JBCS



12:28, sáb out 25

Acesso Aberto/TP



Artigo


Síntese mecanoquímica de azinas acíclicas simétricas e determinação do fator de proteção solar uvb in vitro
Mechanochemical synthesis of symmetric acyclic azines and determination of the uvb solar protection factor in vitro

Wesley Randson de Alcantara Campos; Débora Caroline Marques de Souza; Délis Galvao Guimaraes; Victória Laysna dos Anjos Santos; Arlan de Assis Gonsalves; Cleônia Roberta Melo Araújo*

Colegiado de Ciências Farmacêuticas, Universidade Federal do Vale do São Francisco, 56304-917 Petrolina - PE, Brasil

Recebido em 15/10/2018
Aceito em 10/01/2019
Publicado na web em 27/02/2019

Endereço para correspondência

*e-mail: cleonia.araujo@univasf.edu.br

RESUMO

Skin cancer is a frequent neoplasm in Brazil and this, is observed the importance of the development of new sunscreens using simple methodologies capable of reducing production costs. In this context, six symmetric acyclic azines were synthesized and characterized, with reaction yields between 54 and 84%, short reaction times (5 to 10 min), and manual grinding as an energy source. Sunscreens 10 %(m/m) of these compounds were produced for the in vitro determination of the solar protection factor UVB (SPF-UVB), of the the six formulations containing the synthesized azines, four showed higher photoprotective capacity in the UVB region (AZN-BZD, AZN-2OH, AZN-4OH and AZN-CIN), with SPF-UVB equivalent or higher than benzophenone-3 (BZF) and at the octylmethoxycinnamate (OMC), commercial chemical filters. The AZN-VAN and AZN-4DAB formulations presented high photoprotective capacity in the UVA region, resulting in lower SPF-UVB when compared to the other synthesized azines, but were still superior to the BZF and equivalent to the OMC. All the azines synthesized showed superior FPSUVB to their precursor aldehydes, evidencing the increase of the photoprotective capacity due to the insertion of the azine group.

Palavras-chave: mechanosynthesis; grinding synthesis; sunscreen; chemical sunscreen.

INTRODUÇAO

O Instituto Nacional do Câncer (INCA) estima que no Brasil o câncer de pele seja o mais frequente, correspondendo a 30% de todos os tumores malignos registrados. Classificados em dois tipos, melanoma e nao melanoma, os tumores de pele do tipo melanoma representam apenas 3% das neoplasias malignas deste órgao, embora seja considerado o tipo mais grave em razao da sua elevada probabilidade de metástase. Em 2013 foram registrados no país 3.316 mortes por câncer de pele segundo dados do Sistema de Informaçoes sobre Mortalidade (SIM) e, para 2018, o INCA estima o surgimento de 171.840 novos casos.1

Os protetores solares de amplo espectro (UVA/UVB) sao tidos como um dos mais importantes agentes preventivos ao câncer de pele, desde que usados adequadamente e de forma frequente.2 Segundo a Agência Nacional de Vigilância Sanitária (ANVISA), os protetores solares sao definidos como preparaçoes cosméticas que protegem a pele contra a radiaçao ultravioleta B (UVB - 290-320 nm) e A (UVA - 320-400 nm), absorvendo, dispersando ou refletindo a radiaçao.3

Apesar do seu extenso litoral e do clima predominantemente tropical, no Brasil, 64% das pessoas nao fazem uso de fotoprotetores, de acordo com dados da última campanha de combate ao câncer de pele realizada pela Sociedade Brasileira de Dermatologia (SBD).4 Acredita-se que a baixa adesao ao uso diário de protetores solares pelos brasileiros está relacionada ao seu elevado custo, uma vez que a categorizaçao dos mesmos como cosméticos gera o acréscimo de impostos dos quais os medicamentos sao isentos, em especial os tributos de competência estadual, como por exemplo, o Imposto sobre Circulaçao de Mercadorias e Serviços (ICMS).5

A obtençao de fotoprotetores empregando metodologias sustentáveis e baseadas nos princípios da química verde, a exemplo da mecanoquímica, representa uma alternativa para reduçao dos custos de produçao dos filtros solares. Portanto, a diminuiçao do uso de solventes, a síntese à temperatura e pressao ambientes, a menor geraçao de resíduos, além da possibilidade de deduçao de tributos das empresas que aplicam ou têm uma postura de responsabilidade socioambiental, podem implicar em reduçao do preço final do produto.

Diante deste contexto, o presente trabalho descreve a síntese, caracterizaçao e determinaçao do fator de proteçao solar UVB (FPS-UVB) in vitro de uma série de azinas simétricas obtidas por meio de mecanoquímica, uma metodologia sintética favorável ao meio ambiente.

Azinas acíclicas

Compostos orgânicos contendo a est rutura geral R1R2C=N-N=CR3R4 sao denominados de azinas acíclicas, as quais sao classificadas em cetazina (R1R2C=N-N=CR3R4) e aldazina (R1HC=N-N=CHR2). Tais compostos podem ser simétricos, quando os substituintes R1, R2, R3 e R4 sao iguais, ou nao simétricos, quando R1, R2, R3 e R4 sao diferentes.6

As azinas acíclicas possuem três isômeros geométricos possíveis: (E, E), (E, Z) e (Z, Z). A possibilidade de arranjos moleculares distintos ocorre em funçao da configuraçao das ligaçoes duplas (C=N) na cadeia de quatro átomos (C=N-N=C). Contudo, a maioria das azinas ocorre preferencialmente na configuraçao (E, E), considerado o arranjo termodinamicamente mais estável. Na configuraçao (E, E) os grandes grupos ligados às ligaçoes C=N estao na posiçao trans com relaçao à ligaçao N-N.7

As azinas substituídas com anéis aromáticos ou heterocíclicos sao fotocrômicas e sofrem isomerizaçao térmica e fotoquímica E/Z sobre a dupla ligaçao C=N, conforme demonstrado na Figura 1. Esta propriedade torna as azinas acíclicas substâncias de interesse para o desenvolvimento de dosímetros de radiaçao ultravioleta, telas para proteçao dos olhos, assim como, de dispositivos ópticos contra poderosas fontes emissoras de luz (explosoes nucleares).8

 


Figura 1. Isomerizaçao fotoquímica de azinas acíclicas

 

Tratando-se de uma cadeia linear com ligaçoes duplas conjugadas, esperava-se que azinas acíclicas diarílicas, adequadamente substituídas, apresentassem um sistema estendido de deslocalizaçao eletrônica. Contudo, estudos eletroquímicos9 e de Ressonância Magnética Nuclear (RMN)10 mostraram que este grupo funciona como um bloqueador de conjugaçao (Figura 2). Assim, as duas iminas (C=N) unidas pela ligaçao N–N, que constituem a funçao azina, podem ser consideradas grupos receptores de elétrons orientados em direçoes opostas, conforme descrito na Figura 2. Quando ligadas a dois anéis arílicos substituídos adequadamente, com grupos doadores ou receptores de elétrons, as azinas sao capazes de gerar um momento de dipolo na estrutura química na molécula, o que as tornam candidatas apropriadas para o desenvolvimento de materiais ópticos nao lineares.11

 


Figura 2. Conjugaçao das azinas acíclicas

 

Além da relevância para obtençao de novos materais, as azinas sao importantes intermediários na síntese de compostos heterocíclicos, como pirazóis, oxadiazóis, pirimidinas e purinas.12 Em adiçao, trabalhos têm relatado importantes atividades biológicas de compostos contendo este grupo funcional, com destaque para a atividade antitumoral13 e antimicrobiana.14

As azinas acíclicas simétricas sao facilmente preparadas a partir da reaçao entre hidrazina e compostos carbonílicos (aldeídos ou cetonas), utilizando catalisadores como: BiCl3,15 nano-argila de montmorilonita K10 funcionalizada com amina (NH2-MMT),16 aduto de hidrazina e dióxido de carbono,17 meglumina,18 nanopartículas de WCl6 com montmorilonita K-10,19 Al2O3,20 dietil fosfito,20 FeCl3.6H2O.21 Ademais, tem sido relatado o emprego de fontes alternativas de energia para obtençao de azinas acíclicas simétricas, como a de micro-ondas12 e de ultrassom.15 Outro método alternativo foi descrito no trabalho de Safari e Gandomi-Ravandi, no qual foi preparada uma série de azinas simétricas com altos rendimentos empregando energia mecânica gerada por moagem manual dos reagentes.22

Mecanoquímica

A síntese orgânica vem passando por mudanças significativas no sentido de desenvolver processos mais eficientes e sustentáveis. Assim, a denominada "química verde" tornou-se interesse dos pesquisadores de indústrias e instituiçoes de ensino. A química verde fundamenta-se em 12 princípios gerais, sendo alguns deles: a diminuiçao do uso de solventes voláteis e tóxicos, a reduçao da quantidade de catalisadores e reagentes, a utilizaçao de produtos químicos ambientalmente menos danosos, a reduçao da geraçao de resíduos químicos e a busca pela eficiência energética.23

O interesse pelo desenvolvimento de metodologias de síntese que empreguem fontes alternativas de energia, como micro-ondas, força mecânica, luz visível e ultrassom vêm aumentando, e muitos resultados promissores já se encontram descritos na literatura. Nesse contexto, surge a mecanoquímica, que prima pela reduçao no uso de solvente e pela mínima geraçao de resíduos, bem como, pela eficiência energética na síntese de compostos orgânicos.24

Uma reaçao mecanoquímica é definida como uma reaçao química induzida por absorçao direta de energia mecânica. Sendo ainda pouco conhecida, a mecanoquímica complementa, portanto, os métodos convencionais de ativaçao de algumas reaçoes químicas, tais como o calor, a irradiaçao e a eletroquímica.25,26

É esperado que, a depender da fonte de energia empregada nas reaçoes químicas, diferentes produtos possam ser gerados, inclusive, existem algumas reaçoes que ocorrem na dependência de uma fonte de energia específica.25,27 Portanto, a mecanoquímica se apresenta nao apenas como uma alternativa ecologicamente "amigável", mas também, trata-se de uma energia alternativa às convencionais, e que pode ser utilizada para promover reaçoes químicas. Além de ser uma metodologia sintética sustentável, a mecanoquímica representa uma oportunidade para exploraçao de um novo campo de reaçoes químicas, em que produtos nao esperados para determinadas reaçoes podem ser obtidos com a alternância da fonte energética empregada.

As primeiras reaçoes mecanoquímicas foram realizadas usando gral e pistilo, o instrumento tradicional de moagem.27 No entanto, como tais reaçoes se comportam a depender do operador, pois cada indivíduo pode imprimir diferentes quantidades de energia, e reaçoes por longos períodos requerem resistência física, foram desenvolvidos dispositivos eletrônicos de moagem,25 como por exemplo, o moinho de bolas planetário.

Entendendo a mecanoquímica como alternativa eficaz e ambientalmente amigável, esta pode ser empregada para a obtençao de azinas acíclicas simétricas com potencialidades medicinais ou de gerar novos materiais.

 

PARTE EXPERIMENTAL

Reagentes e equipamentos

Todos os reagentes empregados foram obtidos de fonte comercial e utilizados sem purificaçao prévia. As substâncias obtidas tiveram suas temperaturas de fusao determinadas em triplicata empregando fusiômetro digital modelo MQAPF-302 da Microquímica Equipamentos LTDA. As Cromatografias em Camada Delgada Analítica (CCDA) foram realizadas em placas de alumínio de 2x4 cm recobertas com sílica gel 60 com indicador de fluorescência UV254nm e reveladas com luz ultravioleta (UV) ou iodo (I2).

A elucidaçao estrutural das azinas foi realizada empregando-se as técnicas de Ressonância Magnética Nuclear de 1H e 13C (RMN de 1H e 13C), 13C-DEPT 135º, assim como, as técnicas bidimensionais de correlaçao homonuclear, 1H, 1H-COSY, e heteronuclear, 1H, 13C (HSQC e HMBC). Os espectros de RMN foram registrados em um aparelho Bruker AscendTM 400, o qual opera a 400 MHz para o núcleo de 1H e a 100 MHz para o núcleo de 13C. Os deslocamentos químicos (δ) foram obtidos em ppm utilizando o tetrametilsilano (TMS) como padrao interno. Todas as amostras foram solubilizadas em solvente deuterado (CDCl3 ou DMSO-d6).

Os espectros de absorçao molecular na regiao do ultravioleta e visível foram obtidos usando um espectrofotômetro de absorçao molecular (Nova Instruments 1600UV) e cubetas de quartzo.

Os espectros de absorçao no infravermelho com transformada de Fourier (FTIR) foram obtidos utilizando o equipamento PerkinElmer® (Spectrum 400).

Síntese e caracterizaçao das azinas

Em um almofariz foi misturado o aldeído adequado (1,0 mmol), o sulfato de hidrazina (0,5 mmol) e a trietilamina (0,5 mmol). Em seguida, a mistura foi triturada manualmente com auxílio de um pistilo em tempos que variaram de 5-10 minutos, e o progresso da reaçao foi acompanhado por CCDA. A pasta formada foi vertida em água gelada, e o sólido gerado foi filtrado e seco à temperatura ambiente. As azinas obtidas foram cristalizadas utilizando etanol e água deionizada.

Benzaldazina (1)

Sólido de coloraçao amarelo pálido esverdeado (Figura 1S); rendimento de 84%; PF: 86-87 ºC; RMN de 1H (400 MHz, CDCl3): δ ppm 8,68 (s, 2H, HC=N); 7,89-7,81 (m, 4H, Ar); 7,51-7,43 (m, 6H, Ar). RMN de 13C (100 MHz, CDCl3): δ ppm 162,2 (C=N); 134,0 (N=C-CAr); 131,2 (CAr); 128,8 (CAr); 128,6 (CAr). IV: / cm-1 3047 (C-H sp2); 2944 (C-H sp3); 1623 (C=N); 1578 (C=N; C=N-N=C), Figuras 2S-8S.

2-hidroxialdazina (2)

Sólido de coloraçao amarelo pálido (Figura 1S); rendimento de 54%; PF: 212-214 ºC; RMN de 1H (400 MHz, CDCl3): δ ppm 11,40 (s, 2H, OH); 8,72 (s, 2H, HC=N); 7,44-7,33 (m, 4H, Ar); 7,04 (d, J = 7,9 Hz, 2H, Ar); 6,97 (td, J = 7,6; 1,1 Hz, 2H, Ar). RMN de 13C (100 MHz, CDCl3): δ [ppm] 164,7 (C=N); 159,8 (OH-CAr); 133,4 (CAr); 132,6 (CAr); 119,7 (CAr); 117,3 (CH-CAr); 117,1 (CAr). IV: / cm-1 3047 (C-H sp2); 2950 (C-H sp3); 1623 (C=N); 1571 (C=N; C=N-N=C), Figuras 9S-15S.

4-hidroxialdazina (3)

Sólido de coloraçao amarelo pálido (Figura 1S); rendimento de 69%; PF: 230 ºC; RMN de 1H (400 MHz, DMSO-d6): δ ppm 10,10 (s, 2H, OH); 8,57 (s, 2H, HC=N); 7,70 (d, J = 8,7 Hz, 4H, Ar); 6,87 (d, J = 8,6 Hz, 4H, Ar). RMN de 13C (100 MHz, DMSO-d6): δ ppm 160,4 (C=N); 160,3 (OH-CAr); 130,1 (CAr); 125,1 (CH-CAr); 115,8 (CAr). IV: / cm-1 3022 (C-H sp2); 2937 (C-H sp3); 1623 (C=N); 1597 (C=N; C=N-N=C), Figuras 16S-22S.

Vanilidazina (4)

Sólido de coloraçao amarelo escuro (Figura 1S); rendimento de 70%; PF: 172-176 ºC; RMN de 1H (400 MHz, DMSO-d6): δ ppm 8,74 (s, 2H, HC=N); 7,58 (d, J = 1,5 Hz, 2H, Ar); 7,32 (dd, J = 8,2; 1,7 Hz, 2H, Ar); 6,93 (d, J = 8,1 Hz, 2H, Ar); 3,85 (s, 6H, OCH3). RMN de 13C (100 MHz, DMSO-d6): δ ppm 160,9 (C=N); 151,0 (OH-CAr); 148,1 (CH3O-CAr); 124,8 (CAr); 124,2 (CH-CAr); 115,6 (CAr); 110,4 (CAr); 55,6 (OCH3). IV: / cm-1:3002 (C-H sp2); 2931 (C-H sp3); 1623 (C=N); 1597 (C=N; C=N-N=C), Figuras 23S-29S.

4-dimetilaminobenzoazina (5)

Sólido de coloraçao amarelo escuro (Figura 1S); rendimento de 72%; PF: 67-68 ºC; RMN de 1H (400 MHz, CDCl3): δ ppm 8,58 (s, 2H, HC=N); 7,70 (d, J = 8,9 Hz, 4H, Ar); 6,72 (d, J = 8,9 Hz, 4H, Ar); 3,03 (s, 12H, N(CH3)2). RMN de 13C (100 MHz, CDCl3): δ ppm 160,8 (C=N); 152,0 (CAr-N(CH3)2); 129,8 (CAr); 122,0 (CAr-C=N); 111,6 (CAr); 40,2 (N(CH3)2). IV: / cm-1:3040 (C-H sp2); 2915 (C-H sp3); 1660 (C=N); 1364 (C-N), Figuras 30S-36S.

Cinamaldazina (6)

Sólido de coloraçao amarelo ouro (Figura 1S); rendimento de 70%; PF: 161-163 ºC; RMN de 1H (400 MHz, DMSO-d6): δ ppm 8,39 (d, J = 9,5 Hz, 2H, HC=N); 7,66 (d, J = 7,1 Hz, 4H, Ar); 7,36-7,31 (m, 8H, Ar); 7,15 (dd, J = 16,00; 9,50 Hz, 2H, HC=CH). RMN de 13C (100 MHz, DMSO-d6): δ ppm 163,2 (C=N); 143,4 (C=C); 135,6 (CH-CAr); 129,5 (CAr); 129,0 (CAr); 127,5 (CAr); 125,3 (C=C). IV: / cm-1:3040 (C-H sp2); 2924 (C-H sp3); 1630 (C=N); 1584 (C=N; C=N-N=C), Figuras 37S-43S.

Determinaçao do Fator de Proteçao Solar UVB in vitro

Preparaçao das formulaçoes

As formulaçoes foram preparadas contendo o ativo (aldeídos, azinas ou filtros comerciais - benzofenona-3 e metoxicinamato de octila) na concentraçao de 10,0 % (m/m). Inicialmente, 25 mg de cada substância foi pesada, e posteriormente dispersa em 25 mg de propilenoglicol sob agitaçao manual com auxílio de bastao de vidro. Por fim, foram adicionados 200 mg de creme base Polawax® a 6,0% (formulaçao base de protetor solar comercial) e homogeneizados sob agitaçao manual com bastao de vidro, Figura 1S. A formulaçao do "branco", utilizada para zerar o espectrofotômetro, foi preparada utilizando 25 mg de propilenoglicol e 225 mg de creme base. As formulaçoes preparadas foram identificadas de acordo com a Tabela 1S.

Determinaçao do fator de proteçao solar UVB in vitro das formulaçoes

Foram preparados 50 mL de soluçoes etanólicas (96 ºGL) com concentraçoes iniciais de 1,0 x 10-3 mol L-1 de cada composto incorporado, utilizando as formulaçoes preparadas especificadas na Tabela 1S. Para determinar o FPS-UVB in vitro das formulaçoes foram preparadas soluçoes nas concentraçoes de 5,0 x 10-5 e 2,5 x 10-5 mol L-1, a partir da diluiçao da soluçao inicial (1,0 x 10-3 mol L-1), sendo essas preparadas e analisadas em triplicata. Inicialmente, obteve-se o espectro de absorçao UV-Vis característico de cada formulaçao, empregando-se a soluçao na concentraçao de 2,5 x 10-5 mol L-1 e realizando leituras na faixa de comprimento de onda entre 200 e 450 nm, com variaçao de 5 nm. Em seguida, leituras espectrofotométricas foram realizadas para a soluçao de concentraçao 5,0 x 10-5 mol L-1, nos comprimentos de onda de 290 a 320 nm. As absorbâncias obtidas foram aplicadas na equaçao determinada e descrita por Mansur e colaboradores, para as conversoes aos respectivos valores de FPS-UVB, Equaçao 1.28

em que FC refere-se ao fator de correçao (que assume valor 10); EE(λ ) refere-se ao efeito eritematogênico da radiaçao em comprimento de onda específico; I(λ ) refere-se à intensidade da radiaçao solar em cada comprimento de onda específico; e Abs(λ ) refere-se à leitura espectrofotométrica da absorbância da amostra (soluçao etanólica da formulaçao) em cada comprimento de onda. Cabe salientar que os valores ponderais normalizados em funçao da ocorrência de eritemas na faixa UVB em cada comprimento de onda sao valores resultantes do produto entre os parâmetros EE(λ ) e I(λ ), e seguem dispostos na Tabela 2S.29

 

RESULTADOS E DISCUSSAO

Síntese das azinas simétricas por moagem manual e caracterizaçao estrutural

Empregando energia mecânica, através de moagem manual, seis azinas simétricas foram sintetizadas na ausência de solventes a partir de aldeídos aromáticos e sulfato de hidrazina, empregando trietilamina como catalisador. Os rendimentos das reaçoes foram satisfatórios (54-84%), e a água e o etanol, solventes verdes, foram usados na precipitaçao e purificaçao dos produtos, Tabela 1.

 

 

A obtençao das seis azinas simétricas, com bons rendimentos e empregando os princípios da macanoquímica e Química Verde, permite que essa síntese seja enquadrada no chamado Princípio de Price, em referência a Barry Price, inventor da ranitidina, o qual preconiza o uso de metodologias de baixo custo e alta reprodutibilidade.30

As azinas sintetizadas tiveram suas estruturas moleculares caracterizadas através da espectroscopia de RMN de 1H e 13C (400 e 100 MHz, CDCl3), incluindo as técnicas bidimensionais 1H, 1H-COSY, 1H, 13C (HSQC e HMBC) e 13C-DEPT 135º, em que todos os carbonos e hidrogênios tiveram os deslocamentos químicos atribuídos. Além da caracterizaçao por RMN, foram obtidos os espectros de absorçao na regiao do IV.

O espectro de RMN de 13C (100 MHz, CDCl3) da benzaldazina (1) (Figura 3S) apresentou 5 linhas espectrais. Através da análise comparativa dos espectros de RMN de 13C e 13C-DEPT 135º (100 MHz, CDCl3) (Figura 4S) foi possível determinar a presença de quatro sinais de carbono monoidrogenado (CH), todos eles localizados na regiao de carbono com hibridizaçao sp2 e na regiao de carbono de anel aromático, sendo o sinal em δC 162,2 referente aos carbonos C=N. Também foi identificado um sinal de carbono nao hidrogenado na regiao de hibridizaçao sp2 em δC 134,0.

Analisando o espectro de RMN de 1H (400 MHz, CDCl3) da benzaldazina (1) (Figura 2S) foram observados sinais na regiao de hidrogênio aromático, os multipletos em δH 7,89-7,81 e δH 7,51-7,43, referentes a dez hidrogênios; e um simpleto em uma regiao mais desblindada do espectro, em δH 8,68, com integral para dois hidrogênios, o qual é referente aos hidrogênios do grupo funcional aldazina (HRC=N-N=CRH). No espectro bidimensional de correlaçao heteronuclear direta, 1H,13C-HSQC (400 MHz, CDCl3) (Figura S6), foi observada a correlaçao entre o sinal em δH 8,68, referente aos hidrogênios azínicos, com o sinal de carbono em δC 162,2. Por fim, a ausência de sinal de carbonila (δC 185,0-220,0) e hidrogênio (δH 9,00-10,00) aldeídico ratifica o sucesso da reaçao.30

Diferentemente do espectro da benzaldazina (1), o espectro de RMN de 13C (100 MHz, CDCl3) da 2-hidroxialdazina (2) (Figura 10S) apresentou dois sinais para carbono nao hidrogenado em δC 117,3 e 159,8, estes sao referentes aos carbonos, dos anéis aromáticos ligados aos grupos azina e hidroxila, respectivamente.

No espectro de RMN de 1H (400 MHz, CDCl3) da 2-hidroxialdazina (2) (Figura 9S) foi possível observar dois simpletos em regiao desblindada (δH 11,40 e 8,72), cada um referente a dois hidrogênios; além dos sinais em δH 7,44-7,33, em δH 7,04 e em δH 6,97, relativos aos hidrogênios aromáticos. Conforme o espectro 1H,13C-HSQC (400 MHz, CDCl3) (Figura 13S), os hidrogênios em δH 11,40 nao sao ligados diretamente a carbono, enquanto que os hidrogênios em δH 8,72 acoplam diretamente com o sinal de carbono azínico (δC 164,7). Além disso, no espectro de correlaçao heteronuclear 1H,13C-HMBC (400 MHz, CDCl3) (Figura 14S), o qual possibilita correlacionar os átomos de hidrogênio e carbono a duas (2JC-H) e três (3JC-H) ligaçoes, foi possível observar a correlaçao entre os sinais do hidrogênio em δH 8,72 com os carbonos em δC 117,3, 132,6 e 159,8, Figura 3.

 


Figura 3. Representaçao das principais correlaçoes que confirmaram a estrutura molecular das azinas sintetizadas (2-6). As setas simples representam o acoplamento 1H,13C a 2,3JC-H e as setas duplas representam o acoplamento entre os hidrogênios vicinais

 

O espectro de RMN de 13C (100 MHz, DMSO-d6) da 4-hidroxialdazina (3) (Figura 17S) apresentou dois sinais de carbono nao hidrogenado em δC 160,3 e 125,1, e três sinais de carbono monoidrogenado, um deles em δC 160,4, referente aos carbonos C=N. No espectro de RMN de 1H (400 MHz, DMSO-d6) da 4-hidroxialdazina (3) (Figura 16S) observou-se dois simpletos em regiao desblindada (δH 10,10 e 8,57), cada um com integral para dois hidrogênios, além de dois dubletos em δH 7,70 e 6,87, com J = 8,6 Hz, cada um referente a quatro hidrogênios, o que comprova a relaçao para entre os substituintes dos anéis aromáticos. O espectro 1H,13C-HSQC (400 MHz, DMSO-d6) (Figura 20S) revela que os hidrogênios em δH 10,10 nao se encontram ligados a carbonos, correspondendo, portanto, aos hidrogênios das hidroxilas p-substituintes. Ademais, os hidrogênios em δH 8,57 acoplam com o sinal de carbono azínico (δC 160,4). No espectro 1H,13C-HMBC (400 MHz, CDCl3) (Figura 21S) foi observada a relaçao entre os hidrogênios em δH 8,57 com os sinais de carbono em δC 130,1 e 125,1, Figura 3.

No espectro de RMN de 13C (100 MHz, DMSO-d6) da vanilidazina (4) (Figura 24S) foi possível identificar três sinais de carbono nao hidrogenado em δC 151,0, 148,1 e 124,2, quatro de carbono monoidrogenado e um de carbono com hibridizaçao sp3 em δC 55,6.

O espectro de RMN de 1H (400 MHz, DMSO-d6) da vanilidazina (4) (Figura 23S), por sua vez, revelou cinco sinais, sendo eles: um simpleto em δH 8,74, com integral para dois hidrogênios, dois dubletos em δH 7,58 e 6,93 e um duplo dubleto em δH 7,32, os três últimos com integral para dois hidrogênios cada. Além desses, foi observado um simpleto em δH 3,85 com integral para seis hidrogênios. No espectro 1H,13C-HSQC (400 MHz, DMSO-d6) (Figura 27S) foi observado que os hidrogênios em δH 8,74 e 3,85 correlacionam com carbonos em δC 160,9 e 55,6, respectivamente, enquanto que no espectro 1H,13C-HMBC (400 MHz, DMSO-d6) (Figura 28S) foi detectada a correlaçao entre os sinais de hidrogênio em δH 8,74 com os carbonos em δC 124,8, 124,2 e 110,4, Figura 3.

O espectro de RMN de 13C (100 MHz, CDCl3) da 4-dimetilaminobenzoazina (5) (Figura 31S) apresentou dois sinais de carbono nao hidrogenado, em δC 152,0 e 122,0, referentes aos carbonos aromáticos substituídos. Também foi possível identificar três sinais de carbono monoidrogenado com hibridizaçao sp2, um deles (δC 160,8) sendo referente aos carbonos C=N. Ademais, em δC 40,2, foi observado o sinal das metilas do grupo N(CH3)2.

O espectro de RMN de 1H (400 MHz, CDCl3) da 4-dimetilaminobenzoazina (5) (Figura 30S) exibiu dois simpletos em δH 8,58 (2H) e 3,03 (12H); além de dois dubletos em δH 7,70 e 6,72, com integral para 4 hidrogênios cada. O espectro 1H,13C-HSQC (400 MHz, CDCl3) (Figura 34S), por sua vez, mostrou a ligaçao direta entre os hidrogênios em δH 8,58 com o sinal de carbono em δC 160,8, confirmando dessa maneira os sinais dos hidrogênios e carbonos do grupo azina. No espectro de correlaçao heteronuclear a 2,3JC-H, 1H,13C-HMBC (400 MHz, CDCl3) (Figura 35S), foi possível verificar a correlaçao entre os hidrogênios em δH 3,03 e o sinal de carbono em δC 152,0, e entre os hidrogênios em δH 8,58 com os sinais em δC 122,1 e 129,8, Figura 3.

A cinamaldazina (6) apresentou sete sinais no espectro de RMN de 13C (100 MHz, DMSO-d6) (Figura 38S). Foi possível determinar a presença de um sinal de carbono nao hidrogenado, em δC 135,6, e seis de carbono monoidrogenado, um deles em δC 163,2, o qual é referente aos carbonos C=N. Por sua vez, o espectro de RMN de 1H (400 MHz, DMSO-d6) da cinamaldazina (6) (Figura 37S) mostrou quatro sinais, dois dubletos, em δH 8,39 e 7,66, um mutltipleto, em δH 7,36-7,31, e um duplo dubleto em δH 7,15, com integraçao respectivamente de 2:4:8:2. O espectro bidimensional de correlaçao homonuclear,1H,1H-COSY (400 MHz, DMSO-d6) (Figura 40S), apresenta a relaçao entre os hidrogênios em δH 8,39 e 7,15. Já o espectro 1H,13C-HSQC (400 MHz, DMSO-d6) (Figura 41S) revela a ligaçao direta entre os hidrogênios em δH 8,39 com o sinal de carbono em δC 163,2, e dos hidrogênios em δH 7,15 com o sinal em δC 125,3. No espectro 1H,13C-HMBC (400 MHz, DMSO-d6) (Figura 42S) é revelada a correlaçao entre os hidrogênios em δH 7,15 com os carbonos em δC 135,6 e 143,4, Figura 3.

As bandas de absorçao observadas no espectro de IV das azinas corroboram com os dados dos experimentos de RMN. A banda referente à ligaçao C=N foi observada em 1623 cm-1 nos espectros da benzaldazina (1), 2-hidroxialdazina (2), 4-hidroxialdazina (3) e vanilidazina (4) (Figuras 8S, 15S, 22S, 29S). O mesmo grupo apresentou bandas de absorçao em 1660 cm-1 e 1630 cm-1, nos espectros da 4-dimetilaminobenzoazina (5) (Figura 36S) e cinamaldazina (6) (Figura 43S), respectivamente.31,32

Preparaçao das formulaçoes e determinaçao do FPS-UVB

Com a confirmaçao das estruturas moleculares dos compostos sintéticos por espectroscopia de RMN e IV, as formulaçoes fotoprotetoras 10,0 %(m/m) foram adequadamente preparadas conforme relatado na metodologia. As cores adquiridas pelas formulaçoes após a incorporaçao dos compostos testados foram semelhantes à coloraçao original dos compostos orgânicos, conforme Figura 1S.

Para fins de organizaçao, as formulaçoes fotoprotetoras contendo os aldeídos precursores, as azinas sintetizadas e os filtros comerciais foram nomeadas conforme: BDZ (benzaldeído); AZN-BDZ (benzaldazina); 2-OH (2-hidroxibenzaldeído); AZN-2OH (2-hidroxibenzaldazina); 4-OH (4-hidroxibenzaldeído); AZN-4OH (4-hidroxibenzaldazina); VAN (vanilina); AZN-VAN (vanilidazina); CIN (cinamaldeído); AZN-CIN (cinamaldazina); 4DAB (4-dimetilaminobenzaldeído); AZN-4DAB (4-dimetilaminobenzoazina); BZF (benzofenona) e OMC (metoxicinamato de octila).

Com as formulaçoes devidamente preparadas foi possível obter os espectros de absorçao molecular na faixa de comprimento de onda situada entre 200 e 450 nm. Para fins de comparaçao, também foi obtido o espectro de absorçao na regiao do UV/Vis das formulaçoes contendo os aldeídos precursores das azinas e os filtros químicos comerciais benzofenona-3 (BZF) e metoxicinamato de octila (OMC). O resultado desse ensaio pode ser visto na Figura 4.

 


Figura 4. Espectros de absorçao molecular UV/Vis das formulaçoes contendo os aldeídos precursores, as azinas sintetizadas e os filtros comerciais na concentraçao de 2,5 x 10-5 mol L-1 empregando-se etanol 96 ºGL

 

As formulaçoes BZF e OMC apresentam bandas de máxima absorçao (λmax) nos comprimentos de onda de 280 e 325 nm, para a primeira, e 230 e 310 nm para a segunda, corroborando com a literatura.33,34 A AZN-BZD e a AZN-4OH absorveram principalmente na regiao UVB, com λmax em 300 e 280 nm, respectivamente, enquanto que aAZN-VAN, a AZN-CIN e a AZN-4DAB absorveram principalmente na regiao UVA, com λmax em 335, 345 e 390 nm, respectivamente. A AZN-2OH, apresentou capacidade de absorçao significativa tanto na regiao UVB (λmax 295 nm) quanto na UVA (λmax 355 nm).

O FPS-UVB das formulaçoes foi determinado pelo método in vitro desenvolvido por Mansur e colaboradores.28 Santos e colaboradores compararam o FPS de formulaçoes contendo OMC empregando o método desenvolvido por Mansur e o método in vivo preconizado pelo Food and Drug Administration (FDA), e concluíram que há uma boa relaçao entre os resultados obtidos pelos dois métodos.35 Ademais, considerando que o método in vivo de avaliaçao do FPS-UVB é realizado em seres humanos, iniciar os estudos usando previamente um método in vitro para testar a capacidade fotoprotetora de novos filtros químicos é um protocolo que deve ser estimulado.

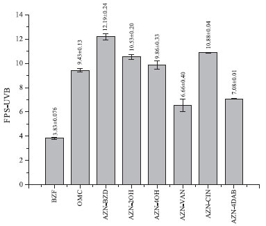
Com a finalidade de se determinar os valores de FPS-UVB das formulaçoes preparadas, foram realizadas as leituras em triplicata, no espectrofotômetro UV/Vis na regiao de 290-320 nm, e os FPS-UVB calculados de acordo com a Equaçao 1. Os resultados obtidos estao expressos na Figura 5, com valores de FPS ± Desvio Padrao (DP).

 


Figura 5. Figura 5. FPS-UVB ± DP obtido a partir de soluçoes etanólicas das formulaçoes contendo as azinas sintéticas e os filtros químicos orgânicos BZF e OMC na concentraçao de 5,0 x 10-5 mol L-1

 

Ao analisar os valores de FPS-UVB obtidos na concentraçao de 5,0 x 10-5 mol L-1, nota-se que todas as formulaçoes contendo as azinas sintetizadas apresentaram FPS-UVB superiores ao filtro de referência BZF (3,83 ± 0,08). Já comparando os respectivos FPS-UVB das azinas sintetizadas com o do OMC (9,43 ± 0,13), um filtro solar orgânico com maior capacidade de absorçao de radiaçao UV, a AZN-VAN (6,66 ± 0,40) e a AZN-4DAB (7,08 ± 0,01) apresentaram atividade fotoprotetora inferior. E ao analisar o espectro de absorçao molecular do AZN-4DAB percebe-se que esta azina absorve com mais eficiência na regiao UVA, enquanto que o OMC apresenta absorçao tanto na regiao do UVA quanto do UVB, Figura 4.

O OMC é um filtro solar orgânico que sofre fotoisomerizaçao, no qual o isômero E absorve radiaçao UV e é convertido ao isômero Z (mais energético). Durante o retorno à configuraçao mais estável há liberaçao de radiaçao infravermelha e visível em um processo contínuo.34 Considerando que as azinas funcionam como bloqueador de conjugaçao e sofrem fotoisomerizaçao, possivelmente a absorçao de radiaçao ultravioleta pelas azinas simétricas (1-6) sintetizadas no presente trabalho ocorre pela isomerizaçao dos compostos de sua forma menos energética E/E para as formas mais energéticas E/Z e Z/Z.

Para avaliar a influência do grupo funcional azina no fator de proteçao solar UVB foram determinados os valores de FPS-UVB de formulaçoes na concentraçao de 10,0 %(m/m) dos aldeídos empregados como reagente de partida na síntese das azinas. Como pode ser observado na Figura 6, as formulaçoes contendo os aldeídos nao apresentaram FPS-UVB significativos, com exceçao da CIN, preparaçao contendo o cinamaldeído, com FPS-UVB de 6,53±0,53.

 


Figura 6. FPS-UVB ± DP obtido a partir de soluçoes etanólicas das formulaçoes contendo as azinas sintéticas e os aldeídos precursores na concentraçao de 5,0 x 10-5 mol L-1

 

Comparando-se os espectros de varredura UV-Vis das azinas e dos aldeídos precursores (Figura 4) foi observado que a introduçao do grupo azina na molécula promoveu um deslocamento batocrômico e um efeito hipercrômico no perfil de absorçao molecular dos aldeídos utilizados, Figura 4. Esses deslocamentos favoreceram o aumento do FPS-UVB em todas as formulaçoes contendo as azinas simétricas (1-6), Figura 6. Dessa forma, foi constatado que as azinas simétricas sintetizadas por mecanoquímica sao moléculas com maior capacidade fotoprotetora que seus aldeídos precursores, e apresentam FPS-UVB comparável ou superior a dois dos principais filtros químicos comerciais, a BZF e o OMC.

 

CONCLUSAO

Neste trabalho foram sintetizadas seis azinas acíclicas simétricas, empregando-se a moagem manual como fonte de energia, com rendimentos reacionais satisfatórios, entre 54 e 84%. Também foram preparadas formulaçoes fotoprotetoras contendo as azinas sintetizadas, sendo que quatro apresentaram FPS-UVB maior que a formulaçao contendo o metoxicinamato de octila (OMC), o filtro químico comercial adotado como referencial comparativo, fato que demonstrou a alta capacidade fotoprotetora desta série de azinas. As formulaçoes AZN-VAN e AZN-4DAB contendo, respectivamente, vanilidazina e 4-dimetilaminobenzoazina, foram as que apresentaram menor FPS-UVB, porém, observa-se que essas duas formulaçoes apresentam maior capacidade de absorver radiaçao UVA. Sendo assim, os valores de FPS-UVB obtidos para as formulaçoes preparadas, em associaçao com as vantagens de ter sido adotado um método sintético ambientalmente favorável e de baixo custo para a obtençao dos produtos almejados, tornam as azinas candidatas promissoras a novos filtros solares orgânicos.

 

MATERIAL SUPLEMENTAR

Os espectros uni (1D) e bidimensionais (2D) de 1H RMN e 13C RMN das azinas sintetizadas, bem como os IV e imagem das preparaçoes fotoprotetoras estao disponíveis em http://quimicanova.sbq.org.br, na forma de arquivo PDF, com acesso livre.

 

AGRADECIMENTOS

Ao CNPq e CAPES pelo aporte financeiro através de bolsas e a UNIVASF pelo apoio com reagentes e equipamentos.

 

REFERENCIAS

1. http://www2.inca.gov.br/wps/wcm/connect/tiposdecancer/site/home/pele_melanoma, acessada em fevereiro 2019; http://www2.inca.gov.br/wps/wcm/connect/tiposdecancer/site/home/pele_nao_melanoma, acessada em fevereiro 2019; http://www1.inca.gov.br/vigilancia/, acessada em fevereiro 2019.

2. Francis, S. O.; Mahlberg, M. J.; Johnson, K. R.; Ming, M. E.; Dellavalle, R. P.; J. Am. Acad. Dermatol. 2006, 55, 849.

3. http://bvsms.saude.gov.br/bvs/saudelegis/anvisa/2012/rdc0030_01_06_2012.pdf, acessada em fevereiro 2019.

4. http://sbd.tempsite.ws/capele/gestao/caracteristicas_fotoprotecao.asp?uf=NULL&cidade=
NULL&servico=NULL&campanha=16
, acessada em fevereiro 2019.

5. https://www.google.com/url?sa=t&rct=j&q=&esrc=s&source=web&cd=1&cad=rja&uact=8&ved=2ahUKE
wjQhR2G7MLgAhWXH7kGHbjLD80QFjAAegQIAxAB&url=http%3A%2F%2Fportal.anvisa.gov.br%2Fresultado-debusca%3Fp_p_id%3D101%26p_p_lifecycle%3D0%26p_p_state%3Dmaximized%26p_p_mode%3Dview%26p_
p_col_id%3Dcolumn-1%26p_p_col_count%3D1%26_101_struts_action%3D%252Fasset_publisher%252Fview_content%26_101_asset
EntryId%3D2868557%26_101_type%3Dcontent%26_101_groupId%3D219201%26_101_urlTitle%3Dfiltro-solar-medicamentoou-cosmetico%26inheritRedirect%3Dtrue&usg=AOvVaw3cdwhkTx-euOUGsJdyq4ms
, acessada em fevereiro 2019.

6. Kurteva, V. B.; Simeonov, S. P.; Stoilova-Disheva, M., 2011; Pharmacol. Pharm. 2011, 2, 1; International Union of Pure and Applied Chemistry (IUPAC); Compendium of Chemical Terminology, 2nd ed., Blackwell Scientific Publications: Oxford, 1997.

7. Ramakrishnan, A.; Chourasiya, S. S.; Bharatam, P. V.; RSC Adv. 2015, 5, 55938.

8. Ha, S-T.; Koh, T-M.; Lee, S-L.; Yeap, G-Y.; Lin, H-C.; Ong, S-T.; Liq. Cryst. 2010, 37, 547.

9. Sauro, V. A.; Workentin, M. S.; J. Org. Chem. 2001, 66, 831; Zuman, P.; Ludvik, J.; Tetrahedron Lett. 2000, 41, 7851.

10. Lewis, M.; Glaser, R.; J. Org. Chem. 2002, 67, 1441.

11. Safari, J.; Gandomi-Ravandi, S.; RSC Adv. 2014, 4, 46224.

12. Loghmani-Khouzani, H.; Sadeghi, M. M. M.; Safari, J.; Sabzi-Fini. O.; J. Sci., Islamic Repub. Iran 2001, 12, 233; Shang, Z.; Reiner, J.; Chang, J.; Zhao, K.; Tetrahedron Lett. 2005, 46, 2701.

13. Gul, H. I.; Gul, M.; Vepsälainen, J.; Erciyas, E.; Hänninen, O.; Biol. Pharm. Bull. 2003, 26, 631.

14. Jayabharathi, J.; Thanikachalam, V.; Thangamani, A.; Padmavathy, M.; Med. Chem. Res. 2007, 16, 266.

15. Khan, K. M.; Jamil, W.; Ambreen, N.; Taha, M.; Perveen, S.; Morales, G. A.; Ultrason. Sonochem. 2014, 21, 1200.

16. Zarnegar, Z.; Alizadeh, R.; Ahmadzadeh, M.; Safari, J.; J. Mol. Struct. 2017, 1144, 58.

17. Lee, B.; Kang, S. H.; Kang, D.; Lee, K. H.; Cho, J.; Nam, W.; Han, O. H.; Hur, N. H.; Chem. Commun. 2011, 47, 11219.

18. Zhang, M.; Shang, Z-R.; Li, X-T.; Zhang, J-N.; Wang, Y.; Li, K.; Li, Y-Y.; Zhang, Z-H.; Synth. Commun. 2017, 47, 178.

19. Safari, J.; Gandomi-Ravandi, S.; Shariat, S.; J. Iran. Chem. Soc. 2016, 13, 1499.

20. Kaboudin, B.; Alipour, S.; Heteroat. Chem. 2012, 23, 304.

21. Eshghi, H.; Hosseini, M.; J. Chin. Chem. Soc. 2008, 55, 636.

22. Safari, J.; Gandomi-Ravandi, S.; Synth. Commun. 2011, 41, 645.

23. Lenardao, E. J.; Freitag, R. A.; Dabdoub, M. J.; Batista, A. C. F.; Silveira, C. C.; Quim. Nova 2003, 26, 123.

24. Achar, T. K.; Bose, A.; Mal, P.; Beilstein J. Org. Chem. 2017, 13, 1907.

25. Howard, J. L.; Cao, Q.; Browne, D. L.; Chem. Sci. 2018, 9, 3080.

26. Beyer, M. K.; Clausen-Schaumann, H.; Chem. Rev. 2005, 105, 2921.

27. Takacs, L.; Chem. Soc. Rev. 2013, 42, 7649.

28. Mansur, J. S.; Breder, M. N. R.; Mansur, M. C. A.; Azulay, R. D.; An. Bras. Dermatol. 1986, 61, 121.

29. Oliveira-Junior, R. G.; Souza, R. G.; Guimaraes, A. L.; Oliveira, A. P.; Araújo, C. S.; Silva, J. C.; Pacheco, A. G. M.; Lima-Saraiva, S. R. G.; Rolim, L. A.; Rolim Neto, P. J.; Castro, R. N.; Almeida, J. R. G. S.; Afr. J. Pharm. Pharmacol. 2015, 9, 576.

30. Araújo, C. R. M.; Santos, V. L. A.; Guimaraes, D. G.; Gonsalves, A. A.; Journal of Analytical & Pharmaceutical Research 2018, 7, 222.

31. Pavia, D. L.; Lampman, G. M.; Kriz, G. S.; Vyvyan, J. R.; Introduçao à espectroscopia, 4th ed., Cengage Learning: Sao Paulo, 2010.

32. Rebolledo, A. P.; Lima, G. M.; Gambi, L. N.; Speziali, N. L.; Maia, D. F.; Pinheiro, C. B.; Ardisson, J. D.; Cortés; M. E.; Beraldo, H.; Appl. Organometal. Chem. 2003, 17, 945.

33. Flor, J.; Davolos, M. R.; Correa, M. A.; Quim. Nova 2007, 30, 153.

34. Nascimento, L. F.; Santos, E. P.; Aguiar, A. P.; Rev. Virtual Quim. 2014, 6, 190.

35. Santos, E. P.; Freitas, Z. M.; Souza, K. R.; Garcia, S.; Int. J. Cosmet. Sci. 1999, 21, 1.

On-line version ISSN 1678-7064 Printed version ISSN 0100-4042
Qu�mica Nova
Publica��es da Sociedade Brasileira de Qu�mica
Caixa Postal: 26037 05513-970 S�o Paulo - SP
Tel/Fax: +55.11.3032.2299/+55.11.3814.3602
Free access

GN1