JBCS



14:52, sáb out 25

Acesso Aberto/TP



Revisão


Avanços recentes na química dos aminoaçúcares: ocorrência, biossíntese, síntese e aplicação
Recent advances in chemistry of amino sugars: occurrence, biosynthesis, synthesis and application

Aldicéia Luiz de MouraI; Bruna Martins GuimaraesI; Josefa Aqueline da Cunha LimaI; Mauricélia M. Sousa MataI; Jadson Farias da SilvaI; Ronaldo N. OliveiraI; Juliano Carlo Rufino de FreitasII; Joao R. de Freitas FilhoI,*

I. Departamento de Química, Universidade Federal Rural de Pernambuco, 52171-900 Recife - PE, Brasil
II. Centro de Educação e Saúde, Universidade Federal de Campina Grande, 58175-000 Cuité - PB, Brasil

Recebido em 17/12/2018
Aceito em 14/03/2019
Publicado na web em 17/04/2019

Endereço para correspondência

*e-mail: joaoveronice@yahoo.com.br

RESUMO

Amino sugars are chemical compounds that have a sugar backbone, in which one of the hydroxyl groups is replaced by an amino group. Derivatives of amine-containing sugars, such as N-acetylglucosamine, are also considered amino sugars. The synthetic introduction of amino functionalities in a regio- and stereoselective manner ontosugar scaffolds represents a substantial challenge. Most of the modern methods for the preparation of 1-, 2- and 3-amino sugars are those starting from glycals, 2,3-unsaturated O-glycosides epoxy-sugars, keto-sugars among others. This review summarizes recente developments in the current state of knowledge concerning the occurrence, biosynthesis, synthesis and application of amino sugars.

Palavras-chave: carbohydrate; amino sugars; regioselectivity; diastereoselectivity.

CONSIDERAÇOES GERAIS

Os carboidratos e seus derivados sao biomoléculas potencialmente úteis nos campos da química e da biologia,1 de modo que modificaçoes estruturais nestes compostos podem ocorrer por substituiçao com nitrogênio, enxofre, fosfato ou cloro, e outros grupos.2 Os aminoaçúcares que sao sem dúvida os mais importante açúcares modificados existentes, sao os constituintes fundamentais3,4 de muitos compostos biologicamente ativos, como antibióticos5,6 e biopolímeros.7 Aminoaçúcares sao definidos como aldoses ou cetoses que têm seu grupo hidroxila substituído por grupo amino nos C2, C3 ou C4 do anel hexose ou pentose, exceto no carbono anomérico.8,9 As propriedades físico-químicas dessas moléculas podem afetar fortemente suas atividades biológicas. Esses compostos sao cruciais para o bem estar da maioria dos organismos, incluindo humanos, porque desempenham papéis essenciais na estrutura e funçao de oligossacarídeos, polissacarídeos e glicoproteínas biologicamente importantes.10,11 A presença de um amino grupo em um resíduo de monossacarídeo permite a protonaçao e geraçao de um íon amônio; o grupo acetamido, embora muito menos básico que uma amina, transmite muita polaridade à molécula em questao. Sabe-se, por exemplo, que a estereoquímica relativa dos grupos funcionais em aminoaçúcar natural e nao natural desempenha um papel importante no perfil de atividade das antraciclinas.12

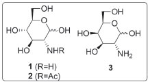
Os aminoaçúcares podem ser obtidos através de síntese total ou por introduçao nos açúcares de um grupo funcional amino. Alguns deles foram abordados na literatura no período compreendido entre 1963 e 2018.13-20 Uma revisao mais recente, descreve a ocorrência, biossíntese e métodos de síntese de aminoaçúcares.8 Em 2018, Chen e Xie20 relataram em um artigo de revisao a síntese e aplicaçoes biológicas de O-amino acúcares e nucleosídeos. Outras publicaçoes voltadas para síntese e aplicaçoes biológicas de aminoaçúcares de aminoaçúcares e seus derivados, sao descritos na literatura.16,21-24 Os membros mais comuns dessa classe de compostos sao 2-amino-2-desoxi-D-glicopiranose (D-glicosamina ou quitosamina 1), 2-acetamido-2-desoxi-D-glicopiranose (2) e 2-amino-2-desoxi-D-galactopiranose (3) (Figura 1).

 


Figura 1. Membros mais comuns de aminoaçúcares

 

Portanto, neste trabalho, resumimos o conhecimento atual sobre a química, ocorrência natural, biossíntese, síntese e aplicaçoes de aminoaçúcares.

 

OCORRENCIA NATURAL DE AMINOAÇUCARES

Aminoaçúcares sao membros de uma classe de compostos de grande diversidade e abundância na natureza. O termo "açúcar aminado" refere-se a um derivado de hidrato de carbono em que um ou mais dos grupos hidroxila foram substituídos por um grupo amino. O grupo amino pode ser livre ou substituído. Nesta Seçao, é apresentada uma visao geral da ocorrência natural de aminoaçúcares.

Por exemplo, a 2-amino-2-desoxi-D-glicose (D-glicosamina ou quitosamina 1)24 é muito abundante na natureza, particularmente presente no polissacarídeo quitina, em que pode ser encontrada na forma de derivados N-Acetilados 2.25-27 O composto 2-amino-2-desoxi-D-galactose 3 (D-galactosamina)28 é bastante comum e é um monossacarídeo constituinte da dermatana e do sulfato de condroitina, polissacarídeos encontrados nos tecidos e cartilagem de mamíferos. Essas substâncias sao nomeadas segundo o açúcar do qual sao derivadas pelo uso do prefixo "aminodesoxi". Além de grupo amino na posiçao 2 do carboidrato, encontra-se também a ocorrência de grupos amino nas posiçoes 3, 4, 5 ou 6 (Figura 2). Açúcares do tipo 3-amino sao encontrados frequentemente na natureza como constituintes de gentamicina 429 e do antibiótico antraciclina 5.30 A micaminose, constituinte de antibióticos como a leucomicina, magnamicina, e outros membros do grupo espiromicina,31 é identificada como 3,6-didesoxi-3-dimetilamino-D-glicose 6. Os açúcares 4-amino-4,6-didesoxihexoses e seus derivados sao constituintes de um grande número de antibióticos.32 O componente aminoaçúcar (perosamina) do antibiótico heptaênico perimicina é reconhecido através de evidência química como 4-amino-4,6-didesoxi-D-manose 7.32,33 O composto prumicina, nomeado como 4-(D-alanilamino)-2-amino-2,4-didesoxi-L-arabinose 8, além da atividade antibiótica, tem atividade antimoral34 e foi sintetizado a partir de glicina e L-serina.35

 


Figura 2. Exemplos de aminoaçúcares de ocorrência de grupos amino nas posiçoes 3, 4, 5 ou 6

 

Os ácidos nonulosamínicos (ácidos neuramínicos), por exemplo, sao derivados de 5-amino-5-desoxinonose encontrado usualmente na forma combinada no mucolipídeos ou mucopolissacarídeos em animais. Um exemplo é o ácido 5-acetamido-3-5-didesoxi-D-glicero-D-galacto-2-nonulosônico (ácido N-acetilneuramínico) 9 (Figura 2), conhecido como ácido siálico e encontrado em polissacarídeos de muitos animais e bactérias.36-42

O ácido 5-acetamido-3,5-didesoxi-D-glicero-D-galacto-2-nonulosônico foi sintetizado com 51% de rendimento a partir do ácido nonônico. Na literatura, há uma descriçao detalhada sobre o espectro de RMN 1H e de 13C do Neu5Ac em soluçao de óxido de deutério.43 A conformaçao do anel piranosídico de Neu5Ac, é do tipo 1C4, e a configuraçao β é estabilizada no grupo hidroxila da posiçao anomérica. Para caracterizaçao da estrutura do composto 9, foi realizada análise elementar, rotaçao específica, espectro de infravermelho e cristalografia de raios-X.43 Outros aminoaçúcares derivados têm mostrado interessantes propriedades farmacológicas, como por exemplo o composto 2,6-diamino-2,6-didesoxi-L-idose 10 (neosamina B) que é um constituinte do antibiótico paromomicina e neomicina B44 é um exemplo de aminoaçúcar com grupo amino na posiçao 6 (Figura 2).

Carboidratos nos quais um grupo amino substitui o -OH anomérico sao chamados de glicosilaminas ou N-glicosídeos e podem ocorrer na forma de um anel de cinco ou seis membros e na configuraçao α- e β-anomérica (compostos 13 e 14). As aldoses sofrem reaçoes de condensaçao com amônia, aminas primárias ou secundárias para fornecer glicosilaminas. Um exemplo desse tipo de reaçao é a condensaçao da aldose 11 com amônia e aminas primária (Esquema 1),45 produz um aduto de imina instável 12, também chamado de base de Schiff, o qual é ciclizada para originaros α e β-anômeros 13 e 14. Uma análise mais recente dos mecanismos de reaçao da formaçao de glicosilamina identificou várias rotas para a formaçao de produtos.46

 


Esquema 1. Proposta de síntese de glicosilaminas a partir da aldose 11 com amônia e aminas primárias

 

Outros aminoaçúcares de origem natural sao frequentemente constituintes de diferentes produtos do metabolismo secundário, incluindo antibióticos. A micosamina está presente nos antibióticos antifúngicos, anfotericina B e nistatina.47,48 A ribosamina é um componente da puromicina, a desosamina está presente na eritromicina, a daunosamina ocorre no anticâncer antraciclina daunomicina e diferentes açúcares aminados e seus derivados sao encontrados nos antibióticos antibacterianos aminoglicosídeos. Em cada caso, a porçao aminoaçúcar é importante para a atividade biológica desses antimicrobianos.49

 

ROTAS BIOSSINTÉTICAS DE AMINOACUCARES

Os aminoaçúcares podem ser obtidos através de rotas sintéticas e biossintéticas. Na rota biossintética, a conversao de um monossacarídeo - geralmente na forma de açucar fosfatado ou de nucleotídeo glicosilado - é catalisada por uma enzima aminotransferase PLP-dependente ou amidotransferase PLP-independente, de maneira estereoespecífica. Por outro lado, a sua síntese será possível através de precursores, tais como álcoois, aldeídos, ácidos carboxílicos, ésteres e lactonas ou aminoácidos ou pela introduçao regio- e estereoespecífica de uma funcionalidade amino em açúcares apropriados, ou substrato derivado de açúcar por substituiçao nucleofílica ou adiçao. Inicialmente discutiremos as rotas biossintéticas para obtençao de aminoaçúcares derivados do metabolismo primário e secundário numa abordagens diferentes e mais completa do que foi descrito por Skabec e Milewska.8

Aminoaçúcares derivados do metabolismo primário

Uma rota biossintética para obtençao de aminoaçúcares no metabolismo primário envolve a transferência do grupo amino de um doador de aminoácido (geralmente L-glutamato ou L-glutamina) para a funçao ceto de um derivado de cetose na forma aberta ou para o átomo de carbono ceto gerado na reaçao anterior após oxidaçao de um C-OH da forma cíclica de um derivado da aldose. A transferência de grupo amino é catalisada pela enzima aminotransferase PLP-dependente ou amidotransferase PLP-independente, de maneira estereoespecífica. O substrato aceitador do grupo amino é geralmente um açúcar fosfatado ou um nucleotídeo glicosilado. A única reaçao desse tipo no metabolismo primário dá origem a α-D-glicosamina-6P (21) a partir de β-D-frutose-6P (15). Essa reaçao é catalisada por L-glutamina: β-D-frutose-6P amidotransferase (isomerizaçao da hexose), cujo nome trivial é glicosamina-6P (GlcN-6-P) sintase. A enzima é amplamente distribuída na natureza e está presente em quase todos os organismos vivos. Segundo Adam,50 no protozoário Giardia lamblia, o GlcN-6P é formado a partir de Fru-6-P e amônia sobre catálise com GlcN-6P desaminase, uma enzima catabólica em todos os outros organismos.

A GlcN-6-P sintase nao requer nenhuma coenzima e catalisa reaçao complexa, irreversível, que envolve transferência do grupo amida de L-glutamina para β-D-Fru-6P e subsequente isomerizaçao da cetose para o intermediário frutoseimina 19, Esquema 2.

 


Esquema 2. Rota biossintética para transferência de grupo amino e isomerizaçao do açúcar fosfatado

 

De acordo com Milewski et al.,51 a GlcN-6-P formada na reaçao catalisada pela GlcN-6-P sintase é posteriormente convertida em UDP-GlcNAc, em uma série de três reaçoes consecutivas, conhecida como a via Leloir. Por outro lado, a UDP-GlcNAc dá origem aos respectivos nucleotideos glicosilados, tais como ManNAc e GalNAc, formados na reaçao catalisada pela uridina difosfato-N-acetilglicosamina-2-epimerase e uridina difosfato-N-acetilglicosamina-4-epimerase, respectivamente.52,53 O ManNAc é um precursor do ácido siálico (Neu5Ac), formado após condensaçao catalisada por aldolase de ManNAc e piruvato (Esquema 3).

 


Esquema 3. Rota biossintética de Neu5Ac após condensaçao catalisada por aldolase de ManNAc e piruvato

 

Uma abordagem mais comum para a síntese enzimática de Neu5Ac envolve a preparaçao química da N-acetilmanosamina modificada (ManNAc), derivados 23, e a sua conversao no correspondente derivado Neu5Ac utilizando a enzima Neu5Ac aldolase conforme representado no Esquema 4. Convém destacar que a enzima Neu5Ac aldolase catalisa a clivagem reversível do Neu5Ac em piruvato e ManNAc.54

 


Esquema 4. Via biossintética de kanosamina em Bacillus subtilis

 

Por outro lado, a formaçao da ligaçao carbono-carbono entre o ManNAc e o piruvato depende nao apenas da proximidade e orientaçao dos dois átomos de carbono ligados, mas também da transferência de um hidrogênio para o oxigênio da carbonila da aldose do ManNAc.

Aminoaçúcares derivados do metabolismo secundário

A biossíntese de aminoaçúcares no metabolismo secundários é realizada por rotas metabólicas específicas com estreita relaçao com as rotas biossintéticas no metabolismo primário. Essas rotas sao interconectadas, ou seja, as rotas que sintetizam metabólitos primários fornecem moléculas que sao utilizadas como precursoras nas principais rotas de síntese de metabólitos secundários.

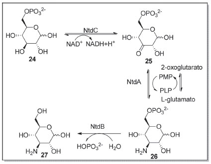
Ao contrário da biossíntese de aminoacúcares no metabolismo primário, que deriva da aminaçao catalisada pela D-glicosamina-6P sintase de D-frutose-6P, a biossíntese de aminoacúcares no metabolismo secundário envolve a introduçao da funcionalidade amino por uma enzima aminotransferase PLP-dependente. Essa enzima participa da biossíntese de 3-amino-3-desoxi-D-glicose (kanosamina).55 De acordo com o Esquema 4, a glicose-6P 24 é convertida em três etapas para kanosamina pela açao da enzima NtdC, uma 3-desidrogenase de glicose-6P, uma enzima NtdA, um 3-oxo-glicose-6-P dependente de fosfato de piridoxal (PLP) e uma enzima denominada de NtdB, uma fosfatase kanosamina-6P fosfatase. A aminaçao de 3-oxo-D-glicose-6-fosfato nessa via é catalisada pela NtdA aminotransferase. Essa enzima foi isolada e sua estrutura foi determinada.56

A kanosamina é produzida por Bacillus subtilis, Bacillus circulans e Bacillus pumilus exibe efeito inibidor do crescimento contra Staphylococcus aureus e Klebsiella pneumoniae.57,58 O mecanismo de açao antimicrobiana envolve o transporte pela hexose permease, fosforilaçao a kanosamina-6-fosfato (K6P) e inibiçao GlcN-6-P sintase pela K6P.58 Em 2011, Floss e colaboradores59 descreveram que a kanosamina e a UDP-kanosamina sao também os intermediários específicos na biossíntese do 3-amino-5-hidroxibenzoato, um precursor dos antibióticos mitomicina e ansamicina, incluindo a rifamicina B. Além de ser o precursor biossintético da via biossintética 3-amino-5-hidroxibenzoato, a kanosamina também é a fonte de nitrogênio para a via amino shiquimato.60

A melhor rota biossintética para a produçao de kanosamina envolve a fosforilaçao da glicose para a glicose 1-fosfato, seguida pela pirofosforilaçao em UDP-glicose. A UDP-glicose é entao oxidada em UDP-3-oxo-D-glicose. A transaminaçao de UDP-3-oxo-D-glicose produz UDP-kanosamina, que é entao hidrolisada para formar kanosamina.

A biossíntese de kanosamina em Streptomyces envolve a fosforilaçao de glicose em glicose-1-fosfato, seguida de pirofosforilaçao em UDP-glicose. O nucleotídeo glicosilado é posteriormente oxidado a UDP-3-oxo-D-glicose.61 A transaminaçao de UDP-3-oxo-D-glicose produz UDP-kanosamina, que é finalmente hidrolisada para produzir kanosamina.62

Outros aminoacúcares provenientes do metabolismo secundário microbiano sao componentes de muitos antibióticos. Por exemplo, a D-desosamina, também conhecida como 3-(dimetilamino)-3,4,6-trideoxi-D-glicosee presente no antibiótico eritromicina é formada a partir da glicose em uma via biossintética de seis etapas envolvendo aminaçao de TDP-3-oxo-6-desoxi-D-glicose por DesV aminotransferase63 seguido de dimetilaçao catalisada por N,N-dimetiltransferase DesVI (Esquema 5).64 A produçao de dTDP-desosamina inicia com a ligaçao de α-D-glicose-1-fosfato ao dTMP catalisada por DesIII. O passo seguinte na remoçao do grupo hidroxila do C6 do açúcar é a oxidaçao do grupo hidroxila do C4 para uma funcionalidade ceto através da açao da enzima DesIV. Em seguida, a enzima DesI promove a aminaçao no C4 do açúcar. Para que essa etapa aconteça é necessário primeiramente a conversao de PLP em PMP usando glutamato como fonte de nitrogênio, seguida pela aminaçao do C4 do acúcar, com o grupo amino na posiçao equatorial. Após a aminaçao por DesI, a enzima seguinte na via, DesII, remove o grupo amino da posiçao C-4 e oxida o grupo hidroxila de C-3 à cetona. Ainda de acordo com o Esquema 5, existe uma segunda enzima PLP-dependente na via, a DesV, que adiciona um grupo amino no C-3 e na posiçao equatorial.

 


Esquema 5. Via biossintética de seis etapas envolvendo aminaçao de TDP-3-oxo-6-desoxi-D-glicose por DesV aminotransferase

 

A estrutura de DesI foi comprovada através de difraçao de raios-X, cuja resoluçao foi realizada com o complexo dTDP-4-amino-4,6-didesoxiglicose.

AD-perosamina (4-amino-4,6-didesoxi-D-manose), aminoacúcar derivado do metabolismo secundário e presente em Vibrio cholerae, é biossintetizada como um derivado ligado ao GDP da GDP-4-ceto-6-desoxi-D-manose, em uma reaçao catalisada pela enzima perosamina-sintase.65 Por outro lado, a aminaçao da GDP-3-ceto-6-desoxi-D-manose pela GDP-3-ceto-6-desoxi-D-manose 3-aminotransferase NysDII origina a GDP-micosamina (GDP-3-amino-3,6-dideoxi-D-manose), o qual é um precursor da porçao D-micosamina, presente num antibiótico antifúngico denominado nistatina produzido por Streptomyces noursei.66 Segundo Otten e colaboradores,67 a TDP-daunosamina, um precursor da porçao daunosamina no antibiótico anti-daunorrubicina, é derivada da 3,4-diceto-2-desoxi-D-ramnose, que é aminada em C3.

A estrutura e configuraçao absoluta da L-daunosamina foi determinada principalmente por sua similaridade espectral com a rodosamina e 2-desoxi-L-fucose, ambas com configuraçao de L-lyxo. Um passo fundamental na elucidaçao da estrutura foi a degradaçao oxidativa do derivado N-benzoila da L-daunosamina a partir do ácido L-aspártico.

Outros 3-amino-2,3,6-trideoxi-hexoses presentes em antraciclinas ou vancomicinas, incluindo L-ristosamina, L-acosamina e L-vancosamina, sao formadas a partir das respectivas 3-ceto-2,6-didesoxi-hexoses de maneira similar.68 Por outro lado, Guo et al.69 relatam que a D-gulosamina (2-amino-2-desoxi-D-gulose) presente em aminoglicosídeos atípicos, é proveniente da epimerizaçao e desacetilaçao da N-acetil-D-galactosamina. O UDP-N-metil-D-glicosamina-6-fosfato é identificado como um precursor para a biossíntese de N-metil-L-glicosamina, um componente da estreptomicina.70 A Figura 3, a seguir, sumariza exemplos de alguns aminoaçúcares derivados do metabolismo secundário.

 


Figura 3. Exemplos de aminoaçúcares obtido a partir do metabolismo secundário

 

SINTESE DE AMINOAÇUCARES

Alguns métodos relatados para síntese de aminoaçúcares envolvem as ligaçoes dupla dos glicais 48, obtidos a partir do composto 47, e dos hexenopiranosídeos 49 (Esquema 6), que representam excelentes materiais de partida devido ao seu baixo custo e disponibilidade comercial.71 Sua obtençao se dá após abertura de derivados epoxi-açúcares por aminas,8 reduçao de derivados de oxima e azida,72 reaçao de adiçao a ligaçoes duplas de glicais73-75 e de glicosídeos 2,3-insaturados76 e cicloadiçao à cetoaçúcares, dentre outros.77

 


Esquema 6. Esquema geral para síntese de aminoaçúcares

 

Síntese de aminoaçúcares a partir de epóxi-açúcares

Em 1993, Roger e colaboradores78 descreveram a síntese do 3-Amino-3,4-dideoxi-β-D-xilo-hexapiranosideode metila 59 com azida de sódio (Esquema 7). Nessa reaçao houve a formaçao de dois intermediários 57 e 58, os quais foram obtidos na proporçao de 3:2. Esta mesma reaçao de síntese a partir do epóxido 56 também foi mencionado por Ferrier e Collins.79

 


Esquema 7. Síntese do 3-Amino-3,4-dideoxi-β-D-xilo-hexapiranosideo de metila usando com azida de sódio

 

Okazaki e colaboradores80 propuseram a síntese de dois intermediários contendo anéis de três membros, o epóxido 60, e em seguida o isômero syn-60 foi subsequentemente aberto usando azida de sódio (Esquema 8) para dar a mistura dos regioisômeros 61ab (74:28).

 


Esquema 8. Síntese de aminoaçúcares via epoxi-açúcares

 

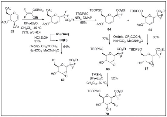
Em 2009, Poulain e colaboradores81 relataram a reaçao de um difluoroceteno acetal sililado ao D-glical 62 para produzir o C-glicosídeo 2,3-insaturado 63, o qual foi submetido a uma reaçao de desproteçao para fornecer 68 e uma reaçao de proteçao para fornecer os α,β-anômeros 64 e 65. Segundo os autores, a partir das reaçoes de desproteçao/proteçao, duas sequências de reaçoes foram planejadas para obtençao de aminoacúcares: a) reaçao epoxidaçao da ligaçao dupla de 64, 65 e 68 e b) reaçao de abertura de anel dos epóxidos com nucleófilos de nitrogênio (TMSN3) para fornecer o composto 70 em rendimento de 52% (Esquema 9).82

 


Esquema 9. Aminoaçúcares obtidos a partir de reaçao de epoxidaçao e abertura do anel com TMSN3

 

Ainda conforme os autores, a oxidaçao de 64 e 65 com o (trifluorometil) dioxirano, gerado in situ a partir de trifluoroacetona e oxônio produziu os epóxidos 66 e 67 com completa diastereosseletividade, ou seja, com o átomo de oxigênio entrando trans em ralaçao ao substituinte anomérico. Destes, apenas o diastereoisômero 66 foi submetido à abertura de anel usando com trimetilsililazida em presença de um ácido de Lewis, para fornecer o 2-desoxi-2-azido-C-glicosídeo 70 como um único diastereoisômero. Outras rotas sintética para produzir aminoaçúcares via epoxi-açúcares sao descritas na literatura.83-86

Síntese de aminoaçúcares a partir de glicais e/ou de glicosídeos 2,3-insaturados

Os produtos de partidas utilizados nestas reaçoes de síntese sao 1,2-glicais ou glicosídeos 2,3-insaturados protegidos,87-91 isso é, análogos de açúcar contendo uma ligaçao dupla. A adiçao de reagente(s) apropriado(s) a essa ligaçao deve resultar na formaçao de ligaçoes C-NH2 e C-OH nos dois átomos de carbono vizinhos, ligados por uma dupla ligaçao (Esquema10).

 


Esquema 10. Síntese de aminoacúcares a partir de 1,2-glicais ou glicosídeos 2,3-insaturados

 

Síntese de aminoaçúcares a partir de glicais

A síntese de aminoaçúcares foi realizada por Descotes e colaboradores,92,93 através da adiçao de iodoazida (IN3) ao tri-O-acetil-D-glical 62 fornencendo a mistura de 71 e 72 no qual o α-anômero 71 foi predominante (configuraçao D-mano). Os compostos 71 e 72 quando tratados separadamente com trifenilfosfina na presença de álcool, produziram sais de 2-aminofofôsnio de 1,2-trans-glicosídeos em bom rendimento. A remoçao do grupo fofôsnio, sem isolamento do intermediário 73, seguido pela acetilaçao do grupo amino produziu o aminoaçúcar 74 (Esquema 11).

 


Esquema 11. Síntese de aminoaçúcares a partir tri-O-acetil-D-glical e iodoazida

 

Dando continuidade, Lafont et al.94 demonstraram que os derivados de 6-amino-1,6-anidro-6-desoxiaçúcar (série D-glico, D-galacto, D-mano), podem ser preparados pelo tratamento de 1,2-trans-2-desoxi-2-iodo-β-D-glicopiranosilazida 72, com trifenilfosfina. O ataque nucleofilico do nitrogênio em C-2 produz uma aziridina intermediaria instável, que é aberta pelo álcool na posiçao anomérica.

Síntese de aminoaçúcares a partir de glicosídeos 2,3-insaturados

Em 2006, Mendlik e colaboradores95 descreveram um método de aziridinaçao fotoinduzida para a preparaçao da L-daunosamina e L-ristosamina. Na reaçao foi utilizado a L-treo-hex-2-enopiranosídeo 75 como material de partida para esta síntese (Esquema 12). O intermediário 76 sofreu uma irradiaçao com luz UV de 254 nm onde foi convertido em um derivado de aziridina 77. Para a abertura regiosseletiva do anel da aziridina 77, o mesmo foi submetido a uma reaçao de hidrogenaçao catalisada por Pd/C, seguido do tratamento com hidróxido de bário, originando o composto desejado 79 em rendimento de 87%.

 


Esquema 12. Aziridinaçao fotoinduzida para a preparaçao da L-daunosamina e L-ristosamina

 

Outro método usado para introduçao da funcionalidade amino em glicosídeos 2,3-insaturados é a amina-hidroxilaçao catalisado por ósmio. O método consistiu em uma das etapas, sintetizar a oxazolidinona 84, como intermediário e em seguida a mesma é hidrolisada em uma soluçao aquosa de hidróxido de lítio para fornecer o composto 85 em rendimento de 96% e completa syn-diastereosseletividade. A síntese do metil-3-amino-3-desoxi-D-talopiranosídeo 85 é mostrada no Esquema 13.96

 


Esquema 13. Síntese do metil-3-amino-3-desoxi-D-talopiranosídeo catalisada por ósmio

 

Por outro lado, segundo os autores, a reaçao foi bem sucedida com o produto de partida 82, derivado do tri-O-acetil-D-galactal. Nao obtiveram sucesso quando utilizaram o substrato, obtido a partir do tri-O-acetil-D-glical. Segundo eles, o resultado foi negativo quando se utilizou o tri-O-acetil-D-glical, porque de acordo com a conformaçao meia cadeira mais estável 5HO para o complexo intermediário 88 (Figura 4), observa-se um considerável impedimento estérico ao ataque das espécies de Os-imido com a parte aglicônica.

 


Figura 4. Conformaçao meia cadeira 5HO para o complexo intermediário resultante da reaçao de amina-hidroxilaçao com tri-O-acetil-D-glical 62

 

Mirabella e colaboradores96 também descreveram um protocolo de amina-hidroxilaçao dos derivados de hexenopiranosideo 87 protegidos (Esquema 14) - obtidos a partir de tri-O-acetil-D-glical 62, em cinco etapas e através de rearranjo Ferrier - e obtiveram o composto 88 em rendimento de 31%.

 


Esquema 14. Amino-hidroxilaçao do tri-O-acetil-D-glical 62 catalisada por ósmio

 

Ravindran e colaboradores97 relataram a síntese de uma nova classe de desoxiaminoaçúcares através da adiçao diastereoseletiva de aminas ao carboidrato modificado vinil sulfona. Essa metodologia de síntese consistiu em submeter o metil 2,3-didesoxi-4,6-O-(fenilmetileno)-3-C-fenilsulfonil-α-D-eritro-hex-2-enopiranosídeo 89 a uma reaçao de Michael com várias aminas, conforme Esquema 15.

 


Esquema 15. Síntese de uma nova classe de desoxiaminoaçúcares através da adiçao diastereoseletiva de aminas

 

Por outro lado, os mesmos autores propuseram uma rota sintética onde o composto metil 2,3-didesoxi-4,6-O-(fenilmetileno)-3-C-fenil-sufonil-β-D-eritro-hex-2-enopiranosídeo 89 reagiu com várias aminas através de uma reaçao de Michael, Esquema 16. A rota de síntese de vários aminoaçúcares com configuraçao glico a partir de 89 constitui um novo método para introduçao de amina N-monoalquiladas e N,N-dialquiladas ao carbono C-2 do anel piranosídico em configuraçao equatorial.

 


Esquema 16. Síntese do metil 2,3-didesoxi-4,6-O-(fenilmetileno)-3-C-fenilsufonil-β-D-eritro-hex-2-enopiranosídeo 92a-c através de uma reaçao de Michael

 

Outra metodologia descrita na literatura98,99 consistiu no uso do catalisador paládio. Nessa metodologia foram utilizados nucleófilos contendo nitrogênio para incorporar a funçao azido em C-4 e C-2 em 2,3-didesoxihex-2-enopiranosídeos para obtençao dos aminoaçúcares 94a-c, 96a-c e 97a-c (Esquema 17).

 


Esquema 17. Utilizaçao de nucleófilos contendo nitrogênio para incorporar a funçao azido em C-4 e C-2 do 2,3-didesoxi hex-2-enopiranosídeos

 

Há mais de 30 anos, Hanna e Baer100 propuseram a reaçao de aminaçao alilica, a qual consistia na síntese de aminoaçúcares insaturados a partir da transformaçao de anéis de piranoses insaturados na presença do catalisador paládio. Por outro lado, Brito e colaboradores101 utilizando o método descrito por Baer e Hanna desenvolveram a síntese de três novos 4-aminoaçúcares 2,3-insaturados 99-101 com rendimentos de 58-80% (Esquema 18) partindo de 4,6-di-O-acetil-2,3-didesoxi-α-D-eritro-hex-2-enopiranosídeo 98 e um catalisador de paládio zero. Posteriormente foi relatada a utilizaçao de nucleófilos de nitrogênio envolvendo o uso de catalisadores de paládio e algumas fontes de amina.

 


Esquema 18. Síntese de 4-aminoaçúcares 2,3-insaturados utilizando metodologia de Baer e Hanna

 

A incorporaçao de grupos químicos que polariza a dupla ligaçao em O-glicosídeos 2,3-insaturados é possível através da Adiçao de Michael, que resulta em incorporaçao regiosseletiva do nucleófilo. Por exemplo, Mukherjee e Jayaraman102 observaram que o composto 102 sofre adiçoes nucleofílicas de grupos aminos em C-2, através de adiçao de Michael para fornecer o composto 103 e 104 com excelentes rendimentos e alta seletividade dependendo do nucleófilo e do substituinte de enxofre (Esquema 19). Outros exemplos de adiçao de Michael a dupla ligaçao de O-glicosídeos 2,3-insaturados sao descritos na literatura.103

 


Esquema 19. Reaçao de Adiçao de Michael a dupla ligaçao de O-glicosídeos 2,3-insaturados

 

Em 2002, Liberek et al.104 descreveram a síntese de 3-aminoaçúcares através da reaçao de adiçao de Michael a aldeídos insaturados derivados de tri-O-acetil-D-glical e tri-O-acetil-D-galactal, utilizando mercúrio (Hg2+) em dioxano, seguido da adiçao de azida de sódio e ácido acético levando a formaçao de 3-azido-2,3-dideoxiaçúcares na forma de diastereisômeros (Esquema 20). Os compostos obtidos foram submetidos à uma separaçao cromatográfica, uma vez que houve a formaçao da mistura de quatro diastereoisômeros, com o grupo azido preferencialmente na posiçao equatorial (eq / ax = 2,5:1). Após separados, os distereoisômeros 123 e 124 foram submetidos a uma reaçao de hidrogenaçao e acetilaçao resultando na porçao acetilamino na posiçao C-3. Convém destacar que foi observada uma boa estereosseletividade na adiçao ao tri-O-acetil-D-glical e que a mesma foi perdida com a adiçao ao tri-O-acetil-D-galactal, isso provavelmente como consequência de impedimento estérico pelo grupo 4-acetoxi.105,106

 


Esquema 20. Síntese de 3-azido-2,3-didesoxi açúcares a partir de D-glical via adiçao de Michael

 

Síntese de aminoaçúcares de cadeia ramificada a partir de cetoaçúcares

Açúcares de cadeias ramificadas107,108 e contendo nitrogênio ocorrem frequentemente como componentes de substâncias farmacologicamente ativas, muitos antibióticos pertencem a essa classe de compostos.109 Os cetoaçúcares α,β-insaturados sao excelentes materiais de partida para a síntese de aminoaçúcares.110 Em 1982, Holder111 fez uma revisao destas hexenopiranosiduloses.

O primeiro exemplo de funcionalizaçao de piranosídeo de alquila com cromóforo ceto α,β- insaturado foi realizado por Fraser-Reid e colaboradores112,113 na síntese de alquil 2,3-didesoxi-hex-2-enopiranideos-4-ulose. A síntese de alguns desses derivados 2,3-didesoxi-4-ulose produz compostos estáveis e cristalinos. Em 1973, a síntese de alguns alquil 3,4-didesoxi-hex-2-enopiranosidulose foi relatada.114,115

Reaçoes de cicloadiçao

Algumas reaçoes de cicloadiçao a cetoaçúcares foram propostas por Fraser-Reid e colaboradores.112,113 Os autores obtiveram aminoaçúcares através de uma reaçao 1,3 dipolar de diazometano ao etil 6-O-acetil-2,3-dideosoxi-α-D-glicero-hex-2-enopiranosídeo-4-ulose 110 para formar o composto 111 (Esquema 21). A hidrogenaçao de 111 forneceu diamonoaçúcar ramificado 112, cuja configuraçao foi estabelecida pelo espectro de RMN 1H.116

 


Esquema 21. Diamonoaçúcar de cadeia ramificada obtido a partir da cicloadiçao de cetoaçúcares

 

Outra metodologia de síntese de aminoaçúcar a partir de enonas foi realizada por Apostolopoulos e colaboradores,117 pela adiçao de aminoácidos ao 5-C-substituído 2,3-didesoxi-hex-2-enopiranosid4-ulose 113, seguido de uma reaçao de reduçao para fornecer os compostos 114 (68%) e 115 (9%) com boas estereoseletividades (Esquema 22).

 


Esquema 22. Aminoacúcares provenientes da adiçao de aminoácidos ao 5-C-substituído 2,3-didesoxi-hex-2-enopiranosid-4-ulose 113

 

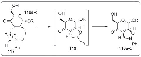
Em 2003, Freitas Filho e colaboradores118 descreveram a reaçao de cicloadiçao 1,3-dipolar de nitrona a hexenulose, que consistiu em reagir as enonas 116a-c, com N-fenilnitrona 117 resultando na formaçao dos compostos 118a-c em rendimentos variando de 52-76% (Esquema 23).

 


Esquema 23. Cicloadiçao 1,3-dipolar de N-fenilnitrona ao O-glicosídeo 2,3-insaturados 116a-c

 

Convém destacar que os autores do trabalho propuseram um mecanismo que consistiu na adiçao de óxido de metilidenoanilina 117 a dupla ligaçao C2-C3 de 116a-c em face oposta a aglicona dando uma isoxazolidina, via estado de transiçao 119, conforme Esquema 24.

 


Esquema 24. Mecanismo adiçao de N-fenilnitrona a O-glicosídeo 2,3-insaturados 116a-c

 

Outros exemplos de reaçao 1,3-dipolar para a síntese de aminoaçúcares foi relatado por Dahl e colaboradores (Esquema 25).119,120 Nessa síntese o galactal 120 reagiu com azidas benzílicas em trietilortoformato como solvente para fornecer o intermediário triazolina 121, o qual por irradiaçao forneceu a N-benzil aziridina 122. Segundo os autores, o tratamento adicional da reaçao com uma base forte proporcionou formaçao de um derivado de aminoglicosídeo. Tal cicloadiçao dipolar pode ser usada para obter 2-amino-2-desoxiglicosídeo 123.

 


Esquema 25. Síntese de aminoaçúcares através da reaçao 1,3-dipolar a tri-O-acetil-D-galactal

 

A literatura também cita a síntese de precursores de aminoaçúcares através da adiçao 1,3-dipolar de diazometano a dupla ligaçao de hexenulose121 e cicloadiçao 1,3-dipolar de fenilazida a diferentes hexenuloses.122

Síntese de aminoaçúcares a partir de outras rotas sintéticas

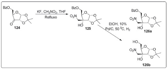
Ji e colaboradores123 relataram a síntese de diversos aminoacúcares derivados a partir de cetoaçúcares proveniente da D-xilose através de uma série de reaçoes, por exemplos a reaçao de Henry, reaçoes de hidrogenaçao e reaçoes de adiçao nucleofílica ou reaçoes de substituiçao. Segundo os autores em presença de KF, a adiçao de nitrometano ao grupo carbonila de 5-O-benzoil-1,2-O-isopropilideno-D-eritro-cetofurano-3-ulose 124 ocorreu estereosseletivamente para fornecer apenas o isômero 125 com configuraçao ribo e rendimento de 95% (Esquema 26). A presença de um grupo nitro na estrutura foi confirmada por análise de infravermelho e a configuraçao absoluta de todos os átomos de carbono assimétricos foi determinada pela análise de difraçao de raios-X. A estereoseletividade provavelmente resultou no impedimento estérico do grupo 1,2-O-isopropilideno. A etapa seguinte consistiu na hidrogenaçao catalítica de 125 sob condiçoes neutras, que levou a uma mistura dos compostos 126a e 126b, os quais foram isolados por cromatografia em coluna um sistema de MeOH-CHCl3 1:15 para fornecer o composto desejado 126a em 75% de rendimento e o composto 126b, com 10% de rendimento. A estrutura de 126a foi confirmada pelos espectros 1H, 13C, RMN 2D, HRMS e por cristalografia de raios-X.

 


Esquema 26. Síntese de aminoacúcares derivados a partir de cetoaçúcares proveniente da D-xilose

 

Recentemente, Zhu et al.124 relataram a síntese assimétrica catalítica de oito possíveis 2,3,4,6-tetradesoxi-4-amino-hexopiranosídeos, dentre eles os compostos 129, 132, 135 e 138 (Esquema 27), e também a síntese das gliconas dos produtos naturais grecociclina A e B, espinosina A e ossamicina. Entretanto, segundo os autores, a diastereosseletividade para um dos três centros estereogênicos foi baixa e nao controlada por catalisadores.

 


Esquema 27. Síntese assimétrica catalítica de 2,3,4,6-tetradesoxi-4-amino-hexopiranosídeos

 

Convém destacar que uma das etapas de síntese de 2,3,4,6-tetradesoxi-4-amino-hexopiranosídeos foi a partir do lactol opticamente puro (98% ee), o qual foi preparado em duas etapas via reduçao catalítica assimétrica do 2-acetilfurano mediada por [Cp*RhC]2/(R,R)-Ts-DPEN 139 (Figura 5) seguido por um rearranjo de Achmatowicz.125

 


Figura 5. Catalisador assimétrico (R,R)-Ts-DPEN utilizado na reduçao do 2-acetilfurano

 

Em 2015, Ding e colaboradores126 descrevem a síntese estereosseletiva do pseudo-aminoaçúcar (+)-valienamina 144 a partir do ácido (-)-chiquímico 140 com rendimento global de 38,3% através de 13 etapas reacionais (Esquema 28). Entre essas etapas reacionais, destaque é dado à azidaçao através de uma substituiçao nucleofílica do tipo SN2 do grupo Oms do C-5 com azida de sódio e cloridrato de trietilamina, proporcionando o composto 142 com rendimento de 90%. A configuraçao (R) de C-5 foi invertida para a configuraçao (S) através de uma inversao do tipo Walden. Após algumas etapas reacionais, foi promovida a hidrogenaçao altamente seletiva do grupo azido (N3), transformando-o no grupo amina, utilizando o catalisador de Lindlar e convertendo na (+)-valienamina 144 com rendimento de 91%.

 


Esquema 28. Síntese estereosseletiva do pseudo-aminoaçúcar (+)-valienamina

 

Em 2015, Corsi et al.127 descreveram a síntese de derivados de aminoaçucar via intermediário de N-benzilamina, através da substituiçao do grupo tosilato por azida Nessa síntese os autores utilizaram solventes apróticos polares como N,N-dimetilformamida (DMF) ou dimetilsulfóxido (DMSO) e obtiveram o composto 146 em rendimento de 89% (Esquema 29).

 


Esquema 29. Síntese de derivados de aminoaçúcares via intermediário de N-benzilamina

 

Outras estratégias sintéticas que têm sido empregadas na síntese de aminoaçúcares, incluindo reaçao de substituiçao em vários átomos de carbono do anel piranosídico ou furanosídico, sao bem descritas em revisao publicada no ano de 2016 e em artigos nela citada.8

 

APLICAÇOES DE AMINOACUCARES

Na Medicina

Assim como os açúcares de cadeia ramificada e cetoaçúcares, os aminoaçúcares tem aplicaçoes farmacológicas, pois alguns possuem atividade antitumoral como a clorozoticina 147.128 Já a holocosamina 148 (Figura 6) apresenta atividades antifúgica129 e cardiotônica.130 Todavia, a guanidioneomicina 149 possui atividade anti-HIV. Futagami e colaboradores131 demostraram em seu trabalho a síntese total da ravidomicina 150, um aminoaçúcar antibiótico com atividade antitumoral.

 


Figura 6. Exemplos de aminoaçúcares com aplicaçoes farmacológicas

 

A Figura 7 apresenta outros exemplos de compostos que contém aminoaçúcares nas estruturas, tais como, medermicina 151132 e vancomicina 152.133-136 O antibiótico medermicina tem aplicaçao na síntese de biomoléculas e na agregaçao plaquetária. A vancomicina, um antibiótico glicopeptídeo contendo o açúcar L-vancosamina como unidade de aminoaçúcar, tem aplicaçao no tratamento de infecçoes por bactérias gram-positivas resistentes a meticilina. Os aminoaçúcares sao ainda utilizados também na síntese de oligossacarídeos.137

 


Figura 7. Fármacos da classe de antibióticos contendo aminoaçúcares em suas estruturas

 

A necessidade da descoberta de novos antibióticos é cada vez mais intensa, dado que, conforme descrito na literatura, as bactérias adquirem resistências aos mesmos. Na literatura podem ser encontrados relatos de vários compostos e seus análogos, que contém aminoaçúcares, tais como tobamicina, acarbose e salbostatina.138-141 Dentre a classe de antibióticos dos aminoglicosídeos, os 4-aminoaçúcares vem sendo bastante estudados, tais como as piramicinas,141,142 as aprimicinas143 e apicamicina.144

Convém destacar que outras aplicaçoes de aminoaçúcares na medicina sao como inibidores de glicosidases, como exemplos podemos citar a acarbose e salbostatina.145

Os exemplos de aminoaçúcares descrito nos parágrafos anteriores, com potentes atividades farmacológicas, sao relativamente poucos em comparaçao com os existentes e que mereciam ser citados neste trabalho.

Na agricultura

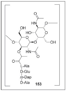
Os aminoaçúcares sao utilizados como biomarcadores na agricultura, pois esses compostos fazem parte da parede celular de bactérias, fungos e actinomicetos.146-148 As paredes celulares bacterianas contêm um peptidoglicano, construído a partir dos derivados da D-glicose, N-acetilglicosamina e ácido N-acetilmurâmico. A estrutura do peptidoglicano está presente apenas em células procariotas e nunca foi encontrada em células eucarióticas. Como biomarcadores, eles sao usados para rastrear resíduos bacterianos, fúngicos e actinomicetos que contribuem para formaçao da matéria orgânica do solo diante da presença dos aminoaçúcares glicosamina, galactosamina e N-acetilmurâmico 153 (Figura 8). As relaçoes glicosamina/ácido murâmico (Glic/Mur.) e glicosamina/galactosamina (Glic/Gal) podem servir como indicadores da contribuiçao relativa fúngica e bacteriana para a MOS.

 


Figura 8. Aminoaçúcar utilizado como biomarcador na agricultura

 

Em bactérias gram-positivas, 90% da parede celular consistem em peptidoglicano, enquanto em bactérias gram-negativas, esse número varia de 5-20%.149 Acredita-se que os fungos contenham apenas glicosamina e galactosamina.150 Além disso, os exoesqueletos de invertebrados contêm quitina, um polímero de N-acetilglicosamina.151 Sabe-se que a glicosamina foi encontrada no revestimento intestinal de minhocas, nas cascas dos ovos dos nematoides, nos polissacarídeos dos moluscos e na gelatina do caracol.152 No entanto, as concentraçoes de aminoaçúcares e ácido murâmico sao aplicadas rotineiramente para indicar contribuiçoes microbianas à matéria orgânica do solo (MOS).153-155

Glaser e colaboradores156 investigaram o padrao, quantidade e dinâmica de três aminoaçúcares (glicosamina, manosamina e galactosamina) e ácido murâmico na biomassa microbiana total de bactérias, fungos e actinomicetos seletivamente cultivados de cinco solos diferentes, com e sem glicose.

Na indústria de polímeros e têxteis

A incorporaçao de unidades derivadas de açúcar em polímeros tradicionais de crescimento em etapas, tais como poliamidas e poliésteres, é potencialmente um método de interesse para preparar novos materiais biodegradáveis e biocompatíveis para aplicaçao em produtos biomédicos e outros setores de maior consumo, como embalagens de alimentos.157,158 As principais razoes para esse interesse sao a grande abundância de açúcares naturais, sua diversidade estrutural, suas múltiplas funcionalidades e a sua natureza hidrofílica dos materiais resultantes, resultando em maior degradabilidade hidrolítica.159 Além disso, seu impacto ambiental é menor que o dos polímeros clássicos.160 Entretanto, embora os polímeros tenham sido sintetizados usando monômeros derivados de açúcar com grupos hidroxila livres,161-163 a maioria das sínteses de polímeros lineares de alto peso molecular envolve derivados que possuem grupos hidroxila adequadamente protegidos.164

Logo, vários monômeros de aminoaçúcares (154-159) têm sido amplamente utilizados para preparar poliamidas, poliuretanos e poliureias (Figura 9).165

 


Figura 9. Monômeros de aminoaçúcares usados na preparaçao de poliamidas, poliuretanos e poliureias

 

Devido às boas propriedades térmicas e mecânicas, as poliamidas do tipo Nylo constituem um dos grupos mais importantes de polímeros de condensaçao e sao amplamente utilizadas na indústria para moldagem por injeçao e aplicaçoes de filme ou fibra. Assim, a preparaçao de poliamidas do tipo Nylon mais hidrofílicas e degradáveis a partir de monômeros a base de açúcar representa um grande desafio. As primeiras sínteses de poliamidas à base de açúcar produziram apenas fibras frágeis e de baixo peso molecular. Os monômeros de açúcar necessários para a síntese de poliamidas sao diaminossacarídeos, ácidos aldáricos ou ácidos aminoaldônicos. A introduçao de grupo amino é geralmente realizada através de um éster sulfonato, a partir de um deslocamento do tipo SN2 por azida, seguido de uma reaçao de hidrogenaçao.166

Koning et al.167 descreveram homo- e copoliamidas totalmente de base biológica a partir de ácido sebácico, 2,5-diamino-2,5-didesoxi-1,4,3,6-dianidroiditol (diaminoisoidida, 156) e 1,4-diaminobutano. Poliamidas de baixo peso molecular foram obtidas por poli-condensaçao dos sais à base desses monômeros ou por poli-condensaçao interfacial. Poliamidas de maior peso molecular foram obtidas por polimerizaçao em estado sólido (SSP) dos pré-polímeros. As técnicas de FT-IR e raios-X foram utilizados para a investigaçao da estrutura cristalina dos polímeros após o SSP. Conformaçao local e co-cristalizaçao dessas poliamidas à base de diaminoisoidídeos foram estudadas por FT-IR, RMN de estado sólido e WAXD.168

Os poliuretanos têm sido extensivamente estudados nas últimas décadas, e têm sido objetos de inúmeras patentes, documentos e livros. Eles sao usados principalmente como materiais de mercadoria e em aplicaçoes industriais. No entanto, como alguns deles sao biodegradáveis e biocompatíveis, e seu uso em aplicaçoes médicas está sendo amplamente investigado devido à baixa toxicidade, biodegradabilidade potencial, biocompatibilidade e estruturas versáteis, que os tornam adequados como parte de sistemas de administraçao de medicamentos, como curativos dermatológicos, como materiais hemocompatíveis para cateteres e como filtros em instrumentaçao e dispositivos biomédicos.

Gómez e Varela169 descreveram a síntese de um [AB]-poliuretano estereorregular 162 a partir do 1-desoxi-1-isocianato-2,3:4,5-di-O-isopropilideno-D-galactitol 160. Segundo os autores a hidrólise dos grupos isopropilideno de 161 forneceu o polihidroxi [n]-poliuretano 162 (Esquema 30); no entanto, os estudos de degradaçao hidrolítica nao foram realizados.

 


Esquema 30. Síntese de um [AB]-poliuretano estereorregular a partir de 1-desoxi-1-isocianato-2,3:4,5-di-O-isopropilideno-D-galactitol

 

Embora, segundo Lu et al.,170 algumas poli (uretano-ureia) degradáveis baseadas em recursos renováveis - como a L-cistina - tenham despertado certo interesse, porque poderiam potencialmente ser aplicadas como biomateriais temporários, as poliureias à base de açúcar atraíram menos atençao até hoje. Thiem et al.171 descreveram a preparaçao de poliureias à base de açúcar: inicialmente, o diamino dihidrocloreto (165-167) foi reagido com fosgênio em tolueno (Esquema 31) para fornecer os diisocianatos (166-170) em bons rendimentos. Em seguida, através de uma reaçao de poliadiçao, os polímeros 169-171 sao obtidos em bons rendimentos.

 


Esquema 31. Síntese poliureia a partir dos monômeros 169-171

 

CONSIDERAÇOES FINAIS

O crescente interesse na síntese, biossíntese, ocorrência natural e aplicaçoes de aminoaçúcares tem estimulados diversos pesquisadores na área da química dos carboidratos a respeito do papel de alguns destes compostos de interesse biológico devido à ocorrência em muitas substâncias biologicamente ativas, especialmente os antibióticos, tais como gentamicina, neomicina, estreptomicina, kanamicina, dentre outros. Por outro lado, quando uma molécula de aminoaçúcar está presente na estrutura de um antibiótico, esse supera seu espectro de atividade, melhorando sua atividade e os perfis físico-químico e farmacocinético.

Os aminoaçúcares podem ser obtidos através de duas rotas biossintéticos. Nessas rotas os aminoaçúcares sao derivados do metabolismo primário e metabolismo secundário, que consiste na conversao de um monossacarídeo - geralmente na forma de açúcar fosfatado ou de nucleotídeo glicosilado - catalisada por uma enzima aminotransferase específica ou uma amidotransferase. Ao contrário da biossíntese de aminoacúcares no metabolismo primário, que deriva da aminaçao catalisada pela D-glucosamina-6P sintase de D-frutose-6P, a biossíntese de aminoacúcares no metabolismo secundário envolve a introduçao da funcionalidade amino por uma enzima aminotransferase PLP-dependente. Os aminoacúcares derivados de metabólitos secundários sao cruciais para as atividades biológicas ideais dos compostos de origem.

Algumas das estratégias sintéticas para obtençao de aminoaçúcares envolvem reaçoes de substituiçao em vários átomos de carbono do anel piranosídico ou furanosídico através da: a) clivagem de derivados epoxi-açúcares por aminas; b) reduçao de derivados de oxima e azida; c) adiçao a ligaçoes duplas de glicais e de glicosídeos 2,3-insaturados e d) cicloadiçao à cetoaçúcares, dentre outras. Algumas dessas estratégias nao fornecem acesso a aminoaçúcares com regio- e estereoseletividade completas, uma vez que, em muitos casos, sao necessárias separaçoes difíceis das misturas formadas e, em consequência, os rendimentos finais sao baixos.

As primeiras estratégias de síntese de aminoaçúcares foram baseadas em monossacarídeos facilmente disponíveis como precursores, tendo a configuraçao nos estereocentros do açúcar bem definidas. A maioria dos métodos modernos de síntese de aminoaçúcares que consiste em incorporar um grupo amino ligado ao carbono 2, 3, 4 e 6 envolve glicais ou galactal como produto de partida, que sao substratos relativamente baratos e comercialmente disponíveis. A presença de centros estereogênicos no esqueleto do D-glical ou do D-galactal pode ser explorada para introduzir novas funcionalidades de maneira estereosseletiva.

Esta revisao aborda as principais reaçoes de sínteses e transformaçoes enzimáticas na síntese de aminoacúcares, bem como a sua reatividade química, com foco particular nos desenvolvimentos ocorridos nos últimos anos. Por fim, estamos convencidos de que os resultados aqui descritos poderao ser úteis para pesquisadores que desejam utilizar a química dos carboidratos, mais especificamente a química dos aminoaçúcares e suas aplicaçoes biológicas como objeto de estudo.

 

AGRADECIMENTOS

Os autores agradecem à Capes e à FACEPE pelo apoio recebido.

 

REFERENCIAS

1. Teranishi, K.; Carbohydr. Res. 2002, 337, 613.

2. Liu, F. W.; Zhang, Y. B.; Liu, H. M.; Song, X. P.; Carbohydr. Res. 2005, 340, 489.

3. Taylor, C. M.; Tetrahedron 1998, 54, 11317.

4. Tu, D.; Blaha, G.; Moore, P. B.;. Steitz, T. A.; Cell 2005, 121, 257.

5. Mankin,A. S.; Curr. Opin. Microbiol. 2008, 11, 414.

6. Zhang, Z.; Fukuzaki, T.; Myer, A. G.; Angew. Chem., Int. Ed. 2016, 55, 523.

7. Zhu, R.; Lin, Y.-S.; Lipp, J. S.; Meador, T. B.; Hinrichs, K.-U.; Biogeosciences 2014, 11, 4869.

8. Skarbek, K.; Milewska, M. J.; Carbohydr. Res. 2016, 434, 44.

9. Fischer, E.; Leuchs, H.; J. Chem Pub Soc. Eur. 1902, 35, 3787.

10. El Ashry, E. S. H.; Aly, M. R. E. P.; Pure Appl. Chem. 2007, 79, 2229.

11. Arsequell, G.; Valencia, G.; Tetrahedron: Asymmetry 1999, 10, 3045.

12. De Freitas Filho, J. R.; Srivastava, R. M.; Carbohydr. Res. 2003, 338, 673.

13. Salton, M. R. J.; Annu. Rev. Biochem. 1965, 34, 143.

14. Ashwell, G.; Annu. Rev. Biochem. 1964, 33, 101.

15. Dutcher, J. D.; Adv. Carbohydr. Chem. 1963, 18, 259.

16. Pfrengle, F.; Reissig, H-U.; Chem. Soc. Rev. 2010, 39, 549.

17. Kirschning, A.; Jesberger, M.; Schoning, K.; Synthesis 2001, 4, 507.

18. Xie, J; Carbohydrate Res. 2003, 338, 399.

19. Levites-Agababa, E.; Menhaji, E.; Perlson, L. N.; Rojas, C. M.; Org. Lett. 2002, 4, 863.

20. Chen, N.; Xie, J.; Molecules 2018, 23, 641.

21. Davidson, M. H.; McDonald, F. E.; Org. Lett. 2004, 6, 1601.

22. Velvadapu, V.; Andrade, R. B.; Carbohydr. Res. 2008, 343, 145.

23. Paixao, L.; Caldas, J.; Kloosterman, T. G.; Kuipers, O. P.; Vinga, S.; Neves, A. R.; Front Microbiol. 2015, 6, 1041.

24. Kent, P. W.; Whitehouse, M. W.; Biochemistry of the aminosugars, Academic Press: New York, 1955.

25. Ledderhose, G.; Zeitschr, F.; Physiol. Chem. 1878, 2, 213.

26. Schmiedeberg, O.; Arch. F. Exp. Path. U. Pharm. 1891, 28, 355.

27. Moiler, F.; Z. Biol. 1901, 42, 468.

28. Levene, P. A.; LaForge, F. B.; J. Biol. Chem. 1914, 18, 123.

29. Gutiérrez-Moreno, N. J.; Medranob, F.; Yatsimirsky, A. K.; Org. Biomol. Chem. 2012, 10, 6960.

30. McGowan, J. V.; Chung, R.; Maulik, A.; Piotrowska, I.; Walker, J. M.; Yellon, D. M.; Cardiovasc. Drugs Ther. 2017, 1, 63.

31. Barata, L. E. S.; Cienc. Cult. (Sao Paulo) Supl. 1980, 32, 449.

32.Lee, C.-H.; Schaffner, C.; Tetrahedron Lett. 1966, 47, 5837.

33. Els, M. J.; Ganem, B.; Carbohydr. Res. 1988, 176, 316.

34. Okubo, S.; Nakamura, N.; Morinoto, M.; Mineura, K.; Marumo, H.; Omura, S.; The Journal of Antibiotics 1980, 33, 221.

35. Hamada, Y.; Shioiri, T.; Tetrahedron Lett. 1982, 23, 1193.

36. Troy, F. A.; Encyclopedia Biol. Chem. 2004, 3, 407.

37. Kleene, R.; Schachner, M.; Nat. Rev. Neurosci. 2004, 5, 195.

38. Dumitriu. S.; Polysaccharides: Structural Diversity and Functional,Versality: 2nd ed., Marcel Dekker: New York, 2005, Cap. 30.

39. Bonfanti, L.; Prog. .Neurobiol. 2006, 80, 129.

40. Gascon, E.; Vutskits, L.; Kiss, J. K.; Brain Res. Rev. 2007, 56, 101.

41. Miyata, S.; Sato, C.; Kitajima, K.; Trends Glycosci. Glyc. 2007, 19, 85.

42. Janas, T.; Janas, T.; Biochim. Biophys. Acta 2011, 1808, 2923.

43. Kimio, F.; Trends Glycosci. Glycotechnol. 2004, 89, 143.

44. Huang, F.; Spiteller, D.; Koorbanally, N. A.; Li, Y.; Llewellyn, N. M.; Spencer, J. B.; ChemBioChem 2007, 8, 283.

45. Ellis, G. P.; Honeyman, J.; J. Chem. Soc. 1952, 1490.

46. Hermanson, G. T.; Bioconjugate Techniques 3rd ed., Academic Press: Cambridge 2013, cap. 2.

47. Anderson, J. W.; Nicolosi, R. J.; Borzelleca, J. F.; Food Chem. Toxicol. 2005, 43, 187.

48. Brautaset, T.; Sletta, H.; Nedal, A.; Borgos, S. E.; Degnes, K. F.; Bakke, I.; Volokhan, O.; Sekurova, O. N.; Treshalin, I. D.; Mirchink, E. P.; Dikiy, A.; Ellingsen, T. E.; Zotchev, S. B.; Chem Biol. 2008, 15, 1198.

49. Muhizi, T.; Grelier, S.; Coma, V.; J. Agric. Food Chem. 2009, 57, 8770.

50. Adam, R. D.; Clin. Microbiol. 2001, 14, 447.

51. Milewski, S.; Gabriel, I.; Olchowy, J.; Yeast 2006, 23, 1.

52. Kikuchi, K.; Tsuiki, S.; Biochim. Biophys. Acta. 1973, 327, 193.

53. Chen, X.; Varki, A.; ACS Chem. Biol. 2010, 5, 163.

54. Adak, A. K.; Yu, C. C.; Liang, C. F.; Lin, C. C.; Curr. Opin. Chem. Biol. 2013, 17, 1030.

55. Vetter, N. D.; Langill, D. M.; Anjum, S.; Boisvert-Martel, J.; Jagdhane, R. C.; Omene, E.; Zheng, H.; van Straaten, K. E.; Asiamah, I.; Krol, E. S.; Sanders, D. A.; Palmer, D. R.; J. Am. Chem. Soc. 2013, 135, 5970.

56. van Straaten, K. E.; Ko, J. B.; Jagdhane, R.; Anjum, S.; Palmer, D. R.; Sanders, D. A.; J. Biol. Chem. 2013, 288, 34121.

57. Iwai, Y.; Tanaka, H.; Oiwa, R.; Shimizu, S.; Omura, S.; Biochim. Biophys. Acta 1977, 498, 223.

58. Janiak, A.; Milewski, S.; Med. Mycol. 2001, 39,401.

59. Floss, H. G.; Yu, T. W.; Arakawa, K.; J. Antibiot. 2011, 64, 34.

60. Arakawa, K.; Müller, R.; Mahmud, T.; Yu, T.W.; Floss, G.; J. Am. Chem. Soc. 2002, 124, 10644.

61. Guo, J. T.; Frost, J. W.; J. Am. Chem. Soc. 2002, 124, 10642.

62. Park, J. W.; Park, S. R.; Nepal, K. K.; Han, A. R.; Ban, Y. H.;Yoo, Y. J.; Kim, E. M.; Kim, D.; Sohng, J. K.; Yoon, Y. J.; Nat. Chem. Biol. 2011, 7, 843.

63. Burgie, E. S.; Thoden, J. B.; Holden, H. M.; Protein Sci. 2007, 16, 887.

64. Burgie, E. S.; Holden, H. M.; Biochemistry 2008, 47, 3982.

65. Cook, P. D.; Holden, H. M.; Biochemistry 2008, 47, 2833.

66. Nedal, A.; Sle, tta, H.; Brautaset, T.; Borgos, S. E. F.; Sekurova, O. N.; Ellingsen, T. E.; Zotchev, S. B.; Appl. Environ. Microbiol. 2007, 73, 7400.

67. Otten, S. L.; Gallo, M. A.; Madduri, K.; Liu, X.; Hutchinson, C. R.; J. Bacteriol. 1997, 179, 4446.

68. Hauser, F. M.; Ellenberger, S. R.; Chem. Rev. 1986, 86, 35.

69. Guo, Z.; Li, J.; Qin, H.; Wang, M.; Lu, X.; Li, X.; Chen, Y.; Angew. Chem., Int. Ed. Engl. 2015, 54, 5175.

70. Kumagai, A. H.; Yagita, A.; Akamatsu, N.; J. Antibiot. 1982, 34, 1571.

71. Mirabella, S.; Cardona, F.; Goti, A.; Org. Biomol. Chem. 2016, 14, 5186.

72. Dahl, R. S.; Finney, N. S.; J. Am. Chem. Soc. 2004, 126, 8356.

73. Buttar, S.; Caine, J.; Goné, E.; Harris, R.; Gillman , J.; Atienza, R.; Gupta , R. K. M.; Jain, L.; Abascal, N. C.; Levine, Y.; Repka, L. M.; Rojas, C. M.; J. Org. Chem., 2018, 83, 8054.

74. Ansari, A. A.; Reddy, Y. S.; Vankar, Y. D.; Beilstein J. Org. Chem. 2014, 10, 300.

75. Seeberger, P. H.; Roehrig, S.; Schell, P.; Wang, Y.; Christ, W. J.; Carbohydr. Res. 2000, 328, 61.

76. Liu, J.; Di Bussolo, V.; Gin, D. Y.; Tetrahedron Lett. 2003, 44, 4015.

77. Schmidt, R. R.; Vankar, Y. D.; Acc. Chem. Res. 2008, 41, 1059.

78. Rissé, S.; Roger, P.; Monneret, C.; J. Carbohydr. Chem. 1993, 12, 1105.

79. Ferrier, R. J.; Collins, P. M.; Monosaccharides: Their chemistry and their roles in natural products. Wiley & Sons: Chichester, 1995.

80. Okazaki, H.; Hanaya, K.; Shoji, M.; Hada, N.; Sugai, T.; Tetrahedron 2013, 69, 7931.

81. Poulain, F.; Serre, A.-L.; Lalot, J.; Leclerc, E.; Quirion, J.-C.; J. Org. Chem. 2008, 73, 2435.

82. Poulain, F.; Leclerc, E.; Quirion, J.-C.; Tetrahedron Lett. 2009, 50, 1803.

83. Okazaki, H.; Hanaya, K.; Shoji, M.; Hada, N.; Sugai, T.; Tetrahedron 2013, 69, 7931.

84. Sobti, A. Sulikovski, G. A.; Tetrahedron Lett. 1994, 35, 8259.

85. Castilla, J.; Risquez, R.; Cruz, D.; Higaki, K.; Nanba, E.; Ohno, K.; Suzuki, Y.; Diaz, Y.; Mellet, C. O.; Garcia Fernandez, J. M.; Castillon, S.; J. Med. Chem. 2012, 55, 6857.

86. Ji, L.; Zhang, D.; Zhao, Q.; Hu, S.; Qian, C.; Chen, X.-Z.; Tetrahedron 2013, 69, 7031.

87. Parker, K. A.; Chang, W.; Org. Lett. 2005, 7, 1785.

88. Parker, K. A.; Chang, W.; Org. Lett. 2003, 5, 3891.

89. Alcázar, E.; Pletcher, J. M.; McDonald, F. E.; Org. Lett. 2004, 6, 3877.

90. Koo, B. S.; McDonald, F. E.; Org. Lett. 2007, 9, 1737.

91. Davidson, M. H; McDonald, F. E.; Org. Lett. 2004, 6, 1601.

92. Lafont, D.; Descotes, D.; Carbohydr. Res. 1987, 166, 195.

93. Lafont, D.; Guilloux, P.; Descotes, D.; Carbohydr. Res. 1989, 61, 193.

94. Lafont, D.; Woliny, A.; Boullanger, P.; Carbohydr. Res. 1998, 310, 9.

95. Mendlik, M. T; Tao, P.; Hadad, C. M.; Coleman, R. S.; Lowary, T. L.; J. Org. Chem. 2006, 71, 8059.

96. Mirabella, S.; Cardona, F.; Goti, A.; Org. Lett. 2015, 17, 728.

97. Ravindran, B.; Sakthivel, K.; Suresh, C. G.; Pathak, T.; J. Org. Chem. 2000, 65, 2637.

98. Oliveira, R. N.; Cottier, L.; Sinou, D.; Srivastava, R. M.; Tetrahedron 2005, 61, 8271.

99. Zhang, G.; Shi, L.; Liu, Q.; Wang, J.; Li, L.; Liu, X.; Tetrahedron 2007, 63, 9705.

100. Baer, H. H.; Hanna, Z. S.; Can. J. Chem. 1981, 59, 889.

101. Brito, T. M. B.; Silva, L. P.; Siqueira, V. L.; Srivastava, R. M.; J. Carbohydr. Chem. 1999, 18, 609.

102. Mukherjee, A.; Jayaraman, N.; Carbohydr. Res. 2013, 380, 51.

103. Bussolo, V. D.; Romano. M. R.; Favero, L.; Pineschi, M.; Crott, P.; J. Org. Chem. 2006, 71, 1696.

104. Liberek, B.; Dabrowska, A.; Frankowski, R.; Matuszewska, M.; Smiatacz, Z.; Carbohydr. Res. 2002, 337, 1803.

105. Ding, F.; William, R.; Wang, F.; Ma, J.; Ji, L.; Liu, X.-W.; Org. Lett. 2011, 13, 652.

106. Ding, F.; William, R.; Wang, S.; Gorityala, B. K.; Liu, X.-W.; Org. Biomol. Chem. 2011, 9, 3929.

107. Yoshimura , J.; Adv. Carbohydr. Chem. Biochem. 1984, 42, 69.

108. Grisebach, H.; Schmid, R.; Angew. Chem., Int. Ed. 1992, 11, 159.

109. Hanessian, S.; Haskell, T. H. In The Carbohydrates; Pigman, W., Horton, D., eds.; Academic Press: New York, 1970, 139.

110. Brimacombe, J. S.; Angew. Chem., Int. Ed. 1992, 8, 401.

111. Holder, N. L.; Chem. Rev. 1982, 82, 287.

112. Fraser-Reid, B.; Mclean, H.; Usherwood, E. W.; J. Am. Chem. Soc. 1969, 91, 5392.

113. Fraser-Reid, B.; Mclean, H.; Usherwood, E. W.; Yunker, M.; Can. J. Chem. 1970, 48, 2877.

114. Holder, N. L.; Fraser-Reid, B.; Can. J. Chem. 1973, 51, 3357 e referências nelas citadas.

115. Fraser-Reid, B.; Walker, D. L.; Ten, S. Y-K.; Holder, N. L.; Can. J. Chem. 1973, 51, 3950.

116. Srivastava, R. M.; Carthy, B. J.; Fraser-Reid, B.; Tetrahedron Lett. 1974, 2175.

117. Apostolopoulos, C. D.; Couladouros, E. A.; Georgiadis, M. P.; Liebigs Ann. Chem. 1994, 781.

118. Freitas Filho, J. R.; Srivastava, R. M.; Silva, W. J. P.; Cottier, L.; Sinou, D.; Carbohydr. Res. 2003, 338, 673.

119. Dahl, R. S.; Finney, N. S.; J. Am. Chem. Soc. 2004, 126, 8356.

120. Dahl, R. S.; Baldridge, K. K.; Finney, N. S.; Synthesis 2010, 2292.

121. Srivastava, R. M.; Souza, A. M. A.; Silva, L. P.; Freitas Filho, J. R.; Hallwass, F.; J. Braz. Chem. Soc. 2002, 13, 158.

122. Freitas Filho, J. R.; Cottier, L.; Srivastava, R. M.; Sinou, D.; Synlett 2003, 1358.

123. Ji, X-M.; Mo, J.; Liu, H-M.; Sun, H-P.; Carbohydr. Res. 2006, 341, 2312.

124. Zhu, Z.; Glazier, D. A.; Yang, D.; Tanga, W.; Adv. Synth. Catal. 2018, 360, 2211.

125. Ding, W.; Yu, J.-P.; Shi, X.-X.; Nie, L.-D.; Quan, N.; Li, F.-L. Tetrahedron: Asymmetry 2015, 26, 1037.

126. Song, W.; Zhao, Y.; Lynch, J. C.; Kim, H.; Tang, W.; Chem. Commun. 2015, 51, 17475.

127. Corsi, M.; Bonanni, M.;Catelani, G.; D'Andrea, F.; Gragnani, T.; Bianchini, R.; J. Org. Chem. 2013, 3, 41.

128. Suami, T.; Machinami, T.; Hitsamatsu, H.; J. Med. Chem. 1979, 22, 247.

129. Omura, S.; Katagiri, M.; Atsumi, K.; Hata, T.; J. Chem. Soc Perkin 1, 1974, 0, 1627.

130. Georges, M.; Mackay, D.; Fraser-Reid, B.; Can. J. Chem. 1984, 62, 1539.

131. Futagami, S.; Ohashi, Y.; Imura, K.; Hosoya, T.; Ohmori, K.; Matsumoto, T.; Suzuki, K.; Tetrahedron Lett. 2000, 41, 1063.

132. Brimbe, M. A.; Brenstrum, T, J.; Tetrahedron Lett. 2000, 41, 1107.

133. Johnson, A. W.; Smith, R. M.; Guthrie, R. D.; J. Chem. Soc. Perkin Trans 1. 1972, 2153.

134. Smith, G. R.; Giuliano, R. M.; Carbohydr. Res. 2000, 323, 208.

135. Willians, D. H.; Bardsley, B.; Angew. Chem., Int. Ed. 1999, 28, 1172.

136. Fu, X.; Albermann, C.; Jiang, J.; Liao, J.; Zhang, C.; Thorson, J.; Nat. Biotechnology 2003, 21, 1467.

137. Banoub, J.; Boullanger, P.; Lafont, D.; Chem. Rev. 1992, 92, 1167.

138. Coben, M. L.; Science 1992, 257, 1050.

139. Neu, H. C.; Science 1992, 257, 1064.

140. Lin, H.; Walsh, C. T.; J. Am. Chem. Soc. 2004, 126, 13998.

141. Chang, C.-W. T.; Hui, Y.; Elchert, B.; Wang, J.; Li, J.; Rai, R.; Org. Lett. 2002, 4, 4603.

142. Elchert, B.; Li, J.; Wang, J.; Hui, Y.; Rai, R., Ptak, R.; Ward, P.; Takemoto, J. Y.; Bensaci, M.; Chang, C. -W. T.; J. Org. Chem. 2004, 69, 1513.

143. O'Connor, S.; Lam, L. K. T.; Jones, N. D.; Chaney, M. O.; J. Org. Chem. 1976, 41, 2087.

144. S uzuki, T.; Suzuki, S. T.; Yamada, I.; Koashi, Y.; Yamanda, K.; Chida, N.; J. Org. Chem. 2002, 67, 2874.

145. McAuliffe, J. C.; Stick, R. V.; Stone, B. A.; Tetrahedron Lett. 1996, 37, 2479.

146. Amelung, W. In Assessment Methods for Soil Carbon; Lal, R., Kimble, J. M., Follett, R. F., Stewart, B. A., eds.; Lewis Publishers: Boca Raton, 2001, pp. 233-272.

147. Hu , Y.; Zheng, Q.; Zhang, S.; Noll, L.; Wanek, W.; Soil Biol. Biochem. 2018, 123 , 115.

148. Kandeler, E.; Tscherko, D.; Bruce, K. D.; Stemmer, M.; Hobbs, P. J.; Bardgett, R. D.; Amelung, W.; Biol. Fertil. Soils 2000, 32, 390.

149. Brock, T. D.; Madigan, M. T.; Biology of Microorganisms, Prentice-Hall: Englewood Cliffs,1988.

150. Cochran, T. W., Vercellotti, J. R.; Carbohydr. Res. 1978, 61, 529.

151. Chantigny, M. H.; Angers, D. A.; Prevost, D.; Vezina, L. P.; Chalifour, F. P.; Soil Sci. Soc. Am. J. 1997, 61, 262.

152. Zhanga, X.; Amelunga, W.; Yuanb, Y.; Samson-Liebigc, S.; Brown, L.; Zecha, W.; Appl. Soil Ecol. 1999, 11, 271.

153. Solomon, D.; Lehmann, J.; Zech, W.; Biol. Fertil. Soils 2001, 33, 85.

154. Turrión, M.-B.; Glaser, B.; Zech, W.; Biol. Fertil. Soils 2002, 35, 49.

155. Amelung, W.; Zhang, X.; Flach, K.W.; Zech, W.; Soil Sci. Soc. Am. J. 1999, 63, 86.

156. Glaser, B.; Turrión, M-B.; Alef, K.; Soil Biol. Biochem. 2004, 36, 399.

157. Yokoe, M.; Aoi, M.; Okada, M.; J. Polym. Sci., Part A: Polym. Chem. 2005, 43, 3909.

158. García-Martín, M. G.; Pérez, R. R; Hernández, E. B.; Espartero, J. L.; Muñoz-Guerra, S.; Galbis, J. A.; Macromolecules 2005, 38, 8664.

159. Göpferich, A.; Biomaterials 1996, 17, 103.

160. Cunliffe, D.; Pennadam, S.; Alexander, C.; Eur. Polym. J. 2004, 40, 5.

161. Kiely, D. E.; Chen, L.; Lin, T. H.; J. Am. Chem. Soc. 1994, 116, 571.

162. Kiely, D. E.; Chen, L.; Lin, T. H.; J. Polym. Sci., Part A: Polym. Chem. 2000, 38, 594.

163. Styron, S. D.; Kiely, D. E.; Ponder, G.; J. Carbohydr. Chem. 2003, 22, 123.

164. Galbis, J. A.; García-Martín, M. G. In Monomers, polymers and composites from renewable resources; Belgacem, M. N., Gandini, A., eds.; Elsevier: Oxford., 2008, cap. 5.

165. Galbis, J. A.; Martín, M. de G. G. M.; Paz M. V.; Galbis. E.; Chem. Rev. 2016, 116, 1600.

166. Martín, M. G.; Perez, R. R.; Hernández, E. B.; Galbis, J. A.; Carbohydr. Res. 2001, 333, 95.

167. Jasinska, L.; Villani, M.; Wu, J.; Es, V. D.; Klop, E.; Rastogi, S.; Koning, C. E.; Macromolecules 2011, 44, 3458.

168. Walc, L. J.; Villani, M.; Dudenko, D.; Asselen, O. V.; Klop, E.; Rastogi, S.; Hansen, M. R.; Koning, C. E.; Macromolecules 2012, 45, 2796.

169. Gomez, R. V.; Varela, O.; Macromolecules 2009, 42, 8112.

170. Lu, H.; Sun, P.; Zheng, Z.; Yao, X.; Wang, X.; Chang, F. C.; Polym. Degrad. Stab. 2012, 97, 661.

171. Bachmann, F.; Reimer, J.; Ruppenstein, M.; Thiem, J.; Macromol. Chem. Phys. 2001, 202, 3410.

On-line version ISSN 1678-7064 Printed version ISSN 0100-4042
Qu�mica Nova
Publica��es da Sociedade Brasileira de Qu�mica
Caixa Postal: 26037 05513-970 S�o Paulo - SP
Tel/Fax: +55.11.3032.2299/+55.11.3814.3602
Free access

GN1