JBCS



21:36, sáb out 25

Acesso Aberto/TP



Revisão


A química por trás dos medicamentos distribuídos pelo programa farmácia popular no Brasil: rotas sintéticas, relação estrutura-atividade e perspectivas futuras
Chemistry behind drugs distributed by the popular pharmacy program in Brazil: synthetic routes, structure-activity relationship and future perspectives

Giovanny C. dos SantosI; Julia L. RodriguesI; Júllia R. de SouzaII; Luiz C. da Silva-FilhoI; Bruno H. S. T. da SilvaII,*

I. Departamento de Química, Universidade Estadual Paulista, 17033-360 Bauru - SP, Brasil
II. Instituto de Química, Universidade Federal de Uberlandia, 38408-144 Uberlandia - MG, Brasil

Recebido em 05/01/2021
Aceito em 27/04/2021
Publicado na web em 24/05/2021

Endereço para correspondência

*e-mail: bsacoman@ufu.br

RESUMO

Certainly, most chemistry students, patients or simply curious, have already questioned themselves about certain medications present in their daily lives, trying to understand how they work and even how they can be obtained. Based on that, this work presents some known synthetic routes and the structure-activity relationship (SAR), of some active pharmaceutical ingredients present in medications distributed in Brazil by the government program known as "Farmacia Popular", emphasizing the functional groups and chemical structure linked to their mechanisms of action. Some other characteristics and future perspectives of such drugs and their respective active principles are also highlighted.

Palavras-chave: popular medicines; government program Popular Pharmacy; SAR; medicinal organic chemistry; organic synthesis; active pharmaceutical ingredient.

INTRODUÇÃO

Ao longo das últimas décadas, foi possível observar um aumento no uso de certos medicamentos no Brasil, muito disso devido ao crescente número de diagnósticos de doenças crônicas não transmissíveis (DCNT). Nesse contexto são incluídas as doenças cardiovasculares, respiratórias crônicas, diabetes e neoplasias, que somadas corresponderam a cerca de 73% dos óbitos no Brasil em 2016.1 Além disso, o aumento da expectativa de vida chegando a 76,3 anos em 2018, também justifica esses dados.2

Segundo a Organização Mundial da Saúde (OMS) e outras instituições brasileiras, os gastos com medicamentos ultrapassam metade da renda das famílias menos favorecidas no Brasil, o que pode levar a interrupção do tratamento, ou então a sua realização de maneira inadequada, podendo comprometer os resultados esperados, ocasionar complicações e levar até mesmo a morte.3

É imprescindível notar que transformações envolvendo ações de assistência farmacêutica, bem como o desenvolvimento de tecnologias de saúde, foram fundamentais para mudanças nos padrões de mortalidade em todo o mundo.4 Dados envolvendo o progresso econômico e aumento da qualidade de vida populacional, geraram expectativas otimistas de que certos grupos de doenças perderiam a relevância. Entretanto, a reemergência de doenças infecciosas, como SARS, tuberculose, gripe e HIV/AIDS, bem como a constante ocorrência de mortes causadas por DCNTs, mobilizam órgãos públicos à criação de planos para prevenção e tratamento.5 Nesse sentido, o Programa Farmácia Popular do Brasil foi elaborado em 2004 com a participação do Ministério da Saúde (MS) e da Fundação Oswaldo Cruz (Fiocruz), buscando implementar ações para facilitar acesso aos medicamentos básicos e essenciais à população. Em 2006, um desdobramento do projeto original, fez surgir o "Aqui tem Farmácia Popular", que passou a utilizar a rede de comércio varejista de produtos farmacêuticos em todo país.6 Dados de 2018 mostram que esse programa beneficiou 21 milhões de brasileiros, estando presente em 34,6 mil farmácias e em 4469 municípios.7 Para a escolha dos medicamentos, o governo realizou um levantamento das doenças que mais atingem a população, correlacionando-as com o impacto no orçamento familiar.8 Assim, é provável que todos conheçamos alguém, seja familiar ou amigo, que fez ou faz uso de algum medicamento fornecido pelo programa, além disso, constantemente nos deparamos com cartazes publicitários em estabelecimentos farmacêuticos com os dizeres "Aqui tem Farmácia Popular".

As doenças tratadas e os respectivos medicamentos disponibilizados pelo programa Farmácia Popular são: hipertensão (atenolol, captopril, propranolol, hidroclorotiazida, losartana potássica e maleato de enalapril), asma (dipropionato de beclometasona, sulfato de salbutamol e brometo de ipratrópio), rinite (budenosida), mal de Parkinson (levodopa, carbidopa e benserazida), osteoporose (alendronato de sódio), hipercolesterolemia (sinvastatina), glaucoma (maleato de timolol) e diabetes (cloridrato de metformina e glibenclamida). Dentre eles, cabe ressaltar que os medicamentos mais procurados no programa são os para hipertensão e diabetes.8

Nos próximos dois tópicos, serão apresentados alguns conceitos que são de suma importância para a discussão sobre os fármacos distribuídos pelo programa "Farmácia Popular".

A síntese de fármacos e a indústria farmacêutica

A química sintética de fármacos marcou a história da química orgânica e mobilizou a interdisciplinaridade de diversos pesquisadores. Tal fato promoveu a articulação de muitos saberes científicos, possibilitando o planejamento racional para produção de moléculas com diferentes níveis de complexidade, além do desenvolvimento de técnicas que visem sua construção com menores custos, maior grau de pureza e curtos tempos reacionais.

Além da síntese, diversas metodologias são continuamente empregadas na elaboração de um fármaco, e buscam investigar todas as variáveis possíveis, que vão desde a farmacodinâmica, definindo a relação estrutura-atividade (REA) envolvida na afinidade e seletividade dos compostos com alvo selecionado, até as propriedades farmacocinéticas de absorção, distribuição, metabolismo, excreção e toxicologia (ADME/Tox).9 Desse modo, juntamente com centros de pesquisas e universidades, a indústria farmacêutica tem desempenhado um papel muito importante no desenvolvimento de novos fármacos (insumos farmacêuticos ativos) e na formulação de medicamentos, que é a junção do insumo farmacêutico ativo e excipientes. Esses últimos são substâncias farmacologicamente inativas, que além de dar volume, apresentam diversas funcionalidades como diluente, conservantes, aromatizantes, entre outras. Todavia, esses excipientes devem ser escolhidos e analisados cautelosamente, pois podem apresentar interações causando incompatibilidades físicas ou químicas na formulação. Prova do crescimento desse setor pode ser visto de 2015 à 2018, período no qual a indústria farmacêutica no Brasil apresentou um aumento médio de 7,5 bilhões de reais por ano e movimentou um total aproximado de 263 bilhões de reais, segundo o anuário estatístico do mercado farmacêutico disponibilizado pela Anvisa.10 Neste trabalho são abordadas sínteses clássicas, industriais e outras que ganharam destaque ao longo dos anos, tanto pela importância quanto pela inovação em termos de rendimentos, tempos reacionais, questões ambientais, entre outras. Nem todos os fabricantes de fármacos utilizam a mesma metodologia para determinada síntese, desse modo, mesmo com as inúmeras reações de uso comercial, aqui são descritas aquelas que mais apresentam etapas em comum e são consideradas mais tradicionais com base nos artigos, revisões ou livros de referência.

Fármacos: terminologias e conceitos

Segundo a Anvisa, o termo fármaco, também conhecido como insumo farmacêutico ativo (IFA), é a principal substância presente em um medicamento, o que confere a ele o efeito terapêutico desejado. Ao analisar a estrutura molecular de um fármaco ou candidato à fármaco, é fundamental observar algumas propriedades, tais como: caráter ácido-base (diferentes sistemas no organismo possuem diferentes pH), solubilidade em água (75% do corpo humano é constituído de água), coeficiente de partição (relação entre as concentrações do fármaco em um solvente orgânico e em água), estrutura cristalina e estereoquímica. A junção dessas propriedades leva a investigação do chamado ADME (Absorção, Distribuição, Metabolismo, Excreção) do medicamento.11

Diversas estratégias vêm sendo estudadas e desenvolvidas visando superar obstáculos e barreiras biológicas, que de uma maneira ou outra, possam limitar o uso ou a eficácia de um determinado fármaco.12 Nesse contexto, os pró-fármacos surgiram como uma importante ferramenta, melhorando diversas propriedades não desejadas em um fármaco, tais como: baixa solubilidade, sabor e/ou odor inadequado, irritação ou dor, baixa permeabilidade pela barreira hematoencefálica, extenso metabolismo pré-sistêmico e baixa biodisponibilidade.13 Os pró-fármacos são substâncias inertes, formadas a partir de uma ligação química covalente entre um fármaco e um transportador, que in vivo, por meio de hidrólise química ou enzimática, libera o fármaco precursor na sua forma ativa, onde exercerá sua função farmacológica.13 Muitos fármacos, mesmo apresentando elevadas atividades biológicas, não conseguem ultrapassar certas barreiras biológicas, ou então não podem ser administrados devidos a efeitos colaterais, sendo então amplamente utilizados na forma de pró-fármacos.

A síntese e planejamento de um pró-fármaco não é simples, e deve levar em consideração diversos critérios. Entre eles, podem ser destacados: a existência de grupos funcionais modificáveis no fármaco ativo, existência de mecanismos de ativação do pró-fármaco in vivo, síntese/purificação viável, estabilidade e baixa toxicidade. Sinteticamente, a preparação dos pró-fármacos ocorre principalmente por meio de reações de esterificação entre o fármaco precursor e o transportador. Contudo outras reações também podem ser utilizadas, como formação de amidas, iminas, enaminas, carbamatos e bases de Mannich.13

Outro desafio inerente ao desenvolvimento de um fármaco é a quiralidade. Uma vez que um centro quiral esteja presente na estrutura do fármaco, os dois estereoisômeros resultantes podem ter ações terapêuticas antagônicas. Alguns fármacos quirais, são comercializados na forma de mistura racêmica, isso é, mistura equimolar dos dois enantiômeros, o que muitas vezes provoca atividades biológicas inferiores, quando comparado aos enantiômeros puros. Esse fenômeno se dá devido à natureza quiral dos sistemas biológicos, que descriminam estereosseletivamente os pares enantioméricos dos fármacos quirais.14 Por essa razão, nas últimas décadas muitos estudos visaram aprimorar a síntese orgânica assimétrica.14

A solubilidade também representa um outro desafio no desenvolvimento de novos fármacos. Estudos apontam que cerca de 40% de novas drogas exibem baixa biodisponibilidade, devido principalmente a baixa solubilidade em sistemas biológicos.15 Umas das alternativas desenvolvidas para minimizar essa questão é a utilização de sais, formados a partir de reações ácido-base entre um precursor inorgânico (contra ácido/base) e o fármaco em questão (ácido/base orgânicos fracos). Hidratos, cloridratos, palmitatos, aminas alifáticas e metais dos grupos IA e IIA (Na e K) são exemplos de contra ácidos e contra bases utilizados na síntese desses sais, que podem melhorar significativamente algumas propriedades importantes, entre elas, higroscopicidade, estabilidade, solubilidade e taxa de dissolução, além de melhorar propriedades organolépticas, como sabor e cheiro.15 Ainda no contexto de solubilidade, outra alternativa vem sendo amplamente estudada e destacada na comunidade cientifica, é a utilização de cocristais. Cocristais farmacêuticos são obtidos por meio da interação via ligação de hidrogênio entre o IFA e coformador. Os principais coformadores utilizados na síntese de cocristais são: ácido acetilsalicílico, ácido oxálico, ácido maleico, ácido tartárico, ácido cítrico, ácido succinico, sacarina, cafeína, entre outros. Os cocristais representam promissoras formas de resolver a questão da solubilidade dos medicamentos, uma vez que certos cocristais podem ser até 100 vezes mais solúveis que o princípio ativo em sua forma isolada.

 

MEDICAMENTOS DO PROGRAMA FARMÁCIA POPULAR

Nos próximos tópicos são apresentados os medicamentos disponibilizados pelo programa farmácia popular, relacionando-os com as respectivas doenças que tais moléculas tratam. Além disso, para cada fármaco será discutida a relação entre sua estrutura química e atividade biológica (REA), bem como as principais rotas sintéticas conhecidas.

Hipertensão

A hipertensão é uma condição crônica na qual a pressão sanguínea nas artérias se encontra constantemente elevada, provocando a longo prazo doenças cardíacas, renais e cerebrais.16 A hipertensão primária (cerca de 90 - 95% dos casos) tem origem em fatores não específicos genéticos e no estilo de vida (ex. excessos de sal, álcool, tabaco, entre outros).17 A do tipo secundária (5 - 10% dos casos) tem origem em certas doenças (ex. renais e endócrinas), além de ser oriunda do uso a longo prazo de certos medicamentos. Em repouso, uma pressão arterial sistólica considerada normal é de 120 a 140 milímetros de mercúrio (mmHg), enquanto a diastólica entre 75 a 85 mmHg.18 Segundo estimativa feita em 2015 pela organização mundial de saúde (OMS), cerca de 1,13 bilhões de pessoas apresentam hipertensão no mundo, especialmente nos países de média e baixa renda, que representam dois terços desse total. Ainda com base nessa estimativa, um em cada quatro homens e uma em cada cinco mulheres apresentam a doença.19 No Brasil, estima-se que mais de 24% da população seja hipertensa.19

Assim, os tratamentos envolvem inicialmente uma mudança no estilo de vida (ex. dieta, atividade física, etc), e quando essas mudanças não surtem efeitos, medicamentos podem ser prescritos. Tais medicamentos são divididos em seis classes: inibidores da enzima de conversão da angiotensina (IECAs), antagonistas dos receptores da angiotensina II (ARAs), bloqueador dos canais de cálcio, diuréticos, β-bloqueadores e a-bloqueadores.20 Na Figura 1 podemos ver 6 fármacos utilizados para esse fim, que estão disponíveis no programa "Farmácia Popular".

 


Figura 1. Estrutura do a) Atenolol e Propranolol b) Captopril, Enalapril c) Losartana e d) Hidroclorotiazida

 

No sistema nervoso existem duas famílias de receptores designados como a e b, que são subdivididas em α1, α2, β1, β2 e β3. Cada receptor está ligado a uma resposta específica, como por exemplo, a vasoconstrição de artérias e veias, contração do musculo liso dos rins e cérebro, relaxamento da bexiga urinária, controle de frequência cardíaca, entre muitas outras respostas do organismo.21 A glândula suprarrenal produz adrenalina (epinefrina) e noradrenalina (norepinefrina) que pertencem à classe das catecolaminas, e tem ação no sistema cardiovascular, aumentando ou controlando a pressão arterial. Desse modo, muito dos medicamentos para esse fim são baseados nesse mecanismo de ação.22

Atenolol

O atenolol é um fármaco pertencente ao grupo dos β-bloqueadores (Figura 1). Sendo um agente β-adrenérgico bloqueador, ele age seletivamente bloqueando os receptores b1 do coração, impedindo a ação da adrenalina e noradrenalina em tais receptores, diminuindo o ritmo cardíaco e a força de contração cardíaca, e consequentemente a pressão arterial. O medicamento também estimula a produção de nitrato, que é responsável pela maior vasodilatação.23

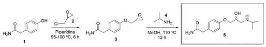
A síntese clássica do atenolol (5) parte do 4-hidroxifenilacetamida (1), conforme mostrado no Esquema 1. O derivado fenólico 1 é transformado no fármaco de interesse por meio de duas etapas reacionais, adição de epicloridrina (2) e abertura do anel epóxido presente no composto 3, com auxílio da isoprolamina (4).24

 


Esquema 1. Sintese do atenolol

 

Outras rotas sintéticas podem ser encontradas na literatura, mas se baseiam na metodologia descrita no Esquema 1. Akisanya e colaboradores, por exemplo, descreveram uma alternativa sintética para o atenolol, sendo obtido em cinco etapas partindo do fenol como material de partida. Embora parta de um reagente de fácil acesso, a rota sintética apresenta um rendimento global de apenas 17,9%.25

Propranolol

O propranolol é outro bloqueador β-adrenérgico, porém não-cardiosseletivo (Figura 1). Ele foi o primeiro β-bloqueador de sucesso desenvolvido, inibindo a estimulação de receptores β1 e β2.26 Na Figura 1 vemos a semelhança estrutural entre o atenolol e o propranolol. Ambos detêm um anel aromático central, onde o atenolol é substituído na posição para por um grupo funcional carbamoil, enquanto no propranolol o anel benzênico se apresenta condensado com outro anel, formando um anel naftalênico. A cadeia lateral substituída é idêntica nas duas moléculas e apresenta um grupo éter, seguido por um carbono quiral que contém uma hidroxila, que é importante para as ligações de hidrogênio com os receptores. No fim dessa cadeia lateral, encontra-se um grupo isopropilamina, ou seja, uma amina secundária substituída com um isopropil, que é responsável pelo aumento nas interações hidrofóbicas na molécula.27

O propranolol, descoberto em 1964 por Sir James Black, é um dos fármacos mais amplamente utilizados no tratamento da hipertensão em todo o mundo, e rendeu o prêmio Nobel de medicina ao seu criador em 1988.28 Industrialmente, o (RS)-propranolol é obtido a partir do α-naftol e da epicloridrina. Embora também comerciado na forma racêmica, sabe-se que o (S)-propanolol é cerca de 98 vezes mais ativo que o (R)-propanolol, o que atrai o interesse industrial e de diversos grupos de pesquisa por metodologias sintéticas assimétricas.29 Nesse sentido, Syngh e colaboradores, descreveram a síntese do (S)-propranolol [(S)-8], partindo do α-naftol (6), em uma metodologia similar ao observado para o atenolol. Em um primeiro momento, o intermediário glicidil-α-naftil éter (7) é obtido com rendimento de 95% por meio da reação do α-naftol (6) com epicloridrina (2), na presença de carbonato de potássio e butan-2-ona como solvente. A mistura racêmica, (RS)-propranolol, pode ser então obtida a partir da reação entre o intermediário 7 com isopropilamina (4), em meio aquoso e sob aquecimento de 75 ºC. Contudo, se essa última etapa for realizada na presença de Zn(NO3)3 e (+)-ácido tartárico, o (S)-propanolol [(S)-8] é obtido com 60% de rendimento e com excesso enantiomérico de 90% (Esquema 2).29

 


Esquema 2. Metodologia sintética para obtenção do (RS)-propranolol e (S)-propanolol

 

Diversos outros trabalhos são descritos na literatura, com metodologias que visam otimizar as sínteses conhecidas para o propanolol. Um exemplo que merece destaque é o estudo publicado por Angelis e colaboradores, que descreveram o uso do fluxo contínuo, na última etapa da reação descrita no Esquema 2, ou seja, na etapa de abertura do anel epóxido. Nesse estudo, o propanolol foi obtido com pureza de até 94%, em um reactor de PTFE (politetrafluoretileno), com tempo de residência de 29,5 a 30 minutos, temperatura de 120 ºC e pressão de 8 bar.30

Captopril

O captopril (Figura 1) é um inibidor da ECA (enzima conversora da angiotensina), que impede a angiotensina I de ser convertida em angiotensina II.31 As angiotensinas são peptídeos que apresentam numerosas funções na fisiologia humana, incluindo o controle da pressão arterial.32 Na ausência de angiotensina II, as paredes musculares das pequenas artérias não se contraem e os hormônios aldosterona (que retém sódio no túbulo renal distal) e a vasopressina (antidiurético) não são liberados pelas glândulas adrenais. Como resultado da não vasoconstrição e da não liberação desses hormônios, os rins retém potássio e excretam sódio, diminuindo a concentração de água, o volume do sangue e a pressão arterial.33

As primeiras sínteses desse medicamento foram descritas na literatura em meados da década de 70. Uma das primeiras metodologias, foi descrita por Ondetti e Cushman em 1977.34 Nessa rota sintética, o captopril (15) é obtido em 4 etapas, partindo de reagentes simples, como ácido tioacético (9) e ácido metacrílico (10), com rendimento global de aproximadamente 19% (Esquema 3A).34 Na primeira das 4 etapas reacionais, o composto 11 é obtido por meio de uma reação de adição 1,4 entre o ácido tioacético 9 e o ácido metacrílico 10. Na etapa seguinte, o cloreto de acila 12 é obtido por meio do tratamento de 11 com cloreto de tionila (SOCl2). Na sequência, por meio da acilação da L-prolina (13) com o 12, o composto 14 é obtido. Por fim, na quarta e última etapa, o captopril (15) é obtido quando o composto 14 é submetido a uma aminólise, para hidrólise do grupo tioéster.

 


Esquema 3. A) Síntese descrita por Ondetti e Cushman em 1977. B) Obtenção do captopril partindo de um ácido β-hidroxilado opticamente ativo

 

Diversas outras metodologias sintéticas e modificações do método clássico são descritos na literatura, e todas utilizam algum derivado de L-prolina na síntese.35 Em 1982, Shimazaki e colaboradores descreveram uma rota sintética simples para obtenção do captopril (15), em apenas 3 etapas e com alto rendimento, partindo de um ácido β-hidroxilado opticamente ativo, o ácido (R)-3-hidroxi-2-metilpropanóico (16), que pode ser obtido por meio de hidratação microbiológica estereosseletiva do ácido metacrílico.35 Na primeira etapa dessa síntese, o cloreto de (R)-3-cloro-2-metilpropanoila (17) é obtido por meio do tratamento de 16 com cloreto de tionila (SOCl2), na presença de uma base orgânica. Na etapa seguinte o composto 18 é obtido pela reação de acoplamento de 17 com a L-prolina (13), por meio da reação de Schotten-Baumann, isso é, produção de amidas por meio da reação entre aminas e cloretos de ácido. Na última etapa, o átomo de cloro remanescente é substituído por um grupo tiol (-SH), levando à formação do captopril (15), conforme apresentado no Esquema 3B.

Enalapril

O enalapril, que é comercializado na forma de maleato de enalapril, é um pró-fármaco derivado dos aminoácidos L-alanina e L-prolina. Sua forma ativa após a desesterificação é o enalaprilato. Assim como o captopril, o enalapril possui a L-prolina em sua estrutura. Essa parte da molécula que deriva desse aminoácido, contém uma carboxila, que após ingestão, na forma de carboxilato, liga-se aos sítios catiônicos da ECA (enzima conversora da angiotensina).36 Observa-se na cadeia N-substituída da prolina, grupos que são essenciais na atuação desses medicamentos: a metila que se assemelha àquela contida na alanina, além do tiol (-SH) e da amina secundária (-NH), que são sítios de ligação do Zn2+ na ECA. Na estrutura também se observa um éster que é desesterificado após biotransformação hepática.36 Além disso, o anel prolina também desempenha um papel fundamental nas interações hidrofóbicas dentro do organismo.

Diversas rotas sintéticas são descritas para o enalapril (23) desde o início da década de 80. Contudo, a grande maioria, utilizam derivados de ésteres e L-alanil-L-prolina (20) como materiais de partida.37 Em uma das primeiras rotas descritas para esse fármaco, o enalapril foi obtido em 3 etapas reacionais, com rendimento global de 34% e partindo de 4-fenilbutanoato de etila (19) e L-alanil-L-prolina (20), como mostrado no Esquema 4. Na primeira etapa dessa síntese, tais materiais de partida são condensados, dando origem à base de Schiff 21, que na etapa seguinte é submetida a uma reação de redução com H2 e Pd/C, levando a formação do composto 22 em uma mistura diastereoisomérica, constituída pelos diastereoisômeros SSS e RSS na proporção de 62:38, respectivamente. Na última etapa, por meio da formação do sal de maleato e recristalização em acetonitrila (MeCN), o enalapril (23) é obtido com rendimento de 34% e com excesso diastereoisomérico de 99% do isômero SSS.37

 


Esquema 4. Síntese do enalapril descrita por Wyvratt, Patchett e colaboradores

 

Losartana

A losartana é uma antagonista, ou seja, se liga aos receptores sem ativá-los, bloqueando os receptores AT1 da angiotensina II (Figura 1). Esse bloqueio provoca vasodilatação direta e impede o aumento da produção de aldosterona, logo, assim como dito anteriormente, não haverá retenção de sódio e água.38 Sua estrutura apresenta uma bifenila, onde em uma das extremidades está ligado um anel tetrazol (anel de 5 membros com 4 nitrogênios), enquanto que na outra extremidade pode ser observado um anel imizadol, substituído por uma cadeia alquílica (butil), um halogênio (cloro) e uma hidroximetila, sendo os dois últimos essenciais na atividade do composto.

As primeiras sínteses da losartana foram descritas a partir de meados da década de 80. Um exemplo que merece destaque, foi descrito por Larsen e colaboradores em 1994.39 Na síntese de Larsen, a losartana (33) é obtida por meio da reação de acoplamento de Suzuki entre os intermediários 27 e 31, que são sintetizados previamente (Esquema 5). Na síntese do intermediário 27, o material de partida 24 é benzilado por meio da reação com 25, levando a formação de 26. Na etapa seguinte, o aldeído de 26 é reduzido com NaBH4 para obtenção do intermediário 27 com rendimento de aproximadamente 93%. O outro intermediário, 31, é sintetizado a partir da benzonitrila (28). Na primeira etapa, o feniltetrazol (29) é obtido a partir da reação da benzonitrila (28) com azida de sódio. Nas etapas seguintes, o anel tetrazol é protegido com -C(Ph)3 (30) e a posição orto do anel benzênico é ativada com -B(OH)2, visando a seletividade da reação de acoplamento na etapa seguinte.

 


Esquema 5. Síntese dos fragmentos 27, 31 e da losartana (33)

 

Com os dois fragmentos em mãos, o composto 32 é produzido através do acoplamento de Suzuki entre 27 e 31. Na última etapa da síntese, o anel tetrazol é desprotegido, levando a formação da losartana 33. A losartana potássica pode ser facilmente obtida através do tratamento de 33 com K2HPO4.40

Hidroclorotiazida (HCTZ)

A hidroclorotiazida é o único medicamento nesta seção que pertence à classe dos diuréticos (Figura 1). A medicação age sobre os rins reduzindo a reabsorção de sódio (Na+), fazendo com que haja maior excreção de NaCl e de água por efeito osmótico. A consequente perda de água provoca o aumento da produção de urina pelos rins (diurese), reduzindo assim o volume líquido extracelular no sangue e, como consequência, a pressão arterial.41 Em sua estrutura, a ausência da ligação dupla entre as posições 3 e 4 do anel tiazida (destacada em vermelho), aumenta a atividade diurética do fármaco. Ainda na estrutura da HCTZ, observa-se um átomo de cloro, que atua como grupo eletrolítico, aumentando a ação clorurética, e um grupo sulfamoilo, que é pré-requisito para a atividade diurética.

A hidroclorotiazida (38), assim como outros diuréticos tiazídicos, é sintetizada partindo de derivados de cloroanilina, conforme mostrado no Esquema 6. Na primeira etapa, a m-cloroanilina (34) é submetida a uma reação de clorosulfonilação, por meio do tratamento com ácido clorossulfônico, levando a formação de 35. Na sequência, por meio do tratamento com hidróxido de amônia, 35 é convertido em 36. A partir do composto 36, a hidroclorotiazida (38) pode ser obtida de duas maneiras diferentes. Em uma dessas metodologias, a clorotiazida (37) é obtida por meio do tratamento 36 com ácido fórmico (HCOOH) em refluxo. A clorotiazida (37), que também é um diurético, porém menos eficaz, é então reduzida com formaldeído (CH2O), levando à formação da hidroclorotiazida (38), com 79% de rendimento. Contudo, a hidroclorotiazida (38) também pode ser obtida diretamente a partir da ciclização de 36 com paraformaldeído, conforme mostrado no Esquema 6.42,43

 


Esquema 6. Sintese da hidroclorotiazida

 

Rinite

Budesonida

A rinite é uma irritação e inflamação da membrana mucosa no interior da cavidade nasal. Provoca sintomas como congestão nasal, fluxo nasal abundante, espirros e acumulação de muco na garganta ou na parte posterior do nariz. Sintomas adicionais incluem coceira no nariz e olhos, tosse, dores de cabeça, fadiga, sensação de mal-estar e diminuição das capacidades cognitivas.44 A rinite pode ser não-alérgica, causada por inflamações que ocorrem devido a problemas na anatomia das vias nasais, ou alérgica, que é o tipo mais comum. Ela geralmente é desencadeada por alergênicos presentes no ar, como pólen, pelos de animais, cigarro e produtos químicos.45 Uma análise epidemiológica mostra que a rinite é uma doença muito comum, embora a sua prevalência varie significativamente entre os países. No Brasil, estima-se que a rinite alérgica, por exemplo, atinja em torno de 39% da população.46 As práticas mais eficientes no tratamento da rinite alérgica são: nebulizações, irrigações e pulverizações nasais com água quente termal sulfurosa. Outros tratamentos consistem em afastar as causas (no caso da rinite alérgica), terapia farmacológica (corticosteroides, anti-histamínicos e descongestionantes) e dessensibilização.47

A budesonida é um esteroide glicocorticoide (Figura 2), ou seja, que se liga com o receptor de cortisol. Esse fármaco é um agonista, que é capaz de se ligar a um receptor celular e ativá-lo provocando respostas biológicas.48 Entre elas, o controle da taxa de síntese proteica, inibindo a migração de leucócitos para os locais de inflamação e invertendo a permeabilidade dos capilares, controlando assim a inflamação. Desse modo, reduz e previne a inflamação local, como por exemplo, o inchaço da mucosa nasal.49 Sua estrutura esteroidal é semelhante ao do cortisol, e por isso se liga ao mesmo receptor. Observa-se na estrutura desse composto, alguns grupos essenciais aos glicocorticoides: uma cetona e uma ligação dupla no anel A, uma a-hidroxila em uma das cadeias laterais e um oxigênio ligado ao carbono no anel D. A ligação dupla adicional no anel A aumenta a atividade do fármaco. Observa-se também um centro quiral no anel D, embora tenham efeitos farmacológicos semelhantes e consequentemente comercializados na forma de uma mistura de epímeros, o isômero com esse carbono em R é cerca de três vezes mais potente que o S.49

 


Figura 2. Estrutura da budesonida

 

A budesonida (41) foi patenteada em 1975 por Brattsand e colaboradores, mas somente no ano 1981 obtiveram a permissão para vende-la como agente antialérgico.50 Os primeiros métodos de fabricação são citados pela "U.S. National Library of Medicine".51 A budesonida e outros glicocorticoides semelhantes foram descritos pela primeira vez em uma patente de aplicação que estava em nome da empresa Bofors, em 1976.52 Assim, esse fármaco (41) pode ser sintetizado a partir da 16α-hidroxiprednisolona (40), obtendo-se uma mistura de epímeros. O rendimento para essa conversão não foi relatado na patente, porém o mesmo processo para compostos semelhantes apresentou rendimentos na ordem de 79% (Esquema 7). Até 2016 eram relatadas 3 formas de obter a 16a-hidroxiprednisolona (40), todas partindo da prednisolona (39), em processos com várias etapas e baixíssimos rendimentos.53 O primeiro método (método I) acontece em etapas sequenciais de eliminação, oxidação, proteção, redução e uma etapa final para desproteção. O segundo método (método II), utiliza reações com ésteres cíclicos, hidrólise, acilação, eliminação e oxidação. No último método (método III), a predinisolona é diretamente convertida em 16α-hidroxiprednisolona (40) por um processo de fermentação biológica, com 13% de rendimento. Assim, não se sabe ao certo qual método é o mais utilizado, porém, é evidente que o principal desafio para os fabricantes desse fármaco, está na produção da 16α-hidroxiprednisolona (40).

 


Esquema 7. Obtenção da budesonida a partir da prednisolona

 

Alguns trabalhos publicados recentemente na literatura descrevem a obtenção de novos derivados budesonida. Alguns desses derivados apresentaram promissores efeitos anti-inflamatórios e maior solubilidade, contudo, as metodologias sintéticas são similares e partem de derivados de prednisolona.54,55

Doença de Parkinson

O mal de Parkinson é uma doença degenerativa crônica do sistema nervoso central, que afeta principalmente a coordenação motora. Os sintomas se manifestam de forma lenta e gradativa, iniciando com tremores, rigidez, lentidão de movimentos e dificuldade em caminhar, levando à problemas de raciocínio, problemas comportamentais, demência, entre outros.56 Acredita-se que as causas envolvam tanto fatores genéticos como fatores ambientais (ex. agrotóxicos, nitratos).57 Infelizmente, não existe cura para a doença de Parkinson, sendo o tratamento apenas paliativo, ou seja, visando melhorar a qualidade de vida do paciente.58 O tratamento inicial consiste geralmente na administração de medicamentos antiparkinsonianos e antidepressivos, além de reabilitação física e administração de agonistas da dopamina.56 Em alguns casos, microelétrodos de estimulação cerebral profunda (ECP) podem ser colocados no paciente via neurocirurgia, almejando controlar sintomas motores. Em 2015, a doença de Parkinson afetou 6,2 milhões de pessoas, tendo causado 117.000 mortes em todo o mundo.59 Ocorre em pessoas com idade superior a 60 anos, das quais cerca de 1% é afetada, sendo mais comuns entre homens.57,60

Como dito anteriormente, a síndrome de Parkinson caracteriza-se pelo déficit de dopamina no cérebro. A dopamina é um importante neurotransmissor que está envolvido em diversos processos como: cognição, compensação, prazer, humor, controle motor, entre outros.61 Assim, os medicamentos usados no tratamento desse mal possuem estruturas semelhantes à dopamina, conforme apresentado na Figura 3.

 


Figura 3. Estrutura da levodopa, carbidopa e benserazida

 

Levodopa

A levodopa é um fármaco, que no organismo é transformado em dopamina pela enzima dopa-descarboxilase (Figura 3).62 Contudo, a maior parte da dopamina obtida por meio desse processo de descarboxilação acaba acontecendo antes do fármaco atingir o sistema nervoso central, sendo assim, poucos ganhos terapêuticos e grandes efeitos colaterais periféricos são obtidos. Por causa disso, a levodopa normalmente não é administrada sozinha, mas sim combinada com a carbidopa ou com a benserazida, que atuam inibindo o metabolismo periférico da levodopa.

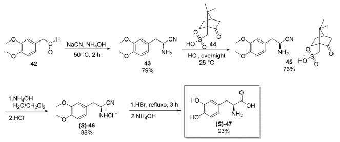
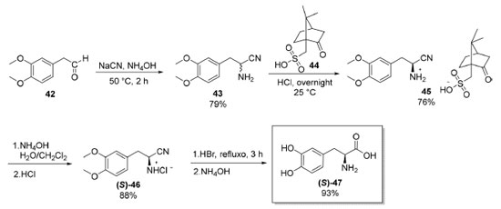
Diversas metodologias de síntese são descritas para a levodopa em artigos e patentes.39,40,63 No início dos anos 90, Cannata e colaboradores descreveram uma rota sintética com elevado rendimento e de grande valor industrial, por meio da síntese de aminoácidos de Strecker, conforme apresentado no Esquema 8.39 Nessa metodologia, a levodopa [(S)-47] é obtida a partir do 3,4-dimetoxifenilacetaldeído (42) em 4 etapas reacionais, com rendimento global de 49%. Na primeira etapa dessa síntese, por meio da uma reação de condensação entre o 3,4-dimetoxifenilacetaldeído (42) e cianeto de sódio (NaCN), a mistura racêmica do composto 43 é obtida. Na etapa seguinte, a resolução da mistura racêmica por meio da precipitação seletiva utilizando um sal do ácido D-canforsulfônico (44), leva a obtenção de 45. Na terceira etapa dessa metodologia, a base (S)-46 é obtida por meio do tratamento de 45 com NH4OH. Por fim, a levodopa [(S)-47] é obtida com 93% de rendimento por meio da hidrólise do grupo nitrila e desmetilação das metoxilas, através do tratamento de (S)-46 com solução aquosa de ácido bromídrico em refluxo, seguida do posterior ajuste do pH com NH4OH.40,63

 


Esquema 8. Síntese da levodopa descrita por Cannata e colaboradores

 

A levodopa também pode ser obtida a partir de produtos naturais, como o feijão de veludo. Contudo, metodologias de extração da levodopa a partir do feijão de veludo, apresentam rendimento inferiores a 2%, enfatizando a importância da metodologia sintética apresentada.64

Carbidopa e benserazida

A carbidopa e a benserazida inibem a L-aminoácido aromático descarboxilase (DDC), uma enzima responsável pela conversão da levodopa em dopamina.65 Estruturalmente, a levodopa, carbidopa e benserazida são bem semelhantes, apresentando a estrutura básica do catecol, ou seja, um anel benzênico com duas hidroxilas adjacentes (1,2-benzenodiol). No caso da benserazida observa-se uma hidroxila adicional (1,2,3-benzenotriol). Já na cadeia lateral dessas moléculas, encontra-se as maiores diferenças estruturais: na levodopa tem-se um aminoácido que é descarboxilado em sua ação, na carbidopa encontra-se um resíduo de hidrazina e na benserazida uma estrutura derivada de hidrazida.

Uma das metodologias sintéticas para a carbidopa, foi descrita por Sletzinger em 1963, onde o produto de interesse é obtido a partir da reação de Strecker e partindo da guaiacilacetona (48) como material de partida. Essa primeira rota sintética apresenta algumas desvantagens, a principal delas é a obtenção da carbidopa na sua forma racêmica, isso é, uma mistura equimolar dos enantiômeros R e S (Esquema 9A). Esse problema foi solucionado alguns anos depois por Karady e colaboradores, que baseados no trabalho de Sletzinger, desenvolveram uma metodologia aprimorada que levou à formação somente da (S)-carbidopa (Esquema 9B). A primeira etapa é a mesma para ambas as rotas sintéticas, e trata-se de uma reação entre guaiacilacetona (48) e cianeto de potássio em hidrazina aquosa, levando à obtenção de 49 com 62% de rendimento. Na Rota A, 49 é submetido a um processo de hidrólise em duas etapas, em que primeiramente é obtido uma amida (50), seguido pelo tratamento com HBr 48%, levando à obtenção da mistura racêmica da carbidopa (51) (Esquema 9). Já na rota B, a resolução da mistura racêmica é realizada através da cristalização diastereosseletiva de 49, a partir da reação entre cloreto de 1-mentoxiacetila (52) com 49, que na sequência é submetido a hidrólise com HCl, levando à formação da (S)-carbidopa [(S)-51], conforme observado no Esquema 9.40,66

 


Esquema 9. Metodologias de síntese para a carbidopa: (A) Obtenção de mistura racêmica (RS)-carbidopa e; (B) Resolução da mistura racêmica para obtenção da (S)-carbidopa

 

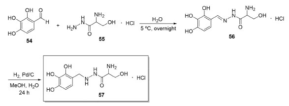
Já a síntese da benserazida (57) é relativamente simples, sendo obtida em apenas duas etapas e partindo de materiais de partida como o aldeído 54 (pirogalolaldeído ou 2,3,4-triidroxibenzaldeído) e 2-amino-3-hidroxipropanohidrazida (55). Na primeira etapa da síntese, o derivado de aldeído (54) e o derivado de hidrazida (55), são submetidos a uma reação de condensação, levando à formação de um derivado de N-acilidrazona (56). Na etapa seguinte e última dessa rota sintética, a N-acilidrazona é reduzida com H2 em Pd/C, formando assim a benserazida (57), conforme mostrado no Esquema 10.67 Existem outras metodologias de síntese para a benserazida, contudo, a grande maioria são similares à rota apresentada, variando apenas pelo uso de catalisadores, reatores, pressão, solventes e etc.68

 


Esquema 10. Síntese da benserazida

 

Osteoporose

Alendronato de sódio

Conhecida como a causa mais comum de fratura em idosos, a osteoporose se trata da degradação estrutural e diminuição da densidade mineral dos ossos, aumentando assim o risco de fraturas ósseas sem sintomas prévios.69 Pode ter uma série de origens, entre elas: menopausa, alcoolismo, doenças renais e hipertireoidismo. Além disso, o uso de certos medicamentos e alguns procedimentos, como remoção dos ovários, também pode causar osteoporose.70 Estima-se que 1 em cada 3 mulheres e 1 em cada 5 homens, com idade acima dos 50, desenvolvam osteoporose. Dados também indicam que há uma alta taxa de mortalidade relacionada aos primeiros seis meses da doença, como consequência de fraturas e por outros tipos de complicações.71 Exercícios físicos regulares e dieta com alimentos ricos em cálcio ajudam na prevenção. Além da administração de cálcio, tratamentos incluem o uso de bifosfonatos, reposições hormonais e uso de moduladores seletivos dos receptores de estrogênio (SERM).69

Na Figura 4 é apresentado o alendronato de sódio, um fármaco pertencente a classe dos bifosfonatos, que atua como inibidor específico da reabsorção óssea mediada por osteoclastos (células da matriz óssea que permitem a remodelação óssea).72 Sendo um aminobifosfonato, possui afinidade pela matriz óssea, que é constituída por vários componentes, entre eles o cálcio, fosfato e fibras colágenas. Os bifosfonatos estão quimicamente relacionados ao pirofosfato inorgânico, que é regulador endógeno da renovação óssea. No organismo, os bifosfonatos fixam-se na matriz óssea, na qual são captados pelos osteoclastos, inibindo sua ação. Seu mecanismo de ação ideal é por meio da deposição óssea na forma inativa, que está relacionado com quantidades suficientes de cálcio e vitamina D no organismo.73 Na estrutura química, o núcleo P-C-P (fósforo-carbono-fósforo) é essencial na atividade biológica e na ligação com a hidroxiapatita, onde os dois grupos fosfonatos atuam como "ganchos" se ligando aos ossos. A hidroxila adicional ligada ao carbono central, confere uma melhora na interação com a hidroxiapatita, enquanto a propilamina determina a potência antirreabsortiva do medicamento.

 


Figura 4. Estrutura do alendronato de sódio

 

O ácido alendrônico, que é precursor do alendronato de sódio, foi descrito pela primeira vez em 1978 e aprovado para uso médico nos Estados Unidos somente em 1995.74 O alendronato de sódio (60), é comumente preparado convertendo o ácido alendrônico (59) em sal de sódio, via reação com hidróxido de sódio. O ácido alendrônico (59) por sua vez, pode ser preparado a partir de ácido γ-aminobutírico (58) como descrito no Esquema 11A.75

 


Esquema 11. Sínteses do alendronato de sódio: (A) Metodologia de Masahiko Seki; B) "Reação contra-ataque"

 

O método de síntese mostrado no Esquema 11A, não é adequado para a escala industrial, pois uma mistura reacional altamente viscosa e com volume crescente é obtida, além disso, gases gerados e formação de sólido semelhante ao vidro após o resfriamento, impedem a têmpera eficaz pela água.76 Assim, até 1995, o único método relatado para a síntese de 1-hidroxibisfosfonatos mostrava características físicas extremamente ruins. Kieczykowsk e colaboradores mostraram uma maneira de contornar esse problema, utilizando ácido metanossulfônico para que a reação permanecesse fluída e com excelentes rendimentos. Outros grupos também trabalharam na solução desse problema, utilizando H3PO4/PCl5 ou POCl3, além de variar algumas condições da reação, como solvente e uso de irradiação micro-ondas.77-79

No início dos anos 2000, alguns grupos de pesquisa estudaram o uso fosfitos como agentes fosfonantes, com intuito de melhorar manuseio das misturas reacionais, no entanto o preço dos derivados fosfitos torna inviável a síntese em escala comercial.80 Uma metodologia eficiente foi desenvolvida em 2012, por meio da "reação de contra-ataque", conforme apresentado no Esquema 11B. A "reação de contra-ataque" acontece quando o grupo de saída participa novamente da reação, sendo assim eficiente em termos de economia atômica.81 Nessa metodologia, o composto 62 é preparado a partir do ácido 4-acetamidobutírico (61) em duas etapas, reação com cloreto de oxalila (C2Cl2O2) e com (MeO)3P. Na etapa seguinte, 63 pode ser obtido via reação contra-ataque, em que o Br- liberado do TMSBr participa novamente da reação, auxiliando a adição do (MeO)3P no composto 62. Na etapa seguinte, por meio da remoção dos grupos protetores via hidrolise ácida, o ácido alendrônico (59) é obtido, que pode então ser tratado com NaOH para obtenção do alendronato de sódio (60), com rendimento global de 70%.81

Hipercolesterolemia

Sinvastatina

O aumento da concentração de colesterol no sangue leva à doença conhecida como hipercolesterolemia.82 O transporte do colesterol no plasma é feito por lipoproteínas, que são classificadas de acordo com sua densidade, as principais e de maior concentração são: de baixa densidade (LDL, do inglês "Low Density Lipoproteins") e de elevada densidade (HDL, do inglês "High Density Lipoproteins").83 Enquanto uma maior concentração de HDL está associado a efeitos benéficos ao organismo, uma maior concentração de LDL apresenta risco acrescido de aterosclerose e doenças coronárias.84 Dados disponibilizados pela OMS, apontam que os elevados níveis de colesterol, causem aproximadamente 2,6 milhões de mortes no mundo. No Brasil, segundo dados da sociedade brasileira de cardiologia (SBC), cerca de 40% da população adulta apresenta quadro de colesterol alto (acima de 200 mg/dL).85 As causas para essa condição, incluem má alimentação e falta de exercícios regulares, além de fatores genéticos e outras doenças preexistentes, como diabetes, renais, entre outras. Anticoncepcionais, diuréticos, glicocorticoides, β-bloqueadores e ácido retinóico, são medicamentos que também provocam o aumento da concentração de LDL no sangue.86 O tratamento inicial inclui dieta, atividades físicas e perda de peso, porém mesmo assim, em alguns casos pode ser necessário a administração de medicamentos, como estatinas, fibratos, inibidores da captação de colesterol no intestino e suplementação com ômega 3, visando uma eficiente diminuição nos níveis de LDL.82

A sinvastatina pertence ao grupo das estatinas (Figura 5).87 Estruturalmente, a sinvastatina possui um anel lactônico inativo, que após a ingestão é hidrolisada a um metabólito β-hidroxiácido (composto orgânico contendo uma hidroxila e um grupo carboxila), o qual tem atividade inibidora da enzima HMG-CoA, reduzindo assim os níveis de colesterol LDL e triglicerídeos.88 Ainda na estrutura, além do anel lactônico que é aberto após a hidrólise, também observa-se um éster na cadeia lateral (dimetilbutanoato) e dois anéis condensados hexaidronaftaleno.89

 


Figura 5. Estrutura da sinvastatina e mecanismo de hidrólise

 

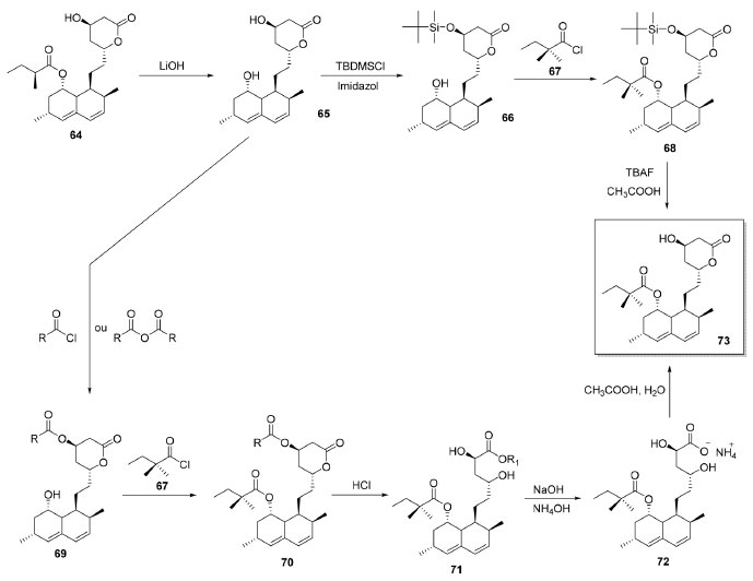
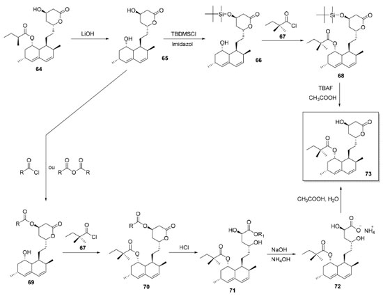
Em 1976, Akira Endo isolou o primeiro inibidor da enzima HMG-CoA redutase, a mevastatina, a partir do fungo Penicillium citrinium.90 Já no ano de 1979, Hoffman e colegas isolaram a lovastatina de uma cepa do fungo Aspergillus terreus. No estudo da lovastatina, cientistas da Merck & Co desenvolveram a sinvastatina, que é derivado sintético do produto de fermentação do mesmo fungo, porém mais potente.91 Sendo assim, a sinvastatina é um composto semissintético.92 São conhecidas três metodologias básicas para a síntese da sinvastatina: modificação da lovastatina em sinvastatina, método de fermentação e conversão biocatalítica da lovastatina em sinvastatina. Dentre essas metodologias, a modificação sintética da lovastatina é a mais utilizada comercialmente (Esquema 12), onde uma metila adicional é adicionada no carbono α do éster presente na cadeira lateral da lovastatina. Na primeira etapa dessa metodologia, a lovastatina (64) é desesterificada por meio do hidróxido de lítio, formando o diol 65. Esse composto é precursor na síntese por duas vias, contudo, ambas dependem da proteção da hidroxila que está no fragmento do anel lactônico, seguido de uma esterificação com cloreto de acila e desproteção dessa hidroxila. Na rota A, durante a primeira etapa, a hidroxila do anel lactona é protegida com TBDMS (t-butil-dimetilsilano), levando a formação do composto 66. Na etapa seguinte, 68 é obtido por meio da reação de esterificação de 66 com cloreto de 2,2-dimetilbutanoila (67). Na última etapa da rota A, a sinvastatina (73) é obtida por meio da remoção do TBDMS do composto 68. Já na rota B, primeiramente, o grupo OH da lactona é protegido por meio da reação com haleto de acila ou anidrido, levando a formação de 69. Na sequência, 69 é transformado em 70 por meio da esterificação com 67. Nas etapas seguintes, a sinvastatina (73) é obtida após a desproteção da hidroxila (71) e ciclização (72) do anel lactônico.

 


Esquema 12. Obtenção da sinvastatina por meio da modificação da lovastatina

 

Ainda é possível a obtenção da sinvastatina por meio da alquilação direta da cadeia lateral do 2-metilbutirato, contudo, mesmo com rendimento alto em menor número de etapas, o uso de substâncias pirofóricas (ex. n-butillitio), além da obtenção de muitos subprodutos, torna essa opção desvantajosa.90

Glaucoma

Maleato de timolol

O glaucoma é uma designação genérica para um grupo de diversas doenças oculares, que causam danos ao nervo óptico e a perda de visão permanentemente.93 O glaucoma de ângulo aberto é o mais comum (mais de 90% dos casos),93,94 mas também existe o de ângulo fechado e o de pressão normal. Além do histórico familiar, as causas incluem: aumento da pressão intraocular (PIO), enxaqueca, diabetes, hipertensão arterial, obesidade, entre outras.95 É estimado que cerca de 67 milhões de pessoas sofram de glaucoma em todo o mundo, sendo a segunda maior causa de cegueira, atrás apenas da catarata.96 No Brasil, estima-se que 900 mil pessoas são afetadas pela doença.96,97 Pessoas com histórico familiar de glaucoma têm cerca de 6% de chance de desenvolver a doença. Com tratamento precoce, é possível frear ou retardar a evolução da doença, por meio do uso de medicamentos como: β-bloqueadores, prostaglandinas, prostamidas, agonistas α-2, agentes mióticos parassimpatomiméticos, inibidores da anidrase carbônica (IAC) e agentes osmóticos. Além disso, com o objetivo de reduzir a PIO, pode ser realizado tratamento a laser ou cirurgia.93,98

O timolol, assim como os outros medicamentos anti-hipertensivos apresentados anteriormente, é considerado um antagonista adrenérgico dos receptores β-adrenérgicos (β1 e β2, não seletivo). É administrado na forma de colírio e visa diminuir a pressão intraocular,99 apresentando para esse fim, efeito muito mais potente que o propranolol.100 O mecanismo de ação desse medicamento se dá na redução da formação do humor aquoso, que é um líquido incolor que preenche as câmaras oculares, constituído por 98% de água e o restante por sais dissolvidos, especialmente NaCl.101 O (S)-timolol é mais ativo que seu enantiômero R, sendo, portanto, comercializado na configuração mais ativa e na forma de sal de maleato (Figura 6). Estruturalmente observa-se um anel morfolina, um anel tiadiazol e uma cadeia lateral semelhante ao visto anteriormente para o propranolol e atenolol, exceto apenas pela presença da t-butilamina ao invés da isopropilamina, como observado nos hipertensivos.27,102

 


Figura 6. Estrutura do maleato de timolol

 

Umas das primeiras rotas sintéticas para o (S)-timolol foi descrita por Weinstock e colaboradores no início da década de 70 (Esquema 13).103 Nessa metodologia o (S)-timolol é obtido a partir de um precursor opticamente ativo, o (R)-gliceraldeído [(R)-77], com rendimento global de 30%. Na primeira etapa dessa reação, o composto (S)-78, é obtido a partir do tratamento do (R)-gliceraldeído [(R)-77] com H2/Pd e t-butilamina. Na etapa seguinte, o (S)-timolol [(S)-79], é obtido a partir da condensação entre [(S)-78] e 76, na presença de t-butóxido de potássio. O composto 76 pode ser sintetizado previamente, a partir da reação entre 3,4-dicloro-1,2,5-tiadiazol (74) e morfolina (75). O maleato de (S)-timolol (80), pode ser obtido a partir do tratamento do (S)-timolol, com ácido maleico.103

 


Esquema 13. Síntese maleato de (S)-timolol

 

Existem diversas outras rotas sintéticas para o (S)-timolol, e a grande maioria delas utilizam derivados de epóxido (epicloridrina e glicidol) ou substâncias quirais como materiais de partida.103,104 Em rotas mais recentes, é possível observar o uso de biocatalisadores e da síntese assimétrica na obtenção do maleato de (S)-timolol.104,105

Asma

A asma é uma condição crônica das vias aéreas, que limita o fluxo de ar por broncoconstrição, através da inflamação e produção de muco, provocando sensação de aperto no peito, tosse e dificuldade respiratória. Entre os fatores desencadeantes mais comuns, estão os alergênicos como ácaros, pólen e pelo de animais, além dos fatores ambientais, como fumaça de cigarro, poluição, gases e uso de fármacos.106 Segundo a OMS, mais de 230 milhões de pessoas vivem com asma no mundo.107 Já no Brasil, a estimativa é de que existam 6,4 milhões de asmáticos maiores de 18 anos.108 A doença não tem cura, porém, é possível obter controle dos sintomas, evitando exposição aos fatores desencadeantes e fazendo uso de medicação, seja de alivio rápido como bronco dilatadores e β-agonistas inalatórios de curta duração (SABA),109 ou de ação preventiva a longo prazo, como anti-inflamatórios β-agonistas inalatórios de longa duração (LABA).110 Casos mais graves utilizam corticosteroides intravenosos e sulfato de magnésio.

Beclometasona

A beclometasona é um esteroide, um glicocorticoide que faz parte do mecanismo de feedback no sistema imunológico, reduzindo alguns aspectos da função imunológica, como por exemplo a inflamação.111 Ela atua exclusivamente sobre as estruturas da árvore respiratória. A beclometasona é administrada na forma do pró-farmaco dipropionato de beclometasona, que no organismo é rapidamente convertido no metabólito ativo. Na estrutura mostrada na Figura 7, se observa os dois substituintes propionato que conferem a lipofilicidade para a molécula, auxiliando na permeabilidade celular e solubilidade in vivo. No núcleo esteroidal, a ligação dupla adicional no anel A é importante para o aumento da atividade como glicocorticoide (GC), assim como o cloro, a hidroxila e a metila no anel D, que diminuem a atividade mineralocorticoide (MC).111

 


Figura 7. Estrutura do beclometasona, sulfato de salbutamol e brometo de ipratrópio

 

O dipropionato de beclometasona foi patenteado pela primeira vez em 1962 e utilizado clinicamente somente em 1972.64,112 Sua aprovação para uso médico nos Estados Unidos aconteceu em 1976.111 A síntese acontece em 4 etapas partido do composto 81. Na primeira etapa, o composto 81 é transformado no composto 83, por meio de uma reação eliminação de H2O na presença de cloreto de metanosulfonila (82). Na etapa seguinte, por meio do tratamento de 83 com NCS (N-clorossuccinimida), ácido perclórico (HClO4) e água, a cloridrina 84 é obtida. Na sequência, a beclometasona (86) é obtida após hidrólise do éster da cadeia lateral de 84, na presença do 3-cloropropano-1,2-diol (85) e HClO4 em meio alcoólico, conforme mostrado no Esquema 14. O dipropionato de beclometasona (88), pode ser obtido através do tratamento de 86 com anidrido propiônico (87).64,113 Os rendimentos reacionais não estão descritos na patente.

 


Esquema 14. Síntese da beclometasona

 

Além de estratégias que visem modificações estruturais na síntese de fármacos, pesquisadores e indústrias farmacêuticas ao longo dos anos, também têm se preocupado em diminuir efeitos colaterais, modificando o meio de aplicação de muitos medicamentos. Historicamente, o tratamento da asma causou muitos efeitos colaterais indesejáveis, como: edemas, osteoporose, glaucoma e retardo de crescimento. A introdução do dipropionato de beclometasona no tratamento tópico da asma foi uma descoberta revolucionária,114 pois a administração local permitiu reduzir bastante a dose do fármaco e consequentemente diminuir efeitos colaterais. Assim, as pesquisas atuais, visam a preparação de derivados de beclometasona que possam apresentar menos efeitos indesejados, por meio da modificação de características como solubilidade e tamanho de partícula, por exemplo.115

Salbutamol

O salbutamol é um agonista dos receptores adrenérgicos β2, que são aqueles predominantes nos músculos lisos brônquicos. A ativação desses receptores conduz um efeito cascata, que diminui contrações musculares, inibe células inflamatórias nas vias aéreas e aumenta a condutância dos canais sensíveis aos íons cálcio e potássio, levando, consequentemente, ao relaxamento dos músculos lisos dos brônquios.116 O salbutamol é vendido como uma mistura racêmica, ou seja, em quantidades iguais dos dois enantiômeros R e S.117 Na Figura 7, podemos ver o centro quiral dessa molécula, no qual a hidroxila ligada a tal carbono diminui a atividade no Sistema Nervoso Central (SNC). Já o grupo t-butil tem como função tornar esse composto mais seletivo aos receptores β2 dos músculos bronquiais. O anel benzênico apresenta três substituições, sendo que duas delas, a hidroxila e a hidroximetila, são responsáveis por ligações de hidrogênio, conferindo maior estabilidade na interação com a enzima catecol-o-metiltransferase, uma importante enzima que degrada as catecolaminas (dopamina, adrenalina, noradrenalina).102

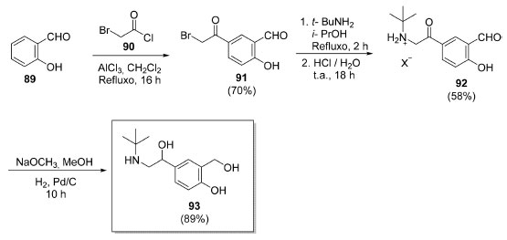
O salbutamol, também conhecido por albuterol, foi descoberto em 1966 pela equipe de David Jack na Inglaterra e lançado como Ventolin em 1969. Muito recentemente, em abril de 2020, durante uma alta demanda por albuterol, causado pelo novo coronavírus, o FDA (Food and Drug Administration) aprovou o primeiro genérico de sulfato de albuterol formulado para inalação, mostrando que mesmo IFAs descobertos há muito tempo, ainda são estudados em novas formulações.118 As metodologias tradicionais de síntese desse fármaco partem do ácido salicílico ou derivados, por meio de reações de alquilação, acetilação, halogenação, substituição nucleofílica aromática, hidrólise e redução.43,119 Ao longo dos anos, várias outras metodologias sintéticas foram reportadas, aqui será destacada a síntese realizada por Babad e colaboradores, na qual o salbutamol (93) foi obtido em uma curta rota sintética, com rendimento global de 36% (Esquema 15).120 Na primeira etapa dessa reação, por meio de uma acilação de Friedel-Crafts com o cloreto de bromoacetila (90), o salicilaldeído (89) é convertido no composto 91. Na sequência, após reação com t-butilamina e tratamento com HCl, o composto 92 é obtido, com rendimento de 58% em duas etapas reacionais. O intermediário dessas 2 etapas é um derivado de base de Schiff, que se forma através da condensação entre o aldeído e a t-butilamina, contudo, o grupo -CHO é regenerado após hidrólise da imina com HCl. Na última etapa, após uma redução com H2 e Pd/C, o sulbatamol (93) é obtido.120

 


Esquema 15. Síntese de salbutamol

 

Diversos estudos na literatura descrevem metodologias sintéticas estereosseletivas,121-123 visando a obtenção do isômero R do salbutamol, já que possui maior atividade se comparado ao seu enantiômero. Nesse sentido, podemos destacar a patente depositada por Kreye e colaboradores em 2006, na qual o R-Salbutamol foi obtido com 56% de rendimento global e 70% de excesso enantiomérico.123 Nessa metodologia, partindo de um derivado de benzofenona, a salbutamona é obtida em duas etapas. A salbutamona é similar ao salbutamol, exceto pela presença de uma carbonila no lugar da hidroxila. Na última etapa de síntese, a salbutamona é transformada em salbutamol, por meio de uma hidrogenação assimétrica da carbonila, na presença de ródio e um ligante quiral de fosfina bidentado.123

Brometo de ipratrópio

O brometo de ipratrópio é um medicamento broncolítico anticolinérgico, que inibe os receptores de acetilcolina, um importante neurotransmissor do SNC. O fármaco atua como bloqueador não seletivo dos receptores muscarínicos no pulmão, inibindo a broncoconstrição e a produção de muco nas vias aéreas.124 O ipratrópio é um derivado sintético da atropina, porém, sua amina quaternária faz com que não atravesse a barreira hemato-encefalica, o que previne reações adversas no SNC. Em sua estrutura, observa-se o biclico tropano característico de certos alcaloides. O brometo aqui é um contra-íon para a amina quaternária. No restante da estrutura observa-se um carbono quiral ligado a um éster, uma hidroximetila e um anel aromático fenila.125

A primeira síntese do brometo de ipratrópio (95) data de 1970, onde foi obtido a partir da metilação, com brometo de metila, da N-isopropilnoratropina (94), conforme mostrado no Esquema 16.43 Derivados de noratropina, constituintes de várias plantas solanáceas, foram sintetizados no início da década de 60 por Nador e colaboradores.126,127 O derivado de noratropina usado na síntese do brometo de ipratrópio, o N-isopropilnoratropina (94), pode ser obtido a partir de 96 e 97 (Esquema 16), em 4 etapas. Na primeira etapa, o composto 98 pode ser obtido por meio de uma reação de condensação entre 96 e 97. Na sequência, por meio de uma hidrolise ácida, o grupo acetil é removido levando a formação do composto 99. Para a obtenção de 100, o grupo protetor Cbz (cloroformato de benzila) é removido, por meio de uma clivagem hidrogenolítica. Em seguida, 100 pode ser submetido a uma N-alquilação para adição do grupo isopropila e obtenção do N-isopropilnoratropina (94).43,126,127

 


Esquema 16. Síntese de brometo de ipratrópio

 

Diabetes

A diabetes mellitus, ou simplesmente diabetes, faz parte de um grupo de doenças metabólicas no qual os níveis de glicose no sangue se encontram elevados por um longo período. Caso não tratada, a diabetes pode levar a diversas complicações, como doenças cardiovasculares, renais, cegueira, úlceras e até morte.128 Os sintomas incluem polaquiúria (frequente necessidade de urinar), polidipsia (sede) e polifagia (fome).129 Essa condição se divide em três tipos: a mellitus tipo 1, resultado da produção insuficiente de insulina pelo pâncreas; a mellitus tipo 2, que apresenta resistência à insulina e consequentemente não respondem adequadamente a ela; e, por fim, a diabetes gestacional, em que os níveis de glicose no sangue aumentam durante a gravidez.130 Esses tipos de diabetes são causados por vários fatores, que envolvem defeitos genéticos, e até mesmo fatores relacionados a alimentação. No tratamento e prevenção dessa doença estão incluídos: dietas saudáveis, atividades físicas e perca de peso. Insulina injetável e hipoglicemiantes orais, como metformina e glibenclamida, são exemplos de medicamentos utilizados no tratamento dessa doença. Sendo que, somente a metformina e a glibenclamida (Figura 8) constam na lista de medicamentos essenciais da organização mundial da saúde (OMS).131 Pesquisas indicam que em 2018, mais de 463 milhões de pessoas em todo o mundo tinham diabetes, um aumento de 38 milhões, se comparado aos números do ano anterior. A federação internacional de diabetes, estima que em 2030, poderemos ter 578 milhões de diabéticos em todo o mundo. No Brasil, com base nos dados da federação internacional de diabetes, existem cerca de 16 milhões de casos. Dados mostram, ainda, que a diabetes está na lista das cinco doenças de maior índice de morte no mundo.132

 


Figura 8. Estrutura do cloridrato de metformina e glibenclamida

 

Metformina

A metformina pertence à classe das biguanidas, sendo o antidiabético mais usado no Brasil.10 Apesar dos benefícios terapêuticos conhecidos, o mecanismo de ação, incluindo os alvos moleculares desse medicamento, ainda continuam incertos. Muitos estudos já propuseram mecanismos para compreensão dos alvos moleculares,133,134 todavia, o que se tem certo, é que seu uso faz com que haja diminuição da absorção dos carboidratos no trato gastrointestinal, redução da produção de glicose pelo fígado e aumento da captação da glicose periférica, melhorando assim a ligação do hormônio insulina com seus receptores.135 Sua forma comercial é o cloridrato de metformina (Figura 8), no qual podemos observar uma metilbiguanidina assimétrica. Diferente da glibenclamida, essa classe de moléculas não afetam a liberação de insulina.

Em 1918, um medicamento fitoterápico oriundo da planta Galega officinalis, muito tradicional na Europa, considerado rico em guanidina, demonstrou reduzir a glicose no sangue.136 Assim, derivados como a metformina foram sintetizados a partir de 1920. A primeira síntese da metformina relatada, foi realizada por Werner e Beel em 1922.137 Mais tarde, tais compostos caíram em desuso, por conta da toxicidade e do aumento da disponibilidade de insulina. Porém, em 1940, a metformina retornou à cena, quando cientistas encontraram nesse fármaco uma opção eficaz para o tratamento da malária, além de também diminuir a glicemia dos pacientes. Em 1957, Jean Sterne relatou o primeiro uso da metformina no tratamento de diabetes, contudo, somente em 1995 ela foi introduzida no mercado norte americano.136

Em uma de suas sínteses, o cloridrato de metformina (103) é preparado a partir da reação entre cloridrato de dimetilamina (101) e diciano diamida (102), à 120-140 °C durante 4 horas, obtendo o produto de interesse com 69% de rendimento.138 Apesar dessa síntese fornecer o cloridrato de metformina com bons rendimentos, novas metodologias ainda são estudadas. Em 2008, Shalmashi e colaboradores otimizaram as condições da reação descrita anteriormente, obtendo o cloridrato de metformida (103) com auxílio de micro-ondas, em uma metodologia verde, versátil, simples e econômica. Nessa metodologia, o cloridrato de metformida (103) é obtido com 92% de rendimento em apenas 5 minutos, utilizando micro-ondas em 540 W, partindo dos mesmos materiais de partida, cloridrato de dimetilamina (101) e diciano diamida (102) (Esquema 17).139

 


Esquema 17. Síntese de metformina por Anvar Shalmashi

 

Um dos problemas da administração oral dos comprimidos de metformina é a solubilidade, sendo necessária a administração de altas doses para obtenção da eficácia desejada. Nesse sentido, diversos estudos são performados com intuído de melhorar essa característica, alterando por exemplo, o contra-íon da metformina.140 Outros estudos buscam a modificação estrutural da metformina, visando uma melhor eficácia na redução dos níveis de glicose no sangue.141

Glibenclamida

A glibenclamida faz parte da classe das sulfoniluréias de segunda geração.130,142,143 Em seu mecanismo de ação, o fármaco estimula as células (β) funcionais no pâncreas, fazendo com que haja a secreção de insulina endógena. Assim, a concentração de glicose no sangue é diminuída. Junto a esse efeito, também há a redução da gluconeogênese (produção hepática de glicose) e o aumento da capacidade de resposta à insulina.130,142,143 Em sua estrutura (Figura 8) observa-se o grupo sulfonilureia, que é essencial para ligação do fármaco com os receptores biológicos. Adjacente ao grupo sufoniluréia, observa-se um ciclohexanil, que é lipofílico e responsável pela eficácia na internalização celular, sendo que os melhores efeitos são observados quando substituintes volumosos com menos de 12 carbonos estão nessa posição. Na outra extremidade da molécula, podemos ver um anel 4-cloroanisol, isso é, um benzeno com uma metoxila e um átomo de cloro em posições opostas no anel. O grupo metoxi (-CH3O) e o cloro aumentam a afinidade de ligação e a secreção de insulina.144 Para obter uma maior eficiência do fármaco, é sabido que deve existir uma certa distância entre o nitrogênio da sulfonilureia e o nitrogênio da amida vizinha ao anisol substituído.145

A glibenclamida foi desenvolvida em 1966, em um estudo cooperativo entre Boehringer Mannheim (atualmente membro da Roche) e Hoechst (atualmente membro da Sanofi-Aventis).142 Ao longo dos primeiros anos após a descoberta, vários procedimentos foram patenteados para a síntese da glibenclamida (115) e seus intermediários.146 Um dos exemplos mais tradicionais envolvem a reação descrita no Esquema 18 (Rota A).147 Em outra das metodologias sintéticas da glibenclamida (115), parte-se de um derivado N-acetilado de feniletilamina (Esquema 18, rota B).148 Contudo, o precursor do fármaco (110) e a última etapa de cada uma dessas rotas são iguais. Na rota A, o precursor 110 é preparado a partir de 5 etapas. Na primeira etapa, por meio da cloração do anel aromático de 104, o composto 105 é obtido. Com auxílio do cloreto de tionila (SOCl2), a hidroxila do composto 105 é substituída por um átomo de cloro, levando à formação do composto 106. Por meio da amidação entre o cloreto de acila 106 e a amina 107, em meio alcalino, o composto 108 é obtido. Na etapa seguinte, o cloreto de sulfonila 109 é obtido através do tratamento de 108 com ácido clorossulfônico (HSO3Cl). Na última etapa da rota A, o precursor 110 é obtido após a reação com NH4OH/NH3, em que o átomo de cloro do grupo sulfonila é substituído por -NH2, levando à formação de uma sulfonamida. Na rota B, o percussor 110 é obtido em menos etapas, onde na primeira delas, o grupo sulfonamida é adicionado ao composto 111, para formação de 112. Por meio da reação de amidação entre 112 e 113, o precursor 110 é obtido. Na última etapa, que é comum para ambas as rotas, a glibenclamida (115) é obtida por meio da reação entre 110 e isocianatociclohexano (114).

 


Esquema 18. Síntese de glibenclamida

 

Em artigos publicados recentemente na literatura, podemos encontrar estudos envolvendo a glibenclamida, em que cocristais e modificações estruturais foram realizados, almejando melhorar a eficácia do medicamento.149,150 Outro exemplo recente e interessante sobre pesquisas envolvendo a glibenclamida foi publicado em 2015, quando foi relatada pela primeira vez a produção de um polímero impresso com glibenclamida, visando o reconhecimento molecular em amostras biológicas.151

 

CONSIDERAÇÕES FINAIS

Nas últimas décadas, certas doenças passaram a ser cada vez mais comuns na população, ao passo que, felizmente, as pessoas também obtiveram maior acesso ao tratamento dessas doenças, devido a menores preços, acessibilidade e programas de saúde populacional, como o "Farmácia Popular". É importante enfatizar que o diagnóstico precoce dessas doenças, aliado à maior acessibilidade aos medicamentos, promovem tratamentos mais eficazes, evitando complicações e até mesmo a morte. Nesse contexto, universidades, centros de pesquisa e indústrias farmacêuticas, são de extrema importância nessa evolução, por trazerem inovações, genéricos e modificações sintéticas, que podem levar a reduções nos preços dos medicamentos, tornando-os mais acessíveis à população. Além do mais, é preciso destacar, também, que as rotas sintéticas vêm evoluindo e sanando problemas encontrados em metodologias mais antigas, como baixos rendimentos, tempos reacionais longos, baixa enantiosseletividade, solventes e reagentes perigosos e/ou caros. Portanto, fica claro que a tendência são metodologias que façam uso dos princípios da química verde, síntese assimétrica, uso de ferramentas computacionais, fluxo contínuo, entre outras abordagens, que busquem metodologias inovadoras para o desenvolvimento de novas drogas e melhoria das propriedades daquelas já conhecidas.

 

AGRADECIMENTOS

O trabalho foi apoiado pela Fundação de Amparo à Pesquisa do Estado de São Paulo (FAPESP) (Proc. 2015 / 00615-0, 2018 / 10112-4 e 2018 / 14506-7), Conselho Nacional de Desenvolvimento Científico e Tecnológico ( CNPq) (Proc. 302769 / 2018-8), Coordenação de Aperfeiçoamento de Pessoal de Nível Superior (CAPES) e Pró-Reitoria de Pesquisa (PROPe-UNESP).

 

REFERÊNCIAS

1. https://ncdalliance.org/sites/default/files/resource_files/WHOProgressMonitor2017.pdf, acessada em Abril 2021; Almeida, A. T. C. D.; Sá, E. B. D.; Vieira, F. S.; Benevides, R. P. D. S.; Rev. Saúde Pública 2019, 53, 20.

2. https://bvsms.saude.gov.br/bvs/publicacoes/acesso_medicamentos_alto_custo_americas.pdf, acessada em Abril 2020; Boing, A. C.; Bertoldi, A. D.; Boing, A. F.; Bastos, J. L.; Peres, K. G.; Cadernos de Saúde Pública 2013, 29, 691; Drummond, E. D.; Simões, T. C.; Andrade, F. B. D.; Revista Brasileira de Epidemiologia 2018, 21, e180007; Melo, D. O. D.; Ribeiro, E.; Storpirtis, S.; Rev. Bras. Cienc. Farm. 2006, 42, 475; https://biblioteca.ibge.gov.br/index.php/biblioteca-catalogo?view=detalhes&id=73097, acessada em Maio 2021.

3. https://bvsms.saude.gov.br/bvs/publicacoes/PROGRAMA_FARMACIA_POPULAR.pdf, acessada em Maio 2021.

4. Beaglehole, R.; Bonita, R.; Lancet 1998, 351, 590.

5. Fauci, A. S.; Touchette, N. A.; Folkers, G. K.; The International Journal of Risk & Safety in Medicine 2005, 17, 157; Malta, D. C.; Andrade, S. S. C. D. A.; Oliveira, T. P.; Moura, L. D.; Prado, R. R. D.; Souza, M. D. F. M. D.; Revista Brasileira de Epidemiologia 2019, 22, e190030.

6. Silva, R. M. D.; Caetano, R.; Ciência & Saúde Coletiva 2015, 20, 2943.

7. https://www.interfarma.org.br/public/files/biblioteca/guiainterfarma-2019-interfarma2.pdf, acessada em Maio 2020.

8. https://bvsms.saude.gov.br/bvs/publicacoes/colec_progestores_livro7.pdf, acessada em Maio 2021.

9. Andricopulo, A. D.; Montanari, C. A.; Mini-rev. Med. Chem. 2005, 5, 585.

10. https://www.gov.br/anvisa/pt-br/centraisdeconteudo/publicacoes/medicamentos/publicacoes-sobre-medicamentos/anuario-estatistico-do-mercado-farmaceutico-2018.pdf/view, acessada em Maio 2021

11. Pereira, D. G.; Quim. Nova 2007, 1, 171; Barreiro, E. J.; Fraga, C. A. M.; Barreiro, E. J.; Fraga, C. A. M.; Química Medicinal: As Bases Moleculares da Ação dos Fármacos, 1st ed., Artmed: Porto Alegre, 2001.

12. Golan, D. E.; Tashjian, A. H.; Armstrong, E. J.; Armstrong, A. W.; Princípios de Farmacologia: A Base Fisiopatológica da Farmacoterapia, 3rd ed., Guanabara Koogan: Rio de Janeiro, 2009.

13. Teixeira, M. B.; Parise, M. C. P.; Filho, R. P.; Rev. Cienc. Farm. Basica Apl. 2013, 34, 223; Chung, M. C.; Ferreira, E. I.; Quim. Nova 1999, 1, 75; Pereira, D. G.; Quim. Nova 2007, 30, 171; Blau, L.; Menegon, R. F.; Chung, M. C.; Quim. Nova 2006, 29, 1307.

14. Jayakumar, R.; Vadivel, R.; Ananthi, N.; Organic & Medicinal Chemistry International Journal 2018, 5, 1; Orlando, R. M.; Rev. Eletronica Farm. 2007, 4, 8; Lima, V. L. E.; Quim. Nova 1997, 20, 657; Barreiro, E. J.; Ferreira, V. F.; Costa, P. R.; Quim. Nova 1997, 20, 647.

15. Serajuddin, A. T.; Adv. Drug Delivery Rev. 2007, 59, 603; Rocha, A. B.; Kuminek, G.; Machado, T. C.; Juliana Rosa, I.; Rauber IV, G. S.; Borba, P. A.; Cardoso, S. G.; Quim. Nova 2016, 39, 1112; Fangueiro, J. F.; Marques, I. R.; Severino, P.; Santana, M. H. A.; Souto, E. B.; Quim. Nova 2012, 35, 1848; Glanzner, A. L.; Silva, D. M. Revista Átomo 2010, 8, 1.

16. Lackland, D. T.; Weber, M. A.; Can. J. Cardiol. 2015, 31, 569; https://www.who.int/cardiovascular_diseases/publications/atlas_cvd/en/, acessada em Maio 2021; Doggrell, S. A.; Expert Opin. Pharmacother. 2018, 19, 163.

17. Poulter N. R.; Prabhakaran D.; Caulfield M.; Lancet 2015, 386, 801; Carretero, O. A.; Oparil, S.; Circulation 2000, 101, 329.

18. Whelton, P. K.; Carey, R. M.; Aronow, W. S.; Casey, D. E.; Collins, K. J.; Himmelfarb, C. D.; MacLaughlin, E. J.; J. Am. Coll. Cardiol. 2018, 71, e127; Mancia, G.; Fagard, R.; Narkiewicz, K.; Redon, J.; Zanchetti, A.; Bohm, M.; Galderisi, M.; J. Hypertens. 2013, 31, 1281.

19. https://www.who.int/news-room/fact-sheets/detail/hypertension, acessada em Maio 2021; https://www.saude.gov.br/noticias/agencia-saude/45446-no-brasil-388-pessoas-morrem-por-dia-por-hipertensao, acessada em Maio 2021.

20. Klarenbach, S. W.; McAlister, F. A.; Johansen, H.; Tu, K.; Hazel, M.; Walker, R.; Can. J. Cardiol. 2010, 26, e158.

21. Perez, D. M.; The Adrenergic Receptors In the 21st Century, 1st ed., Humana Press: New Jersey, 2006.

22. Santulli, G.; Adrenal Glands: From Pathophysiology to Clinical Evidence, 1st ed., Nova Science Publishers: New York, 2015.

23. Bradley, H. A.; Volmink, J.; Mayosi, B. M.; Opie, L. H.; Wiysonge, C. S.; Cochrane Database of Systematic Reviews (2017), doi:10.1002/14651858.CD002003.pub5; Brunton, L. L.; Hilal-Dandan, R.; Knollmann, B. C.; As Bases Farmacológicas da Terapêutica de Goodman e Gilman, 13th ed., Artmed: Porto Alegre, 2018; Abrahamsson, T.; Ek, B.; Nerme, V.; Biochem. Pharmacol. (Amsterdam, Neth.) 1988, 37, 203; Salazar, N. C.; Chen, J.; Rockman, H. A.; Biochim. Biophys. Acta, Biomembr. 2007, 1768, 1006; Priest, B. T.; McDermott, J. S.; Channels (Austin, Tex.) 2015, 9, 352; Billington, C. K.; Penn, R. B.; Respir. Res. 2003, 4, 1.

24. Barrett, A. M.; Carter, J.; Hull, R.; Le Count, D. J.; Squire, C. J.; US pat. 3,663,607 1972; Chenier, P. J.; Survey of Industrial Chemistry, 3rd ed., Springer: New York, 2012.

25. Akisanya, J.; Parkins, A. W.; Steed, J. W.; Org. Process Res. Dev. 1998, 2, 274.

26. Katzung, B. G.; Basic and Clinical Pharmacology, 14th ed., McGraw Hill: New York, 2017.

27. Mehvar, R.; Brocks, D. R.; J. Pharm. Pharm. Sci. 2001, 4, 185; Gorre, F.; Vandekerckhove, H.; Acta Cardiol. 2010, 65, 565; Lechat, P.; Hot Top. Cardiol. 2008, 10, 7; Lemke, T. L.; Williams, D. A.; Roche, V. F.; Zito, S. W.; Foye's Principles of Medicinal Chemistry, 6th ed., Lippincott Williams & Wilkins: Philadelphia, 2008; Gringauz, A.; Muller, G.; Angew. Chem. 1997, 109, 2484.

28. Al-Majed, A. A.; Bakheit, A. H.; Aziz, H. A. A.; Alajmi, F. M.; AlRabiah, H.; Profiles Drug Subst., Excipients, Relat. Methodol. 2017, 42, 287.

29. Inkum, R.; Teerawutgulrag, A.; Puangsombat, P.; Rakariyatham, N.; Maejo Int. J. Sci. Technol. 2012, 6, 372; Singh, N.; Kumar, A.; Singh, R.; J. Chem. Pharm. Res. 2012, 12, 5111; Eshghi, H.; Porkar, Y. H.; J. Sci., Islamic Repub. Iran 2003, 14, 17.

30. De Angelis, S.; Celestini, P.; Purgatorio, R.; Degennaro, L.; Rebuzzini, G.; Luisi, R.; Carlucci, C.; J. Flow Chem. 2019, 9, 231.

31. Deglin, J. H.; Vallerand, A. H.; Davis's Drug Guide for Nurses, 7th ed., FA Davis Company: Philadelphia, 2001; Atkinson, A. B.; Robertson, J. I. S.; Lancet 1979, 314, 836; Smith, C. G.; Vane, J. R.; FASEB J. 2003, 17, 788.

32. Unger, T.; Chung, O.; Csikos, T.; Culman, J.; Gallinat, S.; Gohlke, P.; Zhu, Y. Z.; J. Hypertens. Supplement: Official Journal of the International Society of Hypertension 1996, 14, S95.

33. Kumar, A.; Abbas, A. K.; Fausto, N.; Aster, J. C.; Robbins and Cotran: Pathologic Basis of Disease, 8th ed., Saunders Elsevier: Philadelphia, 2010; Golan, D. E.; Tashjian, A. H.; Armstrong, E. J.; Principles of Pharmacology: The Pathophysiologic Basis of Drug Therapy, 3rd ed., Lippincott Williams & Wilkins: Philadelphia, 2011.

34. Ondetti, M. A.; Cushman, D. W.; US pat. 4,046,889 1977.

35. Shimazaki, M.; Hasegawa, J.; Kan, K.; Nomura, K.; Nose, Y.; Kondo, H.; Watanabe, K.; Chem. Pharm. Bull. 1982, 30, 3139; Ondetti, M. A.; Cushman, D. W.; US pat. 4,105,776 1978; Ondetti, M. A.; Cushman, D. W.; US pat. 4,154,840 1979; Ondetti, M. A.; Sprague, P. W.; US pat. 4,154,935 1979.

36. Alsharif, N. Z.; Am. J. Pharm. Educ. 2007, 71, 1.

37. Harris, E. E.; Patchett, A. A.; Tristram, E. W.; Wyvratt, M. J.; US pat. 4,374,829 1983; Greenlee, W. J.; US pat. 4,442,030 1984; Harris, E. E.; Patchett, A. A.; Tristram, E. W.; Wyvratt, M. J.; US pat. 4,472,380 1984; Wyvratt, M. J.; Tristram, E. W.; Ikeler, T. J.; Lohr, N. S.; Joshua, H.; Springer, J. P.; Patchett, A. A.; J. Org. Chem. 1984, 49, 2816.

38. Sica, D. A.; Gehr, T. W.; Ghosh, S.; Clin. Pharmacokinet. 2005, 44, 797.

39. Larsen, R. D.; King, A. O.; Chen, C. Y.; Corley, E. G.; Foster, B. S.; Roberts, F. E.; Verhoeven, T. R.; J. Org. Chem. 1994, 59, 6391.

40. Vardanyan, R.; Hruby, V.; Synthesis of Best-Seller Drugs, 1st ed., Academic Press: Cambridge, 2016; Kumar, A.; Singh, R. K. K. P.; Panda, N. B.; Upare, A. A.; Nimbalkar, M. M.; Soudagar, S. R.; Saxena, A. K. N. K.; US pat. 7,345,071 2008; Dolitzky, B. Z.; US pat. 7,041,832 2006; Carini, D. J.; Duncia, J. V.; Aldrich, P. E.; Chiu, A. T.; Johnson, A. L.; Pierce, M. E.; Wells, G. J.; J. Med. Chem. 1991, 34, 2525.

41. Wellington, K.; Faulds, D. M.; Drugs 2002, 62, 1983; Wright, J. M.; Musini, V. M.; Gill, R.; Cochrane Database of Systematic Reviews (2018), doi:10.1002/14651858.CD013211.

42. De, S. G.; Harvey, W. L.; US pat. 3,163,645 1964; Irons, J. S.; Cook, T. M.; US pat. 3,164,588 1965; Jones, W. H.; Metuchen, N. J.; Novello, F. C.; US pat. 3,025,292 1962; Novello, F. C.; US pat. 2,809,194 1957.

43. Vardanyan, R.; Hruby, V.; Synthesis of Essential Drugs, 1st ed., Elsevier: Amsterdam, 2006.

44. Quillen, D. A.; Feller, D. B.; Am. Fam. Physician 2006, 73, 1583; Wilken, J. A.; Berkowitz, R.; Kane, R.; Ann. Allergy, Asthma, Immunol. 2002, 89, 372; Marshall, P. S.; O'Hara, C.; Steinberg, P.; Ann. Allergy, Asthma, Immunol. 2000, 84, 403.

45. Sullivan, J. B.; Krieger, G. R.; Clinical Environmental Health and Toxic Exposures, 2nd ed., Lippincott Williams & Wilkins: Philadelphia, 2001.

46. Beasley, R.; Keil, U.; Von Mutius, E.; Pearce, N.; Lancet 1998, 351, 1225.

47. Olivier, C. E.; Santos Lima, R. P.; Argentão, D. G. P.; Silva, M. D.; Santos, R. A. P. G.; Journal of Allergy & Therapy 2013, 4, 2.

48. Buchwald, P.; Bodor, N.; Die Pharmazie - An International Journal of Pharmaceutical Sciences 2004, 59, 396; Wilkinson, S. M.; Contact Dermatitis 2000, 42, 59; Boobis, A. R.; Respiratory Medicine 1998, 92, 2.

49. Edsbäcker, S.; Andersson, T.; Clin. Pharmacokinet. 2004, 43, 803.

50. Brattsand, R. L.; Claeson, K. G.; Thalen, B. A.; US pat. 3,929,768 1975.

51. Troy, D. B.; Remington: The Science and Practice of Pharmacy, 21st ed., Lippincott Williams & Wilkins: Philadelphia, 2005.

52. Lenna, R.; Montoro, M.; US pat. 8,119,793 2012; Brattsand, R. L; Claeson, K. G.; Thalen, B. A.; US pat. 3,929,768 1975; MacDonald, P.; US pat. 4,695,625 1987.

53. Young, W.; CN pat. 102,146,113 2010; Linghua, T.; Hao, X.; Wenkuan, L.; CN pat. 105,566,426 2016.

54. Machado, M. G. M.; Scarim, C. B.; Andrade, C. R.; Santos, J. L.; Chin, C. M.; Med. Chem. Res. 2020, 2, 206.

55. Yan, Y.; Wang, P.; Li, R.; Sun, Y.; Zhang, R.; Huo, C.; Dong, Y.; Drug Des., Dev. Ther. 2019, 13, 681.

56. Sveinbjornsdottir, S.; J. Neurochem. 2016, 139, 318.

57. Kalia, L. V.; Lang, A. E.; Lancet 2015, 386, 896.

58. Samii, A.; Nutt, J. G.; Ransom, B. R.; Lancet 2004, 363, 1783.

59. Wang, H.; Naghavi, M.; Allen, C.; Barber, R. M.; Bhutta, Z. A.; Carter, A.; Lancet 2016, 388, 1459.

60. Lisak, R. P.; Truong, D. D.; Carroll, W. M.; Bhidayasiri, R.; International Neurology, 1st ed., John Wiley & Sons: New Jersey, 2016.

61. Wise, R. A.; Nat. Rev. Neurosci. 2004, 6, 483.

62. Hemmings, H. C.; Egan, T. D.; Pharmacology and Physiology for Anesthesia, 2nd ed., Elsevier: Amsterdam, 2012.

63. Cannata, V.; Tamerlani, G.; Morotti, M.; US pat. 4,962,223 1990.

64. Sittig, M.; Pharmaceutical manufacturing encyclopedia, 2nd ed., William Andrew: Norwich, 1988.

65. Silverman, R. B.; Holladay, M. W.; The organic chemistry of drug design and drug action, 3rd ed., Academic press: Cambridge, 2014; Gilbert, J. A.; Frederick, L. M.; Ames, M. M.; Clin. Cancer Res. 2000, 11, 4365; Shen, H.; Kannari, K.; Yamato, H.; Arai, A.; Matsunaga, M.; Tohoku J. Exp. Med. 2003, 3, 149.

66. Sletzinger, M.; Chemerda, J. M.; Bollinger, F. W.; J. Med. Chem. 1963, 2, 101; Karady, S.; Ly, M. G.; Pines, S. H.; Sletzinger, M.; J. Org. Chem. 1971, 14, 1946.

67. Balthasar, H.; Paul, Z.; US pat. 3,178,476 1965.

68. Feng, G.; Yunsheng, G.; Fuming, H.; Zhen, H.; Youngmei, J.; Ke, L.; Huili, L.; Yuanzhang, W.; Weiguo, Y.; Jianhong, Z.; CN pat. 104,788,338 2014.

69. Dhoot, I. K.; J. Drug Delivery Ther. 2019, 9, 1126; Lin, J. T.; Lane, J. M.; Clin. Orthop. Relat. Res. 2004, 425, 126; Eddy, D. M.; Johnston, J.; Cummings, S. R.; Dawson-Hughes, B.; Lindsay, R.; Melton, L. J.; Slemenda, C. W.; Osteoporosis Int. 1998, 8, S7.

70. Sinnesael, M.; Claessens, F.; Boonen, S.; Vanderschueren, D.; Curr. Opin. Endocrinol., Diabetes Obes. 2013, 20, 240.

71. Fortes, É. M.; Raffaelli, M. P.; Bracco, O. L.; Takata, E. T.; Reis, F. B.; Santili, C.; Lazaretti-Castro, M.; Arq. Bras. Endocrinol. Metabol. 2008, 7, 1106.

72. Wells, G. A.; Cranney, A.; Peterson, J.; Boucher, M.; Shea, B.; Robinson, V.; Coyle, D.; Tugwell, P.; Cochrane Database of Systematic Reviews (2008), doi:10.1002/14651858.CD001155.pub2.

73. Russell, R. G. G.; Watts, N. B.; Ebetino, F. H.; Rogers, M. J.; Osteoporos. Int. 2008, 19, 733; Porras, A. G.; Holland, S. D.; Gertz, B. J.; Clin. Pharmacokinet. 1999, 36, 315.

74. Burks, H. E.; Peukert, S.; ChemMedChem 2012, 1, 171.

75. Kabachnik, M. I.; Medved, T. Y.; Dyaglova, N. M.; Polikarpov, Y. M.; Shcherbakov, B. K.; Bel'skii, F. I.; Bull. Acad. Sci. USSR, Div. Chem. Sci. 1978, 2, 374; Ananchenko, G.; Novakovic, J.; Tikhomirova, A.; Profiles Drug Subst., Excipients, Relat. Methodol. 2013, 38, 1.

76. Kieczykowski, G. R.; Jobson, R. B.; Melillo, D. G.; Reinhold, D. F.; Grenda, V. J.; Shinkai, I.; J. Org. Chem. 1995, 25, 8310.

77. Blum, H.; Worms, K. H.; US pat. 4,407,761 1983.

78. Rao, D. V. S.; Dandala, R.; Narayanan, G. K.; Lenin, R.; Sivakumaran, M.; Naidu, A.; Synth. Commun. 2007, 24, 4359; Mustafa, D. A.; Kashemirov, B. A.; McKenna, C. E.; Tetrahedron Lett. 2011, 18, 2285.

79. Neamtu, J.; Bubulica, M. V.; Rotaru, A.; Ducu, C.; Balosache, O. E.; Manda, V. C.; Croitoru, O.; J. Therm. Anal. Calorim. 2017, 2, 1567; Mekhail, G. M.; Kamel, A. O.; Awad, G. A.; Mortada, N. D.; Rodrigo, R. L.; Spagnuolo, P. A.; Wettig, S. D.; Nanomedicine 2016, 17, 2251; Lee, M. S.; Su, C. M.; Yeh, J. C.; Wu, P. R.; Tsai, T. Y.; Lou, S. L.; Int. J. Nanomed. 2016, 11, 4583; Guven, M. N.; Demirci, G.; Altuncu, S.; Gulyuz, U.; Okay, O.; Acar, H. Y.; Avci, D.; Polymer 2020, 190, 122248; Cicco, S. R.; Vona, D.; Leone, G.; De Giglio, E.; Bonifacio, M. A.; Cometa, S.; Farinola, G. M.; Mater. Sci. Eng., C 2019, 104, 109897.

80. Seki, M.; Synthesis 2012, 10, 1556.

81. Hwu, J. R.; Gilbert, B. A.; Tetrahedron 1989, 5, 1233.

82. Varghese, M. J.; Annals of Pediatric Cardiology 2014, 7, 107; Turgeon, R. D.; Barry, A. R.; Pearson, G. J. Canadian Family Physician 2016, 62, 32; Durrington, P.; Lancet 2003, 362, 717.

83. Biggerstaff, K. D.; Wooten, J. S.; Advances in Physiology Education 2004, 28, 105.

84. Carmena, R.; Duriez, P.; Fruchart, J. C.; Circulation 2004, 109, 2.

85. Malta, D. C.; Szwarcwald, C. L.; Machado, Í. E.; Pereira, C. A.; Figueiredo, A. W.; Sá, A. C. M. G. N.; Velasques-Melendez, G.; Santos. F. M.; Junior, P. B. S.; Stopa, S. R.; Rosenfeld, L. G.; Revista Brasileira de Epidemiologia (2019), doi:10.1590/1980-549720190005.supl.2; https://www.who.int/data/maternal-newborn-child-adolescent/monitor, acessada em Maio 2021.

86. Bhatnagar, D.; Soran, H.; Durrington, P. N.; BMJ 2008, 337, 503.

87. Pedersen, T. R.; Tobert, J. A.; Expert Opin. Pharmacother. 2004, 5, 2583; Elsby, R.; Hilgendorf, C.; Fenner, K.; Pharmacol. Ther. 2012, 5, 584.

88. Moghadasian, M. H.; Life Sci. 1999, 65, 1329.

89. Istvan, E. S.; Deisenhofer, J.; Science 2001, 292, 1160; Seenivasan, A.; Subhagar, S.; Aravindan, R.; Viruthagiri, T.; Indian J. Pharm. Sci. 2008, 70, 701; Chakravarti, R.; Sahai, V.; Appl. Microbiol. Biotechnol. 2004, 64, 618.

90. Belwal, C. K.; Patel, J.; Journal of Pharmaceutical and Applied Chemistry 2019, 5, 23.

91. http://www-personal.umich.edu/~afuah/cases/case10.html, acessada em Maio 2021.

92. Endo, A.; Proc. Jpn. Acad., Ser. B 2010, 5, 484; Endo, A.; Nat. Med. (N. Y., NY, U. S.) 2008, 10, 1050.

93. Weinreb, R. N.; Khaw, P. T. Lancet 2004, 363, 1711.

94. Kapetanakis, V. V.; Chan, M. P.; Foster, P. J.; Cook, D. G.; Owen, C. G.; Rudnicka, A. R.; Br. J. Ophthalmol. 2016, 100, 86

95. Pache, M.; Flammer, J.; Surv. Ophthalmol. 2006, 51, 179.

96. https://www.who.int/publications/i/item/9789241516570, acessada em Maio 2021.

97. Bourne, R. R.; Taylor, H. R.; Flaxman, S. R.; Keeffe, J.; Leasher, J.; Naidoo, K.; Jonas, J. B.; PloS one (2016), doi:10.1371/journal.pone.0162229.

98. Ronan, C.; Saheb, H.; Ahmed, I. I. K.; Can. J. Ophthalmol. 2017, 52,114.

99. Hoy, S. M.; Drugs 2015, 15, 1807; Heel, R. C.; Brogden, R. N.; Speight, T. M.; Avery, G. S.; Drugs 1979, 17, 38.

100. Achong, M. R.; Piafsky, K. M.; Ogiilvie, R. I.; Clinical Pharmacology & Therapeutics 1975, 18, 278.

101. Coakes, R. L.; Brubaker, R. F.; Arch. Ophthalmol. (Chicago, IL, U. S.) 1978, 96, 2045.

102. Zimmerman, T. J.; Kass, M. A.; Yablonski, M. E.; Becker, B.; Arch. Ophthalmol. (Chicago, IL, U. S.) 1979, 4, 656.

103. Weinstock, L. M.; Tull, R. J.; Mulvey, D. M.; US pat. 3,657,237 1972; Wasson, B. K.; US pat. 3,655,663 1972; Weinstock, L. M.; Mulvey, D. M.; Tull, R.; J. Org. Chem. 1976, 19, 3121.

104. Narina, S. V.; Sudalai, A.; Tetrahedron 2007, 14, 3026; Saddique, F. A.; Zahoor, A. F.; Yousaf, M.; Irfan, M.; Ahmad, M.; Mansha, A.; Naqvi, S. A. R.; Turk. J. Chem. 2016, 2, 193.

105. Kamal, A.; Krishnaji, T.; Khan, M. N. A.; J. Mol. Catal. B: Enzym. 2008, 1, 55.

106. Martinez, F. D.; Eur. Respir. J. 2007, 1, 179; Miller, R. L.; Ho, S. M.; Am. J. Respir. Crit. Care Med. 2008, 6, 567; Choudhry, S.; Seibold, M. A.; Borrell, L. N.; Tang, H.; Serebrisky, D.; Chapela, R.; Risch, N. J.; Proc. Am. Thorac. Soc. 2007, 3, 226; Dietert, R. R.; Reprod. Toxicol. 2011, 2, 198.

107. https://www.who.int/news-room/q-a-detail/chronic-respiratory-diseases-asthma, acessada em Maio 2021.

108. Souza, J. F. D.; Trabalho de Conclusão de Residência, Universidade Federal de Uberlândia, Brasil, 2019.

109. British Thoracic Society Scottish Intercollegiate Guidelines Network; Thorax 2008, 63 suppl. 4, 1.

110. Niven, A. S.; Argyros, G.; Chest 2003, 123, 1254; Papiris, S.; Kotanidou, A.; Malagari, K.; Roussos, C.; J. Crit. Care 2002, 6, 30; Hansbro, P. M.; Kaiko, G. E.; Foster, P. S.; Br. J. Pharmacol. 2011, 163, 81.

111. Daley-Yates, P. T.; Price, A. C.; Sisson, J. R.; Pereira, A.; Dallow, N.; Br. J. Clin. Pharmacol. 2001, 51, 400; Barnes, P. J.; Clin. Sci. 1998, 94, 557; Roberts, J. K.; Moore, C. D.; Ward, R. M.; Yost, G. S.; Reilly, C. A.; J. Pharmacol. Exp. Ther. 2013, 345, 308.

112. Brown, H. M.; Storey, G.; George, W. H. S.; BMJ 1972, 1, 585.

113. Kunying H.; Liang, S.; CN pat. 104,558,083 2013; David, T.; Wendler, N. L.; Slates, H. L.; US pat. 3,345,387 1967.

114. Khan, M. O. F.; Lee, H. J.; Chem. Rev. 2008, 12, 5131.

115. Wang, Z.; Chen, J. F.; Le, Y.; Shen, Z. G.; Yun, J.; Ind. Eng. Chem. Res. 2007, 14, 4839; Pu, Y.; Li, Y.; Wang, D.; Foster, N. R.; Wang, J. X.; Chen, J. F.; Powder Technol. 2017, 308, 200; Weiss, C.; McLoughlin, P.; Manesiotis, P.; Redington, W.; Cathcart, H.; Cryst. Growth Des. 2018, 10, 5832.

116. Morgan, D. J.; Paull, J. D.; Richmond, B. H.; Wilson-Evered, E.; Ziccone, S. P.; Br. J. Clin. Pharmacol. 1986, 5, 587.

117. Jacobson, G. A.; Raidal, S.; Robson, K.; Narkowicz, C. K.; Nichols, D. S.; Walters, E. H.; Br. J. Clin. Pharmacol. 2017, 83, 1436.

118. Voelker, R.; JAMA, J. Am. Med. Assoc. 2020, 19, 1887.

119. Lunts, L. H. C.; Toon, P.; US pat. 3,705,233 1972.

120. Babad, E.; Carruthers, N. I.; Jaret, R. S.; Steinman, M.; Synthesis 1988, 12, 966.

121. Effenberger, F.; Jäger, J.; J. Org. Chem. 1997, 12, 3867; Haddad, N.; Xu, Y.; Baron, J. A.; Yee, N. K.; Tetrahedron Lett. 2002, 7, 1135.

122. Skachilova, S. Y.; Zueva, E. F.; Muravskaya, I. D.; Goncharenko, L. V.; Smirnov, L. D.; Pharm. Chem. J. 1991, 25, 733.

123. Kreye, P.; Lenhart, A.; Klinger, F. D.; US pat. 7,049,462 2006.

124. Yamatake, Y.; Sasagawa, S.; Yanaura, S.; Okamiya, Y.; Folia Pharmacologica Japonica 1977, 73, 785; Gross, N. J.; N. Engl. J. Med. 1988, 8, 486.

125. Lainé, D. I.; Yan, H.; Xie, H.; Davis, R. S.; Dufour, J.; Widdowson, K. L.; Hunsberger, G. E.; Bioorg. Med. Chem. Lett. 2012, 22, 3366; Wilson, C. O.; Gisvold, O.; Block, J. H.; Beale, J. M.; Wilson and Gisvold's Textbook of Organic Medicinal and Pharmaceutical Chemistry, 11th ed., Lippincott Williams & Wilkins: Philadelphia, 2004; Lemke, T. L.; Williams, D. A.; Foye, W. O.; Principles of Medicinal Chemistry, 4th ed., Lippincott Williams & Wilkins: Philadelphia, 1995.

126. Nador, K.; György, L.; Doda, M. M.; J. Med. Chem. 1960, 1, 183; Nador, K.; Gaal, M.; Arzneim. Forsch. 1962, 12, 968; Pfister, J. R.; J. Org. Chem. 1978, 22, 4373.

127. Karl, Z.; Werner, S.; Rolf, B.; Helmut, W.; US pat. 3,505,337 1970.

128. Maritim, A. C.; Sanders, R. A.; Watkins, J. B.; J. Biochem. Mol. Toxicol. 2003, 17, 24; Kitabchi, A. E.; Umpierrez, G. E.; Miles, J. M.; Fisher, J. N.; Diabetes Care 2009, 32, 1335.

129. Gardner D. G.; Shoback, D. M.; Greenspan's Basic & Clinical Endocrinology, 9th ed., McGraw-Hill: New York, 2011.

130. Balsells, M.; García-Patterson, A.; Solà, I.; Roqué, M.; Gich, I.; Corcoy, R.; BMJ (2015), doi:10.1136/bmj.h102.

131. Nathan, D. M.; N. Engl. J. Med. 2007, 5, 437; Rother, K. I.; N. Engl. J. Med. 2007, 15, 1499.

132. https://www.diabetesatlas.org/en/, acessada em Maio 2021; https://www.who.int/news-room/fact-sheets/detail/diabetes, acessada em Maio 2021.

133. Rena, G.; Pearson, E. R.; Sakamoto, K.; Diabetologia 2013, 56, 1898.

134. Rena, G.; Hardie, D. G.; Pearson, E. R.; Diabetologia 2017, 9, 1577.

135. Hundal, R. S.; Krssak, M.; Dufour, S.; Laurent, D.; Lebon, V.; Chandramouli, V.; Inzucchi, S. E.; Schumann, W. C.; Petersen, K. F.; Landau, B. R.; Shulman, G. I.; Diabetes 2000, 49, 2063.

136. Bailey, C. J.; Diabetologia 2017, 9, 1566.

137. Werner, E. A.; Bell, J.; J. Chem. Soc., Trans. 1922, 121, 1790.

138. Shapiro, S. L.; Parrino, V. A.; Freedman, L.; J. Am. Chem. Soc. 1959, 9, 2220.

139. Shalmashi, A.; Molbank 2008, 2008, M564.

140. Kim, D. W.; Park, J. B.; J. Drug Delivery Sci. Technol. 2015, 30, 90.

141. Mahmoud, M. A.; Zaitone, S. A.; Ammar, A. M.; Sallam, S. A.; J. Mol. Struct. 2016, 1108, 60.

142. Marble, A.; Drugs 1971, 2, 109.

143. Luzi, L.; Pozza, G.; Acta Diabetol. 1997, 4, 239.

144. Schneider, S.; Ueberberg, S.; Korobeynikov, A.; Schechinger, W.; Schwanstecher, C.; Schwanstecher, M.; Schirrmacher, E.; Regul. Pept. 2007, 139, 122.

145. Wei, W.; Cheng, D.; Liu, J.; Li, Y.; Ma, Y.; Li, Y.; Yu, S.; Zhang, X.; Li, Z.; Org. Biomol. Chem. 2016, 14, 8356; Ceras, J.; Cirauqui, N.; Pérez-Silanes, S.; Aldana, I.; Monge, A.; Galiano, S.; Eur. J. Med. Chem. 2012, 52, 1.

146. Weber, H.; Aumueller, W.; Weyer, R.; Muth, K.; Stach, K.; US pat. 3,847,938 1974.

147. Takla, P. G.; Anal. Profiles Drug Subst. 1981, 10, 337.

148. Hsi, R. S. P.; J. Labelled Compd. 1973, 1, 91.

149. Silva-Filho, S. F.; Pereira, A. C.; Sarraguça, J. M.; Sarraguça, M. C.; Lopes, J.; Façanha-Filho, P. F.; Ribeiro, P. R. S.; J. J. Pharm. Sci. (Philadelphia, PA, U. S.) 2018, 6, 1597.

150. Ahmadi, A.; Khalili, M.; Khatami, K.; Farsadrooh, M.; Nahri-Niknafs, B.; Mini-Rev. Med. Chem. 2014, 2, 208.

151. Hasanah, A. N.; Kartasasmi, R. E.; Ibrahim, S.; J. Appl. Sci. 2015, 11, 1288.

On-line version ISSN 1678-7064 Printed version ISSN 0100-4042
Qu�mica Nova
Publica��es da Sociedade Brasileira de Qu�mica
Caixa Postal: 26037 05513-970 S�o Paulo - SP
Tel/Fax: +55.11.3032.2299/+55.11.3814.3602
Free access

GN1