JBCS



12:21, sáb out 25

Acesso Aberto/TP



Artigo

Eco-friendly multivariant green analytical technique for the estimation of ketoconazole by uv spectroscopy in bulk and cream formulation

Kanaka Parvathi Kannaiah; Abimanyu Sugumaran*

SRM College of Pharmacy, SRM Institute of Science and Technology, Kattankulathur 603203, India

Recebido em: 10/05/2021
Aceito em: 08/07/2021
Publicado em: 28/07/2021

Endereço para correspondência

*e-mail: abimanys@srmist.edu.in

RESUMO

The pharmaceutical industries are focusing on Green Analytical Chemistry principles like miniaturization, eco-friendly solvent usage, waste recycling, and analyst safety for sustainable results. A simple, eco-friendly sensitive and effective extraction and multivariant green analytical method to estimate ketoconazole in bulk and cream formulation were developed and validated according to International Council for Harmonisation (ICH) guidelines. Based on the multivariant analytical technique, the developed method built in linear regression equations between concentration and absorbance with seven different wavelengths. The validation results represent the method has linear at a concentration of 12.8-19.2 μg mL-1 with calculated Limit of Detection (LOD) and Limit of Quantification (LOQ) of 0.338 and 1.026 μg mL-1, respectively. The method results representing a precise accuracy, inter-day, and intraday precision in all the wavelengths with percentage Relative Standard Deviation (RSD) under the limits as less than 2. Also, the method was tested with two different marketed ketoconazole cream formulations with a satisfactory result. The results of the proposed method replicated the novelty in classic approaches and proved statistically. This method was confirmed as greenest than previous methods reported by using assessing tools like National Environmental Method Index (NEMI), Green Analytical Procedure Index (GAPI), Analytical eco-scale, and Analytical Greenness (AGREE) metrics. As a result, the proposed approach could widely utilize for an efficient green analytical methodology for the estimation of ketoconazole.

Palavras-chave: ketoconazole; green analytical method; multivariant analysis; UV spectroscopy; ketoconazole cream formulation.

INTRODUCTION

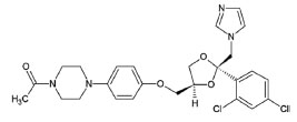
Ketoconazole (KTC) is a piperazine derivative of broad-spectrum dermal and systemic antimycotic agent approved by United States Food and Drug Administration (US FDA), named chemically as cis - 1 acetyl-4- [[(2RS, 4RS)-2- (2, 4- dichloro- phenyl)-2- (1H- imidazole- 1-ylmethyl)- 1,3- dioxolan- 4-yl] methoxyl] phenylpiperazine (Figure 1).1,2 It is available in different types of formulations like a tablet, suspension, cream, shampoo, etc. Due to its severe adverse effects on the gastrointestinal tract and hepatic system, oral dosage form has received a US FDA warning letter,3 but KTC is highly recommended topically due to its higher efficacy in localized treatment.

 


Figure 1. Structure of Ketoconazole

 

To reduce the instrumental error and facilitate efficiency, the Multivariant Calibration (MVC) technique,4,5 were employed without compromising the principles of Green Analytical Chemistry (GAC). MVC utilizes linear regression functions from a range of 5-10 wavelengths for precise results. As an outcome, seven different wavelengths were selected while ensuring sensitivity in comparison to the conventional Ultra Violet (UV) method. Using the following equations, MVC's statistical algorithm approach sums multivariant data to univariant data.

At seven selected wavelengths:

simplified to:

Concentration of analyte in the mixture:

were, Aθ= absorbance of the analyte, A, a, b, c, d, e, f, and g = slope, k = linear regression intercept of analyte KTC, CZ = concentration of analyte, AT = Sum of absorbance obtained, KT = Sum of intercepts of regression equations for seven wavelengths.

There are numerous reported methods for analyzing KTC in single and combined dosage forms using UV,6-8 Visible,9-11 High-Performance Liquid Chromatography (HPLC),12-15 and Ultra Performance Liquid Chromatography (UPLC).16 However, there was no green analytical method found for the estimation of KTC. International pharmacopeia (16th edition), United states pharmacopeia 41, Indian pharmacopeia 8th edition assayed KTC with non-aqueous titration using a hazardous solvent like perchloric acid. The present study focuses on developing an eco-friendly method using a biodegradable solvent like ethanol to stay apart from the other methods that utilize toxic chemicals like methanol and corrosive substances like strong inorganic acids. The type of extraction utilized in this method was a simple or nano extraction to separate the base from the drug in the pharmaceutical formulations. This study aimed to develop eco-friendly, economical, sensitive, and effective extraction and an analytical method for determining KTC concentrations in bulk and pharmaceutical creams.

 

EXPERIMENTAL

Chemicals and reagents

• Reagents and chemicals used in the experiment were analytical grades.

• The Active Pharmaceutical Ingredient (API) KTC with a purity of 99.9% certified and acquired from Ideal Analytical and Research Institution, Puducherry, India, was used as a working standard.

• Analytical grade ethanol with a purity of 99.9% was purchased from Honeywell (Germany).

• Merck (Mumbai, India) supplied analytical grade hydrochloric acid (HCl), Sulphuric acid (H2SO4), Methanol.

• Marketed cream formulation containing 0.2% w/w KTC from different manufacturers were selected, procured from a local dispensary, and analyzed to test the newly developed method.

Instruments

The LABINDIA UV 3092 double beam UV-VIS spectrophotometer (Gurugram, India) sealed and quartz coated with Czerny-Turner monochromator optics with Wavelength range: 190 to 900 nm, Spectral bandwidth: Continuous slit 0.1 - 5.0 nm with 0.1 nm interval. Wavelength accuracy: ±0.3 nm. Automatic eight-cell changer. It comprises Tungsten and deuterium lamp as detector and UV Win Lab Version 5.1.1 Software for data output were used. Analytical balance (AS 245, Mettler Toledo, India), Soniclean sonicator (model 160T, Thebarton-Australia), were used for weighing and sonicate the samples, respectively.

Preparation of diluent

The diluent is prepared by mixing ethanol (99.9%) and water in a ratio of 20:80 v/v, marked as diluent, and used for the further analysis.

Standard preparation

Pure KTC of 50 mg accurately weighed and transferred into a 50 mL volumetric flask, dissolved with 25 mL of diluent, sonicated for 15 min for complete dissolution, and make up the final volume. Further, dilutions were made to prepare 20 μg mL-1 with the same diluent and marked as working standard.

Selection of wavelength for Multivariant Calibration technique

Working standard was scanned over the wavelength range of 210 to 350 nm against a diluent as blank solution shows maximum absorption at 226 nm, and the wavelength for MVC technique were around this absorption maxima.

Extraction of ketoconazole from creams and preparation of sample solutions

An accurately weighed quantity of marketed formulations equivalent to 50 mg of KTC was transferred to a 100 mL volumetric flask, 50 mL of ethanol (99.9%) was added, sonicated for 15 min, then made up to the volume with ethanol and shaken well. The solution was filtered through Whatman grade 42 circular filter paper, and appropriate dilutions were made with the diluent to attain a concentration of 20 μg mL-1 of KTC.

Stability of the solution

The prepared standard and sample solutions were tested for short term stability by keeping in (a) room temperature for 0 to 6 h and (b) 4 °C for two weeks, further examined for absorbance range from 210 to 350 nm for every (a) 3 h and (b) alternative days.

Linearity

Aliquots of stock solution of KTC and sample solutions were diluted with the diluent to obtain at a concentration ranging from 16-24 μg mL-1 (16, 18, 20, 22, and 24 μg mL-1) and evaluated for the selection of spectral region as well as linearity. In addition, the absorbance of the linearity solutions over the selected wavelengths for the MVC technique was recorded and analyzed.

Limit of Detection and Limit of Quantification

The Limit of Detection and Quantification were calculated based on the calibration curve slope and standard deviation of responses for the individual wavelength with the following equations.

Precision

The precision was studied by evaluating repeatability via intraday and interday precision. A typical standard solution of KTC at a 20 μg mL-1 concentration were used to examine different precision levels. For the repeatability study, six solutions at seven different wavelengths were analyzed. In the intraday variant case, the absorbance of prepared solutions were assessed three times on a similar day at a particular time interval. Further, inter-day variation were achieved using the absorbance on three successive days.

Accuracy

The method's accuracy were measured at 80, 100 and 120% of the pre-analyzed sample solutions and estimate the percentage of recovery values.

 

RESULTS AND DISCUSSION

The API's assessment in creams formulations is more challenging since the complete extraction of API should be made without any interferences. A cream formulation contains numerous excipients to deliver the drug in challenging situations, making it challenging to analyze the KTC in a cream formulation. A few UV spectrophotometric methods were reported to estimate KTC in cream formulation but were not eco-friendly, besides using hazardous solvents, methanol, and corrosive substances like strong acids which are toxic to the environment and to the analyst. Based on the present scenario, these toxic methods could be substituted by the eco-friendly methods; account on this, the developed method identified as stands alone from the other developed methods. Preliminary solubility study results confirm the insolubility of the KTC in different buffers like phosphate, and acetate buffers at various pH levels but soluble in ethanol and mixture of ethanol: water (20:80 v/v). Initially, different compositions of water and ethanol used to reduce the organic phase and wastage during the analysis and makes the method most economically as well as environmentally fit; among them, the mixture of ethanol and water in the ratio of 20:80 v/v was found to be a suitable diluent with low organic phase and better results were used to prepare standard and sample dilutions. However, to ensure complete extraction of KTC from complex cream base formulation, 99.9% ethanol was employed as a solvent, and further dilutions were done using the diluent. Initially, the standard solution of KTC at a 20 µg mL-1 concentration was prepared with the diluent and scanned over a range of 210 to 400 nm (UV range), but from 350 to 400 nm there was no absorption seen, and further the spectral range was reduced as 210 to 350 nm and the final KTC spectrum shown in Figure 2. The proposed method has utilized ethanol and water as a diluent where ethanol has a UV cut-off range at 205 nm, and omitted the lower UV range for detection.

 


Figure 2. UV spectrum of standard KTC (20 µg/mL) using diluent as a blank

 

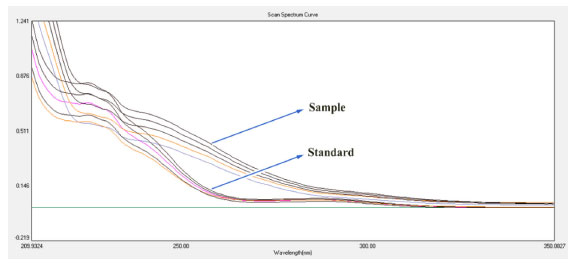
A similar concentration of KTC from its cream formulation has also scanned between 210 to 350 nm. However, the overlay spectra (Figure 3) of the standard and sample solution reveal the spectra were not identical in the spectral region between 236 to 300 nm which shows the interference from the cream formulation.

 


Figure 3. Overlay of standard and sample (20 μg mL-1) using diluent as a blank

 

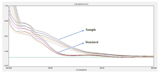
However, both the spectra show similar absorbance values between 220-235 nm, and this UV spectral region was found to be optimal in estimating KTC as the absorbance values in these regions were utterly free from interferences. Based on the plot of signals as a function of content, analyte concentration was used to identify its linearity concentration. Further varying concentrations of KTC for standard and sample solutions from cream formulation were prepared in the concentration range of 16-24 μg mL-1 (80, 90, 100, 110, and 120%) and scanned simultaneously. The overlay spectrum (Figure 4) supported that the spectral region between 220 to 235 nm has ideal for quantifying KTC from the cream formulation.

 


Figure 4. Overlay spectrum of linearity for standard and sample solutions (16, 18, 20, 22, and 24 μg mL-1) using diluent as a blank

 

The concept of MVC was established such that the absorbance values are absolutely free from interferences. The wavelength chosen for MVC were 220, 222, 224,226, 228, 230, and 232 nm based on the maximum absorption of the drug in this particular wavelength. This method followed the principles of green chemistry to reduce waste by distillation of the used ethanol. The above method was finalized because of its positiveness towards environmental safety. Till date, no eco-friendly MVC method was reported for KTC estimation along with the application of assessment tools. Thus, for the first time, an eco-friendly approach for KTC was developed using proper evaluation techniques such as NEMI, GAPI, Analytical Eco-scale, and AGREE metrics, and the greenest result were found. Finally, the technique performed in accordance with ICH guidelines (Q2(R1) - Validation of Analytical Procedures).

Stability of solution

The permanence of sample solutions was carried out for 20 μg mL-1 KTC at 4 °C for two weeks, at room temperature for 6 h. The study of these solutions showed the drug permanency without spectrophotometric variations in these conditions, which did not significantly change the drug's maximal wavelengths or absorption values. The RSD percentage values were not greater than 1%. Stock solutions have also been considered safe in refrigerators for at least two weeks. The recently prepared and aged solutions measured concentrations for two weeks were evaluated using the proposed procedure. The disparity was less than 2%.

Linearity

The proposed method's linearity results were found between the concentration range of 80-120% of 20 μg mL-1 (16-24 μg mL1) according to ICH Q2 R1 guidelines. The absorbance of diluted standard solutions at seven different wavelengths was measured, and the calibration curve were constructed. The obtained regression equations were computed and found linear for KTC within the concentration range, and an average of MVC regression equations was y = 0.0323x + 0.0431, and R2 of 0.9992, which closer to 1 indicates the proposed method obeys Beers law, and results were portrayed in Table 1 and Figure 5.

 


Figure 5. Multivariant calibration graph (a) and Sum of all absorbances (b)

 

 

 

Limit of Detection and Limit of Quantification

The concentrations of Limit of Detection and Limit of Quantification identified by calculating from linearity slope have been validated by independent sample analyses and found the results as detection is possible at those ranges practically.

Precision

Interday and intraday precision were found to have an % RSD of less than 1%, which shows the method is precise for estimating the drug, and the results were portrayed in Table 2. The developed method shows an identical precision related to the reported methods.

 

 

Accuracy

The suggested UV method was applied to a pure sample of KTC over the concentration ranges of 16-24 μg mL-1 (Figure 6). There was no substantial variation in accuracy and precision between the success of the proposed comparative methods or the reference methods using statistical analysis like student t-test and the variance ratio F-test (Table 3). The comparison UV methods were conducted with the reported method containing diluent of methanol, 0.01 mol L-1 HCl and 0.1 mol L-1 H2SO4, respectively.

 

 

 


Figure 6. overlay of accuracy at 80, 100 and 120% spiking

 

Assay of marketed formulations

The proposed spectrophotometric approach studied the KTC in the cream formulation. The UV absorption spectrums of the commercial cream were fulfilled for three replicates. High analytical recovery values confirm that the pharmaceutical formulation's extraction and filtering process does not cause significant loss. Furthermore, the results obtained for each active material correspond well to those declared by manufacturing companies. The results were depicted in Table 4 and showed a superior result related to the previously reported methods. Further, the application of this proposed method could be expanded in other pharmaceutical formulations and shampoo containing ketoconazole.

 

 

Wastage recycling

The study aims at an eco-friendly method and the principle of greenness depicts to control wastage. So, the ethanol used in this method were distilled and retained. Further distilled ethanol has cross-checked in UV against 99.9% ethanol as blank and found no peaks in it, and the spectra of distilled ethanol were represented in Figure 7.

 


Figure 7. Spectrum for ethanol after distillation

 

Assessment of greenness in the proposed method

Assessing is an essential step before claiming a method as eco-friendly. A very few tools are available to assess greenness in analytical green chemistry such as NEMI,17,18 GAPI,19 Analytical eco-scale (AES),17,20 and AGREE metrics.21

Assessment using NEMI

NEMI, the oldest assessment tool for greenness, represents the results in a circular quadratic pictogram with dual color representation as green and colorless. Each quadrant delts with a individual principles of green chemistry. If a method satisfy the green principles then all the quadrants will be marked as green

• The chemicals or solvents used for proposed method has not listed in the Toxics Release Inventory (TRI) list by Environmental Protection Act - so the left top quadrant of the pictogram marked as green.

• Ethanol and water were not listed in the hazardous waste list, hence the right top quadrant of the pictogram portion marked as green.

• The pH of solutions used in the method range 2-12 - so the pictogram's left bottom quadrant marked as green.

• The developed method's analytical waste less than 50 mL, so the pictogram's right bottom quadrant has marked as green.

• The overall NEMI pictogram has portrayed in Figure 8 shows the method has entirely green according to NEMI principles.

 


Figure 8. Assessment of proposed method by NEMI

 

Assessment using GAPI

GAPI focuses on two aspects (I) Sample preparation and (II) Instrumentation assessment. It is a tricolour representation pictogram with green, yellow, and red based on nature's effect. To develop an eco-friendly method, the sample preparation should not have any preservation, transport, storage. The method should be inline without using any solvent usage. Extraction should be avoided if not either by using green solvents can be accepted without any additional treatments or using low solvent consumption. The reagents should be less toxic and safe, according to National Fire Protection Act (NFPA). Instrumental aspects like using low energy consumption and waste-producing instruments to be preferred.

The application of GAPI in the proposed method portrayed in Table 5, and the pictogram is represented in Figure 9 shows the method has satisfied most of the criteria and confirms the proposed is eco-friendly.

 

 

 


Figure 9. Assessment of proposed method by GAPI

 

Assessment using Analytical eco-scale

AES will be represented with a score of 100. Penalty point (PP) have calculated and subtracted from the method using five different steps and calculated as follows.

The amount of reagent used was less than 10 mL per analysis. So, 1 PP for this step. Then total PP for the amount has calculated as amount PP × Hazard PP.

Hazard PP calculated based on pictograms that represent the nature of reagents. Pictograms were categorized into two based on the severity of the hazard, such as Danger (severe hazard) and Warning (less hazard); In our method, the ethanol represents a danger symbol with two pictograms. Considering this, we have 4 penalty points and multiplied with the amount PP gives a total of 4 PP.

Energy consumption for UV is ≤ 0.1 kWh per sample, so no penalty / 0 PP.

Occupation hazard carries 0 PP due to usage of ethanol and water.

Wastage in this method less than 1 ml. so no penalty / 0 PP

• Finally, the total PP lost for the method is 4+0+0+0 = 4

• Analytical Eco-score = 100 - PP = 96

• The method with a score of 75 considered greener; however we got a highest score of 96, which indicates the impact of the method on future usage with environmental friendliness.

AGREE metrics

The calculation performed using this software depends on 12 parameters equal to the 12 principles of GAC. Each principle or parameter contains a score range 0-1 calculated based on the hazardous to a particular principal greenness. AGREE tool represents the greenness like a classical clock shape consisting of number 1-12 on the edge of the circle, representing the philosophy of 12 principles. As depicted in Figure 10 with 0.9, the proposed method's overall score indicates the method was greenest in all aspects of green principles.

 


Figure 10. Assessment of proposed method by AGREE

 

Greenness assessment with reported methods

Although numerous techniques were reported for evaluating KTC in various formulations, only three methods were identified in this research using UV-spectroscopy in cream formulations. Table 6 shows the results of the greenness assessment for all reported and proposed methods. The chemical and reagents used in the proposed methods were not comprised in TRI list or Hazardous waste list nor corrosive so, all the quadrants in NEMI pictogram were marked green and illustrates method greenness. In the GAPI pictogram, 13 out of 15 zones were marked green due to biodegradable solvent. The recycling of waste generated made this method further superior to the other reported methods. In AES, the proposed method got the score nearest to 100 and confirmed the method was greenest than the reported methods. AGREE metrics is a quantitative measurement tool covering all the principles of GAC, with a score of 0.9 confirms the proposed method has covered all aspects of green principles. All the applied four-assessment tool specifies that the proposed UV approach considered as greener than the other methods reported. It can be used without a deleterious effect on the environment for the assessment of KTC.

 

 

 

CONCLUSIONS

In this study, the green concept has considered to develop a simple, robust, eco-friendly method for extraction and analyzing the drug by following the principles of GAC, and the method should be helpful for the industrial orientation. The application of the statistical MVC technique was to minimize the hindrance caused by the observations. So, seven wavelengths were taken and processed for development. According to ICH guidelines, the developed method has been validated and found accurate, precise, and reproducible to estimate KTC in bulk and cream formulations, which also can be easily applied for the other types of dosage forms. The proposed method was evaluated for its green nature using four different evaluation tools and found that the method has no limitation to adopt in regular industrial analysis purposes. Therefore, we concluded that the developed method was simple, eco-friendly, economical, robust, and easily applied for the regular quality control analysis of KTC in any dosage form.

 

ACKNOWLEDGEMENTS

The authors are thankful to the Chancellor, SRM Institute of Science and Technology, and the management of SRM College of Pharmacy, SRM Institute of Science and Technology, Kattankulathur, to carry out the research work in the university facility.

 

REFERENCES

1. Wisher, D.; Martindale: The Complete Drug Reference, 37th ed., Medical Library Association, 2012, Vol. a.

2. Indian Pharmacopoeia Commission; Indian Pharmacopoeia, 2018.

3. MDedge; FDA issues strong warning about oral ketoconazole, available at https://www.mdedge.com/gihepnews/article/76631/pituitary-thyroid-adrenal-disorders/fda-issues-strong-warning-about-oral acessed July 2021.

4. Tomuta, I.; Porfire, A., Casia, T.; Gavan, A. In Calibration and Validation of Analytical Methods - A Sampling Of Current Approaches; Stauffer, M. T., ed.; IntechOpen: Rijeka, 2018; Ch. 3.

5. Shao, X.; Bian, X.; Liu, J.; Zhang, M.; Cai, W.; On, A. R.; Targeting, D.; Carriers, D.; Anal. Methods 2010, 2, 1662.

6. Basavaiah Kanakapura, Vamsi Krishna Penmatsa, C. U.; Int. J. Res. Pharm. Nano Sci. 2015, 4, 398.

7. Popovska, O.; Kavrakovski, Z.; Rafajlovska, V.; Int. J. Pharm. 2014, 4, 95.

8. Kedor-Hackmann, É. R. M.; Nery, M. M. F.; Santoro, M. I. R. M.; Anal. Lett. 1994, 27, 363.

9. Liawruangrath, S.; Prasertboonyai, K.; Anal. Lett. 2021, 54, 364.

10. Fraihat, S. M.; Bahgat, K. M.; Trop. J. Pharm. Res. 2014, 13, 1511.

11. Sadeghi, S.; Shamsipur, M.; Anal. Lett. 1998, 31, 2691.

12. Yang, W.; Yang, X.; Shi, F.; Liao, Z.; Liang, Y.; Yu, L.; Wang, R.; Li, Q.; Bi, K.; J. Pharm. Anal. 2019, 9, 156.

13. Barange, H.; Asghar, S.; Gour, P.; Barange, H.; Life, U.; Indo Am. J. Pharm. Sci. 2017, 4, 3779.

14. Mondal, S.; Alekya, C.; Mondal, P.; Pharm. Methods 2020, 11, 1.

15. Tian, T.; Yang, M.; Zhao, Z.; Luan, Y.; Tang, X.; Zhu, M.; Liu, Y.; J. Chromatogr. Sci. 2016, 54, 361.

16. Han, D.-G.; Yun, H.; Yoon, I.-S.; J. Chromatogr. B 2019, 49, 1122.

17. Tobiszewski, M.; Marć, M.; Gałuszka, A.; Namieśnik, J.; Molecules 2015, 20, 10928.

18. Mansour, N. M.; El-Sherbiny, D. T.; Ibrahim, F. A.; El Subbagh, H. I.; Microchem. J. 2021, 163, 105863.

19. El-Shorbagy, H. I.; Elsebaei, F.; Hammad, S. F.; El-Brashy, A. M.; Microchem. J. 2019, 147, 374.

20. Van Aken, K.; Strekowski, L.; Patiny, L.; Beilstein J. Org. Chem. 2006, 2, 1.

21. Kokilambigai, K. S.; Lakshmi, K. S.; Green Chem. Lett. Rev. 2021, 14, 99.

On-line version ISSN 1678-7064 Printed version ISSN 0100-4042
Qu�mica Nova
Publica��es da Sociedade Brasileira de Qu�mica
Caixa Postal: 26037 05513-970 S�o Paulo - SP
Tel/Fax: +55.11.3032.2299/+55.11.3814.3602
Free access

GN1