JBCS



14:55, sáb out 25

Acesso Aberto/TP



Educação


Dinâmica não-linear e reagente limitante: um exemplo de bifurcação transcrítica
Nonlinear dynamics and limiting reagent: a transcritical bifurcation example

Diego J. R. da Silva*

Departamento de Química Fundamental, Universidade Federal de Pernambuco, 50740-560 Recife - PE, Brasil

Recebido em 04/10/2013
Aceito em 03/12/2013
Publicado na web em 20/02/2014

Endereço para correspondência

*e-mail: diegoraposo@hotmail.com

RESUMO

The nonlinear analysis of a general mixed second order reaction was performed, aiming to explore some basic tools concerning the mathematics of nonlinear differential equations. Concepts of stability around fixed points based on linear stability analysis are introduced, together with phase plane and integral curves. The main focus is the chemical relationship between changes of limiting reagent and transcritical bifurcation, and the investigation underlying the conclusion.

Palavras-chave: nonlinear dynamics; limiting reagent; transcritical bifurcation.

INTRODUÇÃO

A Dinâmica não-linear lida com a evolução temporal de sistemas cuja taxa de variação de uma ou mais variáveis é uma função não-linear da(s) mesma(s). Suas aplicações abrangem diversas áreas, como física, química, biologia, engenharia, economia, psicologia, entre outras.1 Na química o comportamento não-linear surge geralmente associado a equações do campo da cinética química, pois mesmo em reações simples termos quadráticos surgem como uma função da variação temporal das espécies envolvidas, mesmo em reações elementares. Um conjunto de etapas elementares pode levar a comportamentos não-lineares de complexidade considerável, promovendo, por exemplo:

a) Reações oscilantes: as concentrações das espécies químicas envolvidas na reação não variam com o tempo unicamente de maneira monotônica. Ou seja, as concentrações aumentam e diminuem por certo intervalo de tempo até que o equilíbrio da reação seja atingido. São induzidas por alguma forma de retro-alimentação na concentração de pelo menos um dos reagentes em no mínimo uma etapa da reação, como em autocatálises.2 Com aplicações na biologia, geologia e engenharia, reações como a de Belousov-Zhabotinsky também são protótipos experimentais para o estudo de processos químicos fora do equilíbrio.3

b) Padrões espaciais: a formação de gradientes de concentração estacionários como resultado do acoplamento entre cinética não-linear e processos difusionais foi prevista por Alan Turing em 1952,4 sendo só observada experimentalmente na década de 90.5 Criado com o objetivo de explicar a morfogênese (processo biológico que leva ao desenvolvimento da forma de um organismo), o modelo de Turing se tornou um importante trabalho em biologia teórica, sendo extremamente estudado e aplicado.6,7

c) Ondas químicas: são perturbações em variáveis macroscópicas (concentrações, temperatura, tamanho de partículas, etc.) que se propagam a velocidade constante. A suavização da propagação pelo transporte difusional é contrabalanceada por reações cujas velocidades são funções não-lineares das variáveis que as descrevem.8 Ondas químicas são relativamente freqüentes em sistemas biológicos.6

Embora a dinâmica destes processos geralmente sirva de ponte entre a Dinâmica não-linear e a Química,1,9 mesmo sistemas cujas equações não levam a comportamento oscilatório podem fornecer informações relevantes acerca de processos químicos, como no emprego da equação logística na compreensão de processos eletroquímicos.10 Adicionalmente é necessário, para fins didáticos, apresentar sistemas mais simples que mantenham a estrutura elementar da análise de sistemas não-lineares e estejam, de preferência, associados com o estudo de fenômenos químicos. Deste modo, pretende-se com este trabalho empregar alguns conceitos e ferramentas básicas usadas no estudo de sistemas que apresentam dinâmica não-linear na investigação da cinética de uma reação cuja lei de velocidade é dominada por uma etapa bimolecular. Mais especificamente, o estudo permite observar o natural surgimento do conceito de reagente limitante pela lei da ação das massas, como resultado da análise da estabilidade das soluções de equilíbrio da equação diferencial que descreve a reação. Este comportamento é claramente observado pela análise da dinâmica do sistema em função da variação da concentração inicial de um reagente em relação ao outro. Acredita-se que este exemplo possa servir de introdução para a abordagem não convencional deste tipo de análise em cursos de Química.

Atratores, fontes, estabilidade linear e bifurcação

Considere uma equação diferencial que possui a seguinte forma:

 

 

Em que x(t) é uma variável dependente do tempo, como a concentração de alguma espécie química (ou alguma propriedade a ela associada), e f a função que descreve essa taxa de variação. Como f não apresenta dependência explícita com o tempo (pois neste caso seria f(x, t)), é chamada de equação autônoma. Caso uma condição inicial x0 = x(t = 0) seja fornecida, tem-se um problema de valor inicial. Quando resolvido, ele fornece um conjunto de soluções na forma de curvas integrais do tipo:

 

 

Um gráfico destas curvas para diferentes x0 mostra como o valor de x muda em função do tempo, para qual valor tende a partir de diferentes condições iniciais.11 Para alguns valores de x0 o valor de x não muda com o tempo. Os chamados pontos críticos ou fixos, x*, têm essa característica porque (x*) = 0, ou seja, a taxa de variação neste ponto é nula. Os valores de x que obedecem esta condição são chamados soluções de equilíbrio do sistema. Se os valores de x0 arbitrariamente próximos de x* convergem para este valor com o decorrer do tempo, os pontos fixos são chamados de atratores (ou nós), ou se, caso contrário, divergem para longe dele, são considerados repulsores (ou fontes). Num gráfico de f(x) vs. x os interceptos da função para f(x) = 0 por vezes são identificados por círculos cheios ou vazios, indicando atratores ou repulsores, respectivamente.10-12

A Equação (1) é dita de primeira ordem porque o comportamento dinâmico do sistema pode ser descrito a partir de uma única variável, neste caso x. Sistemas de ordem n, isto é, descritos por n equações diferenciais, estão associados a um espaço de fase de dimensão n.12 Embora uma linha de fase (dimensão 1) seja o suficiente para estabelecer a evolução temporal de sistemas de primeira ordem, é comum estudar gráficos de f(x) vs. x para esboçar com clareza os diferentes pontos fixos que cruzam o eixo x e sua estabilidade. Este tipo de gráfico é chamado de plano de fase, termo também usado em sistemas de segunda ordem (n = 2).10,11

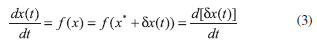
A capacidade dos pontos fixos de atrair ou afastar está associada ao que se denomina estabilidade destes pontos. Uma maneira aproximada de se quantificar esta capacidade é pela análise da estabilidade linear dos pontos fixos,6,12,13 que se obtém considerando uma perturbação em torno de x*, δx, de modo que x(t) = x* + δx(t) pode voltar a x* ou se afastar dele após a perturbação. Assim:

 

 

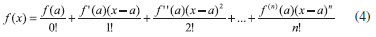
A expansão de Taylor de f(x) nas proximidades de uma constante a assume a seguinte forma:

 

 

Em que f(n)(a) corresponde à enésima derivada de f(x) em relação a x nas proximidades de x = a. Se no presente caso a = x* temos que:

 

 

Caso a perturbação seja suficientemente pequena, os termos quadráticos e de ordem superior podem ser negligenciados, de modo que a Equação (5) equivale, de maneira aproximada, à Equação (6):

 

 

Lembrando que f(x*) = 0, temos através das Equações (3) e (6) que:

 

 

Como f'(x*) é uma constante, esta equação diferencial indica que δx varia exponecialmente com t, sendo proporcional à exp[f'(x*)t].6 Deste modo, se f'(x*) > 0, δx aumenta exponecialmente com o passar do tempo. Este afastamento caracteriza um repulsor, um ponto fixo instável frente a esta perturbação. As tragetórias delineadas pelas curvas integrais a partir de valores próximos de x* se afastam do repulsor quando t cresce. Por outro lado, para f'(x*) < 0, δx converge para zero, pois a distância entre o ponto fixo e o posto em suas proximidades diminui, o que é indício da presença de um atrator, neste caso um ponto fixo estável. A análise da estabilidade linear apresentada não permite avaliar a estabilidade do ponto fixo quando f'(x*) = 0, pois os termos de maior ordem na expansão de Taylor não podem ser negligenciados, mas oferece uma maneira relativamente simples de se identificar atratores e repulsores.12

Equações como a (1) podem ser lineares ou não-lineares. Neste exemplo simples onde x é a única variável envolvida, a equação é linear se tiver a forma ax + b, em que a e b são constantes (independentes de t, pois a equação é autônoma). Isso implica que df(x)/dx = a, sendo, portanto, independente de x. Em equações não-lineares esta derivada é uma função de x. Neste caso funções trigonométricas e potências de x (com expoente diferente de 1) caracterizam um comportamento não-linear neste tipo de equação. Algo de particular interesse nestes sistemas são as chamadas bifurcações. Elas ocorrem porque, diferente do caso das equações lineares, é possível que haja mais de um ponto fixo. Mais importante, variando-se um ou mais parâmetros os pontos fixos podem se unir num único ponto, ou se bifurcarem em outros. Existem vários tipos de bifurcações,14,15 e gráficos que mostram pontos fixos e sua estabilidade em função dos parâmetros que se varia (curvas de bifurcação) são chamados de diagramas de bifurcação.12,13

Cinética de reação controlada por etapa elementar bimolecular

Considere a seguinte reação:

 

 

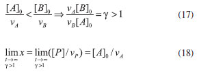
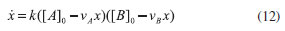
Onde os reagentes A e B levam ao produto P numa relação estequiométrica indicada pelos respectivos coeficientes, vA, vB e vP, sendo este um dos tipos de reação mais comuns.16 Após certo intervalo de tempo as concentrações de A, B e P variam de forma que [A] = [A]0 - vAx, [B] = [B]0 - vBx, e [P] = [P]0 + vPx para um volume constante (sendo [A]0, [B]0 e [P]0 as concentrações iniciais de A, B e P, respectivamente). Neste caso, x está relacionado com a velocidade da reação (VR) segundo a Equação (9):17,18

 

 

Logo, é possível associar as variações temporais de A, B e P com x derivando [A], [B] e [P] em relação a t. Essa operação leva à relação entre a velocidade da reação e a variação nas concentrações das espécies envolvidas:

 

 

Se a velocidade da reação global é limitada pela reação elementar , onde k é a constante de velocidade desta etapa, temos que:

 

 

Equação que pode, em função das relações apresentadas, ser disposta na forma de uma equação diferencial em x:

 

 

Observe que, caso [P]0 = 0, x = [P]/vP, ou seja, x(t) é proporcional à concentração do produto num tempo t. Esta equação diferencial pode ser simplificada considerando as seguintes substituições: τ = kvAvBt, X = xvA/[A]0 e γ = vA[B]0/vB[A]0 (para mais detalhes consultar a Parte A do Material Suplementar).

 

 

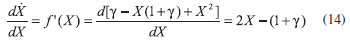
A Equação (13), por ser uma equação diferencial autônoma do mesmo tipo que a Equação (1), pode ser submetida ao mesmo tratamento descrito na seção anterior. Os pontos fixos para Equação (13) são X1* = 1 e X2* = γ, as raízes da parábola formada num gráfico de f(X) = em função de X. No presente caso, os planos de fase para diferentes valores de γ são representados nas Figuras 1(a)-(c):

 


Figura 1. Gráfico de f(X) em funçao de X para (a) γ = 1/4, (b) γ = 1 e (c) γ = 2

 

Pode-se observar que para γ ≠ 1 (lembrando que γ > 0), f(X) apresenta duas raízes, e para γ = 1 apenas uma. Deste modo o crescimento de γ promove a coalescência dos pontos fixos X1* e X2* quando γ = 1 (X1* = X2*), que se separam novamente para γ > 1. A estabilidade destes pontos fixos pode ser investigada observando-se as curvas integrais para diferentes condições iniciais. Usando os mesmos valores de γ empregados na construção das curvas das Figuras 1(a)-(c), foram obtidas curvas integrais através do software dfield8 (em plataforma MATLAB),19 levando aos gráficos apresentados nas Figuras 2(a)-(c).

 


Figura 2. Curvas integrais de X em funçao de τ para (a) γ = 1/4, (b) γ = 1 e (c) γ = 2

 

Para condições iniciais tais que X0 é próximo ao ponto fixo X1* = 1 há uma divergência de X com o avanço do tempo na Figura 2(a) (lembrando que τ é proporcional a t), um indício do caráter repulsor da raiz quando γ < 1. Por outro lado quando X1* coalesce com X2* (γ = 1, Figura 2(b)) os pontos próximos tanto podem se afastar como se aproximar do ponto fixo com o passar do tempo, se X0 for ligeriamente superior ou inferior à X1*, respectivamente. Para γ > 1 o caráter repulsor do ponto fixo é substituído definitivamente por um carater atrator, como se pode observar na Figura 2(c). A solução de equilíbrio X2*, por outro lado, segue o sentido inverso de estabilidade, passando de estável (Figura 2(a)) para instável (Figura 2(c)) com o aumento de γ.

Através das curvas integrais das Figuras 2(a)-(c) se verifica que o ponto fixo X1* = 1, apesar de ser uma solução de equilíbrio independente de γ, tem sua estabilidade afetada pelo parâmetro. Pode-se constatar este fato pela análise da estabilidade linear de X1*, de modo que para f'(X1*) < 0 ou f'(X1*) > 0 o ponto é um atrator ou um repulsor, respectivamente. Neste caso, derivando-se a Equação (13) tem-se que:

 

 

Para X1* = 1, f'(X1*) < 0 se γ > 1, sendo, portanto, um atrator para γ > 1 e um repulsor para 0 < γ < 1. O outro ponto fixo (X2* = γ) adquire comportamento oposto, pois f'(X2*) < 0 quando γ < 1, sendo portando um atrator para 0 < γ < 1 e um repulsor para γ > 1. Essas observações coincidem com o que se verifica através das curvas integrais, e por este motivo os pontos fixos nas Figuras 1(a)-(c) são simbolizados como atratores e repulsores por meios de círculos cheios ou vazios, respectivamente. A análise da estabilidade linear não permite estudar a estabilidade quando γ = 1. Entretanto, a observação das curvas integrais na Figura 2(b) parecem indicar uma estabilidade intermediária. Este ponto fixo é considerado, portanto, semi-estável,12 e é destacado na Figura 1(b) como um círculo metade preenchido e metade vazio.

Com todas estas informações levantadas é possível construir um gráfico de X em função de γ (diagrama de bifurcação), como o apresentado na Figura 3, onde as diferentes estabilidades dos pontos fixos são evidenciadas:

 


Figura 3. Gráfico de bifurcaçao para Equaçao (13) pela variaçao de γ. Os pontos fixos estáveis e instáveis sao indicados por linhas contínuas (-) e tracejadas (- -), respectivamente

 

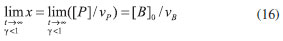
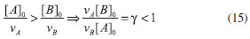
Observa-se no gráfico da Figura 3 que a variação do parâmetro γ = vA[B]0/vB[A]0 promove uma troca de estabilidade entre os pontos fixos, passando de X2* = γ para X1* = 1 com o crescimento de γ. Esta união e permuta de estabilidade de dois pontos fixos, que em seguida se separam novamente, é chamada de bifurcação transcrítica.12 No presente caso, ela está curiosamente associada ao reagente limitante em diferentes regimes. Observe que quando γ < 1, o atrator é X = γ. Ou seja, X(t → ∞) = γ, o que significa, nas unidades originais, que x(t → ∞) = γ[A]0/vA = [B]0/vB. Sabendo que, no presente caso, x equivale à [P]/vP, obtém-se que a concentração final do produto depende exclusivamente do reagente limitante, neste caso B, já que γ < 1:

 

 

E portanto:

 

 

Para γ > 1 o ponto fixo X1* = 1 se torna um atrator, e por isso X = xvA/[A]0 tende para 1, ou x para [A]0/vA, o que é perfeitamente compatível com o esperado neste caso, pois A é o reagente limitante:

 

 

Verifica-se, portanto, de maneira razoavelmente clara, que a atuação de um reagente limitante na concentração final do produto surge naturalmente da equação diferencial que descreve a cinética da reação, a Equação (12). Através da análise da dinâmica do sistema, esta constatação se mostrou associada a uma bifurcação transcrítica, que permeia a transição de um reagente limitante para o outro, e sua influência na concentração do produto final.

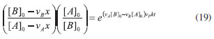
Embora o estudo da dinâmica do sistema seja uma maneira intuitiva de verificar quais reagentes limitam a reaçao, nao é necessariamente a única que permite deduzir os limites em (16) e (18). Resolvendo analiticamente a Equaçao (12), obtém-se a Equaçao (19) (deduçao apresentada na Parte B do Material Suplementar):

 

 

Se B é o reagente limitante, a relaçao (15) implica que o expoente do termo exponencial seja negativo, de modo que o lado direito da equaçao tende a 0 para t → ∞. O mesmo deve ocorrer no lado esquerdo da equaçao, ou seja, quando o numerador tende à zero, ou x tende a [B]0/vB. Assim temos a mesma relaçao obtida na Equaçao (16). Por outro lado, caso A seja o reagente limitante, a funçao exponencial tende para infinito com o aumento de t. A condiçao para que o lado esquerdo da Equaçao (19) exiba o mesmo comportamento é que x tenda para [A]0/vA, analogamente à Equaçao (18). No entanto, a análise da dinâmica da equaçao diferencial nao-linear, brevemente ilustrada no presente artigo, além de ter sido feita sem recorrer à resoluçao analítica da Equaçao (12), pode ser realizada nos mesmos moldes para outras equaçoes diferenciais, ampliando o número de ferramentas disponíveis na exploraçao de diferentes fenômenos, químicos ou nao.12

 

CONCLUSÃO

Alguns dos tópicos abordados são comuns no tratamento da dinâmica de sistemas físicos e biológicos. Entre eles encontram-se a simplificação de equações diferenciais por substituições, o estudo do plano de fase, a identificação dos pontos críticos e de sua estabilidade (inclusive por curvas integrais), e a elaboração de diagramas de bifurcação. O estudo da reação exemplificada pode ser usado como protótipo didático na introdução da Dinâmica não-linear em cursos de Química.

 

MATERIAL SUPLEMENTAR

A simplificação da Equação (12) para a Equação (13) é descrita na Parte A do Material Suplementar, enquanto que a resolução analítica da primeira levando à Equação (19) é apresentada na Parte B. O Material Suplementar está disponível em formato PDF no site http://quimicanova.sbq.org.br, com acesso livre.

 

REFERÊNCIAS

1. Sagués, F.; Epstein, I. R.; Dalton Trans. 2003, 7, 1201.

2. Faria, R. de B.; Quim. Nova. 1995, 18, 281.

3. Field, R. J.; Burger, M. Em Oscillations and Traveling Waves in Chemical Systems; Field, R. J.; Burger, M., eds.; John Wiley & Sons, Inc.: New York, 1985, Prefácio.

4. Turing, A. M.; Phil. Trans. R. Soc. London, B 1952, 237, 37.

5. Ouyang, Q.; Swinney, H. L.; Chaos 1991, 1, 411.

6. Murray, J. D.; Mathematical Biology I. An Introduction, 3rd ed., Springer: New York, 2001.

7. Vanag, V. K.; Epstein, I. R.; Int. J. Dev. Biol. 2009, 53, 673.

8. Ortoleva, P. J.; Schmidt, S. L. Em Oscillations and Traveling Waves in Chemical Systems; Field, R. J.; Burger, M., eds.; John Wiley & Sons, Inc.: New York, 1985, cap. 10.

9. Epstein, I. R.; Showalter, K.; J. Phys. Chem. 1996, 100, 13132.

10. Varela, H.; Torresi, R. M.; Gonzalez, E. R.; Quim. Nova 2002, 25, 99.

11. Boyce, W. E.; DiPrima, R. C.; Equações Diferenciais Elementares e Problemas de Valores de Contorno, 7ª ed., LTC - Livros Técnicos e Científicos Editora S.A.: Rio de Janeiro, 2002.

12. Strogatz, S. H.; Nonlinear Dynamics and Chaos; Addison-Wesley Pub.: New York, 1994.

13. Hilborn, R. C.; Chaos and Nonlinear Dynamics: An Introduction for Scientists and Engineers; Oxford University Press, Inc.: New York, 1994.

14. Olsen, R. J.; Epstein, I. R.; J. Chem. Phys. 1991, 94, 3083.

15. Dormido, S.; Dormido-Canto, S.; Dormido, R.; Sánchez, J.; Duro, N.; Int. J. Engng. Ed. 2005, 21, 1122.

16. Espenson, J. H.; Chemical Kinetics and Reaction Mechanisms; McGraw-Hill, Inc.: New York, 1981.

17. Laidler, K. J.; Pure Appl. Chem. 1996, 68, 149.

18. Baird, J. K.; J. Chem. Educ. 1999, 76, 1146.

19. Polking, J. C.; Direction Field of a Differential Equation; Rice University, EUA, 2003.

On-line version ISSN 1678-7064 Printed version ISSN 0100-4042
Qu�mica Nova
Publica��es da Sociedade Brasileira de Qu�mica
Caixa Postal: 26037 05513-970 S�o Paulo - SP
Tel/Fax: +55.11.3032.2299/+55.11.3814.3602
Free access

GN1