JBCS



17:44, sáb out 25

Acesso Aberto/TP



Educação


Dai-me agô (licença) para falar de saberes tradicionais de matriz africana no ensino de química
Give me "agô" to talk about traditional african matrix knowledge in chemistry teaching

Anna M. C. Benitea*; Gustavo A. A. Faustino; Juvan P. Silva; Claudio R. M. Benite

Instituto de Química, Universidade Federal de Goiás - UFG, Campus II Samambaia, 74690-900 Goiânia-GO, Brasil

Recebido em 26/12/2018
Aceito em 27/02/2019
Publicado na web em 01/04/2019

Endereço para correspondência

*e-mail: anna@ufg.br

RESUMO

This paper presents the results of a participant research. We represent the science class-room as conditioned by the heterogeneity of the identities constituting it from positions that are defined and legitimized by our social structure. We present a pedagogical intervention (PI) entitled "Traditional knowledge of African-matrix peoples and communities". The PI was audio and video recorded and analyzed using Discourse Analysis. Our results show that the religiosity of Brazilian African-matrix is nowadays a resignification of the cults of various ethnic groups in the African continent, in this sense, the plants and leaves were incorporated to people's everyday life. Plants perform a sacral role of symbolic value and a functional role through its chemical components. We understand scientific knowledge is not traditional knowledge, but it relates to it. Our results show how it is possible to bring these topics to the Chemistry class-room. To establish a dialogue among these various forms of interacting with the world is necessary to break up with the epistemicide reaching our classrooms.

Palavras-chave: traditional peoples and communities; African matrix; medicinal plants; chemistry teaching.

A GUISA DE INTRODUÇAO

Frutos de trabalho, de concordância com pactos internacionais nos quais o Estado brasileiro se compromete com as implementaçoes de políticas de combate ao racismo, a declaraçao de Durban,2 por exemplo, e principalmente pela luta das diferentes representaçoes do movimento negro organizado, em 09 de janeiro de 2003 é assinada pelo entao presidente da República Luiz Inácio Lula da Silva a lei 10.639/033 que inclui a obrigatoriedade de estudos sobre a cultura afro-brasileira e africana em todos os níveis de ensino alterando a lei maior da educaçao, a Lei N° 9.394/1996 - LDB.4

Para orientar professores/as, pesquisadores/as e outros entes ligados aos sistemas de ensino, em 2004 o governo brasileiro publica o parecer CNE/CP 003/20045 que normatiza as Diretrizes Curriculares Nacionais (DCN) para a Educaçao das Relaçoes Étnico-Raciais (ERER) e para o Ensino de História e Cultura Afro-brasileira e Africana, cujo dever é "fazer justiça à história e cultura provenientes do continente africano, em contínuo desenvolvimento e transformaçao na diáspora negra".5 Isso significa recontar a história do/a negro/a de uma forma positiva colocando-o/a como protagonista no desenvolvimento cultural, social, tecnológico e político do país.

Ressalta-se ainda que o parecer CNE/CP 003/2004 determina o papel de cada ator/a na recontagem dessa nova história do/a negro/a, quais sejam os estabelecimentos de ensino, seus/suas mantenedores/as, administradores/as, professores/as, famílias dos/ as estudantes, os/as próprios/as estudantes e, por fim, a todos/as os/as cidadaos/as comprometidos com a educaçao dos/as brasileiros/as e que estejam comprometidos com a formaçao para a cidadania responsável pela construçao de uma sociedade justa e democrática.5

O papel das Instituiçoes de Ensino Superior (IES) é contemplado no  1° que diz que essas deverao incluir em seus conteúdos "disciplinas e atividades curriculares dos cursos que ministram a ERER" (p.1) e prever que o cumprimento dessas DCN por parte das IES que oferecem cursos de graduaçao presencial ou a distância seja "considerado na avaliaçao das condiçoes de funcionamento do estabelecimento" (p.1).5

Suas principais açoes estao explicitadas no Plano Nacional de Implementaçao das DCN para a ERER e para ensino de História e Cultura Afro-brasileira e Africana.6 Dentre essas estao: incluir conteúdos e disciplinas curriculares relacionados à ERER nos cursos de graduaçao; dedicar especial atençao aos cursos de licenciatura e formaçao de professores/as e; desenvolver nos/as futuros/as professores/ as habilidades e atitudes que os permitam contribuir para a ERER.

Dentre os cursos de formaçao inicial e continuada de professores/as estao os cursos de Matemática e Ciências que incluem as disciplinas de Matemática, Física, Biologia e Química. No entanto, nos documentos legais que orientam o estudo de ERER nao está explícito o papel desses cursos e de seus/suas professores/as. Nas orientaçoes e açoes para a ERER publicado pelo MEC em 2006, no que tange ao campo das Ciências da Natureza e suas Tecnologias o papel da Química é citado apenas em trabalho por projeto e que "esse pode incluir diferentes disciplinas: Física, Química, Matemática e mesmo História, Sociologia e Filosofia" (p.196).7

Dessa maneira alguns/algumas educadores/as, pesquisadores/ as e formadores/as de professores/as de ensino de Ciências, muitos destes/as também ativistas do movimento negro, começam a se questionar como se posicionar diante dessa situaçao. Segundo Verrangia,8 "por que ensinar história e cultura afro-brasileira e africana no ensino de Ciências? Porque é obrigatório? Como fazer isso se, de forma geral, os/as docentes nao sao preparados/as para tal açao?" (p. 2). Assim, passamos por apresentar quais temas os/as pesquisadores/as da área de ensino de Química têm trazido para a discussao desde a publicaçao da lei 10.639/03, do parecer CNE/CP 3/2004 e da resoluçao CNE/CP 1/2004.9

No ensino de Química o debate se inicia com a publicaçao, em 2007, de dois artigos10,11 nos quais o autor faz alguns apontamentos de como o ensino de Ciências/Química pode contribuir para uma educaçao antirracista. Pesquisas de como os/as professores/as de Ciências e Matemática veem a aplicaçao da Lei 10.639/03,12-14 bem como quais entendimentos que os/as alunos/as têm a respeito da aplicaçao das DCN para a ERER foram realizadas.15-17 Objetos virtuais de aprendizagens (OVA)18-20 e os livros didáticos21 foram abordados em pesquisas como facilitadores ou nao da aplicaçao das ERER no ensino de Química.

Temas transdisciplinares, como Direitos Humanos,22 a Arte,23 Música/Poesia24,25 e as interdisciplinaridades, como a anemia falci-forme,26 o átomo e o genocídio,27 desigualdades de raça e gênero e a produçao científica,28 protetores solares e a mídia,29 produçoes científicas do antigo Egito,30 também fizeram parte do leque de assuntos pesquisados como possibilidade de implementaçao da lei 10.639/03 no ensino de Química. Ciclos econômicos do Brasil Colônia, como o do café,31,32 cana-de-açúcar33 e mineraçao,34-36 assim como debates como biocombustíveis37 e a vitamina C,38 também foram objetos de pesquisas na área.

A extraçao de platina39 na Africa do Sul e a exploraçao do Coltan40 (mineral formado por Tântalo e Nióbio)41 na República Democrática do Congo foram temas utilizados para contextualizar em aulas de Química. O elenco de temas utilizados por pesquisadores/as da área de Ensino de Química, como propostas para uma efetiva implementaçao da lei 10.639/03, é contemplado na reinvençao do poder no currículo42 com discussoes sobre a química presente na noz de cola,43 no dendê44 e nas plantas utilizadas em religioes de matriz africana, sobretudo no Candomblé e Umbanda.

 

SOBRE OS POVOS E AS COMUNIDADES TRADICIONAIS

"Ki Ntoo bò Orisà à è. Portanto, adorarei as minhas origens".

Os Povos e Comunidades Tradicionais de Matriz Africana em todo o território nacional sao constituídos por:

[...] quilombolas, ciganos, seringueiros, castanheiros, quebradeiras de coco-de-babaçu, comunidades de fundo de pasto, faxinalenses, pescadores artesanais, marisqueiras, ribeirinhos, varjeiros, caiçaras, praieiros, sertanejos, jan-gadeiros, açorianos, campeiros, varzanteiros, pantaneiros, caatingueiros (p.1).45

Esses sao hoje, aproximadamente, cinco milhoes de brasileiros/as que ocupam V do território nacional45 e foram reconhecidos em 2007 através do decreto Decreto 6.040.46 Este decreto instituiu a Política Nacional de Desenvolvimento Sustentável dos Povos e Comunidades Tradicionais (PNPCT) e os define como:

[...] grupos culturalmente diferenciados e que se reconhecem como tais, que possuem formas próprias de organizaçao social, que ocupam e usam territórios e recursos naturais como condiçao para sua reproduçao cultural, social, religiosa, ancestral e econômica, utilizando conhecimentos, inovaçoes e práticas gerados e transmitidos por tradiçao (p.1).46

Por sua vez, os Povos Tradicionais de Matriz Africana se "reconhecem como unidades de resistência africana no Brasil e se caracterizam pela manutençao de um contínuo civilizatório africano, constituindo territórios próprios marcados pela vivência comunitária" (p.35).47 E é a partir do texto "Povos Tradicionais" construído por lideranças do segmento de todo o país e de todas as matrizes, durante a III Conferência Nacional de Igualdade Racial (III CONAPIR), que se definem:

Povos Tradicionais de Matriz Africana: conjunto dos povos africanos para cá transladados, e às suas diversas variaçoes e denominaçoes originárias dos processos históricos diferenciados em cada parte do país, na relaçao com o meio ambiente e com os povos locais;

Comunidades Tradicionais de Matriz Africana: Territórios ou Casas Tradicionais - constituídos pelos africanos e sua descendência no Brasil, no processo de insurgência e resistência ao escravismo e ao racismo, a partir da cosmovisao e ancestralidade africanas, e da relaçao desta com as populaçoes locais e com o meio ambiente (p.1).48

Os Povos e Comunidades Tradicionais de Matriz Africana constituídos de territórios próprios, incluindo os chamados "terreiros" e "roças", se caracterizam pelo acolhimento e a vivência em comunidade (cooperativismo), ressignificando aqui no Brasil conhecimentos e valores civilizatórios trazidos de Africa, tais como a oralidade, a corporeidade, a ancestralidade, a circularidade, a musicalidade, a memória, a energia vital (axé) e a religiosidade.49 No entanto, esses valores civilizatórios Afro-brasileiros e Africanos sao reduzidos, por vezes, a religiosidade e a relaçao com o sagrado.

Esse reducionismo das práticas tradicionais de matriz africana apenas a "religiao", nega a real dimensao histórica e cultural dos territórios negros constituídos no Brasil, e, ainda nos coloca diante de uma armadilha, a do Estado Laico, que na prática ainda está longe de ser real, mas o é quando está em "risco" a hegemonia cultural eurocêntrica no país (p. 1).48

Seguindo essa linha do tempo na qual o estado brasileiro tenta integrar e ampliar as açoes voltadas aos Povos e Comunidades Tradicionais de Matriz Africana tivemos a promulgaçao do Decreto 6.040 em 2007, a III Conferência Nacional de Promoçao da Igualdade Racial - CONAPIR em 2011, passando pelo lançamento do I Plano Nacional de Desenvolvimento Sustentável dos Povos e Comunidades Tradicionais de Matriz Africana em 2013,50 culminando em 09 de maio de 2016 com a instituiçao do Conselho Nacional dos Povos e Comunidades Tradicionais - CNPCT, integrado ao Ministério do Desenvolvimento Social e Combate à Fome que em seu 2° afirma na I competência "[...] vistas a reconhecer, fortalecer e garantir os direitos destes povos e comunidades, inclusive os de natureza territorial, socioambiental, econômica, cultural e seus usos, costumes, conhecimentos tradicionais" (p.1).51 Por fim, entre os dias 27 e 30 de maio de 2018 foi realizada a IV CONAPIR com a temática - "O Brasil na década dos afrodescendentes: reconhecimento, justiça, desenvolvimento e igualdade de direitos".

Entendemos aqui ser esse um reconhecimento tardio, pois entre os séculos XVI e XIX mais de sete milhoes de homens e mulheres africanos/as foram arrancados/as à força de sua terra mae para ter aqui, do outro lado do Atlântico Sul, a sua mao de obra especializada escravizada. "Trouxeram para o país mais que sua força de trabalho, trouxeram tecnologias agrícolas e de mineraçao, suas culturas, saberes, tradiçoes e valores civilizatório" (p.1)48 que muitas das vezes sao reduzidos apenas à religiao e ao culto ao sagrado.

Nao se entende aqui nenhum demérito em estudar as religioes de matriz africana em todas as suas nuances, pois elas, segundo Ferretti, sao consideradas como "foco de resistência cultural e de preservaçao da identidade étnica" (p.95).52 Deste modo, seguem "como sendo os locais de manutençao e preservaçao da cultura africana" (p.19).53 Contudo, historicamente têm sido vistas como cercadas de mistérios e seus ritos nao sao conhecidos pela grande maioria da populaçao, o que por certo contribui para o processo de intolerância religiosa.53

A mistificaçao da religiosidade de matriz africana as torna vítimas de violaçoes de seus direitos sociais, políticos, econômicos e culturais.54 Segundo o dossiê, "a situaçao dos direitos humanos das mulheres negras no Brasil":

A cada três dias, o Disque Direitos Humanos - Disque 100, recebe uma denúncia de intolerância religiosa. Este serviço telefônico e de internet que tem se dedicado à recepçao de denúncia de violaçao de direitos humanos no Brasil, percebeu um aumento de 273% nas denúncias no período 2013-2014.

No ano de 2013, 20% dos casos denunciados envolveram violência física. Os ataques envolvem também ofensas, perseguiçoes, injurias difamaçao, chegando até incêndios provocados em templos religiosos (p.35).55

Nesse sentido, a mistificaçao se dá pelo desconhecimento da cultura Africana e Afro-brasileira causando, assim, diversos vilipên-dios a esse grupo social. Entender suas religioes e participaçoes no contexto social do Brasil de hoje se faz necessário à compreensao do passado.53 Entre as religioes de matriz Africana praticadas em território nacional estao a Umbanda e o Candomblé, sobre as quais se apresentará, neste estudo, uma breve e despretensiosa descriçao.

A Umbanda é citada por diversos autores/as como a única religiao genuinamente brasileira. No entanto, percebem-se em suas características vários elementos de religioes africanas, do catolicismo e do espiritismo. A mesma surgiu nos subúrbios da cidade do Rio de Janeiro, no início do século passado, com a abertura dos centros espírita kardecistas para os cultos afro-brasileiros e da influência, sobre estes, das ideias do espiritismo e dos valores do mundo branco.56

Suas cerimônias podem ser realizadas nos mais diversos locais, em casa, terreiros, praças públicas, em meio à natureza, à beira de um rio ou numa praia. Elas sao presididas por um "pai" ou uma "mae" que sao as lideranças que comandam os ritos e sao responsáveis por ensinar os seus preceitos aos seus discípulos/as.57 Trata-se de uma religiao que cultua elementos de personificaçao ligados a natureza e as suas energias chamados de Orixás.57 Exemplos de Orixás encontrados na Umbanda sao: Oxalá (ligado à fé), Xangô (ligado à justiça), Iemanjá (ligada à geraçao), Ogum (ligado à Lei), Oxóssi (ligado ao conhecimento), Oxum (ligado ao amor), Iansa (ligada à direçao), Omulú (ligado à estabilidade) e Nana (ligada à decantaçao).

A palavra Candomblé é de origem Bantu (do Kimbundu) e vem de uma junçao das palavras Kandombe-Mbele que tem o significado de: pequena casa de iniciaçao dos negros.58 Já a religiao Candomblé é de origem africana monoteísta e o Deus único para a Naçao Ketu é Olorum, para a Naçao Bantu é Zambi, para a naçao Jeje é Mawu, que sao naçoes independentes na prática diária.59 O seu surgimento no Brasil foi marcado, entre outros fatores, pela necessidade de diferentes grupos negros/as de reelaborarem sua identidade social e religiosa sob as condiçoes adversas da escravidao e, posteriormente, do desamparo social.59 Seus rituais sao praticados em casas, roças ou terreiros por meio de cânticos, danças, batidas de tambores, oferendas de vegetais, minerais, objetos e, às vezes, o sacro-ofício de alguns animais e podem ser de linhagem matriarcal, patriarcal ou mista. Por conseguinte, as celebraçoes sao dirigidas pelas lideranças religiosas que sao nomeadas "babalorixá" e "iyalorixá"; "Tata Nkisi" e "Mametu Nikisi"; e Doté e Doné, respectivamente, de acordo com as três macro-naçoes: naçao Ketu que cultua os Orixás, Angola que cultua os Inkices e a Jeje que cultua os Voduns.

Os Orixás (nome genérico das divindades Yoruba, intermediários entre Olorum, o Deus supremo e os seres humanos) sao os ancestrais, os antepassados simbolicamente divinizados e ligados a natureza, uma recriaçao Afro-brasileira da religiao tradicional Africana reelaborada no Brasil.60 Os/as africanos/as e seus descendentes transpuseram fronteiras territoriais e culturais e hoje é um patrimônio de todo povo diaspórico.60 Os Orixás nao sao uma ideia abstrata, eles fazem parte da vida das pessoas ligadas a um terreiro. Por exemplo, se diz nos terreiros que "O Xangô de Obaraym disse que está contente"; "Oxóssi de Mae Stella deu flores a Oxum de Dona Pinguinho"; "Oxum da Mae Rosa dançou com muita graça"; a "Yansa de mae Sofia veio no dia da 'obrigaçao' de José Félix para Ossanyin e, como sempre dançou muito bonito" (p.43).60

Assim, como na Umbanda, no Candomblé, conforme foi dito, cada Orixá está ligado a um elemento da natureza e possui o seu próprio significado. O chamado Panteao dos Orixás do Candomblé, segundo Siqueira,60 é liderado por Exu, seguido por Oxalá, Iyemanjá, Xangô, Ogum, Oxum, Logum Edé, Oxóssi, Yansa, Nana, Omolu ou Obaluayé, Oxumaré, Ossayn, Euá, Obá, Iroko, Ibeji e Erê. Dentre esses, Ossayn é o Orixá das folhas e ao lado de Ifá que tem o poder de prever o futuro, poder este também associado à força das plantas. O conhecimento do nome de cada planta, do poder que lhe é atribuído, bem como sua utilidade e o uso que dela deve ser feito constituem uma das riquezas essenciais do Candomblé. Siqueira afirma que Pierre Verger60 designa esse conhecimento sob os termos de "farmacopeia africana".

Assumidos estes pressupostos, passamos a discorrer sobre uma proposta de implementaçao da lei 10.639/03 considerando, com o devido agô (respeito), a circulaçao de informaçoes sobre as religioes de matriz Africana. Apresentamos resultados de uma Intervençao Pedagógica (IP) realizada no 1° semestre de 2015 numa disciplina cujo título é "Ensino de Química, Identidade e Cultura Afro-brasileira" que foi ministrada em um Instituto de Química (IQ) de uma Instituiçao Federal de Ensino Superior (IFES).

 

SOBRE AS ESCOLHAS METODOLOGICAS

Este trabalho apresenta elementos de uma pesquisa participante (PP). Trata-se, portanto, de uma atividade educativa de investigaçao e açao social.61 Cabe esclarecer que a participaçao em uma pesquisa, segundo Demo, está para além de pertencer a essa comunidade, mas dar voz a ela, especificamente no trato com o se situar dentro de uma sociedade composta por diferentes etnias.62 Esta investigaçao obedeceu as seguintes etapas (Quadro 1).

 

 

Neste caso, assumimos as duas posiçoes, pois representamos os/as professores/as de Ciências que ensinam para a sociedade brasileira que é multicultural e multirracial e, também, os/as membros dessa sociedade, isto é, representa-se a sala de aula de Ciências condicionada pela heterogeneidade de sua constituiçao identitária a partir de posiçoes definidas e legitimadas nessa estrutura social.

Pode-se dizer, nas palavras de Schmidt, que "o termo participante sugere a controversa inserçao de um pesquisador formado pela vida sócio-cultural de um próximo ou distante que, por sua vez, é convocado a participar da investigaçao na qualidade de informante, colaborador ou interlocutor" (p.14).55 Os elementos de uma pesquisa participante estao assim demarcados: nós pesquisadores/as e autores/ as deste artigo fazemos o papel do/a pesquisador/a; a comunidade que queremos pesquisar é um Instituto de Química; o problema que temos para ser resolvido nessa comunidade é a nao aplicaçao da lei 10.639/03 em seus cursos de graduaçao em Química; os/as nossos/ as informantes sao os/as alunos/as que vieram cursar uma disciplina baseada na 10.639/03 e no parecer 03/2004 e; a disciplina consolidada, com ementa, com indicaçao de bibliografia, etc. é o produto de nossa pesquisa que devolvemos para a comunidade.

O corpus empírico desta investigaçao foi construído na disciplina intitulada "Ensino de Química, Identidade e Cultura Afro-brasileira" de natureza núcleo livre, ou seja, de acesso a qualquer curso e discente da instituiçao que desde o ano de 2015, numa iniciativa inédita, tem sido oferecido pelo IQ dessa IFES. A disciplina possui uma carga horária de 4 h/aula semanais perfazendo um total de 64 h/ aulas semestrais e foi construída de modo a contemplar o ensino de Química a partir de matriz cultural nao eurocêntrica provocando um deslocamento epistêmico do currículo em açao. O Quadro 2 apresenta a ementa da disciplina.

 

 

Foram sujeitos desta investigaçao (SI) uma professora formadora (PQ), um professor em formaçao continuada aluno de doutorado (AD), um professor em formaçao continuada aluno de mestrado (AM) e um professor em formaçao inicial aluno de iniciaçao científica (IC), esses quatro membros do Coletivo Negro/a de professores/as, pesquisadores/as e estudantes instalado no IQ da respectiva IFES, e 16 alunos/as de uma disciplina de Núcleo Livre (A1 a A16) dos seguintes cursos: 4 alunos/as das Licenciaturas (Ciências Biológicas, Geografia, História e Química), e 12 alunos/as do bacharelado: 04 alunos/as das Engenharias (Alimentos, Ambiental, Química e Agronomia), 03 alunos/as da Medicina Veterinária, 01 do Bacharelado em Química, 01 do Bacharelado em Farmácia, 01 da Comunicaçao/ Jornalismo, 01 da Biblioteconomia e 01 de Sistema da Informaçao.

Com o objetivo de ensinar uma Química descolonizada, para cada assunto tratado na disciplina existem duas abordagens: uma cultural de matriz Africana e outra conceitual (conhecimento químico), tal como apresentado no Quadro 3. Portanto, ensinar uma Química descolonizada, "[...] significa admitir a força das culturas consideradas negadas e silenciadas nos currículos" (p.102).63

 

 

Um dos elementos de avaliaçao desta disciplina se constituiu de apresentaçao de seminários em forma de mini-aulas dialogadas, nos quais os/as alunos/as teriam que mostrar como fariam as abordagem cultural e conceitual, como mostradas no Quadro 2 e na ementa da disciplina, em uma aula de Ciências/Química na educaçao básica ou superior, simulando estas aulas com a turma.

As escolhas dos componentes de cada grupo para apresentaçao dos seminários se deu de forma livre, todavia foi sugerido que ficasse pelo menos um/a aluno/a de Química (licenciatura/bacharelado/ engenharia) ou licenciatura em cada grupo. Os/as alunos/as ficaram livres para trazerem outras referências diferentes das que foram apresentadas no plano de ensino do curso. Dessa maneira, emergiram os seguintes temas: a) Metais em Africa e as Transformaçoes Químicas; b) Congadas em Goiás e suas implicaçoes na extraçao de nióbio em Catalao-GO; c) Animais em Africa e o elemento ferro e; d) O uso de plantas em religioes de matriz Africana e suas contribuiçoes fitoquímicas.

Nesse artigo serao analisados os dados obtidos da avaliaçao intitulada "Conhecimentos tradicionais de povos e comunidades de Matriz Africana". Os assuntos, as abordagens (conceitual e cultural) e os cursos de cada aluno/a estao sumarizados no Quadro 4.

 

 

O corpus total de análise foi formado pela transcriçao de 3h05min provenientes de gravaçoes em áudio e vídeo dos discursos produzidos. Os dados obtidos foram agrupados por unidades de significaçao e analisados com elementos da técnica de Análise do Discurso (AD) de Bakhtin.64 A escolha desta técnica de análise de dados significou um empreendimento em tentar explicar e entender "como se constrói o sentido de um texto e como esse texto se articula com a história e a sociedade que o produziu" (p.13).64

Por sua vez, o discurso como objeto de análise é, ao mesmo tempo, linguístico, histórico e ideológico. Sua análise é movimento de compreensao destes dois aspectos. Nessa perspectiva, os SI de nossa pesquisa sao interpretados como sujeitos essencialmente ideológicos e históricos, cuja "palavra está sempre carregada de um conteúdo ou de um sentido ideológico ou vivencial" (p.99).65

 

RESULTADOS E DISCUSSAO

A religiosidade de matriz Africana brasileira é atualmente uma ressignificaçao dos cultos praticados no continente Africano por diferentes grupos étnicos. Segundo Bastide apud Lemos, "as populaçoes negras trazidas ao Brasil pertenciam a diferentes civilizaçoes e provinham das mais variadas regioes Africanas. Suas religioes eram partes de estruturas familiares, organizadas socialmente ou ecologicamente a meios biogeográficos" (p.10).66 Todavia, com o tráfico negreiro, "sentiram-se obrigadas a decifrar um novo tipo de sociedade, baseada na família patriarcal, latifundiária e em regime de castas étnicas (sistemas tradicionais, hereditários ou sociais de estratificaçao, baseados em classificaçoes como raça, cultura, ocupaçao profissional)" (p.4).66

Mais do que um choque entre culturas e tradiçoes com a religiao crista houve também muitas acomodaçoes e adaptaçoes, além de negociaçoes e conflitos, marca da resistência Africana no Brasil. Isso porque, no Brasil de extensoes territoriais imensas e de interiores sem estruturas físicas e materiais soluçoes foram criadas para acomodar as necessidades recíprocas e a magia dos/as negros/as foi um substituto a medicina.67 E nesse contexto, o conhecimento que o/a negro/a escravizado/a tinha sobre plantas e folhas no combate as suas doenças e males foi de importância considerável.

Nesse sentido, as plantas e as folhas foram incorporadas ao cotidiano das pessoas, povos e comunidades tradicionais de matriz Africana como remédios caseiros, em forma de chás para aliviar dores, reanimar o estado físico e incluindo a disposiçao para a vida.60 No extrato do Quadro 5 mostramos os discursos produzidos sobre o uso da arruda, da jurema, do alecrim, do algodoeiro e do juá-de-capote em religioes de matriz Africana. Este momento discursivo se deu sobre a constituiçao identitária brasileira a partir dos conhecimentos trazidos para o Brasil por Africanos/as escravizados/as. O extrato a seguir teve uma duraçao de 44 min e produziu 58 turnos de discurso (T) e, por motivo de espaço, passamos a apresentar a análise de trechos do extrato.

 

 

Inicialmente, nota-se em nossos resultados uma predominância dos discursos de A4 sobre os demais membros do grupo. Isso se justifica pelo fato do mesmo ser um aluno do curso de licenciatura em Ciências Biológicas que já leciona na educaçao básica e que trabalhou com Botânica em sua iniciaçao cientifica. Portanto, "ele já possui seu discurso, o discurso de outrem" (p.150),65 entendendo aqui como o discurso de outrem o discurso já estabelecido, de certa forma, a "atmosfera do já dito" pela Botânica, objeto de estudo da Biologia.

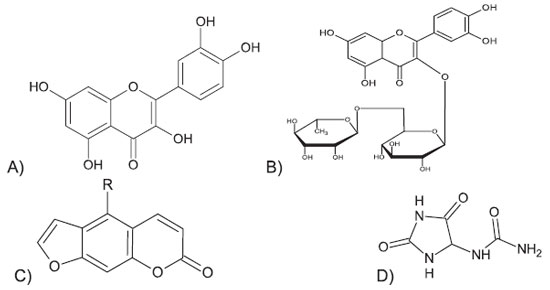
No turno 84, A4 se refere às duas plantas utilizadas nos rituais de terreiro: a arruda e a rosa branca. A arruda tem nome científico Ruta graveolens L, Rutaceace, e é uma planta associada ao Exu, o Orixá intermediário entre Orum e Ayé (correspondente ao céu e a terra, no catolicismo) fazendo referências a elementos como o fogo e o feminino. Utilizada em banho, sacudimentos na Umbanda e nos Candomblés de Angola com a funçao de afastar a má sorte, tem o seu uso proibido nos terreiros Jêje-Nagôs da Bahia e do Rio de Janeiro por ser considerado "um ewó da naçao", (interdito).69 Apesar de "ser considerada tóxica e abortiva, possui propriedades terapêuticas que combatem a clorose, paralisias, nevralgias, flatulências e incontinências urinária" (p.103).69 Nas folhas da arruda "sao encontrados princípios amargos, resinas, gomas, taninos, rutina, psoraleno, quercetina, alcalóides, ácidos orgânicos, alantoína, saponinas triterpênicas e mucilagem" (p.9).70 As estruturas químicas dos principais constituintes da arruda estao apresentadas na Figura 1.

 


Figura 1. Estrutura química dos principais constituintes químicos presentes nas folhas de arruda: (A) quercetina (C15H10O7); (B) rutina (C27H30O16); (C) psoraleno (C11H6O3) e; (D) alantoína (C4H6N4O3)

 

A Figura 1a representa a quercetina, substância a que sao atribuídas às propriedades analgésicas; a rutina, Figura 1b, facilita a absorçao da vitamina C pelo organismo; o psoraleno, Figura 1c é usado no tratamento do vitiligo e da psoríase e; por fim, alantoína, Figura 1d, tem efeito cicatrizante e possui açao anti-irritante auxiliando o sistema de defesa da pele no processo de proliferaçao de novas células.70

A atividade química/biológica de uma planta "[...] nao decorre de um só elemento químico presente, mas da açao sinérgica de todos os componentes presentes na planta podendo, porém, estarem mais concentrados em uma ou mais partes dela, como: na raiz, no caule, na casca, na folha, na flor, no fruto e na semente" (p.10), tal como descrito na Quadro 6 das utilidades da arruda e os constituintes químicos, tal como apresentado na Figura 2.71

 

 

 


Figura 2. Estrutura química do bergapteno, xantotoxina e psoraleno (C11H6O3)

 

A Química se interessa pela "relaçao estrutura-atividade" que compreende o estudo dos efeitos que a estrutura de um composto (ligante), tal como apresentado na Figura 3, pode causar durante sua interaçao com o receptor biológico e, consequentemente, racionalizar os principais fatores que governam esta interaçao.73

 


Figura 3. Estrutura química da graveolinina (C17H13NO3)

 

Essa interaçao receptor-ligante foi verificada nas enunciaçoes de A3, turno 114, quando fala sobre a jurema: "você falou muito de jurema e ela nao é usada só em defumaçao. Ela é alucinógena e produz uma substância psicoativa, também a mesma da Iouasca, e elas sao usadas no sertao de Pernambuco, pelo menos eu conheço de lá, têm umas tradiçoes que usam por seu efeito psicoativo" (grifos nossos).

Quando se considera os componentes químicos responsáveis pelas atividades biológicas contidas nas plantas utilizadas nos rituais das religioes de matriz Africana passíveis de verificaçao empírica, diz-se que essa planta possui um papel funcional. Além desse papel, o funcional, as plantas também desempenham um papel sacral que, de acordo com Camargo, é "de valor simbólico, subjetivamente construído no mito e legitimado no rito, capaz de impregnar as plantas de poderes curativos emanados de forças sobrenaturais, segundo ditam os sistemas de crença dos quais fazem parte o doente, o curador e seu grupo familiar e social" (p.10).71

O elemento interdiscursivo - família citada no discurso de A2, no Turno 94, uma mulher negra do curso de Agronomia - "quem tem parentes que moram em interior sabe, [...] o vô já fala, o tio já fala, vamos pegar umas folhas pra fazer um chá pra curar a gripe " anuncia o tecido social que compoe e caracteriza A2 e suas relaçoes, pois quando falo se manifesta em meu discurso o que trago em mim. Ainda que o interdiscurso (para Bakhtin, um discurso dentro de outro discurso) de A2 seja um discurso que celebre as figuras masculinas tio e avô, nota-se a referência a ancestralidade,49 um dos valores civilizatórios Africanos, pois A2 atribui ao conhecimento popular vindo de Africa a aplicaçao medicinal que algumas plantas utilizadas em religioes de matriz Africana possuem "as plantas, como a gente pode observar, há muito tempo sao utilizadas como aplicaçao medicinal, lá na Africa, nos países Africanos".

No Egito, um país do continente Africano, as plantas eram utilizadas em rituais religiosos, para curar doenças, embalsamar corpos, em preparaçoes aromáticas, antissépticas, cosméticas, purgativas, etc.74 As plantas que sao utilizadas em religioes dos povos e comunidades de matriz Africana e que possuem algum princípio ativo ou substância capaz de prevenir, aliviar ou curar uma doença sao também plantas medicinais.75 Esse termo foi "oficialmente" reconhecido durante a 31a Assembleia da Organizaçao Mundial de Saúde (OMS), sendo entao definido como "aquela que administrada ao homem ou animais, por qualquer via ou sob qualquer forma, exerce alguma espécie de açao farmacológica" (p.71).75

Nessa ocasiao, a OMS criou o Programa de Medicina Tradicional que recomendou aos estados-membros o desenvolvimento de políticas públicas para facilitar a integraçao da medicina tradicional e da medicina complementar alternativa nos sistemas nacionais de atençao à saúde, por considerar que "grande parte da populaçao dos países em desenvolvimento depende da medicina tradicional para sua atençao primária, tendo em vista que 80% desta populaçao utilizam práticas tradicionais nos seus cuidados básicos de saúde e 85% destes utilizam plantas ou preparaçoes desta" (p.11).76

Tal prática correspondia na época, aproximadamente, 5 bilhoes de pessoas e ainda 85% dessa medicina tradicional envolvia o uso de extratos vegetais.77 Entendemos que o conhecimento científico nao é saber tradicional, mas com ele se comunica. Nossos resultados mostram como é possível trazer esta temática para a aula de Química, pois em consonância com Botelho, pode-se dizer que "[...] o ensino e a aprendizagem que ocorrem nas salas de aula representam uma das maneiras de construir significados, reforçar e conformar interesses sociais, formas de poder, de experiência que têm sempre um significado cultural e político" (p.166).78

Com o intuito de manter, minimamente, a sua cultura o/a negro escravizado/a adotou uma postura política em relaçao à religiao praticada na sua terra mae. Esse/a passou a associar os seus Orixás e as suas divindades aos santos da Igreja do/a seu/a colonizador/a. No texto intitulado "A Umbanda em julgamento" Alfredo d'Alcântara afirma: "nao era a óstia uma semelhança da pedra de Xangô? Jesus Cristo morava na óstia, como Xangô morava na pedra de raio; apenas esta nao podia ser engolida. O rosário de Nossa Senhora era bem igual à guia de contas vegetais de Yemanjá e ao Opelê-Ifá de que serviam os Babalaôs" (p.67).79

Essa prática deu origem ao sincretismo religioso, prática muito comum nas religioes cultuadas por povos e comunidades tradicionais de matriz Africana. Esse sincretismo é evidenciado quando estes povos e comunidades fazem uso da jurema em seus cultos. De nome científico Acacia jurema Mart, Leguminosae-mimosoideae, a jurema tem o seu uso associado aos Orixás do Candomblé, Ossaim Orixá "das folhas e da saúde, que é considerado o curandeiro, porque conhece o segredo das plantas que curam" (p.7)80 e Oxossi, divindade da caça que vive nas florestas e a Caboclos (entidades da Umbanda), fazendo referências a elementos como a terra e o masculino. A jurema era utilizada ainda pelos indígenas brasileiros que a utilizavam "segundo suas crenças, para excitar os sentidos, provocando sonhos, estados de êxtase e de encantamento nas pessoas. A casca dessa árvore é adstringente, febrífuga e narcótica, aconselhada contra úlceras, cancros, flegmoes e erisipela. Suas sementes, segundo alguns manuais de fitoterapia, sao tóxicas" (p.398).69

O sincretismo presente em algumas religioes de matriz Africana é verificado também nos discursos de A4, no turno 108, quando em suas enunciaçoes quanto ao uso das ervas na lavagem das escadas da Igreja de Nosso Senhor Bonfim, Santo da Igreja Católica, pelas baianas do Candomblé. Segundo A4, "para os católicos é uma "coisa" realizada com o Santo Nosso Senhor do Bonfim para as baianas já têm outra significaçao e elas estao comemorando outro aspecto dentro da religiao delas". A4 cita ainda a utilizaçao do alecrim, umas das ervas utilizadas na lavagem das escadas da Igreja de Nosso Senhor Bonfim, nas atividades dos caboclos (Umbanda) através do"[...] uso das folhas no preparo de chá para tosse com leite e ovos de galinha e também para banhos, preparaçao de cama de lyàwó e preparaçao de água (macerado) para lavagem de cabeça".

O alecrim, de nome científico Rosmarinus officinalis L, Labiatae, associado a Oxalá, divindade do céu e da procriaçao, o pai de todos os Orixás, é utilizado em banhos e em defumaçoes. Medicinalmente como chá, pode ser usado no caso de má digestao. Se conservada em álcool pode combater o reumatismo e a encefalia por meio de fricçoes locais.75 Seu "óleo volátil é antibacteriano, enquanto que a infusao da planta é usada para o tratamento sintomático de problemas digestivos, devido as suas propriedades antiespasmódicas e coleréticas, dada a presença de compostos fenólicos (p. 11)",81 tal como descrito no Quadro 7 das utilidades do alecrim e os constituintes químicos, tal como apresentado na Figura 4 e 5.

 

 

 


Figura 4. Estrutura química do ácido gálico (C17H6O5)

 

 


Figura 5. Estrutura química da apigenina (C1SH10OS)

 

No turno 109, A4 se surpreende mesmo sendo um estudante do curso de Ciências Biológicas e que tenha feito a sua iniciaçao científica em Botânica: "Eu vi muitas plantas que eles usam e eu nao tinha nem noçao que poderia ter um poder espiritual pra eles". Essa invisibilidade no uso das plantas pelos povos e comunidades de matriz Africana, notadas por A4, é reflexo da pequena quantidade de pesquisa sobre esses povos. Até o ano de 2015, quando da publicaçao do I Plano Nacional de Desenvolvimento Sustentável dos Povos e Comunidades Tradicionais de Matriz Africana, "apenas sete levantamentos haviam sido realizados por instituiçoes públicas, privadas e universidades que buscaram cadastrar, inventariar ou mapear territórios tradicionais de matriz africana" (p.18).50

Também no turno 109, A4 se refere ao uso do algodoeiro, nome científico Gossypium barbadense L, Malvaceae, associada ao Oxalá e a Orumilá, divindades do conhecimento e da sabedoria e faz referências a elementos como a ar e o feminino. De grande prestígio entre os Jêje-Nagôs é utilizado no combate a enfermidades próprias da mulher, tais como: desordens menstruais, hemorragias pós-parto, inflamaçoes e dores no útero, retençao da placenta e para provocar contraçoes uterinas. Segundo Barros, o algodoeiro é usado também nos "casos em que as senhoras que amamentam nao têm leite ou este é escasso, quando ele promove e faz aumentar a secreçao das glândulas mamárias" (p.204).69

No entanto, o algodoeiro que é utilizado no tratamento de vários "problemas da mulhef',69 nao é capaz de aliviar a dor da vulnerabilidade social imposta pela sociedade brasileira às mulheres em geral e, em especial, à mulher negra moradora das comunidades tradicionais de matriz Africana. Os resultados publicados na pesquisa Mapeando o Axé - Pesquisa Socioeconômica e Cultural das Comunidades Tradicionais de Terreiro (2010/2011)50 corroboram essa assertiva. Das 7.582 casas de povos e comunidades tradicionais de matriz Africana pesquisadas, 72% das lideranças se autodeclararam negras e 55,6% sao mulheres. Mesmo com esse protagonismo as mulheres negras vivenciam o mais alto grau de vulnerabilidade social.

O Quadro 8 apresenta os dados da Pesquisa Nacional por Amostra de Domicílios (PNAD) do IBGE de 2015.50 Entre as mulheres, que representam mais da metade da populaçao brasileira (51,5%), as negras sao metade, ou seja, representavam em 2015 52,7 milhoes de brasileiras. Segundo essa pesquisa o rendimento médio de uma mulher negra é o menor do Brasil. Os dados referentes à situaçao de pobreza, por sua vez, indicam que 7,4% das mulheres negras brasileiras vivem em situaçao de extrema pobreza.

 

 

Esses dados significam, de fato, que o rendimento médio de um homem branco é 2,5 vezes maior do que o rendimento de uma mulher negra. Indicam, também, que o número de mulheres negras em situaçao de pobreza extrema é 2,5 vezes maior que o número de homens brancos na mesma situaçao e, ainda, que o número de homens brancos em situaçao de pobreza é 2,4 vezes menor que o número de mulheres negras.

A possibilidade de ressaltar a importância dos conhecimentos de comunidades tradicionais Afro-brasileiras sobre ervas e plantas medicinais em aula de Química representa uma alternativa de combate às violências sofridas por estas comunidades. Pois, conhecimento científico e saber tradicional sao formas de procurar entender e agir sobre o mundo, formas de produzir cultura e, também, obras inacabadas e em constante negociaçao entre as respectivas comunidades científica e tradicional. Estabelecer o diálogo entre essas diferentes formas de se relacionar com o mundo é necessário para romper com o epistemícidio que atinge nossas salas de aula.

 

ALGUMAS CONSIDERAÇOES

Nossos resultados mostram que foi possível inserir a lei 10.639/03 no ensino de Química. A IP desenvolvida se mostrou como uma alternativa para discutir em sala de aula de Química as contribuiçoes dos povos e comunidades de matriz Africana (os saberes tradicionais) e suas relaçoes com o conhecimento científico: contribuiçoes para a produçao de fitoterápicos, suas implicaçoes físico-químicas e suas formas de ser transposta aos estudantes do ensino superior.

Utilizar a natureza em fins terapêuticos é prática que remonta a organizaçao da humanidade. Este e todos os outros saberes sociais sao construçoes humanas que passam pela transformaçao da matéria (objeto de estudo da Química) e que sao difundidos por geraçoes. Nossos resultados apontam que a escola também é local de manutençao da difusao desses conhecimentos.

Observar os valores civilizatórios dos que foram trazidos e que aqui se mantêm resistentes às violências e violaçoes de direitos passa por modificar nossos currículos de olhares brancos e europeus.

 

AGRADECIMENTOS

O presente trabalho foi realizado com apoio da Coordenaçao de Aperfeiçoamento de Pessoal de Nível Superior - Brasil (CAPES) -Código de Financiamento 001.

Os/as autores/as agradecem ao Centro Cultural Ilê Orê por trazer axé a nosso Ori, ao fotógrafo Douglas Luzz pelo registro do sagrado, ao CNPq e a FAPEG pelos fomentos concedidos.

 

REFERENCIAS

1. Este artigo é uma versao ampliada e revisada do texto apresentado pelos/ as autores/as na IX ediçao do Congresso Brasileiro de Pesquisadores/as Negros/as, 2017.

2. Marques Junior, J. S.; O Social em Questao - Ano XX. 2017, 37, 37.

3. http://www.planalto.gov.br/ccivil_03/LEIS/2003/L10.639.htm, acessada em março de 2019.

4. http://portal.mec.gov.br/seesp/arquivos/pdf/lei9394_ldbn1.pdf, acessado em março de 2019.

5. http://portal.mec.gov.br/dmdocuments/cnecp_003.pdf, acessado em março de 2019.

6. http://etnicoracial.mec.gov.br/images/pdf/diretrizes_curric_educ_etnicoraciais.pdf, acessado em março de 2019.

7. http://portal.mec.gov.br/dmdocuments/orientacoes_etnicoraciais.pdf, acessado em março de 2019.

8. Verrangia, D.; Revista Africa e Africanidades 2010, 2, 14.

9. http://portal.mec.gov.br/cne/arquivos/pdf/res012004.pdf, acessado em março de 2019.

10. Francisco Júnior, W. E.; Quim. Nova Esc. 2007, 26, 10.

11. Francisco Júnior, W. E.; Ciência & Educaçao 2008, 14, 397.

12. Benite, A. M. C.; Souza, E. P. L.; Alvino, A. C. B.; Anais do VIIIEncontro Nacional de Pesquisa em Educaçao em Ciências e I CongresoIberoamericano de Investigaciónen Enseñanza de las Ciencias, Rio de Janeiro, Brasil, 2011.

13. Souza, E. P. L; Alvino, A. C. B.; Santos. M. A; Benite, A. M. C.; Anais do XVI Encontro Nacional de Ensino de Química (XVI ENEQ)e X Encontro de Educaçao Química da Bahia (X EDUQUI), Salvador, Brasil, 2012.

14. Souza, E. P. L.; Dissertaçao de Mestrado, Universidade Federal de Goiás, Brasil, 2014.

15. Brito, M. C. L; Lopes, E. T.; Anais do XVIII Encontro Nacional deEnsino de Química, Florianópolis, Brasil, 2016.

16. Brito, M. C. D. L.; Dissertaçao de Mestrado, Universidade Federal de Sergipe, Brasil, 2017.

17. Alvino, A. C. B.; Silva, J. P.; Benite, A. M. C.; Anais do XVII EncontroNacional de Ensino de Química, Ouro Preto, Brasil, 2014.

18. Pinheiro, J. S., Silva, R. M. G.; Anais do XIV Encontro Nacional deEnsino de Química, Curitiba, Brasil, 2008.

19. Pinheiro, J. S.; Dissertaçao de Mestrado, Universidade Federal de Uberlândia, Brasil, 2009.

20. Santos, E. S.; Rodrigues Filho, G.; Amauro, N. Q.; Atas do IX EncontroNacional de Pesquisa em Educaçao em Ciências, Aguas de Lindóia, Brasil, 2013.

21. Pinheiro, J. S.; Henrique, H. C. R.; Santos, E. S.; Anais do XV EncontroNacional de Ensino de Química, Brasília, Brasil, 2010.

22. Dionysio, R. B.; Amorim, G. C.; Oliveira, R. D. V. L.; Revista Práxis 2015, 14, 63.

23. Francisco Júnior, W. E.; Quim. Nova Esc. 2017, 40, 79.

24. Francisco Júnior, W. E.; Silva, E. M. dos S.; Yamashita, M.; Atas do IXEncontro Nacional de Pesquisa em Educaçao em Ciências, Aguas de Lindóia, Brasil, 2013.

25. Santos, R. G.; Siemsen, G. H.; Silva, C. S.; Atas do IX EncontroNacional de Pesquisa em Educaçao em Ciências, Aguas de Lindóia, Brasil, 2015.

26. Moreira, P. F. S. D.; Amauro, N. Q.; Rodrigues Filho, G.; Atas do IXEncontro Nacional de Pesquisa em Educaçao em Ciências, Aguas de Lindóia, Brasil, 2013.

27. Silva, L. G.; Pinheiro, B. C. S.; Revista da ABPN 2017, 9, 191.

28. Benite, A. M. C.; Bastos, M. A.; Vargas, R. N.; Fernandes, F. S.; Faustino, G. A. A.; Educaçao em Revista 2018, 34, e193098.

29. Vargas, R. N.; Faustino, G. A. A.; Fernandes, F. S.; Benite, A. M. C.; SerSocial 2018, 20, 348.

30. Silva, L. H.; Pinheiro, B. C. S.; Revista Debates em Ensino de Química. 2017, 4, 5.

31. Santos, A. B.; Moura, V. C. T.; Moreira, P. F. S. D.; Anais do XVIIIEncontro Nacional de Ensino de Química, Florianópolis, Brasil, 2016.

32. Bastos, M. A.; Amauro, N. Q; Benite, A. M. C.; Revista da ABPN 2017, 9, 312.

33. Bastos, M. A; A. M. C.; Revista da ABPN 2017, 9, 64.

34. Benite, A. M. C.; Bastos, M. A.; Camargo, M. J. R.; Vargas, R. N.; Lima, G, L. M.; Benite, C. R. M.; Quim. Nova Esc. 2017, 2, 131.

35. Benite, A. M. C.; Silva, J. P.; Alvino, A. C.; Educaçao em Foco 2017, 21, 735.

36. Silva, J. P.; Benite, A. M. C.; Revista da ABPN 2017, 9, 273.

37. Lima, G. L. M.; Alvino, A. C. B.; Moreira, M. B.; Silva, J. P.; Moura, A. R.; Silva, A. G.; Faustino, G. A. A.; Bastos, M. A.; Benite, A. M. C.; Anais do XVIII Encontro Nacional de Ensino de Química, Florianópolis, Brasil, 2016.

38. Santos, V. L. L.; Benite, A. M. C.; Revista da ABPN 2018, 10, 125.

39. Silva, J. P.; Faustino, G. A. A.; Alvino, A. C. B.; Bastos, M. A.; Moura, A. R.; Lima, G. L. M.; Silva, A. G.; Fernanda, F. S.; Benite, A. M. C.; Anais do XVIII Encontro Nacional de Ensino de Química, Florianópolis, Brasil, 2016.

40. Heidelmann, S. P.; Silva, J. F. M. S; Pinho, G.; Anais do XVIII EncontroNacional de Ensino de Química, Florianópolis, Brasil, 2016.

41. Sutherland, E.; Coltan, the Congo and Your Cell Phone (April 11, 2011), disponível em http://dx.doi.org/10.2139/ssrn.1752822, acessado em março de 2019.

42. Benite, A. M. C.; Silva, J. P.; Roteiros temáticos da diáspora: caminhospara o enfrentamento ao racismo no Brasil; Kominek, A. M. V., Vanali, A. C., eds.; Fi: Porto Alegre, 2018, cap. 8.

43. Moreira, P. F. S. D.; Rodrigues Filho, G.; Fusconi, R.; Jacobucci, D. F. C.; Quim. Nova Esc. 2011, 22, 85.

44. Silva, J. S.; Alvino, A, C. B.; Santos, M. A.; Santos, V. L.; Benite, A. M. C.; Quim. Nova Esc. 2017, 39, 19.

45. https://ensaiosenotas.files.wordpress.com/2017/04/ocatere-povostradicionais.pdf, acessada em março de 2019.

46. http://www.planalto.gov.br/ccivil_03/_ato2007-2010/2007/decreto/d6040.htm, acessada em março de 2019.

47. Martins, A. R.; Junior, W. R. S. Revista do Instituto de EstudosBrasileiros (RIEB) 2017, 68, 32

48. https://www.geledes.org.br/liderancas-de-matriz-africana-divulgamtexto- orientador-em-plenaria-da-iii-conapir/, acessada em março de 2019.

49. http://www.acordacultura.org.br/oprojeto, acessado em março de 2019.

50. https://www.mdh.gov.br/biblioteca/igualdade-racial/plano-nacional-dedesenvolvimento-sustentavel-dos-povos-e-comunidades-tradicionais-dematriz-africana/view, acessada em Março de 2019.

51. http://www.planalto.gov.br/ccivil_03/_ato2015-2018/2016/decreto/D8750.htm, acessada em Março de 2019.

52. Ferretti, M.; Repensnado o Sincretismo: Estudo sobre a Casa das Minas. Editora Universidade de Sao Paulo: Sao Paulo, 1995.

53. Costa Neto, A. G.; Dissertaçao de Mestrado, Universidade de Brasília, Brasília, 2010.

54. http://www.seppir.gov.br/central-de-conteudos/noticias/2016/pretos-epardos-sao-maiores-vitimas-das-denuncias-de-violacoes-de-direitoshumanos, acessada em março de 2019.

55. Werneck, J.; Iraci, N. A situaçao dos direitos humanos das mulheresnegras no Brasil: Violências e Violaçoes, Geledés e Criola: Sao Paulo, 2016.

56. Novaes, B. A.; Anais do Congresso ANPTECRE, Curitiba, Brasil, 2015.

57. https://www.todamateria.com.br/umbanda/, acessada em abril de 2018.

58. Nascimeto, A. A. S.; Revista Brasileira de Sociologia da Emoçao 2010, 8, 27.

59. https://www.todamateria.com.br/candomble/, acessada em março de 2019.

60. Siqueira, M. L.; Agô, Agô, Lonan, Mazza Ediçoes: Belo Horizonte, 1998.

61. Brandao, C. R (Org).; Pesquisa Participante. Sao Paulo: Brasiliense, 1984.

62. Demo, P.; Pesquisa participante: saber pensar e intervir juntos, Plano: Brasília, 2004.

63. Gomes, N. L.; Currículo sem Fronteiras 2012, 1, 98.

64. Gregolin, M. R. F. V.; Alfa 1995, 39, 13.

65. Bakhtin, M. M.; Marxismo e Filosofia da Linguagem, 12a ed., Hucitec: Sao Paulo, 2006.

66. Lemos, M. J.; Monografia de Licenciatura Plena em História, Faculdade do Médio Parnaíba, Teresina, 2014.

67. Bittar, E. C. B.; Seqüência: Estudos Jurídicos e Políticos 2011, 1, 311.

68. Rocha, Y. T.; Religioes e Ciências 2011, 3, 1.

69. Barros, J. F. P.; Napoleao, E.; Ewé Òrìsà: Uso Litúrgico e Terapêuticodos vegetais nas casas de Candomblé Jêje-Nagô, 7th ed., Bertrand Brasil: Rio de Janeiro, 2015.

70. Orlanda, J. F. F.; Tese de Doutorado, Universidade Federal da Paraíba, Joao Pessoa, 2011.

71. Camargo, M. T. L. A.; Revista do Núcleo de Estudos de Religiao eSociedade 2014, 26, 1.

72. Bernardes, P. S.; Ferreira, D. T.; Resumos da 2a Seminário de Educaçaoe Diversidade Étnico-Racial Discutindo as Diferenças, Londrina, 2007.

73. Arroio, A; Honorio, K. M.; Silva, Albérico B. F.; Quim. Nova 2010, 33, 694.

74. Barsa, Nova Enciclopédia. V. 9, Encyclopedia Britannica do Brasil Publicaçoes: Sao Paulo, 1998.

75. David, J. P.; David, J. M.; Planta Medicinais, 6th ed., Rio de Janeiro: Guanabara Koogan, 2002.

76. http://bvsms.saude.gov.br/bvs/publicacoes/politica_nacional_fitoterapicos.pdf, acessada em Março de 2019.

77. Farnsworth, N. R. Em Screening plants for new medicines; Wilson, E. O., ed.; National Academy Press: Washington DC, 1988.

78. Santomé, J. T. Em As culturas negadas e silenciadas no currículo, 6th ed.; Silva, T. T., org.; Petrópolis: Vozes, 1995.

79. d'Alcântara, A.; A Umbanda em julgamento, Rio de Janeiro: 1949.

80. Botelho, P. F.; Revista de Educaçao, Gestao e Sociedade 2011, 4, 1.

81. Sousa, M. S.; Lima, M. F.; Plantas sagradas nas religioesafrobrasileiras: correlaçoes do seu terapêutico e a fitoterapia, UFG: Goiânia, s/d, artigo digitado, 2011, pp. 1-20, disponível em https://studylibpt.com/doc/3193386/plantas-sagradas-nas-religi%C3%B5esafro-brasileiras, acessada em março de 2019.

On-line version ISSN 1678-7064 Printed version ISSN 0100-4042
Qu�mica Nova
Publica��es da Sociedade Brasileira de Qu�mica
Caixa Postal: 26037 05513-970 S�o Paulo - SP
Tel/Fax: +55.11.3032.2299/+55.11.3814.3602
Free access

GN1