JBCS



14:56, sáb out 25

Acesso Aberto/TP



Revisão


SEMICONDUTORES HETEROESTRUTURADOS: UMA ABORDAGEM SOBRE OS PRINCIPAIS DESAFIOS PARA A OBTENÇÃO E APLICAÇÃO EM PROCESSOS FOTOQUÍMICOS AMBIENTAIS E ENERGÉTICOS
HETEROSTRUCTURED SEMICONDUCTORS: AN APPROACH ABOUT THE MAIN CHALLENGES FOR OBTAINING AND APPLICATION ON ENVIRONMENTAL AND ENERGY PHOTOCHEMICAL PROCESSES

Romero T. BuenoI; Osmando F. LopesII; Kele T. G. CarvalhoIII; Caue RibeiroIII,IV,*; Henrique A. J. L. MouraoI

IInstituto de Ciência e Tecnologia, Universidade Federal dos Vales do Jequitinhonha e Mucuri, 39100-000 Diamantina - MG, Brasil
IIInstituto de Química, Universidade Federal de Uberlândia, 38400-902 Uberlândia - MG, Brasil
IIILaboratório Nacional de Nanotecnologia para o Agronegócio, Embrapa Instrumentação, 13561-206 São Carlos - SP, Brasil
IVForschungszentrum Jülich GmbH, Institute of Energy and Climate Research (IEK-3): Electrochemical Process Engineering. 52425 Jülich, Germany

Recebido em 10/02/2019
Aceito em 18/04/2019
Publicado na web em 27/05/2019

Endereço para correspondência

*e-mail: caue.ribeiro@embrapa.br

RESUMO

Heterostructured semiconductors are materials with unique features formed by combination of two or more semiconductors with suitable interface between them. The study of the heterostructures aim the development of physico-chemical and photocatalytic properties higher than their isolated phases, which makes it possible to obtain higher efficiency and lower cost in several technological processes. Recently the heterostructured materials have been extensively used in the development of alternative technologies either for environmental pollution control or for renewable energy production, among other applications. However, the obtaining of a heterostructure with suitable features is not trivial. In this way, this review article presents a broad discussion about methods of obtaining heterostructures formed by semiconductors and their applications in the photochemical processes, mainly in the environmental field. It will be addressed the use of the heterostructures in photocatalytic application for the organic pollutants degradation, heavy metals removal, the inactivation of pathogenic microorganisms, beyond of the volatile organic compounds (VOC's) photooxidation and the photocatalytic abatement of nitrogen oxide (NOx) in gaseous phase. Finally, a discussion about the carbon dioxide (CO2) photoreduction and hydrogen (H2) production focusing mainly in the chemical energy production will be presented.

Palavras-chave: semiconductor; heterostructures; photochemical processes; environmental; energy.

INTRODUÇAO

Em 1984, como consequência dos estudos pioneiros de Nick Serpone e Michael Gratzel, foi verificado o fenômeno de transferência de cargas entre semicondutores.1 Os autores conseguiram demonstrar que o acoplamento entre TiO2 e CdS conduziu a uma notável separaçao das cargas fotogeradas (elétrons, e-, e buracos, H+), o que promoveu a diminuiçao da taxa de recombinaçao entre elas. Nesse sistema, os e- fotogerados na banda de conduçao (BC) do CdS pela absorçao de energia sao transferidos para a BC do TiO2, enquanto os H+ fotogerados permanecem na banda de valência (BV) do CdS, que resulta na separaçao espacial entre o par e-/H+ e no aumento do tempo de vida destes. Desde entao, a combinaçao de semicondutores com diferentes propriedades em um único material tem atraído muita atençao devido à possibilidade de melhorar o desempenho catalítico para uma determinada aplicaçao em comparaçao com os constituintes isolados.2

A heteroestrutura é um sistema no qual materiais de diferentes composiçoes ou estruturas compartilham a mesma interface, denominada heterojunçao. Esse sistema permite o controle de diversos parâmetros fundamentais em tecnologias envolvendo semicondutores, tais como band gap, mobilidade efetiva de portadores de massa e carga, índice de refraçao e outros.3,4 A heterojunçao pode ser definida como a interface entre quaisquer dois materiais no estado sólido, incluindo estruturas cristalinas e amorfas de materiais semicondutores, condutores e isolantes.5-7 O comportamento de uma heteroestrutura de semicondutores depende do band gap, da afinidade eletrônica e das posiçoes relativas das BC e BV dos semicondutores constituintes.

Após a publicaçao dos trabalhos de Fujishima e Honda8 sobre a produçao de H2 - water splitting (1972) - via fotocatálise heterogênea e dos trabalhos de Serpone e Gratzel1 a respeito do aumento da atividade fotocatalítica de materiais heteroestruturados (1984), foram publicados vários trabalhos sobre a aplicaçao de heteroestruturas em fotocatálise. A Figura 1 mostra a evoluçao das publicaçoes na área analisando a base de dados 'web of science' durante os últimos 10 anos, na qual se observa um aumento progressivo do número de publicaçoes relacionadas ao termo heterojunçao e em relaçao aos trabalhos envolvendo processos fotocatalíticos ativados no visível, um dos temas mais abordados na área.

 

Figura 1. Informaçoes obtidas da 'web of science' monstrando a evoluçao no número das publicaçoes entre os anos de 2009 e 2018. Busca realizada usando os termos: hererojunçao (em inglês, heterojunction), fotocatalítico (photocatalytic) e visível (visible)

 

Nesse sentido, este artigo abordará os processos de obtençao e as principais aplicaçoes das heteroestruturas de semicondutores em processos fotoquímicos relacionados à área ambiental e de produçao de energia. Primeiramente, serao discutidos a estrutura dos semicondutores, os diferentes tipos de heteroestruturas e as formas mais comuns de obtençao. Em seguida, serao apresentadas as aplicaçoes envolvendo essas heteroestruturas nos tratamentos de efluentes líquidos, o que engloba a foto-oxidaçao de poluentes orgânicos, a remoçao de metais pesados e a inativaçao de microorganismos patogênicos. Alguns processos fotocatalíticos em fase gasosa também serao apresentados, tais como a foto-oxidaçao de compostos orgânicos voláteis (COVs) e o abatimento fotocatalítico de óxidos de nitrogênio (NOx). Com relaçao às aplicaçoes relacionadas à produçao de energia, a fotorreduçao do CO2 e a produçao de H2 utilizando-se semicondutores heteroestruturados serao discutidas no final deste artigo.

 

ESTRUTURA DE SEMICONDUTORES

De maneira geral, um material é classificado como um semicondutor quando apresenta uma resistividade elétrica à temperatura ambiente na faixa de 10-2 e 109 Ωcm, referente a valores intermediários entre bons condutores e bons isolantes.9 As características elétricas únicas desses materiais os tornam especialmente úteis na construçao de dispositivos eletrônicos (diodos, transistores, células fotovoltaicas, termistores, etc.) e em aplicaçoes envolvendo processos fotocatalíticos.9,10

As propriedades elétricas de um semicondutor resultam de sua estrutura eletrônica característica, que pode ser descrita pelo modelo das bandas de energia.11 A origem das bandas em sólidos pode ser compreendida a partir de uma extensao da teoria do orbital molecular (OM).11 De acordo com teoria OM, a combinaçao linear de dois orbitais atômicos dá origem a dois orbitais moleculares de energias distintas, um ligante e outro antiligante. Um sólido, no entanto, é formado pela uniao de um número virtualmente infinito de átomos, o que leva à superposiçao de orbitais adjacentes para a formaçao de ligaçoes. Dessa maneira, conforme os átomos se aproximam para a formaçao do sólido, mais orbitais moleculares sao gerados, dando origem a um conjunto de orbitais nao degenerados que constituem uma banda (Figura 2).11,12

 


Figura 2. Formaçao de uma banda eletônica a partir do enfileiramento de N átomos

 

A Figura 2 mostra a formaçao de uma "banda s", constituída pela sobreposiçao de orbitais do tipo s, sendo possível também a formaçao de bandas "p" e "d". Devido à diferença energética entre os orbitais ligantes e antiligantes, pode ocorrer a formaçao de uma falha entre as bandas, conhecida como banda proibida ou band gap (Eg). Assim, a existência da banda proibida está relacionada com a extensao das bandas consecutivas e a diferença energética dos tipos de orbitais que as constituem.12

A ocupaçao das bandas pode ser descrita pela funçao Fermi, que nos fornece a probabilidade de um estado de energia E estar ocupado por um e- livre.13

Na equaçao (1), T é a temperatura absoluta do sistema em Kelvin, kB é a constante de Boltzmann (aproximadamente 1,38065.10-23 J/K) e Ef é o nível de Fermi. O Ef é um nível energético de referência do material, sendo um parâmetro importante na prediçao de seu comportamento elétrico.14 De acordo com essa funçao, à temperatura de 0 K, a probabilidade de ocupaçao de um estado com energia inferior ao Ef é de 100% (f = 1). Por outro lado, para níveis com energia superior ao Ef, a possibilidade de ocupaçao é nula. A medida que a temperatura aumenta, os e- podem adquirir energia suficiente para ocupar estados energéticos acima do nível de Fermi.13

A condutividade em sólidos resulta da mobilidade de portadores de carga, em resposta a um campo elétrico aplicado.9 A Figura 3 traz uma representaçao esquemática da estrutura de metais, isolantes e semicondutores a 0 K. Em metais, geralmente há uma sobreposiçao de bandas (Figura 3a). Assim, os e-da BV podem transitar com facilidade para a BC com a adiçao de pouca energia ou aplicaçao de um campo elétrico. As estruturas de semicondutores e isolantes sao semelhantes por apresentarem a BV totalmente preenchida e a BC totalmente vazia (Figuras 3b e 3c). A diferença está na largura da Eg, que é mais estreita nos semicondutores. Desse modo, nos semicondutores alguns estados inferiores na BC sao mais acessíveis para e-do topo da BV à temperaturas superiores a 0 K.15

 


Figura 3. Diagramas de bandas típicos para a) metais; b) semicondutores e c) isolantes a 0 K

 

Em um semicondutor de elevada pureza, a conduçao pode se dar de maneira intrínseca, ou seja, pela promoçao de e-da BV para a BC. Além de introduzir portadores de carga negativos no nível superior, essa ocupaçao gera h+ no nível inferior. Esses sao considerados como portadores de carga positivos e também contribuem para o processo de conduçao. Os dois semicondutores intrínsecos mais conhecidos sao o silício (Si) e o germânio (Ge), ambos do grupo 14 da tabela periódica. Certos compostos semicondutores também podem exibir comportamento intrínseco. Entre estes, estao os compostos formados pela uniao de elementos do grupo 13 com elementos do grupo 15, como por exemplo, o arseneto de gálio (GaAs) e o antimoneto de índio (InSb).15,16

O comportamento elétrico de um semicondutor pode ser ditado também pela presença de impurezas. Nesses casos, diz-se que o material apresenta semiconduçao extrínseca. Por exemplo, quando um átomo de valência 5 é adicionado como uma impureza substitucional em uma rede composta por átomos de silício (tetravalentes), apenas quatro dos cinco e-desses átomos de impureza podem participar de ligaçoes, pois existem apenas quatro ligaçoes possíveis com átomos vizinhos. Dessa forma, o e- que nao forma ligaçoes fica preso fracamente em torno do átomo de impureza, através de uma ligaçao eletrostática fraca. Pela perspectiva do modelo de bandas eletrônicas, cada um desses e- fracamente ligado ocupa um único nível de energia, localizado dentro do espaçamento proibido entre as bandas, próximo da borda inferior da BC (Figura 1Sa). A energia necessária para excitar o e-desde um desses estados de impureza até um estado dentro da BC é a própria energia de ligaçao do e-. Em casos assim, em que as impurezas sao doadoras de e-, a semiconduçao é dita extrínseca do tipo n. Além disso, observa-se uma aproximaçao do nível de Fermi com o estado doador.15,16

Adicionando impurezas substitucionais do grupo 3 ao silício, tais como o boro e o alumínio, um efeito oposto é produzido. Nesse caso, uma das ligaçoes covalentes ao redor de cada átomo se torna deficiente de e-, sendo tal deficiência conhecida como buraco ou lacuna, que aqui nos referimos como h+. Como o h+ é fracamente ligado ao átomo de impureza, este pode ser liberado pela transferência de e-de uma ligaçao adjacente. Assim, o h+ e o e- podem trocar de posiçoes, de modo que o h+ em movimento (estado excitado) contribui para o processo de conduçao. Para esse tipo de semiconduçao extrínseca, os h+ sao os principais responsáveis pela conduçao por estarem presentes em grande concentraçao. Sob essas circunstâncias, o semicondutor é classificado como sendo do tipo p. Atomos de impurezas desse tipo introduzem um nível de energia dentro do espaçamento entre as bandas, localizado próximo da borda superior da BV (Figura 1Sb). Em semicondutores do tipo p, o nível de Fermi permanece dentro do espaçamento entre as bandas, porém próximo do estado receptor.15,16

 

HETEROESTRUTURAS DE SEMICONDUTORES

Tipos de heteroestruturas

A combinaçao de diferentes semicondutores resulta em diferentes tipos de heteroestruturas dependendo das suas características eletrônicas, sendo cada tipo mais apropriado para aplicaçoes específicas. A adequaçao de uma heteroestrutura para um determinado processo está diretamente relacionada ao sentido da migraçao de cargas na interface de conexao entre os materiais, que ocorre devido à diferença de energia potencial das BC e BV em cada estrutura.17

As heteroestruturas sao classificadas em três tipos de acordo com a relaçao entre as bandas de energia dos materiais constituintes, como ilustrados na Figura 4. Para a heteroestrutura do tipo I, a BC e a BV de um dos semicondutores sao respectivamente superior e inferior às bandas correspondentes do outro semicondutor. Portanto, sob irradiaçao de luz, os e-e h+ se acumulam nos níveis das BC e BV do semicondutor com menor Eg. Como os e-e os h+ se acumulam no mesmo semicondutor, nao podem ser efetivamente separados, portanto, nao é adequada para aplicaçao em fotocatálise.18 Na heteroestrutura do tipo II, a migraçao de cargas fotogeradas pode ocorrer em sentidos opostos, isto é, os e- sao acumulados em um semicondutor, enquanto os h+ sao acumulados no outro semicondutor. Esse fenômeno ocorre devido à relaçao entre as bandas dos semicondutores, e principalmente devido aos seus níveis de Fermi. Essa separaçao espacial impede a rápida recombinaçao das cargas fotogeradas. Um semicondutor com posiçoes de bandas apropriadas atua como sequestrador de e-e h+, permitindo que estas cargas possam reagir separadamente.19 A arquitetura da heteroestrutura do tipo III é similar àquela da heteroestrutura do tipo II, porém nao há sobreposiçao dos band gap's, sendo assim inadequada para aplicaçoes fotocatalíticas.

 


Figura 4. Diferentes tipos de heterojunçoes entre semicondutores. Evácuo é o ponto de referência de energia (i.e. vácuo); EBC é a energia da BC; EBV é a energia da BV; EF denota energia de Fermi; φ é a funçao trabalho e χ retrata a eletroafinidade

 

Existem ainda outros tipos de heteroestruturas, tais como, o tipo p-n, esquema-Z e junçao Schottky (Figura 5). Uma heterojunçao p-n é formada pela combinaçao de um semicondutor do tipo p com outro do tipo n. Nesse tipo de heteroestrutura, antes da irradiaçao de luz, os e- do semicondutor do tipo n tendem a difundir-se através da interface p-n para o semicondutor do tipo p, deixando uma espécie carregada positivamente. Enquanto isso, os h+ do semicondutor do tipo p tendem a difundir-se para o semicondutor do tipo n, deixando uma espécie carregada negativamente. A difusao dos e-e h+ continuará até que o equilíbrio do nível de Fermi do sistema seja alcançado. Como resultado, um campo elétrico interno é gerado na regiao próxima à interface p-n. Os e-e h+ fotogerados nos semicondutores do tipo p e n migrarao sob a influência do campo elétrico interno para a BC do semicondutor do tipo n e para a BV do semicondutor do tipo p, respectivamente, o que resulta na separaçao espacial e aumento do tempo de vida das cargas.

 


Figura 5. Ilustraçao esquemática da separaçao de cargas fotogeradas: em uma heterojunçao p-n; em um esquema-Z direto; e em uma junçao Schottky

 

A junçao Schottky, por sua vez, é formada por um metal disperso sobre um semicondutor do tipo n ou p, e é comumente utilizada para induzir a separaçao de carga efetiva em dispositivos optoeletrônicos, fotocatalisadores ou células fotoeletroquímicas.19,20 Nesse sistema, assim como nas heteroestruturas do tipo p-n, gera-se um campo elétrico que facilita a separaçao dos e-e h+ fotogerados. Na maioria dos trabalhos na literatura essa estrutura é referida apenas como um fotocatalisador com um co-catalisador depositado na sua superfície.

Embora todos os tipos de heterojunçoes mencionados sejam eficientes para melhorar a separaçao dos e-e h+ fotogerados, a capacidade de oxirreduçao da heteroestrutura é diminuída já que os processos de reduçao e oxidaçao ocorrerao no semicondutor com os menores potenciais de reduçao e oxidaçao, respectivamente. Para superar esse problema, o conceito fotocatalítico do esquema-Z foi proposto por Allen J. Bard em 1979 para maximizar o potencial redox dos sistemas de heterojunçao.21 Um sistema fotocatalítico com esquema-Z convencional é composto por dois semicondutores, fotocatalisador I (FI) e fotocatalisador II (FII), e um par aceitador/doador de e-(A/D). FI e FII nao sao colocados em contato físico. Durante a reaçao fotocatalítica, os e-fotogerados migram da BC do FII, com o maior potencial de oxidaçao, para a BV do FI, com o maior potencial de reduçao, através do par A/D conforme as seguintes reaçoes redox:

Especificamente, A é reduzido em D (ou simplesmente A-) ao reagir com os e- fotogerados da BC do FII, e em seguida, D (A-) é oxidado em A pelo h+ da BV do FI. Desta forma, os e-se acumulam no FI e os h+ se acumulam no FII simultaneamente. Como resultado, uma maior separaçao espacial dos portadores de carga e uma elevada capacidade de oxirreduçao podem ser alcançadas. No entanto, os sistemas fotocatalíticos convencionais com esquema-Z só podem ser construídos em fase líquida, limitando assim a sua aplicaçao em fotocatálise.

Em 2006, Tada e colaboradores22 propuseram o conceito de um sistema fotocatalítico com esquema-Z no estado sólido constituído por dois semicondutores diferentes FI (CdS) e FII (TiO2) e um mediador sólido de e-entre eles (Au). Nessa arquitetura, os e-fotogerados no FII migram para a BV do FI através do mediador de e- e sao novamente excitados, mas desta vez para a BC do FI. Como resultado, os h+ fotogerados sao acumulados no FII, promovendo a separaçao espacial dos portadores de carga e a otimizaçao do potencial de oxirreduçao. Esse tipo de esquema-Z no estado sólido possui a vantagem adicional de poder ser usado em meios aquosos, gasosos e sólidos, estendendo assim sua aplicaçao em sistemas fotocatalíticos. Entretanto, os mediadores de e-necessários para conduzir a migraçao dos e-no esquema-Z sao caros e raros, o que pode limitar as aplicaçoes em grande escala desses fotocatalisadores.

Em comparaçao com a heterojunçao do tipo II (Figura 4), o esquema-Z direto (Figura 5) possui a mesma configuraçao de estrutura de bandas, mas um modo de transferência dos portadores de carga diferente. No esquema-Z direto, a presença de mediadores de e-nao é necessária para que ocorra a transferência de e-.22 Assim, os e- fotogerados com elevado potencial de reduçao na BC do FI e os h+ com elevado potencial de oxidaçao na BV do FII sao preservados, enquanto os e-fotogerados na BC do FII e os h+ na BV do FI com poder de oxirreduçao inferior se recombinam. Como resultado, o esquema-Z direto possui simultaneamente um alto poder de oxirreduçao para conduzir reaçoes fotocatalíticas e uma efetiva separaçao espacial dos portadores de carga.

Desafios na obtençao e processamento de heteroestruturas

O desafio mais importante no desenvolvimento de heteroestruturas eficientes para aplicaçoes distintas é a definiçao de quais semicondutores devem ser combinados para exibir uma vida útil maximizada dos portadores de carga e, simultaneamente, apresentar posiçoes apropriadas de BV e BC para conduzir reaçoes específicas de oxirreduçao fotoativadas. É possível propor uma combinaçao de semicondutores que pode resultar em uma propriedade fotocatalítica ótima baseando-se em conhecimentos teóricos. Entretanto, obter experimentalmente heterojunçoes efetivas entre estes semicondutores é um grande desafio. Além disso, a condiçao (ex.: pH, temperatura, etc.) necessária para obter um dos semicondutores pode nao ser favorável para a obtençao do outro semicondutor constituinte da heteroestrutura. Nesse sentido, ainda sao necessários grandes esforços para desenvolver métodos de síntese para obter heteroestruturas com junçoes apropriadas e que apresentem as propriedades físico-químicas desejadas.

Numerosos métodos de síntese têm sido aplicados para se obter heteroestruturas de diferentes semicondutores, tais como os métodos sol-gel, dos precursores poliméricos e hidrotérmico.23-28 No entanto, as variaçoes mais importantes na obtençao de heteroestruturas nao residem no método em si, mas sim na estratégia utilizada, como por exemplo o crescimento simultâneo de duas fases no meio reacional, o crescimento de uma fase sobre uma segunda fase pré-formada ou a utilizaçao de ambas as fases pré-formadas como blocos de construçao. Cada uma dessas estratégias possui vantagens e desvantagens relacionadas à facilidade de obtençao das fases conjuntas, custo e controle das propriedades morfológicas, estruturais e eletrônicas, como serao apresentadas a seguir.

Obtençao de heteroestruturas por crescimento simultâneo das fases

O crescimento simultâneo permite que a heteroestrutura seja obtida em apenas uma etapa de síntese, sendo essa a principal vantagem, especialmente quando se considera a viabilidade da rota sintética para plantas industriais.29-32 Entretanto, esse processo além de requerer que as fases sejam formadas em condiçoes similares, pode levar à formaçao de fases segregadas, dopagem indesejada, além do baixo controle morfológico.

O método dos precursores poliméricos é uma rota sintética capaz de obter heteroestruturas via cristalizaçao simultânea. Esse método se baseia na formaçao de uma rede de polímeros tridimensionais que mantem os cátions dispersos de forma homogênea em toda a sua estrutura, impedindo a precipitaçao de óxido/hidróxido e a separaçao de fases na etapa de calcinaçao.24 Castro e colaboradores,29 por exemplo, sintetizaram heteroestruturas de TiO2/WO3 com propriedades físico-químicas superiores àquelas apresentadas pelas fases individuais ou pela mistura física.

Mourao e colaboradores5 avaliaram a formaçao de heteroestruturas por cristalizaçao simultânea de TiO2/SnO2 em soluçoes alcalinas sob condiçoes hidrotérmicas. Os autores observaram que a heteroestrutura foi eficientemente formada em determinadas condiçoes, mas que em meio altamente alcalino formou-se somente TiO2. Estratégia similar foi adotada por diferentes autores para se obter diferentes heteroestruturas de forma simultânea com elevada atividade fotocatalítica, tais como, CdS/SnO2,31 Ag/ZnO,32 CdS/TiO2.33

Junçoes formadas entre as fases polimórficas de um mesmo semicondutor também podem ser obtidas através de cristalizaçao simultânea, como demonstrado pela síntese de heteroestruturas das fases rutilo e anatase do TiO2 via processo hidrotérmico.34 A sinergia decorrente da coexistência das fases anatase e rutilo promoveu um melhoramento das propriedades físico-químicas em comparaçao com as fases puras.35 Em um trabalho similar, a síntese de uma heteroestrutura a partir das fases monoclínica e tetragonal do BiVO4 foi proposta por Lopes e colaboradores36 usando uma estratégia de crescimento de fase simultânea por cristalizaçao hidrotérmica. A quantidade de heterojunçoes entre as fases do BiVO4 foi controlada pelos parâmetros da reaçao, o que promoveu o aumento do tempo de vida dos portadores de carga. Similarmente, Liu e colaboradores37 prepararam uma heteroestrutura por um método de uma única etapa entre duas fases de g-C3N4 (cristalina e amorfa). A formaçao da heteroestrutura permitiu ajustar o nível de energia dos constituintes e resultou em um alto desempenho fotocatalítico.

Apesar das vantagens apresentadas pela cristalizaçao simultânea, ainda sao necessários estudos sistemáticos para propor estratégias de síntese mais eficientes para assegurar o controle da proporçao desejada entre os semicondutores, assim como o controle das suas características físico-químicas e eletrônicas, principalmente na produçao em maior escala.38,39

Obtençao de heteroestruturas pelo crescimento de uma fase sobre outra pré-formada

A cristalizaçao de uma fase sobre outra pré-formada minimiza a ocorrência de dopagem e proporciona um elevado controle da composiçao e da morfologia de pelo menos uma das fases constituintes da heteroestrutura. Esta abordagem foi utilizada com sucesso no crescimento de SnO2 via métodos sol-gel hidrolítico e precursores poliméricos sobre o TiO2 pré-formado.17 A utilizaçao de ambos os métodos permitiu um controle morfológico e a formaçao de heterojunçoes de forma efetiva, resultando no aumento da atividade fotocatalítica das heteroestruturas em comparaçao com as fases puras de SnO2 e TiO2.

Outro exemplo interessante é o uso do método hidrotérmico para precipitar uma fase sobre um material pré-formado, como mostrado por Carvalho e colaboradores40 na obtençao das heteroestruturas de g-C3N4/Nb2O5 a partir do crescimento das nanopartículas de Nb2O5 sobre a superfície de g-C3N4 pré-formado. As heteroestruturas apresentaram dispersao homogênea das partículas de Nb2O5 sobre o g-C3N4, o que resultou em propriedades fotocatalíticas superiores em comparaçao com as fases puras de g-C3N4 e Nb2O5. Uma estratégia semelhante foi relatada por Nossol e colaboradores41 na obtençao de heteroestruturas entre TiO2 e óxido de grafeno (GO). Nesse estudo, o crescimento de TiO2 sobre a superfície do GO pré-formado foi realizado pelo método sol-gel. Essa heteroestrutura apresentou atividade fotocatalítica superior ao TiO2 comercial P25 na degradaçao do corante preto reativo 5.

Recentemente, foi relatada uma estratégia de cristalizaçao de uma fase sobre a superfície de outra pré-formada contendo pelo menos um elemento metálico em comum com a fase a ser cristalizada, forçando a formaçao de junçoes entre os semicondutores. Nesse processo, os metais presentes na superfície das partículas da fase pré-formada atuam como reagente para o crescimento da segunda fase, sendo a diferença de solubilidade entre as duas fases a força motriz para o crescimento da segunda. Por exemplo, as nanopartículas de BiVO4 podem ser formadas na superfície de Bi2O3 pré-formado, usando-se o princípio de que BiVO4 é menos solúvel que o Bi2O3. Essa estratégia também é útil para utilizar a morfologia da fase pré-formada como um template para a morfologia da heteroestrutura. Para o sistema BiVO4/Bi2O3, a quantidade de junçoes foi ajustada pelos parâmetros de síntese (ex.: temperatura, concentraçao de precursor, etc.) e pelo tamanho de partícula do Bi2O3 pré-formado. Esse método foi eficiente na obtençao de heteroestruturas do tipo II, uma vez que observou-se o aumento do tempo de vida dos portadores de carga devido à separaçao espacial efetiva.42 Estratégia similar foi utilizada por outros autores para obter diferentes tipos de heteroestruturas, tais como, BiSiO5/ Bi2MoO6,43 AgBr/Ag2O,44 Bi2S3/Bi2MoO6.45

Obtençao de heteroestruturas usando fases pré-formadas

A principal vantagem desse método é o controle morfológico e estrutural envolvido na síntese de partículas de uma única fase, que podem ser usadas como blocos de construçao para formar heteroestruturas. Esse processo ocorre através de coalescência orientada por colisao de partículas, onde as heterojunçoes sao criadas por alinhamento cristalográfico. Tal mecanismo requer que ambas as fases tenham planos cristalográficos semelhantes. Heteroestruturas de g-C3N4/Nb2O5 foram sintetizadas pela técnica de heteroagregaçao induzida pela diferença das cargas superficiais das fases pré-formadas de g-C3N4 e Nb2O5 e pelo tratamento sonoquímico, que intensifica a colisao entre as fases.46 A formaçao de heteroestruturas foi demonstrada pelo aumento do tempo de vida dos portadores de carga por meio da técnica de fotoluminescência resolvida no tempo.

Estratégias similares foram utilizadas em outros trabalhos para a obtençao de heteroestruturas por meio da heteroagregaçao das duas fases pré-formadas, tais como, Bi2S3/CdS,47 BiOI/TiO2,38 óxido de grafeno reduzido (RGO)/ZnO.48 Esses sistemas apresentaram um alto potencial de aplicaçao em processos fotocatalíticos e demonstraram a eficiência e a versatilidade desse método de síntese.

 

SEMICONDUTORES HETEROESTRUTURADOS EM PROCESSOS FOTOQUIMICOS

Tratamento de efluentes líquidos

Foto-oxidaçao de poluentes orgânicos

A descontaminaçao de águas residuais constitui um grande desafio técnico para a comunidade científica, empresas e governos. A presença e a diversidade de poluentes orgânicos em efluentes oriundos de atividades industriais, agrícolas e domésticas representam um sério risco à saúde pública e também aos ecossistemas. Muitos desses compostos apresentam natureza tóxica e características físico-químicas que os tornam resistentes aos processos de tratamento convencionais das estaçoes de tratamento de esgoto (ETE's) e águas (ETA's).49 Assim, o desenvolvimento de métodos para tratamento de efluentes que complementem ou substituam os tratamentos convencionais se torna fundamental para a garantia da qualidade da água e o cumprimento das exigências legais.

Nesse cenário, a fotocatálise com semicondutores vem ganhando destaque por promover a degradaçao de uma variada classe de poluentes orgânicos.50 O processo fotocatalítico tem início com a fotoativaçao do semicondutor, que ocorre quando um fóton com energia (hυ) igual ou superior à energia Eg incide sobre sua superfície (Figura 6). Como consequência, um e- é promovido da BV para a BC, gerando um h+ na BV. Os e-da BC sao bons redutores, com potenciais variando de +0,5 V a -1,5 V vs EPH (Eletrodo Padrao de Hidrogênio), enquanto que os h+ formados na BV sao poderosos oxidantes com potenciais entre +1,0 V e +3,5 V vs EPH, dependendo do material e das condiçoes do meio.51 Dessa forma, BV e BC podem atuar como aceptores ou doadores de e-, respectivamente, de espécies adsorvidas na superfície do semicondutor.52

 


Figura 6. Mecanismo da fotocatálise heterogênea: 1) excitaçao do e- da BV para a BC; 2) recombinaçao do par e-/h+; 3) transferência do e- da BC para uma molécula aceptora (A) adsorvida na superfície do semicondutor; 4) transferência eletrônica de uma molécula doadora (D) para o h+ da BV

 

A fotodegradaçao de compostos orgânicos pode ocorrer por via direta e/ou indireta.53 Após a geraçao do par e-/h+, moléculas do poluente adsorvidas na superfície do fotocatalisador podem reagir diretamente com o h+, gerando radicais orgânicos que podem sofrer reaçoes de degradaçao subsequentes. Na oxidaçao indireta, radicais livres sao formados a partir da transferência eletrônica de grupos superficiais adsorvidos, tais como moléculas de água (H2O) e grupos hidroxilas (-OH). Esses radicais, com destaque para os radicais hidroxila (OH), possuem baixa seletividade e alto poder oxidante, podendo assim reagir facilmente com o poluente. Em ambos os casos, reaçoes em cadeia sao iniciadas, podendo resultar na completa oxidaçao do poluente a CO2, H2O e minerais ou na degradaçao parcial com a formaçao de subprodutos.54

Nas reaçoes em fase aquosa, as reaçoes de formaçao dos radicais OH sao consideradas as mais relevantes.54 A capacidade do semicondutor de gerar radicais OH é governada, entre outros fatores, pelo potencial de reduçao de sua BV. Caso este seja mais positivo que o potencial necessário para a ocorrência da reaçao (OHads/OHads = 1,6 V vs EPH), os radicais poderao ser formados.55

O tempo de vida das cargas fotogeradas é um fator essencial para a eficiência fotocatalítica e deve ser suficiente para que as reaçoes redox responsáveis pela geraçao dos radicais ocorram. Nesse sentido, a presença de moléculas "sequestrantes" passíveis de reduçao pelos e- excitados é fundamental para evitar a recombinaçao do par e-/h+. O principal agente receptor de e-em meio aquoso é o oxigênio (O2). No entanto, para que a reaçao ocorra (O2/O2 = -0,33 V vs EPH) é necessário que o potencial da BC do semicondutor seja negativo o suficiente para tal.55 Estratégias como a dopagem metálica,56 utilizaçao de reagentes de sacrifício,57 controle nanocristalino58 e a formaçao de heteroestruturas59 também têm sido utilizadas com o objetivo de prevenir a recombinaçao.

A Figura 7 mostra as posiçoes das bandas em relaçao ao vácuo e ao eletrodo padrao de hidrogênio (EPH), bem como o band gap de alguns semicondutores.53

 


Figura 7.Posiçoes das bandas e band gap de alguns semicondutores

 

O TiO2 na fase cristalina anatase é um dos semicondutores com características de bandas adequadas tanto para geraçao de radicais OH· quanto para reduçao do O2. Por esse e outros motivos, tal como sua fotoestabilidade, o TiO2 tem apresentado os melhores resultados.60 No entanto, em razao de seu band gap elevado (3,2 eV), sua fotoativaçao ocorre somente sob irradiaçao UV. Assim, como apenas uma pequena parte do espectro solar é constituído por radiaçao UV,61 a atividade fotocatalítica do TiO2, assim como a de outros semicondutores com band gap elevado (ex.: ZnO, SnO2, SrTiO3, Nb2O4), é pequena sob irradiaçao solar.

Nesse contexto, as heteroestruturas vêm sendo estudadas com o objetivo de aumentar a eficiência do processo fotocatalítico pela diminuiçao da recombinaçao das cargas fotogeradas, entre outras propriedades melhoradas em relaçao aos seus componentes puros, e proporcionar a ativaçao de semicondutores na faixa do visível.62-64 O desenvolvimento de heteroestruturas de semicondutores, especialmente com atividade sob irradiaçao visível, é um dos principais temas estudados na área de fotocatálise atualmente. Vários estudos já demonstraram a melhoria da atividade fotocatalítica dos materiais heteroestruturados em relaçao às fases puras na degradaçao de corantes,65-68 pesticidas69,70 e fármacos71,72 sob luz visível.

Por exemplo, Wang e colaboradores62 reportaram a síntese de Ag3VO4 depositado em nanofolhas de BiOCl pelo método hidrotérmico. Os resultados obtidos mostraram que a heteroestrutura de BiOClAg3VO4 apresentou área superficial e atividade fotocatalítica maiores que os materiais puros sob irradiaçao visível. Lin e colaboradores73 reportaram a montagem da nanoheteroestruturas de InVO4/BiVO4 com atividade fotocatalítica sob irradiaçao visível, sendo observada também uma maior separaçao das cargas e-/h+.

Recentemente, Lu e colaboradores74 apresentaram a síntese de heteroestruturas do tipo p-n de Bi2O3/Bi2SiO5 por um método de calcinaçao simultânea dos precursores à 600 °C/4 h. Essas heteroestruturas apresentaram ampliaçao da banda de absorçao de radiaçao para regiao do visível e elevada atividade fotocatalítica na degradaçao de poluentes orgânicos sob irradiaçao solar simulada. O aumento da fotoatividade foi atribuído principalmente ao aumento da área superficial e a ampliaçao da banda de absorçao. Liu e colaboradores75 também sintetizaram a heteroestrutura de Bi2SiO5/BiPO4 via rota hidrotérmica. Os resultados revelaram que o desempenho fotocatalítico superior das heteroestruturas de Bi2SiO5/BiPO4 foi devido principalmente ao aumento da separaçao das cargas pela presença da heterojunçao, aumento da cristalinidade, ampliaçao da absorçao de radiaçao, entre outros.

O nitreto de carbono grafítico (g-C3N4) é um semicondutor orgânico que vem se destacando em aplicaçoes fotocatalíticas principalmente por ser ativado sob luz visível, pois apresenta valor de Eg de aproximadamente 2,7 eV (λ = 460 nm).76,77 Similar ao g-C3N4, outros semicondutores também absorvem no visível, tais como o WO3 e o BiVO4 , mas o nível da BC do g-C3N4 é significativamente mais negativo do que esses e vários outros semicondutores utilizados em fotocatálise. Essa característica faz com que os e-fotogerados na BC do g-C3N4 tenham alto potencial para reduzir vários tipos de moléculas, favorecendo diversas aplicaçoes, incluindo a decomposiçao fotocatalítica da água, a reduçao de CO2 e a degradaçao de poluentes emergentes.77 Outra vantagem do g-C3N4 está relacionada aos seus principais precursores de síntese, a melamina e ureia, que sao materiais acessíveis e de baixo custo. Devido a essas características, o g-C3N4 é frequentemente utilizado como um dos componentes de diversas heteroestruturas para aumentar a eficiência dos materiais sob irradiaçao visível.78 Kumar e colaboradores78 reportaram a síntese de g-C3N4/SrTiO3 pelo método dos precursores poliméricos e policondensaçao térmica da melamina. Os resultados demonstraram que as heteroestruturas apresentaram atividade fotocatalítica frente a degradaçao da rodamina B sob irradiaçao visível.

Zhang e colaboradores79 reportaram a fabricaçao de materiais de g-C3N4/óxido de grafeno com elevada capacidade adsorvente e fotocatalítica. O g-C3N4 foi dispersado uniformemente sobre o óxido de grafeno, proporcionando grande absorçao da luz incidente, excelente interaçao com a molécula poluente e melhor separaçao das cargas fotogeradas e-/h+. Wang e colaboradores80 apresentaram a obtençao de compósitos de g-C3N4/Nb2O5 com fotoatividade aumentada sob luz visível. Na mesma linha, Xu e colaboradores81 apresentaram a síntese de fotocatalisadores heteroestruturados de CdS@C3N4 do tipo core-shell com elevada atividade e Wang e colaboradores82 também estudaram a síntese de heteroestruturas de g-C3N4/BiVO4 com atividade fotocatalítica aumentada em relaçao aos componentes puros sob irradiaçao visível.

É importante destacar que, apesar dos avanços na obtençao de bons fotocatalisadores, especialmente quando se usa semicondutores heteroestruturados, a aplicaçao da fotocatálise heterogênea em sistemas reais de tratamento de efluentes ainda é limitada. Além da escolha de um fotocatalisador adequado, existem vários outros fatores a serem considerados para o projeto de um sistema reacional. Entre as variáveis de processo que influenciam na eficiência da fotocatálise estao o pH, a temperatura, a dispersao da radiaçao, a concentraçao do O2 e do catalisador, além da concentraçao inicial do poluente.83 É preciso definir também a forma como o fotocatalisador será utilizado, se em suspensao aquosa ou imobilizado em um substrato rígido. A primeira permite maiores taxas de degradaçao, porém demanda uma etapa adicional de separaçao, como filtraçao ou centrifugaçao, aumentando a complexidade e os custos do processo.84

Remoçao de metais pesados

Alguns íons de metais pesados podem ser encontrados em águas residuais, tais como os íons dos elementos cromo (Cr), mercúrio (Hg), chumbo (Pb), cádmio (Cd), e arsênio (As).85,86 A alta toxicidade e os impactos ambientais causados por esses metais pesados têm motivado o desenvolvimento de processos tecnológicos para a remoçao desses poluentes de efluentes aquosos de diferentes matrizes.

O Cr (VI), por exemplo, é amplamente utilizado nos diversos processos industriais, como galvanoplastia e curtimento de couro, que sao conhecidos por gerarem grandes quantidades de efluentes. No entanto, essa espécie é altamente tóxica e possui efeitos mutagênico e carcinogênico em organismos vivos.87 O Cr (VI) é tipicamente encontrado como espécie aniônica Cr2O72-ou CrO42-, que sao estáveis em soluçao aquosa e nao precipitam com o aumento do pH.88 Nesse caso, os efluentes contendo Cr (VI) podem ser submetidos a um processo de reduçao para obter Cr (III) para ser posteriormente precipitado.89 Além disso, o cromo trivalente (Cr (III)) tem baixa toxicidade e é um nutriente essencial para o corpo humano em pequenas quantidades.90

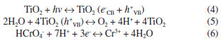
Nesse sentido, a fotorreduçao de Cr (VI) utilizando semicondutores é uma alternativa mais econômica e sustentável com relaçao aos processos convencionais de tratamento de cromo que usam, por exemplo, agentes redutores em meios ácido, pois nao gera resíduos secundários e poderia utilizar radiaçao solar como fonte de energia.91 O processo de fotorreduçao de Cr (VI) pode ser resumido pelas seguintes equaçoes quando o TiO2 é aplicado no processo, no qual as cargas fotogeradas atuam oxidando a água e reduzindo o ânion HCrO4 -.92,93

Diferentes heteroestruturas têm sido estudadas com o objetivo de aumentar o desempenho desse processo. Por exemplo, no estudo de Nogueira e colaboradores94 foi verificado que a deposiçao de CuO sobre a estrutura pré-formada do Nb2O5 conduziu a uma diminuiçao do valor de band gap das heteroestruturas, tornando o processo de fotorreduçao do Cr (VI) a Cr (III) mais eficiente sob irradiaçao visível. Além disso, as heterojunçoes formadas facilitaram a transferência de cargas, reduzindo a recombinaçao dos portadores de carga. A heteroestrutura de Nb2O5/CuO exibiu atividade fotocatalítica aproximadamente 20 vezes maior que a dos semicondutores puros.

Como já mencionado nos processos foto-oxidativos, o g-C3N4 destaca-se para aplicaçao em processos de fotorreduçao, pois exibe a BC com potencial extremamente redutor, i.e. -1,3 V vs EPH, favorecendo a reduçao de diversas espécies a partir dos e-fotogerados na sua BC. No entanto, esse semicondutor apresenta uma recombinaçao rápida dos portadores de carga, o que diminui drasticamente a sua atividade fotocatalítica na reduçao de Cr (VI).95 Além do g-C3N4, outros materiais carbonáceos, tais como nanotubos de car-bono, carvao ativado, grafeno apresentam propriedades eletrônicas interessantes, mas baixa atividade quando utilizados puros por diferentes motivos. Desta forma, a formaçao de heterojunçoes com esses materiais é uma estratégia eficiente para melhorar suas atividades fotocatalíticas pelo aumento da separaçao efetiva dos pares e-/h+ e melhorar a resposta de materiais com elevado Eg na faixa de luz visível.96-98

A presença de arsênio nas águas residuais é também uma grande preocupaçao de saúde pública em todo o mundo. O arsênico é um nutriente essencial em baixas concentraçoes; no entanto, sua ingestao prolongada em níveis elevados pode provocar problemas de saúde, tais como câncer, doenças cardiovasculares e neurológicas. Nesse sentido, o desenvolvimento de tecnologias para a remoçao de arsênio de águas residuais, nas quais a concentraçao de metais excede aos limites determinados pela Organizaçao Mundial de Saúde, é também atualmente uma importante reivindicaçao.99

O arsênio está presente em meio aquoso como As (III) e As (V), sendo o primeiro mais tóxico e mais difícil de ser removido da água pela maioria dos métodos de tratamento.99,100 O As (III) é tipicamente oxidado a As (V) e posteriormente removido por adsorçao, precipitaçao, troca iônica e outras técnicas. Essa reaçao pode ser realizada também pelo uso de processos fotocatalíticos, nos quais os radicais hidroxila formados sao os agentes oxidantes. Nesse sentido, Arabnezhad e colaboradores aplicaram heteroestruturas de TiO2/ZnO sintetizadas com diferentes razoes Ti/Zn à foto-oxidaçao de As (III). As heteroestruturas apresentaram excelente desempenho sob exposiçao à radiaçao visível e ultravioleta devido à presença das heterojunçoes entre os óxidos, sendo que os radicais hidroxila foram as princi

A fotocatálise heterogênea utilizando-se heteroestruturas de semicondutores aplicada à remoçao de metais pesados apresenta como principal vantagem em relaçao a outros processos físíco-químicos (precipitaçao química, adsorçao, filtraçao e eletrodiálise) a possibilidade de oxidar simultaneamente poluentes orgânicos. Essa vantagem é muito importante, pois elimina a necessidade de utilizaçao de um tratamento prévio do efluente para remover os poluentes orgânicos, como ocorre nesses processos convencionais de remoçao de metais, proporcionando um menor custo operacional. Por outro lado, a fotocatálise requer um longo tempo de operaçao para remover os metais pesados, necessitando ainda estudos adicionais para superar esse desafio.85

Inativaçao de microorganismos patogênicos

Os microrganismos patogênicos sao outro tipo de contaminante muito frequente em efluentes líquidos, principalmente em efluentes domésticos. Tradicionalmente, a eliminaçao desses microorganismos é feita através do uso de agentes químicos como o ozônio e o cloro. No entanto, muitos patógenos emergentes apresentam rápida evoluçao e alta capacidade de adaptaçao para resistirem a esse processo.101 Além disso, esse método tende a gerar subprodutos tóxicos.102 Nesse contexto, novas tecnologias para a desinfecçao vêm sendo estudadas, incluindo a fotocatálise heterogênea. Desde que Matsunaga e colaboradores103 reportaram em 1985 a inativaçao bacteriana através da fotocatálise com o TiO2, vários outros trabalhos demostraram a eficácia da fotocatálise heterogênea na inativaçao de bactérias e de outros tipos de microorganismos, como vírus, protozoários e fungos.104 O mecanismo da inativaçao fotocatalítica varia de acordo com as características de cada microorganismo. Porém, é consenso entre os pesquisadores que os radicais gerados após a irradiaçao do semicondutor sao as espécies responsáveis pelo início do processo de morte celular.105 Na inativaçao de bactérias, por exemplo, os radicais hidroxila desempenham um papel fundamental, afetando primeiramente a membrana fosfolipídica da parede celular e induzindo danos celulares através de um rápido vazamento de íons.102

O semicondutor mais estudado na desinfecçao microbiana também é o TiO2.106 Contudo, alguns fatores, tais como sua baixa atividade fotocatalítica sob luz solar, alta taxa de recombinaçao e dificuldade de separaçao e reúso, têm motivado o desenvolvimento de fotocalisadores heteroestruturados. Nesse contexto, heteroestruras à base de TiO2, tais como TiO2/Bi2WO6,107 TiO2/g-C3N4108 e Ag/ TiO2,109vêm ganhando destaque em processos de desinfecçao. Wang e colaboradores,110 por exemplo, desenvolveram um fotocalisador associando o óxido de grafeno (GO) ao TiO2 através de uma mistura ultrassônica. A atividade fotocatalítica do TiO2/GO se mostrou superior frente aos materiais puros na inativaçao da bactéria Escherichia coli sob irradiaçao solar. Além disso, os resultados mostraram também um comportamento acelerado de sedimentaçao para o TiO2/GO, favorecendo sua separaçao do meio reacional.

A associaçao de um semicondutor com propriedades magnéticas como, por exemplo, a magnetita (Fe3O4) ao TiO2 também é uma estratégia interessante para facilitar a separaçao do fotocatalisador no final do processo, resultando em um menor custo operacional em comparaçao a outros métodos de separaçao como a centrifugaçao e filtraçao.111 Nesse sentido, Ma e colaboradores111 reportaram a síntese de Fe3O4/TiO2 com elevada atividade fotocatalítica na inativaçao das bactérias Escherichia coli e Staphylococcus aureus, com a heteroestrutura apresentando resultados superiores em relaçao aos componentes puros. Segundo os autores, a associaçao do Fe3O4 com o TiO2 foi fundamental para a supressao da recombinaçao das cargas e também para a ativaçao do material na faixa do visível. Os experimentos de recuperaçao e reutilizaçao mostraram ainda que a eficiência de desinfecçao do Fe3O4/TiO2 se manteve elevada após cinco ciclos de operaçao.

Heteroestruturas de semicondutores à base de bismuto também têm sido consideradas promissoras para a inativaçao de microorgânismos.112,113 Nesse sentido, Xiang e colaboradores114 sintetizaram heteroestruturas do tipo p-n de BiOI/BiVO4 por um método de coprecipitaçao. Tais heteroestruturas apresentaram estabilidade e atividade fotocatalíticas melhoradas na inativaçao de bactérias da espécie Pseudomonas auruginosa sob irradiaçao visível. Estudos do mecanismo de inativaçao mostraram que os radicais OH e os h+ na BV do BiOI foram as principais espécies reativas.

Diante dos excelentes resultados experimentais, fica evidente que a fotocatálise heterogênea é uma tecnologia promissora também para a desinfecçao da água. Entretanto, é preciso ressaltar que as respostas das bactérias ao tratamento fotocatalítico em amostras reais de água diferem consideravelmente daquelas em amostras de água em testes laboratoriais.114 Acredita-se que tratamentos preliminares podem ser necessários, pois a presença de íons inorgânicos dissolvidos em sólidos suspensos e compostos orgânicos (principalmente substâncias húmicas) tem influência na eficiência do tratamento.107 Assim, para viabilizar essa tecnologia é fundamental a busca constante por melhores fotocalisadores, visando principalmente um melhor aproveitamento da luz solar. Além disso, a melhoria no projeto dos reatores assim como a avaliaçao da longevidade do fotocatalisador sob condiçoes reais de operaçao sao essenciais.104 Outro desafio é a elucidaçao do mecanismo de desinfecçao para certos microorganismos, como fungos e protozoários, que ainda nao está esclarecido.102

Abatimento de poluentes em fase gasosa

Outro grande desafio da área ambiental diz respeito ao desenvolvimento de técnicas eficientes para a remoçao de poluentes gasosos, tais como, os compostos orgânicos voláteis (COVs), os óxidos de nitrogênio (NOx), os óxidos de enxofre (SOx) e os óxidos de carbono (CO e CO2). O abatimento fotocatalítico de tais compostos utilizando um semicondutor como catalisador tem sido proposto como um processo alternativo e promissor devido principalmente ao seu baixo custo operacional e à sua alta eficiência. Assim como no tratamento de águas poluídas via fotocatálise heterogênea, os sistemas heteroestruturados vêm sendo desenvolvidos para a aplicaçao como fotocatalisadores em sistemas sólido - gás devido ao significativo aumento na eficiência catalítica - quando comparados aos componentes isolados - e por ampliar a faixa de absorçao do espectro eletromagnético. A seguir serao apresentados alguns trabalhos que mostram os avanços científicos alcançados até o momento e os principais desafios que ainda precisam ser solucionados nessa área.

Foto-oxidaçao de compostos orgânicos voláteis (COVs)

Os compostos orgânicos voláteis (COVs) sao um grupo de compostos contendo carbono que evaporam prontamente à temperatura ambiente e à pressao atmosférica. O tricloroetano, o tricloroetileno, o formaldeido e os hidrocarbonetos BTEX (benzeno, tolueno, etilbenzeno, xilenos) sao exemplos de COVs que podem causar graves danos ao meio ambiente e a saúde humana. Esses poluentes sao tipicamente originários de complexos petroquímicos, usinas de energia, emissoes veiculares, entre outros. Os COVs têm efeitos severos a longo prazo nos seres humanos, sendo considerados carcinogênicos, mutagênicos ou teratogênicos.115 Em termos ambientais, alguns COVs podem contribuir para a formaçao do smog fotoquímico e ozônio (O3) troposférico, assim como a depleçao do ozônio estratosférico e o aumento do efeito estufa.116

A oxidaçao térmica, a adsorçao utilizando materiais porosos com elevada área superficial, tais como carvao ativado e zeólita, e a biofiltraçao sao tecnologias comumente empregadas no tratamento de efluentes gasosos contendo COVs. Entretanto, há várias desvantagens na utilizaçao desses processos convencionais, tais como: (i) o elevado custo energético na oxidaçao térmica devido ao uso de temperaturas que variam entre 200 e 1200 °C dependendo do tipo de COV; (ii) a característica nao destrutiva do processo de adsorçao, produzindo assim um resíduo secundário sólido; e (iii) a baixa eficiência da biofiltraçao na degradaçao de altas concentraçoes de COVs.116 Nesse contexto, a oxidaçao fotocatalítica surge como uma tecnologia alternativa eficiente e de baixo custo para o tratamento dos COVs, sendo atualmente um importante foco de pesquisa. A oxidaçao dos COVs via fotocatálise heterogênea segue basicamente os mesmos mecanismos de reaçao da oxidaçao de compostos orgânicos em meio aquoso. Isso significa que podem ocorrer pela interaçao direta da molécula poluente com os sítios ativos na superfície do fotocatalisador, onde ocorrem as transferências eletrônicas que induzem processos de oxidaçao e reduçao (reaçao direta), ou pela formaçao de espécies reativas, tais como os radicais OH e O2, pela reaçao entre água adsorvida, hidroxilas superficiais ou oxigênio molecular e os pares e-/h+ fotogerados (reaçao indireta). Diversos semicondutores, tais como, TiO2, ZnO, e Nb2O5, quando utilizados de forma isolada, apresentam elevada fotoatividade na oxidaçao de um grande número de COVs.115,117,118 Entretanto, o desenvolvimento de fotocatalisadores heteroestruturados tem possibilitado alcançar melhores performances com relaçao ao processo de mineralizaçao da molécula poluente a CO2, H2O e ácidos inorgânicos, e em termos cinéticos, em funçao da reduçao da recombinaçao das cargas fotogeradas (e-/h+). Além disso, viabilizam o uso da luz solar como fonte de energia pela utilizaçao de, pelo menos, um semiconductor com energia de band gap na faixa do visível, tornando o processo mais sustentável. Nesse sentido, diferentes configuraçoes baseadas na junçao de dois ou mais semicondutores têm sido propostas para obter fotocatalisadores cada vez mais eficientes na oxidaçao de diferentes tipos de COVs.

Xin e colaboradores,119 por exemplo, desenvolveram um fotocatalisador com múltiplas junçoes com o objetivo principal de aumentar o desempenho fotocatalítico do TiO2 sob luz solar pela combinaçao com os semicondutores CuS (Eg = 2,2 eV) e CdS (Eg = 2,4 eV) frente a degradaçao de tolueno gasoso. Os resultados revelaram que, devido à melhor separaçao de cargas e ampliaçao da banda de absorçao, a heteroestrutura CuS-CdS/TiO2 foi significativamente mais fotoativa que o TiO2 puro e também mais fotoativa que as heteroestruturas binárias CuS/TiO2 e CdS/TiO2, em ensaios ativados por luz solar artificial. Além disso, os autores também compararam a atividade das heteroestruturas CdS/TiO2 e CuS-CdS/TiO2 após 4 ciclos de reaçao e observaram uma maior estabilidade fotocatalítica para o sistema ternário, característica fundamental para aplicaçao em larga escala. Entretanto, os autores salientam que apesar de obterem aproximadamente 88% de conversao de tolueno após 100 min de iluminaçao, apenas aproximadamente 32% correspondem à mineralizaçao da molécula alvo a CO2 e H2O, sugerindo que intermediários orgânicos indesejáveis podem ter sido gerados.

Em um trabalho semelhante, Ji e colaboradores120 desenvolveram outra heteroestrutura com arquitetura ternária com multiplas junçoes, sendo constituida por titanato de estrôncio, SrTiO3 (STO), suportado em nanotubos de TiO2 (TN) e sensibilizado por g-C3N4 (CN). Eles estudaram inicialmente a atividade fotocatalítica da heteroestrutura STO/TN sob irradiaçao UV na oxidaçao de tolueno gasoso, sendo mais eficiente que TN, STO e P25 comercial e atingindo completa mineralizaçao em 4,5 h. Sob irradiaçao visível, a heteroestrutura ternária CN-STO/TN apresentou uma eficiência fotocatalítica substancialmente maior que os seus componentes puros (TN, STO e CN) na mineralizaçao de tolueno (~ 93% em 6 h) e o P25 comercial. Segundo os autores, essa arquitetura com multiplas junçoes promove um efeito sinérgico na geraçao das cargas fotoinduzidas, tanto sob iluminaçao UV quanto visível, e também no seu transporte e separaçao.

Outros trabalhos desenvolveram de maneira semelhante heteroestruturas binárias e ternárias com desempenhos fotocatalíticos superiores aos seus componentes puros frente à oxidaçao de COVs, como Sun e colaboradores com V2O5/BiVO4/TiO2 na oxidaçao de tolueno,121 Katsumata e colaboradores122 com g-C3N4/WO3 na oxidaçao de acetaldeido, Zou e colaboradores123 com BiPO4/BiOBr na oxidaçao de o-diclorobenzeno.

Por fim, o desenvolvimento de novos fotocatalisadores pela combinaçao de diferentes semicondutores possibilita melhorar o processo fotocatalítico de mineralizaçao de COVs pela diminuiçao das taxas de recombinaçao dos pares e-/h+, assim como pela ativaçao sob irradiaçao visível e diminuiçao da fotocorrosao. Entretanto, é importante ressaltar que o estudo e o controle dos parâmetros operacionais, tais como, umidade, temperatura, concentraçao de oxigênio, concentraçao e tempo de residência do poluente, presença de interferentes, tipo e intensidade da radiaçao, além do tipo de reator, sao fundamentais para o estabelecimento de um sistema fotocatalítico de controle de emissao de COVs eficiente.124

Abatimento fotocatalítico de NOx

O termo NOx está associado principalmente ao óxido nítrico (NO), dióxido de nitrogênio (NO2) e óxido nitroso (N2O), que sao produzidos naturalmente através de muitas fontes associadas ao ciclo do nitrogênio, ou por atividades humanas, tais como agricultura, queima de combustíveis fósseis, incineraçao de resíduos domésticos e industriais e alguns processos industriais. O abatimento dos óxidos de nitrogênio (NOx) é um assunto de grande importância, visto que esses compostos contribuem para a poluiçao atmosférica e para a baixa qualidade do ar. Especificamente, as emissoes dos óxidos de nitrogênio contribuem fortemente para o surgimento de graves fenômenos da poluiçao ambiental, tais como, a chuva ácida, o smog fotoquímico, a formaçao de ozônio (O3) troposférico, assim como a depleçao de sua camada na estratosfera.125,126

Processos catalíticos clássicos permitem o abatimento dos óxidos de nitrogênio pela reduçao a nitrogênio molecular na presença ou nao de agentes redutores, tais como hidrogênio molecular (H2), monóxido de carbono (CO), amônia (NH3), entre outros. Entretanto, o sucesso desses processos está ainda associado a um elevado custo energético, uma vez que se faz necessário o uso de temperaturas elevadas para que as reaçoes ocorram com conversoes satisfatórias.127 Diante desse problema, diversos grupos de pesquisa têm proposto o abatimento fotocatalítico de tais compostos como um processo alternativo e promissor devido principalmente ao seu menor custo operacional, uma vez que se pode utilizar a luz solar como fonte de energia, e à sua alta eficiência. O abatimento fotocatalítico de NOx pode seguir um mecanismo de oxidaçao a ácido nítrico (NOx → HNO2 → NO2 → HNO3) ou de reduçao a nitrogênio molecular (NOx → N2 + O2). De acordo com Bowering e colaboradores,128 o mecanismo de foto-reduçao de NOx pode ser descrito conforme as equaçoes abaixo:

Como ilustrado na equaçao 7, o NOads adsorvido na superfície do TiO2 fotoativado (equaçao (4)) irá receber o e-no seu orbital antiligante o que promove a quebra da ligaçao formando Nads e Oads. Embora a fotorreduçao de NOx a N2 seja uma tecnologia muito interessante e promissora, principalmente quando se utiliza outros poluentes gasosos associados ao processo como agentes redutores, como o CO, hidrocarbonetos (e.g., CH4) ou NH3, a maioria dos estudos sobre abatimento fotocatalítico de NOx utilizando fotocatalisadores heteroestruturados encontrados na literatura refere-se à conversao de NO em NO3-ou HNO3.127,129,130 O mecanismo da foto-oxidaçao de NOx pode ser descrito conforme as equaçoes a seguir.130,131

Ma e colaboradores132 reportaram uma heteroestrutura formada por g-C3N4 e TiO2 comercial (P25) com um desempenho superior aos seus componentes isolados na foto-oxidaçao de NO sob irradiaçao UV e visível. Nesse estudo, foram analisadas diferentes proporçoes mássicas de g-C3N4 e no teor ótimo (~15% de g-C3N4), a conversao de NO foi de 27%, sendo maior que a do P25 puro (17%) e g-C3N4 puro (7%) sob irradiaçao visível. A atividade da heteroestrutura de g-C3N4/TiO2 também foi melhorad, a sob irradiaçao UV. Os autores atribuiram o aumento da atividade fotocatalítica à formaçao de heterojunçoes efetivas entre os semicondutores durante a síntese de g-C3N4 na presença de TiO2 pré-formado. Além disso, os resultados indicaram que o radical O2- foi a principal espécie ativa para oxidaçao de NO a NO3 sob luz visível e UV.

Luévano-Hipólito e colaboradores133 também demonstraram a importância da otimizaçao da relaçao quantitativa entre os componentes de uma determinada heteroestrutura para maximizar a atividade fotocatalítica. Eles investigaram a influência da porcentagem molar de TiO2 (5%, 15%, 50%, 70%, 80%, e 87%) na heteroestrutura WO3/ TiO2 na oxidaçao fotocatalítica do NO sob irradiaçao UV e visível.

Os autores observaram que a eficiência fotocatalítica do WO3/TiO2 melhora com o aumento da quantidade de TiO2 superficial de 5% a 80%, devido a uma melhor separaçao dos pares e-/h+ fotogerados, como resultado da formaçao de junçoes efetivas entre os componentes da heteroestrutura. Outro estudo interessante na aplicaçao de fotocatalisadores heteroestruturados a base de TiO2 para a oxidaçao de NOx foi reportado por Tran e colaboradores,134 no qual mostram que a heteroestrutra SnO2/nanotubos de TiO2 exibe desempenho fotocatalítico superior aos componentes puros e a mistura física entre eles, com eficiência de oxidaçao do NO de aproximadamente 60% sob irradiaçao visível e com efetiva inibiçao da produçao de NO2, produto com elevada toxicidade comumente formado nesse tipo de reaçao. Os autores também justificaram os melhores resultados fotocatalíticos pela menor taxa de recombinaçao dos pares e-/h+ devido à formaçao de heterojunçoes entre os componentes da heteroestrutura, sendo observado também que os radicais O2-e OH desempenharam um papel predominante no processo de oxidaçao do NO.

Diversos grupos de pesquisa têm reportado a construçao de arquiteturas heteroestruturadas com elevada eficiência na foto-oxidaçao de NOx envolvendo outros semicondutores, tais como, Man e colaboradores131 com g-C3N4@Ag/BiVO4, Liu e colaboradores135 com AgVO3-g-C3N4, Wan e colaboradores136 com BiVO4/CaIn2S4, Wan e colaboradores137 com Bi2MoO6/ZnIn2S4, Zhang e colaboradores138 com LaFeO3-SrTiO3.

Por fim, é importante destacar que um dos principais desafios no abatimento de NOx e outros gases poluentes via fotocatalise heterogênea é obter um fotocatalisador estável e ativo sob luz visível. Nesse sentido, o desenvolvimento de materiais heteroestruturados pode ser considerado como uma soluçao para tornar todo o processo mais eficaz e acessível, uma vez que pode possibitar a melhora das caracteristícas físicas, químicas e optoeletrônicas.

Fotorreduçao do CO2 e produçao de H2

O desenvolvimento da reduçao fotocatalítica de CO2, também conhecida como fotossíntese artificial, visa solucionar a crescente demanda por energia e os problemas ambientais associados a queima de combustíveis fósseis.139 Esse processo permite transformar CO2 em combustíveis solares, principalmente hidrocarbonetos C1, C2 e C3.140-143 O acoplamento desse processo à dispositivos eletroquímicos permite também armazenar energia de fontes intermitentes/sazonais em energia química. Porém, vários desafios relacionados à baixa atividade, seletividade e estabilidade, e aos altos valores de band gap dos semicondutores ainda precisam ser superados para tornar esse processo viável do ponto de vista prático. A soluçao desses problemas está diretamente associada à otimizaçao de procedimentos sintéticos e ao desenvolvimento de heteroestruturas, de modo a alcançar propriedades estruturais, eletrônicas, morfológicas e superficiais requeridas para essa aplicaçao.

Os principais produtos da reduçao fotocatalítica de CO2 e os potenciais de reduçao, representados pela E°Reduçao, sao descritos a seguir:142,144

A fotorreduçao de CO2 ocorre em diferentes etapas, que envolvem adsorçao, ativaçao e dissociaçao da ligaçao carbono e oxigênio. A etapa de ativaçao é especialmente desafiadora, pois a molécula de CO2 é altamente estável e inerte.145 A competiçao com outras reaçoes de reduçao, como a evoluçao de H2 do processo de water splitting que apresenta um potencial de reduçao menor, causa um sério desafio para controlar a seletividade do processo, e reduz significativamente a eficiência da fotorreduçao de CO2.146 Uma alternativa possível seria identificar um conjunto de óxidos que, quando combinados, apresentem uma superfície com alta afinidade pelo CO2 e, simultaneamente, apresentem propriedades eletrônicas adequadas (i.e., posiçoes das bandas adequadas e maior tempo de vida dos portadores de carga) para reduzir o CO2 com eficiência e seletividade.

A fotorreduçao do CO2 envolve uma série de etapas reacionais e a troca de uma grande quantidade de e-, o que torna esse processo complexo e mais difícil de ser realizado que a evoluçao de H2.147 Por exemplo, a fotorreduçao de CO2 para CH4 requer 8 e-, enquanto a geraçao H2 requer apenas 2 e-.148 Na primeira etapa, a molécula de CO2 é adsorvida à superfície do fotocatalisador e reage com e-para produzir radicais de dióxido de carbono (CO2-), que reagem ainda com íons H+ para formar radicais CH3 de superfície, produzindo ao fim CH4.149

A fim de resolver as limitaçoes cinéticas e termodinâmicas da fotorreduçao de CO2, os semicondutores devem apresentar uma eficiente separaçao de carga e boa afinidade ao CO2, de modo que a formaçao de H2 seja evitada enquanto as cargas se transferem para CO2. Alguns trabalhos têm demonstrado que materiais com superfície alcalina (e.g., MgO, CaO, SrO e BaO) possuem uma interaçao com o CO2 mais forte do que superfícies ácidas, o que pode auxiliar na etapa de adsorçao e ativaçao do CO2.150,151 No entanto, o MgO apresenta um band gap na faixa de 4,5 a 5,0 eV, o que diminui a eficiência do processo fotocatalítico devido à pequena absorçao da radiaçao. Portanto, uma heteroestrutura formada por MgO, por exemplo, e outro semicondutor com energia de band gap adequada, pode fornecer simultaneamente uma boa interaçao com o CO2 e propriedades eletrônicas que permitam um bom aproveitamento da radiaçao e eficiente separaçao das cargas.

Baseando-se nesse princípio, Li e colaboradores152 produziram filmes de nanotubos de TiO2 1D com camadas finas de MgO. Essa heteroestrutura exibiu uma alta eficiência na fotorreduçao de CO2 a CH4 em comparaçao com o filme de TiO2 puro. Os autores observaram que o MgO desempenha um papel fundamental na metanaçao do CO2, pois possui capacidade de adsorver fortemente o CO2, e forma carbonato de magnésio na superfície, sendo essa a etapa de ativaçao da molécula de CO2.

Xie e colaboradores153 estudaram a atividade de heteroestruturas de Pt-TiO2 na fotorreduçao de CO2. Avaliaram ainda o efeito da adiçao de MgO no catalisador Pt-TiO2 e observaram um aumento da seletividade da formaçao de CH4 e a supressao da formaçao de H2. Esses resultados foram atribuídos ao aumento da quimissorçao de CO2 e à alta densidade eletrônica na superfície de TiO2 promovida pelo MgO e Pt. Outros pesquisadores mostraram resultados semelhantes pela formaçao de heteroestruturas entre um semicondutor (e.g., TiO2, g-C3N4), co-catalisadores (e.g., Ag, Pt) e o MgO.151

Para superar o desafio da adsorçao e ativaçao da molécula de CO2 na superfície do semicondutor, alguns autores têm também preparado semicondutores pela deposiçao de bases (NaOH e KOH) nas suas superfícies. Foi observado que a deposiçao de KOH sobre g-C3N4 resultou no aumento da produçao de CO, CH4 e CH3CHO em 3 vezes. Os autores atribuíram essa melhora à formaçao de um intermediário de carbonato devido à presença do cátion metálico K+.154

Wang e colaboradores155 demonstraram que quando a fotorreduçao de CO2 é realizada com as heteroestruturas CdSe/Pt/TiO2, a velocidade de formaçao do CH4 é de aproximadamente 48 mg g-1 h-1, quantidades traços de H2. Quando a Pt é substituída por Fe, a seletividade da fotorreduçao é direcionada para a geraçao de H2, alcançando valores superiores a 55 mg g-1 h-1, mostrando assim que o tipo de heteroestrutura é fundamental para a efetiva fotorreduçao de CO2.

Os compostos de nanotubos de carbono também atraem um interesse considerável devido às suas propriedades intrínsecas, como notável resistência mecânica, elevada área superficial específica e boa condutividade elétrica. Eles podem assumir comportamento elétrico de semicondutor, semimetais ou metais, dependendo do diâmetro do tubo. Além disso, a presença de e-π na superfície do nanotubo de carbono permite a fixaçao de átomos e moléculas que sao essenciais para a criaçao de junçoes entre duas fases. Assim, os nanotubos de carbono sao bons candidatos para o desenvolvimento de heteroestruturas.156,157 As heteroestruturas de óxidos metálicos/nanotubos de carbono foram recentemente relatadas como catalisadores efetivos para a geraçao de H2 a partir da quebra de água, para a fotorreduçao de CO2 e para a degradaçao de poluentes orgânicos.158-161

Assim como o CO2, o H2 também é considerado um combustível com alto potencial para aplicaçoes energéticas.162 O H2 também é considerado um combustível "verde" visto que o seu produto final de combustao é a água.163,164 No entanto, o uso bem-sucedido do hidrogênio molecular como combustível, considerando tanto cenários ambientais quanto econômicos, requer o desenvolvimento de processos eficazes de geraçao de H2 pela quebra da água (water splitting). Como já mencionado, em 1972, Fujishima e Honda8 mostraram a decomposiçao da água para a produçao de H2 pela utilizaçao da energia da luz em um sistema fotoeletroquímico contendo TiO2 como ânodo (fotoativado).

A fotólise da água requer semicondutores com BC de potencial mais negativo em relaçao ao potencial de reduçao de H+ para H2 (Eº = 0 V vs EPH em pH = 0) e BV com potencial mais positivo do que o necessário para a oxidaçao de H2O em O2 (Eº = 1,23V vs EPH).165 Essa exigência das posiçoes relativas das bandas somada à necessidade de desenvolvimento de fotocatalisadores ativos sob irradiaçao visível e com maior tempo de vida dos portadores de carga impoe diversos desafios à produçao de H2.166,167 Nesse contexto, o desenvolvimento de diferentes tipos de arquiteturas de heteroestruturas de semicondutores com propriedades desejadas tem sido um dos focos científicos principais, especialmente objetivando o melhor aproveitamento da radiaçao solar.

Existe uma grande variedade de heteroestruturas de semicondutores baseados em óxidos (Fe2O3, WO3, BiVO4),168 sulfetos (CdS, CuS) e nitretos e oxinitretos (TaON, g-C3N4)168 capazes de promover a quebra de moléculas de água para a produçao de hidrogênio combustível.169,170

Ma e colaboradores171 desenvolveram uma heteroestrutura entre ZnO e ZnS decorado com nanopartículas de Au (Au NPs) eficiente para aplicaçao como fotocatalisador do processo de water splitting. A proporçao ótima entre as fases na heteroestruturas apresentou uma alta taxa de geraçao de H2 (56,81 μmol h-1 g-1), sendo 345, 374 e 11 vezes mais ativo que as fases ZnO, ZnS e ZnO/ZnS, respectivamente. O aumento da taxa de produçao de H2 pode ser atribuída aos efeitos sinérgicos do canal oco (hollow channel) e das Au NPs depositadas. O canal oco cria um novo caminho de migraçao onde os portadores de carga podem ser transferidos além da superfície externa do fotocatalisador. A deposiçao de Au NPs na interface entre ZnO e ZnS nao apenas facilita a migraçao direcional de portadores de carga por causa da formaçao da barreira de Schottky, mas também funciona como transporte de elétrons para formar um processo de transferência de esquema-Z, promovendo efetivamente a separaçao e migraçao dos transportadores de carga. No entanto, essa heteroestrutura foi ativa apenas sob irradiaçao visível.

Yin e colaboradores172 observaram que a formaçao da heteroestrutura CdS/SrTiO3 deslocou a absorçao de luz da regiao ultravioleta para visível e aumentou o tempo de vida dos portadores de carga. Como resultado, o CdS/SrTiO3 apresentou alto desempenho fotocatalítico com taxa de evoluçao de H2 de 1322 μmol g−1 h−1, aproximadamente 2,8 e 12,2 vezes maiores do que das fases CdS e SrTiO3 puras, respectivamente.

O g-C3N4 devido as suas propriedades físico-químicas é um material com alto potencial de aplicaçao também na área de produçao de H2. Esse semicondutor tem sido utilizado combinado com outros semicondutores para deslocar a regiao de absorçao para o visível e aumentar o tempo de vida dos portadores de carga. A Tabela 1 apresenta a atividade fotocatalítica sob condiçoes experimentais de diversas heteroestruturas a base de g-C3N4.

 

 

CONSIDERAÇOES FINAIS

Os desafios relacionados ao uso de heteroestruturas de semicondutores em processos fotoquímicos sao imensos, assim como as suas potencialidades em diferentes e importantes aplicaçoes. Embora diferentes metodologias de preparo de heteroestruturas tenham sido desenvolvidas e aprimoradas nos últimos anos, o desenvolvimento de produtos tecnológicos com esses materiais para serem aplicados em alguns processos fotoquímicos ainda pode ser considerado incipiente. De certa forma esta limitaçao vem norteando novos trabalhos, que em geral objetivam desenvolver materiais mais eficientes e com o menor custo, tanto no preparo quanto no momento da aplicaçao. Nesse sentido, os semicondutores baseados em óxidos metálicos apresentam grande potencialidade por apresentarem metodologias de preparo simples e precursores de baixo custo. Além desses materiais, alguns semicondutores com baixo valor de energia de band gap estao sendo utilizados na montagem de heteroestruturas por possibilitarem, por exemplo, o uso de luz solar na fotoativaçao de diferentes processos, o que torna tais processos mais interessantes do ponto de vista econômico e ambiental.

 

MATERIAL SUPLEMENTAR

A Figura 1S utilizada neste trabalho está disponível em http://quimicanova.sbq.org.br/, na forma de arquivo PDF, com acesso livre.

 

AGRADECIMENTOS

Os autores agradecem o apoio financeiro do Ministério da Ciência, Tecnologia, Inovaçoes e Comunicaçoes (através do Programa SisNANO - Sistema Nacional de Laboratórios em Nanotecnologia), Conselho Nacional de Desenvolvimento Científico e Tecnológico (CNPq, Processos n°: 454438/2014-1, 407497/2018-8, 300247/2013-3 e 402287/2013-4,), Coordenaçao para o Aperfeiçoamento de Pessoal de Nível Superior (CAPES), da Fundaçao de Amparo à Pesquisa do Estado de Minas Gerais (FAPEMIG, Processo nº: APQ-00889-18, da Fundaçao de Amparo à Pesquisa do Estado de Sao Paulo (FAPESP, Processos nº: 13/13888-0, 15/12304-0, 15/14330-8, 16/09746-3, 18/04558-0 e 18/01258-5) e da Embrapa Rede AgroNano pelo apoio financeiro. Caue Ribeiro também agradece Chinese Academy of Sciences (CAS) President's International Fellowship Initiative (PIFI) pela CAPES - Alexander von Humboldt Foundation (Experienced Researchers Fellowship, Processo CAPES: 20 88881.145566/2017-1).

 

REFERENCIAS

1. Serpone, N.; Borgarello, E.; Gratzel, M.; J. Chem. Soc. Chem. Commun. 1984, 342.

2. Nurdiwijayanto, L.; Wu, J.; Sakai, N.; Ma, R.; Ebina, Y.; Sasaki, T.; ACS Appl. Energy Mater. 2018, 1, 6912.

3. Moniz, S. J. A.; Shevlin, S. A.; Martin, D. J.; Guo, Z.-X.; Tang, J.; Energy Environ. Sci. 2015, 8, 731.

4. Wang, H.; Zhang, L.; Chen, Z.; Hu, J.; Li, S.; Wang, Z.; Liu, J.; Wang, X.; Chem. Soc. Rev. 2014, 43, 5234.

5. Mourao, H. a. J. L.; Avansi Junior, W.; Ribeiro, C.; Mater. Chem. Phys. 2012, 135, 524.

6. Zhang, J.; Xu, Q.; Feng, Z.; Li, M.; Li, C.; Angew. Chem., Int. Ed. Engl. 2008, 47, 1766.

7. Kong, L.; Jiang, Z.; Lai, H. H.; Nicholls, R. J.; Xiao, T.; Jones, M. O.; Edwards, P. P.; J. Catal. 2012, 293, 116.

8. Fujishima, A.; Honda, K.; Nature 1972, 238, 37.

9. Kittel, C.; Introduçao a Física Do Estado Solido, 5° ed.; Guanabara Dois: Rio de Janeiro: 1978, cap. 8.

10. Yang, X.; Wang, D.; ACS Appl. Energy Mater. 2018, 1, 6657.

11. Shriver, D. F.; Atkins, P. W.; Química Inorgânica, 3ª ed., Bookman; Porto Alegre: 2003, cap. 3.

12. Baccaro, A. L. B.; Gutz, I. G. R.; Quim. Nova 2018, 41, 326.

13. Rogers, B.; Pennathur, S.; Adams, J.; Nanotechnology: Understanding Small Systems, 3rd ed., 2014.

14. Dimitrijev, S.; Principles of semiconductor devices, 2nd ed., University, O.: New York, 2012.

15. Willian D. Callister, J.; Rethwisch, D. G.; Ciência e Engenharia dos Materiais - uma Introduçao, 8a ed.; LTC, 2012, cap. 18.

16. Housecroft, C. E.; Sharpe, A. G.; Inorganic Chemistry, 4th ed., Pearson: London, 2012.

17. De Mendonca, V. R.; Lopes, O. F.; Fregonesi, R. P.; Giraldi, T. R.; Ribeiro, C.; Appl. Surf. Sci. 2014, 298, 182.

18. Low, J.; Yu, J.; Jaroniec, M.; Wageh, S.; Al-Ghamdi, A. A.; Adv. Mater. 2017, 29, 1601694.

19. Jang, J. S.; Kim, H. G.; Lee, J. S.; Catal. Today 2012, 185, 270.

20. Chen, H.; Chen, S.; Quan, X.; Zhang, Y.; Environ. Sci. Technol. 2010, 44, 451.

21. Bard, A. J.; J. Photochem. 1979, 10, 59.

22. Tada, H.; Mitsui, T.; Kiyonaga, T.; Akita, T.; Tanaka, K.; Nat. Mater. 2006, 5, 782.

23. Theerthagiri, J.; Chandrasekaran, S.; Salla, S.; Elakkiya, V.; Senthil, R. A.; Nithyadharseni, P.; Maiyalagang, T.; KavinMicheal; A. Ayeshamariam; Valan Arasu, M.; Naif Abdullah Al-Dhabi; Hyun-Seok Kim; J. Solid State Chem. 2018, 267, 35.

24. da Silva, G. T. S. T.; Carvalho, K. T. G.; Lopes, O. F.; Ribeiro, C.; Appl. Catal., B 2017, 216, 70.

25. Xiao, Y.; Peng, Z. Y.; Zhang, S.; Jiang, Y. H.; Jing, X.; Yang, X. Y.; Zhang, J. M.; Ni, L.; J. Mater. Sci. 2019, 54, 9573.

26. Zhou, W.; Yin, Z.; Du, Y.; Huang, X.; Zeng, Z.; Fan, Z.; Liu, H.; Wang, J.; Zhang, H.; Small 2013, 9, 140.

27. Amirav, L.; Alivisatos, A. P.; J. Phys. Chem. Lett. 2010, 1, 1051.

28. Zheng, Y.; Zheng, L.; Zhan, Y; Lin, X.; Zheng, Q.; Wei, K.; Inorg. Chem. 2007, 46, 6980.

29. Alves de Castro, I.; Ariane de Oliveira, J.; Cristina Paris, E.; Regina Giraldi, T.; Ribeiro, C.; Ceram. Int. 2015, 41, 3502.

30. Fu, Q.; Wang, X.; Zhou, J.; Xia, J.; Zeng, Q.; Lv, D.; Zhu, C.; Wang, X.; Shen, Y.; Li, X.; Hua, Y.; Liu, F.; Shen, Z.; Jin, C.; Liu, Z.; Chem. Mater. 2018, 30, 4001.

31. Zhang, L.; Niu, C. G.; Liang, C.; Wen, X. J.; Huang, D. W.; Guo, H.; Zhao, X. F.; Zeng, G. M.; Chem. Eng. J. 2018, 352, 863.

32. Mendoza-Mendoza, E.; Nunez-Briones, A. G.; Garcia-Cerda, L. A.; Peralta-Rodriguez, R. D.; Montes-Luna, A. J.; Ceram. Int. 2018, 44, 6176.

33. Yang, G., Yang, B., Xiao, T., & Yan, Z.; App. Surf. Sci. 2013, 283, 402.

34. Su, R.; Bechstein, R.; So, L.; Vang, R. T.; Sillassen, M.; Esbjornsson, B.; Palmqvist, A.; Besenbacher, F.; J Phys. Chem C. 2011, 115, 24287.

35. Ohno, T.; Sarukawa, K.; Tokieda, K.; Matsumura, M.; J. Catal. 2001, 203, 82.

36. Lopes, O. F.; Carvalho, K. T. G.; Nogueira, A. E.; Avansi, W.; Ribeiro, C.; Appl. Catal., B 2016, 188, 87.

37. Liu, Z.; Wang, G.; Chen, H. S.; Yang, P.; Chem. Commun. 2018, 54, 4720.

38. Cai, L.; Yao, J.; Li, J.; Zhang, Y.; Wei, Y.; J. Alloys Compd. 2019, 783, 300.

39. Siedl, N.; Baumann, S. O.; Elser, M. J.; Diwald, O.; J. Phys. Chem. C. 2012, 116, 22967.

40. Carvalho, K. T. G.; Nogueira, A. E.; Lopes, O. F.; Byzynski, G.; Ribeiro, C.; Ceram. Int. 2016, 43, 3521.

41. Nossol, A. B.; Rosa, S. M.; Nossol, E.; Zarbin, A. J.; Peralta-Zamora, P.; Quim. Nova. 2016, 39, 686.

42. Lopes, O. F.; Carvalho, K. T. G.; Avansi, W.; Ribeiro, C.; J. Phys. Chem. C 2017, 121, 13747.

43. Liu, D.; Wang, J.; Wang, Y.; Zhu, Y.; Catal. Sci. Technol. 2018, 8, 3278.

44. Cao, Y.; Li, Q.; Xing, Y.; Zong, L.; Yang, J.; Appl. Surf. Sci. 2015, 341, 190.

45. Pei, Y.; Li, X.; Chu, H.; Ge, Y.; Dong, P.; Baines, R.; Pei, L.; Ye, M.; Shen, J.; Talanta. 2017, 165, 44.

46. da Silva, G. T. S. T.; Carvalho, K. T. G.; Lopes, O. F.; Ribeiro, C.; Appl. Catal., B 2017, 216, 70.

47. Hao, L. X.; Chen, G.; Yu, Y. G.; Zhou, Y. S.; Han, Z. H.; Liu, Y.; Int. J. Hydrogen Energy 2014, 39, 14479.

48. Khan, I.; Ibrahim, A. A.; Sohail, M.; Qurashi, A.; Ultrason. Sonochem. 2017, 37, 669.

49. Raimundo, C. M.; Tese de doutorado, Universidade Estadual de Campinas, Brasil, 2011.

50. Dewil, R.; Mantzavinos, D.; Poulios, I.; Rodrigo, M. A.; J. Environ. Manage. 2017, 195, 93.

51. Gratzel, M.; Nature 2001, 414, 338.

52. Hoffmann, M. R.; Martin, S. T.; Choi, W.; Bahnemann, D. W.; Chem. Rev. 1995, 95, 69.

53. Lopes, O. F.; De Mendonca, V. R.; Silva, F. B. F.; Paris, E. C.; Ribeiro, C.; Quim. Nova 2015, 38, 106.

54. Mourao, H. A. J. L.; De Mendonca, V. R.; Malagutti, A. R.; Ribeiro, C.; Quim. Nova 2009, 32, 2181.

55. Teoh, W. Y.; Scott, J. A.; Amal, R.; J. Phys. Chem. Lett. 2012, 3, 629.

56. Wang, H.-W.; Lin, H.-C.; Kuo, C.-H.; Cheng, Y.-L.; Yeh, Y.-C.; J. Phys. Chem. Solids 2008, 69, 633.

57. Ni, M.; Leung, M. K. H.; Leung, D. Y. C.; Sumathy, K.; Leung, M. K. H.; Renewable Sustainable Energy Rev. 2007, 11, 401.

58. Zong, X.; Wang, L.; J. Photochem. Photobiol., C 2014, 18, 32.

59. Kim, I. Y.; Jo, Y. K.; Lee, J. M.; Wang, L.; Hwang, S. J.; J. Phys. Chem. Lett. 2014, 5, 4149.

60. Nakata, K.; Fujishima, A.; J. Photochem. Photobiol., C 2012, 13, 169.

61. Wu, W.; Jiang, C.; Roy, V. A. L.. Nanoscale 2014, 7, 38.

62. Wang, P.; Tang, H.; Ao, Y.; Wang, C.; Hou, J.; Qian, J.; Li, Y.; J. Alloys Compd. 2016, 688, 1.

63. Yu, C.; Zhou, W.; Yu, J. C.; Liu, H.; Wei, L.; Chin. J. Catal. 2014, 35, 1609.

64. Chetia, T. R.; Ansari, M. S.; Qureshi, M.; J. Mater. Chem. A 2016, 4, 5528.

65. Huang, H.; Liu, L.; Zhang, Y.; Tian, N.; J. Alloys Compd. 2015, 619, 807.

66. Niraula, M.; Adhikari, S.; Lee, D. Y.; Kim, E. K.; Yoon, S. J.; Dhungel, S. K.; Lee, W.; Shrestha, N. K.; Han, S. H.; Chem. Phys. Lett. 2014, 593, 193.

67. Li, Q.; Zhang, N.; Yang, Y.; Wang, G.; Ng, D. H. L. Langmuir 2014, 30, 8965.

68. Paul, K. K.; Sreekanth, N.; Biroju, R. K.; Narayanan, T. N.; Giri, P. K.; Sol. Energy Mater. Sol. Cells 2018, 185, 364.

69. Prakash Bhoi, Y.; Behera, C.; Majhi, D.; Equeenuddin, S. M.; Mishra, B. G.; New J. Chem. 2018, 42, 281.

70. Kumar, A.; Sharma, G.; Naushad, M.; Kumar, A.; Kalia, S.; Guo, C.;. J. Photochem. Photobiol., A 2017, 337, 118.

71. Tang, L.; Wang, J.-J.; Jia, C.-T.; Lv, G.-X.; Xu, G.; Li, W.-T.; Wang, L.; Zhang, J.-Y.; Wu, M.-H. Appl. Catal., B 2017, 587.

72. Lei, Z.-D.; Wang, J.-J.; Wang, L.; Yang, X.-Y.; Xu, G.; Tang, L.; J. Hazard. Mater. 2016, 312, 298.

73. Lin, X.; Xu, D.; Zheng, J.; Song, M.; Che, G.; Wang, Y.; Yang, Y.; Liu, C.; Zhao, L.; Chang, L.; J. Alloys Compd. 2016, 688, 891.

74. Lu, H.; Hao, Q.; Chen, T.; Zhang, L.; Chen, D.; Ma, C.; Yao, W.; Zhu, Y.; Appl. Catal., B 2018, 237, 59.

75. Liu, D.; Cai, W.; Wang, Y.; Zhu, Y.; Appl. Catal., B 2018, 236, 205.

76. Liao, G.; Chen, S.; Quan, X.; Yu, H.; Zhao, H.; J. Mater. Chem. 2012, 22, 2721.

77. Wen, J.; Xie, J.; Chen, X.; Li, X; Appl. Surf. Sci. 2017, 391, 72.

78. Kumar, S.; Tonda, S.; Baruah, A.; Kumar, B.; Shanker, V.; Dalton Trans. 2014, 43, 16105.

79. Zhang, R.; Ma, M.; Zhang, Q.; Dong, F.; Zhou, Y.; Appl. Catal., B 2018, 235, 17.

80. Wang, M.; Wang, H.; Ren, Y.; Wang, C.; Weng, Z.; Yue, B.; He, H.; Nanomaterials 2018, 8, 427.

81. Xu, Y.; Chen, Y.; Fu, W. F.; Appl. Catal., B 2018, 236, 176.

82. Wang, Y.; Tan, G.; Liu, T.; Su, Y.; Ren, H.; Zhang, X. L.; Xia, A.; Lv, L.; Liu, Y.; Appl. Catal., B 2018, 234, 37.

83. Malato, S.; Maldonado, M. I.; Fernandez-Ibanez, P.; Oller, I.; Polo, I.; Sanchez-Moreno, R.; Mater. Sci. Semicond. Process. 2016, 42, 15.

84. Spasiano, D.; Marotta, R.; Malato, S.; Fernandez-Ibanez, P.; Di Somma, I.; Appl. Catal., B 2015, 170-171, 90.

85. Barakat, M. A.; Arab. J. Chem. 2011, 4, 361.

86. Herrmann, J.-M.; Catal. Today 1999, 53, 115.

87. Pradhan, D.; Sukla, L. B.; Sawyer, M.; Rahman, P. K. S. M.; J. Ind. Eng. Chem. 2017, 55, 1.

88. Nogueira, A. E.; Giroto, A. S.; Neto, A. B. S.; Ribeiro, C.; Colloids Surf., A 2016, 498, 161.

89. Gao, Y.; Liu, R.; Appl. Water Sci. 2017, 7, 3625.

90. Anderson, R. A.; Regul. Toxicol. Pharmacol. 1997, 26, 35.

91. Vinuth, M.; Naik, H. S. B.; sekhar, K. C.; Manjanna, J.; Vinoda, B. M.; Procedia Earth Planet. Sci. 2015, 11, 275.

92. Wang, X.; Pehkonen, S. O.; Ray, A. K.; Ind. Eng. Chem. Res. 2004, 43, 1665.

93. Djellabi, R.; Ghorab, F. M.; Nouacer, S.; Smara, A.; Khireddine, O.; Mater. Lett. 2016, 176, 106.

94. Nogueira, A. E.; Lopes, O. F.; Neto, A. B. S.; Ribeiro, C.; Chem. Eng. J. 2017, 312, 220.

95. Dong, G.; Zhang, L.; J. Phys. Chem. C 2013, 117, 4062.

96. Li, Y.; Liu, Z.; Wu, Y.; Chen, J.; Zhao, J.; Jin, F.; Na, P.; Appl. Catal., B 2018, 224, 508.

97. Woan, K.; Pyrgiotakis, G.; Sigmund, W.; Adv. Mater. 2009, 21, 2233.

98. Tsai, Y. P.; Doong, R. A.; Yang, J. C.; Wu, Y. J.; J. Chem. Technol. Biotechnol. 2011, 86, 949.

99. Guan, X.; Du, J.; Meng, X.; Sun, Y.; Sun, B.; Hu, Q.; J. Hazard. Mater. 2012, 215, 1.

100. Shafiee, M. A. M.; Jafari, A. A.; Int. J. Environ. Sci. Technol. 2017, 16, 463.

101. Byrne, J. A.; Dunlop, P. S. M.; Hamilton, J. W. J.; Fernandez-Ibanez, P.; Polo-Lopez, I.; Sharma, P. K.; Vennard, A. S. M.; Molecules 2015, 20, 5574.

102. Venkata, P.; Reddy, L.; Kavitha, B.; Reddy, A. K.; Kim, K.-H.; Environ. Res. 2017, 154, 296.

103. Matsunaga, T.; Tomoda, R.; Nakajima, T.; Wake, H.; FEMS Microbiol. Lett. 1985, 29, 211.

104. Byrne, J. A.; Fernandez-Ibanez, P. A.; Dunlop, P. S. M.; Alrousan, D. M. A.; Hamilton, J. W. J.; Int. J. Photoenergy 2011, 2011.

105. Cho, M.; Chung, H.; Choi, W.; Yoon, J.; Water Res. 2004, 38, 1069.

106. Robertson, P. K. J.; Robertson, J. M. C.; Bahnemann, D. W.; J. Hazard. Mater. 2011, 211, 161.

107. Jia, Y.; Zhan, S.; Ma, S.; Zhou, Q.; ACS Appl. Mater. Interfaces 2016, 8, 6841.

108. Li, G.; Nie, X.; Chen, J.; Jiang, Q.; An, T.; Wong, P. K.; Zhang, H.; Zhao, H.; Yamashita, H.; Water Res. 2015, 86, 17.

109. Li, Y.; Ding, H.; Mao, K.; Wang, D.; Wang, Q.; Zhang, W.; CLEAN - Soil, Air, Water 2015, 43, 512.

110. Wang, G.; Feng, W.; Zeng, X.; Wang, Z.; Feng, C.; McCarthy, D. T.; Deletic, A.; Zhang, X.; Water Res. 2016, 94, 363.

111. Ma, S.; Zhan, S.; Jia, Y.; Zhou, Q.; ACS Appl. Mater. Interfaces 2015, 7, 21875.

112. Ju, P.; Wang, Y.; Sun, Y.; Zhang, D.; Dalton Trans. 2016, 45, 4588.

113. Gan, H.; Zhang, G.; Huang, H.; J. Hazard. Mater. 2013, 250-251, 131.

114. Xiang, Z.; Wang, Y.; Zhang, D.; Ju, P.; J. Ind. Eng. Chem. 2016, 40, 83.

115. Mo, J.; Zhang, Y.; Xu, Q.; Lamson, J. J.; Zhao, R.; Atmos. Environ. 2009, 43, 2229.

116. Lin, L.; Chai, Y.; Zhao, B.; Wei, W.; He, D.; He, B.; Tang, Q.; Open J. Inorg. Chem. 2013, 3, 14.

117. Bianchi, C. L.; Gatto, S.; Pirola, C.; Naldoni, A.; Di Michele, A.; Cerrato, G.; Crocella, V.; Capucci, V.; Appl. Catal., B 2014, 146, 123.

118. Jafari, A. J.; Kalantari, R. R.; Kermani, M.; Firooz, M. H.; Data Brief 2018, 20, 490.

119. Xin, Y.; Chen, Q.; Zhang, G.; J. Alloys Compd. 2018, 751, 231.

120. Kong, J.; Rui, Z.; Ji, H.; Ind. Eng. Chem. Res. 2017, 56, 9999.

121. Sun, J.; Li, X.; Zhao, Q.; Ke, J.; Zhang, D.; J. Phys. Chem. C 2014, 118, 10113

122. Katsumata, K. I.; Motoyoshi, R.; Matsushita, N.; Okada, K.; J. Hazard. Mater. 2013, 260, 475.

123. Zou, X.; Dong, Y.; Zhang, X.; Cui, Y.; Ou, X.; Qi, X.; Appl. Surf. Sci. 2017, 391, 525.

124. Shayegan, Z.; Lee, C. S.; Haghighat, F; Chem. Eng. J. 2018, 334, 2408.

125. Angelo, J.; Andrade, L.; Madeira, L. M.; Mendes, A.; J. Environ. Manage. 2013, 129, 522.

126. Nikokavoura, A.; Trapalis, C.; Appl. Surf. Sci. 2018, 430, 18.

127. Li, X.; Yan, X.; Zuo, S.; Lu, X.; Luo, S.; Li, Z.; Yao, C.; Ni, C.; Chem. Eng. J. 2017, 320, 211.

128. Bowering, N.; Walker, G. S.; Harrison, P. G.; Appl. Catal., B 2006, 62, 208.

129. Li, X.; Shi, H.; Wang, T.; Zhang, Y.; Lu, X.; Zuo, S.; Li, Z.; Yao, C.; J. Taiwan Inst. Chem. Eng. 2018, 89, 119.

130. Lasek, J.; Yu, Y.; Wu, J. C. S.; J. Photochem. Photobiol., C 2013, 14, 29.

131. Ou, M.; Wan, S.; Zhong, Q.; Zhang, S.; Song, Y.; Guo, L.; Cai, W.; Appl. Catal., B 2018, 221, 97.

132. Ma, J.; Wang, C.; He, H.; Appl. Catal., B 2016, 184, 28.

133. Luevano-Hipolito, E.; Martinez-De La Cruz, A.; Lopez-Cuellar, E.; Yu, Q. L.; Brouwers, H. J. H.; Mater. Chem. Phys. 2014, 148, 208.

134. Huy, T. H.; Bui, D. P.; Kang, F.; Wang, Y. F.; Liu, S. H.; Thi, C. M.; You, S. J.; Chang, G. M.; Pham, V. V.; Chemosphere 2019, 215, 323.

135. Liu, D.; Chen, D.; Li, N.; Xu, Q.; Li, H.; He, J.; Lu, J.; Appl. Catal., B 2019, 243, 576.

136. Wan, S.; Ou, M.; Cai, W.; Zhang, S.; Zhong, Q.; J. Phys. Chem. Solids 2018, 122, 239

137. Wan, S.; Zhong, Q.; Ou, M.; Zhang, S.; J. Mater. Sci. 2017, 52, 11453.

138. Zhang, Q.; Huang, Y.; Peng, S.; Zhang, Y.; Shen, Z.; Cao, J.; Ho, W.; Cheng, S.; Pui, D. Y. H.; Appl. Catal., B 2017, 204, 346.

139. Morris, A. J.; Meyer, G. J.; Fujita, E.; Acc. Chem. Res. 2009, 42, 1983.

140. Lim, C. H.; Holder, A. M.; Hynes, J. T.; Musgrave, C. B.; J. Phys. Chem. Lett. 2015, 6, 5078.

141. Mondal, B.; Song, J.; Neese, F.; Ye, S.; Curr. Opin. Chem. Biol. 2015, 25, 103.

142. Li, K.; Peng, B.; Peng, T.; ACS Catal. 2016, 6, 7485.

143. Mao, Z.; Chen, J.; Yang, Y.; Wang, D.; Bie, L.; Fahlman, B. D.; ACS Appl. Mater. Interfaces 2017, 9, 12427.

144. Habisreutinger, S. N.; Schmidt-Mende, L.; Stolarczyk, J. K.; Angew. Chem., Int. Ed. 2013, 52, 7372.

145. D’Alessandro, D. M.; Smit, B.; Long, J. R.; Angew. Chem., Int. Ed. 2010, 49.

146. Ma, Y.; Wang, X.; Jia, Y.; Chen, X.; Han, H.; Li, C.; Chem. Rev. 2014, 114, 9987.

147. Chang, X.; Wang, T.; Gong, J.; Energy Environ. Sci. 2016, 9, 2177.

148. Han, S.; Chen, Y.; Abanades, S.; Zhang, Z.; J. Energy Chem. 2017, 26, 743.

149. Lingampalli, S. R.; Ayyub, M. M.; Rao, C. N. R.; ACS Omega 2017, 2, 2740.

150. Kwon, S.; Liao, P.; Stair, P. C.; Snurr, R. Q.; Catal. Sci. Technol. 2016, 6, 7885.

151. Li, H.; Wu, X.; Wang, J.; Gao, Y.; Li, L.; Shih, K.; Int. J. Hydrogen Energy 2016, 41, 8479.

152. Li, Q.; Zong, L.; Li, C.; Yang, J.; Appl. Surf. Sci. 2014, 314, 458.

153. Xie, S.; Wang, Y.; Zhang, Q.; Deng, W.; Wang, Y.; ACS Catal. 2014, 4, 3644

154. Sun, Z.; Fischer, J. M. T. A.; Li, Q.; Hu, J.; Tang, Q.; Wang, H.; Wu, Z.; Hankel, M.; Searles, D. J.; Wang, L.; Appl. Catal., B 2017, 216, 146.

155. Wang, C.; Thompson, R. L.; Baltrus, J.; Matranga, C.; J. Phys. Chem. Lett. 2010, 1, 48.

156. Yan, Y.; Miao, J.; Yang, Z.; Xiao, F.-X.; Yang, H. Bin; Liu, B.; Yang, Y.; Chem. Soc. Rev. 2015, 44, 3295.

157. Price, G. J.; Nawaz, M.; Yasin, T.; Bibi, S.; Ultrason. Sonochem. 2016, 40, 123.

158. Lashgari, M.; Soodi, S.; Zeinalkhani, P.; J. CO2 Util. 2017, 18, 89.

159. Sampaio, M. J.; Benyounes, A.; Serp, P.; Faria, J. L.; Silva, C. G.; Appl. Catal., A 2018, 551, 71.

160. Lv, J.; Li, D.; Dai, K.; Liang, C.; Jiang, D.; Lu, L.; Zhu, G.; Mater. Chem. Phys. 2017, 186, 372.

161. Chung, K.-H.; Jeong, S.; Kim, B.-J.; Kim, J.-S.; Park, Y.-K.; Jung, S.-C.; Int. J. Hydrogen Energy 2017, 43, 5873.

162. Zhang, P.; Wang, T.; Gong, J.; Chem. 2018, 4, 223.

163. Tee, S. Y.; Win, K. Y.; Teo, W. S.; Koh, L. D.; Liu, S.; Teng, C. P.; Han, M. Y.; Adv. Sci. 2017, 4, 1600337.

164. Christopher, K., Dimitrios, R.; Energy Environ. Sci. 2012, 5, 6640.

165. Khine, S. S.; Hisatomi, T.; Domen, K.; J.Japan Pet Inst. 2013, 56, 280.

166. Kudo, A.; Catal. Surv. Asia 2003, 7, 31.

167. Maeda, K.; Domen, K.; J. Phys. Chem. Lett. 2010 1, 2655.

168. Afroz, K.; Moniruddin, M.; Bakranov, N.; Kudaibergenov, S.; Nuraje, N.; J. Mater. Chem A. 2018, 6, 21696.

169. Chen, S.; Thind, S. S.; Chen, A.; Electrochem. Commun. 2016, 63, 10.

170. Balogun, M. S.; Huang, Y.; Qiu, W.; Yang, H.; Ji, H.; Tong, Y.; Mater. Today 2017, 20, 425.

171. Ma, D.; Shi, J. W.; Sun, D.; Zou, Y.; Cheng, L.; He, C.; Wang, H.; Niu, C.; Wang, L.; Applied Catal. B, Environ. 2019, 244, 748.

172. Yin, X. L.; Li, L. L.; Li, D. C.; Wei, D. H.; Hu, C. C.; Dou, J. M.; J. Colloid Interface Sci. 2019, 536, 694.

173. Mao, Z.; Chen, J.; Yang, Y.; Wang, D.; Bie, L.; Fahlman, B. D.; ACS Appl. Mater. Interfaces. 2017, 9, 12427.

174. Wang, M.; Ju, P.; Li, J.; Zhao, Y.; Han, X.; Hao, Z.; ACS Sustainable Chem. Eng. 2017, 5, 7878.

175. Ye, R., Fang, H., Zheng, Y. Z., Li, N., Wang, Y., & Tao, X.; ACS Appl. Mater. Interfaces 2016, 8, 13879.

176. Wang, P.; Wu, T.; Wang, C.; Hou, J.; Qian, J.; Ao, Y.; ACS Sustainable Chem. Eng. 2017, 5, 7670.

On-line version ISSN 1678-7064 Printed version ISSN 0100-4042
Qu�mica Nova
Publica��es da Sociedade Brasileira de Qu�mica
Caixa Postal: 26037 05513-970 S�o Paulo - SP
Tel/Fax: +55.11.3032.2299/+55.11.3814.3602
Free access

GN1