JBCS



0:24, dom out 26

Acesso Aberto/TP



Artigo


Síntese de novos 1,2,3-triazóis inspirados no SRPIN340 e avaliação de seus efeitos em linhagem celular de glioblastoma humano
Synthesis of novel 1,2,3-triazoles inspired on the SRPIN340 and evaluation of their effects on human glioblastoma cell line

Sara Maria Ribeiro de SousaI; Róbson Ricardo TeixeiraI,*; Adilson Vidal CostaII; Alex Ramos de AguiarI; Victor da Rocha FonsecaIII; Valdemar Lacerda Jr.III; Wanderson RomãoIII; Laser Antônio Machado OliveiraIV; Iára Mariana Lellis RibeiroIV; Katiane de Oliveira Pinto Coelho NogueiraIV; Claudia Jorge do NascimentoV; Jochen JunkerVI

I. Departamento de Química, Universidade Federal de Viçosa, 36570-900 Viçosa - MG, Brasil
II. Departamento de Química e Física, Universidade Federal do Espírito Santo, 29500-000 Alegre - ES, Brasil
III. Laboratório de Petroleômica e Forense, Universidade Federal do Espírito Santo, 29075-910 Vitória - ES, Brasil
IV. Departamento de Ciências Biológicas, Instituto de Ciências Exatas e Biológicas, Universidade Federal de Ouro Preto, 35400-000 Ouro Preto - MG, Brasil
V. Departamento de Ciências Naturais, Instituto de Biociência, Universidade Federal do Estado do Rio de Janeiro, 22290-240 Rio de Janeiro - RJ, Brasil
VI. Centro de Desenvolvimento Tecnológico em Saúde, Fundação Oswaldo Cruz, 21040-900 Rio de Janeiro - RJ, Brasil

Recebido em 06/05/2021
Aceito em 16/06/2021
Publicado na web em 06/07/2021

Endereço para correspondência

*e-mail: robsonr.teixeira@ufv.br

RESUMO

It is herein described the synthesis of a series of thirty novel 1,2,3-triazole-1,4-disubstituted compounds inspired on the known SRPKs inhibitor N-(2-(piperidin-1-yl)-5-(trifluoromethyl)phenyl)isonicotinamide (SRPIN340) and biological evaluation of them against human glioblastoma multiforme cell line U87MG. Starting with 1-fluoro-2-nitro-4-(trifluoromethyl)benzene (1), the substances were prepared via a five-step synthetic route. The crucial step corresponded to the copper-catalyzed cycloaddition reaction between trifluoromethyl phenyl azides and different alkynes. In general, the compounds were obtained with good yields and they were characterized utilizing spectroscopic (IR and NMR) and spectrometric (HRMS) techniques. The evaluation of the synthesized compounds at three different treatment time (24 h, 48 h, and 72 h) and concentrations (50, 100, and 150 μmol L-1) revealed that five derivatives were capable of reducing cell viability by 50% after 72 h of treatment at the highest concentration. On the contrary, three derivatives significantly increased cell viability being this effect more pronounced after 48 h of treatment. In this regard, it stands out the compound 2-((1-(2-morpholino-5-(trifluoromethyl)phenyl)-1H-1,2,3-triazol-4-yl)methyl)isoindoline-1,3-dione (7) which increased cell viability in approximately 300% after 48 h of treatment at 100 μmol L-1. The substances that increased cell viaiblity present as common structural features the presence of a saturated nitrogen-containing six-membered ring and carbonylated fragments.

Palavras-chave: SRPIN340; 1,2,3-triazole; glioblastoma; U87MG cell line.

INTRODUÇÃO

O termo câncer (ou neoplasia maligna) relaciona-se a um conjunto de mais de 277 doenças caracterizadas pela perda de capacidade de auto-regulação das células, que passam a se proliferar sem controle.1-4 Essas células podem invadir tecidos adjacentes e órgãos à distância por meio do sangue e sistema linfático, originando tumores em outros locais, sendo esse processo denominado metástase.5 Esse grupo de doenças apresenta elevada complexidade e representa um importante problema de saúde pública.4 O câncer é a segunda maior causa de mortes no mundo, perdendo apenas para as doenças cardiovasculares, e é reponsável, anualmente, pela morte de dez milhões de pessoas, o que representa uma em cada seis mortes.6,7 No Brasil, uma estimativa feita pelo Instituto Nacional de Câncer José Alencar Gomes da Silva (INCA) aponta que, para o biênio 2020-2022, a ocorrência será de 625 mil novos casos de câncer para cada ano.8 Os tipos de câncer mais incidentes em homens são próstata (31,7%), pulmão (8,7%), intestino (8,1%), estômago (6,3%) e cavidade oral (5,2%). Nas mulheres, os cânceres de mama (29,5%), intestino (9,4%), colo do útero (8,1%), pulmão (6,2%) e tireoide (4,0%) são os mais recorrentes.8 As causas relacionadas ao aparecimento do câncer incluem tabagismo, obesidade, fatores ambientais, fatores genéticos, envelhecimento, dentre outros.4,9 Esses fatores concorrem ou se sobrepõe no que tange ao desenvolvimento de cânceres.

Dentre os vários cânceres, os glioblastomas são definidos como tumores de células gliais, que correspondem a células que protegem, nutrem e dão suporte aos neurônios. Esses tumores podem ocorrer no encéfalo, na medula espinhal, ou até mesmo junto a nervos periféricos e são classificados em astrocitomas, oligodendrogliomas, oligoas-trocitomas mistos e ependimomas.10 Os gliobastomas representam aproximadamente 30% de todos os tumores do sistema nervoso central e 80% dos tumores malignos iniciados no cérebro.11,12 O tratamento dos tumores envolve excisão cirúrgica, radioterapia e, para alguns tumores, quimioterapia. A excisão raramente leva à cura, sendo assim necessária a utilização de terapias combinadas. Cumpre ressaltar que o glioblastoma é um tipo de câncer com elevada reincidência.13

O desenvolvimento de células cancerosas é um processo multifatorial e um deles está relacionado a alterações na função e na regulação de proteínas conhecidas como proteínas SR (serine arginine rich proteins).14-19 A regulação da atividade das proteínas SR, no contexto celular, dá-se por meio da fosforilação extensiva dos resíduos de arginina na porção C-terminal, que pode ser realizada por diferentes famílias de cinases, dentre as quais se destacam as SRPKs (serine arginine protein kinases).20-21 Por sua vez, a superexpressão ou desregulação na atividade das SRPKs resultam em respostas celulares inadequadas, que afetam a expressão e/ou splicing alternativo de oncogenes, estando diretamente relacionadas à multiplicação celular de vários cânceres,20 dentre eles o glioblastoma.23 Assim, as SRPKs são interessantes alvos moleculares para compostos antitumorais. A substância conhecida como SRPIN340 (N-[2-(piperidin-1-il)-5-(trifluorometil)fenil]-isonicotinamida, Figura 1) é um inibidor ATP-competitivo altamente seletivo na inibição de cinases SRPK1 e SRPK2.24-26 Diferentes atividades biológicas têm sido descritas para essa amida e derivados dela,27-34 incluindo significativas atividades contra diferentes linhagens de células leucêmicas.35,36 e efeitos antimetastáticos37 descritas pelo nosso grupo de pesquisa. Afora o SRPIN340, temos também investigado atividades antitumorais de compostos 1,2,3-triazóhcos-1,4-dissubstituídos38,39 e que vêm sendo sistematicamente estudados com respeito aos seus efeitos antitumorais.40-45

 


Figura 1. Estrutura do SRPIN340 e dos compostos triazólicos sintetizados e avaliados biologicamente neste trabalho

 

Considerando as premissas, vislumbrou-se que compostos resultantes da associação entre uma subunidade 1,2,3-triazol-1,4-dissubstituída (destacada em vermelho na Figura 1) e um fragmento trifluorometilfenil apresentando um substituinte nitrogenado na posição 4 em relação ao grupo CF3 (fragmento inspirado no SRPIN340 destacado em azul na Figura 1) poderiam apresentar atividade antitumoral.

Assim, o presente trabalho descreve os resultados iniciais com relação à síntese, caracterização e avaliação da atividade em células de glioblastoma U87MG de novos 1,2,3-triazóis-1,4-disubstituídos apresentando a fórmula geral mostrada na Figura 1.

 

PARTE EXPERIMENTAL

Generalidades

Os reagentes utilizados na síntese dos compostos foram todos de grau P.A.

Os compostos 1-fluoro-2-nitro-4-(trifluorometil)benzeno, álcool propargílico, álcool benzílico, álcool 4-clorobenzílico, álcool 4-bromobenzílico, álcool 4-metoxibenzílico, álcool 4-fluorobenzílico, álcool 4-metilbenzílico, álcool 4-trifluorometilbenzílico, ftalimida, brometo de propargila, brometo de tetrabutilamônio, EDC, DMAP, ácido de Meldrum, salicilaldeído, sulfato de cobre pentaidratado, azida de sódio, nitrito de sódio, ascorbato de sódio, morfolina, piperidina, dietilamina e pirrolidina foram adquiridos da Sigma Aldrich (St. Louis, MO, Estados Unidos). O cloreto de estanho(II) pentaidratado e o ácido clorídrico foram adquiridos da F Maia (Charqueada, São Paulo, Brasil). As substâncias diclorometano, acetona, tolueno, dimetilformamida, acetato de etila, metanol e hexano foram adquiridos da Êxodo Científica (Sumaré, São Paulo, Brasil) e da LabSynth (Diadema, São Paulo, Brasil). O carbonato de potássio e o hidróxido de sódio foram adquiridos da LabSynth.

As análises por cromatografia em camada delgada (CCD) foram realizadas utilizando placas cromatográficas de sílica-gel impregnadas sobre alumínio. Após a eluição, as placas de CCD foram observadas em câmera de luz ultravioleta (λ = 254 nm) e, quando necessário, reveladas com solução de permanganato de potássio (3 g de KMnO4, 20 g de K2CO3, 5 mL de NaOH 5% m v-1, 300 mL de água).

As purificações foram realizadas por cromatografia em coluna utilizando sílica-gel (70-230 mesh) como fase estacionária. Os solventes utilizados no preparo dos eluentes foram empregados sem purificação prévia.

As temperaturas de fusão foram determinadas em aparelho MQAPF-302 e não foram corrigidas.

Os espectros no infravermelho (IV) foram adquiridos empregando-se a técnica reflectância total atenuada (ATR) em equipamento Varian 660-IR.

Os espectros de ressonância magnética nuclear de hidrogênio (RMN de 1H, 300 MHz) e de carbono (RMN de 13C, 75 MHz) foram obtidos em espectrômetro Varian MERCURY 300. Os espectros de ressonância magnética nuclear de hidrogênio (RMN de 1H, 400 MHz) e de carbono (RMN de 13C, 100 MHz) foram adquiridos em espectrômetro Brucker. Os espectros de ressonância magnética nuclear de hidrogênio (RMN de 1H, 500 MHz) e de carbono (RMN de 13C, 125 MHz) foram adquiridos em espectrômetro Brucker. Na obtenção dos espectros foram utilizados como solventes deuterados clorofórmio (CDCl3) e dimetilsulfóxido (DMSO-d6). As constantes de acoplamento escalar (J) foram expressas em Hertz (Hz). As multiplicidades são apresentadas com as seguintes abreviaturas: s (simpleto), sl (simpleto largo), d (dupleto), dd (duplo dupleto), ddtap (duplo duplo tripleto aparente), t (tripleto), q (quarteto), m (multipleto). Os espectros de massas de alta resolução (HRMS) foram adquiridos em espectrômetro de massas 9.4 T Solarix (Bruker Daltonics, Bremen, Germany). As substâncias analisadas 7-36 foram dissolvidas em 1 mL de acetonitrila. As análises foram realizadas utilizando uma fonte de electrospray no modo positivo de aquição de íons (ESI (+)). Os espectros foram adquiridos em uma faixa de massas m/z de 150-1500. As condições da fonte de ESI(+) foram as seguintes: pressão de gás nebulizador de 1,5 bar, voltagem capilar de 4,0-4,4 kV e temperatura do capilar de 250 ºC. O tempo de acumulação de íons foi de 0,010-0,040 s, sendo que cada espectro foi adquirido pela acumulação de 16 scans com um domínio de tempo de 4 mega-point. O tempo de voo foi de 0,900 segundo. Todos os espectros de massas foram externamente calibrados utilizando arginina (m/z de 150 a 1500).46 Um poder de resolução, m/Δm50% = 437,774 (onde Δm50% corresponde à largura à meia altura do pico de m/z 400)47,48 e uma acurácia < 1 ppm forneceram fórmulas moleculares inequívocas para íons moleculares monocarregados. Os espectros de massas foram processados utilizando o software Data Analysis (Bruker Dantonics, Bremen, Germany). O grau de insaturação para cada molécula foi determinado a partir do seu valor de DBE (double bond equivalent). As composições elementares dos compostos foram determinadas medindo-se os valores de m/z (considerando o erro) e os valores de DBE.

Procedimentos sintéticos

Preparação de nitrocompostos, anilinas, azidas aromáticas e alcinos terminais

Os procedimentos utilizados para a preparação dos nitrocompostos 2a-2d, das anilinas 3a-3d, das azidas 4a-4d, dos alcinos terminais 5a-5h e do composto 6, juntamente com seus dados de caracterização, são apresentados no Material Suplementar.

Sínteses dos compostos triazólicos 7-36 exemplificado pela síntese do composto 2-((1-(2-morfolino-5-(trifluorometilfenil)-1H-1,2,3-triazol-4-il)metil) isoindolina-1,3-diona (7)

A um balão de fundo redondo de 50 mL, contendo uma barra de agitação magnética, foram adicionados 0,176 g (0,647 mmol) da azida 4-[2-azido-4-(trifluorometil)fenil] morfolina (4a), 0,100 g (0,540 mmol) do alcino 2-(prop-2-in-1-il) isondolina-1,3-diona (5h), 2,00 mL de álcool t-butílico, 2,00 mL de água destilada, 0,0740 g (0,378 mmol) de ascorbato de sódio e 0,0400 g (0,162 mmol) de sulfato de cobre pentaidratado. A mistura resultante foi mantida sob agitação magnética por 3 h à temperatura ambiente. Após o término da reação, foram adicionados 10,0 mL de solução saturada de carbonato de sódio e 10,0 mL de diclorometano. A fase aquosa foi extraída com diclorometano (4x25,0 mL). Os extratos orgânicos foram combinados e a fase orgânica resultante foi seca com sulfato de sódio anidro, filtrada e concentrada sob pressão reduzida. O produto foi obtido como um sólido amarelo palha, com 70% de rendimento, purificado por cromatografia em coluna de sílica gel eluída com hexano-acetato de etila (1:1 v v-1). A estrutura do composto 7 está de acordo com os seguintes dados. P.f. = 179,4-179,9 °C, Rf = 0,28. IV (ATR) νmáx/cm-1: 3145, 2962, 2956, 2853, 2830, 1770, 1709, 1617, 1516, 1430, 1394, 1331, 1331, 1157, 1114, 1079, 1040, 930, 886, 820, 770, 714, 642, 527. RMN de 1H (400 MHz, CDCl3) δ: 2,72 (t, 4H, J = 4,6 Hz); 3,62 (t, 4H, J = 4,6 Hz); 5,11 (s, 2H); 7,22 (d, 1H, J = 8,8 Hz); 7,67 (d, 1H, J = 8,8 Hz); 7,74-7,76 (m, 2H); 7,79 (d, 1H, J = 1,2 Hz); 7,88-7,90 (m, 2H); 8,31 (s, 1H). RMN de 13C (100 MHz, CDCl3) δ: 32,9; 50,8; 66,5; 119,6; 123, 4 (q, JC-F=270,3 Hz); 123,5; 124,3; 124,6 (q, JC-F =3,7 Hz); 125,5 (q, JC-F = 33,3 Hz); 127,4 (q, JC-F = 3,7 Hz); 130,0; 131,9; 134,3; 143,3; 148,5; 167,6. HRMS (M+Na+): calculado para C22H18F3N5NaO3: 480,12540; encontrado: 480,12546. HRMS (2M+Na+): calculado para C44H36F6N10NaO6: 937,26157; encontrado: 937,26148.

Os compostos 8-36 foram preparados utilizando a mesma metodologia descrita para a síntese do composto 7. As estruturas desses compostos são suportadas pelos dados apresentados a seguir.

4-(2-(4-(((4-clorobenzil)oxi)metil-1H-1,2,3-triazol-1-il)-4-(trifluoro-metil)fenil) morfolina (8)

Sólido amarelo palha, purificado por cromatografia em coluna de sílica gel eluída com hexano-acetato de etila (2,5:1 v v-1), P.f. = 84,385,3 °C, Rf = 0,24. IV (ATR) νmáx/cm-1: 3152, 3050, 2961, 2920, 2863, 2836, 2163, 1621, 1513, 1477, 1450, 1373, 1333, 1321, 1281, 1229, 1157, 1118, 1071, 1040, 1011, 920, 822, 724, 687, 646, 531, 448. RMN de 1H (400 MHz, CDCl3) δ: 2,74 (t, 4H, J = 4,6 Hz); 3,65 (t, 4H, J = 4,6 Hz); 4,63 (s, 2H); 4,78 (s, 2H); 7,22 (d, 1H, J = 8,4 Hz); 7,30-7,35 (m, 4H); 7,69 (dd, 1H, J = 2,4 Hz e J = 8,4 Hz); 7,83 (d, 1H, J = 2,4 Hz); 8,24 (s, 1H). RMN de 13C (100 MHz, CDCl3) δ: 50,8; 63,5; 66,5; 71,7; 119,6; 123,5 (q, JC-F = 270,3 Hz); 124,0; 124,6 (q, JC-F = 3,7 Hz); 125,5 (q, JC-F =33,7 Hz); 127,4 (q, JC-F = 3,6 Hz); 128,6; 129,0; 130,0; 133,6; 136,2; 145,6; 148,5. HRMS (M+Na+): calculado para C21H20ClF3N4NaO2: 475,11191; encontrado: 475,11192. HRMS (2M+Na+): calculado para C42H40Cl2F6N8NaO4: 927,23460; encontrado: 927,23466.

4-(2-(4-(((4-bromobenzil)oxi)metil-1H-1,2,3-triazol-1-il)-4-(trifluorometil)fenil) morfolina (9)

Sólido amarelo palha, obtido com 70% de rendimento, purificado por cromatografia em coluna de sílica gel eluída com hexano-acetato de etila (1:1 v v-1), P.f. = 89,4-90,0 °C, Rf = 0,44. IV (ATR) νmáx/cm-1: 3156, 2967, 2863, 2362, 2162, 2024, 1902, 1616, 1474, 1341, 1322, 1279, 1234, 1179, 1112, 1079, 1040, 1009, 920, 834, 820, 800, 764, 647, 541, 470. RMN de 1H (400 MHz, CDCl3) δ: 2,74 (t, 4H, J = 4,6 Hz); 3,65 (t, 4H, J = 4,6 Hz); 4,61 (s, 2H); 4,78 (s, 2H); 7,21-7,27 (m, 3H, H3); 7,49 (d, 2H, J = 8,0 Hz); 7,69 (dd, 1H, J = 2,0 Hz e J = 8,4 Hz); 7,83 (d, 1H, J = 2,0 Hz); 8,24 (s, 1H). RMN de 13C (100 MHz, CDCl3) δ: 50,8; 63,5; 66,5; 71,8; 119,6; 121,7; 123.5 (q, JC-F = 270,0 Hz); 124,0; 124,6 (q, JC-F = 3,7 Hz); 125,5 (q, JC-F = 33,7 Hz); 127,4 (q, JC-F = 3,7 Hz); 129,3; 130,0; 131,6; 136,7; 145,6; 148,5. HRMS (M+Na+): calculado para C21H20BrF3N4NaO2: 519,06139; encontrado: 519,06148. HRMS (2M+Na+): calculado para C42H40Br2F6N8NaO4: 1015,13357; encontrado: 1015,13357.

4-(2-(4-(((4-metoxibenzil)oxi)metil)-1H-1,2,3-triazol-1-il)-4-(trifluorometil)fenil) morfolina (10)

Sólido amarelo palha, obtido com 91% de rendimento, purificado por cromatografia em coluna de sílica gel eluída com hexano-acetato de etila (1:1 v v-1), P.f. = 97,8-98,7 °C, Rf = 0,30. IV (ATR) νmáx/cm-1: 3147, 3063, 3042, 2958, 2865, 2361,2161,2048, 2016, 1618, 1513, 1475, 1451, 1343, 1321, 1281, 1233, 1168, 1114, 1079, 1028, 1007, 930, 811, 779, 746, 688, 649, 554, 516, 493. RMN de 1H (400 MHz, CDCl3) δ: 2,74 (t, 4H, J = 4,8 Hz); 3,65 (t, 4H, J = 4,6 Hz); 3,81 (s, 3H); 4,59 (s, 2H); 4,75 (s, 2H); 6,90 (d, 2H, J = 8,8 Hz); 7,21 (d, 1H, J = 8,4 Hz); 7,31 (d, 2H, J = 8,4 Hz); 7,68 (dd, 1H, J = 2,0 Hz e J = 8,4 Hz); 7,82 (d, 1H, J = 2,0 Hz); 8,22 (s, 1H). RMN de 13C (100 MHz, CDCl3) δ: 50,8; 55,3; 63,1; 66,5; 72,3; 113,8; 119,6; 123.4 (q, JC-F = 270,3 Hz); 123,94; 124,6 (q, JC-F = 3,7 Hz); 125,4 (q, JC-F = 33,3 Hz); 127,25 (q, JC-F = 3,3 Hz); 129,5; 129,7; 130,0; 146,0; 148,5; 159,3. HRMS (M+Na+): calculado para C22H23F3N4NaO3: 471,16145; encontrado 471,16150. HRMS (2M+Na+): calculado para C44H46F6N8NaO6: 919,33367; encontrado: 919,3364.

4-(2-(4-(((benzil)oxi)metil-1H-1,2,3-triazol-1-il)-4-(trifluorometil) fenil) morfolina (11)

Sólido alaranjado, obtido com 90% de rendimento, purificado por cromatografia em coluna de sílica gel eluída com hexano-acetato de etila (1:1 v v-1), P.f. = 76,6-77,1 °C, Rf = 0,44. IV (ATR) νmáx/cm-1: 3159, 3059, 3033, 2962, 2916, 2863, 2832, 2159, 1912, 1806, 1721, 1616, 1512, 1453, 1321, 1253, 1229, 1160, 1116, 1078, 1036, 937, 901, 859, 829, 758, 698, 643, 608, 515. RMN de 1H (400 MHz, CDCl3) δ: 2,74 (t, 4H, J = 4,6 Hz); 3,65 (t, 4H, J = 4,6 Hz); 4,67 (s, 2H); 4,79 (s, 2H); 7,21 (d, 2H, J = 8,8 Hz); 7,28-7,38 (m, 5H); 7,68 (dd, 1H, J = 2,0 Hz e J = 8,4 Hz); 7,82 (d, 1H, J = 2,0 Hz); 8,23 (s, 1H). RMN de 13C (100 MHz, CDCl3) δ: 50,8; 63,5; 66,5; 72,6; 119,6; 123.5 (q, JC-F = 270,0 Hz); 123,9; 124,6 (q, JC-F = 3,7 Hz); 125,5 (q, JC-F = 33,7 Hz); 127,4 (q, JC-F = 3,7 Hz); 127,7; 127,9; 128,5; 130,1; 137,7; 145,9; 148,5. HRMS (M+Na+): calculado para C21H21F3N4NaO3: 441,15088; encontrado 441,15096. HRMS (2M+Na+): calculado para C42H42F6N8NaO4: 859,31254; encontrado: 859,31256.

2-(4-(((4-clorobenzil)oxi)metil)-1H-1,2,3-triazol-1-il)-N,N-dietil-4-(trifluorometil) anilina (12)

Óleo âmbar, obtido com 31% de rendimento, purificado por cromatografia em coluna de sílica gel eluída com hexano-acetato de etila (2,5:1 v v-1), Rf = 0,44. IV (ATR) νmáx/cm-1: 3155, 3065, 2974, 2934, 2864, 2159, 2023, 1620, 1513, 1471, 1389, 1323, 1269, 1165, 1117, 1079, 1038, 1013, 896, 806, 721, 677, 658, 610, 536, 477. RMN de 1H (400 MHz, CDCl3) δ: 0,96 (t, 6H, J = 7,0 Hz); 2,87 (q, 4H, J = 7,0 Hz); 4,61 (s, 2H); 4,77 (s, 2H); 7,22 (d, 1H, J = 8,8 Hz); 7,29-7,34 (m, 4H); 7,61 (dd, 1H, J = 2,2 Hz e J = 8,6 Hz); 7,80 (d, 1H, J = 2,2 Hz); 8,14 (s, 1H). RMN de 13C (100 MHz, CDCl3) δ: 11,8; 45,4; 63,5; 71,5; 122,14; 124,17; 123,70 (q, JC-F = 270,0 Hz); 124,3 (q, JC-F = 33,3 Hz); 124,7 (q, JC-F = 4,0 Hz); 126,5 (q, JC-F = 3,7 Hz); 128,6; 129,1; 130,6; 133,55; 136,3; 145,1; 147,4. HRMS (M+Na+): calculado para C21H22ClF3N4NaO: 461,13264; encontrado 461,13273. HRMS (2M+Na+): calculado para C42H44Cl2F6N8NaO2: 899,27607; encontrado: 899,27616.

1-(2-(4-(((4-clorobenzil)oxi)metil)-1H-1,2,3-traizol-1-il)-4-(trifluorometil)fenil) piperidina (13)

Sólido amarelo, obtido com 69% de rendimento, purificado por cromatografia em coluna de sílica gel eluída com hexano-acetato de etila (4:1 v v-1), P.f. = 71,4-72,0 °C, Rf = 0,37. IV (ATR) νmáx/cm-1: 3106, 3067, 2982, 2932, 2863, 2812, 2749, 2160, 2026, 1783, 1646, 1511, 1471, 1321, 1234, 1181, 1125, 1081, 1072, 1041, 888, 635, 516, 485. RMN de 1H (400 MHz, CDCl3) δ: 1,50-1,55 (m, 6H); 2,70-2,72 (m, 4H); 4,62 (s, 2H); 4,79 (s, 2H); 7,20 (d, 1H, J = 8,4 Hz); 7,32 (s, 4H); 7,63 (dd, 1H, J = 2,2 Hz e J = 8,6 Hz); 7,84 (d, 1H, J = 2,2 Hz); 8,31 (s, 1H). RMN de 13C (100 MHz, CDCl3) δ: 23,7; 25,8; 51,9; 63,5; 71,5; 120,0; 123,6 (q, JC-F = 270,0 Hz); 124,0; 124,1 (q, JC-F = 3,7 Hz); 124,6 (q, JC-F = 33,5 Hz); 127,0 (q, JC-F = 3,7 Hz); 128,5; 129,0; 129,9; 133,4; 136,3; 145,2; 149,73. HRMS (M+Na+): calculado para C22H22ClF3N4NaO: 473,13264; encontrado 473,13271. HRMS (2M+Na+): calculado para C44H44Cl2F6N8NaO2: 932,27607; encontrado: 923,27610.

1- (2-(4-(((4-bromobenzil)oxi)metil)-1H-1,2,3-triazol-1-il)-4-(trifluorometil)fenil) piperidina (14)

Sólido amarelo, obtido com 64% de rendimento, purificado por cromatografia em coluna de sílica gel eluída com hexano-acetato de etila (4:1 v v-1), P.f. = 66,1-67,2 °C, Rf = 0,32. IV (ATR) νmáx/cm-1: 3108, 3067, 2982, 2932, 2863, 2822, 2359, 2158, 2017, 1977, 1785, 1723, 1620, 1511, 1468, 1450, 1320, 1231, 1179, 1119, 1080, 1046, 1009, 920, 860, 800, 761, 702, 635, 520, 502. RMN de 1H (400 MHz, CDCl3) δ: 1,50-1,55 (m, 6H); 2,71 (t, 4H, J = 4,4 Hz); 4,60 (s, 2H); 4,79 (s, 2H); 7,20 (d, 1H, J = 8,8 Hz); 7,25 (d, 2H, J = 8,4 Hz); 7,48 (d, 2H, J = 8,4 Hz); 7,63 (dd, 1H, J = 2,0 Hz e J = 8,8 Hz); 7,84 (d, 1H, J = 2,0 Hz); 8,31 (s, 1H). RMN de 13C (100 MHz, CDCl3) δ: 23,7; 25,8; 51,9; 63,6; 71,5; 120,0; 121,6; 123,6 (q, JC-F = 270,0 Hz); 124,0; 124,1 (q, JC-F = 4,0 Hz); 124,6 (q, JC-F = 33,5 Hz); 127,0 (q, JC-F = 3,7 Hz); 129,3; 129,9; 131,5; 136,9; 145,2; 149,7. HRMS (M+Na+): calculado para C22H22BrF3N4NaO: 517,08213; encontrado 517,08225. HRMS (2M+Na+): calculado para C44H44Br2F6N8NaO2: 1011,17504; encontrado: 1011,17533.

2- ((1-(2-piperidin-1-il)-5-(trifluorometil)fenil)-1H-1,2,3,-triazol-4-il)metil isoindolina-1,3-diona (15)

Sólido amarelo, obtido com 70% de rendimento, purificado por cromatografia em coluna de sílica gel eluída com hexano-acetato de etila (2,5:1 v v-1), P.f. = 187,5-188,4 °C, Rf = 0,30. IV (ATR) νmáx/cm'1: 3178, 3095, 3059, 2940, 2920, 2857, 2822, 2169, 1766, 1709, 1619, 1512, 1472, 1391, 1327, 1224, 1142, 1107, 1082, 1040, 942, 894, 812, 757, 709, 683, 637, 527, 497. RMN de 1H (400 MHz, CDCl3) δ: 1,38-1,45 (m, 6H); 2,67 (t, 4H, J = 5,2 Hz); 5,11 (sl, 2H); 7,17 (d, 1H, J = 8,4 Hz); 7,60 (dd, 1H, J = 1,6 Hz e J = 8,4 Hz); 7,71-7,76 (m, 2H); 7,79 (d, 1H, J = 1,6 Hz); 7,85-7,90 (m, 2H); 8,35 (s, 1H). RMN de 13C (100 MHz, CDCl3) δ: 23,7; 25,7; 33,0; 51,9; 120,0; 123,4; 123,6 (q, JC-F = 270,0 Hz); 124,1 (q, JC-F = 4,0 Hz); 124,3; 124,6 (q, JC-F = 33,5 Hz); 127,0 (q, JC-F = 3,7 Hz); 130,0; 132,0; 134,2; 143,1; 149,8; 167,6. HRMS (2M+Na+): calculado para C46H40F6N10NaO4: 933,30304; encontrado: 933,30298.

1-(2-(4-(((benzil)oxi)metil)-1H-1,2,3-triazol-1-il)-4-(trifluorometil) fenil) piperidina (16)

Sólido amarelo palha, obtido com 90% de rendimento, purificado por cromatografia em coluna de sílica gel eluída com hexano-acetato de etila (2,5:1 v v-1), P.f. = 52,2-53,1 °C, Rf = 0,45. IV (ATR) νmáx/cm-1: 3143, 3037, 2943, 2868, 2818, 2161, 1618, 1511, 1454, 1344, 1322, 1256, 1125, 1064, 1036, 1015, 899, 816, 745, 697, 638, 518, 488. RMN de 1H (400 MHz, CDCl3) δ: 1,46-1,56 (m, 6H); 2,71 (t, 4H, J = 5,0 Hz); 4,66 (s, 2H); 4,81 (s, 2H); 7,20 (d, 1H, J = 8,4 Hz); 7,27-7,40 (m, 5H); 7,62 (dd, 1H, J = 2,4 Hz e J = 8,4 Hz); 7,83 (d, 1H, J = 2,4 Hz); 8,30 (s, 1H). RMN de 13C (100 MHz, CDCl3) δ: 23,7; 25,8; 51,9; 63,6; 72,4; 119,9; 123,7 (q, JC-F = 270,0 Hz); 123,9; 124,1 (q, JC-F = 3,7 Hz); 124,6 (q, Jc-f = 33,5 Hz); 126,9 (q, Jc-f = 3,7 Hz); 127,7; 127,7; 128,4; 129,9; 137,8; 145,5; 149,7. HRMS (M+Na+): calculado para C22H23F3N4NaO: 439,17162; encontrado 439,17174. HRMS (2M+Na+): calculado para C44H46F6N8NaO2: 855,35401; encontrado: 855,35402.

1- (2-(4-(((4-metoxibenzil)oxi)metil)-1H-1,2,3-triazol-1-il)-4-(trifluorometil)fenil) piperidina (17)

Sólido amarelo palha, obtido com 90% de rendimento, purificado por cromatografia em coluna de sílica gel eluída com hexano-acetato de etila (2,5:1 v v-1), P.f. = 92,7-93,7 °C, Rf = 0,38. IV (ATR) νmáx/cm-1: 3127, 3085, 2934, 2853, 2833, 2164, 2059, 1982, 1798, 1617, 1511, 1466, 1380, 1327, 1236, 1166, 1143, 1114, 1026, 921, 899, 833, 738, 634, 571, 518, 450. RMN de 1H (400 MHz, CDCl3) δ: 1,49-1,56 (m, 6H, H4'); 2,71 (t, 4H, J = 4,0 Hz); 3,81 (s, 3H); 4,59 (sl, 2H); 4,77 (sl, 2H); 6,87-6,91 (m, 2H); 7,20 (d, 1H, J = 8,8 Hz); 7,29-7,32 (m, 2H); 7,62 (dd, 1H, J = 1,6 Hz e J = 8,4 Hz); 7,83 (d, 1H, J = 2,0 Hz); 8,28 (sl, 1H). RMN de 13C (100 MHz, CDCl3) δ: 23,8; 25,9; 52,0; 5,3; 63,3; 72,1; 113,8; 120,0; 123,7 (q, JC-F = 270,0 Hz); 123,9; 124,2 (q, JC-F = 4,0 Hz); 124,9 (q, JC-F = 33,5 Hz); 127,0 (q, JC-F = 3,6 Hz); 129,5; 129,9; 130,0; 145,6; 149,8; 159,3. HRMS (2M+Na+): calculado para C46H50F6N8NaO4: 915,37514; encontrado: 915,37520.

N,N-dietil-2-(4-(((4-metoxibenzil)oxi)metil)-1H-1,2,3-triazol-1-il)-4-(trifluorometil)anilina (18)

Sólido amarelo palha, obtido com 76% de rendimento, purificado por cromatografia em coluna de sílica gel eluída com hexano-acetato de etila (3:1 v v-1), P.f. = 54,0-55,1 °C, Rf = 0,32. IV (ATR) νmáx/cm-1: 3115, 3080, 2974, 2938, 2843, 2160, 2031, 1619, 1515, 1472, 1370, 1325, 1276, 1243, 1167, 1120, 1088, 1032, 894, 822, 782, 722, 679, 613, 555, 516, 447. RMN de 1H (400 MHz, CDCl3) δ: 0,96 (t, 6H, J = 7,0 Hz); 2,72 (q, 4H, J = 7,1 Hz); 3,81 (s, 1H); 4,58 (s, 2H); 4,75 (s, 2H); 6,89 (d, 2H, J = 8,4 Hz); 7,21 (d, 1H, J = 8,4 Hz); 7,30 (d, 2H, J = 8,4 Hz); 7,61 (dd, 1H, J = 1,8 Hz e J = 8,6 Hz); 7,80 (d, 1H, J = 2,0 Hz); 8,12 (s, 1H). RMN de 13C (100 MHz, CDCl3) δ: 11,9; 45,5; 55,3; 63,2; 72,1; 113,9; 122,1; 123,7 (q, JC-F = 269,7 Hz); 124,1; 124,2 (q, JC-F = 33,5 Hz); 124,8 (q, JC-F = 4,0 Hz); 126,5 (q, JC-F = 3,7 Hz); 129,6; 129,9; 130,7; 145,5; 147,4; 159,4. HRMS (M+Na+): calculado para C22H25F3N4NaO2: 457,18218; encontrado 457,18231. HRMS (2M+Na+): calculado para C44H50F6N8NaO4: 891,37514; encontrado: 891,37529.

2- ((1-(2-(dietilamino)-5-(trifluorometil)fenil)-1H-1,2,3-triazol-4-il) metil)isoindolina-1,3-diona (19)

Óleo amarelo, obtido com 76% de rendimento, purificado por cromatografia em coluna de sílica gel eluída com hexano-acetato de etila (2,5:1 v v-1), Rf = 0,20. IV (ATR) νmáx/cm-1: 3148, 3066, 2974, 2935, 2874, 2161, 1773, 1713, 1619, 1514, 1469, 1428, 1390, 1324, 1269, 1166, 1115, 1081, 1040, 936, 896, 825, 761,712, 678, 608, 529, 457. RMN de 1H (400 MHz, CDCl3) δ: 0,94 (t, 6H, J = 7,0 Hz); 2,84 (q, 4H, J = 7,2 Hz); 5,09 (s, 1H); 7,19 (d, 1H, J = 8,4 Hz); 7,59 (dd, 1H, J = 1,8 Hz e J = 8,6 Hz); 7,72-7,76 (m, 3H); 7,86-7,88 (m, 2H); 8,19 (s, 1H). RMN de 13C (100 MHz, CDCl3) δ: 11,8; 33,0; 45,3; 122,1; 123,5; 123,7 (q, JC-F = 269,7 Hz); 124,1 (q, JC-F =33,5 Hz); 124,5; 124,7 (q, JC-F = 4,0 Hz); 126,5 (q, JC-F = 3,3 Hz); 130,4; 132,5; 134,2; 142,9; 147,6; 167,7. HRMS (M+Na+): calculado para C22H20F3N5NaO2: 466,14613; encontrado 466,14628. HRMS (2M+Na+): calculado para C44H40F6N10NaO4: 909,30304; encontrado: 909,30310.

2-((1-(2-(pirrolidin-1-il)-5-(trifluorometil)fenil)-1H-1,2,3-triazol-4-il)metil)isoindolina-1,3-diona (20)

Sólido amarelo, obtido com 77% de rendimento, purificado por cromatografia em coluna de sílica gel eluída com hexano-acetato de etila (3:2 v v-1), P.f. = 172,4-172,9 °C, Rf = 0,28. IV (ATR) νmáx/cm-1: 3136, 3089, 2978, 2954, 2873, 2362, 2161,2010, 1766, 1708, 1621, 1560, 1527, 1470, 1433, 1394, 1324, 1274, 1231, 1177, 1149, 1100, 1084, 1042, 1020, 938, 896, 854, 804, 766, 715, 667, 648, 612, 529, 500, 483. RMN de 1H (400 MHz, CDCl3) δ: 1,76-1,81 (m, 4H); 2,88 (t, 4H, J = 6,4 Hz); 5,09 (s, 2H); 6,84 (d, 1H, J = 8,8 Hz); 7,37 (d, 1H, J = 2,0 Hz); 7,51 (dd, 1H, J = 2,0 Hz e J = 8,8 Hz); 7,73-7,75 (m, 2H); 7,82 (s, 1H); 7,87-7,89 (m, 2H). RMN de 13C (100 MHz, CDCl3) δ: 25,4; 33,1; 48,9; 115,3; 118,0 (q, JC-F =33,7 Hz); 121,6; 123,6; 124,1 (q, JC-F = 269,0 Hz); 126,9; 127,0 (q, JC-F = 4,0 Hz); 127,7 (q, JC-F = 3,3 Hz); 132,0; 134,2; 142,8; 146,5; 167,7. HRMS (M+Na+): calculado para C22H18F3N5NaO2: 464,13048; encontrado 464,13055. HRMS (2M+Na+): calculado para C44H36F6N10NaO4: 905,27174; encontrado: 905,27187.

2-((1-(2-(pirrolidin-1-il)-5-(trifluorometil)fenil)-1H-1,2,3-triazol-4-il)metil)isoindolina-1,3-diona (21)

Sólido amarelo palha, obtido com 68% de rendimento, purificado por cromatografia em coluna de sílica gel eluída com hexano-acetato de etila (3:2 v v-1), P.f. = 50,6-51,2 °C, Rf = 0,44. IV (ATR) νmáx/cm-1: 3140, 3082, 2969, 2897, 2853, 2161, 2008, 1617, 1514, 1464, 1414, 1374, 1322, 1277, 1250, 1225, 1147, 1097, 1069, 1037, 1002, 956, 914, 855, 827, 805, 772, 705, 649, 576, 521,485. RMN de 1H (400 MHz, CDCl3) δ: 1,79-1,82 (m, 4H); 2,92 (t, 4H, J = 6,6 Hz); 3,81 (s, 3H); 4,59 (s, 2H); 4,75 (s, 2H); 6,86 (d, 1H, J = 8,8 Hz); 6,88-6,91 (m, 2H); 7,28-7,32 (m, 2H); 7,38 (d, 1H, J = 2,0 Hz); 7,54 (dd, 1H, J = 2,0 Hz e J = 8,8 Hz); 7,76 (s, 1H,). RMN de 13C (100 MHz, CDCl3) δ: 25,4; 48,9; 55,3; 63,3; 72,3; 113,9; 115,3; 118,0 (q, JC-F = 33,7 Hz); 121,7; 124,1 (q, JC-F = 268,7 Hz); 126,6; 127,0 (q, JC-F = 4,0 Hz); 127,7 (q, JC-F = 3,7 Hz); 129,6; 129,8; 145,5; 146,5; 159,4. HRMS (M+Na+): calculado para C22H23F3N4NaO2: 455,16653; encontrado 455,16668. HRMS (2M+Na+): calculado para C44H46F6N8NaO4: 887,34384; encontrado: 887,34399.

4-(((4-bromobenzil)oxi)metil)-1-(2-(pirrolidin-1-il)-5-(trifluoro-metil)fenil)-1H-1,2,3-triazol (22)

Sólido marrom claro, obtido com 71% de rendimento, purificado por cromatografia em coluna de sílica gel eluída com hexano-acetato de etila (3:2 v v-1), P.f. = 83,1-84,0 °C, Rf = 0,50. IV (ATR) νmáx/cm-1: 3145, 3067, 2968, 2951, 2898, 2855, 2158, 2022, 1798, 1619, 1525, 1486, 1470, 1410, 1375, 1322, 1274, 1247, 1142, 1099, 1071, 1041, 1002, 954, 901, 846, 801, 764, 702, 647, 579, 513. RMN de 1H (400 MHz, CDCl3) δ: 1,79-1,82 (m, 4H); 2,91 (t, 4H, J = 6,4 Hz); 4,61 (s, 2H); 4,77 (s, 2H); 6,86 (d, 1H, J = 8,8 Hz); 7,49 (d, 2H, J = 8,4 Hz); 7,39 (d, 1H, J = 1,6 Hz); 7,47-7,50 (m, 2H); 7,54 (dd, 1H, J = 2,0 Hz e J = 8,8 Hz); 7,78 (s, 1H). RMN de 13C (100 MHz, CDCl3) δ: 25,4; 49,0; 63,7; 71,8; 115,3; 118,1 (q, JC-F = 33,7 Hz); 121,7; 121,8; 124,1 (q, JC-F = 268,7 Hz); 126,6; 127,0 (q, JC-F = 4,0 Hz); 127,7 (q, JC-F = 3,7 Hz); 129,5; 131,6; 136,8; 145,1; 146,5. HRMS (M+Na+): calculado para C21H20BrF3N4NaO: 503,06648; encontrado 503,0660 HRMS (2M+Na+): calculado para C42H40Br2F6N8NaO2: 983,14374; encontrado: 983,14398.

4-(((benzil)oxi)metil)-1-(2-(pirrolidin-1-il)-5-(trifluorometil)fenil)-1H-1,2,3-triazol (23)

Óleo amarelo, obtido com 36% de rendimento, purificado por cromatografia em coluna de sílica gel eluída com hexano-acetato de etila (2:1 v v-1), Rf = 0,40. IV (ATR) νmáx/cm-1: 3140, 3064, 3032, 2970, 2870, 2159, 2007, 1718, 1621, 1563, 1525, 1456, 1374, 1324, 1273, 1249, 1150, 1106, 1081, 1040, 956, 898, 810, 736, 698, 648, 603, 537, 502, 485. RMN de 1H (400 MHz, CDCl3) δ: 1,79-1,82 (m, 4H); 1,92 (t, 4H, J = 6,6 Hz); 4,66 (s, 2H); 4,79 (s, 2H,); 6,86 (d, 1H, J = 9,2 Hz); 7,29-7,38 (m, 5H); 7,54 (dd, 1H, J = 2,2 Hz e J = 9,0 Hz); 7,77 (s, 1H). RMN de 13C (100 MHz, CDCl3) δ: 25,4; 48,9; 63,7; 72,7; 115,3; 118,0 (q, JC-F = 33,7 Hz); 121,7; 124,2 (q, JC-F = 268,3 Hz); 126,6; 127,0 (q, JC-F= 4,0 Hz); 127,7 (q, JC-F= 3,3 Hz); 127,9; 128,5; 137,7; 145,4; 146,5. HRMS (M+Na+): calculado para C21H21F3N4NaO: 425,15597; encontrado 425,15604. HRMS (2M+Na+): calculado para C42H42F6N8NaO2: 827,32271; encontrado: 827,32292.

4-(((4-clorobenzil)oxi)metil)-1-(2-(pirrolidin-1-il)-5-(trifluoro-metil)fenil)-1H-1,2,3-triazol (24)

Sólido amarelo, obtido com 53% de rendimento, purificado por cromatografia em coluna de sílica gel eluída com hexano-acetato de etila (2:1 v v-1), P.f. = 69,7-70,5 °C, Rf = 0,36. IV (ATR) νmáx/cm-1: 3142, 2970, 2929, 2869, 2160, 2030, 1900, 1721, 1621, 1563, 1524, 1489, 1463, 1374, 1324, 1272, 1249, 1150, 1108, 1081, 1040, 1014, 957, 898, 807, 765, 705, 649, 536, 485. RMN de 1H (400 MHz, CDCl3) δ: 1,79-1,82 (m, 4H); 2,91 (t, 4H, J = 6,4 Hz); 4,62 (s, 2H); 4,77 (s, 2H); 6,86 (d, 1H, J = 9,2 Hz); 7,30-7,35 (m, 4H); 7,39 (d, 1H, J = 2,0 Hz); 7,54 (dd, 1H, J = 1,8 Hz e J = 9,0 Hz); 7,78 (s, 1H). RMN de 13C (100 MHz, CDCl3) δ: 25,4; 49,0; 63,6; 71,8; 115,3; 118,1 (q, JC-F= 33,7 Hz); 121,7; 124,1 (q, JC-F= 268,7 Hz); 126,6; 127,0 (q, JC-F= 4,0 Hz); 127,7 (q, JC-F= 3,3 Hz); 128,7; 129,2; 133,6; 136,2; 145,1; 145,5. HRMS (M+Na+): calculado para C21H20ClF3N4NaO: 459,11699; encontrado 459,11711. HRMS (2M+Na+): calculado para C42H40Cl2F6N8NaO2: 895,24477; encontrado: 895,24501.

4-(2-(4-(((4-fluorobenzil)oxi)metil)-1H-1,2,3-triazol-1-il)-4-(trifluorometil)fenil)morfolina (25)

Sólido amarelo palha, obtido com 72% de rendimento, purificado por cromatografia em coluna de sílica gel eluída com hexano-acetato de etila (3:2 v v-1), P.f. = 71,5-72,4 °C, Rf = 0,34. IV (ATR) νmáx/cm-1: 3151, 3074, 2963, 2857, 2160, 2029, 1730, 1621, 1511, 1473, 1453, 1375, 1323, 1280, 1223, 1162, 1114, 1081, 1039, 932, 922, 898, 823, 777, 688, 646, 566, 401. RMN de 1H (500 MHz, CDCl3) δ: 2,77 (t, 4H, J = 4,5 Hz); 3,67 (t, 4H, J = 4,5 Hz); 4,65 (s, 2H); 4,80 (s, 2H); 7,05-7,09 (m, 2H); 7,23 (d, 1H, J = 8,5 Hz); 7,36-7,39 (m, 2H); 7,71 (dd, 1H, J = 3,0 Hz e J = 8,5 Hz); 7,84 (d, 1H, J = 1,5 Hz); 8,25 (s, 1H). RMN de 13C (125 MHz, CDCl3) δ: 50,9; 63,5; 66,6; 71,9; 115,4 (d, JC-F= 21,3 Hz); 119,7; 124,0; 124,6 (q, JC-F= 270,0 Hz); 125,2 (q, JC-F= 3,8 Hz); 125,6 (q, JC-F= 33,8 Hz); 127,5 (q, JC-F= 3,3 Hz); 129,6 (d, JC-F= 7,5 Hz); 130,1; 133,5 (d, JC-F = 2,5 Hz); 145,8; 148,6; 162,5 (d, JC-F=243,8 Hz). HRMS (M+Na+): calculado para C21H20F4N4NaO2: 459,14146; encontrado 459,14157. HRMS (2M+Na+): calculado para C42H40F8N8NaO4: 895,29370; encontrado: 895,29390.

4-(4-(trifluorometil)-2-(4-(((4-(trifluorometil)benzil)oxi)metil)-1H-1,2,3-triazol-1-il)fenil)morfolina (26)

Sólido amarelo palha, obtido com 72% de rendimento, purificado por cromatografia em coluna de sílica gel eluída com hexano-acetato de etila (3:2 v v-1), P.f. = 78,2-78,9 °C, Rf = 0,25. IV (ATR) νmáx/cm-1: 3151, 3049, 2963, 2862, 2160, 2035, 1621, 1515, 1478, 1449, 1415, 1376, 1321, 1283, 1230, 1160, 1110, 1065, 1040, 1011, 930, 919, 850, 827, 689, 644, 596, 506. RMN de 1H (500 MHz, CDCl3) δ: 2,77 (t, 4H, J = 4,5 Hz); 3,67 (t, 4H, J = 4,5 Hz); 4,75 (s, 2H); 4,83 (s, 2H); 7,24 (d, 1H, J = 8,5 Hz); 7,52 (d, J = 8,0 Hz); 7,65 (d, J = 8,5 Hz); 7,71 (dd, 1H, J = 2,0 Hz e J = 8,5 Hz); 7,85 (d, 1H, J = 2,5 Hz); 8,27 (s, 1H). RMN de 13C (125 MHz, CDCl3) δ: 50,9; 63,8; 66,6; 71,7; 119,7; 123,5 (q, JC-F= 270,4 Hz); 124,1; 124,1 (q, Jc-f = 270,4 Hz); 124,7 (q, JC-F = 3,75 Hz); 125,5 (q, .1. = 3,75 Hz); 125,9 (q, JC-F= 33,5 Hz); 127,5 (q, JC_F = 3,3 Hz); 127,6; 130,0 (q, JC-F= 32,1 Hz); 130,1; 141,9; 145,6; 148,6. HRMS (M+Na+): calculado para C22H20F6N4NaO2: 509,13827; encontrado 509,13840. HRMS (2M+Na+): calculado para C44H40F12N8NaO4: 995,28731; encontrado: 995,28753.

4-(((4-fluorobenzil)oxi)metil)-1-(2-(pirrolidin-1-il)-5-(trifluoro-metil)fenil)-1H-1,2,3-triazol (27)

Sólido amarelo palha, obtido com 55% de rendimento, purificado por cromatografia em coluna de sílica gel eluída com hexano-acetato de etila (3:2 v v-1), P.f. = 68,9-69,7 °C, Rf = 0,38. IV (ATR) νmáx/cm-1: 3133, 3096, 3049, 2976, 2951, 2869, 2849, 2810, 2162, 2030, 1735, 1620, 1601, 1562, 1510, 1461, 1414, 1361, 1331, 1314, 1282, 1223, 1149, 1110, 1066, 1043, 1014, 927, 814, 789, 697, 642, 564, 495. RMN de 1H (500 MHz, CDCl3) δ: 1,81-1,84 (m, 4H); 2,94 (t, 4H, J = 6,8 Hz); 4,64 (s, 2H); 4,79 (s, 2H); 6,88 (d, 1H, J = 9,0 Hz); 7,04-7,09 (m, 2H); 7,35-7,39 (m, 2H); 7,41 (d, 1H, J = 2,0 Hz); 7,57 (dd, 1H, J = 2,5 Hz e J = 9,0 Hz); 7,98 (s, 1H). RMN de 13C (125 MHz, CDCl3) δ: 25,4; 48,9; 63,6; 71,9; 115,4 (d, JC-F = 21,3 Hz); 115,4; 118,1 (q, JC-F = 33,8 Hz); 122,0; 124,1 (q, JC-F = 268,8 Hz); 126,6; 127,0 (q, JC-F = 3,75 Hz); 127,7 (q, JC-F = 3,3 Hz); 129,7 (d, JC-F = 8,8 Hz); 133,5 (d, JC-F = 3,8 Hz); 145,2; 146,5; 162,5 (d, JC-F = 245,0 Hz). HRMS (M+Na+): calculado para C21H20F4N4NaO: 443,14655; encontrado 443,14666. HRMS (2M+Na+): calculado para C42H40F8N8NaO2: 863,30387; encontrado: 863,30395.

1-(2-(pirrolidin-1-il)-5-(trifluorometil)fenil)-4-(((4-(trifluorometil) benzil)oxi)metil)-1H-1,2,3-triazol (28)

Óleo amarelo, obtido com 59% de rendimento, purificado por cromatografia em coluna de sílica gel eluída com hexano-acetato de etila (3:2 v v-1), Rf = 0,34. IV (ATR) νmáx/cm-1: 3136, 2972, 2873, 2362, 2160, 2032, 1621, 1563, 1525, 1464, 1374, 1322, 1273, 1250, 1152, 1106, 1064, 1040, 1017, 956, 899, 811, 768, 705, 642, 593, 500. RMN de 1H (500 MHz, CDCl3) δ: 1,81-1,84 (m, 4H); 2,922,95 (m, 4H); 4,74 (s, 2H); 4,82 (s, 2H); 6,89 (d, 1H, J = 9,0 Hz); 7,42 (d, 1H, J = 2,5 Hz); 7,52 (d, 2H, J = 8,0 Hz); 7,57 (dd, 1H, J = 2,5 Hz e J = 9,0 Hz); 7,64 (d, 2H, J = 8,0 Hz); 7,82 (s, 1H). RMN de 13C (125 MHz, CDCl3) δ: 25,4; 49,0; 63,9; 71,7; 115,4; 118,1 (q, JC-F = 33,8 Hz); 121,7; 124,1 (q, JC-F = 269,6 Hz); 125,4 (q, JC-F = 3,8 Hz); 126,6; 126,9 (q, JC-F = 3,8 Hz); 127,7; 127,8 (q, JC-F = 2,5 Hz); 130,0 (q, JC-F = 32,5 Hz); 141,9; 144,9; 146,6. HRMS (M+Na+): calculado para C22H20F6N4NaO: 493,14335; encontrado 493,14349. HRMS (2M+Na+): calculado para C44H40F12N8NaO2: 963,29748; encontrado: 963,29771.

1-(2-(4-(((4-fluorobenzil)oxi)metil)-1H-1,2,3-triazol-1-il)-4-(trifluorometil)fenil)piperidina (29)

Óleo laranja, obtido com 86% de rendimento, purificado por cromatografia em coluna de sílica gel eluída com hexano-acetato de etila (2:1 v v-1), Rf = 0,58. IV (ATR) νmáx/cm-1: 3153, 3070, 2938, 2857, 2818, 2160, 2032, 1620, 1510, 1470, 1382, 1322, 1275, 1222, 1168, 1118, 1080, 1038, 1014, 921, 897, 820, 776, 685, 637, 567, 519, 499. RMN de 1H (500 MHz, CDCl3) δ: 1,48-1,57 (m, 6H); 2,74 (t, 4H, J = 5,0 Hz); 4,64 (s, 2H); 4,81 (s, 2H); 7,04-7,08 (m, 2H); 7,22 (d, 1H, J = 8,5 Hz); 7,36-7,38 (m, 2H); 7,65 (dd, 1H, J = 2,0 Hz e J = 9,0 Hz); 7,86 (d, 1H, J = 2,0 Hz); 8,32 (s, 1H). RMN de 13C (125 MHz, CDCl3) δ: 23,8; 25,9; 52,0; 63,5; 71,6; 115,3 (d, JC-F = 21,3 Hz); 120,0; 123,7 (q, JC-F = 270,0 Hz); 124,0; 124,2 (q, JC-F = 3,8 Hz); 124,7 (q, JC-F = 33,3 Hz); 127,0 (q, JC-F = 3,8 Hz); 129,5 (d, JC-F = 7,5 Hz); 130,0; 133,7 (d, JC-F = 3,8 Hz); 145,3; 149,8; 162,4 (d, JC-F = 245,0 Hz). HRMS (M+Na+): calculado para C22H22F4N4NaO: 457,16220; encontrado 457,16229. HRMS (2M+Na+): calculado para C44H44F8N8NaO2: 891,33517; encontrado: 891,33522.

1-(4-(trifluorometil)-2-(4-(((4-(trifluorometil)benzil)oxi)metil)-1H-1,2,3-triazol-1-il)fenil)piperidina (30)

Óleo laranja, obtido com 44% de rendimento, purificado por cromatografia em coluna de sílica gel eluída com hexano-acetato de etila (2:1 v v-1), Rf = 0,67. IV (ATR) νmáx/cm-1: 3157, 3070, 2940, 2858, 2819, 2363, 2160, 2032, 1621, 1514, 1471, 1383, 1321, 1276, 1237, 1163, 1115, 1065, 1039, 1017, 921, 898, 821, 767, 725, 686, 637, 593, 519. RMN de 1H (500 MHz, CDCl3) δ: 1,51-1,59 (m, 6H); 2,75 (t, 4H, J = 4,8 Hz); 4,74 (s, 2H); 4,87 (s, 2H); 7,25 (d, 1H, J = 8,5 Hz); 7,51 (d, 2H, J = 8,0 Hz); 7,64 (d, 2H, J = 8,0 Hz); 7,78 (dd, 1H, J = 1,5 Hz e J = 8,5 Hz); 7,86 (d, 1H, J = 1,5 Hz); 8,38 (s, 1H). RMN de 13C (125 MHz, CDCl3) δ: 23,8; 25,9; 52,0; 63,7; 71,6; 120,1; 124,2 (q, JC-F = 3,8 Hz); 124,7 (q, JC-F = 270,6 Hz); 125,0 (q, JC-F = 33,3 Hz); 125,4 (JC-F = 3,8 Hz); 127,2; 127,6; 141,9; 145,0; 149,8. HRMS (M+Na+): calculado para C23H22F6N4NaO: 507,15900; encontrado 507,15906. HRMS (2M+Na+): calculado para C46H44F12N8NaO2: 991,32878; encontrado: 991,32889.

4-(2-(4-(((4-metilbenzil)oxi)metil)-1H-1,2,3-triazol-1-il)-4-(trifluorometil)fenil)morfolina (31)

Sólido amarelo palha, obtido com 64% de rendimento, purificado por cromatografia em coluna de sílica gel eluída com hexano-acetato de etila (3:2 v v-1), P.f. = 77,3-78,1 °C, Rf = 0,39. IV (ATR) νmáx/cm-1: 3142, 2960, 2894, 2856, 2160, 2025, 1735, 1621, 1515, 1473, 1453, 1375, 1323, 1280, 1233, 1163, 1114, 1081, 1038, 1019, 932, 921,897, 823, 803, 749, 687, 645, 569, 539, 483. RMN de 1H (500 MHz, CDCl3) δ: 2,37 (s, 3H); 2,75-2,77 (m, 4H); 3,66-3,68 (m, 4H); 4,64 (s, 2H); 4,79 (s, 2H); 7,19-7,30 (m, 5H); 7,70 (dd, J = 2,0 Hz e J = 8,5 Hz); 7,84 (d, 1H, J = 2,0 Hz); 8,24 (s, 1H). RMN de 13C (125 MHz, CDCl3) δ: 21,2; 50,9; 63,4; 66,6; 72,6; 119,6; 123,5 (q, JC-F = 270,0 Hz); 123,9; 124,7 (q, Jc.f = 3,8 Hz); 125,5 (q, Jc.f = 33,8 Hz); 127,4 (q, JC-F = 3,3 Hz); 127,9; 129,2; 130,1; 134,7; 137,6; 146,1; 148,6. HRMS (M+Na+): calculado para C22H23F3N4NaO2: 455,16653; encontrado 455,16663. HRMS (2M+Na+): calculado para C44H46F6N8NaO4: 887,34384; encontrado: 887,34396.

4-(((4-metilbenzil)oxi)metil)-1-(2-(pirrolidin-1-il)-5-(trifluorometil) fenil)-1H-1,2,3-triazol (32)

Sólido amarelo palha, obtido com 74% de rendimento, purificado por cromatografia em coluna de sílica gel eluída com hexano-acetato de etila (3:2 v v-1), P.f. = 77,3-78,9 °C, Rf = 0,53. IV (ATR) νmáx/cm-1: 3136, 2973, 2952, 2895, 2855, 2161, 1782, 1620, 1558, 1525, 1471, 1413, 1376, 1323, 1273, 1247, 1229, 1145, 1099, 1072, 1041, 1000, 955, 894, 853, 803, 772, 754, 701, 649, 569, 535, 491. RMN de 1H (500 MHz, CDCl3) δ: 1,82-1,84 (m, 4H); 2,37 (s, 3H); 2,94 (t, 4H, J = 6,5 Hz); 4,64 (s, 2H); 4,78 (s, 2H); 6,88 (d, 1H, J = 8,5 Hz); 7,19 (d, J = 8,0 Hz, 2H); 7,27 (d, J = 8,0 Hz, 2H); 7,41 (d, 1H, J = 2,0 Hz); 7,56 (dd, 1H, J = 2,0 Hz e J = 9,0 Hz); 7,78 (s,1H). RMN de 13C (125 MHz, CDCl3) δ: 21,2; 25,4; 48,9; 63,5; 72,6; 115,3; 118,1 (q, JC-F = 33,8 Hz); 121,7; 124,2 (q, JC-F = 268,8 Hz); 126,5; 127,0 (q, JC-F = 4,2 Hz); 127,7 (q, JC-F = 3,8 Hz); 128,0; 129,2; 134,7; 137,7; 145,5; 146,6. HRMS (M+Na+): calculado para C22H23F3N4NaO: 439,17162 encontrado 439,17175.

1-(2-(4-(((4-metilbenzil)oxi)metil)-1H-1,2,3-triazol-1-il)-4-(trifluorometil)fenil)piperidina (33)

Óleo laranja, obtido com 86% de rendimento, purificado por cromatografia em coluna de sílica gel eluída com hexano-acetato de etila (3:1 v v-1), Rf = 0,42. IV (ATR) νmáx/cm-1: 3147, 3053, 2937, 2856, 2817, 2160, 2029, 1620, 1513, 1470, 1382, 1322, 1274, 1236, 1167, 1118, 1080, 1038, 1023, 921,896, 803, 769, 749, 685, 662, 570, 519, 483. RMN de 1H (500 MHz, CDCl3) δ: 1,51-1,56 (m, 6H); 2,37 (s, 3H); 2,74 (t, 4H, J = 5,0 Hz); 4,64 (s, 2H); 4,80 (s, 2H); 7,18-7,30 (m, 5H); 7,65 (dd, 1H, J = 1,5 Hz e J = 8,5 Hz); 7,85 (d, 1H, J = 2,0 Hz); 8,30 (s, 1H). RMN de 13C (125 MHz, CDCl3) δ: 21,2; 23,8; 25,9; 52,0; 63,4; 72,3; 120,0; 123,9; 122,6 (q, JC-F = 270,0 Hz); 124,4 (q, JC-F = 3,8 Hz); 124,8 (q, JC-F = 33,8 Hz); 127,0 (q, JC-F = 3,8 Hz); 127,9; 129,1; 130,0; 134,8; 137,5; 145,6; 149,8. HRMS (M+Na+): calculado para C23H25F3N4NaO: 453,18727; encontrado 453,18735. HRMS (2M+Na+): calculado para C46H50F6N8NaO2: 883,38531; encontrado: 883,38540.

(1-(2-morfolina-5-(trifluorometil)fenil)-1H-1,2,3-triazol-4-il)metil 2-oxo-2H-benzopirano-3-carboxilato (34)

Sólido amarelo palha, obtido com 90% de rendimento, purificado por cromatografia em coluna de sílica gel eluída com acetato de etila-hexano (2:1 v v-1), P.f. = 171,3-173,9 °C, Rf = 0,38. IV (ATR) νmáx/cm-1: 3156, 3063, 2974, 2855, 2361, 2162, 2024, 1977, 1739, 1711, 1607, 1563, 1517, 1460, 1375, 1327, 1301, 1266, 1239, 1208, 1186, 1161, 1110, 1080, 1033, 973, 924, 905, 839, 794, 763, 724, 641, 587, 539, 508, 459. RMN de 1H (400 MHz, CDCl3) δ: 2,76 (t, 4H, J = 4,6 Hz); 3,87 (t, 4H, J = 4,6 Hz); 5,62 (s, 2H); 7,25 (d, 1H, J = 8,4 Hz); 7,35-7,39 (m, 2H); 7,63-7,72 (m, 3H); 7,85 (d, 1H, J = 1,6 Hz); 8,53 (s, 1H); 8,63 (s, 1H). RMN de 13C (100 MHz, CDCl3) δ: 50,9; 58,9; 66,5; 116,9; 117,2; 117,7; 119,8; 123,5 (q, JC-F = 270,0 Hz); 124,6 (q, JC-F = 3,7 Hz); 125,1; 125,6 (q, JC-F = 34,0 Hz); 125,8; 127,6 (q, JC-F = 3,7 Hz); 129,7; 130,0; 134,9; 143,1; 148,6; 149,6; 155,3; 156,5; 162,8. HRMS (M+Na+): calculado para C24H19F3N4NaO5: 523,11998; encontrado 523,12010. HRMS (2M+Na+): calculado para C48H38F6N8NaO10: 1023,25073; encontrado: 1023,25087.

(1-(2-pirrolidina-5-(trifluorometil)fenil)-1H-1,2,3-triazol-4-il)metil 2-oxo-2H-benzopirano-3-carboxilato (35)

Sólido amarelo, obtido em 48% de rendimento, purificado por cromatografia em coluna de sílica gel eluída com hexano-acetato de etila (1:1 v v-1), P.f. = 128,8-129,8 °C, Rf = 0,46. IV (ATR) νmáx/cm-1: 3169, 3060, 2959, 2854, 2360, 2161, 2016, 1980, 1748, 1698, 1607, 1564, 1526, 1459, 1375, 1331, 1270, 1242, 1213, 1553, 1097, 1084, 1034, 992, 956, 921, 883, 793, 772, 726, 705, 639, 589, 531, 505, 455. RMN de 1H (400 MHz, CDCl3) δ: 1,81-1,84 (m, 4H); 1,92 (t, 4H, J = 6,6 Hz); 5,60 (s, 2H); 6,89 (d, 1H, J = 8,8 Hz); 7,357,39 (m, 2H); 7,43 (d, 1H, J = 1,6 Hz); 7,56 (dd, 1H, J = 1,8 Hz e J = 9,0 Hz); 7,64-7,71 (m, 2H); 8,02 (s, 1H); 8,63 (s, 1H). RMN de 13C (100 MHz, CDCl3) δ: 25,4; 49,0; 58,8; 115,4; 116,9; 117,3; 117,8; 118,1 (q, JC-F = 33,7 Hz); 121,5; 125,1; 125,5 (q, JC-F = 269,0 Hz); 126,9 (q, JC-F = 3,7 Hz); 127,8 (q, JC-F = 3,0 Hz); 128,3; 129,7; 134,8; 142,5; 146,5; 149,5; 155,3; 156,6; 162,6. HRMS (M+Na+): calculado para C24H19F3N4NaO4: 507,12506; encontrado 507,12517. HRMS (2M+Na+): calculado para C48H38F6N8NaO8: 991,26090; encontrado: 991,26098.

(1-(2-piperidina-5-(trifluorometil)fenil)-1H-1,2,3-triazol-4-il)metil 2-oxo-2H-benzopirano-3-carboxilato (36)

Sólido branco, obtido com 51% de rendimento, purificado por cromatografia em coluna de sílica gel eluída com hexano-acetato de etila-diclorometano (3:1:3 v v-1), P.f. = 175,6-176,8 °C, Rf = 0,38. IV (ATR) νmáx/cm-1: 3156, 3070, 2944, 2926, 2824, 2361, 2161, 2024, 1980, 1947, 1743, 1714, 1607, 1565, 1516, 1468, 1382, 1328, 1301, 1265, 1233, 1208, 1178, 1100, 1081, 1024, 972, 897, 834, 794, 763, 722, 662, 638, 587, 521, 456. RMN de 1H (400 MHz, CDCl3) δ: 1,48-1,55 (m, 6H); 2,72 (t, 4H, J = 5,0 Hz); 5,62 (s, 2H); 7,22 (d, 1H, J = 8,0 Hz); 7,34-7,38 (m, 2H); 7,62-7,71 (m, 3H); 7,84 (d, 1H, J = 1,6 Hz); 8,54 (s, 1H); 8,62 (s, 1H). RMN de 13C (100 MHz, CDCl3) δ: 23,8; 25,8; 52,0; 58,8; 116,9; 117,2; 117,7; 120,1; 124,1 (q, JC-F = 3,7 Hz); 124,8 (q, JC-F = 33,5 Hz); 125,0; 125,8; 127,2 (q, JC-F = 3,0 Hz); 129,7; 129,9; 134,8; 142,6; 149,4; 149,9; 155,3; 156,5; 162,5. HRMS (M+Na+): calculado para C25H21F3N4NaO4: 521,14071; encontrado 521,14081. HRMS (2M+Na+): calculado para C50H42F6N8NaO4: 1019,29220; encontrado: 1019,29223.

Ensaios biológicos

Linhagem e cultivo

Para a realização dos ensaios biológicos foi utilizada a linhagem celular U87MG de glioblastoma humano. As células foram mantidas em meio de manutenção - DMEM (high glucose) suplementado com 10% de soro fetal bovino, 1% de penicilina e estreptomicina, a 37 °C, em atmosfera com 5% de CO2. Para a realização dos experimentos, as células foram plaqueadas a uma densidade de 1,5x104 células por poço, em placa de 96 poços.

Solubilização dos compostos

Os compostos 7-36 foram pesados e solubilizados em dimetilsulfóxido (DMSO) para preparo de uma solução estoque de 5000 μmol L-1. A partir dela, foram preparadas soluções nas concentrações de 50, 100 e 150 μmol L-1 em meio de manutenção DMEM.49,50

Ensaio de viabilidade celular pelo método MTT

Os compostos 7-36 foram submetidos aos ensaios biológicos para avaliar seus efeitos sobre a linhagem U87MG de glioblastoma humano. O ensaio de viabilidade celular foi realizado empregando o método MTT. Tal método é fundamentado em uma análise colorimétrica baseada na conversão do sal amarelo brometo de 3-(4,5-dimetiltiazol-2-il)-2,5-difeniltetrazólio (MTT) no produto de coloração azul formazan, pela atividade da enzima succinildesidrogenase presente nas mitocôndrias e no citoplasma das células viáveis. Dessa forma, é possível quantificar a porcentagem de células metabolicamente ativas.51,52

Para a realização do ensaio, as células U87MG foram plaqueadas a uma densidade de 1,5 x 104 células/poço em placas de 96 poços e mantidas por 24 h em estufa a 37 °C, em atmosfera umidificada a 5% de CO2. Posteriormente o meio de cultura foi substituído por meio contendo os compostos em diferentes concentrações (50, 100 e 150 μmol L- 1). Os compostos 7-36 foram diluídos em DMEM com 10% de SFB em 0,4% v v-1 DMSO. Após 24, 48 e 72 h de cultura,53 MTT (0,5 mg mL- 1) foi adicionado a cada poço e incubado overnight a 37 °C. A solução de MTT foi então removida e 100 μL de DMSO foram adicionados por poço para solubilizar os cristais de formazan. Após 1 h, a leitura da absorbância foi medida no comprimento de onda de 530 nm em leitor de microplacas (VICTORTM X3 da marca PerkinElmer). Os resultados foram normalizados considerando as culturas tratadas com 0,4% v v-1 de DMSO (controle). A viabilidade foi considerada 100% para o controle e os resultados submetidos às análises estatísticas pelo teste One-way ANOVA (p ≤ 0.05) seguido pelo pós-teste de Tukey utilizando-se o Software GraphPadPrism, versão 5.0. Para a cultura de células, meio de cultura DMEM, solução de penicilina e estreptomicina, e tripsina (0,25%) foram adquiridas da Sigma-Aldrich (St. Louis, MO, EUA). O soro fetal bovino foi adquirido da Cultilab (Campinas, Brasil). O corante MTT foi adquirido da Invitrogen (Eugene, OR, EUA). Dimetilsulfóxido (DMSO) foi adquirido da LGC Biotecnologia (Cotia, Brasil).

Os valores de absorbância foram obtidos e comparados à média dos controles celulares, considerados 100% viáveis. Foram realizados dois experimentos independentes em sextuplicata para cada concentração testada. Os valores de viabilidade referentes às diferentes concentrações dos compostos utilizados nos tratamentos foram submetidos às análises estatísticas pelo teste One-way ANOVA (p ≤ 0.05) seguido pelo pós-teste de Tukey utilizando-se o Software GraphPadPrism, versão 5.0.

 

RESULTADOS E DISCUSSÃO

Síntese dos derivados 1,2,3-triazólicos

A síntese da série de 1,2,3-triazóis inspirados no SRPIN340 teve início com a preparação dos nitrocompostos 2a-d, via reação de substituição nucleofílica aromática, empregando como material de partida o 1-fluoro-2-nitro-4-(trifluorometil)benzeno (1).36,54 O tratamento de 1 com diferentes aminas resultou na obtenção dos nitrocompostos com rendimentos variando de 85-95% (Esquema 1).

 


Esquema 1. Preparação dos nitrocompostos 2a-2d

 

Em seguida, a redução dos nitrocompostos 2a-2d com SnCl2/HCl levou à formação das aminas 3a-3d com rendimentos variando de 61-84% (Esquema 2).36,54

 


Esquema 2. Conversão dos nitrocompostos 2a-d nas aminas 3a-3d

 

As aminas 3a-3d foram convertidas nos correspondentes sais de diazônio que foram, subsequentemente, tratados com azida de sódio, resultando na obtenção das azidas aromáticas 4a-4d (Esquema 3).55

 


Esquema 3. Preparação das azidas 4a-4d

 

Para a obtenção dos derivados 1,2,3-triazólicos, os alcinos terminais mostrados no Esquema 4 foram preparados. Os compostos 5a-5g foram obtidos por meio da reação de catálise de transferência de fase entre diferentes álcoois benzílicos e o brometo de propargila.56,57 O tratamento da ftalimida com brometo de propargila em acetona/K2CO3 levou à obtenção do derivado 5h. Já o alcino 6 foi preparado em duas etapas, conforme mostrado no Esquema 4, a partir do salicilaldeído.58,59

 


Esquema 4. Preparação dos alcinos terminais 5a-5h e 6

 

Uma vez preparados, os alcinos e as azidas foram utilizados em reações CuAAC (reações click) para a obtenção dos derivados 1,2,3-triazólicos (Esquema 5).60,64

 


Esquema 5. Reação CuAAC utilizada na preparação dos 1,2,3-triazóis

 

Foi utilizada a combinação CuSO4/ascorbato de sódio para realização das reações. Essa combinação gera Cu(I) in situ e que corresponde à espécie catalítica da reação. Os derivados foram obtidos com rendimentos de 31-91% e com tempos de reação variando de 30 minutos a 4 horas. Todos os compostos foram caraterizados por técnicas espectroscópicas (espectroscopias no infravermelho e de ressonância magnética nuclear) e espectrometria de massas de alta resolução. As estruturas das substâncias sintetizadas são mostradas na Figura 2.

 


Figura 2. Estruturas dos derivados 1,2,3-triazólicos inspirados no SRPIN340. As porções destacadas em azul correspondem aos fragmentos 4-triflurometilfenil contendo substituintes amino enquanto que os destaques em vermelho correspondem às porções 1,2,3-triazólicas-1,4-dissubstituídas

 

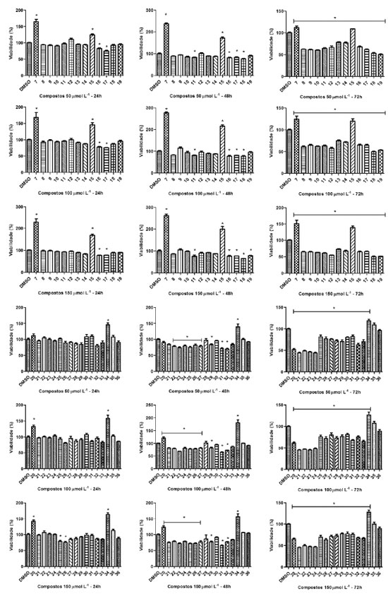
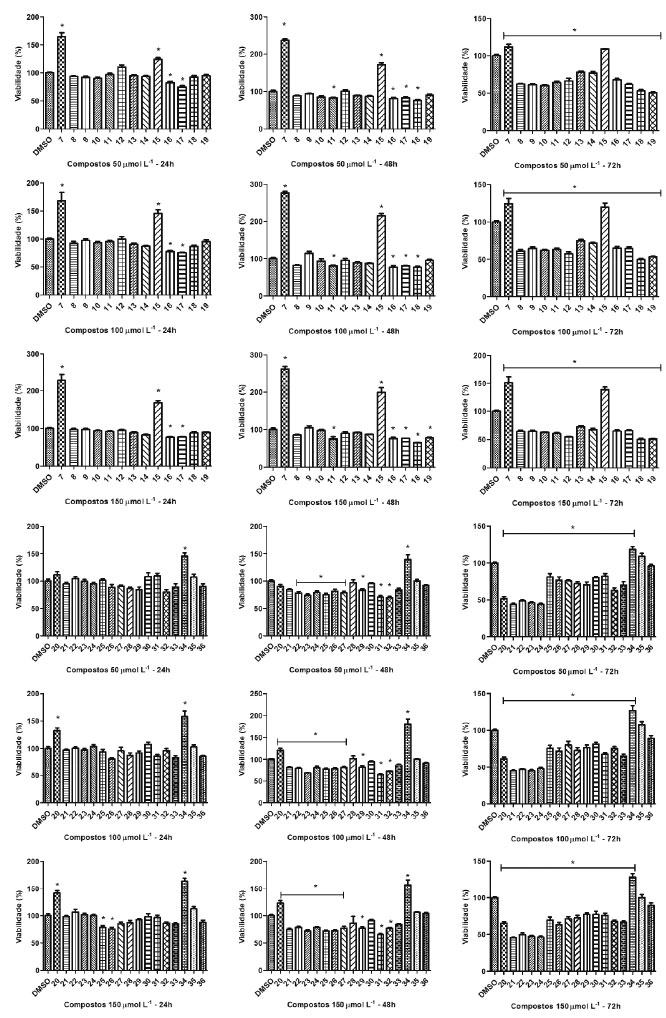
Uma vez sintetizados, procedeu-se à avaliação dos efeitos destes compostos sobre a viabilidade da linhagem celular de glioblastoma humano (U87MG) pelo ensaio de MTT. Esse ensaio, baseado na redução do sal do brometo de tetrazólio, forneceu de forma quantitativa a porcentagem de células com atividade metabólica mitocondrial. Os ensaios de citotoxicidade in vitro apresentam vantagens, como a utilização de células humanas, que podem ser mais relevantes do que alguns testes em animais in vivo.65 Os resultados do efeito de todos os compostos testados em três diferentes concentrações (50, 100 e 150 μmol L'1) estão apresentados na Figura 3. Como os agentes químicos têm capacidade de afetar a viabilidade e o metabolismo das células, três tempos distintos foram estabelecidos para os ensaios. De fato, os resultados obtidos mostraram uma correlação da atividade dos compostos sobre a linhagem celular U87MG, de acordo com o tempo de exposição e a concentração utilizada nos tratamentos.

 


Figura 3. Resultados dos ensaios de avaliação dos efeitos dos compostos 7-36 sobre a linhagem celular U87MG. As substâncias foram avaliadas em três diferentes concentrações (50, 100 e 150 μmol L-1) pelo ensaio de MTT. Os tempos de tratamento foram 24 h, 48 h e 72 h. O asterisco (*) indica que os compostos apresentaram efeitos que foram estatisticamente diferentes do controle

 

A análise dos resultados apresentados na Figura 3 revela que para o período de tratamento de 24 h, os compostos que apresentaram efeitos sobre a linhagem celular U87MG foram 7, 15, 16, 17 e 34. Enquanto as substâncias 16 e 17 reduziram a viabilidade celular (aproximadamente 20% de redução na concentração de 50 μmol L-1 e cerca de 25% na maior concentração), os compostos 7, 15 e 34 aumentaram, respectivamente, a viabilidade em 68%, 24% e 45%. O aumento da concentração potencializou esse efeito, com destaque para o derivado 7 que na maior concentração provocou aumento de 228% de viabilidade celular. Além disso, o composto 20, que não havia apresentado diferença significativa em relação ao controle na menor concentração, provocou aumento de 33% da viabilidade celular.

Quando o tempo de tratamento foi alterado de 24 h para 48 h, observou-se um aumento do número de compostos, a saber, 11, 16-18, 21-27, 29, 31 e 32, capazes de reduzir a viabilidade celular (entre 16% e 31% de redução nas concentrações de 50 e 100 μmol L-1). Com relação às substâncias 7, 15 e 34, que no período de 24 h aumentaram a viabilidade celular, observou-se que no período de 48 h e na concentração de 100 μmol L-1 elas apresentaram um aumento de cerca de 40% na viabilidade celular comparado ao período de tratamento de 24 h. Interessantemente, na maior concentração e para o tempo de 48 h, esses compostos apresentaram ligeira redução na capacidade de aumentar a viabilidade comparado a concentração de 100 μmol L-1. Ainda com relação ao período de 48 h de tratamento, deve ser mencionado que o composto 20, que não havia apresentado diferença estatística em relação ao controle na menor concentração, foi capaz de elevar a viabilidade celular na concentração de 100 μmol L-1, um comportamento similar ao observado para esse composto no período de 24 h.

Com relação ao tempo de tratamento de 72 h, notou-se que dos trinta compostos avaliados, vinte e oito apresentaram diferenças estatísticas significativas em relação ao controle para todas as concentrações avaliadas. Os compostos 35 e 36 não apresentaram nenhum efeito sobre as células U87MG e para o restante dos vinte e oito compostos predominou o comportamento de redução de viabilidade celular. Os compostos 18, 19, 21, 23 e 24 reduziram a viabilidade em mais de 50%.

Do ponto de vista de estrutura-atividade, os compostos 7, 15 e 34 apresentam como características estruturais comuns a presença das subunidades piperidinila ou morfolinila, além de grupos carbonilados (ftalimida e cumarina). Essas características estruturais parecem favorecer o potencial desses compostos em aumentar a viabilidade celular. Com relação às substâncias 18, 19, 21, 23 e 24, que diminuíram a viabilidade celular em mais de 50%, elas apresentam como característica comum a presença de um grupo pirrolidinila ou dimetilamino.

Outro aspecto que deve ser destacado é que a marcante atividade de aumento de viabilidade celular exibida pelos compostos 7, 15 e 34 é atrativa, uma vez que essa bioatividade pode ser útil no desenvolvimento de substâncias com propriedades cicatrizantes.66-68

 

CONCLUSÕES

Utilizando o 1-fluoro-2-nitro-4-(trifluorometil)benzeno (1) como material de partida e uma rota sintética de cinco etapas, uma série inédita de trinta derivados 1,2,3-triazólicos inspirados no SRPIN340 foi preparada. De modo geral, as substâncias foram obtidas com bons rendimentos. Esses compostos foram avaliados frente à linhagem celular de glioblastoma U87MG. Concluiu-se que, enquanto os compostos 35 e 36 não apresentaram efeito sobre as células U87MG, para os demais compostos foram observados efeitos de diminuição e aumento da viabilidade celular. Os efeitos observados são dependentes tanto do tempo de tratamento bem como da concentração utilizada. Em termos de diminuição de viabilidade celular, os efeitos mais pronunciados foram observados para os compostos 18, 19, 21, 23 e 24, que na concentração de 150 μmol L-1 foram capazes de reduzir a viabilidade em mais de 50%. Já para os compostos 7, 15 e 34 foram observados expressivos efeitos de aumento de viabilidade celular, que foram mais pronunciados para o tratamento de 48 h. Acredita-se que essa última bioatividade possa ser utilizada no desenvolvimento de substâncias com propriedades cicatrizantes. Investigações com relação a essa possibilidade estão sendo realizadas e os resultados serão futuramente publicados.

 

MATERIAL SUPLEMENTAR

Todos os dados espectroscópicos utilizados neste trabalho estão disponíveis em http://quimicanova.sbq.org.br, na forma de arquivo PDF, com acesso livre.

 

AGRADECIMENTOS

À Coordenação de Aperfeiçoamento de Pessoal (CAPES) pela concessão de bolsa de estudo a SMRS.

 

REFERÊNCIAS

1. Ministério da Saúde; Instituto Nacional de Câncer José Alencar Gomes da Silva (INCA); ABC do câncer: abordagens básicas para o controle do câncer, 4a ed. rev. atual, INCA: Rio de Janeiro, 2018.

2. Kumar, M. S.; Adki, K. M.; Biomed. Pharmacother. 2018, 105, 233.

3. Hassanpour, S. H.; Dehghani, M.; Journal of Cancer Research and Practice 2017, 4, 127.

4. American Cancer Society; Cancer Facts & Figures 2021, American Cancer Society: Atlanta, 2021.

5. Wittekind, C.; Neid, M.; Oncology 2005, 69 (suppl. 1), 14.

6. https://ourworldindata.org/cancer, acessada em junho 2021.

7. Ferlay, J.; Colombet, M.; Soerjomataram, I.; Mathers, C.; Parkin, D. M.; Pineros, Znaor, A.; Bray, F.; Int. J. Cancer 2019, 144, 1941.

8. INCA; Instituto Nacional do Câncer, disponível em: https://www.inca.gov.br, acessada em junho 2021.

9. Wogan, G. N.; Hecht, S. S.; Felton, J. S.; Conney, A. H.; Loeb, L. W.; Semin. Cancer Biol 2004, 14, 473.

10. Louis, D. N.; Perry, A.; Reifenberger, G.; von Deimling, A.; Figarella-Branger, D.; Cavenee, W. K.; Ohgaki, H.; Wiester, O. D.; Kleihues, P.; Ellison, D. W.; ActaNeuropathol. 2016, 131, 803.

11. Goodenberger, M. L.; Jenkins, R. B.; Cancer Genet. 2012, 205, 613.

12. Omuro, A.; DeAngelis, L. M.; JAMA 2013, 6, 1842.

13. Chen, W.; Lei, C.; Liu, P.; Liu, Y.; Guo, X.; Kong, Z.; Wang, Y.; Dai, C.; Wang, Y.; Ma, W.; Wang, Y.; World Neurosurg. 2020, 134, e387.

14. Shepard, P. J.; Hertel, K.; Genome Biol. 2009, 10, 242.

15. Nikas, I. P.; Themistocleous, S. C.; Paschou, S. A.; Tsamis, K. J.; Ryu, H. S.; Cells 2020, 9, 19.

16. Gianakouros. T.; Nikolakaki, E.; Mylonis, I.; Georgatsou, E.; FEBS Journal 2011, 278, 570.

17. Zhang, Y.; Qian, J.; Gu, C.; Yang, Y; Signal Transduction Targeted Ther. 2021, 6, 78.

18. Oltean, S.; Gammons, M.; Hulse, R.; Hamdollah-Zadeh, M.; Mavrou, A.; Donaldson, L.; Salmon, A. H.; Harper, S. J.; Ladomery, M. R.; Bates, D. O.; Biochem. Soc. Trans. 2012, 40, 831.

19. Qiu, Y.; Hoareau-aveilla, Cor.; Oltean, S.; Harper, S. J.; Bates, D. O.; Biochem. Soc. Trans. 2009, 37, 1207.

20. da Silva, M. R.; Moreira, G. A.; da Silva, R. A. G.; Barbosa, E. A. A.; Siqueira, R. P.; Teixeira, R. R.; Almeida, M. R.; Silva Júnior, A.; Fietto, J. L.; Bressan, G. C.; Biomed. Res. Int. 2015, 2015, 150514.

21. Pauli, F. P.; Barreiro, E. J.; Barbosa, M. L. C.; Rev. Virtual Quim. 2018, 10, 1280.

22. Ghosh, G.; Adams, J. A.; FEBS Journal 2011, 278, 587.

23. Sigala, I.; Tsamis, K. I.; Gousia, A.; Alexiou, G.; Voulgaris, S.; Giannakouros, T.; Kyritsis, A. P.; Nikolakaki, E.; Tumor Biol. 2016, 37, 8699.

24. Karakama, Y.; Sakamoto, N.; Itsui, Y.; Nakagawa, M.; Tasaka-Fujita, M; Nishimura-Sakurai, Y.; Kakinuma, S.; Oooka, M; Azuma, S.; Tsuchiya, K. ; Onogi, H.; Hagiwara, M.; Watanabe, M.; Antimicrob. Agents Chemother. 2010, 54, 3179.

25. Oltean, S.; Gammons, M.; Hulse, R.; Hamdollah-Zadeh, M.; Mavrou, A.; Donaldson, L.; Salmon, A. H.; Hasper, S. J.; Ladomery, M. R.; Bates, D. O.; Biochem. Soc. Trans. 2012, 40, 831.

26. Fukuhara, T.; Hosoya, T.; Shimizu, S.; Sumi, K.; Oshiro, T.; Yoshinaka, Y.; Suzuki, M.; Yamamoto, N.; Herzenberg, L. A.; Hagiwara, M.; Proc. Natl. Acad. Sci. U. S. A. 2006, 103, 11329.

27. Gammons, M. V.; Fedorov, O.; Ivison, D.; Du, C.; Clark, T.; Hopkins, C.; Hagiwara, M.; Dick, A. D.; Cox, R.; Harper, S. J.; Hancox, J. C.; Knapp, S.; Bates, D. O.; Invest. Ophthalmol. Visual Sci. 2013, 54, 6052.

28. Dong, Z.; Noda, K.; Kanda, A.; Fukuhara, J.; Ando, R.; Murata, M.; Saito, W.; Hagiwara, M.; Ishida, S.; Mol. Vision 2013, 19, 536.

29. Takamatsu, Y.; Krahling, V.; Kolesnikova, L.; Halwe, S.; Lier, C.; Baumeister, S.; Noda, T.; Biedenkopf, N.; Becker, S.; mBio 2020, 11, e02565-19.

30. Morooka, S.; Hoshina, M.; Kii, I.; Okabe, T.; Kojima, H.; Inoue, N.; Okuno, Y.; Denawa, M.; Yoshida, S.; Fukuhara, J.; Ninomiya, K.; Ikura, T.; Furuya, T.; Nagano, T.; Noda, K.; Ishida, S.; Hosoya, T.; Ito, N.; Yoshimura, N.; Hagiwara, M.; Mol. Pharmacol. 2015, 88, 316.

31. Mavrou, A.; Brakspear, K.; Hamdollah-Zadeh, M.; Damodaran, G.; Babaei-Jadidi, R.; Oxley, J.; Gillatt, D. A.; Ladomery, M. R.; Harper, S. J.; Bates, D. O.; Oltean, S.; Oncogene 2015, 34, 4311.

32. Harper, S. J.; Bates, D. O.; Gammons, M.; Morris, J.; WO 2014060763 A1 20140424 2014; Harper, S. J.; Bates, D. O.; Gammons, M.; Morris, J.; WO 2019086478 A1 20190509 2019; Harper, S. J.; Bates, D. O.; Gammons, M.; Morris, J.; EP 3476949A1 20190501 2019.

33. Moreaux, J.; De Boussac, H.; Kassambra, A.; WO 2019/086478 A1 2019; Moreaux, J.; De Boussac, H.; Kassambra, A.; EP3476949A1 2019.

34. Bressan, G. C.; Teixeira, R. R.; Silva Junior, A.; Fietto, J. L. R.; Lamêgo, M. R. A.; Neves, M. M.; Siqueira, R. P.; Moreira, G. A.; Lima, G. D. A.; Barros, M. V. A.; Viol, L. C. S.; Loterio, R. K.; Gonçalves, V. H. S.; Pereira, H. S.; Barbosa, E. A. A.; Br PI 102016029345 A2 20180717 2018.

35. Siqueira, R. P.; Barbosa, E. A. A.; Polêto, M. D.; Righetto, G. L.; Seraphim, T. V.; Salgado, R. L.; Ferreira, J. G.; Barros, M. V. A.; de Oliveira, L. L.; Laranjeira, A. B. B.; Almeida, M. R.; Júnior, A. S.; Fietto, J. L. R.; Kobarg, J.; de Oliveira, E. B.; Teixeira, R. R.; Borges, J. C. ; Yunes, J. A.; Bressan, G. C.; PloS One 2015, 10, e0134882.

36. Siqueira, R. P.; Barros, M. V. A.; Barbosa, E. A. A.; Onofre, T. S.; Gonçalves, V. H. S.; Pereira, H. S.; Júnior, A. S.; de Oliveira, L. L.; Almeida, M. R.; Fietto, J. L. R.; Teixeira, R. R.; Bressan, G. C.; Eur. J. Med. Chem. 2017, 134, 97.

37. Moreira, G. A.; Lima, G. D. A.; Siqueira, R. P.; Barros, M. V. A.; Adjanohoun, A. L. M.; Santos, V. C.; Barbosa, E. A. A.; Loterio, R. K.; de Paiva, J. C.; Gonçalves, V. H. S.; Viol, L. C. S.; Marques-da-Silva, E. A.; Júnior, A. S.; Almeida, M. R.; Fietto, J. L.; Machado-Neves, M.; Ferreira, R. S.; Teixeira, R. R.; Bressan, G. C.; Toxicol. Appl. Pharmacol. 2018, 356, 214.

38. Teixeira, R. R.; da Silva, A. M.; Siqueira, R. P.; Gonçalves, V. H. S.; Pereira, H. S.; Ferreira, R. S.; Costa, A. V.; de Melo, E. B.; Paula, F. R.; Ferreira, M. M. C.; Bressan, G. C.; J. Braz. Chem. Soc. 2019, 30, 541.

39. Gazolla, P. A. R.; Teixeira, R. R.; da Silva, A. M.; Vaz, B. G.; Vasconcelos, G. A.; Siqueira, R. P.; Gonçalves, V. H. S.; Pereira, H. S.; Bressan, G. C.; Quim. Nova 2018, 41, 497.

40. Dheer, D.; Singh, V.; Shankar, R.; Bioorg. Chem. 2017, 71, 30.

41. Kharb, R.; Sharma, P. C.; Yar, M. S.; J. EnzymeInhib.Med. Chem. 2011, 26, 1.

42. da Silva, F. C.; Cardoso, M. F. C.; Ferreira, P. G.; Ferreira, V. F. In Chemistry of 1,2,3-triazoles; Dehaen, W., Bakulev, V. A., eds.; Springer-Verlag: Berlin-Heidelberg, 2014.

43. Yan, J.; Lihui, S.; Lin, R.; Jin, H.; Jian, W.; Yu, Q.; Yang, S.; Eur. J. Med. Chem. 2019, 172, 62.

44. Ferroni, C.; Pepe, A.; Kim, Y. S.; Lee, S.; Guerrini, A.; Parenti, M. D. ; Tesei, A.; Zamagni, A.; Cortesi, M.; Zaffaroni, N.; De Cesare, M.; Beretta, G. L.; Trepel, J. B.; Malhotra, S. V.; Varchi, G.; J. Med. Chem. 2017, 60, 3082.

45. Hu, H.; Zhang, A.; Ding, L.; Lei, X.; Zhang, L.; Molecules 2008, 13, 556.

46. dos Santos, N. A.; Ortiz, R. S.; Limberger, R. P.; Lacerda Júnior, V.; Romão, W; Orbital: Electron J. Chem. 2018, 10, 381.

47. Oliveira, B. G.; Pimentel, E. F.; Pereira, A. C. H.; Tosato, F.; Pinto, F. E.; Ventura, J. A.; Endringer, D. C.;Microchem. J. 2020, 153, 104391.

48. Oliveira, B. G.; Costa, H. B.; Ventura, J. A.; Kondratyuk, T. P.; Barroso, M. E. S.; Correia, R. M.; Pimentel, E. F.; Pinto, F. E.; Endringer, D. C.; Romão, W.; Food Chem. 2016, 204, 37.

49. Ribeiro, I. M. L.; Pereira, W. L.; Nogueira, L. B.; Oliveira, L. A. M.; Teixeira, R. R.; Nogueira, K. O. P. C.; Braz. Arch. Biol. Technol. 2020, 63, e20190072.

50. Teixeira, A. R.; Teixeira, R. R.; Ribeiro, I. M. L.; Pereira, W. L.; Manhabosco, T. M.; de Brito, A. C. F.; Oliveira, L. A. M.; Nogueira, K. Ol. P. C.; Toxicol. In vitro 2020, 68, 104970.

51. Mosman, T.; J. Immunol. Methods 1983, 65, 55.

52. Bernas, T.; Dobrucki, J.; Cytometry 2002, 47, 236.

53. de Almeida Lima, G. D.; Rodrigues, M. P.; Mendes, T. A. O.; Moreira, G. A.; Siqueira, R. P.; da Silva, A. M.; Vaz, B. G.; Fietto, J. L. R.; Bressan, G. C.; Machado-Neves, M.; Teixeira, R. R.; Toxicol. In vitro 2018, 53, 1.

54. Hagiwara, M.; Fukuhara, T.; Suzuki, M.; Hosoya, T.; USpat. 7,569,536 B2 2009.

55. Gill, C.; Jadhav, G.; Shaikh, M.; Kale, R.; Ghawalkar, A.; Nagargoje, D.; Shiradkar, M.; Bioorg. Med. Chem. Lett. 2008, 18, 6244.

56. Lucchese, A. M.; Marzorati, L.; Quim. Nova 2000, 23, 641.

57. Lima, A. M.; Teixeira, R. R.; da Silva, B. F.; Siqueira, R. P.; da Silva, I. E. P.; Santos, E. G.; Fernandes, M. C.; Gonçalves, V. H. S.; Bressan, G. C.; Mendes, T. A. O.; de Paula, S. O.; Costa, A.V. C.; dos Santos, M. H. ; Quim. Nova 2019, 42, 473.

58. Cunha, S.; Iunes, C. E. M.; Oliveira, C. C.; Santana, L. L. B.; Quim. Nova 2015, 8, 1125.

59. Lutjen, A. B.; Quirk, M. A.; Barbera, A. M.; Kolonko, E. M.; Bioorg. Med. Chem. 2018, 26, 5291.

60. Freitas, L. B. O.; Ruela, F. A.; Pereira, G. R.; Alves, R. B.; Freitas, R. P.; Quim. Nova 2011, 34, 1791.

61. Gil, M. G.; Arévalo, M. J.; López, O.; Synthesis 2007, 1589.

62. Hou, J.; Liu, X.; Shen, J.; Zhao, G.; Wang, P. G.; Expert Opin. Drug Discov. 2012, 7, 489.

63. Kolb, H. C.; Sharpless, K. B.; Finn, M. G.; Angew. Chem., Int. Ed. 2001, 40, 2004.

64. Kolb, H. C.; Sharpless, K. B.; Drug Discov. Today 2003, 8, 1128.

65. Aslantürk, Õ. S. In Genotoxicity - A Predictable Risk to Our Actual World; Larramendy, M., Soloneski, S., eds.; IntechOpen, 2017.

66. Campos, A. C. L.; Borges-Branco, A; Groth, A. K.; Arq. Bras. Cir Dig. 2007, 20, 51.

67. Ustuner, O.; Anlas, C.; Bakirel, T.; Ustun-Alkan, F.; Sigirci, B. D.; Ak, S.; Akpulat, H. A.; Donmez, C.; Koca-Caliskan, U.; Molecules 2019, 24, 3353.

68. Agra, I. K. R.; Pires, L. L. S.; Carvalho, P. S. M.; Silva-Filho, E. A.; Smaniotto, S.; Barreto, E.; Ann. Acad. Bras. Cienc. 2013, 85, 945.

On-line version ISSN 1678-7064 Printed version ISSN 0100-4042
Qu�mica Nova
Publica��es da Sociedade Brasileira de Qu�mica
Caixa Postal: 26037 05513-970 S�o Paulo - SP
Tel/Fax: +55.11.3032.2299/+55.11.3814.3602
Free access

GN1