JBCS



15:08, sáb out 25

Acesso Aberto/TP



Nota Técnica


Magnetometria in-situ para caracterização de materiais eletrodepositados
In-situ magnetometry for electrodeposited materials chacterization

Vinícius C. De Franco*; Joao E. Schmidt

Instituto de Física, Universidade Federal do Rio Grande do Sul, 91501-970 Porto Alegre - RS, Brasil

Recebido em 24/12/2018
Aceito em 24/04/2019
Publicado na web em 14/05/2019

Endereço para correspondência

*e-mail: 00153890@ufrgs.br

RESUMO

We have recently made studies of electrodeposits of Co onto graphene attached to different substrates, successfully performed via in-situ magnetization measurements. The magnetic analysis of deposits as a function of time lapse, indicate that Co grows with different magnetic characteristics from the beginning to the end of each run, independent of the substrate over which the graphene has been deposited on. In this technical note, we use these results and some obtained in several previous researches developed in our laboratory during the last 20 years, to show that the association of in-situ magnetometry with electrodeposition processes can be a powerful tool to understand the dynamics of the electrochemistry involved, as well as the physics of the magnetic materials fabricated. The Electrochemical Alternating Gradient Force Magnetometer (EC-AGFM) is appropriate for: (i) studying the magnetic properties of the electrodeposits either during deposition or dissolution; (ii) evaluating the electrodeposition dynamics via the sample's magnetic response; (iii) scrutiny of the electrodeposits as they undergo chemical changes (oxidation, etc.); (iv) studying the deposited materials from the atomic level up to bulk; v) studying the effects of addition of trace amounts of anions in the solution and their impact on the magnetic properties of metal adatoms.

Palavras-chave: in-situ magnetometry; electrodeposition; cyclic voltammetry curves; chronoamperometry curves; M x H curves.

INTRODUÇAO

Em tempos recentes, os materiais magnéticos com estruturas nanométricas têm sido utilizados em aplicaçoes tecnológicas, como em inovadores dispositivos baseados em efeitos associados ao spin do elétron (spintrônica)1 para processamento de sinais e para armazenamento de dados ou como agregados a medicamentos na forma de nanocápsulas voltadas a liberaçao de drogas de forma controlada e localizada no corpo humano e também como agentes de contraste para a ressonância magnética (MRI), entre muitas outras aplicaçoes.

Para atender às necessidades de qualquer que seja a aplicaçao, é necessário desenvolver materiais com estruturas ou morfologias específicas e também com propriedades magnéticas apropriadas. Dentre os processos que se utilizam para a fabricaçao de materiais magnéticos para estes fins, destacam-se os processos químicos ou eletroquímicos, por permitirem a obtençao dos mesmos de forma barata, rápida e com bom controle de qualidade.2-6 No entanto, usualmente, o estudo dos materiais magnéticos obtidos por estes processos demanda que inúmeras amostras (às vezes centenas) sejam obtidas e suas caracterizaçoes magnéticas sejam realizada de forma individual e fora do sistema de produçao das mesmas. Ou seja, medidas ex-situ sao necessárias.

Por outro lado, a caracterizaçao magnética de materiais nano-estruturados, seja na forma de nanocamadas ou nanopartículas, nos quais a quantidade de material magnético é exígua, exige a utilizaçao de instrumentos de alta sensibilidade para a mediçao do momento magnético dos mesmos. Um instrumento que tem a sensibilidade adequada é o Magnetômetro de Gradiente de Força Magnética (AGFM),7-10 utilizado neste trabalho.

Portanto, aliando a versatilidade da capacidade de fabricaçao de amostras por processos químicos ou eletroquímicos com a possibilidade de caracterizar as amostras magneticamente através do AGFM, e fazendo isso simultaneamente, in-situ, é possível obter resultados do comportamento magnético dos materiais em tempo real, reduzindo a quantidade de amostras normalmente necessária para os estudos consistentes acima mencionados. Assim, as pesquisas ganham em eficiência e, em muitos casos, conseguem-se informaçoes (e mesmo amostras) impossíveis de se conseguir pela abordagem tradicional.

 

PARTE EXPERIMENTAL

A caracterizaçao magnética das nanoestruturas produzidas no decorrer deste trabalho foi realizada com o que denominamos de Magnetômetro Eletroquímico de Força Magnética por Gradiente Alternado (EC-AGFM).

O sistema AGFM,7-10 na sua versao original, é um instrumento sensível e apropriado para a realizaçao de medidas de magnetizaçao e de momento magnético de amostras micro7,8 e nanométricas em CNTP. Seu funcionamento baseia-se na força magnética (FM) que um determinado material com momento magnético (m) sofre quando submetido a um gradiente de campo magnético . Pequenas bobinas geradoras de campo magnético alternado sao acopladas ao sistema, na configuraçao de par de Maxwell, e ligadas em série e em oposiçao o que maximiza o gradiente entre elas. A amostra (polarizada naturalmente ou pela açao de um eletroíma que gera um campo magnético HDC aplicado sobre ela) irá oscilar uma vez colocada entre as bobinas de gradiente, pois sofre a açao de uma força magnética FM, também alternada, matematicamente descrita pela equaçao 1.

Para transformar essa força em um sinal elétrico detectável e proporcional a ela, a amostra deve ser instalada no extremo inferior de uma haste constituída de um cristal piezelétrico, (conversor de sinais mecânicos, no caso de vibraçao da haste, em sinais elétricos) e um prolongador (no nosso caso, um tubo de vidro pirex). Esse sinal de tensao δV é proporcional a FM, que também é proporcional à componente da magnetizaçao da amostra na direçao do campo HDC aplicado pelo eletroíma. O δV é medido por um amplificador sensível à fase (lock-in) capaz de detectar variaçoes de tensao da ordem de nV, como as geradas por quantidades ínfimas de material correspondentes a ilhas de monocamadas atômicas de material magnético.11 Ajusta-se a frequência de oscilaçao do gradiente de campo magnético aos da frequência de ressonância de todo o sistema mecânico (haste/piezoelétrico/amostra) constituinte do AGFM, buscando otimizar a razao sinal-ruído.11

Por ser um sistema capaz de monitorar sinais gerados por ilhas e, em situaçoes limites, por monocamadas nanométricas de materiais magnéticos, cabe ressaltar que efeitos oriundos de correntes parasitas induzidas podem ser desprezados, principalmente porque tais correntes, nesse caso, anulam-se, uma vez que fluem na secçao transversal perpendicular da amostra. Dentro da seçao transversal, a corrente flui em ambas as direçoes, formando loops fechados, cancelando um ao outro devido a sua proximidade geométrica.

Em virtude de o AGFM apresentar alta sensibilidade e por apresentar a ressonância de seu sistema mecânico em faixas de frequência, no intervalo das ondas vibracionais ambientais (em torno de 18 Hz), é necessário montá-lo sobre uma bancada antivibraçao para reduzir as interferências externas ao mesmo. Na Figura 1 é apresentado o diagrama esquemático de um AGFM semelhante ao utilizado para a obtençao dos resultados discutidos neste trabalho.

 


Figura 1. Diagrama do Magnetômetro de Força Magnética por Gradiente Alternado (AGFM). Adaptado de André Gündel11

 

Um sensor Hall é utilizado para medir o campo magnético HDC aplicado sobre a amostra e há um sistema integrado que adquire os dados automaticamente e também controla todos os demais parâmetros da medida magnética, seja ela a magnetizaçao como funçao do campo aplicado ou da evoluçao temporal da magnetizaçao da amostra ao longo do experimento.

Magnetômetro Eletroquímico In-Situ (EC-AGFM)

Fazendo a uniao das técnicas AGFM e eletrodeposiçao criamos o Magnetômetro Eletroquímico de Força Magnética por Gradiente Alternado (EC-AGFM). Adaptamos uma célula eletroquímica no interior dos polos do eletroíma do AGFM de fabricaçao caseira e também entre as bobinas de geraçao do gradiente de campo magnético. Uma célula em Teflon e os demais itens necessários para a realizaçao de processos eletroquímicos foram instalados de acordo com os padroes normalmente utilizados para tal.

Os princípios físicos que regem o funcionamento do EC-AGFM (AGFM no líquido) sao os mesmos que foram descritos no item anterior para o AGFM (no ar), exceto pelo fato de que agora é o eletrodo de trabalho (no qual a amostra magnética deverá ser depositada) que é colocado na parte inferior da haste de vibraçao e totalmente imerso na soluçao eletrolítica, como mostrado na Figura 2(a). O eletrodo de referência e o contra eletrodo, respectivamente de calomelano (ECS) e de platina, foram adaptados para serem colocados no interior da célula de eletrodeposiçao, juntamente com a entrada de argônio, gás este utilizado no processo de purga da soluçao eletrolítica.

 


Figura 2. (a) Ilustraçao esquemática do EC-AGFM in-situ. Adaptado de André Gündel11; (b) e (c) Disposiçao da amostra na configuraçao do sistema para medidas magnéticas com campo paralelo ou perpendicular à amostra, respectivamente

 

O sistema ainda permite que se possam medir as propriedades magnéticas dos eletrodepósitos em duas configuraçoes de campo magnético distintas: eletrodo de trabalho paralelo ou perpendicular ao campo aplicado HDC, como mostrado nas Figuras 2(b) e 2(c), medidas essas importantes especialmente para o caso de depósitos na forma de filmes finos ou multicamadas, pois permite avaliar o comportamento da anisotropia magnética dos mesmos.

Com o EC-AGFM, é possível o monitoramento contínuo da evoluçao temporal da magnetizaçao (M x t), desde os estágios iniciais de depósito (a nível atômico) até o final dos processos de eletrodeposiçao (bulk) e após, também durante a dissoluçao do material previamente depositado. Em outra abordagem, é possível obter as curvas típicas de caraterizaçao magnética, i.e. curvas de histerese magnética (M x H), para diferentes tempos de deposiçao ou nos diferentes estágios da deposiçao.12 Isso é realizado interrompendo-se o processo de deposiçao em tempos específicos e obtendo, na sequência, as curvas em funçao do campo externo aplicado, também in-situ. Simultaneamente, a corrente eletroquímica/Faraday (I x t); a diferença de potencial aplicada (V x t); e a voltametria (I x V) em cada situaçao sao medidas e, após, confrontadas com o comportamento das medidas magnéticas.

Importante ressaltar que os substratos a serem utilizados como eletrodo de trabalho no EC-AGFM in-situ devem ser condutores, de quaisquer tipos. A utilizaçao do ouro como substrato deveu-se, principalmente, ao fato deste possuir uma superfície bastante estável, nao sofrendo oxidaçao durante os processos eletroquímicos, enquanto que a utilizaçao do grafeno teve como argumento suas excelentes propriedades físicas e químicas quando associado a outros tipos de materiais metálicos, tornando-o um material com alto potencial de estudos na área de eletroquímica.12 Vale aqui comentar que quaisquer tipos de materiais, sejam eles metais, ligas metálicas, óxidos e hidróxidos podem ser eletrodepositados utilizando-se o equipamento em questao.

O EC-AGFM montado no Laboratório de Magnetismo do Instituto de Física da UFRGS tem se revelado muito importante na caracterizaçao de filmes ultrafinos13-16 e multicamadas17 produzidos por eletrodeposiçao, sendo o único no mundo com essa tecnologia in-situ. A título de exemplificar o potencial da técnica EC-AGFM, descrevemos a seguir alguns dos resultados obtidos recentemente e nos últimos anos, iniciando pelos depósitos sobre o substrato de grafeno.

 

RESULTADOS E DISCUSSOES

Eletrodeposiçao de cobalto sobre grafeno CVD

Abaixo, os resultados obtidos recentemente com o EC-AGFM relativos às características magnéticas e eletrodinâmicas de depósitos de cobalto sobre grafeno CVD (obtido por processos de deposiçao química de vapor - CVD) instalado sobre substratos de SiO2/Si e cobre, e comparados com deposiçao sobre ouro.

Uma das funcionalidades do EC-AGFM in-situ é a possibilidade de aquisiçao de curvas de voltametria cíclica, utilizadas na determinaçao dos potenciais UDEP de deposiçao do material magnético, sem que haja a necessidade de se trocar o substrato para uma mediçao posterior. Na Figura 3 sao apresentadas as curvas de voltametria que foram realizadas, em (a) para o grafeno CVD/SiO2/Si,12 em (b) para o grafeno CVD/Cu, em (c) para o Au/Si(100) para eletrodeposiçao de cobalto, todas adquiridas utilizando-se a soluçao CoSO4 (SYNTH® 99%: 5x10-3 mol L-1) + H2SO4 (SYNTH® 98%: 1x10-3 mol L-1) + K2SO4 (MERCK® 99%: 10-2 mol L-1) + KCl (MERCK® 99,5%: 10-4 mol L-1) - pH ≈ 3,5, a uma velocidade de varredura do potencial de 10 mV s-1. O valor do pH em 3,5 foi ajustado adicionando-se H2SO4 1x10-3 mol L-1 à soluçao aquosa produzida. A escolha do pH em aproximadamente 3,5 se deveu a trabalhos anteriores já publicados, em que resultados bastante qualificados foram obtidos utilizando-se o pH ácido, por volta do valor anteriormente citado.11,13,15-17 Os substratos estavam conectados ao EC-AGFM in-situ através de um contato elétrico feito com tinta prata, livre de qualquer tipo de contaminaçao de origem magnética.

 


Figura 3. Voltametria cíclica obtida para o (a) grafeno CVD/SiO2/Si, (b) grafeno CVD/Cu, (c) Au/Si(100), em soluçao de sulfato de cobalto com pH ≈ 3,5, em varredura a uma taxa de 10 mV s-1

 

A partir de cada uma das voltametrias ilustradas na Figura 3, nas regioes de polarizaçao catódica, pôde-se escolher o potencial UDEP para deposiçao potenciostática do cobalto. para depósitos de nanopartículas ou de filmes finos, recomenda-se a escolha de um valor para ε menos negativo, de baixa formaçao de hidrogênio e que permita um melhor controle na deposiçao das nanoestruturas ou dos filmes sobre o substrato. Os valores USB, denominados potenciais de stand-by, também extraídos das voltametrias ilustradas nas Figuras 3(a), 3(b) e 3(c) (USB = -0,6, -0,74, -0,76 V vs. ECS, respectivamente), variam de acordo com o substrato utilizado, sao os potenciais em que nao ocorre nem deposiçao e nem dissoluçao de cobalto. Nestes valores, ajustados manualmente no software de controle do AGFM in-situ, que as curvas de M x H podem ser adquiridas após a deposiçao potenciostática do cobalto.

Os resultados das medidas de transientes das respostas magnéticas da deposiçao potenciostática de Co sobre os substratos grafeno CVD/Cu, grafeno CVD/SiO2/Si e Au/Si(100) (representados nas cores vermelho, preto e azul nas figuras a seguir, respectivamente), evidenciam que o cruzamento das informaçoes extraídas das medidas magnéticas in-situ com os das medidas de densidade de corrente podem contribuir para o entendimento dos materiais eletrodepositados sobre grafeno.

Na Figura 4(a) sao apresentadas as curvas de densidade de corrente normalizadas, obtidas em funçao do tempo de deposiçao potenciostática de cobalto, sobre os três substratos citados anteriormente. De acordo com as teorias da eletrodeposiçao,2,3,18 o comportamento padrao da densidade de corrente elétrica durante uma deposiçao potenciostática é semelhante ao obtido quando o Au/Si(100) foi utilizado como substrato. Esse comportamento pode ser descrito pelo modelo de Scharifker e Hills:18 inicialmente, a formaçao de núcleos de crescimento do depósito aumenta a área eletroativa do eletrodo, aumentando o módulo da densidade de corrente de deposiçao até o ponto em que a área eletroativa se torna máxima, correspondente ao pico de corrente de deposiçao (momento de máxima nucleaçao). Após o estabelecimento desta área máxima, formam-se zonas isoladas em que a deposiçao ocorre pelo transporte de massa no eletrólito. A superfície eletroativa tende a diminuir e ocorre decréscimo no módulo da densidade de corrente. O regime estacionário é atingido quando as zonas isoladas de difusao coalescem e ocupam toda interface entre o eletrodo e o eletrólito.

 


Figura 4. (a) Curvas de densidade de corrente normalizada em funçao do tempo de depósito potenciostático de cobalto sobre grafeno CVD/Cu (vermelho), grafeno CVD/SiO2/Si (preto) e Au/Si(100) (azul); (b) transientes de resposta magnética normalizada do cobalto eletrodepositado potenciostaticamente sobre grafeno CVD/Cu (vermelho), grafeno CVD/SiO2/Si (preto) e Au/Si(100) (azul), com campo de 700 Oe aplicado paralelamente à superfície do substrato; (c) comparaçao entre os transientes de resposta magnética do cobalto eletrodepositado potenciostaticamente sobre grafeno CVD/SiO2/Si, com campo de 700 Oe aplicado em configuraçao perpendicular (verde) e paralelo (preto) ao substrato

 

porém, chama a atençao nesses resultados, o comportamento anômalo da densidade de corrente elétrica durante a eletrodeposiçao do cobalto sobre substratos à base de grafeno CVD (curvas em vermelho e em preto), que nao se encaixa nos modelos tradicionais que explicam a eletrodeposiçao de materiais metálicos sobre substratos condutores. Essa anomalia também tem manifestaçao consistente na resposta magnética.

Na Figura 4(b) tem-se os transientes de resposta magnética normalizada do cobalto eletrodepositado potenciostaticamente sobre grafeno CVD/Cu, grafeno CVD/SiO2/Si e Au/Si(100) (curvas vermelha, preta e azul), com campo de 700 Oe aplicado paralelamente à superfície do substrato. Observa-se a presença de um rápido crescimento da magnetizaçao, durante aproximadamente 2 s, seguido de uma estabilizaçao no valor da magnetizaçao, que acaba por formar um platô (magnetizaçao constante) em ambas as curvas obtidas. O platô nao é observado quando o substrato utilizado foi o Au/Si(100), indicando que esta parece ser uma característica específica de materiais magnéticos eletrodepositados em substratos à base de grafeno CVD. A extensao da duraçao do platô nao é a mesma para a deposiçao de Co sobre o substrato de grafeno CVD/Cu e sobre o grafeno CVD/SiO2/Si, uma vez que os potenciais UDEP de deposiçao utilizados sao ligeiramente diferentes, mesmo utilizando-se a mesma soluçao eletrolítica. A extensao temporal do platô sobre grafeno CVD/SiO2/Si teve duraçao de, aproximadamente, 25 s (1 s < t < 26 s), enquanto que a duraçao referente ao substrato grafeno CVD/Cu foi de 55 s (1 s < t < 56 s).

A resposta magnética dos depósitos sobre ouro (em azul) segue um comportamento esperado, ou seja, que ela seja proporcional à quantidade de material depositado e dependente da morfologia e/ou da estrutura cristalina do depósito, mas ferromagnética. Nas duas curvas referente aos depósitos sobre o grafeno (em preto e vermelho), a resposta magnética acompanha a anomalia apresentada na densidade de corrente, indicando claramente que há três evoluçoes magnéticas bastante diferenciadas para todo o processo de deposiçao. Inicialmente, o material depositado apresenta resposta com características ferromagnéticas (0 - 2 s) e, na sequência, o material deixa de ter variaçao mensurável da resposta magnética, pois permanece constante (entre 2 e aproximadamente 26 ou 56 s), indicando que o material depositado pode estar sendo oxidado (por exemplo, Co2O3 é paramagnético à temperatura ambiente) e, após, o sinal volta a ter características ferromagnéticas com o sinal aumentando proporcional à quantidade de material depositado.

Foi levantada a hipótese de que a constância do sinal magnético no platô, medida na configuraçao paralela, estaria relacionada com a alteraçao da anisotropia do material depositado e nao devido à sua oxidaçao. Para verificar essa possibilidade, o EC-AGFM permite realizar o mesmo experimento instalando o substrato grafeno CVD/SiO2/Si paralelo e perpendicular ao campo aplicado (preto e verde na Figura 4(c), respectivamente) e os resultados mostram que nao há alteraçao do sinal magnéticos neste intervalo em ambos os casos. Portanto, nao há evoluçao da anisotropia do material de planar para perpendicular na regiao do platô.

Esse exemplo mostra a profusao de novas informaçoes e questionamentos que podem ser extraídos do uso do EC-AGFM, mostrando que a técnica é muito útil para quem trabalha com materiais magnéticos eletrodepositados, especialmente os nanoestruturados. Estudos adicionais devem levar à interpretaçao precisa dos fenômenos físicos e químicos que justifiquem o comportamento dos mesmos frente os dados originais acima arrolados.

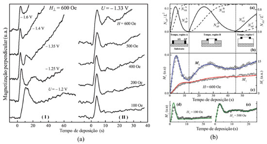
Influência na anisotropia perpendicular dos átomos da periferia de ilhas de monocamadas de Co depositados sobre Au19

Nesse estudo, "Edge atoms effects on the perpendicular anisotropy of ultrathin magnetic layers",19 constatou-se que a magnetizaçao medida através do EC-AGFM, em funçao do tempo do eletrodepósito de camadas ultrafinas de Co/Au(111) (ver Figura 5), apresentaram dois picos de fácil magnetizaçao para fora do plano da amostra.

 


Figura 5. Reproduzida da referência 19, com a permissao da AIP Publishing (a-I) Transientes de M (t) gravados "in-situ" durante a eletrodeposiçao de Co para um campo fixo de H=600 Oe e variando o potencial de depósito U; (a-II) Transientes variando H para o potencial de depósito constante UDEP = -1,33V; (b) Resultados das simulaçoes teóricas do comportamento da magnetizaçao perpendicular devido à contribuiçao dos átomos da periferia das ilhas de cobalto: para detalhes ver referência 19

 

Esses resultados foram explicados vinculando a resposta magnética aos átomos da periferia das ilhas de Co sobre ouro, que crescem camada por camada atômica e apresentam alta anisotropia magnética perpendicular (M) ao plano da amostra. Isso mostra que é possível obter materiais que apresentem alta anisotropia magnética em graos muito pequenos, mesmo abaixo do limite paramagnético, abrindo oportunidades para aplicaçoes tecnológicas através da engenharia dos materiais.

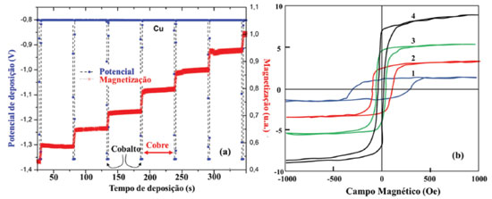
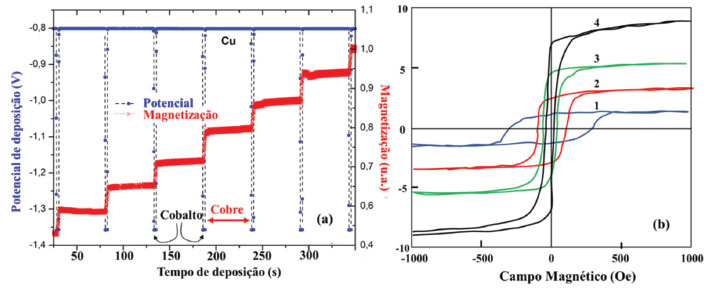
Deposiçoes potenciostáticas de multicamadas de Cu-Co

No estudo da eletrocristalizaçao de multicamadas magnéticas Cu-Co, amplamente utilizadas em sistemas magnetoresistivos, Gündel11 utilizou o EC-AGFM in-situ na confecçao e análise magnética do referido sistema multicamada. Com o objetivo de se melhor compreender a mecânica de crescimento destas multicamadas, a técnica de eletrodeposiçao pulsada, com campo magnético em configuraçao paralela aplicado, com eletrólito único, foi utilizada. Os substratos utilizados foram o Au(111) e o vidro ITO.

As medidas de magnetizaçao in-situ de filmes multicamadas durante o processo de eletrodeposiçao de multicamadas de Co-Cu,17 seja no modo transiente, seja no modo do levantamento das curvas de histerese para tempos específicos de deposiçao (ver Figura 6), revelou que foi possível avaliar eficiência do aumento da magnetizaçao em funçao da carga utilizada no processo. Essa eficiência tende a decrescer na medida em que o número de bicamadas aumenta, provavelmente devido ao aumento da rugosidade da superfície em formaçao. As multicamadas apresentaram comportamento ferromagnético típico, com a magnetizaçao e o campo coercivo aumentando conforme o número de bicamadas e/ou a espessura da camada de cobalto foram aumentadas.

 


Figura 6. Reproduzida e adaptada da referência 17, com a permissao da AIP Publishing (a) Curvas de potencial elétrico e transiente da resposta magnética da deposiçao intercalada de bicamadas de Co/Cu sobre vidro ITO. Os seis pulsos de deposiçao variaram entre UCo = - 1,35 V vs. MSE e UCu = - 0,8 V vs. MSE; (b) Curvas de histerese obtidas "in-situ" após a deposiçao de [Co(13nm)/Cu(11nm) para 1 bicamada (curva b1); 2,3 e 4 bicamadas (curvas b2, b3 e b4)

 

Medidas magnéticas in-situ de camadas eletrodepositadas ultrafinas de Co, Ni e Fe/Au(111)/Mica15

Neste trabalho foram medidas propriedades magnéticas no EC-AGFM na interface eletroquímica de um processo de crescimento de amostras de metais 3d, com poucas monocamadas atômicas (ML), sobre substrato de Au/Mica. Foi possível fazer uma avaliaçao da anisotropia magnética dos depósitos em funçao do transiente temporal do processo e os resultados mostraram fortes diferenças entre as interfaces M/Au(111), com M = Co, Ni e Fe. Foi constatado que o eixo de fácil magnetizaçao é planar para as amostras de níquel, independente da espessura dos filmes, enquanto que é perpendicular ao plano para cobalto e ferro para espessuras abaixo de um valor crítico t* (≈ 1-2 ML e 2-3 ML, respectivamente). Acima de t*, a direçao de fácil magnetizaçao gira gradualmente para o plano das amostras como pode ser constatado na Figura 7.

 


Figura 7. Reproduzida da referência 15 com a permissao da PCCP Owner Societies (a) Transientes "in-situ" M(t) sob campo de 600 Oe, obtidos durante a eletrodeposiçao dos metais sobre Au(111). (A) Cobalto, UDEP = -1,3 V; (B) níquel. UDEP = -1,4 V; (C) Ferro, UDEP = - 1,5 V. Dados foram adquiridos no modo paralelo (// - no plano-símbolos vazios) e no modo perpendicular (⊥ - símbolos cheios). As setas ↑ e ↓ indicam o início de deposiçao e o início do "stripping". A notaçao x3 ou x5 indica a diferença de escalas entre as medidas. (b) Voltametria do substrato Au(111)/mica realizada na célula do EC-AGFM e em configuraçao perpendicular para soluçoes de cobalto(A), níquel(B) e ferro(C). A taxa de verredura foi de 50mV s-1. Ver o texto original para a composiçao das soluçoes.15 (c) Laços de histereses magnéticas adquiridos "in-situ" para cobalto, níquel e ferro sobre Au(111). A configuraçao do sistema para as medidas foram no modo perpendicular para o Fe e o cobalto e no plano para o níquel. As espessuras indicadas sao em monocamadas (ML) e foram extraídas do método de "stripping". Os potenciais de depósitos foram os mesmos da Figura (a) e os potencias de interrupçao dos depósitos para a realizaçao das medidas foram U= -1,15 +/- 0,02 V (cobalto e níquel) ou U = - 1,32 +/- 0,02 V (ferro)

 

CONCLUSAO

Como alegado inicialmente, neste artigo é demonstrado, com dados originais recentes e com exemplos de resultados anteriores obtidos em nossos laboratórios, que é possível obter informaçoes magnéticas e eletroquímicas relevantes e diferenciadas através da técnica que foi desenvolvida no Laboratório de Magnetismo do Instituto de Física da UFRGS denominada de Magnetômetro Eletroquímico de Força Magnética por Gradiente Alternado (EC-AGFM). Ela permite que se avalie o comportamento do processo eletroquímico e a resposta magnética de materiais depositados simultaneamente, in-situ. A técnica é suscetível a adaptaçoes para também ser utilizada na análise de materiais obtidos por simples reaçoes químicas. Portanto, a técnica de magnetometria in-situ para caracterizaçao de materiais pode ser útil para diversos ramos da pesquisa científica e tecnológica, sejam eles vinculados à Química, Física ou Ciência e Engenharia dos Materiais.

 

REFERENCIAS

1. Fert, A.; George, J.-M.; Jaffres, H.; Faini, G.; J. Phys. D: Appl. Phys. 2002, 35, 2443.

2. Alper, M. Em Electrodeposition of Multilayered Nanostructures; Shi, D., Aktaş, B., Pust, L., Mikailov, F., eds.; Springer-Verlag: Berlin, 2002, cap. 7.

3. Compton, R. G.; Sanders, G. H. W.; Electrode Potentials, Oxford University Press: Oxford, 1996.

4. González, J. T. C.; Tese de Doutorado, Universidad Central de Venezuela, Venezuela, 2009.

5. Rocha, A. S.; Tese de Doutorado, Universidade Federal de Santa Catarina, Brasil, 2006.

6. Dorico, E.; Tese de Doutorado, Universidade Federal de Santa Catarina, Brasil, 2010.

7. Zijlstra, H.; Review on Scientific Instruments 1970, 41, 1241.

8. Roos, W.; Hempel, K. A.; Voight, C.; Dedericks, H.; Schippan, R.; Review of Scientific Instruments. 1980, 51, 612.

9. Flanders, P. J.; J. Appl. Phys. 1998, 63, 3940.

10. Flanders, P. J.; Review of Scientific Instruments 1990, 61, 839.

11. Gündel, A.; Tese de Doutorado, Universidade Federal do Rio Grande do Sul, Brasil, 2002.

12. De Franco, V. C.; Castro, G. M. B.; Corredor, J.; Mendes, D.; Schmidt, J. E.; Carbon Letters 2017, 21, 16.

13. Cagnon, L.; Devolder, L.; Cortes, R.; Morrone, A.; Schmidt, J. E.; Chappert, C.; Allongue, P.; Phys. Rev. B. 2001, 63, 104419.

14. Gündel, A.; Morrone, A.; Schmidt, J. E.; Cagnon, L.; Allongue, P.; J. Magn. Magn. Mater. 2001, 226, 1616.

15. Gündel, A.; Cagnon, L.; Gomes, C.; Morrone, A.; Schmidt, J. E.; Allongue, P.; Phys. Chem. Chem. Phys. 2001, 3, 3330.

16. Cagnon, L.; Gündel, A.; Devolder, T.; Morrone, A.; Schmidt, J. E.; Allongue, P.; Appl. Surf. Sci. 2000, 164, 22.

17. Gündel, A.; Chassaing, E.; Schmidt, J. E.; J. Appl. Phys. 2001, 90, 5257.

18. Scharifker, B.; Hills, G.; Electrochim. Acta 1983, 28, 879.

19. Geshev, J.; Gündel, A.; Zaharieva, I.; Schmidt, J. E.; Appl. Phys. Lett. 2012, 101, 132407.

On-line version ISSN 1678-7064 Printed version ISSN 0100-4042
Qu�mica Nova
Publica��es da Sociedade Brasileira de Qu�mica
Caixa Postal: 26037 05513-970 S�o Paulo - SP
Tel/Fax: +55.11.3032.2299/+55.11.3814.3602
Free access

GN1