JBCS



14:54, sáb out 25

Acesso Aberto/TP



Revisão


Eletrocromismo: fundamentos e a aplicação de nanomateriais no desenvolvimento de eletrodos de alto desempenho
Electrochromism: basis and application of nanomaterials in development of high performance electrodes

Ronaldo C. Quintanilha; Igor Rocha; Raquel B. Vichessi; Emili Lucht; Karine Naidek; Herbert Winnischofer; Marcio Vidotti*

Departamento de Química, Universidade Federal do Paraná, 81531-980 Curitiba - PR, Brasil

Recebido em 16/05/2013
Aceito em 02/12/2013
Publicado na web em 20/02/2014

Endereço para correspondência

*e-mail: mvidotti@ufpr.br

RESUMO

This review deals with the basis and novel trends in electrochromism, describing the basic aspects and methodologies employed for the construction and analyses of different modified electrodes. The work presents the classic materials used for the construction of electrochromic electrodes, such as WO3 and a view on the basic concepts of chromaticity as a useful approach for analyzing colorimetric results. The report also addresses how the incorporation of nanomaterials and the consequent novel modification of electrodes have furthered this area of science, producing electrochromic electrodes with high performance, high efficiency and low response times.

Palavras-chave: electrochromism; nanomaterials; modified electrodes.

FUNDAMENTOS DE ELETROCROMISMO

As tecnologias desenvolvidas para o entretenimento visual têm grande impacto na sociedade e vem recebendo enormes investimentos. Como principais exemplos, existem as telas de LED (do inglês, light emission diode), LCD (do inglês, liquid crystal display) ou baseadas na emissão de radiação excitada por plasma. Neste contexto, os dispositivos baseados em eletrocromismo surgem como uma alternativa às tecnologias já empregadas, embora sua utilização em telas com grandes áreas, que requerem altas velocidades e grande variedade de cores ainda seja um desafio a ser superado. Podem ser encontrados muitos dispositivos simples que empregam esta tecnologia, como janelas inteligentes, espelhos retrovisores automotivos, displays, entre outros.1

Neste cenário, surge em conjunto o interesse industrial em relação ao desenvolvimento e à produção em escalas comerciais de dispositivos eletrocrômicos poliméricos. Entre as principais empresas envolvidas na pesquisa e aplicação destes dispositivos estão a Isoclima, Saint Gobain e Pilkington na Europa,2 Gentex, Apogee e Sage na América do Norte3 e Asahi Glass, Nikon e Toyota na Ásia.4

O eletrocromismo consiste na mudança das propriedades ópticas de um determinado material após a aplicação de um estímulo elétrico na forma de corrente ou potencial. A mudança de coloração neste tipo de material ocorre devido à presença de grupos ou moléculas cromógenas, que absorvem a perturbação elétrica e como resposta, alteram suas propriedades ópticas. Materiais podem ser considerados eletrocrômicos se apresentam distintas mudanças de coloração reversíveis quando submetidos a uma reação de oxidação ou redução, sejam estas mudanças de transparente para colorido, ou mesmo a mudança entre cores. Novas classes de materiais têm sido foco de características espectrais passíveis de serem controladas.5

Quando um material possui dois ou mais estados redox e respectivas colorações diferentes, ele é denominado polieletrocrômico. Abaixo, na Equação 1, é representada uma reação eletrocrômica catódica reversível, na qual o material eletrocrômico é denominado como "E". Nesta reação, íons presentes no eletrólito (M+) são inseridos na matriz do composto para que ocorra a compensação de cargas.

 

 

Uma das primeiras observações de características eletrocrômicas ocorreu no ano de 1876, no trabalho de eletrooxidação da anilina, no qual o autor observou mudanças de coloração (verde, violeta, azul) no eletrodo.6 Em 1951, Brimm e colaboradores7 obsevaram mudanças de cor no bronze de sódio-tungstênio (NaxWO3), em que dependendo da polarização do eletrodo (catódica ou anódica) ocorria alteração na coloração, porém essas propriedades não foram muito discutidas neste trabalho. Em outro estudo importante, Platt e colaboradores8 também descreveram a mudança de coloração do WO3. Estes dois últimos trabalhos são considerados por muitos como sendo os pioneiros na descrição dos fenômenos eletrocrômicos.

Somente em 1969, dispositivos eletrocrômicos começaram a ser estudados por Deb,9 neste trabalho as propriedades ópticas de filmes amorfos de WO3 evaporados termicamente sobre eletrodos de quartzo foram relatadas. O autor mostrou que foi obtida uma coloração azul ao submeter os materiais a uma diferença de potencial elevada, apresentando uma banda de absorção máxima em 910 nm. O estudo também descreve a relação direta da umidade do ambiente sobre a intensidade na coloração do material. Outra observação realizada foi que a coloração se tornava mais intensa em filmes amorfos, quando comparados com materiais cristalinos. A alta desordem obtida com o aquecimento rápido da amostra em um curto espaço de tempo produziu filmes de WO3 que apresentaram estruturas porosas. Em seguida, quando expostos a umidade do ambiente, a porosidade obtida promoveu a absorção de água e consequentemente, favoreceu a difusão de íons que contribuiu para o melhor desempenho do material. A reação do material com moléculas de água, presentes na fase vapor, possibilita a incorporação de elétrons na rede. O balanço de cargas, envolvedo os elétrons fornecidos pelo cátodo e as vacâncias de oxigênio, produz centros de cor que são responsáveis pelas mudanças de coloração do material.

 

PARÂMETROS DE ESTUDO EM SISTEMAS ELETROCRÔMICOS

O desempenho de um sistema eletrocrômico pode ser medido por meio de diversos parâmetros, sendo que três deles possuem maior relevância: eficiência eletrocrômica, contraste (ou variação de transmitância, ∆%T) e tempo de resposta. A eficiência eletrocrômica (η), com unidade em cm2 C-1 e relacionada a um determinado comprimento de onda (λ), é definida como a variação de absorbância (∆A) quando certa carga elétrica (Q) é fornecida por unidade de área. Embora η seja uma medida do desempenho do material eletrocrômico, esta deve ser analisada juntamente com a variação de contraste apresentada (∆%T), pois é possível encontrar materiais com valor alto de eficiência eletrocrômica, mas que apresentam baixos valores de contraste.

O tempo de resposta eletrocrômico (τ) é o tempo necessário para que o material mude de cor. Para a maioria dos materiais, este tempo está na ordem de segundos. Porém em dispositivos comerciais de grande área, tempos de resposta da ordem de minutos são encontrados. Infelizmente, não há um critério específico para se determinar τ, sendo que este pode ser definido pela variação total da transmitância (ou absorbância) ou por uma fração desta. São comuns os trabalhos que admitem τ como o tempo necessário para a alteração de 2/3 da variação total do contraste óptico.

Outra característica importante é a estabilidade do material eletrocrômico, o qual idealmente não deveria sofrer desgaste quando submetido a vários ciclos de alteração de cores. Geralmente, a degradação está associada aos processos redox irreversíveis que ocorrem quando o material é submetido a potenciais mais elevados ou quando íons são inseridos na matriz do material irreversivelmente.

Além da estabilidade, os materiais eletrocrômicos devem possuir memória óptica, que consiste na persistência da coloração após a aplicação do potencial, por um determinado tempo. Para o monitoramento desta característica, o eletrodo é mantido sob um potencial de oxidação ou redução para adquirir a coloração referente a esse estado. Em seguida, o circuito é desligado e sua a variação de cor monitorada em condições de circuito aberto.

A eficiência de sistemas que envolvem cores também pode ser analisada por outro método denominado colorimetria. Esta técnica utiliza modelos matemáticos para descrever quantitativamente as percepções do olho humano em relação às colorações. Embora este método possua parâmetros mais detalhados de análise para eletrodos eletrocrômicos, sua utilização não é amplamente difundida em relação aos outros parâmetros mencionados anteriormente, provavelmente devido ao fato de ser uma metodologia mais complexa e envolver softwares específicos. A seguir, é apresentada uma descrição resumida dos principais tópicos em colorimetria.

O sistema CIE, organizado pela Comissão Internacional de Iluminação, é utilizado para descrever a cor, padronizando observadores e iluminantes. O observador padrão representa a sensibilidade do olho humano em função da mistura das três cores primárias: azul, vermelho e verde.

A Figura 1 mostra que a padronização do campo visual é feita pela escolha de duas áreas distintas da retina, a fóvea e os bastonetes. A fóvea, localizada no fundo da retina, é o local em que os raios luminosos convergem e penetram no olho (foco visual), sendo assim responsável pela visão das cores. Somente na fóvea existem as células receptoras chamadas cones, as quais são atingidas diretamente pela luz e contribuem com a nitidez da imagem formada na retina. A presença dos cones promove a acuidade visual. Para cada cor, existe um tipo de cone e nestes baseiam-se a teoria tricolor da visão em cores. Os bastonetes constituem outro tipo de célula ocular e estão mais afastados da fóvea, eles são responsáveis pela visão em preto e branco.

 


Figura 1. Observador padrao e observadores-padrao 2º (dois graus) e 10º (dez graus)

 

Fora da fóvea, a acuidade visual diminui gradativamente devido à diminuição da quantidade de cones, com isso para tornar aplicável a padronização de um observador, torna-se constante a distância (d) do olho ao plano de visão e toma-se um ângulo de 2º ou de 10º. A primeira padronização foi criada em 1931 com o observador padrão dois graus (2º) e em 1964, uma nova padronização foi realizada com o observador padrão dez graus (10º),10,11 diferenciados pelo diâmetro (Φ) dos cones de visão. O diâmetro (Φ) definido pela base do cone formado é o campo visual do observador padrão e dessa forma o arco (ε) se relaciona com a distância (d) por meio da Equação 2.

 

 

O observador padrão 2º deve ser usado para visualizar objetos com ângulos entre 1º e 4º e o observador padrão 10º para visualizar objetos com ângulos maiores que 4º. A escolha do observador padrão dependerá do tamanho do objeto a ser considerado e da distância entre objeto e observador, pois a resposta à cor por parte do olho humano muda de acordo com o ângulo de visão e tamanho do objeto.

A padronização das fontes de iluminação também é necessária para estabelecer modelos matemáticos adequados. Três fontes iluminantes foram adotadas (padrão CIE: A, B e C) como aproximações de três condições mais comuns de iluminação, elas foram definidas para serem fisicamente reprodutíveis. Um conjunto de valores numéricos também foi definido em intervalos de 5 nm ao longo do espectro visível (entre 380 e 720 nm), os quais representam a distribuição espectral relativa da potência do iluminante padrão (SPD).

O iluminante padrão (A) foi criado para representar a iluminação interna artificial (lâmpada de tungstênio) e sua luz é relativamente amarelada, deficiente em azul e rica em comprimentos de onda vermelhos; o iluminante padrão (B) foi criado para representar a luz do dia juntamente com a luz do sol; e com o iluminante padrão (C) esperava-se representar a luz do dia média, no entanto ambos os iluminantes (B) e (C) apresentaram muito menos energia na região do ultravioleta comparado à luz do dia, não sendo adequado, por exemplo, para avaliações de amostras fluorescentes que necessitam de radiação na faixa do ultravioleta. Por esse motivo em 1963, um novo iluminante padrão (o iluminante D) foi definido por conta de sua distribuição espectral no UV, luz visível e nas proximidades do infravermelho próximo, adequando-o para representar as várias fases da luz do dia. O iluminante nomeado D65 foi, então, aceito como um iluminante padrão por conta de sua SPD ser uma boa aproximação da luz do dia, com temperatura de cor de 6504 K.11

Para a quantificação numérica de uma cor, são necessários os valores dos parâmetros triestímulos X, Y e Z. A partir da intensidade da cor obtida no espectro de reflectância (mistura das componentes vermelho (λ), verde (λ) e azul (λ) é realizado o cálculo dos triestímulos, no qual são também consideradas as distribuições espectrais do iluminante e do observador padrão. Assim, os componentes triestímulos são obtidos em função do comprimento de onda por meio das Equações 4 a 7.

 

 

Os valores triestímulos são representados por X, Y e Z, onde Sλ é a distribuição espectral do iluminante padrão, Rλ é o fator de reflectância, λ, λ e λ e são funções de triestímulos espectrais do observador padrão, Δλ é o intervalo de comprimento de onda e k é o fator de normalização com Y=100 (referente ao branco ideal e para qualquer combinação iluminante/observador). Todos os parâmetros citados acima são dependentes do comprimento de onda.12

A relação entre os valores de triestímulos e a cor de uma amostra não é obtida facilmente, pois esta também depende de cores adjacentes e do estado de adaptação dos olhos. Para melhor interpretação do alto nível de dificuldade provocado pela natureza tridimensional da cor, o sistema CIE considera apenas uma ou duas dimensões de cada vez. Para tanto, o valor triestímulo Y passou a representar a luminosidade da amostra. As coordenadas de cromaticidade (x, y e z), que representam outras duas dimensões da cor, são empregadas na construção de um gráfico de y versus x. As Equações 8 a 10 fornecem os valores destas coordenadas em função dos valores triestímulos.

 

 

Nota-se que para todas as cores: x + y + z = 1. Por essa razão, apenas duas das coordenadas de cromaticidade são necessárias para se construir um gráfico bidimensional que é chamado de diagrama de cromaticidade. A utilização deste diagrama em medidas eletrocrômicas facilita a visualização rápida de mudanças de cor do material e juntamente com o parâmetro de eficiência coulômbica tornam-se ótimas ferramentas para obtenção de resultados confiáveis. A representação deste gráfico será mostrada ao longo do texto na descrição de materiais eletrocrômicos.

 

MONTAGEM DA CÉLULA ELETROQUÍMICA

A composição da célula eletroquímica é fundamental para o funcionamento e a utilização do dispositivo eletrocrômico. Para os eletrodos ou para modificação destes, geralmente os substratos utilizados são placas de vidro recobertas por uma fina camada de óxido condutor (escala nanométrica), como por exemplo, o óxido de estanho dopado com índio (ITO) ou dopado com flúor (FTO). O eletrodo utilizado deve possuir um alto valor de transmitância (normalmente de 80%), sendo o FTO levemente mais escuro que o ITO.

As células eletrocrômicas, de forma simplificada, podem ser divididas em três tipos, conforme ilustrado na Figura 2 a seguir.

 


Figura 2. Esquematizaçao de células eletroquímicas para utilizaçao em dispostivos eletrocrômicos. Tipos: (A) soluçao, (B) híbrida e (C) bateria

 

A disposição dos eletrodos, mostrada na Figura 2, é em geral utilizada para pesquisas em dispositivos eletrocrômicos. Os dois eletrodos transparentes são colocados paralelamente e separados pelo eletrólito, o qual pode ser uma solução ou um polímero gelificado.13

Na célula do tipo (A), o cromógeno está dissolvido no eletrólito e é difundido até a superfície do eletrodo participando das reações redox. Na célula do tipo (B), chamada de híbrida, o eletrodo transparente é modificado com um cromógeno sólido na forma de filmes (M) sofrendo oxidação/redução. Já na célula do tipo bateria (C), o contra-eletrodo é também modificado com um material eletrocrômico complementar (I), visando uma maior combinação de cores, como no exemplo ilustrado em que a célula eletrocrômica pode ter uma variação entre amarelo, verde e azul.

 

MATERIAIS ELETROCRÔMICOS

Os materiais eletrocrômicos podem ser separados em duas grandes classes: inorgânicos ou orgânicos, dentro destas ainda podem ser subdividos como óxidos de metais de transição, complexos, sais de bipiridina e polímeros condutores. A seguir, são descritos os principais materiais descritos em literatura.

Muitos filmes de óxidos metálicos podem ter suas propriedades ópticas eletroquimicamente alteradas, produzindo uma intensa absorção. Esses compostos são vastamente encontrados em literatura, como o óxido de molibdênio (transparente / azul),14 o óxido de vanádio (amarelo / azul),15 o óxido de titânio (transparente / azul escuro),16 o óxido de nióbio (transparente / azul)17 e o óxido de irídio hidratado (transparente / azul escuro),18 entre outros.

Os metais de transição também podem formar complexos eletrocrômicos. Um material muito estudado é o hexacianoferrato de ferro (II), mais conhecido como Azul da Prússia (AP).19 O eletrocromismo de filmes finos de AP tem sido abordado em muitas pesquisas nos últimos anos20 e estes filmes podem possuir diversos estados de oxidação, sendo assim denominado como um composto polieletrocrômico (transparente, azul, verde e amarelo). As reações de oxidação e redução do AP são possíveis devido ao fluxo de cátions através de sua estrutura zeolítica, necessário para a compensação de cargas durante os processos de oxidação e redução.21 Além das propriedades eletrocrômicas deste material, o AP também é amplamente utilizado na fabricação de sensores e biossensores que atuam na catálise de redução de H2O2, subproduto de muitas reações enzimáticas baseadas em enzimas redox.22 Neste conexto, uma possível aplicação do AP também pode ser como um sensor óptico, isto é, a partir de diferentes tonalidades de cores que representariam diferentes concentrações de um determinado analito.

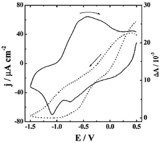
Na Figura 3 são apresentados resultados eletrocrômicos obtidos para um filme de AP eletrossintetizado. Tal experimento pode ser denominado "in situ", pois por meio da aplicação de um potencial podem ser medidos tanto os parâmetros de corrente quanto de absorção óptica do eletrodo modificado. A Figura 3(A) ilustra o esquema de um arranjo experimental normalmente utilizado em um experimento eletrocrômico.

 


Figura 3. (A) Representaçao esquemática de uma célula eletroquímica montada para experimentos "in situ". (B) Espectro visível do filme de AP quando aplicados diferentes potenciais, (C) Voltametria cíclica de um filme de AP sendo simultaneamente obtida a variaçao de transmitância a λ = 633 nm

 

Os espectros obtidos na região do UV-visível do filme de AP (Figura 3(B)) quando aplicados os potenciais de 0,0 V, 0,7 V e 1,2 V correspondem aos diferentes estados de oxidação do filme e suas colorações incolor, azul e verde, respectivamente. Também é possível obter informações por experimentos potenciodinâmicos, como a voltametria cíclica apresentada na Figura 3(C).

O comportamento reversível é observado na Figura 3(C) e corresponde à oxidação do AP que passa de um estado incolor a azul. Simultaneamente a variação da intensidade monocromática (633 nm) indica um decréscimo que retorna ao valor inicial, quando o filme volta ao seu estado reduzido.

É importante observar também se ocorre a sobreposição da derivada do máximo da variação de transmitância com o valor de potencial aplicado, representado graficamente em um voltamograma conforme mostrado na Figura 3(C). Quando os máximos de variação de cor se sobrepõem aos picos redox, o filme pode ser considerado contendo uma rápida compensação de cargas. Podem ser citados ainda outros estudos com azul da Prússia eletrodepositados sobre substratos de ITO flexíveis,23,24 estudos colorimétricos in situ25 e com metalocianinas.26

Entre os óxidos inorgânicos, o material eletrocrômico com maior destaque é o óxido de tungstênio (WO3) devido à sua importância histórica e aos altos valores de contrastes obtidos. Este material também pode ser utilizado em sensores de gases, para a detecção de NO2,27 H2S,28 amônia29 e ozônio,30 porém a propriedade mais pesquisada deste óxido é centrada em eletrocromismo, abrindo também a possibilidade da utilização em sensores ópticos, como explicado anteriormente no caso do AP. No WO3, os sítios de tungstênio apresentam estado de oxidação (VI) que são transparentes e quando reduzidos a W (V) é gerada uma coloração azul intensa, devido aos cátions inseridos na matriz do óxido. Filmes finos de WO3 apresentam um contraste óptico superior a 75%, com uma eficiência eletrocrômica superior a 100 cm2 C-1 em soluções aquosas ácidas e aproximadamente 30 cm2 C-1, em eletrólitos orgânicos contendo LiClO4. Entretanto, dependendo da sua cristalinidade e da área eletroativa utilizada, este óxido apresenta tempos de resposta elevados que variam entre 10 e 20 segundos.21

Uma das vantagens dos filmes de WO3 está na grande variedade de técnicas de deposição, podendo ser encontrados trabalhos que envolvem evaporação térmica, oxidação eletroquímica do metal, deposição química por vapor (CVD), sol-gel, entre outros.31 Para obtenção de um dispositivo eletrocrômico mais eficiente e com maior modulação de cores, um arranjo de eletrodos pode ser construído onde o WO3 é combinado com outros eletrodos baseados em materiais eletrocrômicos, como o AP,32 o poli(pirrol),33 a poli(anilina)34 e o IrO2.35

Diferentes publicações na literatura utilizam a colorimetria para análises de materiais e dispositivos eletrocrômicos. Dentre estes trabalhos, Kalagia e colaboradores36 estudaram os efeitos eletrocrômicos de WO3 depositados sobre ITO (óxido de estanho dopado com índio) pela técnica de sputtering e encontraram uma eficiência eletrocrômica (η) igual a 46,45 cm2 C-1. As análises colorimétricas (Figura 4) demonstraram que o comprimento de onda da amostra no estado reduzido (coloração azul) foi 420 nm e no estado oxidado (transparente) foi de 490 nm (o diagrama de cromaticidade permite acompanhar as características de mudança de cor visualmente por meio das coordenadas (x-y)). É possível observar que as coordenadas variam conforme ocorre a mudança do potencial (oxidação ou redução). Os autores demonstraram que em potenciais negativos (redução), os filmes de WO3 perdiam o componente branco, sendo a mudança inicial nas coordenadas de cromaticidade gradual e não-linear, porém à medida que o potencial aplicado se aproxima do potencial de redução do WO3, a curva se torna linear e mais acentuada, uma vez que se aproxima da região azul-escuro no diagrama de cromaticidade.

 


Figura 4. Diagrama de cromaticidade de filmes de WO3 depositados por sputtering. Reproduzido (adaptado) da ref. 36 com permissao da Elsevier

 

Considerando o conhecimento das cores associadas a um comprimento de onda, pode-se localizar em qual parte do diagrama de cromaticidade as cores puras são vistas. Em comprimentos de onda em torno de 480 nm observa-se o azul e em 520 nm o verde, sendo o vermelho observado no final do espectro (comprimentos de onda de 630 nm). Cores com valores de x e y próximas às bordas do espectro são muito saturadas, enquanto que amostras que refletem toda a luz incidente são brancas, sendo esta representada pelo ponto branco na Figura 4. Assim, para um mesmo comprimento de onda pode ser observado cores com tonalidades diferentes.

Nos dispositivos eletrocrômicos, muitos fatores possuem importância decisiva no rendimento e durabilidade, entre eles estão a estabilidade térmica, eletroquímica e principalmente eficiência e/ou mudança de coloração. Em outro estudo, Kalagia e colaboradores37 estudaram dispositivos eletrocrômicos formados com materiais complementares, WO3 e poli(anilina) com auxílio da colorimetria. A técnica de colorimetria permitiu atribuir comprimentos de onda predominantes, no estado colorido, 400 nm e 500 nm para o estado claro ou descolorido. Estas características são úteis quando são comparados diferentes dispositivos.

Outro óxido que tem sido objeto de um grande número de estudos é o óxido de níquel hidratado (ou hidróxido de níquel), uma vez que sua aplicação em baterias secundárias é bastante difundida.38 Em aparelhos portáteis comerciais, a bateria mais empregada é a de níquel metal-hidreto, no qual o hidróxido de níquel é utilizado como o material ativo no eletrodo positivo. A otimização de suas propriedades eletroquímicas é de grande interesse e relevância na construção de baterias com maior eficiência de carga. O hidróxido de níquel também apresenta propriedades eletrocrômicas adquirindo coloração marrom escuro quando é oxidado a oxi-hidróxido. O sistema é reversível e, portanto, torna-se incolor ao ser reduzido.39

Dhanaji e colaboradores40 utilizaram os recursos oferecidos pelo diagrama de cromaticidade para identificar as cores de filmes finos de NiO eletrocrômico em seus estados de oxidação e redução. As mudanças na cor foram observadas quando aplicados potenciais para obter os estados reduzido e oxidado dos filmes, sendo a formação do NiO confirmada por XPS. Os autores encontraram eficiência coulômbica de 49 cm2 C-1 e 49,45% na variação de transmitância que foram notadas por meio das mudanças das coordenadas x-y no diagrama de cromaticidade.

Conforme apresentado anteriormente, a colorimetria estabelece um modo preciso para a definição de cores e suas variações, desta forma é considerada mais adequada para os estudos de dispositivos eletrocrômicos quando comparada à interpretação qualitativa de bandas de absorção do espectro. A Tabela 1 apresenta alguns resultados da literatura comparando dados colorimétricos e eletrocrômicos. Utilizando somente dados eletrocrômicos como eficiência eletrocrômica e variação de transmitância, que no caso de WO3 e NiO são muito próximas, não é possível verificar a real magnitude da mudança de coloração. Quando associados com dados colorimétricos nota-se, por exemplo, que a amostra de WO316 apresenta maior contraste de cor, pois as coordenadas de cromaticidade (colorido-claro) apresentam maior variação, diferente do NiO, no qual esta propriedade é menos acentuada. Esta diferença, além da obtenção do comprimento de onda predominante associado a um estado de oxidação, somente é obtida utilizando a colorimetria.

 

 

Outro óxido interessante relatado na literatura é o pentóxido de vanádio (V2O5), que possui comportamento eletrocrômico bastante característico, apresentando variação de cores tanto em processos anódicos quanto catódicos. Assim como o óxido de níquel, os óxidos de vanádio também podem ser utilizados como material ativo de baterias secundárias41 e são muito empregados em dispositivos eletrocrômicos.42 Filmes finos desse material podem ser obtidos por diferentes técnicas: evaporação térmica, deposição pulsada a laser, spin-coating, evaporação a vácuo e sol-gel sendo a microestrutura e a composição dos filmes obtidos dependentes dos parâmetros de deposição.43

Dentro da classe de materiais inorgânicos, além do Azul da Prússia e dos óxidos mencionados, complexos metalo-orgânicos, principalmente baseados em complexos de rutênio, são bastante promissores como materiais eletrocrômicos.44 Os complexos metalo-orgânicos de rutênio apresentam forte absorção no visível em função de bandas de transferência de carga metal-ligante (MLCT), envolvendo orbitais dπ* localizados no metal e π* localizados no ligante, intervalência (CT) envolvendo dois sítios metálicos num mesmo complexo, além de transições internas do ligante do tipo π-π*. Devido à configuração eletrônica do rutênio, o processo redox Ru(III/II) envolve a transformação entre as configurações 4 d5/d6, que possui baixa reorganização interna, tornando o processo bastante rápido e totalmente reversível. Essas propriedades ópticas e eletroquímicas tornam esses complexos atraentes para aplicações eletrocrômicas. No entanto, essas propriedades são muitas vezes observadas somente nas espécies em solução e o desenvolvimento de processos de imobilização destas espécies em superfícies na forma de filmes se torna essencial.

O complexo tris-2,2'-bipiridinarutênio(II) (Ru(bpy)3) exibe forte absorção em aproximadamente 450 nm devido à banda MLCT (que torna a solução de cor laranja) e a um processo eletroquímico reversível do par Ru(III/II) em E1/2 = 1,51 V (vs. EPH). A oxidação a Ru(III) leva ao desaparecimento da banda MLCT no visível e apesar deste processo provocar variação de cor desejável, os primeiros trabalhos envolvendo complexos de Ru(bpy)3 não exploraram esta reação, mas sim a redução do ligante bpy.

Elliot e colaboradores45 prepararam um complexo de Ru(bpy)3 no qual inseriram grupos dicarboxiéster nas posições 5,5' da bpy (Figura 5(A) - R'). O grupo dicarboxiéster tem a propriedade de polimerizar através de aquecimento e isso foi utilizado para imobilizar o complexo em filmes previamente dispersos sobre eletrodos transparentes. A partir da voltametria cíclica do filme, os autores observaram até sete processos dentro do intervalo de potencial do DMF, nos quais foram observados variações de cores do laranja (espécie de estado de oxidação 2+), passando pelo púrpura, azul, verde, marrom até vermelho-cereja (espécie de estado de oxidação 4-). A variação de cores se deve ao surgimento de bandas largas na região do infravermelho próximo - visível. Apesar da grande riqueza em cores, o filme do complexo de rutênio não apresentou alta estabilidade. A inserção de grupos em R' ou R" (Figura 5(A)) perturba os níveis eletrônicos localizados na bpy e grupos de caráter removedor de densidade eletrônica abaixam a energia do orbital π* provocando o deslocamento da banda MLCT para o vermelho.

 


Figura 5. Classes de complexos metaloorgânicos de rutênio de grande potencial como materiais eletrocrômicos. (A) Ru(bpy)3 2+, (B) Ru(bpy)2L1L2 x+ e (C) cluster Ru3O(ac)6L1L2L3 y+. (bpy = 2,2'bipiridina, ac = acetato). L1,2,3 sao ligantes empregados para modular o potencial redox do rutênio. R', R'' sao substituintes da bipiridina com mesma funçao de modular o potencial redox, e foram ilustrados apenas numa das bipiridinas por simplicidade

 

O valor do E1/2 do par Ru(III/II) é relativamente alto e dificulta a exploração deste processo na variação de cor do material eletrocrômico. Uma estratégia para contornar este problema é a substituição de um dos ligantes bpy levando ao complexo Ru(bpy)2L1L2x+ (Figura 5(B)). A substituição de uma bpy por L1 (ou L2) de caráter mais elétron-doador provoca uma elevação da energia dos orbitais dπ* do rutênio. Como consequência, o potencial E1/2 é deslocado para valores mais negativos e o máximo da banda MLCT é deslocado para o vermelho. Deste modo, além de tornar o potencial do par Ru(III/II) mais acessível, pode-se modular a região de absorção do complexo, obtendo-se cores diferentes do laranja característico. Esta estratégia foi extensivamente explorada no desenvolvimento do corante sensibilizador utilizado em células fotoeletroquímicas,46 no qual o interesse é no melhor aproveitamento do espectro no visível. Nesse caso, o complexo de rutênio desenvolvido foi constituído por um derivado de bisbipiridinarutênio, onde foram inseridos grupos carboxilato nas posições 4,4' da bpy (Figura 5(A) - R") e tiocianato na posição de L1 e L2 (Figura 5(B)). Apesar disso, pouco tem se observado nos avanços utilizando esta estratégia para materiais eletrocrômicos.

Além das alterações no sítio de rutênio, os ligantes L1 e L2 (Figura 5B) podem ser utilizados para a imobilização do complexo em eletrodos transparentes seja por ligação direta ao substrato ou via polimerização, caso eles tenham estas propriedades. Forsteret e colaboradores47 utilizaram esta estratégia em complexos de rutênio terpiridina, coordenado a um ligante N,O-doador (benzoxazol) e polivinilpirrolidona (PVP). Com a oxidação do sítio de Ru(II), os autores observaram o decréscimo na banda MLCT em 480 nm, com concomitante surgimento de uma banda larga em 760 nm, atribuído à transição LMCT fenolato (π*)-Ru(dπ*). A oxidação do ligante fenolato ocorre em potenciais mais positivos e esta nova banda em 760 nm desaparece. Nesses estudos foram observadas variações de cores no filme do vermelho-vinho, verde-claro até laranja, na forma totalmente oxidada.

Dentro da classe de materiais orgânicos eletrocrômicos, podem ser citados os polímeros condutores que apresentam facilidade de síntese tanto por via química quanto eletroquímica, possuindo grande estabilidade e baixa solubilidade em água. Esta última característica torna-se interessante na utilização de eletrólitos aquosos ou baseados em água (como géis), uma vez que proporciona boa estabilidade ao eletrodo modificado, impedindo que o material eletrocrômico se dissolva, o que causaria a diminuição no contraste. As propriedades condutoras desses polímeros foram descobertas em 1977 quando Shirakawa e colaboradores48 observaram que o tratamento do poliacetileno com iodo (dopagem) provocava um aumento de condutividade do polímero de 10-8 a 103 S cm-1. A partir desta descoberta, o interesse nesses materiais vem crescendo continuamente e outros polímeros vêm sendo estudados.

Atualmente, há uma grande variedade de novos polímeros e seus derivados, sendo constituídos por anéis aromáticos ou cadeias lineares conjugadas. Nestes compostos existem ligações simples e duplas alternadas e, quando tratados por agentes redutores ou oxidantes, podem modificar seu estado de isolante para condutor (dopagem p ou n).49 A descoberta destes materiais foi muito importante, uma vez que as propriedades mecânicas e de processamento dos polímeros podem ser combinadas com as propriedades elétricas e ópticas dos metais. Podem ser citados como principais polímeros estudados a poli(anilina), o poli(pirrol), o poli(tiofeno) e o poli(acetileno). A área de estudo dos polímeros condutores é muito ampla, sendo aplicados em sensores,50 biossensores,51 materiais inibidores de corrosão,52 baterias recarregáveis,53 entre outros.

Grande parte dos polímeros condutores possui propriedades eletrocrômicas. Polímeros que apresentam a energia de gap (Eg) > 3,0 eV são opticamente transparentes ou fracamente coloridos quando desdopados e fortemente coloridos no seu estado dopado, exibindo assim bom contraste óptico e razoável tempo de resposta na mudança de cor. Ao contrário, os polímeros com 1,5 < Eg < 2,0 eV são fortemente coloridos quando desdopados e fracamente coloridos no estado dopado.54 Em sua forma oxidada, eles são dopados com contra-íons (dopagem p) e apresentam elétrons π delocalizados, para os quais a Eg determina as propriedades ópticas desses materiais. Além disso, modificações nas unidades monoméricas podem alterar suas propriedades espectrais.

Dentro da classe dos polímeros condutores "clássicos", as propriedades eletrocrômicas do poli(pirrol), poli(anilina), poli(tiofenos) e seus oligômeros são amplamente reportadas.55,56 O eletrocromismo da poli(anilina) foi primeiramente observado em 1876 por Goppelsröder,6 sendo suas propriedades elétricas e eletrocrômicas dependentes não apenas do seu estado de oxidação, mas também de sua protonação, podendo apresentar diversas colorações como violeta, verde e amarelo. Dentre os politiofenos, o PEDOT (poli(3,4-etilenodioxitiofeno)) é o representante mais estudado, que tem ganhado considerável interesse comercial e científico nos últimos anos graças a um número de propriedades vantajosas como alta transparência na região do visível e excelente estabilidade térmica.57

Muitas moléculas orgânicas apresentam estados redox com distintos espectros de absorção. As mais comuns são derivadas de sais de bipiridinas,55 também chamadas de viologênios e são vastamente empregadas em eletrodos eletrocrômicos devido à sua intensa coloração quando reduzidas. Os cátions radicalares dos viologênios possuem coloração intensa com altos valores de coeficiente de absortividade molar. A escolha adequada dos substituintes proporciona níveis de energias específicos aos orbitais moleculares, podendo ocasionar diferentes colorações aos respectivos cátions radicalares. Simples grupos alquila, por exemplo, promovem uma coloração azul/violeta,42 enquanto grupos arila como o 4-cianofenil no 1,1'bis-(4-cianofenil)-4,4'bipiridina proporciona a coloração verde ao cátion radicalar. 56 Também pode ser mencionada a alteração do potencial de redução dos viologênios por meio da ação dos substituintes,56 sendo que as estruturas duplamente reduzidas dos viologênios não apresentam coloração e são também extremamente irreversíveis, o que provoca a degradação da molécula responsável pela síntese e propriedades espectrais de diferentes moléculas e polímeros, todos com propriedades eletrocrômicas.

 

NANOMATERIAIS

A nanotecnologia foi apresentada pela primeira vez por Richard Feynman em 1959, durante o encontro anual da American Physical Society. O princípio básico desta ciência emergente é a manipulação da matéria em escala atômica para a criação de estruturas com diferentes organizações moleculares agregando diferentes propriedades em relação ao material correspondente já existente. Materiais e compostos nanoestruturados possuem sua propriedades químicas potencializadas ou até mesmo alteradas devido à redução de tamanho.58

A diminuição das dimensões do material proporciona grande relação área superficial / volume e está intimamente ligada ao eletrocromismo, uma vez que aumenta a quantidade de sítios ativos para que as reações redox ocorram e consequentemente, para que a velocidade de coloração do material aumente. Esta característica proporciona maior contato da superfície com o eletrólito, ocasionando rápida troca iônica. Assim, quando o material eletrocrômico possui estrutura em escala nanométrica, a propriedade do tempo de resposta é potencialmente maior em relação ao material original. Com o emprego de nanomateriais, além de economia na quantidade de material utilizado, o alto desempenho destes dispositivos (na ordem de milisegundos) torna-se possível.59

Devido à alta capacidade de armazenamento de carga, o TiO2 é muito utilizado em baterias íon-lítio e dispositivos eletrocrômicos. Juntamente com a alta velocidade de inserção/desinserção de íons Li+ na matriz, este material apresenta uma mudança reversível em sua coloração do transparente para o azul devido à redução de íons Ti4+. Apesar da polimorfia do TiO2, a forma anatase é a considerada mais eletroativa em relação às outras (rutila, brookita, TiO2-B bronze). Jankulosvka e colaboradores60 demonstraram a formação nanofios de TiO2 nas fases rutila e anatase e o material formado foi utilizado na modificação de eletrodos de FTO por meio da deposição por banho químico, sendo que as diferentes propriedades eletrônicas dos nanofios obtidos promoveram mudanças no comportamento eletrocrômico, com a fase anatase de maior eficiência de coloração.

O óxido de titânio é um material que vem sendo investigado extensivamente devido às suas propriedades como alta estabilidade química, baixa toxicidade e baixo custo. As propriedades dos filmes nanocristalinos de TiO2 para aplicações eletrocrômicas são interessantes, como transparência à luz visível, condutividade eletrônica, grande área superficial e alta afinidade a ligantes, podendo assim incorporar cromóforos orgânicos ou complexos de metais de transição em grande quantidade, devido a sua elevada área superficial.61

Um trabalho marcante na utilização de TiO2 em células solares foi realizado por O'Regan e Grätzel.62 Neste trabalho foi reportado que utilizando camadas mesoporosas de dióxido de titânio (TiO2) modificado superficialmente por corantes de rutênio (os quais absorvem fortemente a luz), a eficiência fotoeletroquímica atingiu valores superiores a 7%. Uma típica DSC (do inglês, dye sensitized nanocrystaline solar cell - célula solar nanocristalina modificada por corante) é composta inicialmente por duas lâminas de vidro recobertas por uma camada transparente de FTO. Uma fina camada coloidal de pasta de TiO2, constituída de partículas com tamanhos entre 20-40 nm, recobre a primeira lâmina, e em seguida, este filme é sinterizado ao ar a 400 ºC, obtendo assim uma camada mesoporosa (~ 10 µm), que é modificada pela adsorção química do corante através de grupos ancoradores. A segunda lâmina é recoberta por um filme fino de platina que pode ser obtido por sputter ou deposição eletroquímica. As duas lâminas são então seladas com um eletrólito polimérico contendo o par redox I-/I3-.

O mesmo arranjo utilizado em células solares63 pode ser utilizado para a construção de dispositivos eletrocrômicos de alto desempenho, nos quais a molécula adsorvida sobre o TiO2 é a responsável pela mudança de coloração. A modificação de eletrodos nanocristalinos de TiO2 a partir da adsorção de cromóforos orgânicos e baseados em sais de bipiridina no trabalho realizado por Campus e colaboradores64 resultou em eletrodos com diferentes colorações, atingindo eficiências eletrocrômicas de 270 cm2 C-1, muito maiores que os valores obtidos para o TiO2. Ainda nesse trabalho, o contraeletrodo também foi modificado com uma fina camada de Azul da Prússia, obtendo um dispositivo com maior contraste.

Além dos complexos inorgânicos baseados em rutênio descritos por Grätzel, outra classe atrativa de complexos polinucleares na aplicação em dispositivos eletrocrômicos é a do cluster trinuclear de acetato de rutênio, em função de sua composição definida, estabilidade térmica, reversibilidade eletroquímica e intensa absorção no infravermelho próximo.65 O cluster de núcleo Ru3O6+ exibe uma banda intensa por volta de 900 nm. Essa banda é mais estreita que a comumente observada para os outros sistemas de valência mista, sendo denominada interna do cluster ou intracluster. Com a oxidação do núcleo para a forma Ru3O7+ não ocorre o desaparecimento desta banda, mas o deslocamento para região de 700 nm. O potencial de E1/2 desse processo ocorre por volta de 0,0 a 0,2 V (dependendo dos ligantes coordenados ao rutênio), o que o torna de fácil acesso. Deste modo, sistemas baseados no cluster trinuclear de acetato de rutênio são promissores em dispositivos eletrocrômicos como corantes ancorados a nanoestruturas.

O primeiro exemplo explorando as propriedades eletrocrômicas de clusters trinucleares de acetato de rutênio em filmes foi realizado por Toma e colaboradores (Figura 5C).66 Eles coordenaram íons Fe(CN)63- aos resíduos pirazínicos do cluster de composição Ru3O(ac)6(pz)3(pz = pirazina) e imobilizaram o complexo resultante sobre eletrodos de níquel. No filme, os clusteres de rutênio estão imobilizados por pontes -Fe-CN-Ni-NC-Fe- numa estrutura análoga ao azul da Prússia. Foram observadas alterações espectrais, principalmente na região de 900 nm em função do potencial aplicado entre 0,0 e 1,0 V. Posteriormente, Toma e colaboradores67 propuseram outro sistema eletrocrômico baseado num cluster de composição [Ru3O(ac)6(py)2BPEB]+ (BPEB = 1,4-bis[2(4-piridil)etenil]benzeno) adsorvido sobre eletrodo transparente nanocristalino de TiO2. O sistema exibiu a variação óptica característica do cluster entre -1,0 e 0,5 V e alta durabilidade mesmo após mil ciclos, como demonstrado na Figura 6.

 


Figura 6. (a) Espectroeletroquímica e (b) cronoamperometria obtidas do dispositivo eletrocrômico baseado no eletrodo TiO2 / [Ru3O(ac)6(py)2BPEB]+(BPEB = 1,4-bis[2(4-piridil)etenil]benzeno). Reproduzido da ref. 67 com permissao da Elsevier

 

Além desta metodologia de combinação entre materiais inorgânicos e orgânicos na construção de eletrodos eletrocrômicos, a preparação de nanoestruturas eletrocrômicas híbridas é uma excelente maneira de melhorar as propriedades já apresentadas e, algumas vezes, obter novas propriedades. Facci e Huguenin68 avaliaram as propriedades cromogênicas e capacidades de armazenamento de íon lítio em filmes compósitos de nanopartículas de TiO2 e óxidos baseados em tungstênio (WOxHy) preparados por LbL (do inglês layer-by-layer), comparando-os com filmes de nanopartículas de TiO2 obtidos pelo método dip-coating. Neste estudo, foi observado que a superfície destes eletrodos não influencia nas propriedades eletroquímicas e eletrocrômicas, porém, o nanocompósito TiO2/WOxHy apresentou maior difusão iônica, a qual contribuiu para o aumento na capacidade de armazenamento de carga. No estudo realizado por Zukalova e colaboradores,69 os filmes mesoporosos de TiO2 foram produzidos pelo método LbL e por dip-coating, apresentando maiores valores de rugosidade em relação aos mesmos filmes feitos a partir de anatase nanocristalina.

Segundo Li e colaboradores,70 nanopartículas de óxido de tungstênio fabricadas por meio de HWCVD quando depositadas por spray ultrassônico podem ser controladas no tamanho e na continuidade dos filmes formados. A partir de diferentes condições de temperatura e meios oxidantes, foram obtidos três tipos de nanopartículas: pequenas (5-15 nm), grandes (60-80 nm) e comerciais (60-80 nm), sendo que as nanopartículas pequenas possuem forma esférica e os filmes produzidos por nanopartículas grandes possuem a forma de nanobastões.

Outro método de formação de nanopartículas de WO3 é o sol-gel. Santato e colaboradores71 descreveram a síntese de nanopartículas de WO3 com diferentes cristalinidades formadas através de diversos parâmetros de síntese, alterações nos aditivos orgânicos (PEG, poli(etilenoglicol), manitol, glicerol e etilenoglicol) e na temperatura de sinterização. Os filmes obtidos apresentaram orientação cristalográfica a partir de centenas de nanômetros até alguns micrômetros. Estes materiais foram utilizados na modificação de eletrodos que demonstraram excelente durabilidade e 40 cm2 C-1 de eficiência eletrocrômica.

Kharade e colaboradores72 estudaram a síntese de nanoestruturas de WO3 utilizando diferentes surfactantes na síntese, como PEG, cloreto de sódio e dodecilsulfato de sódio (SDS) e, como precursores inorgânicos, o tungstato de sódio e o dietil sulfato de sódio. As propriedades eletrocrômicas das nanoestruturas foram avaliadas em eletrólito LiCl4/PC para o estudo de inserção/extração de íons Li+. Diferentes morfologias foram obtidas a partir das sínteses contendo diferentes surfactantes, como observado na Figura 7 que apresenta as micrografias de MEV para os sistemas WO3:PEG (A), WO3:SDS (B) e WO3:NaCl (NaCl). As nanopartículas apresentadas na Figura 7(A) apresentam microestruturas like-chain que facilitam a migração de íons do contra-eletrodo. O uso do surfactante SDS resultou em grãos irregulares e placas circulares por toda a superfície. Diferente dos sistemas anteriores deste estudo, as nanopartículas obtidas para o sistema WO3:NaCl revelaram nanoplacas compostas de nanofios grandes e irregulares alinhados. Segundo os autores, o decréscimo na densidade de carga de intercalação a partir de WO3:PEG para WO3:SDS e WO3:NaCl é responsável pela diminuição da reversibilidade eletrocrômica dos sistemas.

 


Figura 7. Micrografias de MEV para os sistemas WO3:PEG (A), WO3:SDS (B) e WO3:NaCl (C). Reproduzido da ref. 72 com permissao da Elsevier

 

Embora a síntese de nanoestruturas empregando o método sol-gel seja amplamente descrita, um ponto primordial está na adsorção destas estruturas em um substrato condutor de forma que a arquitetura nanométrica seja mantida. Dentre as principais formas de deposição, a mais simples consiste no espalhamento da solução coloidal na superfície do eletrodo seguida da evaporação do solvente, sendo que, embora direta, esta metodologia pode levar a uma grande heterogeneidade superficial. Atualmente, a principal metodologia consiste na deposição por camadas eletrostáticas (LbL) desenvolvida inicialmente por Decher.73 Esta técnica, já citada anteriormente, consiste na alternância de nanopartículas eletrocrômicas com polímeros eletricamente carregados. Neste sentido Huguenin e colaboradores,74 em um interessante artigo utilizando a técnica de LbL, observaram melhores parâmetros eletroquímicos e novos efeitos eletrocrômicos em eletrodos de ITO modificados por filmes de V2O5/PANI, com o V2O5 obtido pelo método sol-gel (poliânion) e a PANI preparada na forma de base emeraldina dissolvida em solução de dimetilacetamida (policátion). O perfil eletrocrômico da PANI prevaleceu em análises por voltametria cíclica, como demostrado na Figura 8, e os nanonocompósitos descritos neste trabalho mostraram grande possibilidade de aplicação em baterias de lítio devido às excelentes respostas eletroquímicas. Os autores ainda enfatizam que a manipulação em nível molecular pode melhorar parâmetros eletrocrômicos e eletroquímicos dos materiais.

 


Figura 8. Voltametria cíclica e absorçao "in situ" na radiaçao de 660 nm do eletrodo modificado por bicamadas de PANI/V2O5, v = 20 mVs-1. Reproduzido da ref. 74 com permissao da ACS

 

Outra técnica de destaque consiste na deposição eletroforética, que ocorre mediante a aplicação de um campo elétrico externo, forçando desta forma a movimentação e deposição de nanoestruturas no eletrodo de carga contrária. No desenvolvimento de eletrodos eletrocrômicos, esta técnica mostrou ser amplamente superior à deposição por LbL, sendo obtidos eletrodos com maior eficiência, menores tempos de resposta e maiores durabilidade e reversibilidade para nanopartículas de hidróxido de níquel aditivadas.75 Além dessas, foi reportado que deposição via eletroforese de nanopartículas de WO3 resultou em um eletrodo de altas durabilidade e estabilidade eletrocrômica por mais de 3.000 ciclos.76

Dispersões aquosoas de PEDOT contendo quantidades substanciais de polieletrólito aniônico PSS (poliestireno sulfonato de sódio), que também serve como um balanço de carga para o cátion PEDOT oxidado, foram desenvolvidas por Bayer AG e comercializadas sob a marca Baytron P. Atualmente, várias dispersões aquosas de PEDOT:PSS e, , stão disponíveis por H. C. Starck GmbH vendidas como Clevios P.77 Essas dispersões contêm o estabilizante em pelo menos a mesma fração em massa que PEDOT com conteúdo de sólidos variando de 1,2 a 3,2%m. Os tamanhos de partícula são de 35-100 nm e seus filmes finos exibem condutividades até 900 S cm-1.78 Para montagens LbL de nanopartículas de PEDOT estabilizadas por surfactantes catiônicos como o PSS, o inchaço e o compactamento das cadeias por oxidação e redução foram estudados via ressonância eletroquímica plasmônica de superfície. Em comparação com as montagens comerciais de PEDOT:PSS com poli(etilenoimina), tempos de resposta menores foram observados, o que foi atribuído à uma melhor difusão de contra-íons balanceadores de carga na camada eletroativa de PEDOT.79

Em uma arquitetura refletora usando um eletrodo de ouro pulverizado, nanotubos de PEDOT mudaram de azul escuro para azul claro com tempos de resposta de 20 a 30 ms por oxidação e redução, respectivamente. Em dispositivos window-like, templates porosos de alumina depositados por pulverização sobre eletrodo de ITO foram utilizados para crescer nanoestruturas de PEDOT, as quais exibiram intervalos de mudança de 50 e 70 ms.80 A utilização desses nanotubos de polímeros condutores para aplicações eletroquímicas é relativamente recente, como explicado por Chang e colaboradores81 no trabalho de revisão sobre "eletroquímica rápida de nanotubos de polímeros condutores". Graças ao formato longo e tubular, os nanotubos promovem rápida difusão dos contraíons para dentro e para fora das estruturas, sendo que dispositivos flexíveis baseados em transmissão e reflexão foram construídos com base nessa tecnologia.82,83

Um dispositivo interessante baseado no eletrocromismo de polímeros condutores foi desenvolvido por Takamatsu e colaboradores,84 constituído por uma tela flexível com pixels que mudam de cor quando ativados por uma caneta luminosa. O conceito geral do dispositivo é mostrado na Figura 9, onde um display eletrocrômico com PEDOT:PSS foi combinado com um arranjo de fotossensores baseados em uma mistura de PEDOT:PSS e rodopsina bacteriana (bR), que é uma proteína fotorreceptora. Quando a rodopsina é atingida por um sinal luminoso, ela libera protóns, deslocando o equilíbrio do PEDOT para sua forma reduzida azul, que é reversível com a forma oxidada incolor, quando a intensidade de luz cessa. O dispositivo respondeu ao sinal de uma caneta luminosa pela mudança de coloração nos pixels eletrocrômicos correspondendo às células sensitivas estimuladas. Com o uso desses materiais orgânicos, todo o dispositivo pôde ser depositado sobre um substrato de plástico fino e ser flexível, apresentando boas respostas mesmo quando o dispositivo foi mecanicamente dobrado.

 


Figura 9. Dispositivo flexível, orgânico de caneta emissora de luz com display integrado. Reproduzido da ref. 84 com permissao da Elsevier

 

O trabalho de Liao e colaboradores85 relata a viabilidade de fabricar um dispositivo fotoeletroquímico (PECD) baseado em PEDOT/TiO2. Embora o contraste visual previsto do sistema estudado fosse limitado a 25%, o PEDOT é sem dúvida, um candidato promissor para um material de coloração catódica com uma reversibilidade muito boa e grande atenuação óptica. Além disso, devido às elevadas condutividade e eficiência de coloração de 280 cm2 C-1, o PECD possui um tempo de resposta mais rápido do que outros sistemas. Graças ao PEDOT alterar gradualmente sua cor em um potencial mais negativo que é limitado pelo TiO2, o sistema de PEDOT/TiO2 atingiu apenas 20% a 22% na variação de transmitância a 630 nm para ambos os tipos de sistema (compósito e separado). Nesse sistema, cada célula PECD é composta por dois eletrodos, o tipo 1 é para um sistema irreversível ativado por uma fonte de radiação UV com um eliminador de furo que contém o TiO2 revestido por uma fina película composta de PEDOT de um lado de um eletrodo de ITO, ele também é indicado como um compósito, uma vez que uma película composta por uma camada fotoativa (TiO2 com ou sem corante) e uma camada eletrocrômica (PEDOT) é formada; o tipo 2 é um sistema reversível alimentado por luz visível irradiando um corante de rutênio (Ru) com a ajuda do par redox I-/I3- , ele é composto de corante de Ru adsorvido sobre TiO2 em um dos lados de um eletrodo de ITO e PEDOT eletrodepositado do outro lado do ITO, ele também é denotado como um tipo separado porque a camada fotoativa e a camada eletrocrômica são separadas.

Conforme citado anteriormente, o PEDOT pode ser azul claro no estado dopado e azul escuro no estado não dopado, o que limita sua aplicação. Entretanto, o poli(pirrol) (PPy) apresenta coloração azul-violeta no estado dopado e verde amarelado na forma não dopada, possuindo uma ampla gama de cores, porém suas propriedades eletrocrômicas são difíceis de serem exploradas devido à degradação do filme em mudanças repetitivas de coloração. Yi-Jie e colaboradores86 desenvolveram um copolímero de PEDOT e PPy que apresenta eletrocromismo multicolor (amaranto, cinza, marrom-escuro e azul-claro), em vários potenciais aplicados a estabilidade eletroquímica foi melhorada pela incorporação de unidades de EDOT na cadeia de Ppy. O contraste de transmitância e a capacidade de carga foram monitorados em função do número de ciclos e foi observado que depois de 2000 steps duplos de potencial, o filme reteve 71,8% do contraste óptico máximo e 69,6% da capacidade de carga, exibindo uma estabilidade razoável de trocas. Após 2000 ciclos, o filme Ppy-co-EDOT manteve 81% da sua eletroatividade original e a mudança na densidade de corrente de pico anódico (jap) e catódico (jcp) foi de 16 e 17% respectivamente, sendo assim um material promissor para aplicações futuras em dispositivos eletroquímicos.

Devido ao efeito sinérgico resultante da combinação de diferentes propriedades dos componentes, os nanocompóstos de polímeros conjugados e nanoestruturas de carbono têm sido amplamente estudados. Nos compósitos de poli(anilina) (PANI), o eletrocromismo ocorre devido aos diferentes estados de redução que podem ser obtidos a partir do polímero como (i) leucoemeraldina, (ii) emeraldina e (iii) pernigranilina. Salvatierra e colaboradores87 prepararam um filme de PANI e nanotubos de carbono (CNTs) por rota eletroquímica utilizando uma célula com um eletrodo de ITO que foi orientado perpendicularmente a um laser incidente. Para verificar o efeito de nanotubos de carbono (CNTs) no processo de oxirredução foi realizado um estudo espectroeletroquímico dos filmes de PANI e PANI/CNTs-50% depositados em um eletrodo de ITO. Tanto o filme de PANI quanto o filme de PANI/CNTs apresentaram processos reversíveis de redução e por meio do voltamograma cíclico foi possível perceber que na presença dos CNTs o polímero permaneceu eletroativo, porém com algumas diferenças. Os resultados apresentados indicaram que os CNTs na estrutura da PANI a transformam em uma forma mais polarônica (e consequentemente, mais planar), que facilita a interação entre os dois componentes.

Silva e colaboradores88 realizaram o estudo de filmes híbridos de óxido de nióbio lamelar (hexaniobato) e PANI, que apresentaram variação na sua cor quando eletroquimicamente reduzidos. Foi observado que dependendo da orientação das camadas do hexaniobato (NbONsc), seriam produzidos dois tipos distintos de regiões interlamelares, as quais possuem diferentes características cristalográficas e que a partir da esfoliação dessas regiões interlamelares, uma nova possibilidade de aplicação é possível. Assim, estes materiais esfoliados se tornam uma nova classe de nanopartículas bidimensionais que podem ser utilizadas na construção de blocos para a preparação de dispositivos nanoestruturados inovadores. Combinando as propriedades dos materiais eletrocrômicos como óxidos metálicos e polímeros condutores, obtém-se materiais híbridos com propriedades aprimoradas. Neste trabalho, filmes eletrocrômicos obtidos pelo método LbL foram formados por NiO e PANI e apresentaram alta estabilidade e ótima eficiência. Por microscopia eletrônica de varredura com aquisição de elétrons secundários e restroespalhados foi confirmado que a esfoliação do hexabionato gerou nanoespirais e, comparando as imagens com e sem a presença do polímero condutor, observou-se que com a PANI houve maior rugosidade superficial, a qual está associada à presença do polímero adsorvido no NbONsc, formando um nanomaterial híbrido. Os resultados obtidos indicaram que o filme de PANI-LbL-NbONsc apresentou propriedades de armazenamento de carga aprimoradas em comparação aos filmes constituídos apenas por PANI ou apenas por hexaniobato e este efeito sinérgico foi atribuído à melhora na eletroatividade do componente NbONsc no nanomaterial híbrido. Além disso, as cadeias de PANI puderam melhorar a ligação entre as nanopartículas de hexaniobato e, consequentemente, aumentar a condutividade eletrônica.

Materiais poliméricos podem também ser utilizados como eletrólitos em dispositivos eletroquímicos. Esta aplicação é promissora pois permite o desenvolvimento de novos materiais com alta condutividade iônica e eletroquímica e estabilidade mecânica. O poli(óxido de etileno) (PEO) foi a primeira matriz polimérica utilizada em eletrólitos. Sua estrutura, composta de unidades helicoidais [-CH2CH2O-]n, vem sendo muito estudada devido à sua adequação para o transporte rápido de íons. O desenvolvimento de eletrólitos poliméricos requer um conjunto de características que sejam favoráveis para sua aplicação, tais como em painéis de visualização e janelas inteligentes e essas características implicam em estabilidade química, resistência mecânica, condutividade iônica e caminho óptico transparente. Oliveira e colaboradores89 desenvolveram um eletrólito sólido para a eletrodeposição reversível de prata com um caminho óptico transparente, utilizando PEO para aplicações em dispositivos eletrocrômicos. Os efeitos sobre a transparência do eletrólito foram estudados por adição de HClO4 e o efeito eletrocrômico, por adições de KI em diferentes concentrações. O ácido perclórico forneceu ao eletrólito Ag-PEO um aspecto transparente, condição essencial para sua utilização em dispositivos eletrocrômicos, e também aumentou a reversibilidade da eletrodeposição dissolvendo o filme de prata.

 

CONCLUSÃO

Neste trabalho de revisão foram descritos os principais fundamentos em eletrocromismo. Parâmetros de análise como eficiência, tempo de resposta, durabilidade e cromaticidade foram ilustrados com os principais materiais eletrocrômicos encontrados em literatura e também um destaque especial foi dado à montagem de eletrodos geralmente utilizados na construção de dispositivos. A incorporação de nanomateriais, além de constituir nova forma de modificação de eletrodos, proporcionou um grande estímulo à área, sendo que materiais orgânicos, inorgânicos e híbridos estão sendo desenvolvidos para a construção de dispositivos de alto desempenho, os quais devem apresentar características como alta eficiência, elevado contraste, alta durabilidade e baixíssimos tempos de resposta.

 

AGRADECIMENTOS

Os autores agradecem a CAPES e ao CNPq.

 

REFERÊNCIAS

1. Granqvist, C. G.; Sol. Energy Mater. Sol. Cells 2000, 60, 201; Mortimer, R.; Dyer, A.; Reynolds, J.; Displays 2006, 27, 2; Mortimer, R. J.; Clarke, D. R.; Fratzl, P.; Annu. Rev. Mater. Res. 2011, 41, 241.

2. http://www.isoclima.net/uk/index.html, acessada em Maio 2013; http://www.saint-gobain.com/en/group/innovation-and-research/new-products/sgs-lightuning, acessada em Maio 2013; http://www.pilkington.com/, acessada em Maio 2013.

3. http://www.gentex.com/aerospace.; http://www.gentex.com/aerospace.; http://www.apog.com/; http://sageglass.com/benefits/, acessada em Maio 2013.

4. http://www.agc.com/english/products/products_05.htmla.; http://www.nikon.com/products/index.htm.;http://www.tytlabs.co.jp/english/ tech/tec4.html, acessada em Maio 2012.

5. De Oliveira, S.; Torresi, R.; De Torresi, S.; Quim. Nova 2000, 23, 79; Granqvist, C. G. Handbook of Inorganic Electrochromic Materials Elsevier, Amsterdam: 1995; Somani, P. Radhakrishnan, S.; Mater. Chem. Phys. 2002, 76, 15.

6. Goppelsröder, M. F.; Comptes rendus de l'Académie des sciences 1876, 82, 1199.

7. Brimm, E. O.; Brantley, J. C.; Lorenz, J. H.; Jellinek, M. H.; J. Am. Chem. Soc. 1951, 73, 5427.

8. Platt, J. R.; J. Chem. Phys. 1961, 34, 862.

9. Deb , S. K.; Appl. Opt. Suppl. 1969, 3, 192; Deb, S. K.; Sol. Energy Mater. Solar Cells 1995, 39, 191.

10. Wyszecki, G.; "Color in Business, Science and Industry", 2nd ed., Wiley: New York, 1963.

11. Roderick, M.; Color Physics for Industry, 2nd ed., Edited by Roderick McDonald, 1997.

12. Berns, R.S.; Billmeyer and Saltzman's Principles of Color Technology, 3rd edition, John Wiley & Sons: New York, 2000.

13. Fenton, D. E.; Parker, J. M.; Wright, P. V.; Polymer 1973, 14, 589; Ramesh, S.; Ng, K, Y.; Curr. Appl. Phys. 2009, 9, 329; Zhang, L.; Zhang, S. C.; Electrochim. Acta 2008, 54, 606; Stephan, A. M.; Eur. Polym. J. 2006, 42, 21; Kucharski, M.; Lukaszewicz, T.; Mrozek, P.; Opto-Electron. Rev. 2004, 12, 175.

14. Scarminio, J.; Lourenco, A.; Gorenstein, A.; Thin Solid Films 1997, 302, 66.

15. Livage, J.; Solid State Ionics 1996, 86, 935.

16. Harizanov, O.; Harizanova, A.; Sol. Energy Mater. Sol. Cells 2000, 63, 185.

17. Schmitt, M.; Heusing, S.; Aegerter, M. A.; Pawlicka, A.; Avellaneda, C.; Sol. Energy Mater. Sol. Cell 1998, 54, 9.

18. Nishio, K.; Watanabe, Y.; Tsuchiya, T.; Thin Solid Films 1999, 350, 96.

19. Itaya, K.; Ataka, T.; Toshima, S.; J. Am. Chem. Soc. 1982, 104, 4767; Neff, V. D.; J. Electrochem. Soc. 1985, 132, 1382.

20. Ellis, D.; Eckhoff, M.; Neff, V.D.; J. Phys. Chem. 1981, 85, 1225; Chen, L. C.; Huang, Y. H.; Ho, K. C.; J. Solid State Electrochem. 2002, 7, 6; Ogura, K.; Nakayama, M.; Nakaoka, K.; J. Electroanal. Chem. 1999, 474, 101.

21. Horanyi, G.; Inzelt, G.; Kulesza, P .J.; Electrochimica Acta. 1990, 35, 811; Karyakin, A. A.; Electroanal. 2001, 13, 813; Bruce, P. G.; Solid State Electrochemistry, 1st ed., Cambrigde University Press: New York, 1994; Kharton, V. V.; Solid State Electrochemistry I: Fundamentals, Materias and their Applications, 1st ed., Wiley-VCH: 2009.

22. Wang, J.; Chem. Rev. 2008, 108, 814; Ferreira, M.; Fiorito, P. A.; Oliveira, O. N.; De Torresi, S. I. C.; Biosens. Bioelectron. 2004, 19, 1611; Ricci, F.; Palleschi, G.; Biosens. Bioelectron. 2005, 21, 389.

23. Mortimer, R. J.; Varley, T. S.; Dyes and Pigments 2011, 89, 169.

24. Pinheiro, C.; Parola, A. J.; Pina, F.; Fonseca, J.; Freire, C.; Sol. Energy Mater. Sol. Cells 2008, 92, 980.

25. Mortimer, R. J.; Reynolds, J. R.; J. Mater. Chem. 2005, 15, 2226.

26. Akçay, H. T.; Bayrak, R.; Demirbas¸ U, Koca, A.; Kantekin, H.; De girmencioglu, I.; Dyes and Pigments 2013, 96, 483.

27. Cantalini, C.; Sun, H. T.; Faccio, M.; Pelino, M.; Santucci, S.; Lozzi, L.; Passacantando, M.; Sens. Actuators, B 1996, 31, 81.

28. Lin, H. M.; Hsu, C. M.; Yang, H. Y.; Leeb, P. Y.; Yang, C. C.; Sens. Actuators, B 1994, 22, 63.

29. Maekawa, T.; Tamaki, J.; Miura, N.; Yamazoe, N.; Chem. Lett. 1992, 4, 639.

30. Aguir, K.; Lemire, C.; Lollman, D. B. B.; Sens. Actuators, B 2002, 84, 1.

31. Tritthart, U.; Gey, W.; Gavrilyuk, A.; Electrochim. Acta. 1999, 44, 3039; Avellaneda, C. O.; Bueno, P. R.; Bulhoes, L. O. S.; J. Non-Cryst. Solids 2001, 290, 115; Detorresi, S. I. C.; Gorenstein, A.; Torresi, R. M.; Vazquez, M. V.; J. Electroanal. Chem. 1991, 318, 131.

32. Su, L. Y.; Xiao, Z. D.; Lu, Z. H.; Thin Solid Films 1998, 320, 285.

33. Rocco, A. M.; DePaoli, M. A.; Zanelli, A.; Mastragostino, M.; Electrochimica Acta. 1996, 41, 2805.

34. Bernard, M. C.; Bernard, P.; Keddam, M.; Senyarich, S.; Takenouti, H.; Electrochim. Acta. 1996, 41, 91.

35. Taunier, S.; Guery, C.; Tarascon, J.M.; Electrochimica Acta. 1999, 44, 3219.

36. Kalagi, S. S.; Mali, S. S.; Dalavi, D. S.; Inamdar, A. I.; Im, H.; Patil, P. S.; Electrochim. Acta. 2012, 85, 501.

37. Kalagi, S. S.; Mali, S. S.; Dalavi, D. S.; Inamdar, A. I.; Hyunsik, I.; Patil, P. S.; Synth. Met. 2011, 161, 1105; Kharade, R. R; Mali, S. S; Patil, S. P; Patil, K. R; Patil, P. S; Bhosale, P. N; Electrochimica Acta. 2013, http://dx.doi.org/10.1016/j.electacta.2013.03.123

38. Sood, A. K.; J. Appl. Electrochem. 1986, 16, 274; Unates, M. E.; Folquer, M. E.; Vilche, J. R.; Arvia, A. J.; J. Electrochem. Soc. 1992, 139, 2697; Kimb, Y. J.; Srinivasan, S.; Appleby, A. J.; J. Appl. Electrochem. 1990, 20, 377.

39. Natarajan, C.; Ohkubo, S.; Nogami, G.; Solid State Ionics 1996, 86, 949; Bendert, R. M, Corrigan, D. A.; J. Electrochem. Soc. 1989, 136, 1369; Vidotti, M.; Torresi, R.; Córdoba de Torresi, S. I.; Quim. Nova 2010, 33, 2176; Provazi, K.; Giz, M. J.; Dall'Antonia, L. H.; de Torresi, S. I. C.; J. Power Sources. 2001, 102, 224.

40. Dhanaji, S. D.; Rupesh, S. D.; Raghunath, S. P.; Yuan-Ron, M.; Pramod, S. P.; Mater. Lett. 2013, 90, 60.

41. Varela, H.; Huguenin, F.; Malta, M.; Torresi, R. M.; Quim. Nova. 2002, 25, 287.

42. Benmoussa, M.; Outzourhit, A.; Bennouna, A.; Ameziane, E. L.; Thin Solid Films 2002, 405, 11.

43. Ottaviano, L.; Pennisi, A.; Simone, F.; Salvi, A. M.; Opt. Mater. 2004, 27, 307; Holland, G. P.; Huguenin, F.; Torresi, R. M.; Buttry, D. A.; J. Electrochem. Soc. 2003, 150, 721; Huguenin, F.; Ticianelli, E. A.; Torresi, R. M.; Electrochim. Acta 2002, 47, 3179; Huguenin, F.; Torresi, R. M.; Quim. Nova 2004, 27, 393.

44. Rowley, N. M.; Mortimer, R. J. Em Comprehensive Coordination Chemistry II : from Biology to Nanotechnology; McCleverty, J. A.; Meyer, T.J., eds.; Pergamon: Oxford, 2003, cap. 9; Mortimer, R. J.; Annu. Rev. Mater. Res. 2011, 41, 241.

45. Elliott, C. M.; Redepenning, J. G; J. Electroanal. Chem. 1986, 197, 219; Elliott, C. M., Schmittle, S. J.; Redepenning, J. G.; Balk, E. M. ; J. Macromol. Sci. Part A Pure Appl. Chem. 1988, 25, 1215.

46. Kruger, J.; Plass, R.; Grätzel, M.; Matthieu, H.-J.; Appl. Phys. Lett. 2002, 81, 367.

47. Zeng, Q.; Mcnally, A.; Keyes, T. E.; Forster, R. J.; Electrochem. Commun. 2008, 10, 466; Zeng, Q.; McNally, A.; Keyes, T. E.; Forster, R. J.; Electrochim. Acta 2008, 53, 7033

48. Shirakawa, H.; Louis, E. J.; Macdiarmid, A. G.; Chiang, C. K.; Heeger, A. J.; J. Chem. Soc. Commun. 1977, 16, 578.

49. Mattoso, L. H. C.; Quim. Nova. 1996, 19, 388; McCullough, R. D.; Adv. Mater. 1998, 10, 93.

50. Dall'Antonia, L. H, Vidotti, M. E.; de Torresi, S. I. C.; Torresi, R. M.; Electroanalysis 2002, 14, 1577; Janata, J.; Josowicz, M.; Nat. Mater. 2003, 2, 19; Vidotti, M.; Dall'Antonia, L. H.; Torresi, S. I. C.; Bergamaski, K.; Nart, F. C.; Anal. Chim. Acta 2003, 489, 207.

51. Bartlett, P. N.; Cooper, J. M.; J. Electroanal. Chem. 1993, 362, 1; Fiorito, P. A.; de Torresi, S. I. C.; Talanta 2004, 62, 649.

52. Ahmad, N.; MacDiarmid, A. G.; Synth. Met. 1996, 78, 103.

53. Novak, P.; Muller, K.; Santhanam, K. S. V, Haas, O.; Chem. Rev. 1997, 97, 207.

54. Neves, S.; Santos, R. F.; Gazotti, W. A.; Fonseca, C. P.; Thin Solid Films 2004, 460, 300.

55. Mortimer, R. J.; J. Mater. Chem. 1995, 5, 969; Mortimer, R. J. Chem. Soc. Rev. 1997, 26, 147; Mortimer, R. J.; Electrochimica Acta. 1999, 44, 2971; Rowley, N. M.; Mortimer, R. J.; Sci. Prog. 2002, 85, 243.

56. Argun, A.; Aubert, P.; Thompson, B.; Schwendeman, I.; Gaupp, C.; Hwang, J.; Pinto, N. J.; Tanner, D. B.; MacDiarmid, A. G.; Chem. Mat. 2004, 16, 4401; Reeves, B. D.; Thompson, B. C.; Abboud, K. A.; Smart, B. E.; Reynolds, J. R.; Adv. Mater. 2002, 14, 717.

57. Groenendaal, L.; Jonas, F.; Freitag, D.; Pielartzik, H., Reynolds, J. R.; Adv. Mater. 2003, 12, 481

58. Chestnoy, N.; Harris, T. D.; Hull, R.; Brus, L. E.; J. Phys. Chem. 1986, 90, 3393; Wang, Y.; Herron, N.; J. Phys. Chem. 1991, 95, 525; Zarbin, A. J. G.; Quim. Nova 2007, 30, 1469; Damos, F. S.; Mendes, R. K.; Kubota, L. T.; Quim. Nova 2004, 27, 970; Vidotti, M.; Carvalhal, R. F.; Mendes, R. K.; Ferreira, D. C. M.; Kubota, L. T.; J. Braz. Chem. Soc. 2011, 22, 3.

59. Vidotti, M.; de Torresi, S. I. C.; J. Braz. Chem. Soc. 2008, 19, 1248.

60. Jankulovska, M.; Berger, T.; Lana-Villarreal, T.; Gomez, R.; Electrochim. Acta 2012, 62, 172.

61. Granqvist, C. G.; Facci, T.; Huguenin, F.; Langmuir, 2010, 26, 4489; Nogueira, A. F.; Toma, S. H.; Vidotti, M.; Formiga, A. L. B.; de Torresi, S. I. C.; Toma, H. E.; New J. Chem. 2005, 29, 320.

62. Oregan, B.; Gratzel, M., Nature 1991, 353, 737.

63. Peter, L. M.; Phys. Chem. Chem. Phys. 2007, 9, 2630.

64. Campus, F.; Bonhote, P.; Gratzel, M.; Heinen, S.; Walder, L.; Sol. Energy Mater. Solar Cells 1999, 56, 281.

65. Alexiou, A. D. P.; Dovidauskas, S.; Toma, H. E.; Quim. Nova 2000, 23, 785.

66. Toma, H. E.; Matsumoto, F. M.; Cipriano, C.; J. Electroanal. Chem. 1993, 346, 261.

67. Toma, S. H.; Toma, H. E.; Electrochem. Commun. 2006, 8, 1628.

68. Facci, T.; Huguenin, F.; Langmuir 2010, 26, 4489.

69. Zukalova, M.; Zukal, A.; Kavan, L.; Nazeeruddin, M. K.; Liska, P.; Gratzel, M.; Nano Lett. 2005, 5, 1789.

70. Li, C.-P.; Wolden, C. A.; Dillon, A. C.; Tenent, R. C.; Solar Energy Mater. Solar Cells 2012, 99, 50.

71. Santato, C.; Odziemkowski, M.; Ulmann, M.; Augustynski, J.; J. Am. Chem. Soc. 2001, 123, 10639.

72. Kharade, R. R.; Patil, S. P.; Mane, R. M.; Patil, P. S.; Bhosale, P. N.; Opt. Mater. 2011, 34, 322.

73. Decher, G.; Science 1997, 277, 1232.

74. Huguenin, F.; Ferreira, M.; Zucolotto,V.; Nart, F. C.; Torresi, R. M.; Oliveira Jr, O. N.; Chem. Mater. 2004, 16, 2293.

75. Vidotti, M.; Torresi, S. I. C.; Electrochim. Acta. 2009, 54, 2800.

76. Lee, S. H.; Deshpande, R.; Parilla, P. A.; Jones, K. M.; To, B.; Mahan, A. H.; Dillon, A. C.; Adv. Mater. 2006, 18, 763.

77. http://www.heraeus-clevios.com/en/home/clevios-homepage.aspx, acessada em maio/2013.

78. Mecking, S.; Pecher, S.; J. Chem. Rev. 2010, 110, 6260.

79. Muller, K.; Park, M. K.; Klapper, M.; Knoll, W.; Mullen, K.; Macromol. Chem. Phys. 2007, 208, 1394.

80. Fisslthaler, E.; Sax, S.; Scherf, U.; Mauthner, G.; Moderegger, E.; Landfester, K.; List, E. J. W.; Appl. Phys. Lett. 2008, 92, 183305.

81. Chang, A. C.; Blankespoor, R. L.; Miller, L. L.; J. Electroanal. Chem. 2007, 236, 239.

82. Mauthner, G.; Landfester, K.; Kock, A.; Bruck, l. H.; Kast, M.; Stepper, C.; List, E. J. W.; Org. Electr. 2008, 9, 164.

83. Cho, S. I.; Kwon, W. J.; Choi, S. J.; Kim, P.; Park, S. A.; Kim, J.; Son, S.J.; Xiao, R.; Kim, S.H.; Lee, S.B.; Adv. Mat. 2005, 17, 171.

84. Takamatsu, S.; Nikolou, M.; Bernards, D. A.; DeFranco, J.; Malliaras, G. G.; Matsumoto, K.; Shimoyama, I.; Sens. Actuators, B 2008, 135, 122.

85. Liao, J. Y.; Ho, K. C.; J. N. Mat. Electrochem. Syst. 2005, 8, 37.

86. Yi-Jie, T.; Hai-Feng, C.; Wen-Wei, Z.; Zhao-Yang, Z.; J. Appl. Pol. Sci. 2013, 127, 636.

87. Salvatierra, R. V.; Moura, L. G.; Oliveira, M. M.; Pimenta, M. A.; Zarbin, A. J. G.; J. Raman Spectrosc. 2012, 43, 1094.

88. Silva, C. H. B.; Galiote, N. A.; Huguenin, F.; Teixeira-Neto, E.; Constantino, V. R. L.; Temperini, M. L. A.; J. Mater. Chem. 2012, 22, 14052.

89. Oliveira, M. R. S.; Mello, D. A. A.; Ponzio, E. A.; Oliveira, S. C.; Electrochim. Acta 2010, 55, 3756.

On-line version ISSN 1678-7064 Printed version ISSN 0100-4042
Qu�mica Nova
Publica��es da Sociedade Brasileira de Qu�mica
Caixa Postal: 26037 05513-970 S�o Paulo - SP
Tel/Fax: +55.11.3032.2299/+55.11.3814.3602
Free access

GN1