JBCS



16:55, sáb out 25

Acesso Aberto/TP



Artigo


Estudos de QSAR para SARS-COV-2
QSAR studies for SARS-COV-2

Clodoaldo MachadoI; Keller P. NicoliniII; Jaqueline NicoliniII,*

I. Instituto Federal de Educação, Ciência e Tecnologia de Santa Catarina, 89251-000 Jaraguá do Sul - SC, Brasil
II. Departamento de Química, Instituto Federal de Educação, Ciência e Tecnologia do Paraná, 85555-000 Palmas - PR, Brasil

Recebido em 06/06/2020
Aceito em 17/06/2020
Publicado na web em 03/08/2020

Endereço para correspondência

*e-mail: jaqueline.nicolini@ifpr.edu.br

RESUMO

The generation of mathematical models through the quantitative relationship between the chemical structure and the biological activity (QSARs) of compounds was used in this investigation. Mathematical models were generated from compounds available in literature that predicting the biological activity against SARS-CoV-2. The data indicate that the parameters that most interfere and allow to validate the equations are: number of hydrogen bonding donors, maximum projection radius and length perpendicular to the minimum area. This allows us to infer that there is synergism between the basic capacity of the cysteine protein action site present in the virus and the geometric conditions for the three-dimensional alignment to potential compounds with anti-SARS-CoV-2 action. The authors highlight that mathematical models assist in chemical research, but do not replace evaluation of the efficacy in vitro, in vivo, pre-clinical and clinical studies, which are essential for dosage, release or authorization to use any medication or supplement.

Palavras-chave: QSAR; drug repositioning; mathematical model; SARS-CoV-2.

INTRODUÇÃO

A triagem de fármacos envolve a investigação acerca da responsividade transcricional de um organismo a um medicamento.1 O uso de modelos matemáticos para prever a suscetibilidade de microorganismos a medicamentos tem se mostrado importante em diversas áreas da medicina utilizando diferentes estratégias.2-6

Os estudos de QSAR são descritos e amplamente aplicados como ferramenta para descrever quantitativamente as relações entre a estrutura química de moléculas e a atividade biológica das mesmas,7 permitindo o planejamento racional de fármacos ou o reposicionamento de fármacos. Para isso é necessário um número total de variáveis, que pode ser muito maior que o número que será efetivamente incluído nos modelos.8 A validação do modelo gera alguns parâmetros estatísticos, sendo que um modelo com bom ajuste precisa apresentar um coeficiente de correlação (R) próximo à um (unidade), desvio-padrão (s) pequeno e o valor do teste de Fischer (F) grande.8,9

Há vários compostos descritos na literatura com ação potencial contra o SARS-CoV, como é o caso do favipiravir (aprovado para influenza), remdesivir (GS-5734), galidesivir (BCX4430), ribavirina (aprovado para hepatite viral tipo C, HCV, e vírus sincicial respiratório),10 tenofovir disoproxil fumarato (TDF) (aprovado para tratar a síndrome da imunodeficiência adquirida (HIV) e hepatite B, o qual possui mecanismo de ação semelhante ao remdesivir).11 Também podemos destacar o composto anakinra, antireumático que em testes clínicos gerou redução da mortalidade, juntamente com uma diminuição da necessidade de invasão mecânica por ventilação, sem que houvesse infecção bacteriana12 ou ainda a inibição na replicação de SARS-CoV-2 utilizando 2-desoxi-D-glicose (2-DG) in vitro.13 Outros compostos como o 3CLpro e o PLpro apresentam potencialidades como inibidores contra SARS-CoV e MERS-CoV.14 Assim, conforme descrito por Liu et al.,14 estes compostos podem ser testados contra 3CLpro e PLpro específicos, contribuindo na elucidação do mecanismo de ação específico. Resultados apresentados por Elfiky (2020) indicam que os compostos sofosbuvir, ribavirina e remdesivir podem ser usados contra SARS-CoV-2 bem como os derivados de nucleotídeos fisiológicos, utilizados como inibidores específicos contra a COVID-19.15 Estudos ainda descrevem que combinações do antibiótico baricitinibe com os antivirais de ação-direta lopinavir ou ritonavir e remdesivir podem reduzir a infecciosidade, replicação viral e resposta inflamatória frente à infecção por COVID-19.16 Já a combinação tripla de interferon beta-1b, lopinavir-ritonavir e ribavirina demonstraram em estudos clínicos, fase 2, a redução da taxa viral do SARS-CoV-2, alívio dos sintomas e redução no tempo de internamento dos pacientes infectados com COVID-19 com sintomas leves a moderado.17

Conforme descrito por Dai et al.,18 o novo corona vírus (SARS-CoV-2) possui poliproteínas que são processadas por uma protease principal (Mpro), também conhecida como protease do tipo 3C (3CLpro) e algumas outras proteínas e proteases. No entanto, a protease Mpro, desempenha um papel vital no ciclo de vida do coronavírus. Mpro é uma proteína de cisteína com três domínios envolvida na maioria dos eventos de clivagem e de maturação na poliproteína precursora,18-20 sendo uma enzima chave que desempenha um papel central na mediação da replicação e transcrição viral.18

Nesse manuscrito foram gerados modelos de QSAR a partir da correlação entre a concentração inibitória para 50% da replicação viral (CI50) de compostos descritos na literatura com descritores físico-químicos e moleculares da estrutura tridimensional (3D). Além disso, foi investigada a correlação entre os valores de CI50 e o alinhamento da estrutura tridimensional (3D), para os três inibidores conhecidos da protease (Mpro) presentes no SARS-CoV-2.

 

PARTE EXPERIMENTAL

Modelos matemáticos e validação

Os modelos matemáticos foram desenvolvidos com o auxílio do software BuildQSAR (versão 1.0.1.35). A avaliação do grau de previsibilidade dos modelos também foi calculada usando o programa BuildQSAR. Foi realizada a validação estatística e a validação externa. Um modelo com elevado grau de previsibilidade para objetos não incluídos no mesmo apresentará coeficiente de correlação (Q2) próximo de 1 e desvio-padrão da validação cruzada (SPRESS) próximo a zero.21

Os modelos foram gerados a partir de método semi-empírico, considerando a investigação da suscetibilidade in vitro (CI50) determinada experimentalmente por Jeon et al. de 35 compostos que apresentaram os melhores valores de CI50, os quais foram selecionados a partir de 52 compostos previamente descritos.22 A partir destes 35 compostos, 31 parâmetros (físico-químicos e moleculares) foram calculados, incluindo o alinhamento estrutural 3D (similaridade estrutural), utilizando o banco de estruturas da PubChem23 e o software ChemAxon24 (Tabela 1S). Compostos iguais apresentam alinhamento estrutural 3D igual a 1. Para cruzamento dos dados e para gerar os modelos matemáticos foi utilizado o programa BuildQSAR. Com a finalidade de gerar as QSARs os valores de CI50 são convertidos em log(1/CI50) (Tabela 1S). Para a triagem foram selecionados 29 compostos (Tabela 2S) que compreendem analgésicos, antivirais, anticoagulantes e produtos naturais com diferentes ações metabólicas. Para validação externa (Tabela 3S), foram selecionados os compostos com ação anti-SARS-CoV-2 favipiravir (CI50 > 500 μmol L-1) e atazanavir (CI50 > 50 μmol L-1),22 emetina (CI50 = 0,46 μmol L-1) e homoharringtonina (CI50 = 2,55 μmol L-1),25 ivermectina (CI50 = 2,80 μmol L-1),26 11a (CI50 = 0,053 μmol L-1) e 11b (CI50 = 0,04 μmol L-1).18 Para todos os compostos investigados - série em estudo (Tabela 1S), compostos utilizados na triagem (Tabela 2S) e compostos utilizados na validação externa (Tabela 3S) - foram calculados os mesmos parâmetros físico-químicos e descritores moleculares.

Considerando que o mecanismo de ação de um fármaco na base proteica do SARS-CoV-2 ainda não é totalmente conhecido a análise da semelhança estrutural entre os inibidores conhecidos (N1, N3 e N9)18 (Figura 1) e as moléculas investigadas é uma ferramenta físico-química importante no processo de triagem ou reposicionamento de fármacos que apresentem potencial ação anti-SARS-CoV-2.

 


Figura 1. Estruturas químicas dos inibidores N1, N3 e N9

 

RESULTADOS E DISCUSSÃO

Correlação entre CI50 e descritores da estrutura tridimensional (3D)

Os testes de avaliação das equações geradas levaram em consideração: i) verificação do grau de ajuste do modelo (cálculo do coeficiente de correlação (R) e do desvio-padrão (s)); ii) verificação do grau de significância do modelo (cálculo do teste F); e iii) verificação do grau de previsibilidade do modelo e das variáveis selecionadas (validação cruzada, cálculo do coeficiente de correlação (Q2) e do desvio padrão da validação cruzada (sPRESS)), sendo estas as avaliações exigidas para um modelo de regressão linear ser aceito.21 Na primeira etapa, foram geradas equações para os 35 compostos. As equações obtidas não apresentaram bons resultados estatísticos, apresentando baixos coeficientes de correlação (R), altos desvios-padrão (s), baixa significância (baixo F), baixa previsilidade (Q2) e alto desvio padrão da validação cruzada (sPRESS), indicando que os compostos investigados apresentam diferentes mecanismos de ação.

Na segunda etapa, para a construção do modelo foram selecionados cinco compostos descritos por Jeon et al.,22 que apresentam os maiores valores de log(1/CI50) para SARS-CoV-2, sendo digoxina, digitoxina, niclosamida, proscilaridina e hexaclorofeno, com valores de CI50 entre 0,190 e 2,040 μmol L-1. Observou-se que os valores de similiaridade tridimensional 3D com N1 estavam entre 0,060 e 0,327, similiaridade tridimensional 3D com N3 entre 0,140 e 0,319 e similiaridade tridimensional 3D com N9 entre 0,096 e 0,334. Dentre as muitas equações geradas (QSARs), a Equação 1 foi a que apresentou os parâmetros estatísticos mais adequados, mas mesmo assim, não é uma equação estatisticamente aceitável, pois apesar de ser um modelo com previsibilidade de 89,4% (Q2=0,894x100) e h positivo (coeficiente angular), que indica que o parâmetro X da equação contribui positivamente para o modelo gerado, ela apresenta baixa significância (baixo F), baixa correlação (r2=0,135) e altos desvios padrão (s e SSPRESS). O parâmetro X[27] utilizado para gerar o modelo é o número de sítios aceptores de ligação de hidrogênio. A correlação entre os valores de log(1/CI50)Previsto versus log(1/CI50)Observado indicam a presença de compostos que geram grandes resíduos no modelo de regressão (Figura 1S), denominados de outliers.21

Como critério de investigação, foi realizada a validação externa utilizando a Equação 1. A relação entre log(1/CI50)Observado e log(1/CI50)Previsto indica valor dos resíduos ≤ 2,386 (Tabela 1). Estes compostos provavelmente apresentam diferentes mecanismos de ação o que é uma variável a ser considerado na flutuação dos valores dos resíduos.

 

 

Observa-se que os compostos com as maiores atividades biológicas contra SARS-CoV-2 utilizados na construção da QSAR apresentada na Equação 1, apresentam grandes diferenças estruturais entre si, possivelmente apresentando diferentes mecanismos ação, o que geralmente é fator determinante para obtenção de parâmetros estatísticos que permitam validar o modelo gerado.

Na terceira etapa, foram então selecionados aleatoriamente dois grupos de compostos visando correlacionar os valores de CI50 com a similaridade 3D para os três inibidores conhecidos da protease (Mpro), separadamente. Para gerar os modelos matemáticos do Grupo 1 foram selecionados aleatoriamente, os compostos proscilaridina, penfluridol, ceritinibe, tetrandrina, bazedoxifeno, droloxifeno e eltrombopag. Esses compostos aparesentam valores de CI50 entre 2,04 e 8,27 μmol L-1. Observou-se que os compostos escolhidos apresentaram valores de alinhamento estrutural tridimensional (3D) para N1 entre 0,141 a 0,308, similiaridade tridimensional 3D com N3 entre 0,270 e 0,349 e similiaridade tridimensional 3D com N9 entre 0,289 e 0,338. Dentre as equações geradas, o modelo apresentado na Equação 2, utiliza o parâmetro X[24] que indica o número de doadores de ligação de hidrogênio no composto testado. Dentre as equações geradas, a Equação 2 foi a que apresentou os parâmetros estatísticos mais adequados, apresentando previsibilidade do modelo de 63,9% (Q2=0,639x100) e h positivo (coeficiente angular), que indica que o parâmetro X da equação contribui positivamente para o modelo gerado. O modelo gerado (Eq. 2) apresenta maior significância (valor F) que o modelo apresentado na Eq. 1, boa correlação (r2=0,766) e baixos desvios padrão (s e SSPRESS). A correlação entre os valores de log(1/CI50)Previsto versus log(1/CI50)Observado indicam a presença de compostos que geram menores resíduos no modelo de regressão (Figura 2S), quando comparados ao modelo apresentado na Equação 1.

A partir da validação externa utilizando a Equação 2 a relação entre log(1/CI50)Observado e log(1/CI50)Previsto indica valores dos resíduos menores que os observados na Equação 1 (Tabela 2). Observa-se que os compostos que apresentam o maior número de sítios aceptores de par eletrônico (Tabela 3S), homoharringtonina e ivermectina, apresentam os menores resíduos.

 

 

Para gerar os modelos matemáticos do Grupo 2 foram selecionados os compostos ciclosporina, lusutrombopag, triparanol, remdesivir, cloroquina. Esses compostos apresentam valores de CI50 entre 3,78 e 12,00 μmol L-1. Para esse grupo observou-se que os compostos escolhidos apresentaram valores de alinhamento estrutural tridimensional (3D) para N1 entre 0,233 e 0,333, similiaridade tridimensional 3D com N3 entre 0,284 a 0,391 e similiaridade tridimensional 3D com N9 entre 0,260 e 0,398. Dentre as equações geradas, são apresentados dois modelos (Equações 3 e 4) os quais apresentaram parâmetros estatísticos adequados. A Equação 3 apresenta previsibilidade do modelo de 96,9% (Q2=0,969x100) e h positivo da equação (coeficiente angular), indicando que o parâmetro X[18], raio máximo de projeção, contribui positivamente para o modelo gerado. O modelo gerado (Eq. 3) apresenta alta significância (valor F), boa correlação (r2=0,988) e baixos desvios padrão (s e SSPRESS).

A partir da validação externa utilizando a Equação 3 a relação entre log(1/CI50)Observado e log(1/CI50)Previsto indica que os menores valores dos resíduos são observados para homoharringtonina e ivermectina (Tabela 3).

 

 

A Equação 4 apresenta previsibilidade do modelo de 99,9% (Q2=0,999x100) e h positivo (coeficiente angular) da equação, indicando que o parâmetro X[20], comprimento perpendicular à área mínima, contribui positivamente para o modelo gerado. O modelo de QSAR gerado (Eq. 4) apresenta os melhores parâmetros estatísticos dentre os quatro modelos gerados (Eq. 1-4), apresentando alta significância (valor F), boa correlação (r2=1,00) e baixos desvios padrão (s e SSPRESS). A correlação entre os valores de log(1/CI50)Previsto versus log(1/CI50)Observado para as Equações 3 e 4 indicam boa linearidade dos modelos de regressão (Figura 3S e Figura 4S), sendo os melhores modelos obtidos.

A partir da validação externa utilizando a Equação 4 a relação entre log(1/CI50)Observado e log(1/CI50)Previsto indica que os menores valores dos resíduos são observados para atazanavir, homoharringtonina e ivermectina (Tabela 4). Mesmo um modelo matemático apresentando bons parâmetros estatísticos, os valores dos resíduos algumas vezes podem ser superiores a uma unidade. Isso pode estar correlacionado com diferentes mecanismos de ação entre os compostos utilizados para gerar o modelo e os compostos selecionados para a validação ou incapacidade de explicar o aspecto tridimensional das interações fármaco-receptor.7 De modo geral, os resíduos resultam de erros aleatórios relativos à determinação experimental dos valores de Y (log(1/CI50)) e/ou a especificação imprópria do modelo. Os resíduos indicam uma variabilidade que o modelo não pode explicar.21

Dentre os parâmetros físico-químicos e descritores moleculares utilizados para a obtenção dos modelos matemáticos, observa-se que os modelos de QSAR que possuem compostos com baixa similaridade estrutural entre N1, N3 e N9 geram modelos com baixa predição (Eq. 1). Os parâmetros que mais interferem e permitem validar as equações são: número de doadores de ligação de hidrogênio (Eq. 2), raio máximo de projeção (Eq. 3) e comprimento perpendicular à área mínima (Eq. 4). Isso infere dizer que há um sinergismo entre a capacidade básica do sítio de ação da proteína de cisteína presente no vírus e as condições geométricas para o alinhamento tridimensional nos potenciais compostos com ação anti-SARS-Cov-2, devido a similaridade estrutural com as estruturas dos inibidores peptidomiméticos covalentes, conforme descrito na literatura.18-20,27

A literatura descreve compostos que apresentam alta atividade biológica contra o vírus, mas seu emprego é inviável pela toxicidade ou efeitos colaterais e a similaridade estrutural é um fator importante a ser considerado,18 conforme também observado a partir dos modelos matemáticos propostos por este trabalho. A semelhança estrutural com a protease principal (Mpro) foi um parâmetro chave para poder compreender os modelos matemáticos gerados.

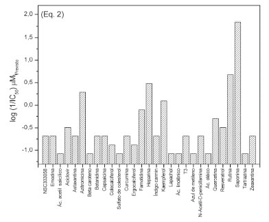
Os modelos de QSAR gerados e apresentados nas Equações 1-4 foram aplicados aos 29 compostos selecionados para triagem. Do grupo de triagem, os compostos ácido acetil salicílico, azitromicina, azul de metileno, colecalciferol, curcumina, ergocalciferol, famotidina, heparina e T3 estão com tag de testes clínicos na plataforma PubChem.23 A Tabela 2S contém os números CID dos compostos para pesquisa na referida plataforma. A partir dos 29 compostos selecionados para triagem, foram calculados os valores da atividade biológica prevista (log(1/CI50)Previsto) (disponível na Tabela 4S). Dentre estes compostos observa-se que os compostos com as maiores atividades previstas (log(1/CI50)Previsto) para: i) Equação 1 são: heparina, saponina, rutina, tartrazina, kaempferol e azitromicina (Figura 2); ii) Equação 2 são: saponina, rutina, heparina, azitromicina, kaempferol e famotidina (Figura 3); iii) Equação 3 são: astaxantina, zeaxantina, saponina, ácido linolênico, heparina e colecalciferol (Figura 4); e iv) Equação 4 são: astaxantina, zeaxantina, saponina, ácido linolênico, heparina e sulfato de colesterol (Figura 5). É importante destacar que as equações indicam muitos dos compostos que tem tag de testes clínicos sobre SARS-CoV-2. A Tabela 5S também apresenta a atividade biológica prevista (log(1/CI50)Previsto) para os 35 compostos da série em estudo a partir das quatro equações geradas por este trabalho e os respectivos resíduos.

 


Figura 2. Compostos selecionados para triagem com as atividades previstas log(1/CI50)Previsto a partir da Equação 1

 

 


Figura 3. Compostos selecionados para triagem com as atividades previstas log(1/CI50)Previsto a partir da Equação 2

 

 


Figura 4. Compostos selecionados para triagem com as atividades previstas log(1/CI50)Previsto a partir da Equação 3

 

 


Figura 5. Compostos selecionados para triagem com as atividades previstas log(1/CI50)Previsto a partir da Equação 4

 

A triagem envolvendo hormônios e produtos naturais, que muitas vezes têm ação quelante,28,29 justifica-se porque ainda não há um diagnóstico clínico explicitando por que algumas pessoas não desenvolvem os sintomas da COVID-19, sendo então assintomáticas e potencialmente transmissoras do vírus. A ligação de íons metálicos pode ativar ou desativar uma proteína, sendo que estudos indicam que íons metálicos podem se ligar às proteínas virais da protease 3CL de SARS-CoVcom inibição não competitiva.30,31 Estudos têm evidenciado que a curcumina inibe a infecção pelos vírus zika e chikungunya, inibindo a ligação celular32 e que uma ingestão habitual moderada de flavonóides têm correlação com a redução das taxas de mortalidade relacionadas a problemas cardiovasculares e ligados ao câncer, considerando uma ingestão de aproximadamente 500 mg/dia de flavonóides.33 A literatura descreve compostos naturais que inibem a replicação de vírus que causam síndrome reprodutiva e respiratória em animais.34

Os autores destacam que o trabalho aqui apresentado permite contribuir para a investigação, reposicionamento ou síntese de novos fármacos e reforçam que os modelos matemáticos auxiliam na investigação química, mas não substituem estudos para avaliar a eficácia in vitro, in vivo, pré-clínico e clínicos, os quais são fundamentais para a dosagem, liberação ou autorização do uso de qualquer medicamento ou suplemento.

 

CONCLUSÃO

Estes modelos de relação quantitativa estrutura-atividade (QSAR) propostos contribuem para: i) reflexão sobre o reposicionamento de fármacos; ii) desenvolvimento ou investigação de compostos com similaridade estrutural ao sítio de ação conhecido; iii) auxiliar na investigação de compostos que tenham similaridade estrutural com a proteína do vírus que não sofre mutação.

Este trabalho demonstra que a partir de cada domínio conhecido presente no SARS-CoV-2 com alinhamento estrutural podem ser desenvolvidas equações para prever a atividade anti-COVID-19 de compostos químicos, contribuindo para a síntese de novos fármacos ou o reposicionamento de fármacos pré-existentes.

 

MATERIAL SUPLEMENTAR

Tabelas e figuras de parâmetros gerados a partir deste trabalho estão disponíveis em http://quimicanova.sbq.org.br, na forma de arquivo PDF, com acesso livre.

 

AGRADECIMENTOS

Os autores agradecem o Laboratório de Corantes e Processos Pirolíticos (LACOPPI/IFPR), o Instituto Federal de Educação, Ciência e Tecnologia do Paraná - IFPR (Edital 12/2020 - Chamada Interna de Apoio à Projetos de Extensão, Pesquisa e Inovação para o Enfrentamento da Emergência de Saúde Pública de Importância Internacional Decorrente do Coronavírus, Covid-19/PROEPPI-IFPR) e o Instituto Federal de Educação, Ciência e Tecnologia de Santa Catarina - IFSC.

 

REFERÊNCIAS

1. Ashby, M.; Rine, J.; US Pat. 5,569,588 1996.

2. Dowdy, D. W.; Chaisson, R. E.; Maartens, G.; Corbett, E. L.; Dorman, S. E.; Proc. Natl. Acad. Sci. U. S. A. 2008, 105, 11293.

3. Granich, R. M.; Gilks, C. F.; Dye, C.; De Cock, K. M.; Williams, B. G.; Lancet 2009, 373, 48.

4. Mohan, D. K.; Molnar, P.; Hickman, J. J.; Biosens. Bioelectron. 2006, 21, 1804.

5. Sugibayashi, K.; Todo, H.; Oshizaka, T.; Owada, Y.; Pharm. Res. 2009, 27, 134.

6. Cohen, T.; Dye, C.; Colijn, C.; Williams, B.; Murray, M.; Expert Rev. Respir. Med. 2009, 3, 67.

7. Tavares, L. C.; Quim. Nova 2004, 27, 631.

8. Ferreira, M. M. C.; Montanari, C. A.; Gaudio, A. C.; Quim. Nova 2002, 25, 439.

9. Martins, J. P. A.; Ferreira, M. M. C.; Quim. Nova 2013, 36, 554.

10. Li, G.; De Clercq, E.; Nat. Rev. Drug Discovery 2020, 19, 149.

11. Clososki, G. C.; Soldi, R. A.; da Silva, R. M.; Guaratini, T.; Lopes, J. N.; Pereira, P. R.; Lopes, J. L.; dos Santos, T.; Martins, R. B.; Costa, C. S.; J. Braz. Chem. Soc. (2020), doi: 10.21577/0103-5053.20200106.

12. Huet, T.; Beaussier, H.; Voisin, O.; Jouveshomme, S.; Dauriat, G.; Lazareth, I.; Sacco, E.; Naccache, J.-M.; Bézie, Y.; Laplanche, S.; Le Berre, A.; Le Pavec, J.; Salmeron, S.; Emmerich, J.; Mourad, J.-J.; Chatellier, G.; Hayem, G.; The Lancet Rheumatology (2020), doi: 10.1016/S2665-9913(20)30164-8.

13. Bojkova, D.; Klann, K.; Koch, B.; Widera, M.; Krause, D.; Ciesek, S.; Cinatl, J.; Münch, C.; Nature (2020), doi: 10.1038/s41586-020-2332-7.

14. Liu, W.; Morse, J. S.; Lalonde, T.; Xu, S.; ChemBioChem 2020, 21, 730.

15. Elfiky, A. A.; Life Sci. 2020, 248, 117477.

16. Stebbing, J.; Phelan, A.; Griffin, I.; Tucker, C.; Oechsle, O.; Smith, D.; Richardson, P.; Lancet Infect. Dis. 2020, 20, 400.

17. Hung, I. F.-N.; Lung, K.-C.; Tso, E. Y.-K.; Liu, R.; Chung, T. W.-H.; Chu, M.-Y.; Ng, Y.-Y.; Lo, J.; Chan, J.; Tam, A. R.; Lancet 2020, 395, 1695.

18. Dai, W.; Zhang, B.; Su, H.; Li, J.; Zhao, Y.; Xie, X.; Jin, Z.; Liu, F.; Li, C.; Li, Y.; Bai, F.; Wang, H.; Cheng, X.; Cen, X.; Hu, S.; Yang, X.; Wang, J.; Liu, X.; Xiao, G.; Jiang, H.; Rao, Z.; Zhang, L.-K.; Xu, Y.; Yang, H.; Liu, H.; Science (2020), doi: 10.1126/science.abb4489.

19. Ramajayam, R.; Tan, K.-P.; Liang, P.-H.; Biochem. Soc. Trans. 2011, 39, 1371.

20. Ren, Z.; Yan, L.; Zhang, N.; Guo, Y.; Yang, C.; Lou, Z.; Rao, Z.; Protein Cell 2013, 4, 248.

21. Gaudio, A. C.; Zandonade, E.; Quim. Nova 2001, 24, 658.

22. Jeon, S.; Ko, M.; Lee, J.; Choi, I.; Byun, S. Y.; Park, S.; Shum, D.; Kim, S.; Biorxiv (2020), doi: 10.1128/AAC.00819-20.

23. PubChem. https://www.ncbi.nlm.nih.gov/pccompound, acessada em julho de 2020.

24. ChemAxon. https://pass.chemaxon.com/login, acessada em julho de 2020.

25. Choy, K.-T.; Wong, A. Y.-L.; Kaewpreedee, P.; Sia, S. F.; Chen, D.; Hui, K. P. Y.; Chu, D. K. W.; Chan, M. C. W.; Cheung, P. P.-H.; Huang, X.; Peiris, M.; Yen, H.-L.; Antiviral Res. 2020, 178, 104786.

26. Caly, L.; Druce, J. D.; Catton, M. G.; Jans, D. A.; Wagstaff, K. M.; Antiviral Res. 2020, 178, 104787.

27. Dömling, A.; Gao, L.; Chem 2020, 6, 1283.

28. De Castilho, T. S.; Matias, T. B.; Nicolini, K. P.; Nicolini, J.; Food Sci. Hum. Wellness 2018, 7, 215.

29. Dos Santos, C.d.M. R.; De Jesus, B. T. A.; Cordeiro, M. E.; Nicolini, K. P.; Nicolini, J.; Eng. Agric. Environ. Food 2019, 12, 534.

30. Pandey, A.; Nikam, A. N.; Shreya, A. B.; Mutalik, S. P.; Gopalan, D.; Kulkarni, S.; Padya, B. S.; Fernandes, G.; Mutalik, S.; Prassl, R.; Life Sci. 2020, 256, 117883.

31. Hsu, J. T.-A.; Kuo, C.-J.; Hsieh, H.-P.; Wang, Y.-C.; Huang, K.-K.; Lin, C. P.-C.; Huang, P.-F.; Chen, X.; Liang, P.-H.; Febs Let. 2004, 574, 116.

32. Mounce, B. C.; Cesaro, T.; Carrau, L.; Vallet, T.; Vignuzzi, M.; Antiviral Res. 2017, 142, 148.

33. Bondonno, N. P.; Dalgaard, F.; Kyrø, C.; Murray, K.; Bondonno, C. P.; Lewis, J. R.; Croft, K. D.; Gislason, G.; Scalbert, A.; Cassidy, A.; Tjønneland, A.; Overvad, K.; Hodgson, J. M.; Nat. Commun. 2019, 10, 3651.

34. Karuppannan, A. K.; Wu, K. X.; Qiang, J.; Chu, J. J.-H.; Kwang, J.; Antiviral Res. 2012, 94, 188.

On-line version ISSN 1678-7064 Printed version ISSN 0100-4042
Qu�mica Nova
Publica��es da Sociedade Brasileira de Qu�mica
Caixa Postal: 26037 05513-970 S�o Paulo - SP
Tel/Fax: +55.11.3032.2299/+55.11.3814.3602
Free access

GN1