JBCS



14:55, sáb out 25

Acesso Aberto/TP



Artigo


Adsorção de CO2 em peneiras moleculares micro e mesoporosas
Adsorption of CO2 on micro and mesoporous molecular sieves

Thiago G. OliveiraI; Sanny W. M. MachadoI; Silvia C. G. SantosII; Marcelo J. B. SouzaII; Anne M. Garrido Pedrosa I, *

IDepartamento de Química, Universidade Federal de Sergipe, Cidade Universitária Professor José Aloísio de Campos, Avenida Marechal Rondon, S/N, Jardim Rosa Elze, 49100-000 São Cristóvão - SE, Brasil
IIDepartamento de Engenharia Química e P2CEM, Universidade Federal de Sergipe, Cidade Universitária Professor José Aloísio de Campos, Avenida Marechal Rondon, S/N, Jardim Rosa Elze, 49100-000 São Cristóvão - SE, Brasil

Recebido em 11/07/2013
Aceito em 16/12/2013
Publicado na web em 20/02/2014

Endereço para correspondência

*e-mail: annemgp@ufs.br

RESUMO

Microporous molecular sieves of type Y, Beta, ZSM-5, ZSM-12 and ZSM-35, and mesoporous molecular sieves of type MCM-41 and MCM-48, and these sieves modified with triethanolamine and ethylenediamine were obtained and characterized by XRD, FTIR, TGA and nitrogen adsorption. The adsorption tests were performed by the gravimetric method under a stream of CO2 at ambient temperature and pressure. The adsorbents studied showed maximum adsorption capacity of carbon dioxide in the range of 13.1 to 85.5 mg of CO2 per gram of adsorbent.

Palavras-chave: molecular sieve; adsorption; carbon dioxide.

INTRODUÇÃO

Os seres humanos sempre influenciaram o meio ambiente. Contudo, foi somente após o início da revolução industrial, concomitante ao crescimento populacional, que os impactos das atividades humanas se intensificaram com maior relevância.1 Em especial, ações antrópicas que produzem gases agentes do efeito estufa, a exemplo das acentuadas emissões de dióxido de carbono derivadas da queima de combustíveis fósseis, que modificam a composição atmosférica e o equilíbrio dinâmico existente entre este componente e a biosfera.2

Pesquisas têm demonstrado que o teor de CO2 pode dobrar ainda neste século acarretando drásticas mudanças climáticas.2-4 O desafio atual é promover a mitigação dos impactos ambientais relacionados principalmente à produção de dióxido de carbono, já que este é considerado o maior contribuidor antropogênico para intensificação do aquecimento global.3-5

Cerca de 70% de todas as emissões de CO2 e 60% de todas as emissões de gases de efeito estufa estão relacionados com o uso e produção de diferentes formas de energia.2-6 A busca por fontes energéticas que minimizem essas emissões é de grande importância, como também o uso de ações complementares como processos para captura de gases causadores do efeito estufa das principais fontes emissoras.

Dentre várias atividades que contribuem para liberação de CO2 para o meio ambiente estão a queima de combustíveis fósseis, como o carvão, o gás natural ou petróleo, e processos industriais, tais como usinas de energia, de refino de petróleo e de produção de cimento, ferro e aço.3,5,6

Neste cenário, o combate às emissões de CO2 proveniente de atividades do setor energético, como o tratamento de correntes gasosas, têm se intensificado nos últimos anos. Dentre os processos disponíveis para captura de CO2, destaca-se a absorção química com aminas líquidas,3-5 a qual apresenta algumas desvantagens por ser dispendiosa e gerar rejeitos na sua recuperação. O uso da adsorção gás-sólido seletiva de CO2 tem muitas vantagens sobre a absorção com aminas líquidas, tais como fácil manipulação sem riscos ao ambiente e recuperação do material adsorvente, podendo-se utilizar plantas industriais mais otimizadas.3,7-10

A busca por adsorventes que sejam competitivos para captura de CO2 tem levado vários grupos de pesquisa a projetar materiais dos mais variados tipos, tanto para aplicações em que ocorre o fenômeno de adsorção física como também o da adsorção química. Peneiras moleculares baseadas em rede de sílica micro e mesoporosas, carvões ativos, hidrotalcitas, redes organometálicas (MOFs) e aminas interagindo com diferentes óxidos constituem as principais classes de adsorventes estudados para aplicação na adsorção de CO2.3-5,8-14 As características superficiais e estruturais destes materiais são as mais variadas possíveis e o entendimento da interação do CO2 com estes materiais ainda precisam ser mais bem estudados.

Dentre os materiais microporosos pode-se destacar que as zeólitas compreendem o maior grupo das peneiras moleculares microporosas e são intensamente usadas para a separação e purificação de gases, troca iônica, adsorção e catálise.4,15-23 A eficiência das zeólitas nestes processos se deve a algumas de suas características, tais como: forte acidez/basicidade, estabilidade térmica e hidrotérmica, seletividade e capacidade de adsorção de muitos adsorbatos, etc. Além dos efeitos estéricos, a seletividade das zeólitas para um adsorbato em particular também dependerá da polaridade, da susceptibilidade magnética e da polarização das moléculas. As zeólitas do tipo X (com estrutura do tipo FAU) e do tipo A (com estrutura do tipo LTA) são largamente utilizadas na indústria devido às suas estruturas cristalinas estáveis e de possuírem grandes volumes de poros. A zeólita 13X é bastante utilizada industrialmente e é um importante adsorvente na purificação de gases.4,16,17,23

Para a separação do CO2, citações da literatura indicam que os adsorventes zeolíticos mais adequados são as zeólitas com estrutura do tipo faujasita, em especial a zeólita 13X, que têm tamanho de poro superior ao diâmetro crítico molecular do dióxido de carbono (> 4,0 Å).4,16,24

Dentre vários adsorventes estudados, materiais mesoporosos à base de sílica inorgânica, tais como MCM-41, MCM-48, SBA-15, HMS e MSU tem ganhado grande destaque.4,8,10,12-14,16,18,24

O interesse por estes materiais está em suas estruturas versáteis, que apresentam sistemas de poros uni e tridimensionais com diâmetros que podem variar de 20 a 100 Å, além de suas altas áreas superficiais específicas que podem atingir 1500 m2 g-1. Apesar da vantajosa qualidade estrutural do MCM-41, a estrutura tridimensional do MCM-48 consistindo de dois sistemas de poros independentes e interentrelaçados é potencialmente mais vantajosa para aplicações catalíticas e adsortivas quando comparada com sistemas de poros unidimensionais, pois favorece a difusão de reagentes e produtos através dos poros, sendo menos propensa a bloqueios.25,26

As capacidades de adsorção de CO2 nestes adsorventes mesoporosos ainda podem ser melhoradas pela inserção de grupamentos aminas. Dentre os métodos de inserção de grupos de interesse (metais, íons ou moléculas) em suportes sólidos, a impregnação por via úmida se destaca por ser um método simples, barato e eficiente na incorporação de grupos na superfície dos materiais mesoporosos.8,27 A modificação de materiais mesoporosos com aminas pode se configurar em um processo útil para a remoção de CO2 por causa da habilidade de algumas aminas em formar compostos como carbamato e carbonatos de amônio por meio de reações reversíveis sob temperaturas brandas.28 As estruturas de fase hexagonal e cúbica aliadas com a presença de grupos seletivos ao CO2 podem apresentar um efeito sinérgico no fenômeno de adsorção gás-sólido.

Neste trabalho, peneiras moleculares microporosas do tipo Y, Beta, ZSM-5, ZSM-12 e ZSM-35 e mesoporosas do tipo MCM-41 e MCM-48 foram sintetizadas e avaliadas como adsorvente para captura de CO2 através de um método gravimétrico a baixas pressões e temperaturas. Os materiais mesoporosos MCM-41 e MCM-48 contendo etilenodiamina (EDA) e trietanolamina (TEA) também foram sintetizados e estudados na adsorção de CO2 visando avaliar o efeito das aminas na eficiência de captura de dióxido de carbono.

As peneiras moleculares microporosas escolhidas para estudo neste trabalho tem diâmetros de poro principal maior do que o diâmetro cinético do dióxido de carbono.4,15-17 Além disso, apresentam similaridades quanto ao número de tetraedros na abertura do canal principal (como a Beta e a ZSM-12)17 ou são pertencentes à mesma família (como a ZSM-5, a ZSM-35 e a ZSM-12). Zeólitas com estrutura faujasita (FAU), tais como a X e a Y, têm sido estudadas como adsorvente para captura do CO2 e as zeólitas beta, ZSM-5, ZSM-35 e ZSM-12 apresentam potenciais relevantes como catalisadores e adsorventes.4,10,15-22

 

PARTE EXPERIMENTAL

Obtenção das peneiras moleculares microporosas

A peneira molecular microporosa do tipo NaZSM-12 foi sintetizada pelo método hidrotérmico, usando sílica gel como fonte de silício, hidróxido de sódio como fonte de sódio, pseudoboehmita (1,0Al2O3:3,2H2O) como fonte de alumínio, cloreto de metiltrietilamônio (MTEACl) como direcionador estrutural e água destilada como solvente. Os materiais precursores foram misturados em proporções estequiométricas de modo a se obter um gel com a seguinte composição molar: 20MTEACl: 10Na2O: 100SiO2: 2000H2O: 0,5Al2O3. O procedimento de síntese utilizado foi o adaptado de Pedrosa et al.20 Após a preparação do gel, este foi transferido para um vaso de teflon revestido com uma autoclave de aço inoxidável e aquecido a 140 ºC por 144 horas. Após a cristalização, a autoclave foi retirada da estufa e resfriada até temperatura ambiente. O sólido resultante do processo de cristalização foi separado do líquido sobrenadante por filtração a vácuo, lavado diversas vezes com água destilada (até o pH do filtrado atingir o valor de 7) e seco em estufa a 100 ºC por 2 horas. O material resultante foi calcinado a 450 ºC por 2 horas em sistema de fluxo de ar visando a remoção do direcionador estrutural. Em seguida cerca de 2,0 g deste material zeolítico foi submetido a um processo de troca iônica, onde os cátions sódio (Na+) compensando as cargas da estrutura são substituídos pelos os íons amônio (NH4+) provenientes de uma solução aquosa de cloreto de amônio (1 L e 1,0 mol L-1), realizada à temperatura de 70 ºC por 2 horas. Após três trocas sucessivas, filtração e lavagem, as amostras foram secas em estufa a 100 ºC por 2 horas.

As peneiras moleculares microporosas do tipo NaY, NH4Beta, NH4ZSM-5 e NH4ZSM-35, foram adquiridas da Zeolyst International com as seguintes razões de SiO2/Al2O3: 5,1; 25,0; 80,0 e 20,0, respectivamente. A zeólita NaY foi submetida a um processo de troca iônica similar ao descrito para a zeólita NaZSM-12.

Obtenção das peneiras moleculares mesoporosas

As peneiras moleculares mesoporosas do tipo SiMCM-41 e SiMCM-48 foram sintetizadas partindo do método hidrotérmico e com base nos procedimentos adaptados de Souza et al.29,30 e Doyle et al.31 Os reagentes usados na síntese do MCM-41 foram sílica gel e silicato de sódio como fonte de silício e sódio, brometo de hexadeciltrimetilamônio (CTMABr) como direcionador estrutural e água destilada. Para o ajuste do pH, foi utilizado uma solução aquosa a 30 % de ácido acético. Os reagentes foram misturados a fim de obter um gel com a seguinte composição molar: 4,58SiO2: 0,437Na2O: 1,0CTMABr: 200H2O. Para a síntese do MCM-48 foram utilizados o tetraetilortosilicato como fonte de silício, o hidróxido de sódio como fonte de sódio, o brometo de hexadeciltrimetilamônio (CTMABr) como direcionador estrutural e água destilada. A composição molar para o gel de síntese utilizada foi: 1,0SiO2: 0,25Na2O: 0,55CTMABr:100,1H2O.

O gel preparado para a síntese do MCM-41 foi colocado em uma autoclave de aço inox contendo um vaso interno de teflon e aquecido a 100 ºC durante 72 horas. O pH do sistema foi ajustado a cada dia na faixa de 9,5-10. A autoclave contendo o gel do MCM-48 foi submetido a uma temperatura de 130 ºC durante 24 horas. Após a síntese hidrotérmica, um precipitado branco foi formado e este foi recuperado por filtração a vácuo, seguido de lavagem com água destilada e secagem a 100 ºC durante 2 horas. Em seguida o direcionador estrutural foi removido dos materiais por calcinação a 450 ºC durante 2 horas em atmosfera de ar.

Modificação das peneiras moleculares mesoporosas com aminas

As peneiras moleculares SiMCM-41 e SiMCM-48 calcinadas foram impregnadas com diferentes aminas pelo método de impregnação por via úmida previamente descrito por Xu et al.27 com algumas modificações. As aminas utilizadas foram a trietanolamina (T ou TEA) e etilenodiamina (E ou EDA) com um teor de carregamento de 20 % em massa de amina. A quantidade de amina nos adsorventes foi previamente escolhida com base em alguns trabalhos da literatura8,27 que estudaram os efeitos de carregamento de aminas nas capacidades e taxas de adsorção de CO2. Antes da impregnação as peneiras moleculares SiMCM-41 e SiMCM-48 foram secas a 100 ºC durante 2 horas, para retirada de umidade e gases pré-adsorvidos. Em seguida, soluções etanolícas de TEA ou EDA a 0,5 mol L-1 foram impregnadas nos adsorventes secos, seguido de secagem a 60 ºC por 2 horas para evaporar o excesso de solvente. Os adsorventes mesoporosos obtidos após impregnação com aminas foram designados como: EM41, TM41, EM48 e TM48, nos quais M41 = SiMCM-41 e M48 = SiMCM-48.

Caracterização das peneiras moleculares micro e mesoporosas

Os adsorventes foram caracterizados por difratometria de raios-X através do método do pó utilizando um equipamento da Rigaku modelo MiniFlex II. As medidas foram realizadas usando radiação CuKα com 30 kV e 15 mA na faixa de 2θ de 5 a 55 º para as zeólitas e de 1,5 a 10º para os materiais mesoporosos e com uma velocidade de varredura de 2º min-1. Os espectros de absorção na região do infravermelho foram obtidos usando um espectofotômetro da Perkin Elmer, modelo Spectrum BX. Os espectros foram obtidos na região de 4000 a 400 cm-1 pelo método da pastilha de KBr como agente dispersante. A avaliação térmica dos adsorventes foi determinada através da termogravimetria utilizando-se uma termobalança e nitrogênio como gás de purga, com fluxo de 40 mL min-1. As amostras foram aquecidas da temperatura ambiente até 900 ºC, em uma taxa de aquecimento de 10 ºC min-1. Foi utilizado cadinho de platina com aproximadamente 5 mg de cada amostra analisada.

A área superficial especifica das peneiras moleculares sintetizadas foi determinada em um analisador Quantachrome modelo NOVA 1200e. Para a análise das amostras SiMCM-41 e SiMCM-48 calcinadas e zeólitas sintetizadas, cerca de 100 mg de amostra foi previamente seca a 300 ºC sob vácuo durante 1 hora. Já para as amostras EM41, TM41, EM48 e TM48, o processo de secagem e eliminação de gases pré-adsorvidos foi realizado a 90 ºC sob vácuo por 1 hora. A área superficial específica e a área total (SBET) foram calculadas usando o método de Brunauer-Emmett-Teller (BET) desenvolvido por Brunauer e colaboradores para faixa de pressão relativa (P/P0) de 0,05-0,3.

Testes de adsorção de CO2

Os testes de adsorção de CO2 foram realizados na temperatura de 25 ºC, pressão atmosférica e utilizando-se um sistema de leito fixo. Antes dos testes de adsorção, as amostras de adsorventes foram previamente secas a 120 ºC por 4 horas (para as peneiras moleculares microporosas) e a 70 ºC por 2 horas (para as peneiras moleculares mesoporosas puras e contendo aminas). Os ensaios foram conduzidos durante 60 minutos e utilizando-se de um fluxo continuo de CO2 a 10 mL min-1. Todos os testes de adsorção foram realizados em triplicata e valores médios são apresentados. A quantificação do CO2 adsorvido foi realizada utilizando-se o método gravimétrico.32 Este método é baseado na determinação direta para quantificação de dióxido de carbono adsorvido, a qual consiste na adsorção do gás sobre o adsorvente limpo seguido da determinação de sua massa a partir da massa ganha pelo adsorvente. A capacidade de adsorção de cada adsorvente foi determinada em massa de dióxido de carbono adsorvido por massa de adsorvente.

 

RESULTADOS E DISCUSSÕES

Os difratogramas de raios-X das peneiras moleculares microporosas estão mostrados na Figura 1. Para os adsorventes estudados é possível comprovar a formação de materiais cristalinos após processos de síntese e confirmar a partir dos difratogramas as respectivas estruturas cristalinas.

 


Figura 1. Difratogramas de raios-X das peneiras moleculares microporosas

 

O difratograma de raios-X da zeólita NH4Beta mostrou dois principais picos em 2θ = 7,8º e 22,5º juntamente com outros picos na faixa de 24º a 46º que estão relacionados com a estrutura da zeólita Beta.33 O difratograma de raios-X da zeólita NH4ZSM-5 comprova que a amostra é formada por um material com estrutura do tipo MFI com alto grau de pureza.33,34 As linhas de difração mais intensas ocorrem próximas a 2θ = 22,8º. Os picos em 2θ = 8,0º e 2θ = 8,8º também são característicos desse tipo de material. No difratograma de raios-X da zeólita NH4ZSM-12 nota-se que a amostra é formada por um material com estrutura do tipo MTW. As duas reflexões observadas a 2θ = 7,8º e 2θ = 9,0º são indicativos da zeólita ZSM-12.17,20 O difratograma de raios-X da zeólita NH4ZSM-35 mostraram picos em 2θ = 9,4º e na faixa de 20-30º, os quais são relativos à fase da zeólita Ferrierita.33 Todas as reflexões do difratograma da zeólita NH4Y confirmam um material com estrutura do tipo faujasita com alto grau de pureza.22,33 Este difratograma apresenta uma intensa reflexão a 2θ = 6,4º relativa ao plano (111) da faujasita. Outros principais picos referentes a esta estrutura também foram identificados em 15,8º; 23,8º e 31,6º.21,22,33 Comparando-se os difratogramas de raios-X das zeólitas NaY e NH4Y é possível constatar que o número de picos de difração não foi alterado e que ambas apresentam um padrão de difração típico de zeólita com estrutura do tipo faujasita. A troca dos íons Na+ pelos NH4+ provocou modificações na célula unitária da zeólita Y e, como consequência, os valores das distâncias interplanares foram ligeiramente modificados. Isto foi constatado pelo deslocamento nas posições dos principais picos de difração em 6,4º; 15,8º e 23,8º.

Os padrões de difração de raios-X do MCM-41 calcinado antes e após a impregnação com TEA e EDA são mostrados na Figura 2. O MCM-41 antes do processo de impregnação (M41) exibiu os picos de difração característicos correspondentes à simetria hexagonal, mostrando um pico intenso em 2,39º, relacionado ao índice (100) e mais três picos na faixa de 2θ de 3-8º atribuídos aos planos (110), (200) e (210), estes relativos à formação da estrutura hexagonal bem ordenada desses materiais.29-31,35 As intensidades e posições dos picos mudaram significativamente após a inserção das aminas. As intensidades dos picos sofreram acentuada redução e deslocamentos para ângulos 2θ maiores em comparação com a amostra sem impregnação, o que pode estar relacionado com perda de ordenamento da estrutura mesoporosa. Os picos que aparecem no material MCM-41 na faixa de 2θ de 3-8º praticamente desaparecem na amostra EM41 e são de baixa intensidade na amostra TM41. Resultados similares foram relatados por outros trabalhos da literatura após a inserção de aminas em materiais mesoporosos.27,36,37

 


Figura 2. Difratogramas de raios-X das peneiras moleculares mesoporosas do tipo MCM-41, TEA-MCM-41 ( TM41) e EDA-MCM-41 ( EM41) e detalhe na regiao de 1,5 a 5,5 graus

 

Os difratogramas de raios-X para o MCM-48 calcinado (M48) e contendo as aminas TEA (TM48) e EDA (EM48) estão mostrados na Figura 3. O difratograma do MCM-48 apresentou as reflexões características da fase cúbica do MCM-48. Um pico intenso referente ao plano (211) aparece nitidamente e picos designados para as reflexões (220), (321), (400), (420), (322), (422) e (431), os quais são indexados para o grupo espacial Ia3d, confirmam a formação do material mesoporoso MCM-48 de acordo com vários padrões de DRX relatados na literatura.25,26,29,31,38 Após a inserção das aminas via impregnação as resoluções dos principais picos de difração também foram afetadas como no caso do MCM-41. São observadas reduções nas reflexões do pico referente ao plano (211). Estes resultados são similares com aqueles relatados por outros trabalhos na literatura e podem ser atribuídos ao preenchimento das aminas nos poros do material com possível colapso dos canais mesoporosos.27,36,37

 


Figura 3. Difratogramas de raios-X das peneiras moleculares mesoporosas do tipo MCM-48, TEA-MCM-48 ( TM48) e EDA-MCM-48 ( EM48) e detalhe na regiao de 1,5 a 6,5 graus

 

A Tabela 1 mostra as principais bandas observadas nos espectros FTIR para os adsorventes microporosos e a Tabela 2 para os adsorventes mesoporosos puros e modificados com as aminas TEA e EDA. Os dados apresentados na Tabela 1 mostram bandas características de estruturas zeolíticas na região de 1100-450 cm-1.20,22 Os materiais zeolíticos são constituídos tipicamente de unidades TO4 (T = Si ou Al) com ligações Si-O-Si, Si-O-Al ou Si-O na estrutura. As unidades TO4 (T = Si ou Al) primárias são combinadas de diversas formas para formar diferentes tipos de poliedros e consequentemente diferentes estruturas. Nas peneiras moleculares zeolíticas microporosas estudadas no trabalho foram observadas duas bandas devido às vibrações internas aos tetraedros TO4 (T = Si ou Al): uma banda na região de 1100-1000 cm-1 a qual é atribuída ao estiramento assimétrico dos tetraedros TO4 (T = Si ou Al) e outra banda na região de 500-450 cm-1 a qual é atribuída à flexão da ligação T-O (T = Si ou Al). Nestes adsorventes também foram observadas bandas devido às vibrações externas aos tetraedros TO4 (T = Si ou Al): uma na região entre 795-780 cm-1, devido ao estiramento simétrico dos tetraedros TO4, e uma segunda banda na região de 590-540 cm-1, devido a vibrações dos diferentes poliedros das estruturas zeolíticas.20,22 A vibração em 1640 cm-1 observada em todas as amostras é atribuída a uma banda de deformação de água adsorvida.22,30

 

 

 

 

Para os adsorventes mesoporosos as atribuições das principais bandas de absorção na região do infravermelho são apresentadas na Tabela 2. As bandas observadas nas regiões de 1150-1070 e 810-780 cm-1 mostradas em todos os adsorventes são devido a vibrações Si-O-Si, as quais são atribuídas à rede condensada de sílica mesoporosa.30 Os adsorventes mesoporosos também exibem uma banda em 960 cm-1, a qual se deve à vibração da ligação Si-OH e outra na região entre e 500-450 cm-1, que aparece devido ao estiramento da ligação Si-O.29,30 A banda observada em torno de 1645 cm-1 é principalmente atribuída a vibrações devido à água adsorvida.22,30 O aparecimento das bandas vibracionais em torno de 1460 cm-1 e 1580 cm-1 podem ser atribuídas a vibrações devido à presença das aminas TEA e EDA nos materiais mesoporosos. A redução da banda larga em 3465 cm-1 pode ser atribuída às interações de ligação de hidrogênio dos grupos NH das aminas com os grupos silanóis do MCM-41 ou MCM-48, o que é reforçado pelo desaparecimento da banda vibracional em 960 cm-1 atribuída aos grupos silanóis isolados.39

A Figura 4 mostra curvas termogravimétricas para as peneiras moleculares microporosas NH4Y, NH4Beta, NH4ZSM-5, NH4ZSM-12 e NH4ZSM-35. As curvas termogravimétricas para estes materiais mostraram duas regiões de perda de massa: 30-250 ºC e de 250-600 ºC. O primeiro estágio de perda de massa está relacionado à desidratação do material e inicio da decomposição do íon amônio, que provavelmente ocorre por volta de 200 a 250 ºC. O segundo estágio de perda de massa na faixa de 250 a 600 ºC ocorre provavelmente devido à decomposição do íon amônio.40 Na faixa de 450 a 600 ºC, a perda de massa também ocorre devido à desidroxilação dos adsorventes zeolíticos. O material zeolítico NH4Y também exibe uma nítida perda de massa na faixa de 620-720 ºC devido a perdas de hidroxilas estruturais.

 


Figura 4. Curvas termogravimétricas das peneiras moleculares microporosas

 

As curvas termogravimétricas para as amostras MCM-41 e MCM-48 estão mostradas na Figura 5a e para os adsorventes mesoporosos impregnados com TEA e EDA estão mostradas na Figura 5b. As curvas termogravimétricas mostradas na Figura 5a exibem um significativo evento de perda de massa na faixa de temperatura de 30-105 ºC, que pode ser atribuído à saída de água adsorvida. As curvas termogravimétricas dos materiais impregnados com as aminas TEA e EDA foram obtidas com o objetivo de se verificar a temperatura limite que as amostras poderão ser submetidas sem que haja a perda das aminas do material. Para essas amostras é possível relacionar três faixas de perda de massa: o primeiro de 30 a 100 ºC referente à saída de água da superfície externa do material, o segundo de 100 a 400 ºC o qual pode ser atribuído a desorção física da amina fracamente ligada e o terceiro evento de 400 a 700 ºC possivelmente atribuído à saída de amina residual ligadas mais fortemente via interações químicas. Estes resultados mostram que a temperatura máxima para ativação dos adsorventes não pode ultrapassar 90 ºC, garantindo assim a preservação das aminas no interior dos mesoporos.

 


Figura 5. Curvas termogravimétricas das peneiras moleculares mesoporosas: (a) MCM-41 (M41) e MCM-48 (M48) e (b) TM41, EM41, TM48 e EM48

 

A Tabela 3 apresenta as propriedades texturais das peneiras moleculares microporosas, mesoporosas e dos adsorventes mesoporosos impregnados com aminas. As características texturais dos adsorventes mesoporosos foram determinadas a partir das isotermas de adsorção de nitrogênio obtidas a 77 K.

 

 

A área superficial e a área total das amostras foram obtidas aplicando-se o modelo de BET na faixa de P/P0 de 0,05 a 0,30 para a isoterma de adsorção. O volume de poros (Vp) e o diâmetro médio de poros (Dp) foram determinados a partir do modelo proposto por BJH, sendo o diâmetro de poros estimado através das curvas de distribuição de poros na etapa de adsorção. O parâmetro mesoporoso (a0) ao foi estimado com base nas equações a0 = (2d100)/(3)1/2 e a0 = d211(6)1/2 para as estruturas hexagonal (MCM-41) e cúbica (MCM-48), respectivamente.41 A espessura da parede de sílica (Wt) foi determinada a partir dos valores do parâmetro de estrutura (a0) e do diâmetro médio de poros (Dp) e com base na expressão: Wt = a0-Dp e Wt = [(a0 /3,092)-(Dp/2)], para o MCM-41 e MCM-48, respectivamente.41

Os adsorventes mesoporosos MCM-41 e MCM-48 apresentaram isoterma do tipo IV segundo a classificação da IUPAC com um nítido degrau sobre uma faixa estreita de pressão relativa (P/P0 = 0,3-0,4 para o MCM-41 e P/P0 = 0,2-0,3 para o MCM-48) devido à condensação capilar de nitrogênio no interior dos mesoporos, que reflete em uma distribuição de tamanhos de poros uniformes.42-44 O MCM-41 e o MCM-48 apresentaram alta área superficial (1298 e 1040 m2 g-1), diâmetro de poro de 3,6 nm e considerável volume de poro (0,99 e 0,88 cm³ g-1) , respectivamente.

Após a inserção das aminas TEA e EDA nos poros do MCM-41 e do MCM-48, os materiais perdem suas características texturais iniciais. Uma redução significativa nas áreas superficiais e volumes de poros foram observados, provavelmente devido ao quase preenchimento completo dos poros com as aminas. Resultados similares foram encontrados na literatura.13,27

Para os adsorventes microporosos comerciais, os valores de área total, percentual de sódio e razão Si/Al foram obtidos da Zeolyst International enquanto que para a zeólita ZSM-12 sintetizada o valor da área total foi determinado utilizando-se o método de BET na faixa de P/P0 de 0,01 a 0,30. O valor da área total da zeólita ZSM-12 sintetizada neste trabalho está próximo ao relatado na literatura para uma zeólita ZSM-12.20

A Figura 6 mostra os resultados dos testes de adsorção de CO2 realizados utilizando-se as peneiras moleculares microporosas. As zeólitas NaY, NH4Y, NH4ZSM-35, NH4ZSM-5, NH4-Beta e NH4ZSM-12 apresentaram uma capacidade de adsorção de CO2 de 85,5; 72,7; 48,4; 32,6; 43,5 e 32,2 mg g-1, respectivamente. Nos resultados apresentados na Figura 6 podem ser observados que para as diferentes peneiras moleculares zeolíticas estudadas foram encontradas diferentes capacidades de adsorção de CO2. A adsorção do CO2 nas zeólitas ocorre principalmente devido às interações eletrostáticas4,8,16 entre o CO2 e o adsorvente, e os diferentes valores de adsorção encontrados se devem ao fato dos poros internos de cada material apresentarem diâmetros distintos, os quais estão relacionados às características espaciais dos poros e canais que conferem a capacidade específica de peneiramento molecular e interação com o adsorbato. Além disso, a contribuição de uma adsorção diferenciada devido à presença dos íons amônio e/ou sódio também tem uma influência. Os valores de capacidade de adsorção de CO2 nas zeólitas estudadas estão na faixa dos comumente encontrados na literatura para materiais zeolíticos.4,13,16,18,24,45

 


Figura 6. Quantidade de CO2 adsorvido nas peneiras moleculares microporosas

 

Antes do processo de troca iônica, o adsorvente NaY mostrou uma capacidade de adsorção de CO2 de 85,5 mg g-1, em contrapartida o material na forma amoniacal, NH4Y, apresentou uma capacidade de adsorção de CO2 de 72,7 mg g-1. A troca dos cátions Na+ pelos cátions NH4+ foi realizada para analisar a capacidade de adsorção de CO2 na zeólita do tipo faujasita com diferentes cátions. Os sítios básicos em zeólitas estão associados aos ânions oxigênio pertencentes à rede. Por serem intrínsecos, o número de sítios básicos é equivalente ao número de átomos de alumínio na estrutura. A força desses sítios depende, dentre outros fatores, da acidez do cátion M+ neutralizando a carga do oxigênio.15,19,46 A presença de alumínio cria densidades de carga negativa sobre o oxigênio ligado, por isso a necessidade de cátions, os quais podem ser facilmente trocados sobre condições adequadas.15,47 As zeólitas do tipo faujasita apresentam sítios ácido-básicos conjugados, sendo que a força de um aumenta quando a do outro diminui.15,47 Quanto menor a acidez do cátion M+, maior a basicidade do ânion oxigênio, e essa acidez diminui quando seu raio é aumentado, distribuindo sua carga positiva em um volume maior (menos eletronegativo).

Embora não seja um cátion pertencente ao grupo I, o NH4+ possui propriedades semelhantes aos dos metais alcalinos. O cátion Na+ apresenta raio iônico 0,095 nm contra 0,148 nm do cátion NH4+, assim presumindo uma maior basicidade para o material na forma NH4Y e consequentemente uma melhor capacidade de adsorção de CO2. Entretanto, este fato não foi observado nos testes experimentais realizados neste trabalho, indicando que outros aspectos relevantes estão influenciando na interação entre o CO2 e a zeólita. Quando cátions são volumosos, como é o caso do íon amônio, o predomínio dos efeitos estéricos e diferentes interações entre os sorvatos e a estrutura dos microporos podem levar a divergências no comportamento das espécies.47

As capacidades de adsorção do CO2 para os adsorventes microporosos estudados mostraram uma correlação direta com a razão Si/Al das zeólitas (Tabela 3). O adsorvente NaY com maior quantidade de alumínio mostrou maior capacidade de adsorção de dióxido de carbono, enquanto que as amostras NH4ZSM-5 e NH4ZSM-12 com menores quantidades de alumínio mostraram menores quantidades de CO2 capturado. As amostras com quantidades intermediárias de alumínio mostraram capacidades intermediárias de captura de CO2. A quantidade de alumínio na estrutura zeolítica tem uma relação direta com a basicidade/acidez do material. O dióxido de carbono apresenta características tipicamente ácidas e tende a apresentar afinidade por adsorventes com características básicas.4,16,48 Os resultados encontrados confirmam esta tendência para as amostras amoniacais.

A Figura 7 mostra os resultados dos testes de adsorção de CO2 realizados utilizando-se as peneiras moleculares mesoporosas MCM-41 e MCM-48 e os adsorventes mesoporosos impregnados com TEA e EDA.

 


Figura 7. Quantidade de CO2 adsorvido nas peneiras moleculares mesoporosas puras (M41 e M48) e modificadas com as aminas TEA (TM41 e TM48) e EDA (EM41 e EM48)

 

Os adsorventes MCM-41 e MCM-48 apresentaram quantidades de CO2 adsorvidas de 29,9 e 33,9 mg g-1, respectivamente. Estes baixos valores de adsorção de dióxido de carbono também tem sido relatado por outros trabalhos10,16,27 e podem ser atribuídos a fraca interação entre as moléculas de CO2 e as peneiras moleculares mesoporosas. De acordo com os resultados também pode ser observado que as capacidades de adsorção dos materiais MCM-41 e MCM-48 mostraram-se similares entre si, embora o MCM-48 tenha apresentado maior capacidade de adsorção de CO2.

A modificação desses materiais com diferentes aminas (TEA e EDA) resultou em diminuições significativas nas capacidades de adsorção de CO2 em comparação com as capacidades dos respectivos adsorventes puros. Esta diminuição na capacidade de adsorção de CO2 pode ser correlacionada com a redução da quantidade de sítios de adsorção devido à forte interação entre as aminas e o MCM-41 e MCM-48, bem como devido a bloqueios no sistema de poros do MCM-41 e MCM-48 devido às aminas, o que resultou em limitações difusionais para o dióxido de carbono.

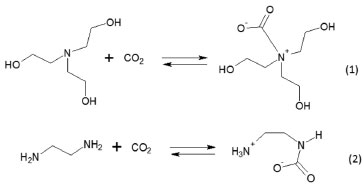
Para materiais contendo aminas é esperado um aumento na capacidade de adsorção de CO2 em relação aos mesmos materiais sem amina. Isto porque além da adsorção física é esperado que ocorra a adsorção química. Considerando que o carregamento teórico de 20% de trietanolamina (TEA) e etilenodiamina (EDA) nos adsorventes MCM-41 e MCM-48 correspondem a 1,34 e 3,33 mmol g-1, respectivamente, seria esperado que durante a adsorção do CO2 nos adsorventes modificados esta ocorresse numa estequiometria de 1:1 (amina:CO2) com a formação de carbamato do tipo zwitterion4,49, como mostrado nas reações 1 e 2 da Figura 8.

 


Figura 8. Ilustraçao das reaçoes entre (1) trietanolamina (TEA) e (2) etilenodiamina (EDA) com o dióxido de carbono

 

Porém como pode ser visto na Figura 7, os valores de adsorção de CO2 para os materiais modificados com as aminas TEA e EDA estão abaixo do esperado, mostrando que somente uma pequena quantidade de sítios esta disponível para interagir com moléculas de CO2. Como os canais dos adsorventes puros (MCM-41 e MCM-48) foi preenchida com TEA ou EDA, o que é confirmado com os dados de caracterização textural dos adsorventes, é sugerido um efeito de impedimento estérico com formação de pequenos aglomerados de partículas, desfavorecendo tanto o processo de adsorção física quanto o de adsorção química, o que resulta na falta de acessibilidade a possíveis sítios no interior destes, havendo somente a possibilidade de interação com a superfície externa das partículas que podem interagir com CO2.

Os resultados apresentados na Figura 7 também indicam que se comparando as duas aminas (TEA e EDA) utilizadas, os adsorventes modificados com a amina TEA apresentaram maiores capacidades de adsorção de CO2 quando comparados com os adsorventes modificados com a amina EDA. Embora a amina EDA seja menos volumosa do que a TEA e tenha provocado um menor bloqueio nos poros dos materiais MCM-41 e MCM-48, os dados estruturais apresentados nos dos difratogramas de raios-X indicaram que a impregnação da amina EDA provocou o desaparecimento dos principais picos das estruturas do MCM-41 e MCM-48, enquanto que quando a amina TEA foi impregnada os principais picos ainda puderam ser visualizados. Estes resultados sugerem que a ordenação do material também tem uma função importante no processo de adsorção.

Testes de regeneração dos adsorventes foram realizados. Os materiais após passarem pela primeira etapa do teste de adsorção foram novamente secos e em seguida foram reutilizados para a captura de CO2 e mostraram uma diminuição de cerca de 5% na capacidade de adsorção em comparação ao primeiro teste realizado, com exceção da peneira molecular zeolítica NaY, que apresentou uma redução de 37% no primeiro teste de regeneração. Os testes de regeneração foram realizados três vezes consecutivas e após a primeira regeneração as capacidades se mantiveram constantes.

Os resultados apresentados nas Figuras 6 e 7 indicam que de uma forma geral, as peneiras moleculares microporosas apresentam maior quantidade de CO2 adsorvida do que as peneiras moleculares mesoporosas (sem aminas). Vários autores têm relatado4,16,24,48 que tanto o momento quadrupolo do CO2 quanto suas características ácidas são aspectos que mudam a afinidade da rede de uma zeólita para este adsorbato quando comparada com outros materiais baseados em sílicas ordenadas, como por exemplo o MCM-41.

Para os adsorventes micro e mesoporosos estudados neste trabalho é esperado que a captura do CO2 ocorra principalmente via adsorção física. Essa adsorção física ocorre devido à interação eletrostática entre o dióxido de carbono e a superfície do adsorvente, que por sua vez se deve ao significativo momento quadrupolo das moléculas de CO2 e à variação no campo elétrico da superfície do adsorvente. Para os adsorventes mesoporosos contendo aminas a captura de dióxido de carbono ocorre tanto via adsorção física como por adsorção química. As aminas impregnadas podem favorecer a adsorção química, porém outros aspectos relevantes como o bloqueio dos poros dos materiais adsorventes e aumento na quantidade de sítios de adsorção devem ser considerados.

 

CONCLUSÕES

Os difratogramas de raios-X e os espectros de absorção na região do infravermelho das peneiras moleculares microporosas apresentaram evidências e confirmações das estruturas estudadas. Os estudos de adsorção de CO2 nas peneiras moleculares microporosas revelaram uma dependência entre a capacidade de adsorção de dióxido de carbono e a estrutura da peneira molecular zeolítica, bem com a razão Si/Al dos materiais. As capacidades de adsorção aumentam na seguinte ordem: NH4ZSM-12 < NH4ZSM-5 < NH4Beta < NH4ZSM-35 < NH4Y < NaY. Os valores de CO2 adsorvido indicaram que estas peneiras moleculares microporosas são materiais promissores para captura de dióxido de carbono.

Peneiras moleculares mesoporosas do tipo MCM-41 e MCM-48 com estrutura hexagonal e cúbica bem definidas, além de elevada área superficial específica, foram obtidas com sucesso pela metodologia proposta. Os resultados obtidos a partir dos difratogramas de raios-X, dos espectros de absorção na região do infravermelho e das propriedades texturais indicaram que a impregnação das aminas TEA e EDA nos adsorventes MCM-41 e MCM-48 provocaram redução do ordenamento das estruturas e perda de área superficial específica e volume de poros em comparação com os adsorventes puros. Os resultados também mostraram que a presença das aminas TEA e EDA nos poros e na superfície dos materiais mesoporosos MCM-41 e MCM-48 resultaram na redução da capacidade de adsorção de CO2 em comparação com os adsorventes puros, e indicaram que a inserção de aminas nem sempre é vantajosa para melhorar a capacidade de adsorção de dióxido de carbono, pois a manutenção do ordenamento e não bloqueio do sistema de poros do material também tem uma grande influência neste processo. As capacidades de adsorção aumentam na seguinte ordem: EM-41 < EM48 < TM-48 < TM-41 < MCM-41 < MCM-48.

Os resultados obtidos sugerem que os adsorventes microporosos e mesoporosos estudados apresentam potencial como adsorventes de dióxido de carbono em baixas temperaturas e pressões.

 

MATERIAL SUPLEMENTAR

Algumas figuras deste trabalho, como os espectros de absorção na região do infravermelho das peneiras moleculares micro e mesoporosas e as isotermas de adsorção e desorção de nitrogênio para o MCM-41 e MCM-48, estão disponíveis em http://quimicanova.sbq.org.br, na forma de arquivo PDF com acesso livre.

 

AGRADECIMENTOS

Os autores agradecem ao CNPq e a CAPES pelo apoio financeiro concedido e aos programas de pós-graduação em Química e de Ciência e Engenharia de Materiais da UFS.

 

REFERÊNCIAS

1. Machado, P. L. O. A.; Quim. Nova 2005, 28, 329.

2. Nordell, B.; Global and Planetary Change 2007, 38, 305.

3. IEA, CO2 capture and storage a key of carbon abatement option, International Energy Agency (IEA): Paris, 2008.

4. Alessandro, D. M. D.; Smit, B.; Long, J. R.; Angew. Chem. Int. Ed. 2010, 49, 6058.

5. Li, B.; Duan, Y.; Luebke, D.; Morreale, B.; Appl. Energy 2013, 102, 1439.

6. Benson, S. M.; Orr Jr., F. M.; MRS Bull. 2008, 33, 303.

7. Gerhard, D.; Pirngruber, F.; Guillou, A.; Gomez, M.; Clausse, M.; Int. J. Greenhouse Gas Control 2013, 14, 74.

8. Franchi, R.; Harlick, P. J. E.; Sayari, A.; Stud. Surf. Sci. Catal. 2005, 156, 879.

9. Clausse, M.; Merel, J.; Meunier, F.; Int. J. Greenhouse Gas Control 2011, 5, 1206.

10. Belmabkhout, Y.; Serna-Guerrero, R.; Sayari, A.; Chem. Eng. J. 2010, 161, 173.

11. Zhang, Z.; Xu, M.; Wang, H.; Li, Z.; Chem. Eng. J. 2010, 160, 571.

12. Ye, S.; Jiang, X.; Ruan, L. W.; Liu, B.; Wang, Y. M.; Zhu, J. F.; Qiu, L. G.; Microporous Mesoporous Mater. 2013, 179, 191.

13. Bhagiyalakshmi, M.; Hemalatha, P.; Ganesh, M.; Mei, P. M.; Jang, H. T.; Fuel 2011, 90, 1662.

14. Sanz, R.; Calleja, G.; Arencibia, A.; Sanz-Pérez, E. S.; Microporous Mesoporous Mater. 2012, 158, 309.

15. Braga, A. A. C.; Morgon, N. H.; Quim. Nova 2007, 30, 178.

16. Yang, R. T.; Adsorbents: Fundamentals and Applications, John Wiley & Sons: New Jersey, 2003.

17. Weitkamp, J.; Solid State Ionics 2000, 131, 175.

18. Dıaz, E.; Munoz, E.; Vega, A.; Ordonez, S.; Chemosphere 2008, 70, 1375.

19. Luna, F. J.; Schuchardt, U.; Quim. Nova 2001, 24, 885.

20. Garrido Pedrosa, A. M.; Souza, M. J. B.; Silva, A. O. S.; Melo, D. M. A.; Araújo, A. S.; Catal. Commun. 2006, 7, 791.

21. Walton, K. S.; Abney, M. B.; LeVan, M. D.; Microporous Mesoporous Mater. 2006, 91, 78.

22. Pedrosa, A. M. G.; Souza, M. J. B.; Melo, D. M. A.; Araujo, A. S.; Mater. Res. Bull. 2006, 41, 1105.

23. Yu, L.; Gong, J.; Zeng, C.; Zhang, L.; Sep. Purif. Technol. 2013, 118, 188.

24. Hedin, N.; Andersson, L.; Bergstrom, L.; Yan, J.; Appl. Energy 2013, 104, 418.

25. Pena, M. L.; Kan, Q.; Corma, A.; Rey, F.; Microporous Mesoporous Mater. 2001, 44-45, 9.

26. Schumacher, K.; Grun, M.; Unger, K. K.; Microporous Mesoporous Mater. 1999, 27, 201.

27. Xu, X.; Song, C.; Andresen, J. M.; Miller, B. G.; Scaroni, A. W.; Microporous Mesoporous Mater. 2003, 62, 29.

28. Gray, M. L.; Soong, Y.; Champagne, K. J.; Pennline, H.; Baltrus, J. P.; Stevens Jr., R. W.; Khatri, R.; Chuang, S. S. C.; Filburn, T.; Fuel Process. Technol. 2005, 86, 1449.

29. Souza, M. J. B.; Silva, A. O. S.; Aquino, J. M. F. B.; Fernandes Jr., V. J.; Araujo, A. S.; J. Therm. Anal. Calorim. 2004, 75, 693.

30. Souza, M. J. B.; Araujo, A. S.; Pedrosa A. M. G.; Marinkovic, B. A.; Jardim, P. M.; Morgado Jr, E.; Mater. Lett. 2006, 60, 2682.

31. Doyle, A.; Hodnett, B. K.; Microporous Mesoporous Mater. 2003, 63, 53.

32. Nakashima, M.; Shimada, S.; Inagaki, M.; Carbon 1995, 3, 1301.

33. Treacy, M. M. J.; Higgins, J. B.; Von Ballmoos, R.; Collection of simulated XRD powder patterns for zeolites, 3rd ed., Elsevier: New York, 1996.

34. Giordano, G., In: Robson, H. (editor) e Lillerud, K. P.; Verified synthesis of zeolite materials, 2nd ed., Elsevier: Amsterdam, 2001.

35. Kresge, C. T.; Leonowicz, M. E.; Roth, W. J.; Vartuli, J. C.; Beck, J. S.; Nature 1992, 359, 710.

36. Wei, J.; Liao, L; Xiao, Y.; Zhang, P; Shi, Y.; J. Environ. Sci. 2010, 22, 1558.

37. Plaza, M. G.; Pevida, C.; Arenillas, A.; Rubiera, F.; Pis, J. J.; Fuel 2007, 86(14), 2204.

38. Sayari, A.; J. Am. Chem. Soc. 2000, 122, 6504.

39. Sartori, G.; Bigi, F.; Maggi, R.; Sartorio, R.; Macquarrie, D. J.; Lenarda, M.; Storano, L.; Coluccia, S.; Martra, G.; J. Catal. 2004, 222, 410.

40. Boldyrev, V. V.; Thermochim. Acta 2006, 443, 1.

41. Campelo, J. M.; Luna, D.; Luque, R.; Marinas, J. M.; Romero, A. A.; J. Catal. 2005, 230, 327.

42. Jaroniec, M.; Kruk, M.; Sayari, A.; J. Phys. Chem. B 1997, 101, 583.

43. Kruk, M.; Jaroniec, M.; Chem. Mater. 2000, 12, 1414.

44. Araujo, A. S.; Silva, A. O. S.; Souza, M. J. B.; Coutinho, A. C. S. L. S.; Aquino, J. M. F. B.; Moura, J. A.; Pedrosa, A. M. G.; Adsorption 2005, 11, 159.

45. Sayari, A; Belmabkhout, Y; Serna-Guerrero, R.; Chem. Eng. J. 2011, 171, 760.

46. Martins, L.; Cardoso, D.; Quim. Nova 2006, 29, 358.

47. Almeida, K. A.; Martins, L.; Cardoso, D.; Quim. Nova 2010, 33, 1077.

48. Jang, H. T.; Park, Y. K.; Ko, Y. S.; Lee, J. Y.; Margandan, B.; Int. J. Greenhouse Gas Control 2009, 3, 545.

49. Choi, S.; Drese, J. H.; Jones, C. W.; ChemSusChem 2009, 2, 796.

On-line version ISSN 1678-7064 Printed version ISSN 0100-4042
Qu�mica Nova
Publica��es da Sociedade Brasileira de Qu�mica
Caixa Postal: 26037 05513-970 S�o Paulo - SP
Tel/Fax: +55.11.3032.2299/+55.11.3814.3602
Free access

GN1