JBCS



12:07, sáb out 25

Acesso Aberto/TP



Artigo


Oxidação anódica para descontaminação de um efluente contaminado com o herbicida glifosato utilizando anodo de diamante dopado com boro
Anodic oxidation for decontamination of contaminated effluent with glyphosate herbicide using boron doped diamond anode

Maycon D. de LimaI; Ana S. FajardoI,II; Elaine C. de M. SantosI; Aline M. Sales-SolanoI,III; Djalma R. da SilvaI; Carlos A. Martínez-HuitleI,*

I. Instituto de Química, Universidade Federal do Rio Grande do Norte, 59078-970 Natal - RN, Brasil
II. Nanosystems Engineering Research Center for Nanotechnology-Enabled Water Treatment, School of Sustainable Engineering and the Built Environment, Arizona State University, Tempe, AZ, 85287-3005, United States of America
III. Instituto Federal do Rio Grande do Norte/Nova Cruz, 59215-000 Nova Cruz - RN, Brasil

Recebido em 02/11/2020
Aceito em 14/12/2020
Publicado na web em 18/02/2021

Endereço para correspondência

*e-mail: carlosmh@quimica.ufrn.br

RESUMO

Glyphosate is one of the most widely used herbicides in various crops. Based on the existing literature, this herbicide has carcinogenic characteristics, being able to be found in water courses, not only for its leaching in soils, but also in the effluents of the industries that produce it. Due to its negative impact on living beings, this work aims to investigate the applicability of the electrochemical treatment of a synthetic solution containing glyphosate with boron-doped diamond anode. Two electrochemical systems were tested (magnetic stirring and recirculation flow) for studying the applied current density (j = 30-200 mA cm-2), initial glyphosate concentration (250-850 mg L-1) and initial pH (3-9) as operating conditions. Best removal efficiencies were achieved at 100 mA cm-2, 850 mg L-1 of glyphosate and the natural effluent pH (≈5,0). The performance of the electrochemical systems was evaluated in terms of removal of chemical oxygen demand (COD) and energy requirements. After 120 min of treatment, comparing the magnetic stirring system to the recirculation it was verified that the first one is the most economically viable with an energy consumption of 56 kWh m-3. However, the results at both electrochemical systems are more efficient than those reported in the literature when the initial concentration, time and mass transport coefficient are considered.

Palavras-chave: glyphosate; diamond electrode; supporting electrolyte; chemical oxygen demand.

INTRODUÇÃO

Atualmente, uma preocupação ambiental é a qualidade da água, bem como a poluição da mesma. Os contaminantes entram no ambiente aquático através do descarte diário de efluentes.1 Os tratamentos de águas convencionais não eliminam eficientemente os poluentes, uma vez que na sua maioria são compostos orgânicos recalcitrantes, altamente estáveis à radiação solar e com resistência ao ataque microbiano e à temperatura.2 Além disso, os contaminantes também podem ser introduzidos na água indiretamente através do uso de produtos fitossanitários, como, por exemplo, biocidas e fertilizantes comumente utilizados na agricultura.1

Geralmente, essas substâncias são muito solúveis em água e bastam apenas pequenas quantidades desses poluentes (cerca 10 µg L-1) para serem considerados contaminantes persistentes tanto nas águas naturais como no solo.3,4 Por esse motivo, essas substâncias tóxicas podem ser transportadas e distribuídas mais facilmente nos corpos hídricos. Além disso, com o aumento populacional, maiores quantidades de substâncias persistentes são encontradas a longo prazo e distantes de suas fontes de descarga.5

A utilização de agroquímicos, mais conhecidos como agrotóxicos ou pesticidas de diversas classes químicas, tornou-se praticamente indispensável, com o objetivo de controlar pragas e ervas daninhas e, ainda aumentar o rendimento das culturas campos agrícolas.6,7 Porém, esses produtos têm sempre um caráter tóxico e agressivo para com o meio ambiente e a saúde humana.7 Nesse contexto, a presença de pesticidas no meio ambiente tornou-se uma questão ambiental inquietante, devido ao seu uso exacerbado no mundo e ao limitado numero de tecnologias de tratamento.8,9

Atualmente, o glifosato (Figura 1) é um herbicida que tem recebido bastante ênfase por parte da média devido às nefastas consequências de sua utilização. O seu objetivo é a inibição da atividade de uma enzima vegetal que sintetiza três aminoácidos vitais, fenilalanina, triptofano e tirosina, para a sobrevivência das espécies vegetais indesejáveis que crescem no local destinado para o cultivo de outras espécies vegetais.10 Quando usado em excesso, esse herbicida pode atingir o organismo humano através de água contaminada ou vegetais e, consequentemente, estar associado com doenças como câncer e autismo, dentre outras.11,12

 


Figura 1. Estrutura molecular do glifosato

 

Desse modo, o tratamento de águas poluídas com o glifosato, é um problema de preocupação mundial,13 uma vez que quase todas as etapas do uso de pesticidas envolvem a formação de resíduos. Entre os possíveis métodos de tratamento, destacam-se os processos de oxidação avançada, que têm como base a geração catalítica, homogênea ou heterogênea, de radicais hidroxila (OH), que permitem a mineralização de compostos orgânicos, em CO2 e H2O.14,15 Recentemente, dentre essas tecnologias, os processos eletroquímicos oxidativos avançados (PEOAs) têm recebido a atenção da comunidade científica, por serem eficientes na degradação de poluentes orgânicos, não necessitar da adição de produtos químicos, serem métodos reprodutíveis e facilmente automatizados,14,16 bem como ser possível o desenvolvimento de processos eco-sustentáveis quando acoplados a outros métodos de tratamento ou energias renováveis.17,18

Nos PEOAs, o material eletrocatalítico usado (anódico ou catódico)14 pode ser considerado um dos fatores mais importantes durante a degradação de compostos orgânicos persistentes devido a eficiência na produção de radicais hidroxila e outros oxidantes, bem como devido a estabilidade química, resistência à incrustações e não desativação da superfície.19 Baseados na literatura, os filmes de diamante sintético cumprem com varias das características mencionadas anteriormente e são classificados como um material anódico altamente eficiente para serem usados no tratamento eletroquímico de efluentes contaminados.11,15,19-26 Especialmente, no caso da oxidação eletroquímica, o eletrodo de diamante dopado com boro (boron doped diamond, BDD, siglas em inglês) tem sido bastante usado para degradar eficientemente (com eficiências de degradação ou mineralização dentre 90-100%) diferentes pesticidas e herbicidas,27 tais como atrazina,28 o-nitrofenol,29 nitrobenceno,30 herbicida clorometilfenoxi,31 tebutiuron,32 tiametoxame,33 p-metilfenol,34 imazapir,35 profame,36 diquat,37 1-cloro-2,4-dinitrobenzeno,38 metil paration39 e glifosato.40-45

Diante desse contexto, o presente trabalho tem como objetivo tratar um efluente sintético contendo glifosato através do processo de oxidação eletroquímica utilizando o ânodo de diamante dopado com boro (denominado como BDD, por sua sigla em inglês, boron doped diamond). O efeito de diferentes condições experimentais foi estudado (j, pH, eletrólito suporte, agitação ou fluxo, concentração inicial do poluente) na degradação da matéria orgânica e glifosato, bem como os parâmetros de consumo energético e sistemas eletroquímicos (agitação magnética ou recirculação), foram comparados. Cabe ressaltar que as concentrações tratadas neste estudo diferem das concentrações necessárias para considerar um efluente ou água subterrânea como poluída por glifosato. Entretanto, essa variação permite evidenciar a aplicabilidade da tecnologia eletroquímica de oxidação anódica para o tratamento de águas contaminadas com altas concentrações de glifosato, como já foi publicado por outros autores, usando outros procedimentos de tratamento de efluentes, incluindo tecnologias eletroquímicas, nos quais as concentrações variam de 5 a 2500 mg L-1.44

 

PARTE EXPERIMENTAL

Efluente

Um efluente sintético foi preparado a partir do herbicida comercial Glifosato Plus (0.48%) da marca Pikapau. As soluções foram preparadas em diferentes concentrações iniciais de glifosato (250, 450 e 850 mg L-1) usando cloreto de sódio (NaCl) e sulfato de sódio (Na2SO4) como eletrólitos suporte.

Sistemas eletroquímicos

O tratamento do efluente foi realizado utilizando dois sistemas eletroquímicos diferentes: i) célula de vidro com capacidade de 500 mL e agitação magnética (Figura 2a), usando eletrodos planos com área ativa de 13,5 cm2 (anodo de BDD e aço inoxidável (AI) como cátodo) e para esse reator a duração do tratamento foram de 4,0 h, e ii) sistema com recirculação (Figura 3b) usando uma bomba peristáltica para manter um fluxo constante do efluente de 4,61 m3 s-1. Para efeitos de comparação foi mantida a mesma razão área de elétrodo/volume de solução: 4,7, com o sistema anterior. Ou seja, para uma área ativa de 63,5 cm2, tanto do BDD como do cátodo (Ti), utilizou-se um volume de 2,345 L. O pH inicial da solução foi ajustado com 0,5 mol L-1 H2SO4 ou 1 mol L-1 NaOH, para mais ácido ou alcalino, respectivamente. A corrente elétrica era aplicada aos eletrodos mediante o uso de uma fonte de alimentação DC Power Supply Pol-16.

 


Figura 2. Sistema eletroquímico com (a) agitação magnética e (b) recirculação: (1) fonte de alimentação, (2) elétrodos, (3) suporte para os elétrodos, (4) agitador magnético, (5) placa de agitação e (6) célula eletroquímica, (7) reservatório, (8) bomba peristáltica e (9) célula eletroquímica de fluxo

 

 


Figura 3. Efeito da densidade de corrente (a, c) e eficiência de corrente (b, d) ao longo do tempo, aplicando diferentes densidade de corrente (() 30, () 60, () 100 e () 200 mA cm-2) para a degradação do 850 mg L-1 de glifosato em (a, b) 10 g L-1 de Na2SO4 ou (c, d) 10 g L-1 de NaCl a pH 5,0, usando BDD

 

Técnicas analíticas

O pH e a condutividade foram monitorados durante os experimentos, utilizando um pH-metro HANNA HI 4221 e um condutivímetro mCA150, respectivamente.

A demanda química de oxigênio (DQO), foi determinada mediante a preparação da amostra, adicionou-se 2 mL das alíquotas coletadas no decorrer do tratamento eletroquímico em tubos contendo uma solução ácida com concentrações pré-definidas de ácido sulfúrico, sulfato de prata e uma solução de dicromato de potássio e, em seguida, essa mistura é aquecida em um termorreator (839800 da HANNA Instruments) durante 120 min, a uma temperatura de 150 °C. Após arrefecimento é realizada a determinação da DQO utilizado um fotômetro multiparâmetros HI83399 da HANNA Instruments através da leitura da absorbância da mistura, no comprimento de onda de 610 nm.

Os parâmetros de eficiência de corrente (EC, Equação 1) e o consumo de energia (CE, Equação 2) foram determinados em termos de % e kWh m-3, respectivamente.46

em que Δ(DQO)exp (gO2 L-1) é a diferença da demanda química de oxigênio no início do experimento e no tempo t de eletrólise. F é a constante de Faraday (96 487 C mol-1), Vs é o volume da solução (L), 8 é a massa equivalente do oxigênio (g eq-1), o I é a intensidade de corrente (A), e t é o tempo de eletrolise (s para EC e em h para CE). Ecel refere-se ao potencial médio do sistema eletroquímico usado, expressado em volts (V).

A cromatografia iônica (CI) foi utilizada para a detecção e quantificação do glifosato, do seu metabólito (ácido aminometilfosfónico - AMPA), ânions (nitrito - NO2-, nitrato - NO3-, fosfato - PO43-) e cátions (amônia - NH4+) presentes nas amostras. Para essa análise foi utilizado um cromatógrafo Dionex ICS 2000 com detector condutimétrico Dionex DS6. Os tempos de retenção foram de 4,8, 9,6, 12,7, 16,7, 21,2 e 26,3 min, para NH4+, Cl-, NO2-, NO3-, SO42-, e PO43-, respectivamente. Foram injetados 10 μL de amostra, em um injetor automático AS40. NH4+ foi determinada através de uma coluna de Chromeleon CS12A (250 mm × 2 mm). Enquanto uma coluna Dionex AS19(250 mm × 2 mm) foi utilizada para os ânions. As fases móveis usadas foram soluções de 20 mmol L-1 H2SO4 e 10-50 mmol L-1 KOH, para determinar cátions e ânions, respectivamente. Ambas as soluções foram eluídas a 0.25 mL min-1 e 30 °C.

A caracterização dos sistemas eletroquímicos foi realizada pela técnica descrita por Quiroz et al. 47 e Canizares et al.,48 de forma a avaliar o coeficiente de transferência de massa bem como a corrente limite. O coeficiente de transferência de massa (km) foi estimado experimentalmente mediante a obtenção dos valores das correntes limite das curvas de polarização, as quais foram determinadas utilizando diferentes soluções de ferro/ferri-cianeto de potássio (K3Fe(CN)6/K4Fe(CN)6) no intervalo de 20 a 60 mmol L-1 em 0,5 mol L-1 NaOH, usando a Equação 3.

em que ilim é a intensidade de corrente limite, z é o número de elétrons envolvidos na reação redox, F é a constante de Faraday (96,487 C mol-1), A é a área do ânodo e C é a concentração diferentes soluções de ferro/ferri-cianeto de potássio em mol m-3.

 

RESULTADOS E DISCUSSÃO

Caracterização do efluente simulado

O efluente sintético foi preparado utilizando-se uma concentração inicial de glifosato de 850 mg L-1, a qual é em concordância com as concentrações usadas nas atividades de agricultura, como indicado nas instruções do rotulo do produto comercial. O efluente apresentou coloração inicial amarelada, caráter ácido (pH ≈ 5), boa condutividade (> 2,50 mS cm-1, condicente com a literatura),49 pouco viscoso, sem presença de espuma ou cheiro e com um valor de demanda química de oxigênio de aproximadamente 1000 mg O2 L-1. Essas características indicam que o efluente é inadequado para o tratamento biológico devido a sua elevada carga orgânica que torna difícil a biodegradação,44 se fazendo necessário a aplicação de outro tipo de tratamento, como o processo de oxidação eletroquímica. Cabe ressaltar que o efluente apresentou condutividades de 15,6 e 10,6 mS cm-1 quando adicionados os eletrólitos suportes de NaCl e Na2SO4, respetivamente.

Sistema em batelada com agitação magnética

Os testes iniciais de tratamento eletroquímico do glifosato foram realizados usando o sistema em batelada com agitação magnética.

Efeito da densidade de corrente utilizando diferentes eletrólitos

A densidade de corrente aplicada (j) é considerada um parâmetro eletrocinético importante para os PEOAs, uma vez que este controla o número de elétrons presentes no sistema e, consequentemente, a quantidade de espécies oxidantes que podem ser eletrogeradas.21,50,51

O efeito da j na degradação de glifosato, num efluente com 850 mg L-1 de concentração inicial, foi estudado aplicando 30, 60 100 e 200 mA cm-2 usando como eletrólito suporte 10 g L-1 de Na2SO4 em pH 5.0 (pH do efluente como preparado).

Na Figura 3a é apresentado o comportamento da j durante a remoção da matéria orgânica (em termos de DQO) em função do tempo de eletrolise. Os resultados claramente indicam que, nos primeiros 60 min de tratamento a remoção da matéria orgânica dissolvida no efluente contaminado com glifosato ocorre lentamente para todas as j utilizadas (apresentando valores dentre 8 e 15% de eficiência de remoção). A partir desse tempo, verificou-se um aumento da remoção da DQO em função do aumento da j, obtendo 24, 34, 57 e 92% de eficiência de remoção para 30, 60, 100 e 200 mA cm-2, respectivamente, ao fim dos 240 min de tratamento.

Esse comportamento é associado à produção de radicais hidroxila (os quais são eletroquimicamente gerados mediante a eletrólise da água (Equação 4)),16 a qual aumenta há medida que se aumenta a j (aumenta a quantidade de radicais hidroxila disponíveis na superfície do BDD para a oxidação do poluente, (Equação 5)).16 Além disso, a presença de sulfato no meio favorece a formação de oxidantes como íon radical sulfato (Equação 6) e persulfato (Equações 7 e 8) quando se utiliza o ânodo de BDD52-55 (Equação 10), os quais auxiliam na degradação do glifosato.

Na Figura 3b apresentam-se as eficiências de corrente, as quais foram estimadas para as diferentes j. Verificou-se que o experimento aplicando 30 mA cm-2 exibiu cerca de 35% de eficiência de corrente, diminuindo ao longo do tempo, e atingindo um valor de 20% após 240 min de tratamento. Esse comportamento está associado à diminuição da concentração de contaminantes ao longo do tempo, enquanto a quantidade de OH é a mesma, bem como ao favorecimento das reações parasitas, como a de evolução de oxigénio (Equação 9).26,56

No caso das j maiores, valores baixos (5-17%) de eficiência de corrente foram registrados devido ao uso da corrente aplicada para o favorecimento das reações parasitas (Equação 9) e consequentemente uma competição na eletrogeração de radicais OH (Equação 4).

No estudo realizado utilizando o NaCl como eletrólito (Figura 3c), verificou-se comportamento semelhante da remoção da DQO quando comparada com os testes de Na2SO4, para as mesmas j. No entanto, é notório que ao final do tempo de tratamento a remoção da DQO obtida com NaCl foi superior aos valores obtidos quando usado do Na2SO4 como eletrólito suporte. Essa tendência é justificada através da maior quantidade de oxidantes fortes que são eletrogerados (radicais OH (Equação 4) e espécies ativas de cloro) ao aumentar a j.57 Esse mesmo comportamento é reportado na literatura por diversos autores ao estudar a mineralização do glifosato com eletrólitos diferentes.41,43,45 Esse comportamento ocorre principalmente devido à ação oxidante das espécies de cloro ativo (Equações 10 - 16) durante o tratamento.16 Essas substâncias possuem um potencial de oxidação superior ao do persulfato, permitindo assim uma maior eficácia na remoção da DQO ao fim dos 240 min, 22, 35, 91 e 100% para 30, 60, 100 e 200 mA cm-2, respetivamente.

Na Figura 3d pode-se observar, que a eficiência de corrente dos experimentos utilizando o NaCl como eletrólito foi menor, quando comparados aos valores obtidos usando Na2SO4 (Figura 3b). O resultado alcançado é devido ao gasto da j na produção de espécies oxidantes (Equações 4, 6, 10) e as reações parasitas que são favorecidas como evolução de oxigénio e evolução de cloro gás, afetando a eficiência do processo como um todo.21 A partir do comportamento das condições de pH durante o tratamento eletroquímico de glifosato usando NaCl como eletrólito suporte, é possível observar que o pH permanece estável num intervalo de valores de 4,80 e 5,00 (Figura 4). Isso indica que as espécies de cloro ativo preferencialmente presentes no efluente são Cl2 (aq) e HClO as quais favorecem a degradação da matéria orgânica. No entanto, as espécies ClO, ClO2, ClO3 e ClO4 pode coexistir, em concentrações muito baixas, na região próxima a superfície do eletrodo de diamante devido ao gradiente de pH alcalino que pode ser formado.

 


Figura 4. Efeito do pH ao longo do tempo, aplicando () 30, () 60, () 100 e () 200 mA cm-2 para a degradação do 850 mg L-1 de glifosato em 10 g L-1 de NaCl usando BDD

 

O consumo energético (CE) é um fator importante para verificar a viabilidade econômica do sistema,58-60 foi determinado para os experimentos supracitados (Figura 5). De acordo uma estimativa do CE baseados na Equação 2, observou-se que independente do eletrólito utilizado, o CE aumenta com o aumento da densidade de corrente aplicada. No entanto, as remoções de matéria orgânica mais elevadas, com CE inferiores, conseguiram-se nos testes realizados com o NaCl (Figura 5b), para as duas j superiores, quando comparados os valores de remoção de DQO com os testes de Na2SO4. Por exemplo, para j = 200 mA cm-2, 92% e 100% de remoção da DQO foram obtidas com NaCl e Na2SO4; consumindo 315 e 209 kWh m-3 de energia, respectivamente. Assim, para os experimentos realizados seguidamente selecionou-se trabalhar com 10 g L-1 de NaCl usando 100 mA cm-2, visto que com estas condições conseguiu-se obter uma remoção satisfatória com um CE moderado para um poluente persistente.

 


Figura 5. Consumo de energia a diferentes densidade de corrente, () 30, () 60, () 100 e () 200 mA cm-2, para a degradação do 850 mg L-1 de glifosato em (a) 10 g L-1 de Na2SO4 ou (b) 10 g L-1 de NaCl a pH 5,0, usando BDD

 

Efeito da concentração inicial do glifosato

O estudo do efeito da concentração inicial do herbicida é apresentado na Figura 6. Como pode ser observado, um decaimento significativo na remoção da DQO, em todas as soluções sintéticas do glifosato, ocorre durante os 180 minutos de tratamento. Taxas de remoção de 92%, 67% e 54% foram alcançadas para as concentrações de 250, 450 e 850 mg L-1, respectivamente. Esse resultado mostra claramente a faixa de concentração do herbicida que pode ser tratada eficientemente em tempos razoáveis.60 Todavia, a crescente concentração do glifosato dissolvido na água pode levar a geração e acumulação de uma quantidade maior de intermediários e subprodutos durante o tratamento eletroquímico.

 


Figura 6. Efeito da concentração inicial de glifosato, () 250, () 450 e () 850 mg L-1, em 10 g L-1 de NaCl a pH 5,0, na remoção da DQO, aplicando 100 mA cm-2 usando BDD

 

É importante ressaltar que esse aumento de intermediários é responsável por gerar reações secundárias, as quais podem provocar uma competição pelo consumo dos radicais OH durante a degradação e, consequentemente, esse consumo de radicais OH diminuem a eficiência do processo,15,61,62 ou seja, diminuem a eficiência de degradação da matéria orgânica.

É possível observar que uma remoção quase completa da DQO foi atingida nos testes com as três diferentes concentrações iniciais de glifosato, após 240 min de tratamento. A partir dos resultados de cromatografia iónica verificou-se que a remoção de glifosato era total para os 850 mg L-1 ao fim de 60 min de eletrólise; enquanto com as duas concentrações iniciais de glifosato mais baixas (250 e 450 mg L-1), um tempo menor de tratamento era requerido.

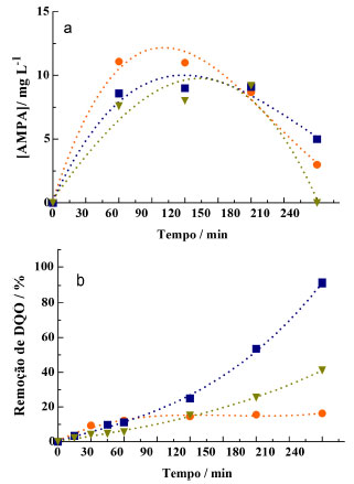
Verifica-se que à medida que o glifosato vai sendo degradado, observou-se a produção do aminometilfosfônico (AMPA), CH6NO3P, que é um dos principais produtos da degradação desse herbicida. No entanto, devido a toxicidade desse subproduto, foi importante constatar que a concentração desse subproduto de degradação foi diminuindo no decorrer do tempo de tratamento (Figura 7a).11,63 O AMPA alcança um máximo de concentração entre os 90 e 120 min de eletrólise e consequentemente, a concentração diminui ao longo do tempo e, esse comportamento é igual para todas as concentrações iniciais de glifosato. Quando as concentrações iniciais de glifosato foram de 250 e 450 mg L-1, as concentrações máximas de AMPA foram de aproximadamente 8,5 e 9,1 mg L-1, respectivamente.

 


Figura 7. (a) Evolução da concentração do ácido aminometilfosfônico (AMPA) para diferentes concentrações iniciais de glifosato, () 250, () 450 e () 850 mg L-1, em 10 g L-1 de NaCl a pH 5,0, com 100 mA cm-2 e (b) efeito do pH inicial, () pH 3,0, () pH 5,0 e () pH 9,0, na remoção da DQO para a degradação do 850 mg L-1 de glifosato em 10 g L-1 de NaCl a 100 mA cm-2, usando BDD

 

Na concentração inicial de glifosato de 250 mg L-1, o AMPA é completamente removido da solução após 240 min de eletrólise (Figura 7a), enquanto na concentração de 450 e 850 mg L-1 ainda permaneceram 3,0 e 5,0 mg L-1 de AMPA, respectivamente, no efluente tratado. Então, maiores concentrações iniciais de glifosato promoveram uma maior geração de AMPA, e resultou ser mais persistente que o composto inicial.64

Efeito do pH

O pH de uma solução é um fator importante para definir as condições de tratamento para águas residuais. Além disso, o glifosato é um ácido aminofosfônico existente em especiação iônica diferente como uma série de zwitterions dependendo do pH da solução57,65 Essas diferentes formas de zwitterions para o glifosato podem apresentar reatividade diferente desempenhando um papel fundamental na sua degradação.41,57 Diante desse contexto, a influência do pH inicial (3,0, 5,0 e 9,0) na degradação eletroquímica do glifosato, foi estudada. Como já mencionado anteriormente, esse parâmetro é importante na oxidação eletroquímica indireta, uma vez que a eletrogeração de determinadas espécies oxidantes depende do pH do meio. Na Figura 7b verifica-se que ao final do tratamento, a remoção da DQO foi de 91% utilizando pH 5,0 (pH correspondente ao da amostra inicial), seguido 41% para o pH 3,0 e 16% para o pH 9,0. Esses resultados estão de acordo com os reportados na literatura,66 pois a principal espécie de cloro ativo formada até pH 3,0, é Cl2(aq), enquanto a predominante na faixa de pH 3-8 é HClO e para pH > 8 é ClO. Tendo em vista que o pH pode também ser explicado pela dependência na distribuição de espécies ativas de cloro e sua capacidade oxidativa,57 logo, a oxidação do poluente é mais extensa em meio ácido e neutro do que em meio básico como se pode observar pelos potenciais padrão de Cl2(aq) (E°(Cl2(aq)/Cl) = 1,36 vs SHE) e HClO (E°(HClO/Cl) = 1,49 vs SHE) que ClO (E°(ClO/Cl) = 0,89 vs SHE).66 O aumento na eficiência de remoção do glifosato ocorreu ao longo do tempo usando três diferentes condições iniciais de pH (Figura 8). Em pH 9,0 e 60 min observou-se uma remoção do glifosato de 61% devido ao favorecimento da reação de evolução de oxigênio e consequentemente, uma menor produção de radicais hidroxila. No entanto, a velocidade de degradação foi mais lenta para pH 3,0, atingindo 51,1% de remoção de glifosato. Nesta condição de pH, a predominância das espécies ativas de cloro (Cl2 gás, Cl2 aquoso e HClO) favorecem o aumento na oxidação do glifosato no efluente. Porém, o Cl2 gás pode diminuir a concentração de cloreto dissolvido em solução, limitando a produção das espécies oxidantes.12,64 Ao contrário das condições de pH mencionadas anteriormente, em pH 5,0 se observou um aumento significativo na porcentagem de remoção do glifosato (87%) indicando que a oxidação do poluente é mais extensa em meio neutro devido as altas concentrações de HClO e ClO que predominam na solução (ver Figuras 4 e 8a). Cabe ressaltar que a oxidação mediada ocorre na solução, portanto, a mudança de material eletrocatalítico não implicaria variação no mecanismo de degradação do glifosato. Porém, a concentração de espécies oxidantes (OH e cloro ativo) no meio pode mudar bem como o favorecimento das reações não desejadas, como produção de O2 e Cl2, devido a atividade eletrocatalítica da superfície de cada eletrodo usado.67 Diante disso, o uso do eletrodo de BDD favorece uma maior produção de OH e cloro ativo no meio comparado com materiais eletrocatalíticos como os DSA.40

 


Figura 8. Efeito do pH inicial, () pH 3,0, () pH 5,0 e () pH 9,0 na (a) remoção do glifosato, (b) cinética de reação de pseudo-primeira ordem, e (c) na evolução do AMPA, para degradar 850 mg L-1 de glifosato em 10 g L-1 de NaCl a 100 mA cm-2, usando BDD

 

Determinou-se a cinética da reação de remoção bem como a constante de velocidade aparente a partir da Equação 17:

A cinética do processo foi considerada de pseudoprimeira ordem (Figura 8b), devido ao comportamento linear obtido pela Equação 17. Além disso, a inclinação dessa curva foi considerada como a constante de velocidade, sendo kap = 0,01372 min-1, kap = 0,03363 min-1 e kap = 0,01852 min-1, para pH 3,0, 5,0 e 9,0, respectivamente. Esses resultados indicam que embora o glifosato seja removido em tempos apreciáveis, os subprodutos da sua degradação (como o AMPA, Figura 8c) e outros compostos presentes na matriz inicial (como surfactantes, aditivos, emulsificantes, etc.) são recalcitrantes e contabilizados como matéria orgânica. Assim, a pH 3,0 e 5,0, as concentrações máximas de 40,9 e 11,1 mg L-1 de AMPA (Figura 8c) foram obtidas aos 60 min, decrescendo até 12,7 e 5,0 mg L-1 ao fim do tratamento, respectivamente. Relativamente ao teste a pH 9,0, verificou-se que a concentração máxima de AMPA (11,0 mg L-1) foi obtida aos 120 min, com uma remoção mais lenta do que os dois experimentos anteriores devido ao favorecimento da reação de evolução de oxigênio, nessas condições e consequentemente, diminuindo a eficiência do processo de oxidação.

Além das concentrações do glifosato e AMPA, as concentrações de íons inorgânicos presentes na efluente sintético foram determinadas, como PO43-, NO2-, NO3- e NH4+, para as três condições de pH em estudo (Figura 9). Visto que na estrutura do glifosato (N-(fosfonometil)glicina, ver também Figura 1) contem fosfato e nitrogênio, deduziu-se que provavelmente durante a sua degradação iriam ser liberados íons fosfato e alguns íons com base de nitrogênio inorgânico.64 A formação de íons PO43- foi observada para qualquer condição de pH testada, com uma concentração entre 485 e 500 mg L-1, ao fim de 240 min de tratamento. No caso do experimento a pH 5, até aos 60 min de oxidação, houve uma grande liberação de íons fosfato (≈ 418 mg L-1), mantendo-se posteriormente praticamente constante. Para os experimentos com a pH 3,0 e 9,0, aos mesmos 60 min, obtiveram-se valores de liberação de íons PO43- nas concentrações de 212 e 193 mg L-1, respectivamente. Esses comportamentos são condizentes com os similarmente observados durante a remoção de glifosato, ao longo do tempo, nas diferentes condições de pH iniciais.

 


Figura 9. Evolução da concentração de íons inorgânicos, () PO43-, () NO3- e () NH4+, a condição de pH inicial (a) 3,0, (b) 5,0 e (c) 9,0, na degradação de 850 mg L-1 de glifosato em 10 g L-1 de NaCl a 100 mA cm-2, usando BDD

 

A conversão do nitrogênio inicial para NO3- é evidente em todas as condições de pH estudadas, sugerindo que compostos orgânicos dentro da formulação comercial do glifosato são oxidados juntamente com o glifosato, pela ação não só dos radicais OH mas também pelo cloro ativo formado.43 No entanto, baixas concentrações de NH4+ foram detectadas nas condições de pH 3,0 e 9,0 ou mesmo quase zero na condição de pH 5,0 durante a eletrólise. Esse comportamento pode se dever à potencial reação entre a NH4+ e o ClO- eletrogerado, favorecendo a produção de cloraminas (Eqs 18 - 20).43

Comparação dos sistemas eletroquímicos em batelada com agitação magnética e com recirculação

Para começar a comparação entre os dois sistemas eletroquímicos, um estudo do coeficiente de transferência de massa foi realizado para cada um deles. Nas Figuras 10a e 10b são apresentadas as curvas de polarização obtidas para a caracterização da transferência de massa da célula eletroquímica, com diferentes concentrações de soluções de ferro/ferrocianeto de potássio (20 a 60 mmol L-1 em NaOH 0,5 mol L-1), em batelada com agitação magnética e com recirculação, respectivamente. No teste com agitação magnética, os valores de 143, 248, e 403 mA de intensidade de corrente limitante foram obtidos para soluções de 20, 40 e 60 mmol L-1 K3Fe(CN)6/K4Fe(CN)6, respectivamente. Enquanto para o experimento com recirculação foram 225, 575 e 810 mA para as mesmas concentrações de ferro/ferri-cianeto. Esses valores limites foram plotados versus as concentrações de K3Fe(CN)6/K4Fe(CN)6. A obtenção dos coeficientes angulares das retas pelas regressões lineares aplicadas permitiu o cálculo do coeficiente de transferência de massa experimental (km) pela Equação 3 para ambos os sistemas. Os valores estimados de km foram de aproximadamente 1,90 × 10−5 m s-1 e 2,22 × 10−5 m s-1 para agitação magnética e recirculação, respectivamente. Dessa forma verificou-se que os coeficientes de transferência de massa são na mesma ordem de magnitude e, consequentemente, espera-se que a eficiência na remoção de orgânicos dissolvidos nos efluentes seja análoga. Isso deve-se às configurações hidrodinâmicas de ambos os reatores eletroquímicos, as quais permitem que a matéria orgânica seja transportada do seio da solução até a superfície do eletrodo (BDD) na mesma velocidade e ocorra uma rápida reação com as espécies oxidantes que favorecem a degradação.21

 


Figura 10. Curvas de polarização obtidas para a caracterização da transferência de massa dos sistemas eletroquímicos, com diferentes concentrações de soluções de ferro/ferrocianeto de potássio (()20, () 40 e () 60 mmol L-1 em NaOH 0,5 mol L-1), em (a) batelada com agitação magnética e (b) com recirculação, respectivamente

 

Quanto à remoção da DQO e do glifosato para ambos os sistemas ao fim de 120 min (Figura 11) constatou-se que os valores são ligeiramente superiores para o experimento com recirculação, embora os resultados também possam ser considerados dentro do limite de erro das análises. O mesmo comportamento ocorreu com a formação de AMPA, com 11 e 16 mg L-1, usando a agitação magnética e recirculação, respectivamente. Com base nesses resultados poder-se-ia concluir que seria praticamente igual a utilização de qualquer um dos sistemas para o tratamento de água contendo este tipo de poluente. Contudo, tendo em consideração o consumo de energia para uma aplicação real, para estes mesmos experimentos obtiveram-se os valores de 56 e 80 kWh m-3 com agitação magnética e recirculação, respectivamente. Assim, de um ponto de vista economicamente viável (sem o uso de energias renováveis),18 o sistema em batelada utilizando agitação magnética será o mais satisfatório. Comparando com os dados reportados na literatura (Tabela 1), a remoção de glifosato não é um tratamento rápido já que as tecnologias eletroquímicas (Eletro-Fenton e oxidação anódica) tendem a diminuir a carga orgânica dissolvida entre 1-8 h dependendo da concentração inicial de glifosato, eletrodo e volume. No entanto, é importante destacar que, quando comparada a concentração inicial utilizada com a célula eletroquímica com recirculação, a qual eliminou parcialmente a carga orgânica em 2 h (30%), essa foi 8 vezes maior do que os estudos que eliminaram no mesmo tempo, baixas concentrações de glifosato. Já o resultado obtido com a célula em batelada, após 4 h de tratamento, foi superior aos resultados reportados na literatura usando concentrações menores do que 850 mg L-1. Isso indica que as condições hidrodinâmicas das células eletroquímicas também têm um papel importante no desempenho do processo de remoção, sendo alternativas viáveis, ambos os sistemas eletroquímicos porem o sistema eletroquímico com recirculação usando eletrodos de BDD, seria mais facilmente escalável como planta piloto.68

 


Figura 11. Remoção da DQO (barra laranja) e do glifosato (barra verde) na degradação de 850 mg L-1 de glifosato em 10 g L-1 de NaCl a pH 5,0 e 100 mA cm-2, usando BDD para os testes com o sistema em agitação magnética e recirculação, ao fim de 120 min

 

 

 

CONCLUSÕES

No presente trabalho estudou-se a degradação do herbicida glifosato através do processo de oxidação eletroquímica utilizando um ânodo diamante dopado com boro em sistemas em batelada com agitação magnética e com recirculação.

Através da análise dos resultados experimentais do sistema em batelada com agitação magnética verificou-se que a densidade de corrente pode ser aumentada até um determinado valor (100 mA cm-2) sem que haja ênfase das reações parasitas. O cloreto de sódio foi o eletrólito que demonstrou os melhores resultados de remoção da DQO com menor consumo de energia. O efeito do eletrólito utilizado é importante, pois dependendo das espécies geradas por esses mediadores, os resultados podem variar significativamente. Uma maior concentração de glifosato demora mais tempo para ser degradada, contudo ao fim de 240 min atinge-se 100% de remoção da DQO. O ácido aminometilfosfônico (AMPA), metabólito do glifosato, vai sendo formado e degradado ao longo do tempo. Observou-se ainda que a variação do pH inicial influencia significativamente o processo em geral. Finalmente, quando comparados os sistemas em batelada com agitação magnética e com recirculação, verificou-se que no nível de remoção da DQO e glifosato, assim como a formação de AMPA, os resultados foram bastante similares entre ambos os sistemas. Contudo, tendo em vista o consumo energético observou-se que o sistema com agitação magnética é o mais economicamente viável, porem, o sistema em recirculação irá permitir os estudos iniciais para um processo de escalamento. No entanto, os resultados obtidos com ambas as células eletroquímicas, usando altas concentrações iniciais de glifosato, foram satisfatórios quando comparados aos estudos reportados na literatura nos quais as concentrações são muito menores.

 

AGRADECIMENTOS

Agradecemos o apoio financeiro do Conselho Nacional de Desenvolvimento Científico e Tecnológico (Brasil) (CNPq - 439344/2018-2), bem como o apoio da Fundação de Amparo à Pesquisa do Estado de São Paulo (Brasil) com o projeto FAPESP 2014/50945-4 e 2019/13113-4. Carlos A. Martínez-Huitle reconhece o financiamento concedido pela Fundação Alexander von Humboldt (Alemanha) e pela Coordenação de Aperfeiçoamento de Pessoal de Nível Superior (Brasil) como uma bolsa Humboldt para Pesquisador Experiente (88881.136108 / 2017-01) no Johannes Gutenberg- Universität Mainz, Alemanha.

 

REFERÊNCIAS

1. Oller, I.; Malato, S.; Sánchez-Pérez, J.; Sci. Total Environ. 2011, 409, 4141.

2. Brillas, E.; J. Mex. Chem. Soc. 2014, 58, 239.

3. Brillas, E.; Boye, B.; Sirés, I.; Garrido, J. A.; Rodríguez, R.M.; Arias, C.; Cabot, P. L.; Commineles, C.; Electrochim. Acta 2004, 49, 4487.

4. Aaron, J. J.; Oturan, M. A.; Turkish J. Chem. 2001, 25, 509.

5. Meyer, T.; Wania, F.; Atmos. Environ. 2007, 41, 2757.

6. Beltran, F.J.; Gonzalez, M.; Rivas, J.; Marin, M.; Ind. Eng. Chem. Res. 1994, 33, 125.

7. Coutinho, C. F.B.; Tanimoto, S.T.; Galli, A.; Garbellini, G. S.; Takayama, M.; do Amaral, R.B.; Mazo, L. H.; Avaca, L. A.; Machado, S. A.; Pesticidas: Revista de Ecotoxicologia e Meio Ambiente 2005, 15.

8. Rodrigo, M. A.; Oturan, N.; Oturan, M. A.; Chem. Rev. 2014, 114, 8720.

9. Peshin, R.; Integrated Pest Management: Pesticide Problems 2014, 3, 1.

10. Sierra, E.V.; Méndez, M.A.; Sarria, V. M.; Cortés, M. T.; Quim. Nova 2008, 31, 220.

11. Thongprakaisang, S.; Thiantanawat, A.; Rangkadilok, N.; Suriyo, T.; Satayavivad, J.; Food Chem. Toxicol. 2013, 59, 36.

12. Samsel, A.; Seneff, S.; Entropy 2013, 15, 63.

13. Malpass, G. R. P.; Miwa, D. W.; Machado, S. A. S.; Olivi, P.; Motheo, A. J.; J. Hazard. Mater. 2006, 137, 565.

14. Martínez-Huitle, C.A.; Panizza, M.; Curr. Opin. Electrochem. 2018, 11, 62.

15. Solano, A. M. S.; Martínez-Huitle, C. A.; Garcia-Segura, S.; El-Ghenymy, A.; Brillas, E.; Electrochim. Acta 2016, 197, 210.

16. Martínez-Huitle, C. A.; Brillas, E.; 87, Appl. Catal., B 2009, 87, 105.

17. Ganiyu, S. O.; Martínez-Huitle, C. A.; Curr. Opin. Electrochem. 2020, 211.

18. Ganiyu, S. O.; Martínez-Huitle, C. A.; Rodrigo, M. A.; Appl. Catal., B 2020, 270.

19. Martínez-Huitle, C. A.; Brillas, E.; Angew. Chem., Int. Ed. 2008, 47, 1998.

20. Sirés, I.; Cabot, P. L.; Centellas, F.; Garrido, J. A.; Rodríguez, R. M.; Arias, C., Brillas, E.; Electrochim. Acta 2006, 52, 85.

21. Martínez-Huitle, C. A.; Rodrigo, M. A.; Sirés, I.; Scialdone, O.; Chem. Rev. 2015, 115, 13362.

22. Ferreira, M. B.; Rocha, J. H. B; da Silva, D. R.; de Moura, D. C.; de Araújo, D. M.; Martinez-Huitle, C. A.; J. Solid State Electrochem. 2016, 20, 2589.

23. dos Santos, E. V.; Sena, S. F. M.; da Silva, D. R.; Ferro, S.; De Battisti, A.; Martínez-Huitle, C. A.; Environ. Sci. Pollut. Res. 2014, 21, 8466.

24. Uranga-Flores, A.; De La Rosa-Júarez, C.; Gutierrez-Granados, S.; De Moura, D. C.; Martínez-Huitle, C. A.; Peralta-Hernández, J. M.; J. Electroanal. Chem. 2015, 738, 91.

25. dos Santos, E. V.; Sáez, C.; Cañizares, P.; da Silva, D. R.; Martínez-Huitle, C. A.; Rodrigo. M. A.; Chem. Eng. J. 2017, 310, 581.

26. Dos Santos, A. J.; De Lima, M. D.; Da Silva, D.R.; Garcia-Segura, S.; Martínez-Huitle, C. A.; Electrochim. Acta 2016, 208, 156.

27. McBeath, S. T.; Wilkinson, D. P.; Graham, N. J. D.; Environ. Sci.: Water Res. Technol. 2019, 5, 2090.

28. Borràs, N, Oliver, R.; Arias, C.; Brillas, E.; J. Phys. Chem. A 2010, 114, 6613.

29. Rabaaoui, N.; Saad, M. E. K.; Moussaoui, Y.; Allagui, M. S.; Bedoui, A.; Elaloui, E.; J. Hazard. Mater. 2013, 250, 447.

30. Rabaaoui, N.; Moussaoui, Y.; Allagui, M. S.; Ahmed, B.; Elaloui, E.; Sep. Purif. Technol. 2013, 107, 318.

31. Boye, B.; Brillas, E.; Marselli, B.; Michaud, P. A.; Comninellis, C.; Farnia, G.; Sadonà, G.; Electrochim. Acta 2006, 51, 2872.

32. Alves, S. A.; Ferreira, T. C. R.; Sabatini, N. S.; Trientini, A. C. A.; Migliorini, F. L.; Baldan, M. R.; Ferreira, N. G.; Lanza, M. R. V.; Chemosphere 2012, 88, 155.

33. Lebik-Elhadi, H.; Frontistis, Z.; Ait-Amar, H.; Amrani. S.; Mantzavinos, D.; Process Saf. Environ. Prot. 2018, 116, 535.

34. Saad, M. E. K.; Rabaaoui, N.; Elaloui, E.; Moussaoui, Y.; Sep. Purif. Technol. 2016, 171, 157.

35. Souza, F. L.; Teodoro, T. Q.; Vasconcelos, V. M.; Migliorini, F. L.; Lima, G. P. C.F.; Ferreira, N. G.; Baldan, M. R.; Haidukea, R. L. A.; Lanza, M. R. V.; Chemosphere 2014, 117, 596.

36. Özcan, A.; Şahin, Y.; Koparal, A. S.; Oturan, M. A.; Water Res. 2008, 42, 2889.

37. Valenzuela, A. L.; Vasquez-Medrano, R.; Ibanez, J. G.; Frontana-Uribe, B. A.; Prato-Garcia, D.; Water Air Soil Pollut. 2017, 228, 1.

38. Santos, J. E. L.; Gómez, M. A.; Moura, D. C.; Cerro-López, M.; Quiroz, M. A.; Martínez-Huitle, C. A.; J. Hazard. Mater. 2021, 15, 123850.

39. Campos-González, E.; Frontana-Uribe, B. A.; Vasquez-Medrano, R.; Macías-Bravo, S.; Ibanez, J. G.; J. Mex. Chem. Soc. 2014, 58, 315.

40. Farinos, R. M.; Ruotolo, L. A. M.; Electrochim. Acta 2017, 224, 32.

41. Rubí-Juárez, H.; Cotillas, S.; Sáez, C.; Cañizares, P.; Barrera-Díaz, C.; Rodrigo, M. A.; Sep. Purif. Technol. 2016, 167, 127.

42. Balci, B.; Oturan, M. A.; Oturan, N.; Sires, I.; J. Agric. Food. Chem. 2009, 57, 4888.

43. Rubí-Juárez, H.; Cotillas, S.; Sáez, C.; Cañizares, P.; Barrera-Díaz, C.; Rodrigo, M. A.; Appl. Catal., B 2016, 188, 305.

44. Feng, D.; Soric, A.; Boutin, O.; Sci. Total. Environ. 2020, 742, 140559.

45. Tran, N.; Drogui, P.; Doan, T. L.; Le, T. S.; Nguyen, H. C.; Environ. Technol. (United Kingdom) 2017, 38, 2939.

46. Fajardo, A. S.; dos Santos, A. J.; de Araújo, Costa, E. C. T.; da Silva, D. R.; Martínez-Huitle, C. A.; Chemosphere 2019, 225, 880.

47. Quiroz, M. A.; Martínez-Huitle, U. A.; Martínez-Huitle, C. A.; J. Mex. Chem. Soc. 2005, 49, 279.

48. Cañizares, P.; García-Gómez, J.; Fernández de Marcos, I.; Rodrigo, M. A; Lobato, J.; J. Chem. Educ. 2006, 83, 1204.

49. Esplugas, S.; Contreras, S.; Ollis, D. F.; J. Environ. Eng. 2004, 130, 967.

50. Lanzarini-Lopes, M.; Garcia-Segura, S.; Hristovski, K.; Westerhoff, P.; Chemosphere 2017, 188, 304.

51. Panizza, M.; Cerisola, G.; Chem. Rev. 2009, 109, 6541.

52. de F. Araújo, K. C.; de Barreto J. P.; Cardozo, J. C.; Dos Santos, E. V.; de Araújo, D. M.; Martínez-Huitle, C. A.; Environ. Chem. Lett. 2018, 16, 647.

53. Escalona-Durán, F.; Silva, D. R.;, Martínez-Huitle, C. A.; Villegas-Guzman, P.; Chemosphere 2020, 253, 126599.

54. Araújo, K. C. F.; da Silva, D. R.; dos Santos, E. V.; Varela, H.; Martínez-Huitle, C. A.; J. Electroanal. Chem. 2020, 860, 13927.

55. Barreto, J. P. P.; De Freitas, K. C. A.; De Aráujo, D. M.; Martínez-Huitle, C. A.; ECS Electrochem. Lett. 2015, 4, 9.

56. dos Santos, A. J.; Costa, E. C. T. A.; da Silva, D. R.; Garcia-Segura, S.; Martínez-Huitle, C. A.; Environ. Sci. Pollut. Res. 2018, 25, 7002.

57. Lima, N. S.; Souza, É. M.; Torres, N. H.; Bergamasco, R.; Marques, M. N.; Garcia-Segura, S.; Alsina, O. L. S.; Cavalcanti, E. B.; J. Cleaner Prod. 2019, 212, 837.

58. da Costa, P. R. F.; Emily, E. C. T.; Castro, S. S. L.; Fajardo, A. S.; Martínez-Huitle, C. A.; J. Electroanal. Chem. 2019, 834, 79.

59. de Oliveira, C. V.; do Amaral, L. B.; Solano, A. M. S.; de Araújo, D. M.; Martínez-Huitle, C. A.; da Silva, D. R.; Int. J. Electrochem. Sci. 2018, 13, 7894.

60. do Vale-Júnior, E.; da Silva, D. R.; Fajardo, A. S.; Martínez-Huitle, C. A.; Chemosphere 2018, 204, 548.

61. Garcia-Segura, S.; Garrido, J. A.; Rodríguez, R. M.; Cabot, P. L.; Centellas, F.; Arias, C.; Brillas, E.; Water Res. 2012, 46, 2067.

62. Solano, A. M. S.; Garcia-Segura, S.; Martínez-Huitle, C. A.; Brillas, E.; Appl. Catal., B 2015, 168, 559.

63. Dick, R. E.; Quinn, J. P.; Appl. Microbiol. Biotechnol. 1995, 43, 545.

64. Aquino Neto, S.; de Andrade, A. R.; Electrochim. Acta 2009, 54, 2039.

65. Chamberlain, K. Evans, A. A.; Bromilow, R. H.; Pestic. Sci. 1996, 47, 265.

66. Fajardo, A. S.; Martins, R. C.; Martínez-Huitle, C. A.; Quinta-Ferreira, R. M.; Electrochim. Acta 2016, 210, 96.

67. Sales Solano, A. M.; Costa, C. K. A.; Vieira, J. M.; Peralta-Hernandez, J. M.; Silva D. R.; Martínez-Huitle, C. A.; Appl. Catal., B 2013, 130-131, 112.

68. dos Santos, E. V.; Sena, S. F. M.; da Silva, D. R.; Ferro, S.; De Battisti, A.; Martínez-Huitle, C. A.; Environ. Sci. Pollut. Res. 2014, 21, 8466.

69. Lan, H.; He, W.; Wang, A.; Liu, R.; Liu, H.; Qu, J.; Huang, C. P,; Water Res, 2016, 15, 575.

70. Tran, M. H.; Nguyen, H. C,; Le, T. S.; Dang, V. A. D.; Cao, T. H.; Le, C. K.; Trung-Dung, D.; Environ. Technol. 2019. doi/abs/10.1080/09593330.2019.1660411

71. Aquino Neto, S.; de Andrade, A. R.; Electrochim. Acta 2009, 54, 2039.

72. Lan, H.; Jiao, Z.; Zhao, X.; He, W.; Wang, A.; Liu, H.; Liu, R.; Qu, J.; Sep. Purif. Technol. 2013, 30, 30.

73. Kukurina, O.; Elemesova, Z.; Syskina, A.; Procedia. Chem. 2014, 10, 209.

On-line version ISSN 1678-7064 Printed version ISSN 0100-4042
Qu�mica Nova
Publica��es da Sociedade Brasileira de Qu�mica
Caixa Postal: 26037 05513-970 S�o Paulo - SP
Tel/Fax: +55.11.3032.2299/+55.11.3814.3602
Free access

GN1