JBCS



9:17, sáb out 25

Acesso Aberto/TP



Revisão


Química do lúpulo
Hop chemistry

Renato S. Durello; Lucas M. Silva; Stanislau Bogusz Jr*

Instituto de Química de São Carlos, Universidade de São Paulo, 13566-590 São Carlos - SP, Brasil

Recebido 17/07/2019
Aceito 30/08/2019
Publicado web em 11/09/2019

Endereço para correspondência

*e-mail: stanislau@iqsc.usp.br

RESUMO

Hops in the brewing process are important for the chemical and sensorial quality of beer. Hops give to the beer bitterness (due to the presence of humulones and lupulones), natural antioxidants (due to the presence of polyphenols) and flavor (due to the presence of volatiles and essential oils). In this paper, we present, for the first time in Portuguese, a critical and comprehensive review about the phytochemistry of hops and the relationship between hop chemistry and the brewing process.

Palavras-chave: Humulus Lupulus; bitterness; polyphenols; essential oils; flavor.

INTRODUÇÃO

Humulus Lupulus Linnaeus é o nome científico da espécie pertencente à ordem das Rosales e à família Cannabaceae.1 O gênero Humulus é composto por três espécies, H. lupulus, H. japonicus e H. yunnanensis. Destas, apenas o H. lupulus e o H. japonicus são cultivadas em larga escala com finalidade comercial.2 O H. lupulus é utilizado na fabricação de cervejas e é descrito como uma trepadeira perene, que produz flores (também chamadas de cones) ricas em resinas (que conferem amargor), polifenóis (com propriedades antioxidantes) e óleos essenciais (que conferem aroma).3-5 É importante destacar que são de interesse para a indústria cervejeira apenas as flores não fertilizadas das plantas fêmeas do lúpulo, pois somente nelas são encontradas, em quantidades apreciáveis, as chamadas glândulas de lupulina, que são responsáveis pela secreção de um pó amarelo (chamado de lupulina) que contêm as substâncias químicas de interesse, isto é, as resinas, os polifenóis e os óleos essenciais.6,7 A Figura 1 ilustra um cone de lúpulo seccionado no qual pode ser observada a lupulina.

 


Figura 1. Flor de lúpulo seccionado com destaque para lupulina8

 

Embora existam trabalhos descrevendo o uso do lúpulo na área da saúde (devido as suas propriedades antimicrobianas, anti-inflamatórias, fitoestrogênicas e calmantes), seu uso mais comum é na indústria cervejeira.9-12 O consumo de lúpulo pela indústria cervejeira é tanto que em torno de 97% de sua produção é destinada à fabricação de cerveja. O lúpulo como ingrediente na produção de cerveja confere aroma, amargor e estabilidade coloidal à espuma, além de atuar como antioxidante e antimicrobiano protegendo a cerveja de processos oxidativos e de contaminações microbiológicas.13 A importância do lúpulo para a indústria cervejeira é tanta, que assim como o malte, ele muitas vezes é chamado de "alma da cerveja", pois, variando-se apenas o tipo e/ou a quantidade de lúpulo em uma mesma receita base é possível fabricar cervejas totalmente distintas em termos de amargor e aroma.14,15

A maior parte da produção mundial de lúpulo (75-80%) é atribuída à países como Alemanha (Hallertau) e Estados Unidos (Washington, Oregon e Idaho), uma vez que nestes locais podem ser encontradas as condições ótimas para o cultivo do lúpulo, isto é, solos argilosos ou arenosos profundos e de fácil drenagem (as raízes da planta podem atingir mais de 2 m de profundidade), alta exposição à luz durante o crescimento da planta (necessidade de 15 a 18 h de sol por dia) e clima frio.2 Em função destas exigências de clima e solo para cultivo, acreditava-se que não era possível cultivar lúpulo no Brasil. Entretanto, existem algumas iniciativas para a produção de lúpulo em diferentes cidades das regiões sul, sudeste, norte e nordeste do Brasil, que derrubaram o mito da impossibilidade de se cultivar e produzir lúpulo no país. Por exemplo, no estado de São Paulo, em 2014, foi noticiada a produção de lúpulo na região de Campos do Jordão e, mais recentemente, foi noticiado o cultivo de lúpulo em diversas cidades do Rio Grande do Sul, Santa Catarina, Paraná, São Paulo, Minas Gerais, Bahia e até em Brasília - DF.16 Estas iniciativas de produção de lúpulo no Brasil têm gerado uma grande expectativa para que o país caminhe para a autossuficiência da produção desta importante matéria-prima para a indústria cervejeira. E, embora até o momento, não existam documentos públicos relatando as características químicas e sensoriais do lúpulo produzido no Brasil, diferentes variedades de lúpulo têm sido cultivadas e utilizadas para produção cervejeira por pequenas cervejarias e também por cervejeiros caseiros com grande sucesso. Para se ter uma ideia da demanda de lúpulo no país, é preciso considerar que o setor cervejeiro produz aproximadamente 14 bilhões de litros de cerveja ao ano e, em função disso, o país ocupa o lugar de terceiro maior importador de lúpulo do planeta. Somente em 2015, o Brasil importou cerca de 4 mil toneladas de lúpulo a um custo de mais de R$ 200 milhões de reais.17

Considerando o exposto, o objetivo deste artigo de revisão é apresentar, pela primeira vez em língua portuguesa, uma revisão crítica e abrangente sobre a química do lúpulo, com a finalidade de atender a uma demanda crescente por informações sobre os principais aspectos da fitoquímica do lúpulo e sua contribuição para o processo cervejeiro.

 

COMPOSIÇÃO QUÍMICA DO LÚPULO

A composição química das flores do lúpulo é complexa, e uma das maneiras de investigá-la é agrupar os metabólitos secundários produzidos pela planta em diferentes frações como, por exemplo, resinas totais, polifenóis, óleos essenciais, proteínas, ceras, esteroides, entre outros.1,5,7 Na Tabela 1, podem ser observadas as principais classes dos constituintes majoritários em flores de lúpulo e suas respectivas quantidades médias expressas em 10% de umidade.

 

 

É importante destacar que fatores como a variedade do lúpulo, o local e as técnicas de cultivo, o grau de maturação no momento da colheita, além de fatores pós-colheita como secagem, peletização e armazenamento podem levar a variações na proporção dos constituintes apresentados na Tabela 1.19

Fracionamento das resinas do lúpulo

Foi Hayduck, em 1888, que pela primeira vez obteve as resinas do lúpulo e as denominou de frações α, β e γ. A nomenclatura para cada fração considerava a solubilidade da respectiva fração em diferentes solventes, além de sua capacidade de formar um precipitado na presença de acetato de chumbo.20 Ao longo dos anos, a nomenclatura das frações das resinas do lúpulo mudou bastante e, em 1897, o termo resina-γ tornou-se obsoleto. Desde então, essa fração tem sido chamada apenas de resina dura. Em 1957, foi estabelecida uma proposta conjunta de nomenclatura para as frações das resinas do lúpulo entre a European Brewery Convention (EBC) e a American Society of Brewing Chemists (ASBC). Esta proposta conjunta passou por uma revisão no ano de 1969 e desde então a nomenclatura estabelecida permanece a mesma.1,21,22

Química das resinas totais do lúpulo

Indiscutivelmente, o método mais usado para a extração e o fracionamento das resinas do lúpulo é uma versão modificada do protocolo de Wöllmer.23 Na Figura 2, pode ser observada a nomenclatura e os principais constituintes das frações do lúpulo. A resina total do lúpulo pode ser obtida por extração com éter dietílico e metanol a frio, podendo ser ainda fracionada em resinas macias e resinas duras. As resinas macias são aquelas que apresentam solubilidade em hexano e constituem de 10-25% das resinas totais, enquanto que as resinas duras são aquelas que não se solubilizam em hexano e constituem de 3-5% do peso total do lúpulo.24 As propriedades químicas e físicas das resinas macias e duras diferem bastante umas das outras. Por exemplo, a resina macia geralmente exibe uma tonalidade amarelada e tem aspecto de um fluido denso e viscoso, enquanto as resinas duras se apresentam como um material sólido de cor verde escura.1

 


Figura 2. Nomenclatura e principais constituintes das frações do lúpulo segundo fracionamento obtido pelo protocolo de Wöllmer modificado1

 

Resinas macias

α-ácidos

As resinas macias podem ser divididas em α-ácidos e fração β. É nas resinas macias que se encontram os ácidos amargos do lúpulo, constituídos de uma mistura de α-ácidos e β-ácidos (humulonas e lupulonas, respectivamente), que podem corresponder a 5-21% da massa total do lúpulo em base seca. Os α-ácidos por sua vez, constituem de 1,5-13% da massa total das resinas macias. O teor de α-ácidos no lúpulo é muito dependente da cultivar e, em média, representa de 9-10% da massa do lúpulo em base seca, embora já existam no mercado lúpulos com mais de 20% de α-ácidos.25 Destaca-se a variedade alemã denominada de lúpulo "Polaris", que pode apresentar teores de α-ácidos de 18-23%.26 Em nível laboratorial, os α-ácidos podem ser obtidos facilmente em função de sua capacidade de formar um sal de chumbo insolúvel quando em presença de acetato de chumbo em metanol. A fração dos α-ácidos é composta por uma mistura de cinco humulonas análogas, sendo os seus principais constituintes a humulona (35-70% do total de α-ácidos), a cohumulona (20-55%), a adhumulona (10-15%), a prehumulona (110%) e a poshumulona (1-3%).27,28 A estrutura química dos principais α-ácidos do lúpulo é apresentada na Figura 3.

 


Figura 3. Estruturas químicas dos principais α-ácidos (humulonas) do lúpulo19

A estrutura molecular beta-tricarbonil conjugada das humulonas é responsável pelas suas principais propriedades físico-químicas, como por exemplo, o cromóforo da molécula (com seus máximos de absorção no UV em 320, 277 e 234 nm), suas características de ácido fraco (devido ao efeito estabilizador do sistema conjugado no enolato, com valores de pKa de 4,0 a 5,5), e sua propriedade de quelar metais como Fe2+ e Cu2+ que ajuda a diminuir a formação de espécies reativas de oxigênio na cerveja.29,30 As humulonas apresentam ainda atividade antioxidante de sequestro do radical livre DPPH (2,2-difenil-1-picrilhidrazilo) e de inibição da peroxidação lipídica. Por exemplo, a humulona apresenta valores de IC50, (isto é, quantidade capaz de inibir 50% do radical livre) de 3,2 × 10−5 mol L-1 frente ao DPPH; e IC50 de 7,9 × 10−5 mol L-1 para inibição da peroxidação lipídica), que em conjunto com os compostos fenólicos contribui para a estabilidade química e sensorial das cervejas.27,29

No entanto, a importância primeira das humulonas no processo de fabricação de cerveja está relacionada à sua contribuição para o gosto amargo da bebida, uma vez que o amargor proporcionado pelo lúpulo equilibra a doçura dos açúcares do malte e proporciona um final refrescante, evitando assim que a bebida tenha um gosto excessivamente doce e um caráter sensorial enjoativo.31 Para isso, no processo cervejeiro, os lúpulos de amargor, isto é, lúpulos que apresentam mais de 10% de α-ácidos, são adicionados no início da etapa de fervura do mosto. Durante a fervura, que ocorre por 45 a 60 minutos em média, as humulonas sofrem um processo de isomerização originado os iso-α-ácidos ou iso-humulonas, que são mais amargos e mais solúveis em água que as humulonas.28 A isomerização é uma reação favorecida em temperaturas elevadas (≥100 ºC) e, durante este processo, cada humulona gera seus dois diastereoisômeros na forma cis-iso-humulona e trans-iso-humulona.30 De modo que as cinco humulonas presentes nos lúpulo vão dar origem a um total de dez diastereoisômeros, sendo cinco destes na configuração cis e cinco na configuração trans.Também é importante destacar que a denominação cis/trans dos iso-α-ácidos é sempre relativa ao grupamento OH do carbono 4 e o grupamento isoprenil do carbono 5 do anel de cinco membros. Na cerveja, as cis-iso-humulonas são consideradas como as principais moléculas responsáveis pelo gosto amargo da bebida, sendo mais amargas que as trans-iso-humulonas.32 Este processo de isomerização pode ser observado na Figura 4.

 


Figura 4. Representação da reação de isomerização da humulona em cis/trans-iso-humulonas (mais amargas e mais hidrossolúveis) durante o processo de fervura do mosto em temperatura ≥ 100 °C e por um tempo de 45 a 60 minutos32

 

O amargor de uma cerveja usualmente é expresso em Unidades Internacionais de Amargor (do inglês "International Bitterness Units" ou IBU). Nesta escala, 1 IBU é equivalente a 1 mg de iso-α-ácidos L-1 de cerveja. O que nos leva a pensar na importância de se conhecer a eficiência de conversão de humulonas em iso-humulonas durante a fervura do mosto cervejeiro para se alcançar o amargor necessário para uma dada receita cervejeira. Por exemplo, uma cerveja estilo "american ligth lager" (estilo da maioria das cervejas comerciais no Brasil) geralmente apresentará entre 8 a 12 IBU, o que é muito próximo do limiar de percepção para o gosto amargo das iso-humulonas em cerveja; enquanto que cervejas do estilo "Indian Pale Ale" podem apresentar facilmente mais de 45 IBU.33

O termo 'utilização' é empregado para designar a eficiência da isomerização das humulonas em iso-humulonas. Malowicki & Shellhammer, investigaram a cinética da isomerização de humulonas no nível mais simples possível, isto é, apenas em função do tempo e da temperatura de fervura, empregando uma solução modelo composta apenas de água com pH tamponado e padrões de referência de humulonas.32 Estes autores encontraram que a cinética de isomerização no sistema modelo por eles utilizado é de primeira ordem, com degradação pronunciada das iso-humulonas formadas após duas meias vidas da sua concentração inicial.32 Os autores também determinaram experimentalmente a constante de velocidade da isomerização como sendo k1 = (7,9 × 1011) e(-11858 / T), (onde T= temperatura em graus Kelvin). Enquanto que a constate de velocidade da cinética de degradação das iso-humulonas como sendo k2 = (4,1 × 1012) e(-12994 / T).32 Apesar de ser um estudo muito interessante e de aplicação prática, Malowicki & Shellhammer em um trabalho mais recente afirmam que, embora tenham modelado a cinética de isomerização de humulonas em um sistema modelo, qualquer cervejeiro pode testemunhar que muitos outros fatores afetam significativamente a utilização do lúpulo.34 Por isso, eles repetiram seu estudo avaliando agora o efeito da presença de glicose, maltose, cálcio e de variações no pH do mosto na faixa de 4,8 a 6,0. Eles descobriram que a taxa de produção de iso-humulonas não é afetada pela presença destes novos fatores investigados, embora o pH do meio influencie na solubilidade das iso-humulonas formadas no mosto.34

Outros autores reportam que a utilização do lúpulo é influenciada principalmente pelos seguintes fatores: pH do mosto, taxa de solubilização das iso-humulonas, vigor da fervura, densidade do mosto e tempo de fervura.31,33 Em relação ao pH do mosto, durante a fervura é comum encontrarmos pH entre 5,0 a 5,3; embora exista a possibilidade de variações dependendo principalmente da composição da água cervejeira e do tipo de malte utilizado (variações de pH de 4,9 até 5,6).33 A taxa de solubilização das iso-humulonas nos valores usuais do pH do mosto é de no máximo 30%.31 O vigor da fervura pode ser considerado uma constante que depende do ponto de ebulição da água no local da fervura e do design do equipamento utilizado para fervura do mosto.31 A densidade do mosto é um fator muito importante, uma vez que quanto maior for a densidade, menor é a solubilidade das iso-humulonas. Isso corre porque os açúcares dissolvidos no mosto estabelecem ligações de hidrogênio com a água, de modo que, em altas densidades, a quantidade de água disponível para estabelecer ligações de hidrogênio e solubilizar as iso-humulonas vai ser menor.31,33 Por outro lado, o tempo de fervura é um dos fatores de grande importância para a isomerização das humulonas, pois quanto maior o tempo de fervura, até um dado limite, maior a taxa de isomerização. Desta forma, para se calcular o IBU que será obtido em uma dada receita de cerveja é preciso considerar a sua taxa de utilização (que precisa ser calculada) e a quantidade de α-ácidos adicionada (Equação 1).33

IBU = Taxa de utilização × mg L-1 de humulonas adicionadas (1)

Para se conhecer a Taxa de utilização do lúpulo basta se multiplicar o Fator Bigness (que considera a redução da taxa de utilização devido a densidade do mosto) pelo Fator tempo de fervura (que considera o efeito do tempo de fervura na isomerização) conforme a Equação 2.33

Taxa de utilização = Fator Bigness × Fator de tempo de fervura (2)

O Fator Bigness pode ser calculado com o emprego da Equação 3.33

Fator Bigness = 1,65 × 0,000125(densidade do mosto - 1) (3)

E o Fator tempo de fervura pode ser calculado pela Equação 4.33

Os números 1,65 e 0,00125 utilizados no cálculo do Fator Bigness foram empiricamente estabelecidos para ajustar os dados de densidade em função do fator tempo de fervura. Enquanto que na equação do Fator tempo de fervura, o número -0,04 controla a forma da curva de utilização versus o tempo, e o número 4,15 controla o valor máximo de utilização.33 Para uma maior precisão destes cálculos, esses números podem ser ajustados conforme o design de cada equipamento cervejeiro.31,33

Finalmente, a quantidade de humulonas adicionadas pode ser calculada pela Equação 5.33

O gráfico do efeito da densidade do mosto e do tempo de fervura na isomerização de humulonas em iso-humulonas é representado na Figura 5. Nesta figura é possível observar que para um mesmo tempo de fervura a utilização diminui com o aumento da densidade do mosto.

 


Figura 5. Efeito da densidade do mosto e do tempo de fervura sobre a taxa de utilização de α-ácidos

 

Oxidação e conversão fotoquímica de humulonas

As humulonas são propensas a sofrer degradações durante o armazenamento do lúpulo e uma das principais características de sua oxidação é a contração do anel de seis membros através de processos auto-oxidativos que produzem um diol vicinal, ou no caso da exposição à peróxidos e/ou a luz, que produzem a humulinona, via mecanismo radicalar a frio (Figura 6). 34

 


Figura 6. Reações de oxidação e conversão fotoquímica da humulona em humulinona e diol vicinal35

 

Em 2016, Algazzali e Shellhammer realizaram uma pesquisa com o objetivo de avaliar a intensidade do amargor das humulinonas. Para isso, adicionaram extratos ricos deste composto em cervejas tipo lager não lupuladas, em concentrações de 8 a 40 mg L-1.36 Estas cervejas foram avaliadas por cromatografia líquida de alta eficiência (CLAE) e por um painel sensorial treinado. Estes autores descobriram que as humulinonas possuem um amargor equivalente a 66% do amargor das iso-humulonas, demonstrando que as humulinonas contribuem para o amargor da cerveja muito mais do que até então se imaginava. Em um outro estudo Maye e colaboradores, avaliaram as implicações da presença de humulinonas em lúpulo para o amargor da cerveja durante o procedimento de lupulagem denominado de "dry-hopping".37 Nesta técnica de lupulagem, o lúpulo é adicionado à cerveja diretamente no fermentador ou no tanque de maturação (idealmente em concentrações de 4 and 8 g L-1), com o propósito de aumentar o aroma de lúpulo da cerveja sem, contudo, aumentar o amargor da bebida, uma vez que, por ser um processo a frio, não haveria formação e iso-humulonas.38 No entanto, estes autores encontraram teores de até 24 mg L-1 de humulinonas em cervejas submetidas ao "dry-hopping", revelando que é possível agregar amargor às cervejas submetidas a este procedimento de lupulagem.38 Os mesmos autores recomendam ainda que os cervejeiros realizem a análise de determinação do índice de armazenamento de lúpulos que serão utilizados no "dry-hopping", de modo a evitar o uso de lúpulos velhos e oxidados neste procedimento de lupulagem.38

Além disso, a conversão quantitativa de humulonas em trans-iso-humulonas pode ser realizada via fotoisomerização seletiva, sendo este o procedimento geralmente empregado para produção de padrões de referência para análises químicas como é o caso dos padrões comercializados pela ASBC e EBC. Essa reação pode ser realizada com luz em 365 nm, com rendimento máximo de 92% após 10 min, sem que ocorra a formação de cis-iso-humulonas.39 O mecanismo reacional para fotoisomerização seletiva da humulona pode ser observado na Figura 7.

 


Figura 7. Mecanismo reacional para fotoisomerização seletiva da humulona em trans-iso-humulona39

 

Nesta reação, a humulona é convertida no intermediário lumicetona através de um rearranjo oxa-di-π-metano. Esse intermediário bicíclico sofre um rearranjo regiosseletivo ciclopropanol, com total inversão de configuração do carbono 5 causado pelo ataque no próton enólico formando a trans-iso-humulona.40

Oxidação e degradação fotoquímica de iso-humulonas na cerveja

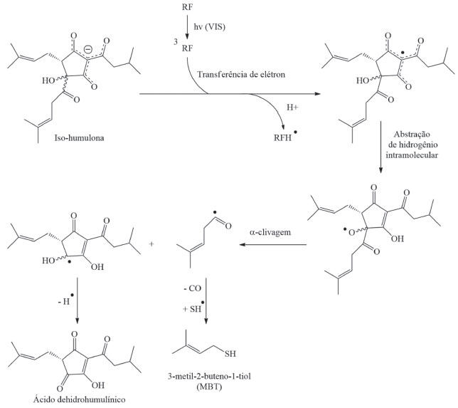
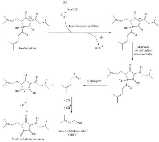
É importante destacar que a exposição da cerveja à luz pode originar compostos de sabor desagradável, motivo pelo qual a maioria das cervejas são comercializadas em garrafas de vidro âmbar. O fenômeno de formação de sabor desagradável na cerveja exposta à luz recebe a denominação de "light-struck" ou "skunk flavor", e está relacionado à fotodegradação das iso-humulonas com a consequente formação do 3-metil-2-buteno-1-tiol (MBT), cujo limiar de percepção é extremamente baixo (em torno de 10 ng L-1).41

O MBT é uma mercaptana prenilada, que apresenta notas de aroma de fumaça sulfurosa, alho e cebola. Quando presente na cerveja provoca o odor desagradável que causa a rejeição da cerveja pelo consumidor. A Figura 8 apresenta as reações de formação do MBT na cerveja, a partir de iso-humulonas por fotodegradação.5 Nessa reação, utilizando-se a iso-humulona como exemplo, temos a ativação da molécula via radiação UV, tipicamente nos comprimentos de onda de 350-500 nm na presença da riboflavina (naturalmente presente na cerveja) como fotossensibilizador. Em seguida, ocorre a α-clivagem das ligações resultando em um par de radicais. A perda do monóxido de carbono pelo radical acila e sua recombinação com um radical tiol presente na cerveja origina o "skunk flavor".41

 


Figura 8. Formação do 3-metil-2-buteno-1-tiol (MBT) a partir de iso-humulonas por fotodegradação.41 RF: Riboflavina; 3RF: Riboflavina no estado excitado (tripleto); VIS: Radiação ultravioleta-visível

 

A importância das iso-humulonas para a estabilidade da espuma da cerveja

Além da contribuição para o amargor as iso-humulonas também contribuem para estabilidade coloidal da espuma da cerveja, sendo que a adição de seus derivados hidrogenados, as tetrahidro-iso-humulonas e as hexahidro-iso-humulonas são capazes de promover um aumento no teor e na persistência da espuma da cerveja. Resumidamente, a quantidade de compostos hidrofóbicos presentes na cerveja é um fator chave para a estabilização da espuma, pois esses compostos tendem a deixar o corpo da bebida, que é majoritariamente constituída por água, etanol e compostos hidrossolúveis, e se concentrarem na interface líquido/ar, fato este que contribui para a estabilidade e persistência da espuma.13 Em função desta propriedade, as iso-humulonas são consideradas excelentes aditivos para a melhoria da estabilidade coloidal da espuma, sendo observado que a iso-humulona fornece uma espuma mais estável do que iso-cohumulona, pois a primeira apresenta menor solubilidade no pH da cerveja, o que resulta na maior tendência em associar-se com outros componentes presentes na espuma, como é o caso das proteínas do malte com menor polaridade.42,43

Assim, cada um dos diferentes homólogos das iso-humulonas atua de maneira ligeiramente diferente, produzindo variações no grau de estabilidade da espuma de acordo com suas atividades de superfície.44 Os principais processos relacionados à formação de espuma e à sua estabilidade são: a formação de bolhas, drenagem de líquido da espuma para cerveja, coalescência de bolhas (junção de bolhas pela ruptura do filme entre elas) e desproporcionamento (passagem do gás de uma bolha pequena para uma bolha adjacente maior). Além das iso-humulonas e das proteínas do malte, também contribuem para a estabilização coloidal da espuma a presença de minerais em quantidades adequadas na água cervejeira. As interações entre iso-humulonas/proteínas/minerais contribuem para formar uma película forte, flexível e coesiva, reduzindo a coalescência e o desproporcionamento.13,45

O crescimento da proporção das interações de proteínas, minerais e iso-humulonas pode levar ao aumento do teor espuma da cerveja, assim como o valor de pH e o teor de etanol da bebida.46 Outro aspecto importante é o uso de iso-humulonas reduzidas, como por exemplo, tetrahidro-iso-humulonas e hexahidro-iso-humulonas que são aditivos potencializadores e estabilizadores de espuma, principalmente nos estilos de cervejas mais leves que apresentam menor teor de proteínas e menor lupulagem. O uso de hexahidro-iso-humulonas e tetrahidro-iso-humulonas deve-se ao fato de que estes são mais hidrofóbicos e, portanto, são estabilizadores mais potentes da espuma se comparados as iso-humulonas e rho-iso-humulonas. Além disso, o uso de iso-humulonas reduzidas também evita a formação do "light-struck", como é o caso das cervejas comercializadas em garrafas claras (transparentes).41 Na Figura 9 podem ser visualizadas as estruturas das iso-humulonas reduzidas empregadas como aditivo para estabilização da espuma de cervejas.

 


Figura 9. Estruturas químicas da hexahidro-iso-humulona, tetrahidro-iso-humulona e rho-iso-humulona39</i>

 

Fração β

A fração β das resinas macias (5-15%) pode ser dividida em β-ácidos e resinas macias não caracterizadas. Os β-ácidos, que são menos ácidos quando comparados aos α-ácidos, podem ser isolados das resinas macias através da precipitação e remoção dos α-ácidos com acetato de chumbo, como explicado anteriormente. Os β-ácidos correspondem a 3-8% da massa total das resinas macias.19 Algumas variedades comerciais de lúpulo podem conter até mais de 10% de β-ácidos em base seca.25 Destaca-se a variedade "Teamaker" que foi desenvolvida pela empresa ARS Forage, Seed and Cereal Research, em Corvallis, Oregon, Estados Unidos, no final dos anos 2000. Esta variedade apresenta os teores de α-ácidos (0,6-1,8%) e β-ácidos (5,4-13,2%) invertidos, sendo uma excelente fonte de β-ácidos do lúpulo.26 A composição da fração dos β-ácidos corresponde a uma mistura de análogos de lupulona (30-55% do total de β-ácidos), colupulona (20-55%), adlupulona (5-10%), prelupulona (1-3%) e poslupulona (de quantidade ainda não estabelecida na literatura).28,47

As lupulonas são estruturalmente muito semelhantes às humulonas, sendo na verdade seus análogos triprenilados. Além disso, as lupulonas são menos ácidas que as humulonas, como pode ser verificado pelos seus valores de pKa que variam de 4,0 a 7,8. A existência de uma cadeia lateral isoprenila extra torna as lupulonas significativamente mais hidrofóbicas que as humulonas, tornando-as praticamente insolúveis em meio aquoso e pouco presentes na cerveja. Em função disso, até pouco tempo atrás, considerava-se que as lupulonas não contribuíam para o amargor da cerveja. No entanto, atualmente, sabe-se que as lupulonas geram uma série de produtos de transformação amargos durante a fervura do mosto, demonstrando assim que, além das humulonas, as lupulonas são também potenciais precursoras de compostos de gosto amargo para cerveja.48 Este processo de transformação das lupulonas será abordado mais adiante nesta revisão (vide Resina dura-δ). A estrutura química dos principais β-ácidos do lúpulo é apresentada na Figura 10.

 


Figura 10. Estruturas químicas dos principais β-ácidos (lupulonas) do lúpulo19

 

As lupulonas são conhecidas principalmente por suas ações antimicrobianas, contribuindo para estabilidade microbiológica da cerveja. Sua ação ocorre quando são incorporadas nas membranas celulares dos microorganismos onde atuam como carreadores ionóforos móveis, que modificam o fluxo de íons na membrana, levando ao acúmulo intracelular de prótons, à dissipação do gradiente de prótons transmembrana, à diminuição na absorção de nutrientes e à consequente morte celular.49 Além da sua ação antimicrobiana, a lupulona também apresenta atividade antioxidante de sequestro do radical livre DPPH (2,2-difenil-1-picrilhidrazilo) e de inibição da peroxidação lipídica (valores de IC50 de 2,5 × 10−5 mol L-1 frente ao DPPH; e IC50 de 3,9 × 10−5 mol L-1 para inibição da peroxidação lipídica), o que contribui também para estabilidade química e sensorial das cervejas.27,29

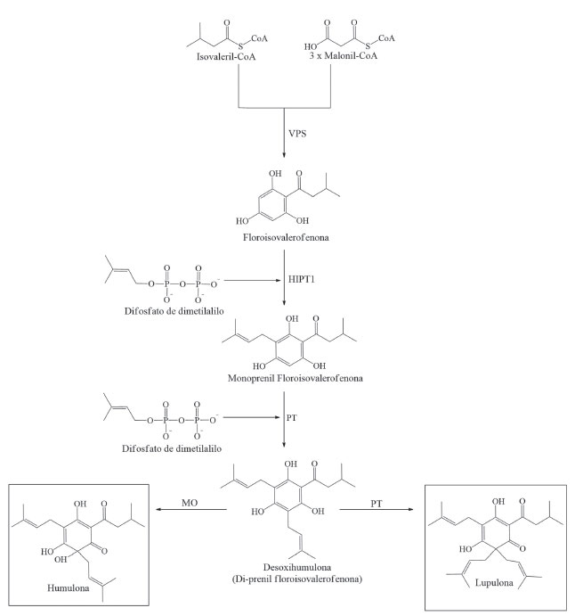
Biossíntese de humulonas e lupulonas

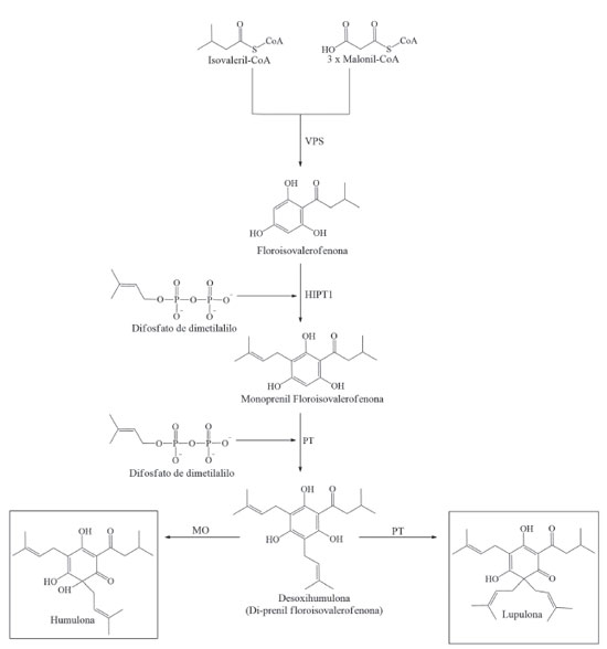
A via biossintética de formação de humulonas e lupulonas ocorre nas glândulas de lupulina e pode ser visualizada na Figura 11.

 


Figura 11. Via biossintética de formação de humulonas e lupulonas em lúpulo.50 VPS: valerofenona sintase; HIPT1: humulus lupulus preniltansferase-1; PT: preniltransferase; MO: monoxigenase

 

É importante destacar que o núcleo aromático das humulonas e lupulonas é um derivado de floroglucinol (que consiste em um anel aromático hidroxilado nas posições C1, C3 e C5) representado pela floroisovalerofenona que tem sua origem na condensação de um isovaleril-CoA e três moléculas de malonil-CoA pela ação da enzima valerofenona sintase (VPS). Após a formação da floroisovalerofenona, esta pode sofrer duas ou três prenilações com pirofosfato de dimetilalilo por ação da enzima humulus lupulus preniltansferase-1 (HIPT1), que vai dar origem a mono-prenil floroisovalerofenona e a di-prenil floroisovalerofenona (deoxihumulona). A humulona é então formada através da oxidação da deoxihumulona, enquanto que a lupulona é formada por reações adicionais de prenilação da deoxihumulona.51

Resinas macias não caracterizadas

As resinas macias não caracterizadas (2-7%) são assim denominadas por serem consideradas uma fração não específica, isto é, nelas podem ser encontrados resíduos de resinas macias que permanecem mesmo depois da precipitação e/ou cristalização das humulonas e lupulonas, além de conter traços de componentes de óleo essencial e de ceras devido a solubilidade de alguns componentes destas frações em éter de petróleo. Os termos resinas macias α e β são utilizados para designar as resinas não caracterizadas que surgiram a partir das humulonas ou das lupulonas, respectivamente.1

Resinas duras

As resinas duras (3-5%) podem ser obtidas como a fração insolúvel em hexano das resinas totais. Por definição, a resina dura é a porção da resina total que é solúvel em metanol e éter dietílico, mas insolúvel tanto em hexano quanto em hidrocarbonetos parafínicos de baixo ponto de ebulição.47 É geralmente aceito que as resinas duras surgem por oxidação das resinas macias, isto é, à medida que o lúpulo envelhece durante o armazenamento, a porcentagem de resina macia cai, enquanto a da resina dura aumenta.52 No entanto, existem pesquisas que mostram que existem resinas duras no lúpulo mesmo no estágio inicial de desenvolvimento.53 Portanto, é necessário diferenciar entre a resina dura nativa do lúpulo e aquela que surge pela auto-oxidação da resina macia durante a secagem e o armazenamento.54 Sendo assim, as informações relativas à caracterização química das resinas duras ainda carecem de muito estudo químico de caracterização, sendo um atrativo campo de estudo.

Resinas duras α e β

No início da década de 1960, Burton e Stevens propuseram a existência de duas frações nas resinas duras e as denominaram de resina dura-α e resina dura-β. A resina dura-α constitui a menor porção das resinas duras e pode ser obtida pela sua capacidade de formar um sal de chumbo insolúvel quando tratada com uma solução de acetato de chumbo. Separações por cromatografia de troca iônica da resina dura-α revelaram a presença de pequenas quantidades de humulonas que não solubilizaram completamente no fracionamento com hexano no momento da obtenção das resinas macias. Entretanto, nem toda a composição da resina dura-α é composta apenas de humulonas.52 Vale a pena destacar que a maior parte da composição das resinas duras ainda permanece desconhecida e aguardando sua caracterização química.

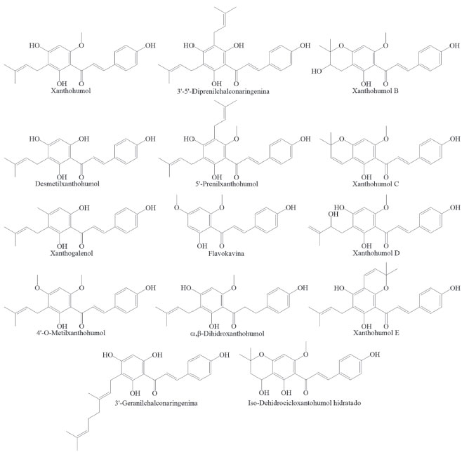
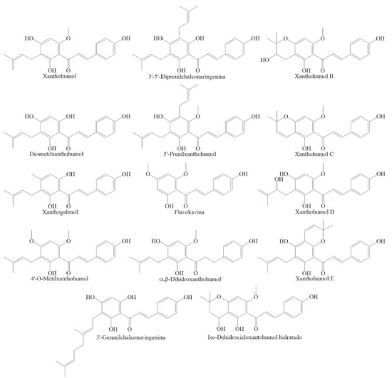
A resina dura-β constitui a maior parte da resina dura total. Diferentemente da resina dura-α, essa fração não forma sais insolúveis na presença de acetato de chumbo.52,54 O prenilflavonóide xanthohumol (0,3-1,5%) é o componente majoritário da resina dura-β.1 Além do xanthohumol podem ainda ser encontradas na composição da resina dura-β outras 13 chalconas relacionadas (Figura 12): desmetilxanthohumol, xantogalenol, 4'-O-metilxanthohumol, 3'-geranilchalconaringenina, 3',5'-diprenilchalconaringenina, 5'-prenilxanthohumol, flavokawina, xanthohumol B, xanthohumol C, xanthohumol D, xanthohumol E, α, β-dihidroxanthohumol e iso-dehidrocicloxantohumol hidratado.54

 


Figura 12. Principais prenilflavonoides presentes na resina dura- β do lúpulo54

 

É importante destacar que o xanthohumol tem sido considerado um promissor agente anticancerígeno enquanto seus derivados 8-prenilnaringenina e isoxanthohumol apresentam potentes ações fitoestrogênicas, de modo que eles foram indicados por alguns pesquisadores em dietas quimiopreventivas.35,54 Vale a pena destacar também que o xanthohumol é encontrado única e exclusivamente no lúpulo, de modo que sua presença na dieta se dá apenas pelo consumo de cerveja, cuja ingestão média é estimada em aproximadamente 0,06 mg 100 mL-1 de cerveja (para cervejas tipo american lager ou pilsen).55 É preciso destacar que a maior parte do xanthohumol do lúpulo é perdido no processo de produção de cerveja através da reação de isomerização térmica das chalconas em flavonas, na qual o xanthohumol é ciclizado em isoxanthohumol conforme pode ser observado na Figura 13.

 


Figura 13. Mecanismo de conversão térmica do xanthohumol em isoxantohumol35

 

Resina dura-δ

Em 1952, Walker et al. encontraram uma porção (0,6-4,0%) da resina dura que é solúvel em água, e que apresenta a característica de ser intensamente amarga, mas de um amargor agradável.56 Eles denominaram esta fração da resina dura como resina dura-δ. Estudos posteriores de Abson et al., (1954), revelaram que a resina dura-δ acumula-se durante o armazenamento do lúpulo (possivelmente por processos oxidativos das humulonas e lupulonas), e que sua quantidade vai depender principalmente da variedade do lúpulo.57 Separações preliminares da resina dura-δ por cromatografia em coluna revelaram a existência de seis subfrações (δI-δVI), sendo que nenhuma é totalmente pura. Em outro estudo, foram obtidas 11 subfrações da resina dura-δ, que puderam ser diferenciadas com base na sua potência de amargor e nas suas propriedades antimicrobianas.1 Destaca-se na composição da resina dura-δ a presença de moléculas com anéis de cinco membros, denominadas de huluponas e ácido hulupínico (Figura 14).

 


Figura 14. Estruturas químicas de huluponas e do ácido hulupínico1

 

As huluponas (0,5-3% da massa do lúpulo seco) são de gosto amargo excepcionalmente agradável, e podem ser definidas como o produto intermediário da oxidação dos β-ácidos durante a fervura do mosto. Elas são constituídas de análogos dos β-ácidos (cohulupona, hulupona e adhulupona). Em uma investigação sobre a formação de huluponas durante a fervura do mosto, verificou-se que uma parte considerável destas é transferida para o mosto na forma de sais enquanto que a maior parte delas é retida no trub após a ebulição do mosto.58,60 Em contraste com as resinas duras, não foram detectadas huluponas em lúpulo fresco.59 Embora as huluponas sejam produtos intermediários da oxidação dos β-ácidos, quando presentes no lúpulo, elas são solúveis em solventes orgânicos e, portanto, componentes da resina macia.60 O ácido hulupínico por sua vez é considerado o produto final hidrossolúvel da degradação dos β-ácidos em processos oxidativos. Ele apresenta a característica de não ser amargo. A solubilidade do ácido hulupínico foi testada em água e foi estabelecida como sendo aproximadamente 1 g L-1 em pH 4,0.52

Resina dura-ε

A resina dura-ε representa até 80% da composição das resinas duras totais. Ela possui uma fração não solúvel em água que apresenta gosto amargo e, assim como a resina-δ, a resina-ε não é homogênea.

Estudos de fracionamento revelaram a existência de mais de uma centena de subfrações na resina-ε. Estas frações foram estudadas quanto às suas propriedades de amargor e atividade antimicrobiana. Verificou-se que as subfrações mais polares não apresentaram atividade antimicrobiana, mas que as frações mais apolares mostravam-se mais amargas e com maior atividade antimicrobiana.1 Em um outro estudo, a resina-ε foi investigada por análise sensorial, UV-vis, CLAE-EM e RMN 1D/2D.61 Foram encontrados na resina-ε resíduos de polifenóis e um total de 11 compostos de gosto amargo inéditos que foram relatados pela primeira vez na literatura: 1",2"-dihidroxanthohumol-F, 4'-hidroxitunicatachalcona, isoxantholupona, 1-metoxi-4-prenilfloroglucinol, dihidrociclohumulonahidroquinona, xanthohumol-M, xanthohumol-N e xanthohumol-P.61 Neste mesmo trabalho, os autores também quantificaram estes compostos em cervejas tipo pilsen revelando a contribuição ativa dos compostos da resina-ε para o amargor da cerveja. De modo que, segundo os autores do trabalho, seria possível fabricar cervejas enriquecidas com flavonoides prenilados pela adição de resina-ε.61

Química dos compostos fenólicos do lúpulo

Os compostos fenólicos do lúpulo constituem em média 4% da massa seca das flores de lúpulo, e apresentam uma vasta classe de compostos com distintas características químicas, como por exemplo, flavonoides, flavan-3-ois, taninos, ácidos fenólicos, flavonoides prenilados, multifidois glicosilados e estilbenos.19,62 Os compostos fenólicos do lúpulo encontram-se principalmente nas pétalas e no eixo central do cone de lúpulo (ou "strig"), com exceção dos prenilflavonoides (xanthohumol, isoxanthohumol e compostos relacionados) que foram discutidos anteriormente nesta revisão, pois estes são encontrados majoritariamente nas glândulas de lupulina.63 Os compostos fenólicos do lúpulo são antioxidantes naturais e, juntamente com os compostos fenólicos do malte, são responsáveis pela atividade antioxidante do mosto e da cerveja, protegendo-os de processos oxidativos, melhorando também a sua estabilidade e sabor.6,62 De modo geral, os compostos fenólicos do lúpulo de baixa massa molar atuam principalmente como antioxidantes, sequestradores de radicais livres, inibidores de lipoxigenases e quelando metais de transição envolvidos em processos oxidativos. Por outro lado, os compostos fenólicos de alta massa molar podem formar complexos com as proteínas da cerveja, promovendo a instabilidade coloidal da bebida com a consequente formação de turbidez e nebulosidade.62 Isso hipoteticamente explicaria a característica de turbidez em cervejas elaboradas com grandes quantidades de lúpulo como é o caso das cervejas tipo New England IPA. No que diz respeito ao sabor, Goiris et al., (2014), procurando compreender a influência dos polifenóis nas propriedades organolépticas da cerveja, fracionaram um extrato fenólico de lúpulo nas seguintes classes: proantocianidinas, flavonóis glicosilados e flavonoides prenilados, e adicionaram estas frações à cerveja que foi posteriormente avaliada por análise sensorial. Estes autores concluíram que, com exceção das proantocianidinas (que conferem adstringência), todas as demais frações fenólicas investigadas foram altamente ativadoras do sabor da cerveja, com efeitos positivos no paladar, e capazes de melhorar a 'sensação de boca' da cerveja.62 Em outro trabalho, McLaughlin et al., (2008), adicionaram extrato fenólico de lúpulo a uma cerveja tipo american lager comercial de baixo teor de amargor para comparar o amargor provocado pelos compostos fenólicos do lúpulo com o amargor provocado pela adição de iso-humulonas pré-isomerizadas.64 Estes autores verificaram que à medida que os níveis de fenólicos aumentavam, o amargor produzido era avaliado sensorialmente como mais "duro" e a cerveja também se mostrava mais adstringente (possivelmente devido a ação de fenólicos com a propriedade de precipitar as proteínas da saliva). Os autores verificaram que cervejas com 200 mg L-1 de compostos fenólicos eram mais amargas do que as cervejas com 10 mg L-1 de iso-humulonas, no entanto, os altos níveis de compostos fenólicos testados tornavam a cerveja de um amargor descrito como "duro, medicinal e metálico".64

Flavonoides

Quimicamente, os flavonoides são a classe mais diversificada e difundida de compostos fenólicos da natureza, com diferentes funções metabólicas nas plantas (absorção de radiação UV, polinização, defesa contra bactérias e fungos, etc.).65 Estruturalmente, eles têm um esqueleto comum que consiste em três unidades carbônicas organizadas em C6-C3-C6. Os flavonoides são sintetizados pela combinação da via dos fenilpropanoides e da via dos policetídeos (Figura 15). Como exemplos mais comuns, podem-se citar a quercetina, encontrada no lúpulo em concentrações de 0,05-0,23%, e o kaempferol, encontrado no lúpulo em concentrações de 0,02-0,24%.1 O ponto de partida para a síntese dos flavonoides é a conversão da fenilalanina em p-cumaroil-CoA pela via do ácido cinâmico. A chalcona sintase (CS) é a primeira enzima envolvida na biossíntese de flavonoides. Esta enzima inicia a formação do esqueleto da chalcona (tetrahidrochalcona), catalisando a adição de três moléculas de malonil-CoA, obtidas através da via dos policetídeos, à uma molécula de p-cumaroil-CoA. É a partir deste esqueleto básico que todos os outros grupos de flavonoides serão construídos.65,66 A tetrahidrochalcona (p.ex.: a chalconaringenina) sofre ação de uma chalcona isomerase (CHI) que dá origem a uma flavanona (p.ex.: a naringenina). Então, a enzima flavanona 3-hidroxilase (F3H) promove uma hidroxilação no carbono C3 da flavanona originando um dihidrofavonol (p.ex.: dihidrokaempferol). Para finalizar a formação de um flavonol (p.ex.: kaempferol), a enzima flavonol sintase (FLS) introduz uma ligação dupla entre os carbonos C2 e C3. Os flavonoides que normalmente podem ser encontrados no lúpulo são as formas glicosiladas de quercetina, kaempferol, morina e miricetina (Figura 16).65 Destes, a quercetina é a que apresenta o maior potencial antioxidante. Outra característica interessante é que as formas glicosiladas de kaempferol são mais abundantes em lúpulos de aroma se comparados a lúpulos de amargor.1

 


Figura 15. Via biossintética de flavonoides do lúpulo.65 PAL: fenilalanina amônia-liase; TAL: tirosina amônia-liase; C4H: cinamato 4-hidroxilase; 4CL: 4-cumarato-CoA ligase; AAC: ácido 1-carboxílico-1-aminociclopropano oxidase; 3OGT: 3-O-glicosil-O-transferase; CS: chalcona sintase; HIPT1: Humulus lupulus preniltransferase-1; OMT: O-metiltransferase; CHI: chalcona isomerase; F3H: flavanona 3-hidroxilase; DFR: dihidroflavonol 4-redutase; FLS: flavonol sintase; FMO: flavonoide 3-monooxigenase; CPR: citocromo P450 redutase; F3'5'H: flavonoide 3'5'-hidroxilase; LAR: leucoantocianidina redutase; ANS: antocianidina sintase; ANR: antocianidina redutase

 

 


Figura 16. Estruturas químicas de alguns dos principais flavonoides do lúpulo65

 

Flavan-3-ois e taninos

Flavan-3-ois podem ter origem em duas vias biossintéticas distintas, de acordo com a sua conformação R ou S no substituinte C3 do anel central. Eles estão entre os últimos compostos sintetizados na via dos flavonoides (Figura 17). Eles podem ser sintetizados a partir da redução de um flavan-3,4-diol (p.ex.: leucoantocianidina) pela ação da enzima dihidroflavonol 4-redutase (DFR), ou então após a redução de uma antocianidina pela ação da antocianidina redutase (ANR).65 Os monômeros de flavan-3-ois mais comumente encontrados no lúpulo em concentrações de 0,03-0,30%, são a catequina e a epicatequina. Estes compostos podem formar oligômeros ou polímeros que são denominados de proantocianidinas (0,20-1,30%) ou taninos condensados (< 2%).1 No lúpulo, os taninos condensados mais comuns são os derivados da catequina e da epicatequina (Figura 17).65

 


Figura 17. Estruturas químicas de alguns flavan-3-ois e taninos do lúpulo65

 

Ácidos fenólicos

Os ácidos fenólicos do lúpulo podem ser encontrados em quantidades pequenas (< 0,01-0,03%).1 Eles são compostos orgânicos que apresentam pelo menos um grupo fenólico e uma carboxila na mesma molécula, podendo apresentar os seguintes esqueletos carbônicos C6-C1 para os derivados do ácido benzoico (ácidos hidroxibenzoicos) ou C6-C3 para os derivados do ácido cinâmico (ácidos hidroxicinâmicos) (Figura 18). Eles podem ser encontrados tanto na forma livre quanto na forma glicosilada. A estrutura básica dos ácidos fenólicos é a mesma, mas a sua diversidade vem da posição e do número de substituintes no anel aromático.65 Os ácidos hidroxicinâmicos derivam da via dos fenilpropanoides por uma primeira transformação da L-fenilalanina em ácido cinâmico, que é então hidroxilado para formar ácido p-cumárico. No lúpulo, os ácidos hidroxicinâmicos mais abundantes são o ácido cafeico, o ácido ferúlico e o ácido sinápico.27 Ácidos hidroxibenzóicos podem ser biossintetizados no início da via do chiquimato a partir do ácido dehidrochiquimico, ou então a partir da transformação do ácido cinâmico em cinamoil-CoA por uma ligase de CoA, na via dos fenilpropanoides. No lúpulo, os ácidos hidroxibenzoicos são representados, entre outros, pelo ácido gálico, ácido siríngico e ácido vanílico.27,67

 


Figura 18. Estruturas químicas de alguns ácidos fenólicos do lúpulo65

 

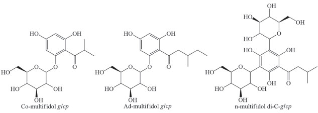
Multifidois glicosilados

Os multifidois glicosilados do lúpulo podem ser encontrados em quantidades que variam de 0,05-0,50%.1 Eles são um grupo de compostos fenólicos representados por três derivados floroglucinois glicosilados com diferentes cadeias laterais: co-multifidol glcp, ad-multifidol glcp e n-multifidol di-C-glcp (Figura 19).

 


Figura 19. Estruturas químicas dos multifidois glicosilados do lúpulo61

 

Estes compostos são conhecidos por serem substâncias polares e solúveis em água, e por apresentarem baixíssimo limiar de percepção de gosto amargo (5, 10 e 37 μmol L-1, respectivamente). Semelhantes as humulonas e lupuonas os multifidois glicosilados são derivados do acilfloroglucinol com diferentes cadeias laterais, no entanto os multifidois glicosilados não são encontrados nas resinas do lúpulo, sendo extraídos para o mosto durante a etapa de fervura, de modo que também contribuem para o amargor da cerveja.61

Estilbenos

A presença de até 2 mg kg-1 de estilbenos como o trans-resveratrol no lúpulo é muito inferior àquela encontrada no vinho, no entanto, a confirmação da sua presença no lúpulo merece destaque, devido aos efeitos cardioprotetivos que o resveratrol é capaz de proporcionar.68 A presença de trans e cis-resveratrol, bem como de suas formas glicosiladas trans-piceid e cis-piceid (Figura 20) foi confirmada em cerveja, com valores máximos de trans-resveratrol de 66,74 μg mL-1.69

 


Figura 20. Estruturas químicas de alguns dos principais estilbenos do lúpulo1

 

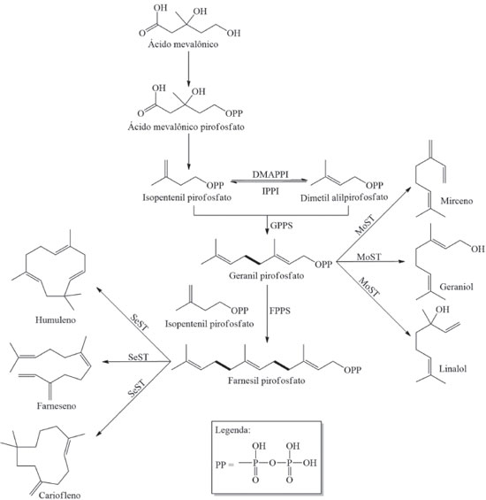
Química dos óleos essenciais do lúpulo

A ISO 9235:2013, define óleo essencial como o produto obtido a partir de uma matéria-prima de origem vegetal, por destilação com água ou vapor d'água, ou ainda por destilação a seco, ou por prensagem mecânica quando se tratar de frutas cítricas.70 Os óleos essenciais do lúpulo são produzidos nas glândulas de lupulina, e representam de 0,50 a 3,0% da massa do lúpulo seco.1,65,71

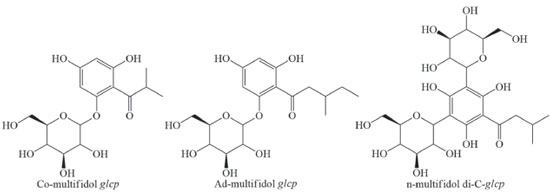
Lúpulos que apresentam baixas quantidades de humulonas e lupulonas (≤5%) e que são capazes de conferir aromas característicos e intensos em função da composição química dos seus óleos essenciais são denominados de lúpulos de aroma.31,72 Estes, diferentemente dos lúpulos de amargor, são geralmente adicionados no final do processo de fervura do mosto ou na etapa de wirpool (lupulagem tardia), ou então durante a maturação da cerveja (dry hopping) para evitar as perdas dos voláteis presentes nos óleos essenciais por ação do calor, concentrando assim os compostos de aroma na cerveja. Os óleos essenciais do lúpulo contribuem para o aroma e o sabor da cerveja conferindo uma enorme gama de notas de aroma para os diferentes tipos de cerveja (notas de amadeirado, cítrico, especiarias, floral, frutado, sulfuroso, picante, herbal, resinoso, terroso e picante).73 Majoritariamente, os óleos essenciais do lúpulo são constituídos de terpenóides que são formados principalmente por meio da via biossintética do acetato-mevalonato (Figura 21).65

 


Figura 21. Resumo da via biossintética de formação de terpenoides do lúpulo.65,74 DMAPPI: dimetil alilpirofosfato isomerase, IPPI: isopentenil pirofosfato isomerase, GPPS: geranil pirofosfato sintase, FPPS: farnesil pirofosfato sintase, MoST: monoterpeno sintase, SeST: sequiterpeno sintase

Por esta via, o ácido mevalônico sofre biotransformações relativas à eliminação do seu grupamento álcool seguido de descarboxilação, o que produz o isopentenil pirofosfato e o prenil pirofosfato (dimetil alilpirofosfato). O acoplamento (ligação cabeça-cauda) dessas duas unidades de 5 carbonos dá origem ao geranil pirofosfato, precursor dos monoterpenóides, que apresentam 10 carbonos. Em seguida, um novo acoplamento do isopentenil pirofosfato com geranil pirofosfato dá origem ao farnesil pirofosfato, que pode gerar os sesquiterpenos que apresentam 15 carbonos.74 Assim, em função do acoplamento cabeça-cauda de blocos construtores de cinco carbonos, os terpenóides sempre apresentarão número de carbonos múltiplos de 5.

Sabe-se que o teor e a composição química dos óleos essenciais do lúpulo, podem ser afetados por fatores, como: variedade do lúpulo, condições de cultivo, ponto de maturação no momento da colheita, condições de secagem, contato com o oxigênio do ar e condições de armazenamento.75 Apesar disso, a literatura relata a existência de mais de 200 compostos químicos diferentes conclusivamente identificados nos óleos essenciais do lúpulo por cromatografia gasosa e espectrometria de massas (CG-EM).1 Para se estudar os compostos químicos presentes nos óleos essenciais do lúpulo, eles são usualmente divididos em: i) hidrocarbonetos (grupo que compreende os hidrocarbonetos alifáticos, monoterpenos e sesquiterpenos), ii) oxigenados (álcoois, aldeídos, ácidos, cetonas, epóxidos e ésteres), e iii) compostos contendo enxofre (organossulfurados diversos).76

Hidrocarbonetos

Os hidrocarbonetos alifáticos são constituídos de misturas de isopreno e pequenas quantidades de alcanos de número variável de carbonos (C5-C17). Os monoterpenos por sua vez são constituídos de misturas de hidrocarbonetos acíclicos (p.ex.: o β-mirceno), monocíclicos (p.ex.: limoneno, p-cimeno, α e β-felandreno) e bicíclicos (p.ex.: α e β-pineno). Dentre os hidrocarbonetos presentes nos óleos essenciais do lúpulo, o β-mirceno (notas de aroma herbáceo e verde fresco, remetendo ao aroma de lúpulo fresco) merece destaque, pois ele costuma ser o composto majoritário encontrado em níveis de até 60% do total do óleo essencial. Já os sesquiterpenos podem ser acíclicos (α e β-farneseno), monocíclicos (germacrenoB, germacrenoD e humuleno), bicíclicos (β-cariofileno, β-selineno e cadineno) e tricíclicos (muuroleno, α-cubebeno, calameleno e β-elemeno). Os sesquiterpenos majoritários são o α-humuleno (notas de amadeirado), β-cariofileno (amadeirado e especiarias) e β-farneseno (amadeirado, cítrico e doce).1,65 Estes três sesquiterpenos, além do β-mirceno, chegam a constituir entre 80 e 90% do teor de muitos óleos essenciais de lúpulo. Uma característica dos hidrocarbonetos dos óleos essenciais é sua baixa solubilidade em água, de modo que a maior parte deles é volatilizada durante a fervura do mosto.77 Na Figura 22 podem ser observadas as estruturas químicas de alguns destes compostos.

 


Figura 22. Estruturas químicas e quantidade (%) para os principais hidrocarbonetos encontrados nos óleos essenciais do lúpulo.63 tr: quantidade em nível traço

 

Stevens e colaboradores, (1961), investigando os efeitos do ácido giberélico no rendimento e na composição química do lúpulo verificaram que os óleos essenciais começam a ser produzidos após o desenvolvimento das resinas e continuam sendo sintetizados até o momento da colheita, comprovando assim o efeito do ponto de maturação na composição química e na qualidade dos óleos essenciais do lúpulo.78

Compostos oxigenados

Embora a fração de composto oxigenados constitua em média apenas 30% do total dos óleos essenciais do lúpulo, a complexidade desta fração é muitas vezes maior que aquela encontrada nos hidrocarbonetos.79 Os compostos oxigenados dos óleos essenciais do lúpulo constituem uma fração complexa de álcoois terpênicos (linalol, geraniol e nerol), álcoois sesquiterpênicos (nerolidol, α-bisabolol e humulol) e álcoois alifáticos (1-octen-3-ol, trans-hexen-1-ol e álcool benzílico); aldeídos (hexanal, geranial e neral); ácidos (ácido-3metil-butanoato e ácido-2-metilpropanóico); cetonas (2-heptanona, carvona, humulenona II e 2-metil-2-butanoato); epóxidos (humuleno epóxido I, humuleno epóxido II, humuleno diepóxido III e óxido de cariofileno), ésteres metílicos saturados (hexanoato, octanoato e decanoato), ésteres metílicos insaturados (4-decenoato, 4,8-decadienoato e 8-dodecanoato), ésteres terpênicos (geranil acetato e geranil isobutirato) e ésteres metil ramificados (propanoatos, butanoatos, formatos, acetatos, hexanoatos e heptanoatos).1 Um estudo revelou a existência de 60 aldeídos e cetonas, 70 ésteres, 50 álcoois, 25 ácidos e 30 compostos heterocíclicos oxigenados nos óleos essenciais de lúpulo.76 Um detalhe importante é sempre diferenciar os compostos oxigenados nativos do óleo essencial, daqueles que podem se originar a partir da oxidação do lúpulo seja ela proposital (em certos processos para aumentar as quantidades de epóxidos de humuleno em lúpulo da variedade Hallertau Mittelfrüh) ou por falhas no processamento e/ou armazenamento.80 Um estudo investigando os efeitos da auto-oxidação do β-mirceno, relataram que mais de 40 compostos oxigenados podem ser formados a partir deste por reações de ciclização, oxidação, desproporcionamento e polimerização.81 As estruturas químicas dos principais terpenos oxigenados presentes nos óleos essenciais do lúpulo podem ser visualizadas na Figura 23.

 


Figura 23. Estruturas químicas e quantidade (%) para alguns compostos oxigenados encontrados nos óleos essenciais do lúpulo.65 tr: quantidade em nível traço

 

Dentre os compostos oxigenados dos óleos essenciais do lúpulo, alguns merecem destaque, como é o caso do linalol (≤ 1,9%), que é um dos álcoois terpênicos mais abundantes do lúpulo. O linalol (de aroma floral-frutado) é um composto quiral, de modo que seus dois estereoisômeros podem ser facilmente encontrados no lúpulo, isto é, o (R) (-) linalol (de aroma mais potente) e (S) (+) linalol (encontrado em menores quantidades). O linalol é um dos poucos componentes do óleo essencial do lúpulo que é considerado como importante para o sabor da cerveja. Isso ocorre porque ele é um composto polar, e em função disso pode se solubilizar no mosto e na cerveja, contribuindo para o aroma floral e frutado da bebida (o seu limiar de percepção na cerveja varia de 10 a 80 μg L-1, dependendo do tipo de cerveja).79,82 Algumas variedades de lúpulo destacam-se por serem consideradas ricas em linalol, tais como: Amarillo (0,50-0,80%), Centennial (0,60-0,90%), Citra (0,60-0,90%), Glacier (0,80-1,10%) e Nugget (0,50-0,80%).

O geraniol é outro composto oxigenado de interesse encontrado nos óleos essenciais do lúpulo. Takoi et al., (2010), realizaram estudos sobre a biotransformação de álcoois monoterpênicos do lúpulo como linalol (de aroma floral-frutado), geraniol (rosa e gerânio), β-citronelol (limão, lima), nerol (doce, cítrico, rosas) e α-terpineol (gorduroso, anis e menta), e sua contribuição para o sabor da cerveja.83 Estes autores descobriram que o geraniol apresenta uma diminuição drástica durante a fase inicial da fermentação da cerveja, uma vez que parte dele é convertida por ação das leveduras em β-citronelol. Estes autores também relataram que existe um sinergismo entre um excesso de linalol e os terpenos geraniol e β-citronelol, o que leva à percepção do aroma cítrico característico em certas variedades de lúpulo como é o caso do lúpulo Citra (0,30-0,50% de geraniol e 0,60-0,90% de linalol).83 Algumas variedades de lúpulo destacam-se por serem consideradas ricas em geraniol: Bravo (0,70-0,90%), Citra (0,30-0,50%), Centenial (1,20-1,80%), Chinook (0,70-1,0%) e Mosaic (0,50-0,90%).

Também merece destaque, pela complexidade de notas de aroma e impacto no sabor da cerveja, os epóxidos de humuleno I (notas de aroma de feno), epóxido de humuleno II (cedro e mofado) e epóxido de humuleno III (cedro), bem como o óxido de cariofileno (doce, frutado, amadeirado e herbal).84 Segundo Shellhammer, (2019), variedades de lúpulo que apresentam grandes quantidades de humuleno como o Hallertau Mittelfrüh (51% de humuleno) são submetidas a processos de envelhecimento em fardos por várias semanas antes da peletização, o que resulta em maiores quantidades de epóxidos de humuleno e outros produtos de oxidação que alguns cervejeiros acreditam que podem aumentar significativamente o potencial de aroma da cerveja.85

Compostos contendo enxofre

A classe dos compostos contendo enxofre representa a menor porcentagem da constituição dos óleos essenciais do lúpulo, entretanto, seus constituintes possuem aromas intensos e com baixos valores de limiar de percepção de odor (≤ 0,1 μg L-1). Em geral, estes compostos conferem aromas que lembram sulfurados, vegetais cozidos, repolho ou cebola, o que acaba prejudicando o sabor da cerveja. Entre esses compostos temos os tióis como a 4-mercapto-4-metilpentan-2-ona (4MMP) (aroma de groselh, a preta e urina de gato) que possui um limiar de percepção de odor de 0,0015 ng L-1.86 Dentre os tioésteres podem ser encontrados o S-metil-2-metil-tiobutanoato (aroma de legumes cozidos e de queijo) e entre os organossulfurados merece destaque o dimetil sulfeto (DMS) (milho cozido) que pode ser gerado devido à degradação térmica do sulfóxido de S-metilcisteína do lúpulo.87,88 Por outro lado, alguns compostos sulfurosos podem ser de aroma agradável como é o caso do tioéster S-metil-2-metil tiobutanoato (aroma de trufa), e o S-metil tiohexanoato que confere notas potentes de aroma herbal e frutado que lembram frutas como o abacaxi.1

 

ANÁLISES PARA O CONTROLE DE QUALIDADE DO LÚPULO

Os métodos oficiais de análise

Sempre que um produtor de lúpulo, ou cervejaria tiver a necessidade de realizar uma análise laboratorial do lúpulo e seus derivados, é importante certificar-se de que o laboratório contratado para realizar a análise segue protocolos oficiais. Os métodos de análise da American Society of Brewing Chemists (ASBC) e European Brewery Convention (EBC) são considerados oficiais e reconhecidos por ambas as entidades. Estes métodos estão descritos em protocolos que são comercializados por estas entidades, e que podem ser facilmente adquiridos pelos laboratórios que irão prestar o serviço de análise de lúpulo.

As análises físico-químicas do lúpulo são especialmente úteis para o mestre cervejeiro calcular a quantidade de lúpulo que será utilizado em uma receita. O que é fundamental para se alcançar as características desejadas para o estilo da bebida que está sendo produzida, bem como para manter o padrão de qualidade do aroma e sabor entre os diferentes lotes de produção. Além disso, as análises servem também para se determinar o ponto de colheita ideal de lúpulos e determinar o preço de mercado em função da quantidade de α- e β-ácidos e do teor de óleos essenciais a cada nova safra (em função da variação dos fatores edafoclimáticos e das práticas agrícolas), além de se avaliar o rendimento da produção de uma determinada área em quilogramas de α-ácidos produzidos por hectare ou em litros de óleo essencial por hectare.

No que diz respeito à análise físico-química e controle de qualidade de lúpulo, a ASBC possui os seguintes métodos de análise: Hops-1: Amostragem; Hops-2: Exame físico; Hops-3: Afídios em lúpulo; Hops-4: Umidade; Hops-5: Resinas; Hops-6: Alfa e beta ácidos em lúpulo e lúpulo peletizado; Hops-7: Alfa e beta ácidos em lúpulo por cromatografia de troca iônica; Hops-8: Extratos em lúpulo não isomerizado; Hops-9: Extratos em lúpulo isomerizado; Hops-10: Ácidos amargos em lúpulo não isomerizado por cromatografia de troca iônica; Hops-11: Gradiente de eluição dos constituintes do lúpulo por cromatografia de troca iônica utilizando Sephadex; Hops-12: Índice de estocagem; Hops-13: Óleos essenciais totais em lúpulo e lúpulo peletizado por destilação a vapor; Hops-14: Alfa e beta ácidos em lúpulo e em extratos de lúpulo por CLAE; Hops-15: Iso-alfa-ácidos em lúpulo peletizado isomerizado por CLAE; Hops-16: Iso-alfa, alfa e beta-ácidos em extratos de lúpulo e extratos de lúpulo isomerizados por CLAE; Hops-17: Óleos essenciais de lúpulo por cromatografia gasosa capilar e detector de ionização em chama; Hops-18: Determinação de tetrahidroiso-α-ácidos em produtos de lúpulo por espectrofotometria.89-106

Análises recomendadas para avaliação da qualidade do lúpulo

Apesar desta grande quantidade de métodos de análise, o mínimo que se espera de um resultado de análise de lúpulo, é o emprego dos métodos oficiais, sem adaptações que possam comprometer a qualidade analítica para, no mínimo, as seguintes determinações: exame físico, umidade, porcentagem de alfa e beta ácidos totais, teores de cohumulona, n-+ ad-humulona, colupulona e n-+ ad-lupulona, porcentagem de óleos essenciais, teores de mirceno, 2-metil-butil isobutirato, cariofileno, farneseno, humuleno e relação humuleno/ cariofileno.90,92,94,101,104,105 Para o leitor interessado nos limites máximos e mínimos de cada uma destes compostos segundo cada variedade de lúpulo, recomendamos consultar a literatura apropriada conforme cada ano de produção no site da Yakima-Chief-Hops-Varieties ou no livro "The Hops List: 265 Beer Hop Varieties From Around the World".25,26

 

CONSIDERAÇÕES FINAIS

Nesta revisão crítica e abrangente apresentamos o estado da arte em fitoquímica do lúpulo. Foram enfatizados aspectos químicos relacionados aos principais metabólitos do lúpulo e sua relação com as propriedades organolépticas da cerveja. Abordamos as principais vias biossintéticas para formação de humulonas, lupulonas, compostos fenólicos e óleos essenciais, bem como as reações químicas de oxidação, redução e fotodegradação dos metabólitos do lúpulo capazes de afetar a qualidade química e sensorial de cervejas. E, finalmente, apontamos os principais métodos para análise química do lúpulo com a finalidade de orientar pesquisadores, produtores de lúpulo e mestres cervejeiros em relação às principais análises para avaliação da qualidade do lúpulo.

 

AGRADECIMENTOS

O presente trabalho foi realizado com apoio financeiro do Conselho Nacional de Desenvolvimento Científico e Tecnológico - CNPq processos n° 131713/2018-3; 165217/2017-0 e da Coordenação de Aperfeiçoamento de Pessoal de Nível Superior - Brasil (CAPES)-Código de Financiamento 001.

 

REFERÊNCIAS

1. Almaguer, C.; Schonberger, C.; Gastl, M.; Arendt E. K.; Becker, T.; J. Inst. Brew. 2014, 120, 289.

2. Neve, R. A.; Hops, 1st ed., Springer: London, 1991.

3. Rettberg, N.; Biendl, M.; Garbe, L.; J. Am. Soc. Brew. Chem. 2018, 76,1.

4. Bamforth, W. C.; Beer: tap into the art and science of brewing, 2nd ed., Oxford University Press: New York, 2003.

5. Baxter, E. D.; Hughes, P. S.; Beer: quality, safety and nutritional aspects, 1st ed., RSC Paperbacks: Cambridge, 2001.

6. Wannenmacher, J.; Gastl, M.; Becker, T.; Compr. Rev. Food Sci. Food Saf. 2018, 17, 953.

7. Ting, P. L.; Ryder, D. S.; J. Am. Soc. Brew. Chem. 2017, 75, 161.

8. https://www.tamayohops.com.br, acessada em agosto 2019.

9. Zawadzki, A.; Alloo, C.; Grossi, A. B.; Do Nascimento, E. S. P.; Almeida, L. C.; Bogusz Junior, S.; Skibsted, L. H.; Cardoso, D. R.; Food Res. Int. 2018, 105, 210.

10. Dimpfel, W.; Suter, A.; Eur. J. Med. Res. 2008, 13, 1.

11. Biendl, M.; Master Brewers Association of the Americas - Technical Quarterly , 2009, disponível em https://www.mbaa.com/publications/tq/tqPastIssues/2009/Abstracts/TQ-46-2-0416-01.htm, acessada em agosto 2019.

12. Koetter, U.; Biendl, M.; HerbalGram 2010, 87, 44.

13. Schonberger, C.; Kostelecky, T.; J. Inst. Brew. 2011, 117, 259.

14. Inui, T.; Tsuchiya, F.; Ishimaru, M.; Oka, K.; Komura, H.; J. Agric. Food Chem. 2013, 61, 4758.

15. Nachel, M.; Ettlinger, S.; Beer for Dummies, 2nd ed., Wiley: New Jersey, 2012.

16. Chagas, E.; Garcia, L.; Revista da Cerveja 2018, 36, 52.

17. http://g1.globo.com/economia/agronegocios/noticia/2016/05/variedadebrasileira-de-lupulo-e-descoberta-na-serra-da-mantiqueira.html, acessada em agosto 2019.

18. Benitez, J. L.; Forster, A.; Keukeleire, D.; Moir, M.; Sharpe, F. R.; Verhagen, L. C.; Wetwood, K. T.; Hops and Hop Products, Verlag Hans Carl: Nurenberg, 1997.

19. Verzele, M.; Keukeleire, D.; Chemistry and Analysis of Hop and Beer Bitter Acids, 1st ed., Elsevier: Amsterdam, 1991.

20. Hayduck, M.; Wochenschrift für Brauerei 1888, 5, 937.

21. The Nomenclature Sub-Committee.; J. Inst. Brew. 1969, 75, 340.

22. ASBC; EBC; J. Inst. Brew. 1957, 63, 286.

23. Anger, H. M.; 2006 Brautechnische Analysenmethoden der Mitteleuropäischen Brautechnischen Analysenkommission, Selbstverlag: Freising.

24. Houghs, J. S.; Briggs, D. E.; Stevens, R.; Young, T. W.; Malting and Brewing Science: Hopped Wort and Beer, 2nd ed., Chapman and Hall: New York, 1982.

25. https://www.yakimachief.com/wp-content/uploads/Yakima-Chief-HopsVarieties.pdf, acessada em agosto 2019.

26. Healey, J.; The Hops List: 265 Beer Hop Varieties from Around the World, 1st ed., Julian Healey, 2016.

27. Karabín, M.; Hudcová, T.; Jelínek, L.; Dostálek, P.; Compr. Rev. Food Sci. Food Saf. 2016, 15, 542.

28. Verzele, M.; J. Inst. Brew. 1986, 92, 32.

29. Tagashira, M.; Watanabe, M.; Uemitsu, N.; Biosci. Biotechnol. Biochem. 1995, 59, 740.

30. Simpson, W. J.; J. Inst. Brew.1993, 99, 317.

31. Palmer, J.; How to brew: everything you need to know to brew great beer every time, 4th ed., Brewers Publications, 2017.

32. Malowicki, M. G.; Shellhammer T. H.; J. Agric. Food Chem. 2005, 53, 4434.

33. Daniels, R.; Designing great beers - The ultimate guide to brewing classic beer styles, Brewers Publications, 2000.

34. Meheus, J., Verzele, M., Alderweireldt, F.; Bull. Soc. Chim. Belg. 1964, 73, 268.

35. Steenackers, B., Cooman, L., Dirk, D. V.; Food Chem. 2015, 172, 742.

36. Algazzali, V.; Shellhammer, T. H.; J. Am. Soc. Brew. Chem. 2016, 74, 36.

37. Maye, J. P.; Smith, R.; Leker, J.; MBAA TechQuarterly 2016, 53, 23.

38. Lafontaine, S. R.; Shellhammer, T. H.; J. Am. Soc. Brew. Chem. 2018, 76, 199.

39. Sharpe, F. R.; Ormrod, I. H. L.; J. Inst. Brew. 1991, 97, 33.

40. Keukeleire, D.; Blondeel, G. M.; Tetrahedron Lett. 1979, 20, 1343.

41. Keukeleire, D.; Quim. Nova 1999, 23, 108.

42. Diffor, D. W.; Likens, S. T.; Rehberger, A. J.; Burkhardt, R. J.; J. Am. Soc. Brew. Chem. 1978, 36, 63.

43. Smith, R. J.; Davidson, D.; Wilson, R. J. H.; J. Am. Soc. Brew. Chem. 1998, 56, 52.

44. Evans, D. E; Sheehan, M. C.; J. Am. Soc. Brew. Chem. 2002, 60, 47.

45. Silva, F.; Ferreira, M. P. L. V. O. I.; Teixeira, N.; Quim. Nova 2006, 29, 1326.

46. Siebert, K.; In Oral presentation at the 73rd Annual Meeting of the American Society of Brewing Chemists - as part of the Brewing Summit, Providence, U. S. A., 2010.

47. Briggs, D. E.; Boulton, C. A.; Brookes, P. A.; Stevens, R.; Brewing Science and practice, 1st ed., CRC Press: New York, 2004.

48.Haseleu, G.; Intelmann, D.; Hofmann, T.; Food Chem. 2009, 116, 71.

49. Sakamoto, K.; Konings, W. N.; Int. J. Food Microbiol. 2003, 89, 105.

50. Jaskula, B., Kafarski, P., Aerts, G., Cooman, L.; J. Agric. Food Chem. 2008, 56, 6408.

51. Tsurumaru, Y.; Sasaki, K.; Miyawaki, T.; Uto, Y.; Momma, T.; Umemoto, N.; Momose, M.; Yazaki, K.; Biochem. Biophys. Res. Commun. 2012, 417, 393.

52. Burton, J. S.; Stevens, R.; J. Inst. Brew. 1965, 71, 51.

53. Schild, E.; Raum, H.; Brauwissenschaft 1956, 9, 150.

54. Stevens, R.; Chem. Rev. 1967, 67, 19.

55. Stevens, J. F.; Page, J. E.; Phytochemistry 2004, 65, 1317.

56. Walker, T. K.; Zakomorny, M.; Blakebrough, N.; J. Inst. Brew. 1952, 58, 439.

57. Abson, J. W.; Saleh, M. S. E.; Walker, T. K.; J. Inst. Brew. 1954, 60, 42.

58. Almaguer, C.; Gastl, M.; Dresel, M.; Hofmann, T.; Becker, T.; Oral presentation at the World Brewing Congress, Portland, Oregon, Abstract 14, 2012.

59. Spetsig, L.O.; Steninger, M.; J. Inst. Brew. 1960, 66, 413.

60. Stevens, R.; Wright, D.; J. Inst. Brew. 1961, 67, 496.

61. Dresel, M.; Dunkel, A.; Hofmann, T.; J. Agric. Food Chem. 2015, 63, 3402.

62. Goiris, K.; Jaskula-Goiris, B.; Syryn, E.; Van Opstaele, F.; De Rouck, G.; Aerts, G.; Cooman, L.; J. Am. Soc. Brew. Chem. 2014, 2, 135.

63. Roberts, T. R.; Wilson, R. J. H.; Hops. In: Handbook of Brewing, 2th ed., Taylor & Francis: Boca Raton, 2006.

64. McLaughlin, I. R.; Lederer, C.; Shellhammer, T. H.; J. Am. Soc. Brew. Chem. 2008, 66, 174.

65. Bocquet L.; Sahpaz, S.; Hilbert, J. L.; Rambaud C.; Riviere, C.; Phytochem. Rev. 2018, 17, 1047.

66. Falcone-Ferreyra, M. L.; Rius, S. P.; Casati, P.; Front Plant Sci. 2012, 3, 222.

67. Magalhães, P. J.; Vieira, J. S.; Gonçalves, L. M.; Pacheco, J. G.; Guido, L. F.; Barros, A.; J. Chromatogr. A 2010, 1217, 3258.

68.Jerkovic, V.; Collin, S.; J. Agric. Food Chem. 2007, 56, 584.

69. Chiva-Blanch, G.; Urpi-Sarda, M.; Rotchés-Ribalta, M.; Zamora-Ros, R.; Llorach, R.; Lamuela-Raventos, R. M.; Estruch, R.; Andrés-Lacueva, C.; J. Chromatogr. A 2011, 1218, 698.

70. Bicchi, C.; Joulain, D.; Flavour Fragrance J. 2018, 33, 133.

71. Eyres, G.; Dufour, J. P.; Hop essential oil: analysis, chemical composition and odor characteristics. In: Beer in health and disease prevention, 1st ed., Academic Press: Cambridge, 2008.

72. Jorge, K.; Trugo, L. C.; J. Braz. Chem. Soc. 2003, 14, 411.

73. Bamforth, W. C.; Beer is Proof God Loves Us, 1st ed., FT Press: Upper Saddle River, 2010.

74. Shell, C. In Handbook of essential oils: science, technology and applications; Baser, K. H. C., Buchbauer, G., eds.; 2nd ed., CRC Press: Boca Raton, 2015.

75. Howard, G. A.; Slater C. A.; J. Inst. Brew. 1957, 63, 491.

76. Sharpe, F. R.; Laws, D. R. J.; J. Inst. Brew. 1981, 87, 96.

77. Praet, T.; Opstaele, F. V.; Steenackers, B.; De Brabanter, J.; De Vos, D.; Aerts, G.; De Cooman, L.; Food Res. Int. 2015, 75, 1.

78. Stevens, R.; Roberts, J. B.; Williams, I. H.; Nature 1961, 191, 360.

79. Jahnsen, V. J.; Nature 1962, 196, 474.

80. Natália, E. C.; Aguiar, I.; Cardoso, D. R. J. Braz. Chem. Soc. 2015, 26, 2362.

81. Dieckmann, R. H.; Palamand, S. R.; J. Agric. Food Chem. 1974, 22, 498.

82. Meilgaard, M. C.; Master Brewers Association of the Americas - Technical Quarterly 1975, 12, 151.

83. Takoi, K.; Itoga, Y.; Koie, K.; Kosugi, T.; Shimase, M.; Katayama, Y.; Nakayama, Y.; Watari, J.; J. Inst. Brew. 2010, 116, 251.

84. Opstaele, F. V.; Praet, T.; Aerts, G.; De Cooman, L.; J. Agric. Food Chem. 2013, 61, 10555.

85. https://beerandbrewing.com/dictionary/Rfckwe4MaC/, acessada em agosto 2019.

86. Kishimoto, T.; Wanikawa, A.; Kono, K.; Shibata, K.; J. Agric. Food Chem. 2006, 54, 8855.

87. Lermusieau, G.; Collin, S.; J. Am. Soc. Brew. Chem. 2003, 61, 109.

88. Gijs, L.; Piraprez, G.; Perpète, P.; Spinnler, E.; Collin, S.; Food Chem. 2000, 69, 319.

89. American Society of Brewing Chemists, Hops 1. Sampling, 2010, doi: 10.1094/ASBCMOA-Hops-1.

90. American Society of Brewing Chemists, Hops 2. Physical Examination, 2010, doi: 10.1094/ASBCMOA-Hops-2.

91. American Society of Brewing Chemists, Hops 3. Aphids in Hops, 2010, doi: 10.1094/ASBCMOA-Hops-3.

92. American Society of Brewing Chemists, Hops 4. Moisture, 2010, doi: 10.1094/ASBCMOA-Hops-4.

93. American Society of Brewing Chemists, Hops 5. Resins, 2010, doi: 10.1094/ASBCMOA-Hops-5.

94. American Society of Brewing Chemists, Hops 6. α-and β-Acids in Hops and Hop Pellets, 2010, doi: 10.1094/ASBCMOA-Hops-6.

95. American Society of Brewing Chemists, Hops 7. α-Acids in Hops and Hop Pellets by Ion-Exchange Chromatography, 1976.

96. American Society of Brewing Chemists, Hops 8. Non-Isomerized Hop Extracts, 2010, doi: 10.1094/ASBCMOA-Hops-8.

97. American Society of Brewing Chemists, Hops 9. Isomerized Hop Extracts, 2010, doi: 10.1094/ASBCMOA-Hops-9.

98. American Society of Brewing Chemists, Hops 10. Hop Bitter Acids in Non-Isomerized Extracts by Stepwise Ion-Exchange Chromatography, 1977.

99. American Society of Brewing Chemists, Hops 11. Gradient Elution of Hop Constituents Using Sephadex Ion-Exchange Chromatography, 1978.

100. American Society of Brewing Chemists, Hops 12. Hop Storage Index, 2010. doi: 10.1094/ASBCMOA-Hops-12.

101. American Society of Brewing Chemists, Hops 13. Total Essential Oils in Hops and Hop Pellets by Steam Distillation, 2010, doi: 10.1094/ ASBCMOA-Hops-13.

102. American Society of Brewing Chemists, Hops 14. α-Acids and β-Acids in Hops and Hop Extracts by HPLC, 2010, doi: 10.1094/ASBCMOAHops-14.

103. American Society of Brewing Chemists, Hops 15. Iso-α-Acids in Isomerized Hop Pellets by HPLC, 2010, doi: 10.1094/ASBCMOAHops-15.

104. American Society of Brewing Chemists, Hops 16. Iso-α, α-, and β-Acids in Hop Extracts and Isomerized Hop Extracts by HPLC, 2010, doi: 10.1094/ASBCMOA-Hops-16.

105. American Society of Brewing Chemists, Hops 17. Hop Essential Oils by Capillary Gas Chromatography-Flame Ionization Detection, 2004, doi: 10.1094/ASBCMOA-Hops-17.

106. American Society of Brewing Chemists, Hops 18. Determination of Tetrahydroiso-α-Acids in Hop Products by Spectrophotometry, 2017, doi: 10.1094/ASBCMOA-Hops-18.

On-line version ISSN 1678-7064 Printed version ISSN 0100-4042
Qu�mica Nova
Publica��es da Sociedade Brasileira de Qu�mica
Caixa Postal: 26037 05513-970 S�o Paulo - SP
Tel/Fax: +55.11.3032.2299/+55.11.3814.3602
Free access

GN1