JBCS



17:12, sáb out 25

Acesso Aberto/TP



Artigo

Diversity of the diterpenes in the leaves of Xylopia laevigata (Annonaceae) and their cytotoxicities

Emmanoel V. CostaI,*; Marília F. C. SampaioII; Leociley R. A. MenezesIII; Lívia M. DutraIII,IV; Cinara O. S. CostaV; Maria Lúcia B. PinheiroI; Felipe M. A. da SilvaI; Milena B. P. SoaresV,VI; Daniel P. BezerraV; Andersson BarisonIII; Hector H. F. KoolenVII

I. Departamento de Química, Universidade Federal do Amazonas, 69080-900 Manaus - AM, Brasil
II. Departamento de Química, Universidade Federal de Sergipe, 49100-000 São Cristóvão - SE, Brasil
III. Centro de RMN, Universidade Federal do Paraná, Centro Politécnico, 81531-990 Curitiba - PR, Brasil
IV. Núcleo de Estudos e Pesquisas de Plantas Medicinais, Universidade Federal do Vale do São Francisco, 56304-205 Petrolina - PE, Brasil
V. Instituto Gonçalo Moniz, Fundação Oswaldo Cruz, 40296-710 Salvador - BA, Brasil
VI. Centro de Biotecnologia e Terapia Celular, Hospital São Rafael, 41253-190 Salvador - BA, Brasil
VII. Grupo de Pesquisa em Metabolômica e Espectrometria de Massas, Universidade do Estado do Amazonas, 69065-001 Manaus - AM, Brasil

Recebido em 02/10/2019
Aceito em 14/01/2020
Publicado na web em 31/03/2020

Endereço para correspondência

*e-mail: emmanoelvc@gmail.com

RESUMO

The phytochemical investigation of the hexane extract which was obtained from the leaves of Xylopia laevigata (Annonaceae) produced six terpenes. Among these, five diterpenes named abieta-7,13-dien-3-one, ent-7β-acetoxy-16β-hydroxy-kaurane, 4-epi-cupressic acid, powerol, and labdorffianic acid B, and one oxygenated sesquiterpene, spathulenol. This is the first time these isolated diterpenes from X. laevigata have been described. The different structures belong to the abietane, kaurane, and labdane diterpenoids, and are indicative of the chemical diversity found in X. laevigata. Moreover, the diterpene ent-7β-acetoxy-16β-hydroxy-kaurane is reported herein for the first time as a natural product, and 4-epi-cupressic acid, powerol, and labdorffianic acid B are reported for the first time in the Annonaceae family. The structures of the isolated compounds were established by extensive analyses using 1D and 2D NMR spectroscopy in combination with MS. The cytotoxic activities of compounds abieta-7,13-dien-3-one, spathulenol, 4-epi-cupressic acid, and powerol were evaluated against tumor and non-tumor cell lines, in which spathulenol was found to be the most active, mainly against K562 with an IC50 value of 17.20 μmol L-1.

Palavras-chave: Annonaceae, Xylopia laevigata; diterpenes; cytotoxic activity.

INTRODUCTION

The genus Xylopia belongs to the Annonaceae family and comprises approximately 160 species of aromatic shrubs and trees, from which 40 can be found in South America, mainly in the Brazilian cerrado.1,2 Several species are used as spices, and as natural medicines for the treatment of skin infections and fever, and also as antiemetic, digestive, and appetite enhancing agents.3,4 Previous phytochemical investigations of Xylopia spp. highlighted the presence of terpenoids,5,6 flavonoids,5,7 and alkaloids.8 Some of the isolated compounds from this genus exhibit pharmacological activities, such as antifungal,6,7 antioxidant,3,8 antileishmanial,9 cytotoxic,5,10 anti-inflammatory,5,11 antinociceptive,5,11 acaricidal,12 and insecticidal activities.6,13

The relevant literature indicates 160 known species of this genus,14 and, approximately 20% (~30 species) have had previous chemical/pharmacological studies carried out, which reinforces the importance of new studies regarding the species of Xylopia. In this sense, Xylopia laevigata (Mart.) R.E. Fries is a small tree which is endemic to Brazil, popularly known as 'meiú' and 'pindaíba', and is found in the Northeastern and Southeastern regions.1,15 In the state of Sergipe, it is found in the last remaining fragments of the Atlantic forest near the coast.15 In local folk medicine, leaves and flowers are used in the treatment of painful disorders, inflammatory conditions and, in some cases, heart disease.4

The essential oils of the leaves of X. laevigata are composed mainly of bicyclogermacrene, α-cadinene, (E)-caryophyllene, δ-copaene, germacrene D, and γ-muurolene.5,16-18 On the other hand, the essential oil composition of the fresh fruits included α-pinene, β-pinene and limonene as major compounds.19 Besides, the existing chemical knowledge, biological activities have been recorded for this essential oil; these being antioxidant,4 antibacterial,16 antifungal,16 antinociceptive,16 anti-inflammatory,16 cytotoxic,4,20 larvicidal,16 trypanocidal,17 and mutagenic20 activities.

Furthermore, previous investigations regarding this species have described the identification of ent-kaurane diterpenes,6 such as ent-kaur-16-en-19-oic acid, 4-epi-kaurenic acid, ent-16β-hydroxy-17-acetoxy-kauran-19-al, ent-3β-hydroxykaur-16-en-19-oic acid, and ent-16β,17-dihydroxy- kauran-19-oic acid, as well as spathulenol and a mixture of β-sitosterol, stigmasterol, and campesterol.6 Among them, ent-3β-hydroxykaur-16-en-19-oic acid demonstrated potent larvicidal activity against Aedes aegypti larvae and antifungal activity against Candida glabrata and Candida dubliniensis.6 Moreover, alkaloids have been identified from leaf and stem extracts of this plant, and were mainly aporphines, oxoaporphines, tetrahydroprotoberberines, and benzylisoquinolines.21,22 Among them, lanuginosine, (+)-xylopine, and (+)-norglaucine displayed high cytotoxic activities.22,23

In our continuous search for new bioactive natural products from Annonaceae that possess cytotoxic potential, this study aimed to investigate the phytochemical and pharmacological properties of the leaves of X. laevigata. In this report six compounds were isolated and identified. These were five diterpenes and one sesquiterpene, all from the leaf hexane extract of X. laevigata. In addition, the cytotoxicity of the isolated compounds was assessed against B16-F10, HepG2, K562, and HL-60 tumor cell lines by the Alamar blue assay.

 

EXPERIMENTAL

General experimental procedures

Optical rotations in CHCl3 were recorded with a Jasco P-2000 polarimeter at 589 nm. GC−MS analyses were performed with a Shimadzu QP5050A GC−MS system fitted with a J & W Scientific DB-5MS (5%-phenyl-95%-methylpolysiloxane) fused capillary column (30 m × 0.25 mm × 0.25 μm of film thickness). MS analyses from the GC−MS were recorded at 70 eV with a scan interval of 0.5 s and the fragments were detected in the m/z 40-500 Da range. Low-Resolution Mass Spectra (LRMS) analyses were performed on an Waters TQD mass spectrometer equipped with an ESI source which was operating in the negative ion mode. High-Resolution Electrospray Ionization Mass Spectrometry (HRESIMS) were performed using a Bruker UltrOTOF-Q mass spectrometer. 1D and 2D NMR data were acquired at 303 K in CDCl3 on a Bruker Avance III 600 NMR spectrometer, operating at 14.1 Tesla, and 1H and 13C at 600.13 and 150.61 MHz were observed, respectively. The spectrometer was equipped with a 5 mm, inverse detection, four channel (1H, 13C, 15N, and 31P) probe with z-gradient. One-bond and long-range 1H-13C correlations from HSQC and HMBC NMR experiments were optimized for average coupling constants 1 J(H,C) and LRJ(H,C) of 140 and 8 Hz, respectively. 1H and 13C NMR chemical shifts were given in ppm related to the TMS signal at 0.00 ppm as the internal reference, and the coupling constants (J) expressed in Hz. Silica gel 60 (70-230 mesh) was used for column chromatography, while silica gel 60 F254 was used for analytical (0.25 mm), and preparative (1.00 mm) TLC. Compounds were visualized by exposure to UV254/365 light, spraying of p-anisaldehyde reagent, and followed by heating on a hot plate.

Botanical material

Leaves of X. laevigata (SISGEN Register ACAAA36) were collected in Serra de Itabaiana (coordinates: 10° 44' 53'' S, 37° 20' 21'' W), Itabaiana, Sergipe state, Brazil, in March, 2010. The identification was confirmed by Dr. A. P. do N. Prata from the Departamento de Biologia from Universidade Federal de Sergipe. A specimen voucher (#15440) was deposited in the herbarium of the institution. The Chico Mendes Institute for Biodiversity Conservation, which belongs to the Brazilian Ministry of the Environment, provided an authorization for the sample collection (#25637-1). This study was also performed according to the special authorization given for access to genetic resources in Brazil #010240/2013-6, which was issued by CNPq/MCTI.

Extraction and isolation

Leaves of X. laevigata were dried in an air circulating oven at approximately 40 °C for 72 h, and subsequently pulverized in a four-knife mill grinder (Marconi) to obtain the powdered material (750.0 g). Then, an exhaustive maceration with hexane (5 × 3L, 25 °C) followed by MeOH (5 × 3L, 25 °C). The extractive solutions obtained were concentrated in a rotary evaporator (Fisatom) at reduced pressure (40-50 ºC) in order to yield the hexane (54.3 g) and MeOH (191.1 g) extracts. The hexane extract presented a crystalline appearance after being dried. Subsequently, part (5.0 g) of the hexane extract was subjected to silica gel column chromatography (CC) which was eluted with gradients constituted of hexane, CH2Cl2, EtOAc, and MeOH mixtures in ascending order of polarity, which yielded 230 fractions. After TLC evaluation using a mixture of hexane-EtOAc in the proportions of 95:05, 90:10, 80:20, and 70:30 as the eluent system, the similar samples were pooled to give 20 groups (G1 to G20).

Group G7 (319.0 mg) from CC eluted with hexane-CH2Cl2 (10:90 v/v) and CH2Cl2 (100%) was submitted to a new silica gel CC eluted with hexane-EtOAc (100:0 to 50:50, v/v) and yielded 17 subfractions pooled into 8 subgroups (G7.1 to G7.8). Subgroup G7.2 (87.6 mg) from CC eluted with hexane-EtOAc (97:03, v/v) was submitted to a preparative TLC eluted with hexane-EtOAc (95:05, v/v, three elutions) and yielded 1 (45.1 mg).

Group G9 (562.0 mg) from CC eluted with CH2Cl2-EtOAc (95:05 and 90:10, v/v, respectively) was subjected to a silica gel CC eluted with hexane-EtOAc (100:0 to 30:70, v/v) and EtOAc-MeOH (100:0 to 20:80, v/v) and yielded 28 subfractions (25 mL each) that were subsequently pooled into 14 groups (G9.1 to G9.14), according to TLC analysis. G9.6 (37.4 mg) from CC eluted with hexane-EtOAc (95:05, v/v) was submitted to a preparative TLC eluted with hexane-EtOAc (90:10, v/v, four elutions) and yielded 2 (16.1 mg).

Group G12 (700.0 mg) from CC eluted with CH2Cl2-EtOAc (90:10, v/v) was submitted to another new silica gel CC eluted with hexane-EtOAc (100:0 to 50:50, v/v) followed by EtOAc-MeOH (100:0 to 20:80, v/v) and yielded 44 subfractions (25 mL each) that were pooled into 11 subgroups (G12.1 to G12.11) according to TLC analysis. Subgroup G12.7 (60.0 mg) from CC eluted with hexane-EtOAc 70:30 v/v was submitted to a preparative TLC eluted with hexane-EtOAc (80:20, v/v, four elutions) and yielded 3 (4.4 mg).

Group G14 (282.0 mg) from CC eluted with CH2Cl2-EtOAc (90:10; 80:20 and 70:30, v/v, respectively) was submitted to silica gel CC eluted with hexane-EtOAc (100:0 to 50:50, v/v) and EtOAc-MeOH (100:0 to 20:80, v/v) affording 34 subfractions (25 mL each), which were pooled into 10 subgroups (G14.1 to G14.10). Subgroup G14.7 (31.6 mg) from CC eluted with hexane-EtOAc (80:20, v/v) was submitted to a preparative TLC eluted with hexane-EtOAc (80:20, v/v, two elutions) and yielded 4 (11.4 mg).

Group G15 (299.0 mg), from CC eluted with CH2Cl2-EtOAc (50:50 and 30:70, v/v, respectively, and EtOAc 100%) was submitted to silica gel CC eluted with hexane-EtOAc (100:0 to 50:50, v/v), followed by EtOAc-MeOH (100:0 to 20:80, v/v) and yielded 39 subfractions (25 mL each) that were subsequently pooled into 8 groups (G15.1 to G15.8). Subgroup G15.4 (108.9 mg) from CC eluted with hexane-EtOAc (50:50 and 40:60, v/v, respectively) was obtained as crystalline white solid that showed high purity by GC−MS analysis and yielded 5 (108.9 mg).

Group G19 (70.0 mg) from CC eluted with EtOAc-MeOH (70:30 and 50:50, v/v, respectively) was submitted to a preparative TLC eluted with hexane-EtOAc (70:30, v/v, four elutions), and yielded 6 (5.3 mg).

Abieta-7,13-dien-3-one (1): Yellow oil (CHCl3); [α]D25 + 30.81o (c 1.0, CHCl3); 1H and 13C NMR data see Table 2; EI-MS m/z 286 [M]+•.

 

 

 

 

Spathulenol (2): Colorless oil (CHCl3); [α]D25 +4.20o (c 1.2, CHCl3); The 1H and 13C NMR data were in agreement with those from the literature;24 EI-MS m/z 220 [M]+•.

ent-7β-Acetoxy-16β-hydroxy-kaurane (3): Amorphous white solid (CHCl3); [α]D25−1.00o (c 0.4, CHCl3); 1H and 13C NMR data see Table 1; HR-ESIMS 371.2558 [M+Na]+ (C22H36O3 + Na; calc. 371.2562); EI-MS m/z 270 [M−H2O−C2H3O2]+•.

4-epi-Cupressic acid [13-Hydroxy-ent-labda-8,14-dien-18-oic acid] (4): Crystalline white solid (CHCl3); [α]D25−57.12o (c 0.06, CHCl3); 1H and 13C NMR data see Table 2; HR-ESIMS 319.2262 [M−H] (C20H32O3 − H; calc. 319.2273).

Powerol [()Kaurane-7β,16α-diol] (5): Crystalline white solid (CH2Cl2); [α]D25−2.70o (c 0.5, CHCl3); 1H and 13C NMR data see Table 1; HR-ESIMS 305.2129 [M−H](C20H34O2 − H; calc. 305.2480); HR-ESIMS 329.2453 [M+Na]+ (C20H34O2 + Na; calc. 329.2456); EI-MS m/z 306 [M]+•.

Labdorffianic acid B [8,20-Epoxy-13-hydroxy-ent-labda-14-en-18-oic acid] (6): Colorless oil (CHCl3); [α]D25 −36.1o (c 0.2, CHCl3); 1H and 13C NMR data see Table 2; LR-ESIMS [M−H] m/z 335.

Cytotoxicity assay

Tumor cell lines: B16-F10 (mouse melanoma), HepG2 (human hepatocellular carcinoma), K562 (human chronic myelocytic leukemia) and HL-60 (human promyelocytic leukemia) were kindly provided by the A.C. Camargo Hospital, São Paulo, Brazil. Cells were maintained in Roswell Park Memorial Institute-1640 (RPMI-1640) medium with 10% fetal bovine serum, 2 mmol L-1 glutamine, and 50 μg mL-1 gentamycin. Adherent cells were collected by treatment with a 0.25% trypsin-EDTA solution. All cell lines were cultured in cell culture flasks at 37 ºC in 5% CO2 and sub-cultured every 3-4 days to maintain exponential growth. All experiments were performed with cells in the exponential growth phase. All cell lines were evaluated for mycoplasma using on a Sigma-Aldrich Mycoplasma stain kit, and all cells were free from contamination. Heparinized blood (from 20-35-year-old, healthy, non-smokers who had not taken any drugs for at least 15 days prior to sampling) was collected, and peripheral blood mononuclear cells (PBMCs) were isolated using a standard protocol which used a Ficoll density gradient in a GE Ficoll-Paque Plus. PBMCs were washed and re-suspended at a concentration of 0.3 x 106 cells mL-1 in RPMI-1640 medium with 20% fetal bovine serum, 2 mmol glutamine, and 50 μg mL-1 gentamycin at 37 °C with 5% CO2. Concanavalin A (ConA) was used as a mitogen to trigger cell division in T-lymphocytes. ConA (10 μg mL-1) was added at the beginning of culture, and cells were treated with the compounds after 24 h. Over 90% of the cells were viable at the beginning of the culture, according to the Trypan blue exclusion assay. Cell growth was quantified using the Alamar blue assay. Cells were seeded in 96-well plates for all experiments (0.7 x 105 cells mL-1 for adherent cells or 0.3 x 106 cells mL-1 for suspended cells in 100 μL of medium).25 After 24 h of incubation, the compounds (dissolved in DMSO at a concentration of 0.19 - 25 μg mL-1) were added and incubated for 72 h. Doxorubicin was used as the positive control (0.08-5 μg mL-1), while DMSO (0.5%) was used as negative control. Four hours (for tumor cell lines) and 24 h (for PBMCs) before the endo of incubation period, 20 μL of Alamar blue reagent were added to each well. Subsequently, absorbance was measured on a Spectra Max 190 multiplate reader at 570 nm and 600 nm. Half-inhibitory concentration (IC50) was obtained by nonlinear regression with 95% confidence intervals (CI 95%).

 

RESULTS AND DISCUSSION

The phytochemical investigation of the hexane extract from the leaves of X. laevigata (Annonaceae) yielded six compounds (Figure 1), including one uncommon ent-kaurene diterpenoid ent-7β-acetoxy-16β-hydroxy-kaurane (3), in addition to other five isolated compounds, abieta-7,13-dien-3-one (1),26 spathulenol (2),24 13-hydroxy-ent-labda-8,14-dien-18-oic acid (4-epi-cupressic acid) (4),27 (−)-kaurane-7β,16α-diol (powerol) (5),28 and 8,20-epoxy-13-hydroxy-ent-labda-14-en-18-oic acid (labdorffianic acid B) (6).29

 


Figure 1. Chemical structures of the isolated compounds 1-6

 

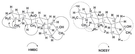
Compound 3 was obtained as a white amorphous powder with the molecular formula C22H36O3 as determined by HR-ESIMS (m/z 371.2558 [M+Na]+, calc. 371.2562) and NMR data. HR-ESIMS also showed a fragment at m/z 271.2440 [M−H2O−C2H3O2]+ (Figure 2), which is in agreement with the fragment at m/z 270 [M−H2O−C2H3O2]+• observed using the GC−MS analysis. The 1H NMR spectrum displayed the characteristic signals of four methyl groups, which are characteristic of diterpenes from the kaurane series, and typical for C-17, C-18ax, C-19eq and C-20ax.25 The signals at δH 2.05 (s, 3H) and δH 4.62 (dd, J = 2.8 and 2.9 Hz, 1H) revealed the presence of an acetoxy group and an oxygenated carbon in the structure, respectively. The 13C{1H} and DEPT135 NMR spectra, as well as one-bond and long-range 1H-13C correlations from HSQC and HMBC NMR experiments indicated a total of 22 carbon atoms, which comprised of five methyls, eight methylenes, four methines (one oxygenated at δC 76.2), four quaternary carbons (one oxygenated at δC 72.0), and one acetoxy group (Table 1). The hydrogen signal at δH 4.62 (H-7) showed direct 1H-13C correlation with the carbon at δC 76.2 and long-range 1H-13C correlations with the carbons at δC 46.8 (C-9), δC 48.1 (C-5) and δC 170.5, which supports the substitution pattern proposed with the acetoxy group placed at C-7 (Figure 3).

 


Figure 2. Proposed fragmentation pathway for compound 3

 

 


Figure 3. Main HMBC and NOESY correlations observed for ent-7β-acetoxy-16β-hydroxy-kaurane (3)

 

The relative configuration of this compound was determined via 1D NOESY NMR experiments. The selective irradiation of the NMR frequency of the methyl group at δH 2.05 (s) caused a NOE enhancement in the signals at δH 4.62 (dd, J = 2.9 and 2.8 Hz, H-7eq), δH 1.66 (m, H-6eq), δH 1.57 (m, H-9ax), δH 1.31 (dd, J = 9.1 and 2.8 Hz, H-5ax), δH 1.19 (d, J = 13.6 Hz, H-15ax), and δH 0.78 (s, H-19eq). Similarly, the selective irradiation of H-7 caused NOE intensification of the signals at δH 1.63 (m, H-6ax), δH 1.66 (H-6eq), δH 0.98 (H-14eq), and δH 1.19 (H-15pax), which confirmed the β-orientation of the acetoxy group at C-7 (i.e. acetoxy group is in axial position). On the other hand, the selective irradiation of NMR frequency of H-17 (methyl group) caused a NOE enhancement in the signals at δH 1.19 (H-15ax) and δH 1.53 (m, H-13eq), which confirms the presence of a hydroxyl group in β-orientation at the C-16 position (i.e. the hydroxyl group is in an axial position). Furthermore, the selective irradiation of H-18 at δH 0.80 caused a NOE enhancement of the signals at δH 0.78 (s, H-19eq), δH 0.96 (s, H-20ax), δH 1.41 (m, H-3eq), and δH 1.60 (H-6ax). The selective irradiation of a singlet at δH 0.78 (H-19) showed NOE intensifications at δH 1.17 (m, H-3ax), δH 1.41 (m, H-3eq), δH 1.31 (dd, H-5ax), δH 1.66 (H-6eq), δH 2.05 (s, CH3COO), and some intensification of the signal at δH 0.96 (H-20ax). These observations confirm the axial and equatorial orientations of the methyl groups at C-18 and C-19, respectively. Likewise, the selective irradiation of H-20 at δH 0.96 caused NOE intensifications at the signals at δH 0.80 (s, H-18ax), δH 1.70 (m, H-14ax), δH 1.59 (m, H-2ax), and δH 1.60 (m, H-6ax), this fact proves the β-orientation of the methyl group C-20 (Figure 3). The exhaustive analysis of 1D and 2D NMR data enabled the structure to be fully established, and 1H and 13C NMR chemical shifts unequivocally assigned (Table 1). Therefore, compound 3 was identified as the known ent-kaurane diterpene called ent-7β-acetoxy-16β-hydroxy-kaurane (also known powerol 7β-acetate), which was a product of acetylation of (−)-kaurane-7β,16α-diol (powerol) (5) (Table 1). Therefore, this is the first report of compound 3 as a natural product, as well as its second report in the literature. According to previously published literature data,28 only some 1H NMR resonances were described for this compound, which enabled us to extensively revise 1D and 2D NMR data and unequivocally assign the chemical shifts of hydrogen and carbon atoms (Table 1), and its relative configuration.

The isolated compounds: abieta-7,13-dien-3-one (1),26 spathulenol (2),24 13-hydroxy-ent-labda-8,14-dien-18-oic acid (4),27 (−)-kaurane-7β,16α-diol (5),28 and 8,20-epoxy-13-hydroxy-ent-labda-14-en-18-oic acid (6)29 were identified by comparison of their NMR and MS data with those previously reported in the literature. Nevertheless, compounds 1, 4, and 6 have been described a long time ago and their published NMR data was incomplete (1H and 13C NMR). As well as showing some ambiguities in the scalar coupling constants, most of them not been previously assigned.26,27-29 Therefore, the complete and unequivocal NMR data for these diterpenes were reviewed according to the 1D and 2D NMR experiments (Tables 1 and 2).

The absolute configurations of the diterpenoids from the ent and normal series can be established based on their specific rotations ([α]D), since they can be correlated to similar diterpenes with well-defined absolute configurations.30 Therefore, those that divert to the right (+) belong to the normal series, while those that divert the polarized light to the left (−) belong to the ent series.30 Thus, it was established that the diterpenes 3 ([α]D25 −1.00o) and 5 ([α]D25 −2.70o) belong to the ent series.30

Diterpenes of ent-kaurane type are common in Annonnaceae, especially in the species of Annona and Xylopia.31-34 The presence of other diterpene types in X. laevigata indicates that Xylopia species have a strong ability to produce different diterpenes (compounds 1, 4, and 6) and suggest the need for more investigation in order to confirm the presence of other compounds of these types in this species, as well as other Xylopia spp., such as 6, that has been only previously reported as occurring in Xylopia langsdorffiana.30 On the other hand, diterpenes 1, 3, 4, and 5 have been reported for the first time in Annonaceae. The occurrence of diterpenes possessing the acetoxy function was described previously in Annonaceae.31-34 Therefore, this study contributes to the chemotaxonomy of the genus Xylopia, as well as to the Annonaceae family.

The cytotoxic activity of the isolated compounds 1, 2, 4 and 5 was evaluated against tumor (B16-F10, HepG2, HL-60, and K562) and non-tumor (PBMC) cell lines (Table 3) with increasing concentrations under 72 h of incubation and analyzed using the Alamar blue assay. Compared to the positive control (doxorubicin), compound 2 exhibited a moderate cytotoxic effect by showing IC50 from 17.20 to 50.78 μmol L-1 for the tumor cell lines tested (Table 3). For K562, compound 2 showed a significant cytotoxic effect with an IC50 value of 17.20 μmol L-1. However, the cytotoxic activity against the normal cell PBMC (IC50 = 70.75 μmol L-1) was considered moderate, since it showed slow selectivity against K562. Furthermore, compound 5 also exhibited moderate cytotoxic effect against B16-F10, HL-60, and K562 tumor cell lines with an IC50 of 80.36, 47.11, and 64.60 μmol L-1, respectively, although, it was inactive against HepG2 cell line (IC50 greater than 81.57 μmol L-1) (Table 3). On the other hand, this compound was also considered not to be cytotoxic for normal cell lines of IC50 (IC50 > 81.57 μmol L-1). Doxorubicin presented IC50 values which ranged from 0.15 μmol L-1 to 0.28 μmol L-1 for the tumor cell lines evaluated (Table 3). In addition, doxorubicin also displayed cytotoxic activity against PBMC with IC50 value of 4.54 μmol L-1. However, it is important to mention that doxorubicin is the drug used in the treatment of cancer, though also responsible for serious collateral effects.

 

 

CONCLUSION

The phytochemical investigation of the hexane extract of the leaves of X. laevigata yielded six terpenoids, including an uncommon diterpene known as ent-7β-acetoxy-16β-hydroxy-kaurane (3), herein reported for the first time as a natural product. Compounds 1, 3, 4, and 5 are described here for the first time within the family Annonaceae. This work reinforces the fact that Xylopia is a rich, natural source for different types of diterpernes. Besides this, spathulenol (2) showed moderated cytotoxicity against all cell lines tested, while powerol (5) displayed weak activity.

 

SUPPLEMENTARY MATERIAL

Supplementary information containing 1D and 2D NMR, and MS data for isolated compounds is available free of charge at http://quimicanova.sbq.org.br as a PDF file.

 

ACKNOWLEDGEMENTS

The authors are grateful to Prof. Dr. Norberto P. Lopes and José Carlos Tomaz from Faculdade de Ciências Farmacêuticas de Ribeirão Preto, USP for the ESIMS analysis, Prof. Dr. A. P. do N. Prata of the DBI/UFS for the botanical identification, as well as to CNPq, CAPES, FAPITEC/SE, FINEP, UFPR, UFS and UFAM for financial support and research fellowships.

 

REFERENCES

1. Chatrou, L. W.; Pirie, M. D.; Erkens, R. H. J.; Couvreur, T. L. P.; Neubig, K. M.; Abbott, J. R.; Mols, J. B.; Mass, J. W.; Saunders, R. M. K.; Chase, M. W.; Bot. J. Linn. Soc. 2012, 169, 5; Maas, P. J. M.; Kamer, H. M.; Junikka, L.; Mello-Silva, R.; Rainer, H.; Rodriguésia 2001, 52, 61.

2. Moreira, I. C.; Roque, N. F.; Vilegas, W.; Zalewski, C. A.; Lago, J. H. G.; Funasaki, M.; Chem. Biodivers. 2013, 10, 1921.

3. Corrêa, M. P.; Dicionário das plantas úteis do Brasil e das exóticas cultivadas, IBDF: Rio de Janeiro, 1984.

4. Karioti, A.; Hadjipavlou-Litina, D.; Mensah, M. L. K.; Fleischer, T. C.; Skaltsa, H.; J. Agric. Food. Chem. 2004, 52, 8094.

5. Quintans, J. S. S.; Soares, B. M.; Ferraz, R. P. C.; Oliveira, A. C. A.; Silva, T. B.; Menezes, L. R. A.; Sampaio, M. F. C.; Prata, A. P. N.; Moraes, M. O.; Pessoa, C.; Antoniolli, A. R.; Costa, E. V.; Bezerra, D. P.; Planta Med. 2013, 79, 123; Queiroz, J. C.; Antoniolli, A. R.; Quintans-Júnior, L. J.; Brito, R. G.; Barreto, R. S. S.; Costa, E. V.; Silva, T. B.; Prata, A. P. N.; Lucca Jr., W.; Almeida, J. R. G. S.; Lima, J. T.; Quintans, J. S. S.; Sci. World J. 2014, 2014, ID 816450.

6. Silva, D. M.; Costa, E. V.; Nogueira, P. C. L.; Moraes, V. R. S.; Cavalcanti, S. C. H.; Salvador, M. J.; Ribeiro, L. H. G.; Gadelha, F. R.; Barison, A.; Ferreira, A. G.; Quim. Nova 2012, 35, 1570.

7. Maia, J. G. S.; Andrade, E. H. A.; Da Silva, A. C. M.; Oliveira, J.; Carreira, L. M. M.; Araújo, J. S.; Flavour Fragance J. 2005, 20, 474; Moreira, I. C.; Lago, J. H. G.; Young, M. C. M.; Roque, N. F.; J. Braz. Chem. Soc. 2003, 14, 828.

8. Da Silva, M. S.; Tavares, J. F.; Queiroga, K. F.; Agra, M. F.; Barbosa- Filho, J. M.; Almeida, J. R. G. S.; Da Silva, S. A. S.; Quim. Nova 2009, 32, 1566; Puvanendran, S.; Wickramasinghe, A.; Karunaratne, D. N.; Carr, G.; Wijesundara, D. S. A.; Andersen, R.; Karunaratne, V.; Pharm. Biol. 2008, 46, 352.

9. López, R.; Cuca, L. E.; Delgado G.; Parasite Immunol. 2009, 31, 623.

10. Castelo-Branco, M. V. S.; Tavares, J. F.; Silva, M. S.; Barbosa Filho, J. M.; Anazetti, M. C.; Frungillo, L.; Haun, M.; Diniz, M. F. F. M.; Melo, P. S.; Rev. Bras. Farmacogn. 2011, 21, 1035.

11. Nishiyama, Y.; Moriyasu, M.; Ichimaru, M.; Iwasa, K.; Kato, A.; Mathenge, S. G.; Mutiso, P. B. C.; Juma, F. D.; J. Nat. Med. 2010, 64, 9.

12. Pontes, W. J. T.; Oliveira, J. C. S.; Câmara, C. A. G.; Gondim Jr., M. G. C.; Oliveira, J. V.; Schwartz, M. O. E.; Quim. Nova 2007, 30, 838.

13. Nguemtchouin, M. M. G.; Ngassoum, M. B.; Ngamo, L. S. T.; Gaudu, X.; Cretin, C.; Crop Prot. 2010, 29, 985.

14. Barbosa, L. T. C.; Vega, M. R. G.; Rev. Virtual Quim. 2017, 9, 1712.

15. Pontes, A. F.; Barbosa, M. R. V.; Maas, P. J. M.; Acta Bot. Bras. 2004, 18, 281.

16. Costa, E. V.; Silva, T. B.; Menezes, L. R. A.; Ribeiro, L. H. G.; Gadelha, F. R.; Carvalho, J. E.; Souza, L. M. B.; Silva, M. A. N.; Siqueira, C. A. T.; Salvador, M. J.; J. Essent. Oil Res. 2013, 25, 179.

17. Silva, T. B.; Menezes, L. R. A.; Sampaio, M. F. C.; Meira, C. S.; Guimarães, E. T.; Soares, M. B. P.; Prata, A. P. N.; Nogueira, P. C. L.; Costa, E. V.; Nat. Prod. Commun. 2013, 8, 403.

18. Nascimento, A. M. D.; Maia, T. D. S.; Soares, T. E. S.; Menezes, L. R. A.; Scher, R.; Costa, E. V.; Cavalcanti, S. C. H.; La Corte, R.; Neotrop. Entomol. 2017, 46, 223.

19. Costa, E. V.; da Silva, T. B.; Costa, C. O.; Soares, M. B.; Bezerra, D. P.; Nat. Prod. Commun. 2016, 11, 417.

20. Pereira, T. S.; Esquissato, G. N. E.; Costa, E.V.; Nogueira, P. C. L.; Castro-Prado, M. A. A.; Nat. Prod. Res. 2019, doi:10.1080/14786419. 2019.1624956.

21. Costa, E. V.; Dutra, L. M.; Nepel, A.; Barison, A.; Biochem. Syst. Ecol. 2013, 51, 331.

22. Menezes, L. R. A.; Costa, C. O. D.; Rodrigues, A. C. B. C.; Santo, F. R. E.; Nepel, A.; Dutra, L. M.; Silva, F. M. A.; Soares, M. B. P.; Barison, A.; Costa, E. V.; Bezerra, D. P.; Molecules 2016, 21, 890.

23. Santos, L. S.; Silva, V. R. S.; Menezes, L. R. A. M.; Soares, M. B. P. S.; Costa, E. V.; Bezerra, D. P.; Oxid. Med. Cell. Longevity 2017, 2017, ID 7126872, doi: 10.1155/2017/7126872.

24. Ragasa, C.Y.; Ganzon, J.; Hofileña, J.; Tamboong, B.; Rideout, J. A.; Chem. Pharm. Bull. 2003, 51, 1208.

25. Ahmed, S. A.; Gogal, R. M.; Walsh, J. E.; J. Immunol. Methods 1994, 170, 211.

26. Feliciano, A. S.; Del Corral, J. M. M.; Gordaliza, M.; Castro, M. A.; Phytochemistry 1991, 30, 695.

27. Hieda, T.; Mikami, Y.; Obi, Y.; Kisaki, T.; Agric. Biol. Chem. 1992, 46, 2477.

28. González, A. G.; Fraga, B. M.; Hernández, M. G.; Luis, J. G.; Tetrahedron 1973, 29, 561.

29. Dos Santos, P. F.; Duarte, M. C.; Bezerra, D. A. C.; Agra, M. de F.; Filho, J. M. B.; Da Silva, M. S.; Tavares, J. F.; Helv. Chim. Acta 2013, 96, 1085.

30. Velandia, J. R.; Carvalho, M. G.; Braz-Filho, R.; Quim. Nova 1998, 21, 397.

31. Leboeuf, M.; Cavé, A.; Bhaumik, P. K.; Mukherjee, B.; Mukherjee, R.; Phytochemistry 1982, 21, 2783.

32. Takahashi, J. Á.; Boaventura, M. A. D.; Bayma, J. C.; Oliveira, A. B.; Phytochemistry 1995, 40, 607.

33. Takahashi, J. A.; Vieira, H. S.; Boaventura, M. A. D.; Hanson, J. R.; Hitchcock, P. B.; Oliveira, A. B.; Quim. Nova 2001, 24, 616.

34. Chen, C. Y.; Chang, F. R.; Wu, Y. C.; J. Chin. Chem. Soc. 1997, 44, 313.

On-line version ISSN 1678-7064 Printed version ISSN 0100-4042
Qu�mica Nova
Publica��es da Sociedade Brasileira de Qu�mica
Caixa Postal: 26037 05513-970 S�o Paulo - SP
Tel/Fax: +55.11.3032.2299/+55.11.3814.3602
Free access

GN1