JBCS



17:42, sáb out 25

Acesso Aberto/TP



Educação


Quantificação de nanopartículas de prata em um produto farmacêutico por espectrofotometria e potenciometria: uma proposta para aulas práticas de química analítica
Quantification of silver nanoparticles in a pharmaceutical product by spectrophotometry and potentiometry: a proposal for practical classes in analytical chemistry

Elen C. P. de Brito; Ludmila dos S. Madalena; Richard H. Lima; Gabriel S. Bernardes; Luís Antônio da Silva; Valéria A. Alves*

Departamento de Química, Instituto de Ciências Exatas, Naturais e Educação/ICENE, Universidade Federal do Triângulo Mineiro, 38064-200 Uberaba - MG, Brasil

Recebido em 26/02/2020
Aceito em 07/07/2020
Publicado na web em 31/08/2020

Endereço para correspondência

*e-mail: valeria.alves@uftm.edu.br

RESUMO

Spectrophotometry and potentiometry techniques were used to quantify silver in an ophthalmic solution. A standard solution of silver nanoparticles was synthesized, from which an analytical method was developed to quantify silver in the sample. Potentiometric titrations of three samples were made, using an electrochemical cell containing an alternative metallic indicator electrode and an Ag|AgCl double junction reference electrode, connected to a potentiometer. A digital burette containing a standard solution 5.00 x 10-3 mol L-1 NaCl was used. Characterization of the ophthalmic solution by spectrophotometry showed that Ag in this medicine is in the form of nanoparticles. The sample preparation for potentiometric measurements was carried out using a mixture of 50 µL of the ophthalmic solution and 2.00 mL of nitric acid. The average concentrations of Ag obtained were 1.65 ± 0.03% (w/v) by spectrophotometry, and 1.73 ± 0.06% (w/v) by potentiometry. The relative standard deviations were 2% and 4%, respectively. The precision of the measurements obtained by the cited methods showed no significant differences (f test). It was also observed that average silver concentrations obtained by the two methods were not statistically different (t test). Both tests were made at a 95% confidence level.

Palavras-chave: silver vitellinate; silver; spectrophotometry; potentiometry.

INTRODUÇÃO

A nanotecnologia se tornou um dos assuntos mais intrigantes e atuais da pesquisa científica, o que torna a síntese de nanopartículas de prata e de ouro uma proposta interessante para os estudantes de química, pois permite o aprendizado de algumas propriedades dos nanomateriais.1

Materiais com dimensões na escala nanométrica (1 a 100 nm) exibem propriedades químicas e físicas diferentes de materiais de mesma composição, porém com partículas de tamanhos maiores.2 Dispersões de nanopartículas de prata e ouro são coloridas porque apresentam o fenômeno de ressonância plasmônica de superfície (SPR), podendo ser monitoradas por espectrofotometria de absorção molecular no UV-VIS. A nuvem eletrônica de condução da nanopartícula oscila como onda e absorve radiação eletromagnética de energia específica. Nanopartículas de diferentes tamanhos e formas exibem diferentes fenômenos de SPR e, consequentemente, absorvem luz de diferentes comprimentos de onda (λ), o que explica dispersões de diferentes cores.2

Dispersões de nanopartículas de prata (NPAg) são as mais comumente preparadas, onde as partículas são quase-esféricas, exibem SPR com máximo em torno de 400 nm, e uma cor característica amarela.3 Se o λ da radiação eletromagnética incidente em uma nanoestrutura metálica for muito maior que o tamanho da nanoestrutura, os elétrons de condução oscilarão coletivamente com uma frequência específica.4

As nanopartículas já estão presentes em muitos produtos do nosso dia a dia, como roupas, tecidos, recipientes para armazenamento de alimentos, medicamentos, cosméticos, entre outros. Vários setores da indústria química, como o de eletrônicos, farmacêuticos e cosméticos, aplicam soluções baseadas em nanotecnologia para melhorar seus produtos.5

Diversas publicações sobre diferentes métodos de síntese e as propriedades das nanopartículas estão disponíveis,3,6-16 inclusive sínteses de nanopartículas de prata e ouro visando atender aos princípios da Química Verde.5,17,18 Nanopartículas metálicas são geralmente sintetizadas por meio de reações químicas de óxido-redução,8,13,19-22 onde utilizam-se solventes orgânicos ou borohidreto de sódio como agentes redutores, além de surfactantes e polímeros como agentes estabilizantes.8,13,21

O experimento proposto nesse artigo tem como foco incrementar as possibilidades de abordar o tema nanociência/nanomateriais nas aulas práticas de Química Analítica Instrumental dos cursos de graduação em Química ou áreas afins. A atividade experimental inclui a utilização de técnicas analíticas espectroscópica e eletroquímica, onde o aparato necessário normalmente encontra-se disponível nos laboratórios didáticos das instituições de ensino brasileiras. A amostra utilizada nesse trabalho é um produto farmacêutico, uma solução oftálmica de vitelinato de prata 10%, o qual contém NPAg na sua formulação. Estudos envolvendo a quantificação de nanopartículas em amostras reais são escassos na literatura; normalmente os experimentos propostos são destinados para as disciplinas das áreas de Físico-Química ou Inorgânica, onde o foco é diferente daquele abordado no presente trabalho e, além disso, não utilizam amostras reais.

A técnica de potenciometria foi realizada a partir da reutilização dos fios de prata contidos num eletrodo de vidro quebrado, que seria descartado pela nossa instituição de ensino. Vale ressaltar que, para esses estudos, as NPAg da amostra de colírio tiveram que ser dissolvidas, pois o potencial do eletrodo metálico alternativo, de primeira espécie, Ag|Ag+, depende da atividade dos íons Ag+ (considerando-se soluções diluídas de íons Ag+, pode-se considerar a atividade igual à concentração, na equação de Nernst). O intuito desse reuso de eletrodos é contribuir com a proposição de experimentos mais sustentáveis e a criação de novas possibilidades para as aulas práticas de potenciometria, que normalmente se restringem à realização de titulação ácido-base. O professor pode explorar a química envolvida no sistema eletroquímico, articulando com os conceitos da titulação de precipitação e da técnica de potenciometria, tais como eletrodos indicadores metálicos, equação de Nernst, potencial da célula, etc. Além disso, a escolha de uma amostra real torna o processo de aprendizagem de química mais atraente e relevante para os alunos.

O objetivo desse trabalho é determinar a concentração de prata em colírio utilizando-se as técnicas de espectrofotometria de absorção molecular no UV-VIS e de titulação potenciométrica.

 

METODOLOGIA

Preparo da amostra de colírio, síntese do padrão de nanopartículas de prata (NPAg) e quantificação de prata no colírio por espectrofotometria de absorção molecular no UV-VIS

O colírio utilizado é indicado em caso de oftalmia (inflamação dos olhos) dos recém-nascidos ou no tratamento de conjuntivite, cujo princípio ativo é o vitelinato de prata, o qual está presente no produto na concentração de 100 mg mL-1, além de clorobutanol e água purificada, como veículo.23 De acordo com a literatura,24 o vitelinato de prata é uma proteína com uma alta massa molar, que contém prata na forma de nanopartículas na sua estrutura. O clorobutanol atua como um conservante no colírio, dadas as suas propriedades antibacterianas e antifúngicas. É normalmente usado em uma concentração de 0,5%, conferindo estabilidade a longo prazo às formulações farmacêuticas. No entanto, o clorobutanol já apresenta atividade antimicrobiana na concentração de 0,05% em água.25

Considerando a coloração do colírio analisado, foram registrados espectros de absorção de soluções diluídas. Para isso, 50 µL de colírio foram transferidos para balões volumétricos de 100 mL, cujos volumes foram completados com água ultrapura, até o menisco; o Fator de Diluição (FD) das amostras foi de 2000 vezes. Os espectros de absorção das amostras diluídas apresentaram semelhança com aquele de suspensão de NPAg da literatura.26

Sintetizou-se um padrão de NPAg, a partir da mistura de 25,00 mL de uma solução 1,00 × 10-3 mol L-1 de nitrato de prata (AgNO3) com 75,0 mL de uma solução 1,99 × 10-3 mol L-1 de borohidreto de sódio (NaBH4), conforme procedimento descrito na literatura,11,12 com o intuito de confirmar se, de fato, a prata encontra-se na forma de nanopartículas nesse produto farmacêutico. Obteve-se uma solução de cor amarela, que imediatamente teve seu espectro de absorção registrado. A partir do valor do comprimento de onda de máxima absorção (λmáx) obteve-se o valor estimado da largura a meia altura (LMA) da banda de SPR; a Figura 1 detalha como a largura a meia altura foi obtida.

 


Figura 1. Etapas para determinar a largura a meia altura da banda de absorção de um espectro de absorção. Fonte: adaptada da referência 8

 

A equação química (1) representa o processo de síntese química das NPAg.11,12

Na equação química (1) o átomo de hidrogênio do borohidreto de sódio sofre oxidação, cujo número de oxidação representado por H-1 passa a H0, no H2(g). A quantidade de substância (número de mol) de NaBH4 utilizada no meio reacional foi maior que a de AgNO3, ou seja, esse reagente foi utilizado em excesso, por isso a primeira camada de adsorção das nanopartículas de prata é formada predominantemente pelos íons borohidreto (Figura 2). A carga superficial negativa das partículas provoca a repulsão entre as mesmas e impede o seu crescimento além de um certo tamanho. O diâmetro estimado das nanopartículas é de 62 nm.11,12 Neste trabalho utilizou-se essa rota química para síntese de NPAg.

 


Figura 2. Esquema da preparação de nanopartículas de prata (NPAg) contendo íons borohidreto adsorvidos, que criam forças repulsivas capazes de estabilizar a solução coloidal. Fonte: Referência 27, de acesso livre, distribuída sob os termos da Creative Commons Attribution License: https:// creativecommons.org/licenses/by/3.0/br/

 

A solução de borohidreto de sódio deve ser preparada no dia de realização da síntese das nanopartículas, devido à sua decomposição em meio aquoso, conforme equação química (2):3

A partir do padrão de NPAg sintetizado conforme descrito anteriormente, foram preparadas sete soluções diluídas, nas proporções mostradas na Tabela 1. As medidas de absorbância foram realizadas no λmáx. Construiu-se uma curva analítica; a partir da reta analítica, e das medidas de absorbância das soluções de colírio, preparadas conforme descrito anteriormente (em triplicata), determinou-se a concentração de prata nas amostras, em % (m/v).

 

 

Foram obtidos os espectros de absorção das soluções diluídas. Todos os espectros de absorção foram registrados no intervalo de comprimento de onda entre 300 e 900 nm, utilizando-se um espectrofotômetro da marca Femto e cubetas de quartzo.

Preparo do eletrodo metálico alternativo e da amostra de colírio para quantificação de prata por potenciometria

Para determinação da concentração de prata no colírio por titulação potenciométrica, é necessário que a prata esteja na forma de íon (Ag+). Para determinação do teor de prata na solução oftálmica, foi empregado um eletrodo metálico alternativo, preparado a partir de um eletrodo de vidro quebrado, o qual foi reutilizado a partir de algumas modificações na disposição do mesmo, conforme mostrado na Figura 3.

 


Figura 3. Etapas da preparação do eletrodo metálico alternativo, a partir de um eletrodo de membrana de vidro quebrado

 

O preparo das amostras de colírio foi realizado transferindo-se 50 µL do colírio para tubos de ensaio e adicionando-se a cada um deles 2,00 mL de ácido nítrico concentrado. As misturas foram levadas ao banho de ultrassom durante 10 minutos e, por fim, foram preparadas soluções, transferindo-as para balões volumétricos de 5 mL, cujos volumes foram completados com água ultrapura, até o menisco (ver Figura 4). Preparou-se três amostras; o Fator de Diluição (FD) das amostras foi de 100 vezes.

 


Figura 4. Etapas da preparação da amostra de colírio; fotografia do sistema utilizado e etapas para quantificação de prata no colírio por titulação potenciométrica

 

A quantificação de prata no colírio utilizando a potenciometria indireta (titulação potenciométrica) foi realizada utilizando-se o sistema eletroquímico apresentado na Figura 4. Além do eletrodo metálico alternativo, utilizou-se um eletrodo de referência de Ag|AgCl de junção dupla (Analion®), conectados a um potenciômetro (Ávila Científica®), uma bureta digital de 50 mL (Titrette®), preenchida com solução de cloreto de sódio (NaCl) 5,00 × 10-3 mol L-1 como titulante, um mini-agitador magnético (Tecnal®/TE-080) e uma barra magnética.

Sabendo-se a equação química da titulação, equação (3), a concentração e o volume gasto de titulante, bem como o volume da solução do analito, foi possível calcular o teor de prata no colírio, em % (m/v), a partir de cálculos estequiométricos.

Para comparação da precisão e da exatidão dos dois métodos analíticos foram utilizadas ferramentas estatísticas, tais como o teste f e o teste t, respectivamente.26,28-30

 

RESULTADOS E DISCUSSÃO

Caracterização da amostra de colírio e do padrão de nanopartículas de prata (NPAg) por espectrofotometria de absorção molecular no UV-VIS

As Figuras 5a e 5b apresentam espectros de absorção representativos, da solução de padrão de NPAg e da amostra de colírio, registrados logo após o preparo das soluções. As fotografias das soluções de padrão de NPAg sintetizada por nós e de colírio são apresentadas na Figura 5 (inset).

 


Figura 5. Espectro de absorção da solução de padrão de NPAg (a); inset: fotografia do padrão de NPAg sintetizado. Espectro de absorção da amostra de colírio (b); inset: fotografia da solução de colírio

 

O espectro de absorção da suspensão recém-preparada (Figura 5a), denominada padrão de NPAg, apresentou uma banda com máximo de absorbância em 407 nm e largura a meia altura de 99 nm, referente à banda de SPR dessas nanopartículas; esses valores são mostrados na Tabela 2, bem como os valores obtidos a partir dos espectros de absorção da solução de colírio (Figura 5b).

 

 

Observou-se um deslocamento do λmáx da solução da amostra, para maiores comprimentos de onda, em relação ao λmáx do padrão de NPAg. Isso pode ser explicado considerando que na solução da amostra as nanopartículas de prata fazem parte de uma estrutura proteica, o vitelinato, diferentemente das nanopartículas no padrão de NPAg. Segundo Panzarasa,7 um deslocamento do comprimento de onda da banda SPR das NPAg pode estar relacionado às interações entre as NPAg e as espécies presentes na dispersão.

A comparação do diâmetro estimado para as nanopartículas obtido por nós com os de outros autores mostra que há concordância.11,12 A espectrofotometria de absorção molecular no UV-VIS permite apenas uma estimativa do diâmetro das nanopartículas. Como é uma técnica bastante acessível pelas várias instituições de ensino, essa vem sendo amplamente utilizada quando não se dispõe de outras possibilidades, que fornecem valores mais coerentes com os reais, como a difração de raios X e a microscopia eletrônica de transmissão (TEM).

A partir desses estudos confirmou-se que a prata contida no colírio encontra-se na forma de nanopartículas. Verificou-se também que, o fato da suspensão ser preparada em água destilada ou ultrapura, não exerceu influência significativa no espectro de absorção da suspensão. No entanto, optou-se por utilizar água ultrapura em todos os estudos realizados porque pequenas concentrações de cloreto na água destilada podem reagir com os íons prata, interferindo nas medidas eletroanalíticas. Porém, caso esse experimento seja reproduzido em aulas práticas da graduação, pode-se utilizar água destilada ao invés de água ultrapura.

Quantificação de prata no colírio por espectrofotometria de absorção molecular no UV-VIS

A Figura 6a apresenta os espectros de absorção, representativos das soluções de NPAg, preparadas a partir da diluição do padrão de NPAg sintetizado conforme descrito anteriormente, bem como da amostra de colírio.

 


Figura 6. Espectros de absorção das soluções diluídas do padrão de NPAg e da amostra de colírio (a) e absorbância em função da concentração de Ag (b)

 

A partir das medidas de absorbância e dos valores de concentração de Ag das soluções diluídas do padrão de NPAg foi possível construir a curva analítica, e obter a reta analítica, apresentadas na Figura 6b. O valor do coeficiente de correlação, de 0,9989, expressa a excelente linearidade do método, e atende os critérios estabelecidos pela Agência Nacional de Vigilância Sanitária (ANVISA), cujo valor deve ser superior a 0,990.33 De posse dos valores de absorbância das amostras de colírio (0,891; 0,861; 0,865), calculou-se a concentração de Ag nas amostras, que foi corrigida pelo fator de diluição (FD = 2000).

A curva analítica e os valores de concentração das três amostras de colírio encontram-se no gráfico. Os valores de concentração de prata foram calculados em mg L-1, e depois convertidos para % (m/v), devido à concentração de vitelinato de prata no colírio ser expressa em % (10%).

A proposta experimental visa introduzir o tema nanotecnologia, aos alunos do ensino médio ou superior, de uma forma inovadora e atraente. A presente proposta também pode ser adaptada para ser realizada fazendo-se medições de absorbância utilizando-se uma câmera de smartphone, similarmente ao trabalho de Campos et al.;34 essa proposta está em andamento no nosso laboratório de pesquisa.

Quantificação de prata no colírio por potenciometria utilizando eletrodo metálico alternativo

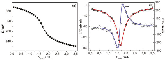
A curva de titulação potenciométrica representativa e suas derivadas encontram-se apresentadas na Figura 7. Os volumes nos pontos finais foram determinados a partir das curvas de 2ª derivada, sendo possível obter a concentração de prata no colírio, em % (m/v), cujos valores são apresentados na Tabela 3. A no colírio foi de 1,73 ± 0,06% (m/v), e o desvio padrão relativo, sr, foi de 4%.

 


Figura 7. Curva de titulação potenciométrica de solução de colírio em meio de ácido nítrico. (a) Sigmoidal; (b) 1ª e 2ª derivadas da curva em (a), utilizando um programa gráfico

 

 

 

A estimativa dos parâmetros mediante o uso de técnicas de estatística, para os dois métodos analíticos, é apresentada na Tabela 4. A fim de comparar as precisões e as exatidões dos métodos utilizados para quantificação da prata no colírio, utilizou-se os testes f e t, respectivamente. A partir dos dados resultantes da aplicação desses testes pôde-se concluir que a precisão e a exatidão estimada para os dois métodos analíticos não diferiram estatisticamente entre si, ao nível de confiança de 95%, visto que os valores de fcalculado < fcrítico e tcalculado < tcrítico, respectivamente.

 

 

CONCLUSÃO

O presente trabalho permitiu: (i) a utilização dos métodos espectrofotométrico e eletroanalítico para a determinação de prata num produto farmacêutico (colírio). Verificou-se que a prata encontra-se na forma de nanopartículas nesse produto, o que proporcionou uma pequena imersão na área de nanociência, por meio da síntese de um padrão de nanopartículas de prata (NPAg), para certificação desse fato; (ii) o desenvolvimento de uma metodologia para o preparo da amostra de colírio, devido à necessidade da prata encontrar-se na forma iônica para sua determinação pelo método eletroanalítico proposto; (iii) mostrar a utilidade do eletrodo metálico alternativo (de primeira espécie) na realização das medidas envolvidas nos métodos eletroanalíticos; e (iv) obter experiência ao trabalhar com amostras reais, no que tange a sua caracterização, preparação, importância na definição dos parâmetros associados aos métodos analíticos utilizados, aplicação de métodos estatísticos para comparar as exatidões e as precisões dos diferentes métodos analíticos, etc.

A principal vantagem da técnica de titulação potenciométrica para determinação de prata no colírio reside no fato de que não há necessidade de preparar padrões, e o volume no ponto final é obtido por método gráfico (curva de 2ª derivada), não necessitando de observar-se uma mudança de cor no ponto final da titulação. Estudos futuros pretendem realizar a determinação de prata no colírio utilizando-se outras técnicas analíticas, como a espectrometria de absorção atômica, visando-se confrontar com os resultados obtidos pelos métodos analíticos propostos nesse trabalho.

 

AGRADECIMENTOS

R. H. Lima agradece a bolsa de iniciação científica da UFTM, concedida por meio do Edital nº 08/2019/PROPPG/UFTM, de 15/04/2019. Os autores agradecem o Prof. Dr. N. C. Coimbra (FMRP/USP), pela doação do reagente borohidreto de sódio, o técnico W. P. Flauzino Neto (ICENE/UFTM), pela colaboração na obtenção dos espectros de absorção e ao Comitê Especial de Acompanhamento do COVID-19 na UFTM, que autorizou o uso do laboratório durante a pandemia, para execução de alguns experimentos solicitados pelos revisores desse artigo.

 

REFERÊNCIAS

1. Van Fraeyenhoven, P.; Glorie, N.; Chiaverini, N.; Mortier, T.; J. Chem. Educ. 2016, 93, 787.

2. Lee, C.; You, P.; Lin, Y.; Hsu, T.; Cheng, P.; Wu, Y.; Tseng, C.; Chen, S.; Chang, H.; Lin, Y.; J. Chem. Educ. 2015, 92, 1066.

3. Frank, A. J.; Cathcart, N.; Maly, K. E.; Kitaev, V.; J. Chem. Educ. 2010, 87, 1098.

4. Amirjani, A.; Haghshenas, D.; Sens. Actuators, B 2018, 273, 1768.

5. Amaris, Z. N.; Freitas, D. N.; Mac, K.; Gerner, K. T.; Nameth, C.; Wheeler, K. E.; J. Chem. Educ. 2017, 94, 1939.

6. Bastús, N. G.; Piella, J.; Puntes, V.; Langmuir 2016, 32, 290.

7. Panzarasa, G.; J. Chem. Educ. 2015, 92, 1918.

8. Orbaek, A. W.; McHale, M. M.; Barron, A. R.; J. Chem. Educ. 2015, 92, 339.

9. Ferraro, G.; Fratini, E.; J. Chem. Educ. 2019, 96, 553.

10. Panzarasa, G.; J. Chem. Educ. 2014, 91, 696.

11. Mulfinger, L.; Solomon, S. D.; Bahadory, M.; Jeyarajasingam, A. V.; Rutkowsky, S. A.; Boritz, C.; J. Chem. Educ. 2007, 84, 322.

12. Melo Júnior, M. A.; Santos, L. S. S.; Gonçalves, M. C.; Nogueira, A. F.; Quim. Nova 2012, 35, 1872.

13. da Silva, A. G. M.; Rodrigues, T. S.; Macedo, A.; Silva, R. T. P.; Camargo, P. H. C.; Quim. Nova 2014, 37, 1716.

14. Markina, N. E.; Pozharov, M. V.; Markin, A. V.; J. Chem. Educ. 2016, 93, 704.

15. Winkelmann, K.; Noviello, T.; Brooks, S.; J. Chem. Educ. 2007, 84, 709.

16. Elbahri, M.; Soliman, A.; Yliniemi, K.; Abdelaziz, R.; Homaeigohar, S.; Zarie, E. S.; J. Chem. Educ. 2018, 95, 1966.

17. Sharma, R. K.; Gulati, S.; Mehta, S.; J. Chem. Educ. 2012, 89, 1316.

18. Paluri, S. L. A.; Edwards, M. L.; Lam, N. H.; Williams, E. M.; Meyerhoefer, A.; Sizemore, I. E. P.; J. Chem. Educ. 2015, 92, 350.

19. Masson, J. F.; Yockell-Lelievre, H.; J. Chem. Educ. 2014, 91, 1557.

20. McFarland, A. D.; Haynes, C. L.; Mirkin, C. A.; Van Duyne, R. P.; Godwin, H. A.; J. Chem. Educ. 2004, 81, 544A.

21. Sui, N.; Li, X.; Liu, M.; Xiao, H.; Jiang, Y.; Zhao, J.; Yu, W. W.; J. Lab. Chem. Educ. 2014, 2, 28.

22. Zielińska, A.; Skwarek, E.; Zaleska, A.; Gazda, M.; Hupka, J.; Procedia Chem. 2009, 1, 1560.

23. http://portal.anvisa.gov.br/documents/33832/259372/FNFB+2_Revisao_2_COFAR_setembro_2012_atual.pdf/20eb2969-57a9-46e2-8c3b-6d79dccf0741, acessada em agosto 2020.

24. Esteban-Tejeda, L.; Malpartida, F.; Pecharroma'n, C.; Moya J. S.; Adv. Eng. Mater. 2010, 12, 292.

25. https://en.wikipedia.org/wiki/Chlorobutanol, acessada em agosto 2020.

26. Harris, D. C.; Análise Química Quantitativa, 8a ed., LTC: Rio de Janeiro, 2012.

27. Durán, N.; Rolim, W. R.; Durán, M.; Fávaro, W. J.; Seabra, A. B.; Quim. Nova 2019, 42, 206.

28. Baccan, N.; Química Analítica Quantitativa Elementar, 3a ed., Edgard Blücher Ltda.: São Paulo, 2011.

29. Vieira, B. H. S.; La, R. B. P.; Rocha Jr., J. G.; La, O. R.; Barra, C. M.; Quim. Nova 2017, 40, 1130.

30. Goes Junior, E. J. A.; Roeder, J. S.; Oliveira, K. B. L.; Ferreira, M. P.; Silva, J. G.; Quim. Nova 2019, 42, 99 (material suplementar).

31. Cooke, J.; Hebert, D.; Kelly, J. A.; J. Chem. Educ. 2015, 92, 345.

32. Thon, J. A.; Larm, N. E.; Vazmitsel, Y.; Baker, G. A.; J. Chem. Educ. 2019, 96, 2560.

33. BRASIL. RDC Nº 166, de 24 de julho de 2017. ANVISA - Agência Nacional de Vigilância Sanitária. Dispõe sobre a validação de métodos analíticos e dá outras providências. Brasília: 25 jul. 2017. Disponível em https://www20.anvisa.gov.br/coifa/pdf/rdc166.pdf, acessada em agosto 2020.

34. Campos, A. R.; Knutson, C. M.; Knutson, T. R.; Mozzetti, A. R.; Haynes, C. L.; Penn, R. L.; J. Chem. Educ. 2016, 93, 318.

On-line version ISSN 1678-7064 Printed version ISSN 0100-4042
Qu�mica Nova
Publica��es da Sociedade Brasileira de Qu�mica
Caixa Postal: 26037 05513-970 S�o Paulo - SP
Tel/Fax: +55.11.3032.2299/+55.11.3814.3602
Free access

GN1