JBCS



14:55, sáb out 25

Acesso Aberto/TP



Artigo


Delineamentos experimentais eficientes para estudos de cinética química
Efficient experimental designs for chemical kinetics studies

Iuri E. P. FerreiraI, *; Luzia A. TrincaII; Cláudia P. FerreiraII

IDepartamento de Ciências Exatas, Escola Superior de Agricultura

Recebido em 12/09/2013
Aceito em 18/12/2013
Publicado na web em 27/03/2014

Endereço para correspondência

*e-mail: iuri@usp.br

RESUMO

In this paper we show how to obtain efficient designs of experiments for fitting Michaelis-Menten and Hill equations useful in chemical studies. The search of exact D-optimal designs by using local and pseudo-Bayesian approaches is considered. Optimal designs were compared to those commonly used in practice using an efficiency measure and theoretical standard errors of the kinetic parameter estimates. In conclusion, the D-optimal designs based on the Hill equation proved efficient for estimating the parameters of both models. Furthermore, these are promising with respect to practical issues, allowing efficient estimation as well as goodness-of-fit tests and comparisons between some kinetic models.

Palavras-chave: optimum design theory; Michaelis-Menten kinetics; Hill equation.

INTRODUÇÃO

Estudos de cinética química visam compreender as relações existentes entre as velocidades das reações e os fatores que as influenciam, tais como concentrações de substrato, presença ou não de catalisadores, temperatura, pH, estado físico dos reagentes, dentre outros. A relação entre a velocidade de reação e a concentração de substrato é frequentemente de interesse particular. Essa relação é representada por uma equação matemática, o modelo cinético - geralmente não linear - que depende de algumas constantes, os parâmetros cinéticos. Para sua investigação, executam-se ensaios laboratoriais sob as mesmas condições, exceto as concentrações de substrato que são variadas. Em alguns casos, a forma da relação, a menos de suas constantes, é assumida conhecida. Esse conhecimento pode ser oriundo da compreensão dos processos físicos envolvidos ou das leis científicas aceitas para governá-los.1 Entretanto, há situações nas quais algumas relações são adotadas como tentativas e a concordância das mesmas com os dados observados experimentalmente é explorada. Em ambas as situações, o sucesso da investigação depende das margens de erro para as estimativas dos parâmetros, ou seja, depende do uso de delineamentos experimentais eficientes.

Os princípios gerais que norteiam a boa prática experimental foram desenvolvidos, a partir da segunda década do século passado, pelo famoso pesquisador Ronald Fisher. Fisher propôs e justificou a importância da aleatorização, replicação e controle de heterogeneidade das condições experimentais para a obtenção de estimativas precisas e acuradas.2 A busca por estimativas ortogonais e eficientes, isto é, independentes e com erros padrão pequenos, dos coeficientes de modelos lineares (retas, parábolas, cúbicas) levaram à disseminação do uso de níveis de fatores experimentais igualmente espaçados.3 Por exemplo, para ajustar uma parábola de uma resposta em função da concentração de um substrato, esta variando entre 0 e 2 unidades, o uso de ensaios com 0, 1 e 2 unidades de substrato, todas com o mesmo número de repetições, resulta em estimativas ortogonais e precisas, além de facilidade nos cálculos. Embora essa propriedade (ortogonalidade) não seja satisfeita para a maioria dos modelos cinéticos não lineares, na prática os pesquisadores costumam usar concentrações de substrato igualmente espaçadas na escala original ou na escala logarítmica,4-6 sem justificativa de seu uso.7

Do ponto de vista estatístico, dados os objetivos do experimento e o conhecimento de alguma informação prévia sobre o problema, é possível escolher os valores das variáveis experimentais de maneira ótima, mesmo no caso do uso de modelos não lineares. O uso de valores ótimos para as variáveis experimentais significa que resultados mais precisos serão obtidos nas estimativas ou o custo (tempo, financeiro) será menor quando comparado com a alternativa que não é ótima. Além do mais, quanto maior o experimento, mais difícil é o controle das condições experimentais. A falta de controle introduz heterogeneidade no sistema, acarretando em resultados imprecisos, além de desperdício de recursos e tempo.

Neste contexto, as ferramentas para auxiliar no uso eficiente do material experimental disponível são de grande valor. Baseada em princípios de estimação de parâmetros e fazendo uso de técnicas matemáticas e computacionais, a teoria geral de Delineamento Experimental Ótimo oferece metodologia para a construção do experimento mais eficiente com respeito a alguma propriedade de interesse,8 ou seja, do delineamento ótimo sob tal aspecto. Em particular, ela nos permite determinar os valores de concentração de substrato e repetições a partir dos quais se espera obter o máximo de informação sobre o modelo alvo da pesquisa. A metodologia se aplica a qualquer área de pesquisa experimental na qual é pretendido ajustar modelos estatísticos e em que se tenha alguma informação a priori sobre o tipo ou os tipos de curvas ou modelos que se deseja investigar. Embora a teoria tenha sido proposta a mais de cinco décadas, a construção de delineamentos ótimos para modelos não lineares esbarrou em dificuldades computacionais e apenas recentemente começou a ter impacto nas aplicações, porém seu uso ainda é bastante tímido. Isto ocorre porque a construção de delineamentos ótimos em situações não lineares não é óbvia. Como será abordada na próxima seção, sua aplicação exige algum conhecimento prévio sobre a forma da relação e sobre os valores reais dos parâmetros, que são desconhecidos. Como, em geral, a pesquisa experimental é sequencial, existe a possibilidade de utilizar informações obtidas em experimentos prévios para o planejamento de experimentos futuros.

O objetivo deste trabalho é a construção de delineamentos experimentais eficientes para estudos cinéticos baseados nos modelos de Michaelis-Menten e Hill.4,9,10 Estes modelos foram escolhidos por terem ampla aplicabilidade na descrição de processos saturáveis, especialmente em química.4-6,10-12 Deve-se notar, entretanto, que os procedimentos aqui apresentados também possibilitam o planejamento de estudos eficientes para qualquer outro modelo cinético sob investigação.13,14 Os delineamentos experimentais eficientes obtidos para o ajuste de cada um dos modelos são comparados a planejamentos frequentemente utilizados na prática, a partir de medidas de eficiência e margens de erro teóricas para as estimativas dos parâmetros cinéticos. Estuda-se também a sensibilidade dos delineamentos ótimos frente à má especificação dos valores requeridos a priori para representar os parâmetros na fase de delineamento.

 

FUNDAMENTOS E DEFINIÇÕES

Nesta seção os modelos de Michaelis-Menten e de Hill são descritos e alguns conceitos relevantes para o entendimento da problemática da construção de delineamentos experimentais ótimos são apresentados sucintamente.

Modelos de Michaelis-Menten e de Hill

O modelo de Michaelis-Menten é amplamente utilizado nas ciências biológicas.15 Ele é usado, por exemplo, na análise de dados oriundos de estudos com receptores de drogas, neurotransmissores e hormônios e na construção de modelos compartimentais, nos quais tem a finalidade de modelar as taxas de mudança de um compartimento para outro.7,16 Na enzimologia, o modelo de Michaelis-Menten emerge de uma das aproximações mais usuais à curva da taxa de reação em função da concentração de substrato em uma reação, química ou bioquímica, no estado estacionário.9 Em sua forma mais simples, o modelo de Michaelis-Menten é descrito pela equação:

 

 

na qual V é a velocidade de reação esperada, X é a concentração de substrato, Vm e K são os parâmetros do modelo, representando a velocidade máxima de reação e o coeficiente de Michaelis-Menten, respectivamente. O parâmetro K corresponde ao nível de concentração de substrato para o qual a velocidade de reação atinge metade de seu valor máximo. Devido à grande aplicabilidade do modelo de Michaelis-Menten, questões relacionadas ao delineamento experimental visando seu ajuste são abordadas por vários autores.17

Embora o modelo de Michaelis-Menten seja amplamente empregado em enzimologia, existem enzimas cuja cinética pode não ser adequadamente descrita pela equação em (1).18 Extensões desta equação para superar os possíveis desvios são apresentadas na bibliografia especializada,16 sendo o modelo de Hill uma alternativa popular.15,16,19 O modelo de Hill é expresso pela equação:

 

 

na qual o parâmetro γ , chamado de coeficiente de Hill, é introduzido com a finalidade de tornar o modelo mais flexível e capaz de descrever processos saturáveis para os quais a curva de resposta apresenta forma levemente sigmoide. A equação de Hill pode ser usada como uma aproximação empírica, mas há situações em que seus parâmetros possuem uma interpretação fenomenológica. Em bioquímica, por exemplo, o valor do coeficiente de Hill indica o tipo de cooperação existente entre os ligantes em uma macromolécula, sendo negativa se γ < 1 e positiva se γ > 1. A equação de Michaelis-Menten é um caso particular da equação de Hill (γ = 1).9 A despeito de sua importância, são poucos os trabalhos que levantam questões de planejamento experimental para o ajuste do modelo de Hill.13,15,16,19

Estimação e margem de erro

Na terminologia estatística, as equações em (1) e (2) estão inseridas na classe de modelos de regressão não lineares,1,20 uma vez que pelo menos um dos coeficientes aparece não linearmente na expressão. Devido a erros de medida, aproximações utilizadas na formulação do modelo e variações incontroláveis nas condições experimentais, um componente aleatório, o erro aleatório, é adicionado nas equações. Como a metodologia de obtenção das estimativas e margens de erro pode ser descrita genericamente para qualquer modelo não linear, a representação geral em (3) será utilizada. Seja

 

 

na qual yi é o valor da resposta observada na i-ésima unidade experimental (i = 1,2,...,N) para uma concentração de substrato Xi; εi é o erro aleatório associado à i-ésima observação; θ é um vetor cujos elementos são os p parâmetros desconhecidos do modelo; e N é o número de ensaios que constituem o experimento. O termo η(Xi; θ) representa a função não linear nos parâmetros que determina, a menos de erros aleatórios, a forma da relação entre a variável resposta e a explanatória. Em particular, η(X; θ) será igual ao termo do lado direito da equação (1) se a cinética do processo for do tipo michaeliana, na qual p = 2 e θ = (Vm, K)T, em que o sobrescrito denota a matriz transposta; ou será igual ao termo direito da equação (2) se a cinética for descrita pelo modelo de Hill, em que p = 3 e θ = (Vm, K, γ)T.

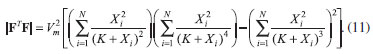
Para estimação dos parâmetros, alguma estrutura em relação aos erros deve ser assumida. A estrutura mais simples assume erros Normais, não correlacionados, com média nula e variância constante e igual a σ2. Uma vez realizado o experimento, as estimativas de θ e σ2 podem ser obtidas pelo método iterativo de mínimos quadrados dos erros.1,20 Tal método requer o uso de valores iniciais para θ, os quais são gradualmente atualizados durante a busca pelas melhores estimativas dos parâmetros, denotadas por . A natureza iterativa do processo de estimação não permite a obtenção de erros padrão exatos para , ou seja, há a necessidade do uso de erros padrão aproximados. A aproximação usual é dada pela raiz quadrada dos elementos da diagonal da matriz de variâncias e covariâncias de , expressa por

 

 

em que F, de dimensão N × p, é dada por , ou seja, é a matriz das derivadas parciais de η(X; θ) em relação a cada um dos elementos de θ. Para o modelo de Michaelis-Menten cada linha da matriz F é composta por dois elementos, dados por [Xi(K + Xi) - 1; - VmXi(K + Xi) - 2]. Já para o modelo de Hill cada linha é constituída por três elementos, os quais são expressos por .

Para fins de planejamento experimental, é importante notar que os elementos de F são funções das concentrações de substratos, que estão sob o controle do pesquisador, e de pelo menos um dos parâmetros do modelo em questão, cujos valores são desconhecidos. Com o auxílio da Teoria de Planejamento Experimental Ótimo, o pesquisador pode usar a informação obtida a priori sobre os parâmetros para calcular as concentrações de substrato que lhe garantam estimativas mais precisas.

Delineamentos ótimos

A teoria de delineamentos ótimos visa à determinação do delineamento experimental - no caso específico deste trabalho, a enupla X = (X1, X2, ..., XN) de concentrações de substratos a serem utilizadas - que otimiza alguma propriedade do estimador de θ. A propriedade a ser otimizada, denominada função critério, deve ser escolhida de acordo com os objetivos do experimento. Atkinson et al.21 apresentam uma variedade de funções critério úteis. Elas geralmente dizem respeito à margem de erro do estimador de θ e, portanto, são quantidades derivadas de sua matriz de variâncias e covariâncias ou, analogamente, da matriz de informação, dada por σ-2FTF. Como σ-2 é um termo multiplicativo nas funções critério, ele não é influente na busca pelo delineamento ótimo, sendo que, na prática, basta considerar o termo FTF. A função critério mais popular é o determinante da matriz de informação, já que o mesmo é inversamente proporcional às variâncias das estimativas. A interpretação intuitiva é que FTF "grande" (determinante alto), significa bastante informação para estimar os parâmetros e, consequentemente, resulta em erros padrão "pequenos". Uma interpretação mais formal do critério determinante máximo é que ele resulta em delineamentos experimentais que, em média, possibilitam o melhor ajuste do modelo, no sentido de que a região de confiança para o vetor de parâmetros apresenta tamanho mínimo.21-23 Na bibliografia ele recebe o nome de critério D e os delineamentos que o satisfazem são ditos D-ótimos.21-23 Este é o critério utilizado neste trabalho para ilustrar o desempenho de delineamentos ótimos.

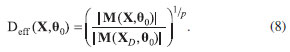
Um desafio na construção de delineamentos ótimos para modelos não lineares é o fato de que as funções critério dependem dos valores reais dos parâmetros, que, obviamente, são desconhecidos. Este problema é parcialmente superado se o pesquisador tiver algum conhecimento do processo que possa ser expresso na forma de valores admissíveis para os parâmetros. Se tal conhecimento existe, seja θ0 o conjunto de valores para representar os parâmetros a priori, ou seja, antes de se realizar o experimento. Então, nada mais razoável do que utilizar θ0 na fase de delineamento do experimento seguinte. Delineamentos obtidos assim são chamados localmente D-ótimos e a função critério a ser maximizada é |M(X,θ0)|, ou, de forma matematicamente equivalente,

 

 

na qual M(X,θo) = FTF , sendo avaliada em θ = θ0, ln é o logaritmo natural e o operador |.| denota a função determinante. As duas funções, na escala original ou logarítmica, apresentam o mesmo ótimo e há vantagens numéricas em se trabalhar na escala logarítmica. Definindo formalmente, o delineamento X tal que

 

 

é dito ser localmente D-ótimo (denota-se XD) se X1, X2 ... Xh, os níveis distintos de X, e w1, w2 ... wh, os pesos dos níveis, são tais que a função em (5) atinge seu máximo. Os pesos estão relacionados ao número de repetições dos níveis.

Do ponto de vista de otimização, os delineamentos experimentais podem ser tratados através de duas abordagens matemáticas: a contínua ou aproximada e a discreta ou exata. A versão contínua busca os valores de Xj e wj (j = 1, 2, ..., h) em intervalos contínuos tanto para os níveis de X quanto para os pesos, tais que Xj > 0, 0 < wj < 1 e . Na versão discreta, a busca dos valores de Xj é feita num conjunto discreto de valores admissíveis para os níveis X e no conjunto de valores inteiros positivos para os pesos, de forma que , em que N é o tamanho do experimento. A versão contínua recebe mais atenção dos pesquisadores,3,15-17,21 principalmente devido à existência de teoremas que garantem a otimalidade do delineamento. Entretanto, para uso prático o delineamento tem que ser discreto.13,14,24 É possível discretizar um delineamento contínuo multiplicando-se os pesos (wj) por N e arredondando o valor obtido para o inteiro mais próximo. Espera-se que, para N grande, o delineamento assim obtido tenha boas propriedades, proporcionando pouco erro de arredondamento. Porém, nos estudos de cinética, raramente este é o caso, já que N em geral é fixado entre 6 a 12.5,6,11 Assim, justifica-se o desenvolvimento de recursos para a obtenção de delineamentos ótimos discretos, objeto deste trabalho. Como será visto adiante, o delineamento discreto é obtido por heurísticas e, portanto, não há como oferecer garantia matemática de sua otimalidade.

Um fato que é considerado vantajoso no uso do critério D é que os delineamentos ótimos não dependem dos valores de parâmetros parcialmente lineares,20 como é o caso do parâmetro Vm em ambos os modelos considerados neste artigo. Desta forma, a aplicação da metodologia não requer a suposição de valor a priori para este parâmetro.

Delineamentos robustos

A otimização da função critério em (5) resulta em delineamentos localmente D-ótimos porque tais delineamentos são ótimos apenas se os valores admitidos a priori coincidirem com os valores reais dos parâmetros. Sabe-se que os delineamentos D-ótimos são pouco sensíveis aos valores a priori, principalmente quando o critério depende de poucos parâmetros,14 como é o caso do modelo Michaelis-Menten. Dessa maneira, os delineamentos localmente D-ótimos são robustos desde que a escolha dos valores a priori seja realizada de maneira cuidadosa pelo pesquisador.21

Na prática, entretanto, é desejável englobar uma margem de erro (ou de incerteza) aos valores especificados a priori a fim de obter delineamentos mais robustos. Tal objetivo pode ser alcançado a partir do uso de distribuições de probabilidade a priori, denotadas por p(θ), associadas aos parâmetros, para as quais o vetor θ é considerado uma variável aleatória multivariada se o delineamento depender de mais de um parâmetro, como é o caso do modelo de Hill. O conjunto de valores admissíveis aos parâmetros, ou seja, o espaço paramétrico Θ, também deve ser escolhido de acordo com informações prévias do processo, incorporando-se probabilidades neste espaço. Como valor esperado (médio) a priori de θ, representado por E(θ), utiliza-se o melhor valor disponível para cada parâmetro antes da realização do experimento, o qual pode ser obtido a partir de estudos anteriores. Já o desvio padrão ou coeficiente de variação (CV) é fixado de modo a refletir a incerteza do pesquisador a respeito do valor especificado a priori. Enfim, nesta abordagem o delineamento ótimo é obtido a partir da maximização do valor esperado da função critério sob o suporte da distribuição a priori especificada para os parâmetros,21 ou seja, requer a maximização da função dada por

 

 

Esta abordagem de delineamento ótimo recebe o nome de pseudo-Bayesiana e o delineamento que otimiza (7) será aqui denotado por XPB.21 No caso de p(θ) ser discreta, a integral em (7) é substituída por uma soma sobre todos os valores de θΘ.

Comparação entre delineamentos

A escolha de um delineamento dentre uma lista de alternativas requer o uso de medidas do seu desempenho na prática. A eficiência é a medida mais usual na comparação de delineamentos. Ela consiste na razão entre a quantidade de informação que um delineamento fornece a respeito de uma propriedade de interesse e o máximo de informação que pode ser obtido experimentalmente, ao se utilizar um delineamento ótimo. Neste trabalho é visada especificamente a D-eficiência, ou seja, a eficiência na perspectiva do critério D. Dado um vetor de estimativas a priori para os parâmetros θ0, a D-eficiência de um delineamento qualquer X é expressa por

 

 

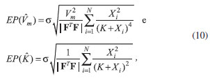
Essa eficiência, apesar de ter grande relevância do ponto de vista estatístico, pode ser de difícil interpretação para o pesquisador da área experimental. Já as margens de erro das estimativas dos parâmetros cinéticos são mais familiares e permitem comparações mais concretas. Os erros padrão a priori para os estimadores dos parâmetros cinéticos, dado θ = θ0, são obtidos a partir da raiz quadrada dos elementos da diagonal principal da matriz de variâncias e covariâncias em (4), sendo expressos por

 

 

em que é o estimador do j-ésimo parâmetro cinético e [.]jj denota o elemento na posição j da diagonal principal de uma matriz. Eles são apresentados em escala relativa ao valor de σ, o qual é desconhecido antes da realização do experimento. Em particular, para o modelo de Michaelis-Menten, os erros padrão dos estimadores dos parâmetros cinéticos são expressos por

 

 

em que

 

 

A partir das expressões (10) e (11) é fácil verificar que o valor de Vm não afeta a margem de erro para sua estimativa, a qual depende somente do parâmetro K e do delineamento X. Por outro lado, a margem de erro para a estimativa do parâmetro K mostra-se inversamente proporcional ao valor de Vm. Apesar de Vm afetar EP (), sua expressão pode ser fatorada como σVm-1 × φ(X,K), em que φ(X,K) é uma função genérica que não depende de Vm. Mostra-se, portanto, que a influência de Vm sobre EP () é igual para qualquer delineamento e isto faz com que seu valor seja irrelevante para fins de comparação. O delineamento que produz menor margem de erro para a estimativa de K é o que minimiza φ(X,K). Para o modelo de Hill, embora os cálculos sejam um pouco extensos, é fácil verificar que o parâmetro Vm não influencia EP () e é inversamente proporcional à EP () e EP () , de maneira que os últimos também podem ser fatorados como σVm-1 × φ(X,K,γ). Portanto, assim como ocorre na D-eficiência, o valor do parâmetro Vm não é relevante na comparação de delineamentos para os ajustes dos modelos de Michaelis-Menten e Hill por meio das margens de erro das estimativas dos parâmetros cinéticos.

 

PLANEJAMENTO EXPERIMENTAL

Para ilustrar a obtenção de delineamentos ótimos em estudos de cinética química, considerou-se como motivação prática um experimento apresentado por Carvalho et al.,4 referente ao seu terceiro conjunto de dados - apresentado na Tabela 5 e Figura 3 do artigo original - sobre a oxidação do 3,5-di-tercbutilcatecol catalisada por um complexo dinuclear de Ni. As informações disponibilizadas pelos autores sobre o processo cinético foram adotadas para servir de conhecimento prévio na construção de delineamentos eficientes para experimentos futuros. No trabalho mencionado, os autores abordaram apenas o ajuste do modelo de Michaelis-Menten. Neste estudo, por sua vez, o modelo de Hill foi incluído como uma alternativa para o problema, visto que seu ajuste aos dados futuros pode informar sobre possíveis desvios da cinética michaeliana.

Como informação a priori para o parâmetro K e γ utilizou-se as estimativas obtidas ajustando-se os modelos aos dados experimentais publicados. Para o modelo de Michaelis-Menten obteve-se ≈ 8,3 × 10-4 mol L-1 e para o de Hill obtiveram-se ≈ 5,0 × 10-4 mol L-1 e ≈ 1,5. Estes valores foram utilizados para a construção de delineamentos localmente D-ótimos, ou seja, para encontrar X que maximiza a equação (5).

Incertezas nos valores das estimativas foram incorporadas, em variadas ordens de magnitudes, de forma a construir delineamentos D-ótimos pseudo-Bayesianos. Como o parâmetro K admite somente valores positivos, distribuições de probabilidade contínuas com suporte positivo são candidatas naturais para representar sua incerteza. As distribuições Gama e Log Normal, que são assimétricas à direita, têm sido utilizadas para este fim.13,14,21 Neste estudo foram utilizadas distribuições Gama com médias iguais às estimativas de e variabilidade representada pelo CV. Os valores de CV usados foram 5%, 10%, 20% e 30%. Quanto maior o CV, maior a incerteza atribuída ao valor de K. O parâmetro de Hill, denotado por γ, também é positivo, mas devido à pequena amplitude de valores admissíveis para o mesmo, neste trabalho optou-se pela introdução de uma distribuição discreta para representá-lo. Como exploração, utilizou-se a seguinte distribuição de probabilidades: ; ela reflete uma situação em que, na fase de planejamento, o pesquisador acredita que há cooperação positiva, porém não está totalmente seguro e admite alguma possibilidade da cinética ser michaeliana ou, ainda, de haver cooperação negativa.

A busca por delineamentos D-ótimos pseudo-Bayesianos depende da maximização da integral na equação (7). Tanto para o modelo de Michaelis-Menten como para o de Hill, as integrais não possuem forma fechada (solução analítica) e, dessa maneira, o cálculo do valor das funções critério requer o uso de métodos numéricos como aproximações. Neste trabalho, esta tarefa foi executada com o auxílio do método de Monte Carlo,13,14,25 de maneira que a integral foi aproximada pela soma

 

 

para A conjuntos paramétricos θr's amostrados, ou seja, simulados de p(θ).

Note que para o modelo de Michaelis-Menten, p(θ) = p(K), ou seja, é a densidade Gama. Para o modelo de Hill, p(θ) = p(K, γ) = p(K) × p(γ), ou seja, os dois parâmetros foram considerados independentes. Apenas valores de K precisam ser simulados, já que a distribuição de γ é discreta. Mil valores de K foram simulados para o cálculo de (12).

A otimização para encontrar os delineamentos D-ótimos exatos XD e XPB foi realizada por meio do algoritmo Exchange,13,14,21,24 caracterizado por uma sistemática de trocas que permite melhorar ao máximo uma solução em potencial. O procedimento de busca é determinado pelos seguintes passos: um delineamento inicial, geralmente escolhido de maneira aleatória, é definido como base para a busca. Em seguida, cada um dos pontos do delineamento de base (que correspondem aos valores de concentração de substrato a serem utilizados em cada uma das unidades experimentais) são trocados de maneira sequencial por todos os pontos pertencentes a um conjunto de candidatos, constituído por uma grade de valores plausíveis para a concentração. Se dada troca melhora o valor da função critério, então ela é aceita. Caso contrário, é rejeitada. O processo é repetido até o momento em que não é possível realizar mais trocas. Por fim, o delineamento remanescente é tido como solução para o problema. O algoritmo Exchange não garante a otimalidade das soluções e seus resultados dependem do delineamento inicial usado como base para a busca. Portanto, várias repetições do método são requeridas, partindo-se de delineamentos base diferentes, e o melhor delineamento obtido nas repetições é considerado o ótimo. Neste trabalho, o algoritmo foi repetido 10 vezes.

Os experimentos ótimos foram planejados considerando-se a disponibilidade de oito unidades experimentais (N=8), ou seja, o mesmo número utilizado por Carvalho et al.4 O intervalo de concentração de substrato variando de 0,10 a 18,00×10-4 mol L-1 foi adotado como região experimental, sendo discretizado em 180 valores para originar o conjunto de pontos candidatos exigido pelo algoritmo Exchange. Isto significa que as concentrações a serem usadas no experimento podem ser quaisquer valores pertencentes ao conjunto {0,10; 0,20;...; 18,00}×10-4 mol L-1. O algoritmo foi programado em linguagem C e executado em microcomputadores convencionais.

Neste trabalho, os delineamentos resultantes do processo de busca foram comparados àqueles costumeiramente utilizados na prática, a saber, o aritmético, o logarítmico e o linear inverso, este último apenas para o modelo de Michaelis-Menten. O delineamento aritmético é aquele que possui os seus pontos equidistantes sobre a região experimental. Por sua vez, o delineamento logarítmico é aquele cujos pontos consistem numa progressão geométrica, o que implica valores igualmente espaçados numa escala logarítmica. Já o delineamento linear inverso é constituído pelos valores da variável explanatória que produzem, por intermédio do modelo de regressão e estimativas a priori para os parâmetros, valores de resposta igualmente espaçados. Também foi alvo de comparação o delineamento apresentado por Carvalho et al.,4 isto é, um delineamento igualmente espaçado de 9 pontos constando com a deleção do oitavo. Analogamente à região experimental adotada por Carvalho et al.,4 os delineamentos usuais foram construídos partindo-se da concentração de substrato igual a 2,00×10-4 mol L-1. Os delineamentos mencionados são apresentados na Tabela 1.

 

 

A comparação dos delineamentos foi realizada a partir da D-eficiência e das margens de erro teóricas para as estimativas dos parâmetros cinéticos, apresentadas em (8) e (9), respectivamente. As margens de erro foram calculadas ao longo de diversos valores plausíveis para K (no modelo de Michaelis-Menten) e K e γ (no modelo de Hill), com a finalidade de averiguar a robustez dos delineamentos D-ótimos frente à má especificação de θ0. A influência de cada parâmetro no desempenho dos delineamentos foi estudada individualmente, mantendo-se os valores dos outros parâmetros constantes.

 

RESULTADOS E DISCUSSÃO

Os delineamentos D-ótimos encontrados pelo algoritmo Exchange para os modelos de Michaelis-Menten e Hill são apresentados nas Tabelas 2 e 3, respectivamente. Para o modelo de Michaelis-Menten, tanto na abordagem local como na pseudo-Bayesiana, as dez execuções do algoritmo produziram o mesmo resultado. Tal fato também foi verificado na busca por delineamentos localmente D-ótimos para o modelo de Hill, mas obtivemos delineamentos distintos na série de execuções da abordagem pseudo-Bayesiana. Os delineamentos distintos encontrados possuem valores da função critério que diferem somente a partir do quarto algarismo significativo e, portanto, são praticamente equivalentes. Apenas o melhor resultado de cada série de execuções é apresentado.

 

 

 

 

Em comparação à Tabela 1, observa-se que os delineamentos D-ótimos são muito distintos dos utilizados na prática. Os delineamentos usuais apresentam todos os seus pontos diferentes uns dos outros, isto é, não há repetições. Portanto, a partir dos mesmos não é possível estimar o erro puro. Para contornar este problema, os pesquisadores costumam estimar a variabilidade do erro puro a partir do Quadrado Médio do Resíduo e, com seu auxílio, constroem os intervalos de confiança e realizam testes de hipóteses para os parâmetros. O problema desta estratégia é que qualquer inadequação do modelo ajustado resultará numa estimativa viciada de σ2.

Os delineamentos D-ótimos, por sua vez, são constituídos por um número bem menor de pontos de suporte (pontos distintos em um delineamento) e introduzem repetições. Para o modelo de Michaelis-Menten, eles são balanceados (quando desconsideramos arredondamentos provocados pelo uso de uma região experimental discreta) e designam seis graus de liberdade para a estimação do erro puro, mas não sobram graus de liberdade para a falta de ajuste. Seu pequeno número de pontos de suporte gera um inconveniente: não é possível explorar de maneira satisfatória a relação funcional existente entre variável explanatória e a resposta, no caso, a concentração de substrato e a velocidade de reação. Enfim, se o pesquisador não possui bom conhecimento a respeito da forma da relação, o que é frequente na experimentação, nenhum dos delineamentos das Tabelas 1 e 2 é indicado.

A Teoria de Planejamento Experimental Ótimo parte da especificação do modelo e, consequentemente, a D-otimalidade dos delineamentos apresentados na Tabela 2 depende da veracidade da suposição de cinética michaeliana. Há variadas situações nas quais a teoria cinética determina a forma do modelo de regressão. Nestes casos o pesquisador pode abrir mão de testes para falta de ajuste em virtude da estimação precisa das funções de interesse. Partindo da pressuposição de cinética michaeliana, os delineamentos apresentados na Tabela 1 e 2 podem ser comparados a partir da D-eficiência calculada com base no modelo de Michaelis-Menten (Tabela 4). Verifica-se que os delineamentos usuais são semelhantes quanto à eficiência em estimar conjuntamente os parâmetros do modelo de Michaelis-Menten e garantem cerca de 70% da informação obtida por um delineamento D-ótimo. Eles também produzem margens de erro maiores para as estimativas dos parâmetros cinéticos para toda a escala de valores plausíveis para K (Figura 1). Dentre os usuais, os delineamentos logarítmico e linear inverso são preferíveis, uma vez que produzem estimativas mais informativas para K. As duas abordagens de delineamento D-ótimo mostram diferenças desprezíveis para o modelo de Michaelis-Menten, mas a local é aconselhada nesta situação devido à facilidade nos cálculos. Conforme Bates e Watts,20 o delineamento localmente D-ótimo contínuo para o modelo de Michaelis-Menten é expresso por

 

 

 

 

 


Figura 1. Erros padrao teóricos (relativos a σ) em funçao de K, para as estimativas dos parâmetros cinéticos do modelo de Michaelis-Menten, Vm (em A) e K (em B), obtidos por delineamentos distintos e fixando-se Vm = 3,6 × 10-7 mol L-1 s-1

 

em que L e R são os níveis mínimo e máximo para a variável explanatória e X* = KR/(2K + R). Lopéz-Fidalgo e Wong7 apresentam argumentos teóricos para recomendar que R seja fixado aproximadamente em 2,18 × K quando o interesse de pesquisa é estimar ambos os parâmetros do modelo de Michaelis-Menten. A aproximação de (13) para um delineamento exato é muito simples: se o número de unidades experimentais N for par, cada ponto de suporte será repetido N/2 vezes; caso N seja ímpar, um dos pontos de suporte ficará com o excedente.

Há uma gama de estudos nos quais o uso de um modelo mais geral é vantajoso à pesquisa. Por exemplo, conforme já colocado nas seções anteriores, o modelo de Hill apresenta-se como uma alternativa para o modelo de Michaelis-Menten. A vantagem em planejarmos experimentos visando modelos mais gerais é que os delineamentos assim obtidos tendem a ser mais transigentes para com os objetivos da pesquisa. Os delineamentos D-ótimos para o modelo de Hill, por exemplo, possuem um número moderado de pontos de suporte (de 3 a 4 quando desconsideramos pontos próximos) e isto permite a estimação de ambos os modelos e a comparação dos ajustes. Os delineamentos pseudo-Bayesianos possibilitam, inclusive, testar se o modelo de Hill está bem ajustado. Mesmo que o processo cinético seja michaeliano, o emprego do delineamento D-ótimo para o modelo de Hill não traz prejuízos à prática, uma vez que sua D-eficiência é superior a dos experimentos usuais (Tabela 4) e as margens de erro decorrentes de seu uso são menores (Figura 1). Eles também estão associados aos menores erros padrão para os estimadores dos parâmetros cinéticos do modelo de Hill em toda escala de valores plausíveis de K e γ e, dessa maneira, são robustos a especificações errôneas dos valores a priori (Figura 2). O desempenho dos delineamentos D-ótimos em estimar o parâmetro K é similar ao dos delineamentos usuais, mas eles produzem resultados consideravelmente mais informativos para Vm e γ. Há também uma diferença razoável entre as abordagens de delineamento D-ótimo quanto à estimação do parâmetro γ: a abordagem pseudo-Bayesiana mostra-se superior sob os intervalos de valores de K e γ que são mais prováveis de acordo com as distribuições especificadas a priori (Figura 2). Dentre os delineamentos usuais, novamente o logarítmico e o linear inverso são preferíveis, uma vez que produzem margens de erro menores para a estimativa de γ. Não há diferenças importantes entre os delineamentos usuais no desempenho em estimar os demais parâmetros do modelo de Hill.

 


Figura 2. Erros padrao teóricos (relativos a σ), em funçao de K (em A) e γ (em B), para as estimativas dos parâmetros cinéticos do modelo de Hill, obtidos por delineamentos distintos e fixando-se Vm = 2,7 × 10-7 mol L-1 s-1

 

Um procedimento simples, porém sensato, que o pesquisador pode empregar ao planejar e executar tais experimentos é: em primeiro lugar, buscar por delineamentos eficientes para o modelo de Hill; em seguida, ajustá-lo aos dados coletados; e, finalmente, testar se o coeficiente de Hill difere da unidade de maneira significativa. Se a diferença for verificada, o pesquisador terá em mãos o ajuste do modelo de Hill a um conjunto de dados oriundo de um planejamento ótimo para este fim. Caso contrário, o pesquisador deverá ajustar o modelo de Michaelis-Menten que, apesar de ser mais parcimonioso que o de Hill, modelará dados de um experimento sub-ótimo. Dette et al.15 defendem este procedimento utilizando-se de uma re-parametrização do modelo de Hill, denominada EMAX. Eles observam que delineamentos D-ótimos contínuos para o modelo EMAX: (i) são eficientes para estimar os parâmetros do modelo de Michaelis-Menten, (ii) possibilitam testar qual dos dois modelos ajusta-se melhor aos dados e (iii) são robustos à má especificação dos valores a priori.

 

CONCLUSÕES

Este trabalho abordou a problemática da construção de delineamentos experimentais eficientes para o ajuste de modelos não lineares em estudos de cinética química. Em particular, foram obtidos delineamentos D-ótimos exatos (locais e pseudo-Bayesianos) para os modelos de Michaelis-Menten e Hill. Os delineamentos encontrados foram comparados aos comumente utilizados em estudos de cinética química a partir da D-eficiência e margens de erro teóricas para as estimativas dos parâmetros cinéticos. Por meio dos resultados obtidos neste estudo, conclui-se que os delineamentos D-ótimos produzem ajustes mais informativos que os usuais e são robustos à má especificação dos valores a priori, requeridos para sua construção. No entanto, os delineamentos D-ótimos para o modelo de Michaelis-Menten, apesar de serem eficientes para ajustá-lo, não são comprometidos com alguns interesses comuns na experimentação, como a exploração da relação funcional existente entre concentração de substrato e taxa de reação, teste de adequação dos ajustes e comparações entre modelos. Isto faz com que eles sejam adequados para a prática somente quando a pressuposição de cinética michaeliana não é questionada. Por sua vez, os delineamentos D-ótimos para Hill possibilitam bons ajustes para ambos os modelos e, ao mesmo tempo, contemplam tais interesses de pesquisa, sendo aconselhados pelos autores deste trabalho.

 

AGRADECIMENTO

Esse trabalho é resultado do projeto de mestrado (Biometria, Unesp, Botucatu) desenvolvido pelo primeiro autor enquanto bolsista da CAPES.

 

REFERÊNCIAS

1. Seber, G. A. F.; Wild, C. J.; Nonlinear Regression, John Wiley & Sons, Inc.: Hoboken, 1989, cap. 1-2.

2. Fisher, R. A.; Journal of the Ministry of Agriculture of Great Britain 1926, 33, 503. Fisher, R. A.; The Designs of Experiments, Oliver and Boyd: Edinburgh, 1935.

3. Hinkelmann, K.; Kempthorne, O.; Design and Analysis of Experiments, vol 1, John Wiley & Sons, Inc.: Hoboken, 2008, cap. 8.

4. Carvalho, N. M. F.; Pires, B. M.; Antunes, O. A. C.; Faria, R. B.; Osório, R. E. H. M. B.; Piovezan, C.; Neves, A.; Quim. Nova 2010, 33, 1607.

5. Francisco Jr., W. E.; Bevilaqua, D.; Garcia Jr, O.; Quim. Nova 2007, 30, 1095.

6. Condomina, J.; Zornoza-Sabina, T.; Granero, L.; Polache, A.; Eur. J. Pharm. Sci. 2002, 16, 289.

7. López-Fidalgo, J.; Wong, W. K.; J. Theor. Biol. 2002, 215, 1.

8. Kiefer, J.; Journal of the Royal Statistical Society: Series B (Statistical Methodology) 1959, 21, 272.

9. Goutelle, S.; Maurinc, M.; Rougierb, F.; Barbautb, X.; Bourguignona, L.; Ducherb, M.; Maire, P.; Fund. Clin. Pharmacol. 2008, 22, 633.

10. Simões, A. S.; Mori, R. Y.; Faria, R.; Castro, H. F.; Mendes, A. A.; Quim. Nova 2011, 34, 33.

11. Francisco Jr., W. E.; Bevilaqua, D.; Garcia Jr., O.; Quim. Nova 2009, 32, 1477.

12. Rad, B.; Kowalczykowski, S. C.; Biochemistry 2012, 51, 2921; Misra, S.; Kwong, R. W. M.; Niyogi, S.; The Journal of Experimental Biology 2012, 215, 1491; Hanioka, N.; Tanabe, N.; Jinno, H., Tanaka-Kagawa, T; Nagaoka, K.; Naito, S.; Koeda, A.; Narimatsu, S.; Life Sciences 2010, 87, 261.

13. Graham, G.; Gueorguieva, I.; Dickens, K.; Computer Methods and Programs in Biomedicine 2005, 78, 237.

14. Gilmour, S. G.; Trinca, L. A.; Journal of the Royal Statistical Society: Series C (Applied Statistics) 2012, 61, 237.

15. Dette, H; Melas, V. B.; Wong, W. K.; J. Am. Stat. Assoc. 2005, 100, 1370.

16. López-Fidalgo, J.; Tommasi, C.; Trandafir, P. C.; Journal of Statistical Planning and Inference 2008, 138, 3797.

17. Duggleby, R. G.; J. Theor. Biol. 1979, 81, 671; Song, D.; Wong, W. K.; Communications in Statistics - Theory and Methods 1998, 27, 1503; Dette, H.; Wong, W. K.; Statistics & Probability Letters 1999, 44, 405; Dette, H.; Biedermann, S.; J. Am. Stat. Assoc. 2003, 98, 679; Dette, H; Melas, V. B.; Pepelyshev, A.; Statistica Sinica 2003, 13, 1147; Murphy, E. F.; Gilmour, S. G.; Crabbe, M. J. C.; J. Biochem. Biophys. Meth. 2003, 55, 155; Matthews, J. N. S.; Allcock; G. C.; Statistics in Medicine 2004, 23, 477.

18. Ataíde, F.; Hitzmann, B.; Chemom. Intell. Lab. Syst. 2009, 99, 9.

19. Bezeau, M.; Endrenyi, L.; J. Theor. Biol. 1986, 123, 415.

20. Bates. D. M.; Watts, D. G.; Nonlinear Regression Analysis and its Applications; John Wiley & Sons, Inc.: Hoboken, 2007, cap. 2-3.

21. Atkinson, A. C.; Donev, A. N.; Tobias, R. D.; Optimum Experimental Designs, with SAS; Oxford University Press: Oxford, 2007.

22. Pukelsheim, F.; Optimal Design of Experiments; John Wiley & Sons, Inc.: New York, 1993, cap. 6.

23. Silvey, S. D.; Optimal Design; Chapman and Hall: London, UK, 1980, cap. 3.

24. Gilmour, S. G.; Trinca, L. A.; Journal of the Royal Statistical Society: Series C (Applied Statistics) 2012, 61, 345.

25. Zocchi, S. S.; Atkinson, A. C.; Biometrics 1999, 55, 437.

On-line version ISSN 1678-7064 Printed version ISSN 0100-4042
Qu�mica Nova
Publica��es da Sociedade Brasileira de Qu�mica
Caixa Postal: 26037 05513-970 S�o Paulo - SP
Tel/Fax: +55.11.3032.2299/+55.11.3814.3602
Free access

GN1