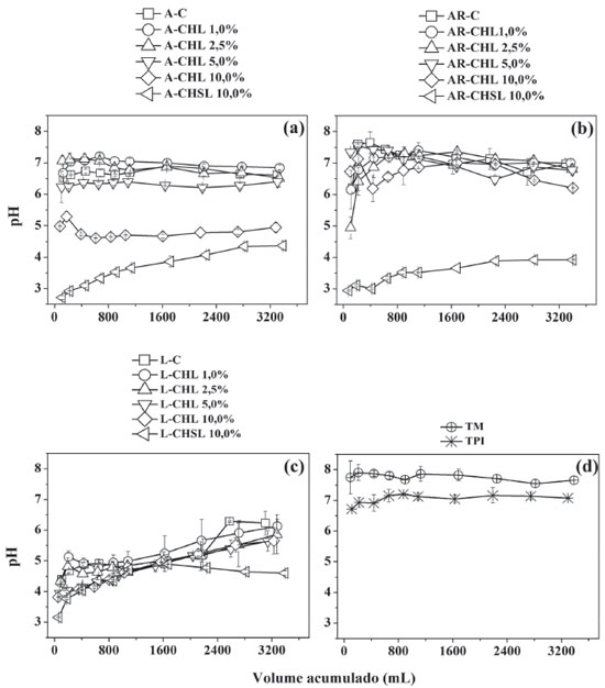
Variaçao do pH nos lixiviados

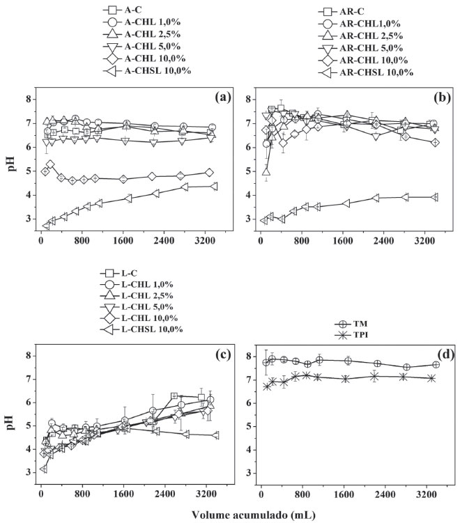
Os valores de pH do lixiviado das colunas de areia, argissolo, latossolo com adiçao de CHL e CHSL e dos solos TM e TPI estao apresentados na Figura 3. Para todas as colunas, a oscilaçao do pH ao longo da passagem de diferentes volumes acumulados de água foi da ordem de 0,5 unidades de pH, com exceçao das colunas de latossolo e aquelas com taxa de aplicaçao de 10,0% de CHSL. A maior variaçao foi observada para a coluna contendo areia (A-CHSL 10,0%), cujo pH variou de 2,72 nos primeiros volumes de lixiviado tendo este valor aumentado para pH 4,37 até último evento (Figura 3a). Concomitantemente o comportamento do pH nas colunas de argissolo (Figura 3b) foram semelhantes aos observados para a coluna de areia (Figura 3a). Para a coluna AR-CHSL 10,0% o pH variou de 2,95 no primeiro evento de lixiviaçao aumentando para pH 3,92 no final do experimento. As colunas de latossolo (Figura 3c) apresentaram pH mais ácido dentre os solos estudados, para a coluna controle L-C com variaçao (4,40 a 6,29) do início até o final do experimento. Já para colunas com adiçao L-CHL 1,0% foi observado variaçao de pH de 4,30 a 6,13, já para as colunas L-CHL 2,5%, L-CHL 5,0%, L-CHL 10,0% e L-CHSL 10,0% foi observado o decréscimo do pH com o aumento da adiçao de CH. Para solos antropogênicos foram observados maiores valores de pH, sendo que a TM apresentou pH básico de 7,75 a 7,89 e para a TPI de 6,72 a 7,08. A aplicaçao de diferentes taxas de CH no solo ocasionou a diminuiçao do pH. Assim, verifica-se a necessidade de empregar corretivos de acidez, o que irá proporcionar o aumento do pH, em condiçoes favoráveis para a disponibilidade de nutrientes, o que é interessante do ponto de vista agronômico. Além disso, como já discutido acima, após a aplicaçao do CH no solo a presença de microorganismos pode contribuir para o aumento do pH.55

 


Figura 3. Valores de pH no lixiviado das colunas de solo: contendo (a) Areia e CHL 1,0%;2,5%,5,0% e 10,0% e CHSL 10% (b) Argissolo e CHL 1,0%;2,5%,5,0% e 10,0% e CHSL 10% e (c) Latossolo e CHL 1,0%;2,5%,5,0% e 10,0% de e CHSL 10% em comparaçao com os experimentos conduzidos com (d) solos TM e TPI sem adiçao de CH

 

Comportamento do carbono orgânico total e nutrientes nos lixiviados das colunas de solo

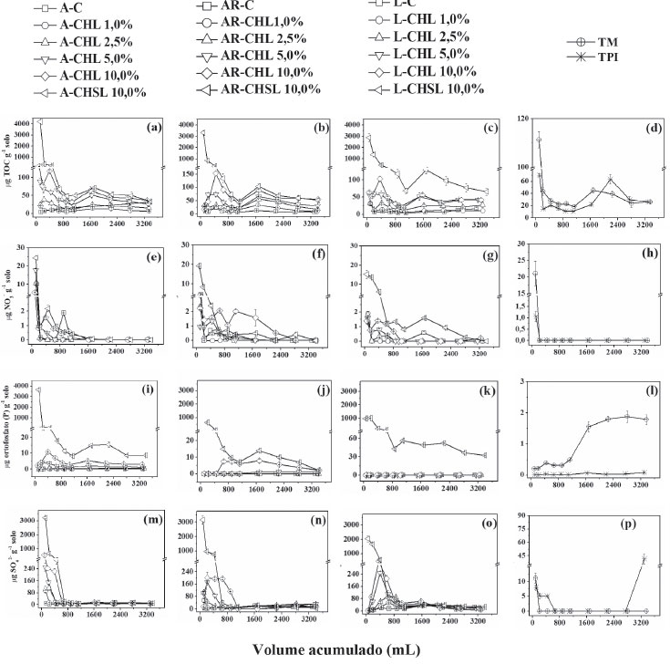
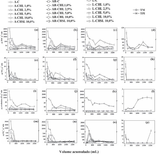
A Figura 4 apresenta as concentraçoes de TOC, NO3-, ortofosfato (P) e SO4-2 liberadas em cada evento de lixiviaçao durante o período de 30 dias para o controle (areia) e os solos argissolo, latossolo, com aplicaçao de CHL nas taxas de 1,0%; 2,5%; 5,0% e 10,0% e aplicaçao de CHSL na taxa de 10,0%, bem como para os experimentos conduzidos com os solos TM e TPI sem adiçao de CH.

 


Figura 4. Concentraçao de nutrientes TOC (a-d), NO3(e-h)-, ortofosfato (P)(i-l), SO42-(m-p) liberados em experimentos de colunas de solo contendo terra mulata(TM) e terra preta de índio(TPI) (sem adiçao de CH, controle) e nas colunas contendo areia(A), argissolo(AR) e Latossolo(L), (sem adiçao de CH, controle) e com adiçao de 1,0; 2,5; 5,0; 10,0% de Carvao Hidrotérmico Lavado (CHL) e 10,0% de Carvao Hidrotérmico Nao Lavado (CHSL)

 

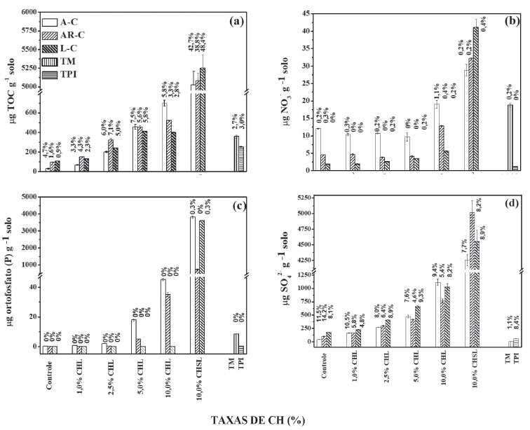
Na Figura 5 sao apresentadas as concentraçoes de liberaçao acumulada de TOC, NO3-, ortofosfato (P) e SO42-até os 30 dias, bem como as porcentagens de liberaçao normalizadas em funçao da coluna controle e referente ao que o CH possui inicialmente.

 


Figura 5. Valores de concentraçao liberados (µg g-1 de solo) de TOC (a), NO3-(b), ortofosfato (P) (c), SO42- (d) em relaçao à concentraçao total presente no Carvao Hidrotérmico lavado (CHL) e Carvao Hidrotérmico Nao Lavado (CHSL) adicionado e das porcentagens liberadas referente a cada uma das taxas aplicadas

 

Como pode ser visto na Figura 4a, b, c, d, a liberaçao de TOC no lixiviado das colunas de solos variou em funçao do tipo de solo, da taxa de aplicaçao de CH e do tipo de carvao hidrotérmico se lavado (CHL) ou nao (CHSL). Os resultados demonstraram que ocorre liberaçao constante de carbono, o que é atrativo para fins de uso agrícola, considerando ainda o papel dos microorganismos nas transformaçoes de carbono e nitrogênio. Para as colunas de areia com adiçao de CHL (Figura 4a), as maiores concentraçoes diárias (173 ± 15 µg g-1 solo) ocorreram no primeiro evento de lixiviaçao, até 132 mL. Os valores máximos e mínimos das concentraçoes diárias para as respectivas colunas foram de: A-CHL 1,0% (19,6 a 4,6 µg g-1), A-CHL 2,5% (38,6 a 11,4 µg g-1), A-CHL 5,0% (89,3 a 22,7 µg g-1), A-CHL 10,0% (173 a 31,4 µg g-1), e A-CHSL 10,0% (4198 a 32,9 µg g-1). As colunas de areia sem adiçao de CH (A-C), consideradas controle, apresentaram as menores concentraçoes de TOC, como era de se esperar, com valores máximo e mínimo de 4,5 e 1,6 µg g-1. Para o argissolo, as concentraçoes máximas e mínimas de TOC foram de: AR-CHL 1,0% (33,4 a 8,4 µg g-1), AR-CHL 2,5% (56,1 a 17,8 µg g-1), AR-CHL 5,0% (74,3 a 22,2 µg g-1), AR-CHL 10,0% (169 a 17,4 µg g-1), e AR-CHSL 10,0% (3256 a 47,5 µg g-1). Para a coluna de argissolo sem adiçao de CH (AR-C) as concentraçoes máximas e mínimas foram de 22,9 a 5,8 µg g-1, respectivamente (Figura 4b). Para o latossolo (Figura 4c), as concentraçoes máximas e mínimas de TOC foram menores do que as observadas para argissolo, sendo L-CHL 1,0% (32,1 a 6,7 µg g-1), L-CHL 2,5% (33,1 a 12,8 µg g-1), L-CHL 5,0% (58,9 a 23,2 µg g-1), L-CHL 10,0% (103 a 19,9 µg g-1), L-CHSL 10,0% (2891 a 65,9 µg g-1) e CH (L-C) (29,6 e 3,8 µg g-1). Entre os dois principais solos brasileiros e o experimento controle (areia), as maiores concentraçoes foram observadas na areia. Os menores valores de TOC para latossolo seguidos de argissolo sugerem que estes solos retêm parte do carbono que está sendo liberado do carvao hidrotérmico, o que pode ser explicado em funçao do teor de argila e óxidos de Fe e Al que é maior no latossolo do que no argissolo (Tabela 1). A maior retençao de carbono nestes solos está associada ao mecanismo de interaçao organomineral, que ocorre entre os grupos carboxilas da matéria orgânica por meio de interaçao eletrostática e troca de ligantes conforme discutido por alguns autores na literatura.56,57

As concentraçoes de TOC acumulada e liberada para todas as colunas de solos (Figura 5a) contendo CHSL 10,0% foram até 13 vezes superiores quando comparada com as colunas contendo a mesma taxa de 10,0% de CHL. Desta maneira, a aplicaçao de CHSL poderá trazer maiores benefícios ao solo do ponto de vista de liberaçao de carbono orgânico, além de que do ponto de vista industrial requererá menor uso de água. No entanto, faz-se necessária uma investigaçao acerca da existência ou nao de possíveis compostos orgânicos tóxicos ou benéficos que possam ser liberados.58 Entre as taxas aplicadas de CHL (1,0; 2,5; 5,0 e 10,0%) houve liberaçao crescente de TOC para as colunas de areia e argissolo (Figura 5a). No latossolo, a liberaçao é crescente até a taxa de 5,0%. Ao comparar os tipos de solo, é possível observar que nas colunas de areia os valores de concentraçoes acumulada e liberada de TOC sao maiores, seguidos das colunas de argissolo, quando comparada com as colunas de latossolo (Figura 4 a,b,c e 5a). Para as colunas que receberam os solos antropogênicos as liberaçoes também foram maiores nos primeiros eventos de lixiviaçao para a TM (111 ± 3,3 µg g-1) e no final as concentraçoes diminuíram até 26,2 ± 2,4 µg g-1 (Figura 4d). Para a coluna de TPI (Figura 4d), ocorreram variaçoes nas concentraçoes desde o início até o final do experimento, apresentando concentraçao máxima de 69,6 ± 2,6 e mínima de 26,3 ± 0,1 µg g-1. Vale ressaltar que a liberaçao acumulada de TOC nas colunas de TM e TPI (Figura 5a) foram semelhantes a concentraçao observada quando CHL foi aplicado na taxa de 2,5% para a coluna de argissolo e latossolo, respectivamente. Nesse ponto vale destacar que a hipótese lançada neste trabalho, de empregar CHL e/ou CHSL, possibilita melhorar as características dos dois principais solos agriculturáveis no Brasil (argissolo e latossolo), tornando-os comparativos aos solos antropogênicos de elevada fertilidade em termos de carbono orgânico liberado. Os resultados sugerem que o emprego de CHL a partir de 2,5% já é suficiente para alcançar esta melhoria.

Ao se avaliar as porcentagens de liberaçao de TOC referente à concentraçao inicial presente no CH (Figura 5), é possível verificar que o melhor aproveitamento em questao de disponibilidade de TOC foi observado na taxa de 5,0% de CHL para as colunas de areia (7,5%), de 2,5% para as colunas de argissolo (7,1%) e de 5,0% para as colunas de latossolo (5,8%).

Comportamento do nitrato nos lixiviados das colunas de solo

O perfil de liberaçao de nitrato nas colunas contendo diferentes solos está apresentado nas Figuras 4e, 4f, 4g, 4h. As quantidades liberadas foram maiores até a passagem de 800 mL de volume acumulado, após isso nao excedeu 3 µg g-1 de solo. Mesmo para os solos que receberam CHSL as concentraçoes foram menores do que 25 µg g-1 de solo. Na Figura 5b, as concentraçoes de liberaçao acumulada para nitrato em todas as colunas com aplicaçao de 10,0% de CHSL apresentaram aumento de até 7,3 vezes em relaçao às colunas contendo a mesma taxa de aplicaçao de CHL. Entre as taxas de aplicaçao de CHL houve variaçao nas concentraçoes para as colunas de areia, argissolo e latossolo. Para as colunas de areia e argissolo entre as taxas de CHL (1,0; 2,5 e 5,0%) houve liberaçao decrescente de nitrato, já para as colunas de latossolo entre as taxas de CHL (2,5; 5,0 e 10,0%) ocorreu liberaçao crescente quando comparado às colunas sem aplicaçao de CHL para os respectivos solos. Uma vez que, a concentraçao acumulada de nitrato para a coluna de latossolo contendo a taxa de aplicaçao de 1,0% de CHL foi semelhante a coluna controle (L-C). Além disso, as semelhantes porcentagens de liberaçao encontradas se devem ao aumento da quantidade de nitrato contido no CH decorrente das crescentes taxas de aplicaçao de CHL e CHSL.

Dessa maneira, ao comparar os tipos de solos (Figuras 4e, 4f, 4g e 5b), é possível observar nas colunas de areia que os valores das concentraçoes acumuladas e liberadas de nitrato sao maiores, seguido das colunas de argissolo e latossolo. Para a taxa de aplicaçao de 10,0% de CHSL, comportamento inverso foi observado. Inferindo que maior retençao e/ou imobilizaçao de nitrato foram observados nos lixiviados das colunas de argissolo e latossolo e principalmente no CH. Estes resultados corroboram com os observados por Bento et al.39 para o emprego de taxas de 1 e 4% de CH, bem como para outros estudos empregando a aplicaçao de diferentes taxas de biochar.41,59 A baixa liberaçao de nitrato no lixiviado das colunas de solo com adiçao de CH, permite inferir que a maior parte do nutriente ficou imobilizado no CH.

Para as colunas de solos antropogênicos (Figuras 4h e 5b) maiores concentraçoes de nitrato ocorreram no primeiro evento de lixiviaçao, para a TM (21,1 ± 3,8 µg g-1) e TPI (1,1 ± 0,2 µg g-1), no decorrer do período as concentraçoes acumuladas foram menores que o limite de detecçao do método (0,27 mg L-1). Dessa maneira as concentraçoes acumuladas de nitrato para as colunas de TM e TPI foram semelhantes às concentraçoes acumuladas para as colunas de areia e latossolo contendo 10,0% e 1,0% de CHL, respectivamente. Algumas hipóteses permitem explicar o comportamento observado, a destacar a rápida perda de nitrato nos primeiros eventos de lixiviaçao, a qual pode ter ocorrido em razao do íon NO3- ser fracamente retido nas cargas elétricas negativas dos colóides do solo, apresentando grande mobilidade.41 Além disso, o carbono presente no CH (Tabela 1) liberado durante o período de 30 (Figura 5) contribui para o incremento de matéria orgânica no solo e com o auxílio de microorganismos age imobilizando N.59,60 Alguns autores também relataram o efeito da imobilizaçao ou adsorçao de nitrato no solo.61,62

Comportamento do ortofosfato nos lixiviados das colunas de solo

Para as colunas de solo com aplicaçao de CHL, os valores das concentraçoes diárias nao excederam 11 µg g-1 solo (Figura 4i, 4j, 4k). Por outro lado, para as aplicaçoes de 10,0% de CHSL foram observados elevados valores de concentraçao nos primeiros eventos de lixiviaçao. Os valores das concentraçoes máximas e mínimas para as colunas foram de A-CHSL 10,0% (3654 ± 73 a 8,3± 0,02 µg g-1 solo), AR-CHSL 10,0% (643 ± 49 a 2,1 ± 0,02 µg g-1 solo), L-CHSL 10,0% (1013 ± 17 a 32,2 ± 0,5 µg g-1 solo).

Para o CHL, os valores das concentraçoes máximas e mínimas foram de A-CHL 10,0% (10,8 ± 0,14 a 2,4 ± 0,13 µg g-1 solo), AR-CHL 10,0% (0,03 ± 0,00 a 0,01 ± 0,00 µg g-1 solo) e L-CHL 10,0% (7,9 ± 0,9 a 0,03 ± 0,00 µg g-1 solo). Dessa maneira, quanto maior a taxa de aplicaçao de CH, maior foi a concentraçao de ortofosfato no lixiviado, principalmente para o CHSL. Na Figura 5c, as concentraçoes acumuladas e liberaçao de ortofosfato para todas as colunas de solos contendo 10,0% de CHSL foram maiores em relaçao a mesma taxa de 10,0% de CHL. Desse modo, fica evidente que a etapa de lavagem do CH influenciou na liberaçao de ortofosfato. Entre as taxas de aplicaçao de CHL (1,0; 2,5; 5,0 e 10,0%) houve liberaçao crescente de ortofosfato para as colunas de areia e para as colunas de argissolo para aplicaçao de 5,0 e 10,0%. Pois, para as colunas de latossolo com aplicaçao de CHL, os valores das concentraçoes acumuladas foram menores em relaçao aos da coluna sem adiçao de CH (L-C), dessa forma nao apresentando liberaçao de ortofosfato. Com isso, ao se comparar os tipos de solos, foi possível observar que para as colunas de areia os valores das concentraçoes acumuladas foram maiores em relaçao às colunas de argissolo. Desse modo, podemos inferir que as colunas de latossolo reteve todo o ortofosfato liberado do CHL independente da taxa de carvao empregada. É conhecido que os solos ácidos e ricos em óxidos de ferro, bem como com elevado teor de argila (Tabela 1) promovem a retençao do ortofosfato, características estas observadas para o latossolo.29,39,63 Melo et al.16 caracterizaram para o CH obtido nas mesmas condiçoes dos empregados neste trabalho e observaram que 40% de P e 90% de Ca e Mg foram imobilizados no CH produzido, sendo esses valores confirmados por DRX e EDS, tendo sido observada diferentes fases de fosfato (Ca3(PO4)2; Ca3(P3O9)2.10H2O; MgKPO4.6H2O MgHPO4.1.2H2O; Mg3(PO4)2.22H2O).

Os resultados obtidos em nosso trabalho sao semelhantes aos encontrados por outros autores que aplicaram biochar no solo.29,39 O comportamento da liberaçao de ortofosfato nas colunas de solo manteve um padrao semelhante ao observado para o nitrato.

Para as colunas de solos antropogênicos (Figura 4l) as maiores concentraçoes de ortofosfato ocorreram do 15º até 30º evento de lixiviaçao. Os valores das concentraçoes máximas e mínimas foram de 1,9 ± 0,16 a 0,20 ± 0,01 µg g-1 solo. Menores concentraçoes foram observadas para colunas de TPI, na qual houve variaçao de concentraçao durante o período de 30 dias. As concentraçoes máximas e mínimas foram de 0,08 ± 0,01 a 0,01 ± 0,00 µg g-1 solo, respectivamente. Para a TM, a liberaçao de ortofosfato foi semelhante à concentraçao observada quando CHL foi aplicado na taxa de 5,0% para as colunas de argissolo. Neste contexto, a disponibilidade de fosforo no solo pode ser influenciada por reaçoes de precipitaçao e reaçoes de adsorçao específica.41 As concentraçoes de ortofosfato para os solos TM foram maiores do que para os solos TPI.64

Comportamento do sulfato nos lixiviados das colunas de solo

As maiores concentraçoes de sulfato foram observadas até 800 mL de volume acumulado em todas as colunas estudadas, sendo que após este volume o sistema pode ter alcançado o equilíbrio (Figura 4m, 4n, 4o). Para as colunas de areia com adiçao de CHL (Figura 4m), as maiores concentraçoes diárias (530,9 ± 65 µg g-1 solo) ocorreram nos primeiros eventos de lixiviaçao, até 460 mL. Os valores máximos e mínimos das concentraçoes diárias para as respectivas colunas foram de A-CHL 1,0% (90,6 a 4,4 µg g-1), A-CHL 2,5% (113 a 4,3 µg g-1), A-CHL 5,0% (251 a 5,1 µg g-1), A-CHL 10,0% (531 a 8,0 µg g-1), e A-CHSL 10,0% (3215 a 8,8 µg g-1), indicando que quanto maior a dose de CH empregado maior a concentraçao liberada. As colunas de areia sem adiçao de CH (A-C), consideradas controle, apresentaram menores valores de concentraçao de sulfato. As concentraçoes máximas e mínimas foram de 9,6 a 2,8 µg g-1, respectivamente.

Para as colunas de argissolo (Figura 4n), as concentraçoes foram menores quando comparadas às colunas de areia, indicando que o solo retém mais sulfato. Os valores máximos e mínimos das concentraçoes de sulfato foram de AR-CHL 1,0% (54,9 a 6,4 µg g-1), AR-CHL 2,5% (107 a 7,3 µg g-1), AR-CHL 5,0% (173 a 4,3 µg g-1), AR-CHL 10,0 (201 a 11,3 µg g-1) e AR-CHSL 10,0 (3165 a 8,1 µg g-1) quando comparado a coluna de argissolo sem aplicaçao de CH (AR-C), apresentando valores máximos e mínimos de 20,7 a 1,6 µg g-1.

Para as colunas de latossolo (Figura 4o) as concentraçoes diárias de sulfato foram ainda maiores do que para as colunas de argissolo e areia (Figura 4 m, n). Os valores máximos e mínimos das concentraçoes de sulfato foram de: L-CHL 1,0% (54,9 a 2,0 µg g-1), L-CHL 2,5% (98,3 a 7,2 µg g-1), L-CHL 5,0% (248 a 3,6 µg g-1), L-CHL 10,0% (470 a 1,9 µg g-1) e L-CHSL 10,0% (2046 a 26,6 µg g-1) e L-C (22,5 a 5,6 µg g-1). Estes valores permitem inferir que tanto o latossolo quanto o CH liberam sulfato. O comportamento da liberaçao de sulfato nas colunas de solo manteve um padrao semelhante ao observado para o Carbono Orgânico Total.

Na Figura 5d, as concentraçoes acumuladas de sulfato para colunas de areia e latossolo com aplicaçao de 10,0% de CHSL foram aproximadamente 7 vezes maiores em comparaçao com as colunas contendo a mesma taxa de 10,0% de CHL. Entre as taxas de CHL (1,0; 2,5; 5,0 e 10,0%) houve uma liberaçao crescente para as colunas de areia, argissolo e latossolo. Ao comparar os tipos de solos, é possível observar que nas colunas de latossolo os valores das concentraçoes acumuladas e liberadas de sulfato foram maiores quando comparadas às colunas de areia e argissolo para as taxas de aplicaçao de CHL (1,0% e 2,5%) e para a taxa de 10,0% de CHSL. Entretanto, na taxa de 10,0% de CHL a coluna de areia apresentou maior concentraçao acumulada e liberada, seguida de latossolo e argissolo.

Para as colunas de solos antropogênicos, as concentraçoes diárias de sulfato foram baixas em relaçao aos solos controle e aqueles com aplicaçao de CH. Para TM, a maior concentraçao ocorreu no primeiro evento de lixiviaçao (11,1 ± 1,7 µg g-1) e para a TPI no 1º até o 4º, apresentando variaçao de 5,1 a 7,9 µg g-1.

Ao avaliar as porcentagens de liberaçao de sulfato (Figura 5d) é possível verificar que o melhor aproveitamento de disponibilidade de sulfato foi observado nas taxas de CHL de 1,0% para a coluna de areia (10,6%), de 2,5% para a coluna de argissolo (6,6%) e de 10,0% para coluna de latossolo (9,8%). Vale destacar que as hipóteses para explicar a liberaçao de sulfato se fundamentam na capacidade de mineralizaçao do S, que é mediada por atividade microbiana,65 bem como o efeito de colóides inorgânicos e teor de argila e de óxido de Fe e Al.66,67

Análise de Componentes Principais (PCA)

A análise de componentes principais (PCA) foi aplicada aos dados dos parâmetros determinados nas amostras dos lixiviados para as colunas contendo TM e TPI, areia, argissolo e latossolo com aplicaçao das taxas de 1,0; 2,5; 5,0; e 10,0% de CHL. Cabe ressaltar que os dados foram tratados sem a inclusao das colunas contendo CHSL, pois os resultados obtidos para estas sao muito discrepantes das demais, obtendo valores muito elevados que acabam por nao permitir uma boa separaçao das colunas contendo apenas o CHL. A primeira componente principal (PC1) correspondeu a 43,8% da variância dos dados, a PC 2 a 42,2% e a PC 3 a 5,9%. As variáveis mais significativas foram escolhidas tomando-se valores (em módulo) acima de 0,4. O gráfico da PC1 versus PC2, em que há a maior variância dos dados, 86%, pode ser visualizado na Figura 6a. Os parâmetros que influenciam de modo positivo a PC1 foram sulfato e TOC para as colunas de areia, argissolo e latossolo contendo CHL na taxa de 10,0%. Ainda foi possível observar que esses parâmetros influenciam positivamente e preferencialmente as colunas de latossolo quando comparada com areia e argissolo. Bem como, cabe ressaltar que para as colunas de areia e argissolo, a lixiviaçao de sulfato e de TOC é influenciada juntamente com o pH inicial, enquanto para as colunas de latossolo o pH final acompanha a lixiviaçao desses parâmetros. Já os parâmetros nitrato e pH inicial influenciaram de modo positivo a PC2 para as colunas contendo TM e areia. Nitrato é um íon que apresenta grande mobilidade e elevada solubilidade, interagindo fracamente com partículas de solo, principalmente com partículas maiores como areia. O gráfico da PC1 com a PC3 correspondente a 49,7% da variância dos dados (Figura 6b) mostrou praticamente o mesmo comportamento observado na Figura 6a, porém, o pH inicial teve uma influência positiva na lixiviaçao dos nutrientes da coluna contendo TPI.

 


Figura 6. Gráfico a) da componente principal 1 (PC1) versus componente principal 2 (PC2) e b) da componente principal 1 (PC1) versus a componente principal 3 (PC3) aplicada aos dados de lixiviaçao nas colunas contendo TM e TPI e contendo areia, argissolo e latossolo com 1,0, 2,5, 5,0, e 10,0% de CHL

 

CONCLUSAO

Este estudo mostra que a adiçao de diferentes taxas de carvao hidrotérmico, obtido da carbonizaçao de bagaço de cana-de-açúcar e vinhaça, em solos (latossolo e argissolo), foi capaz de alterar a dinâmica de alguns nutrientes e teor de carbono. Para o CHL as maiores taxas (5,0 e 10,0%) resultaram nas maiores liberaçoes de ânions e matéria orgânica quando comparado com os experimentos que receberam taxas 1,0 e 2,5%. As liberaçoes de sulfato e carbono orgânico total foram maiores para as taxas de aplicaçao de 10,0% de carvao hidrotérmico nao lavado e para as taxas de 5,0% e 10,0% de carvao hidrotérmico lavado. O nitrato e ortofosfato foram retidos nos solos para todas as taxas de CHL empregado, sendo maiores para o CHSL. Os resultados permitem concluir que é possível melhorar as propriedades dos solos, tais como a liberaçao de TOC e sulfato, tornando possível ajustar a melhor taxa de aplicaçao em funçao das necessidades da cultura que venha a ser cultivada. A liberaçao de TOC, nitrato, sulfato e ortofosfato nos solos antropogênicos estudados é lenta, o que justifica a fertilidade elevada por longo tempo deste material. Quando comparado o efeito da aplicaçao de diferentes taxas de CHL em solos de baixa fertilidade como argissolo e latossolo foi possível observar maior liberaçao, o que é indicativo de que o CH melhora as propriedades desses solos, mas provavelmente nao por um período de tempo tao longo quanto ao observado para os solos antropogênicos.

 

AGRADECIMENTOS

Os autores agradecem o auxílio financeiro recebido da FAPESP (Projetos 2013/21776-7, 2014/22400-3, 2017/26718-6 e 2015/229541). M. C. Bisinoti agradece o auxílio financeiro do CNPq (Processo e 445487/2014-3). O. P. Ferreira agradece auxílio financeiro da FUNCAP (PRONEX PR2-0101-00006.01.00/15). A. M. Santana também agradece à CAPES pela bolsa concedida e ao PPGQuimica/ UNESP-SJRP. Os autores também agradecem ao Prof. Dr. E. R. Pereira Filho da UFSCar pelas discussoes sobre as análises de componentes principais.

 

REFERENCIAS

1. FAO 2018, disponível em http://www.fao.org/3/ca0239en/CA0239EN.pdf, acessada em fevereiro 2019.

2. CONAB, https://www.conab.gov.br/info-agro/safras/cana, acessada em fevereiro 2019.

3. Loh, Y. R.; Sujan, D.; Rahman, M. E.; Das, C. A.; Resour. Conserv. Recy. 2013, 75, 14.

4. Ferrarese, R. F. M. S.; Dissertaçao de Mestrado, Universidade Estadual Paulista "Júlio de Mesquita Filho", Brasil, 2011.

5. Lyra, M. R. C. C.; Rolim, M. M.; da Silva, J. A. A.; Rev. Bras. Eng. Agric. Ambient. 2003, 7, 525.

6. Rocha, G. J. M; Martín, C.; Silva, V. F. N.; Gómez, E. O.; Gonçalves, A. R.; Bioresour. Technol. 2012, 111, 447.

7. Zaparolli, D.; Revista Pesquisa FAPESP 2018, 68.

8. Bianchi, S. R.; Dissertaçao de mestrado, Universidade Federal de Sao Carlos, Brasil, 2008.

9. Laime, E. M. O.; Fernandes, P. D.; Oliveira, D. C. S.; Freire, E. A.; Revista Trópica: Ciências Agrárias e Biológicas 2011, 5, 16.

10. Silva, M. A. S.; Griebeler, N. P.; Borges, L. C.; Rev. Bras. Eng. Agric. Ambient. 2007, 11, 108.

11. Serra, N. S. J.; Goulart, H. F.; Triana, M. F.; Tavares, S. D. S.; Almeida, C. I. M.; Da Costa, J. G.; Santana, A. E. G.; Zhu, J. J.; Med. Vet. Entomol. 2017, 31, 381.

12. Deng, W.; Zwieten, L.V.; Lin, Z.; Liu, X.; Sarmah, A. K.; Wang, H.; J. Soils Sediments 2017, 17, 632.

13. Eykelbosh, A. J.; Johnson, M. S.; Couto, E. G.; J. Environ. Manage. 2015, 149, 9.

14. Fang, J.; Gao, B.; Chen, J.; Zimmermam, A. R.; Chem. Eng. J. 2015, 267, 253.

15. Novak, J. M.; Spokas, K. A.; Cantrell, K. B.; Ro, K.S.; Watts, D. W.; Glaz, B.; Busscher, W. J.; Hunt, P. G.; Soil Use Manage. 2014, 30, 175.

16. Melo, C. A.; Soares Junior, F. H.; Bisinoti, M. C.; Moreira, A. B.; Ferreira, O. P.; Waste Biomass Valorization. 2017, 8, 1139.

17. Silva, C. C.; Melo, C. A.; Soares Junior, F. H.; Moreira, A. B.; Ferreira, O. P.; Bisinoti, M. C.; Bioresour. Technol. 2017, 237, 213.

18. Kamboo, H.S.; Dutta, A.; Renewable Sustainable Energy Rev. 2015, 45, 359

19. Kumar, M.; Oyedun, A. O.; Kumar, A.; Renewable Sustainable Energy Rev. 2018, 81, 1742.

20. Libra, J.A.; Ro, K.S.; Kammann, C.; Funke, A.; Berge, N.D.; Neubauer, Y.; Titirici, M. M.; Fühner, C.; Bens, O.; Kern, J.; Emmerich, K. H.; Biofuels 2011, 2, 89.

21. Basso, D.; Castello, D.; Baratieri, M.; Fiori, L.; 21st European Biomass Conference and Exhibition, Conference Proceedings, Copenhagen, 2013.

22. Mumme, J.; Eckervogt, L.; Pielert, J.; Diakité, M.; Rupp, F.; Kern, J.; Bioresour. Technol. 2011, 102, 9255.

23. Titirici, M. M.; Antonietti, M.; Chem. Soc. Rev. 2010, 39, 103.

24. Abel, S.; Peters, A.; Trinks, S.; Schonsky, H.; Facklam, M.; Wessolek, G.; Geoderma 2013, 183, 202.

25. Sun, F.; Lu, S.; J. Plant Nutr. Soil Sci. 2014, 177, 26.

26. Yao, Y.; Gao, B.; Zhang, M.; Inyang, M.; Zimmerman A. R.; Chemosphere. 2012, 89, 1467.

27. Maia, C. M. B. F.; Madari, B. E.; Novotny, E. H.; Dynamic Soil, Dynamic Plant 2011, 53.

28. Laird, D.; Fleming, P.; Wang, B.; Horton, R.; Karlen, D.; Geoderma 2010, 158, 436.

29. Mukherjee, A.; Zimmerman, A. R.; Geoderma 2013, 193–194, 122.

30. Oliveira, N. C.; Paschoal, A. R.; Paula, R. J.; Constantino, I. C.; Bisinoti, M. C.; Moreira, A. B.; Fregolente, L. G.; Santana, A. M.; Sousa, F. A.; Ferreira, O .P; Paula, A. J.; Geoderma 2018, 311, 58.

31. Denevan, W. Em As Terras Pretas de Indio da Amazônia: Sua Caracterizaçao e uso deste conhecimento na Criaçao de Novas áreas; Teixeira, W. G., Kern, D. C., Madari, B. E., Lima, H. N., Woods, W., eds.; Embrapa Amazônia Ocidental: Manaus, 2010. Cap. II.

32. Kämpf, N.; Woods, W. I.; Kern, D. C.; Cunha, T. J.; Em As Terras Pretas de Indio da Amazônia: Sua Caracterizaçao e uso deste conhecimento na Criaçao de Novas áreas; Teixeira, W. G., Kern, D. C., Madari, B. E., Lima, H. N., Woods, W., eds.; Embrapa Amazônia Ocidental: Manaus, 2010. Cap. II.

33. Lehmann, J.; Silva Jr., J. P.; Steiner, C.; Nehls, T.; Zech, W.; Glaser, B.; Plant Soil 2003, 249, 343.

34. Liang, B.; Lehmann, J.; Solomon, D.; Kinyangi, J.; Grossman, J.; O'neill, B.; Skjemstad, J. O.; Thies, J.; Luizao, F. J.; Petersen, J.; Neves, E. G.; Soil Sci. Soc. Am. J. 2006, 70, 1719.

35. Resende, M. F.; Brasil, T. F.; Madari, B. E.; Pereira Netto, A. D.; Novotny, E. H.; Chemosphere 2018, 200, 641.

36. Kusmierz, M.; Oleszczuck, P.; Kraska, P.; Palys, E.; Andruzzczak, S.; Chemosphere 2016, 63, 1610.

37. Hale, S. E.; Lehmann, J.; Rutherford, D.; Zimmerman, A. R.; Bachamann, R.T.; Shitumbanuma, V.; O'Toole, A.; Sundqvist, K. L.; Arp, H. P. H.; Cornelissen, G.; Environ. Sci. Technol. 2012, 46, 2830.

38. Keiluneit, M.; Kleber, M.; Sparrow, M. A.; Simoneit, B. R. T.; Prahl, F. G.; Environ. Sci. Technol. 2012, 46, 9333.

39. Bento, L. R.; Castro, A. J. R.; Moreira, A. B.; Ferreira, O. P.; Bisinoti, M. C.; Melo, C. A.; Geoderma 2019, 334, 24.

40. Kanthle, A. K.; Lenka, N. K.; Lenka, S.; Tedia, K.; Soil Tillage Res. 2016, 157, 65.

41. Pratiwi, E. P. A.; Hillary, A. K.; Fuduka, T.; Shinogi, Y.; Geoderma 2016, 277, 61.

42. Silva, F. C.; Em Manual de análises químicas de solos, plantas e fertilizantes; Embrapa Informaçao Tecnológica, Brasília, DF, 2009.

43. Fregolente, L. G.; Miguel, T. B. A. R.; Miguel, E. C.; Melo, C. A.; Moreira, A. B.; Ferreira, O. P.; Bisinoti, M. C.; Environ. Sci. and Pollut. Res.; no prelo.

44. Pribyl, D.W.; Geoderma 2010, 156, 75.

45. Manual de Métodos de Análise de Solos, 2a ed.; Embrapa-CNPS: Rio de Janeiro, 1997, ISBN 85-85864-03-6.

46. Rump, H. H.; Krist, H.; Em Laboratory Manual of the Examination of Water, Wastewater and Soil, 2a ed.; VCH: New York, 1992.

47. Camargo, O. A.; Moniz, A. C.; Jorge, J. A.; Valadares, J. A. S.; Instituto Agronômico de Campinas, Boletim Técnico, 106, 2009.

48. Greenberg, A. E.; Rice, E. W. Em Standard Methods for the Examination of water and wastewater, 21a ed., APHA, WEF, AWWA: Washington, 2005.

49. Berge, N. D.; Ro, K.S.; Mao, J.; Flora, J. R. V.; Chapell, M. A.; Bae, S.; Environ. Sci. Technol. 2011, 45, 5696.

50. Sevilla, M.; Fuertes, A. B.; Chem. - Eur. J. 2009, 15, 4195.

51. Doelsch, E.; Masion, A.; Cazevieille, P.; Condom, N.; Waste Manage. 2009, 29, 1929.

52. Fang, J., Chen, J.; Zimmerman, A. R.; Chem. Eng. J. 2015, 267, 253.

53. Spokas, K. A.; Carbon Manage. 2010, 1, 289.

54. Bargmann, I.; Rilling, M.C.; Kruse, A.; Greef, J.; Kücke, M.; J. Plant Nutr. Soil Sci. 2014, 177, 48.

55. Rillig, M. C.; Wagner, M.; Salem, M.; Antunes, P. M.; George, C.; Ramke, H. G.; Tititrici, M. M.; Antonietti, M.; Appl. Soil Ecol. 2010, 45, 238.

56. Dick, D. P.; Novotny, E. H.; Diecknow, J.; Bayer, C.; Em Química e Mineralogia do solo - Parte II Aplicaçoes, 2a ed., SBCS: Viçosa, 2009.

57. Hanke, D.; Melo, V. F.; Dieckow, J.; Dick, D. P.; Bognola, I. A.; Rev. Bras. Cienc. Solo 2015, 39, 1611.

58. Bargmann I.; Rilling, M. C.; Buss, W.; Kruse, A; Kuecke, M.; J. Agron. Crop Sci. 2013, 199, 360.

59. Lenka, N. K.; Dass, A.; Sudhishri, S.; Patnaik, U. S.; Agric. Ecosyst. Environ. 2012, 158, 31.

60. Jassal, R. S.; Johnson, M. S.; Molodvskaya, M.; Andrew Black, T.; Jollymore, A.; Sveison, K.; J. Environ. Manage. 2015, 152, 140.

61. Deenik, J. L.; Mcclellan, T.; Uehara, G.; Antal Jr., M. J.; Campbell, S.; Soil Sci. Soc. Am. J. 2010, 74, 1259.

62. Kameyama, K.; Miyamoto, T.; Shiono, T.; Shinogi.; Y.; J. Environ. Qual. 2010, 41, 1131.

63. LOPES, A. S.; Manual Internacional de Fertilidade do solo, 2 ed., Ed. Potafos: Piracicaba, 1998.

64. Woods, W.; Em As Terras Pretas de Indio da Amazônia: Sua Caracterizaçao e uso deste conhecimento na Criaçao de Novas áreas; Teixeira, W. G., Kern, D. C., Madari, B. E., Lima, H. N., Woods, W., eds.; Embrapa Amazônia Ocidental: Manaus, 2010, Cap. I.

65. Ernani, P. R. Em Química do Solo e Disponibilidade de Nutrientes, 2a ed., Udesc: Lages, 2016.

66. Casagrande, J. C.; Alleoni, L. R. F.; Carmargo, O. A.; Borges, M.; Rev. Bras. Cienc. Solo 2003, 27, 51.

67. Rheinheimer, D. S.; Alvarez, J. W. R.; Filho, B. D. O.; Silva, L. S.; Bortoluzzi, E. C.; Cienc. Rural 2005, 35, 562.

On-line version ISSN 1678-7064 Printed version ISSN 0100-4042
Qu�mica Nova
Publica��es da Sociedade Brasileira de Qu�mica
Caixa Postal: 26037 05513-970 S�o Paulo - SP
Tel/Fax: +55.11.3032.2299/+55.11.3814.3602
Free access

GN1