JBCS



12:01, sáb out 25

Acesso Aberto/TP



Revisão


Naftoimidazóis e naftoxazóis - promissores componentes de sistemas teranósticos
Naphthoimidazoles and naphthoxazoles - promising components of theranostic systems

Victória Laysna dos Anjos SantosI; Délis Galvão GuimarãesI; Rodolfo Hideki Vicente NishimuraII; Larissa Araújo RolimI,II; Arlan de Assis GonsalvesIII; Cleônia Roberta Melo AraújoIII,*

I. Universidade Federal Rural de Pernambuco, 52171-900 Recife - PE, Brasil
II. Colegiado de Biociências, Universidade Federal do Vale do São Francisco, 56304-205 Petrolina - PE, Brasil
III. Colegiado de Ciências da Saúde e Biológica, Universidade Federal do Vale do São Francisco, 56304-97, Petrolina - PE, Brasil

Recebido em: 03/08/2021
Aceito em: 03/11/2021
Publicado em: 02/12/2021

Endereço para correspondência

*e-mail: cleonia.araujo@univasf.edu.br

RESUMO

Theranostic can be used to define therapeutic and imaging agents in a system. It is consisting of four components: signal emitter, therapeutic agent, targeting ligand and carrier. Naphthoimidazole and naphthoxazole are extended aromatic systems, and can participate in theranostic systems (TS) acting as a therapeutic agent and/or a signal emitter considering of their broad spectrum of biological activities and their optical properties of fluorescence emission. This systematic review investigated the applicability of the naphthoimidazole and naphthoxazole nuclei as constituents of TS and shows the synthesis methodologies described in the articles selected. Among the scientific articles suitable for the criteria of the systematic review, more than 35% described the evaluation of biological activities, mainly the naphthoimidazole derivatives, and approximately 18% explored the fluorescence emission of naphthoxazole derivatives and their applicability in biological systems. Among the selected articles 53% and 44% show synthetic routes for the preparation of naphthoxazoles and naphthoimidazoles, respectively. It was observed that both nuclei can be synthesized from various reagents, such as naphthoquinones, naphthols, naphthoic acids, aminonaphthoquinones and cyanophthalides. The results of this study suggests that naphthoimidazole and naphthoxazole derivatives are promising for application as components of TS, and there are various synthetic possibilities for obtaining these heterocycles.

Palavras-chave: naphthoazole; therapeutic agent; fluorescence; synthesis of naphthoimidazole; synthesis of naphthoxazole.

INTRODUÇÃO

O termo theranostic (teranóstico) foi empregado inicialmente por Funkhouser em 2002, para definir a união das modalidades de terapia e diagnóstico por imagem em um único agente. Essa abordagem é tida como recente, uma vez que foi introduzida por Harrell e Kopelman e consolidada em 2002 por Funkhouser em sua publicação intitulada Reinventing pharma: The theranostic revolution.1

O progresso dos agentes teranósticos foi acompanhado por Herrmann e colaboradores por meio do levantamento do número de publicações que apresentavam os termos theragnostic ou theranostic no período de 2001 a 2017. Com a finalidade de verificar a situação atual de publicações relacionadas aos termos theragnostic/theranostic, realizou-se uma pesquisa semelhante a de Herrman e colaboradores na base PubMED nos últimos vinte anos (2001-2021). Assim como observado por Herrmann e colaboradores, o número de publicações relacionadas ao tema teranósticos foi crescente desde a introdução da abordagem teranóstica até o corrente ano. Observou-se que nos últimos 20 anos foram indexados 7431 artigos relacionados ao termo theranostic ou theranostic na base PubMED, sendo 2020 o ano com maior número de publicações (1188 artigos).2

Os avanços das técnicas de imagem molecular e da nanomedicina também contribuíram para o crescente progresso da abordagem teranóstica, que visa uma terapia personalizada e com maior eficácia para as mais diversas patologias, sendo atualmente aplicada no desenvolvimento de agentes para o tratamento e o diagnóstico de neoplasias, infecções (virais, fúngicas e parasitárias), doenças cardiovasculares e neurológicas, inflamações, como a artrite reumatoide, e regeneração tecidual.3,4

A dualidade funcional dos agentes teranósticos possui vantagens significativas para a nanomedicina, em especial no que concerne a superação dos problemas farmacocinéticos e de seletividade apresentados pelos agentes de terapia e diagnóstico convencionais.5 Além disso, os teranósticos permitem o monitoramento por imagem da progressão da patologia, assim como do perfil farmacocinético do fármaco no organismo.6,7

O delineamento e preparo de um agente teranóstico requer esforços interdisciplinares, uma vez que implica na utilização de conhecimentos das mais diversas áreas, como física, nanotecnologia, bioquímica e engenharia, para obtenção de uma plataforma multifuncional capaz de realizar a terapia e o diagnóstico não invasivo de uma condição patológica.8 Comumente, um agente teranóstico é formado por quatro componentes básicos, sendo eles: i) um agente de imagem; ii) uma molécula terapêutica; iii) um ligante com o alvo; iv) um carreador (Figura 1).3,9

 


Figura 1. Representação esquemática de um agente teranóstico e seus principais componentes

 

Os carreadores utilizados nos sistemas teranósticos podem ser das mais diversas formas, desde que viabialize a incorporação de todos os seus componentes em um único sistema. Diversos tipos de sistemas drug delirery dos agentes de imagem e terapia podem ser utilizados para produção de teranósticos, como: micelas, lipossomas, emulsões, proteínas conjugadas com polímeros, dendrímeros e nanopartículas.3,10

Usualmente os nanocarreadores são empregados em agentes teranósticos, uma vez que sua escala nanométrica (1-100 nm) proporciona vantagens tanto de ordem farmacocinética quanto de especificidade com o alvo.11,12 Assim, diversos nanomateriais, orgânicos e inorgânicos, podem ser utilizados como nanocarreadores, como as nanopartículas lipídicas e poliméricas, o grafeno, a sílica, o ouro e os óxidos metálicos.7 A depender do nanomaterial e do método de preparo empregado, os nanoteranósticos podem assumir diversas formas, como: nanobastões, nanoesferas, nanocubos, nanofios, nanocápsulas, bem como nanopartículas com superfície mesoporosa.13

Os agentes de ligação com o alvo, quando presentes em sistemas teranósticos, permitem o direcionamento do sistema terapêutico até às células alvo, além de diminuírem a eliminação do agente teranóstico do organismo, prolongando assim o seu tempo na circulação sanguínea e potencializando o seu efeito. Normalmente, são empregados como agentes ligantes: anticorpos, pequenos peptídeos ou outras moléculas orgânicas, lectinas, aptâmeros, proteínas modificadas e fragmentos de proteínas.3,14

O agente de diagnóstico é parte fundamental de um sistema teranóstico e deve permitir, de forma não invasiva, a visualização dos processos celulares e subcelurares de uma condição patológica através da emissão de imagem.15 São exemplos desses componentes as moléculas orgânicas utilizadas como fluoróforos, os óxidos metálicos, os isótopos e os quantum dots.3

Atualmente, diversas técnicas não invasivas de diagnóstico por imagem podem ser empregadas in vivo para visualizar os respectivos agentes de imagem molecular utilizados em sistemas teranósticos. São elas: Tomografia por Emissão de Pósitrons (Positron Emission Tomography - PET), Imagem de Ultrassom (Ultrasound Imaging - US), Tomografia Computadorizada (Computed Tomography - CT), Tomografia Computadorizada de Emissão de Fóton Único (Single Photon Emission Computed Tomography - SPECT), Ressonância Magnética (Magnetic Resonance Imaging - MRI) e Imagem Óptica.3 A escolha da técnica de diagnóstico a ser empregada irá depender do agente de imagem constituinte do sistema teranóstico, assim como, do tipo de imagem molecular pretendida.16

Os agentes terapêuticos constituintes de sistemas teranósticos podem ser moléculas pequenas de origem natural ou sintética, peptídeos, proteínas, ácidos nucléicos e imunomoduladores, que apresentam atividade farmacológica diante da patologia alvo.4 A ação farmacológica desses agentes pode ser projetada para responder a estímulos internos ou externos,17 limitando a atividade do teranóstico ao seu local de ação, aumentando assim a eficácia e segurança do agente terapêutico.17

Os estímulos internos para sistemas teranósticos são caracterizados como aqueles produzidos pelo próprio organismo, como: o pH do local de ação,17 a presença de proteínas ativadoras, a hipóxia e a presença de Espécies Reativas de Oxigênio (EROs).17,18 Enquanto os estímulos externos podem ser aplicados após a administração do agente teranóstico no organismo, como: a aplicação de calor,19 energia luminosa, radiofrequência, radiação (raios-x ou gama) e campo magnético.17

Considerando as características dos componentes de um agente teranóstico, observa-se que moléculas de baixo peso molecular, como os derivados naftoimidazólicos e naftoxazólicos, podem atuar principalmente como agente terapêutico e/ou de diagnóstico (agente de imagem). Os núcleos imidazol e oxazol são caracterizados por um heterociclo de cinco membros com dois heteroátomos em suas estruturas, um deles sendo um nitrogênio, e o segundo um átomo de nitrogênio ou oxigênio, respectivamente, tornando-os isósteros.20

Para a obtenção de sistemas aromáticos estendidos, tanto o núcleo imidazol quanto o oxazol podem ser substituídos nas posições 4 e 5 por anéis benzênico, naftalênico ou fenantrênico. Assim, quando este heterociclo for um imidazol, podem ser obtidos sistemas denominados benzoimidazol, naftoimidazol e fenantroimidazol (Figura 2).21,22 Já os derivados do núcleo oxazol são denominados benzoxazol, naftoxazol e fenantroxazol, conforme descrito na Figura 2.23,24

 


Figura 2. Classificação dos imidazóis e oxazóis de acordo com o número de anéis aromáticos conjugados

 

Os isósteros, naftoimidazol e naftoxazol, mostram-se como promissores componentes de sistemas teranósticos, uma vez que além de possuírem um amplo espectro de atividades biológicas,25,26 também possuem promissoras propriedades ópticas de emissão de fluorescência.27,28 As propriedades ópticas que caracterizam esses heterociclos como bons fluoróforos são relacionadas, principalmente, a conjugação dos heterociclos azólicos a anéis naftalênicos, os quais proporcionam aumento significante da intensidade de fluorescência desses derivados.29

Assim, considerando a inovação que os sistemas teranósticos propõem para o tratamento e diagnóstico de patologias de difícil manejo, bem como as atividades biológicas e as propriedades fluorescentes que os núcleos naftomidazóis e naftoxazóis possuem, o presente artigo traz uma revisão sistemática (2010 - 2020) sobre estes heterociclos. Esta revisão visa demonstrar o potencial de aplicação destes núcleos como componentes de sistemas teranósticos, seja como molécula terapêutica ou como agente de diagnóstico por emissão de fluorescência. Já que não foram encontrados estudos empregando esses compostos na composição de sistemas teranósticos, fato esse que motivou a realização desta revisão de literatura.

 

METODOLOGIA

A revisão sistemática foi elaborada por meio de uma pesquisa bibliográfica realizada em setembro de 2020 e incluiu artigos publicados ao longo de um período de 10 anos (2010-2020). A pesquisa bibliográfica foi realizada através de três bases de dados de pesquisa (SciFinder, ScienceDirect e Web of Science) usando os seguintes descritores: naphthoxazole e naphthoimidazole. A seleção dos artigos foi norteada pelos seguintes critérios de inclusão: artigos originais publicados em revistas científicas, artigos publicados em revistas com classificação Qualis A segundo os critérios empregados pela Coordenação de Aperfeiçoamento de Pessoal de Nível Superior (CAPES) em 2019, e artigos com os descritores (naphthoxazole e naphthoimidazole) no título, resumo ou palavras-chave. A seleção dos estudos foi realizada por três pesquisadores de maneira independente, obedecendo rigorosamente os critérios de inclusão previamente estabelecidos. Qualquer desacordo foi resolvido por meio de um consenso entre os investigadores.

A busca nas três bases de dados definidas resultou em 629 artigos, dos quais, 562 foram encontrados no SciFinder, 36 no Web of Science e 31 ScienceDirect. Após a aplicação dos critérios de inclusão pré-estabelecidos, assim como a remoção dos artigos em duplicidade, obteve-se um total de 33 artigos, os quais foram selecionados para discussão nesta revisão sistemática (Figura 3).

 


Figura 3. Fluxograma de estudos incluídos na revisão sistemática

 

Observando a aplicação dos naftoazóis como potenciais componentes de sistemas teranósticos, assim como a importância das vias sintéticas para a produção desses heterociclos, esta revisão sistemática foi dividida em duas partes, onde os artigos foram agrupados e discutidos da seguinte forma: a) Aplicabilidade dos naftoimidazóis e naftoxazóis como componentes de sistemas teranósticos - agentes terapêuticos e de diagnóstico (emissão de fluorescência); e b) Vias sintéticas utilizadas para obtenção dos naftoazóis.

 

POTENCIALIDADES DE NAFTOIMIDAZÓIS E NAFTOXAZÓIS COMO AGENTES TERAPÊUTICOS EM TERANÓSTICOS

Dentre os 33 artigos selecionados para revisão, foram encontrados 18 artigos que relatavam estudos experimentais sobre a aplicação de naftoimidazóis e naftoxazóis como agentes terapêuticos. Observou-se uma predominância de artigos abordando o núcleo naftoimidazol sobre o naftoxazol, uma vez que apenas dois artigos (11,1%) relatavam o uso dos naftoxazóis com finalidade terapêutica. As atividades farmacológicas avaliadas nos artigos que foram selecionados para revisão foram: antimicrobiana, antitumoral, anti-inflamatória e inibidora das colinesterases (IChE).

Atividade antimicrobiana

Dentre as atividades terapêuticas descritas, observou-se que o maior número de artigos relatava a atividade antimicrobiana dos naftoimidazóis e naftoxazóis frente a micobactérias, bactérias e protozoários, demonstrando a potencialidade desses naftoazóis como componentes terapêuticos de teranósticos antimicrobianos.

Menna-Barreto e Bombaça, com seus respectivos colaboradores, investigaram o mecanismo de ação anti Trypanosoma cruzi de três naftoimidazóis derivados da β-lapachona, nomeadamente 1, 2 e 3, ativos nas três fases da vida do T. cruzi, conforme dados anteriormente publicados (Figura 4).30-32

 


Figura 4. Estruturas moleculares dos naftoimidazóis 1, 2 e 3 que tiveram atividade avaliada frente ao T. cruzi e M. tuberculosis

 

Inicialmente, Menna-Barreto e colaboradores empregaram técnicas de eletroforese em gel e espectrometria de massas para identificar proteínas envolvidas no efeito de 1, 2 e 3 sobre o parasita T. cruzi.30 De acordo com os achados deste trabalho, os naftoimidazóis (1-3) induziram alterações no nível de expressão de proteínas envolvidas em vias bioquímicas cruciais para o T. cruzi. Das trinta proteínas moduladas, nove são mitocondriais, o que segundo os autores reforça dados morfológicos e bioquímicos anteriores, que mostraram esta organela como o principal alvo dos naftoimidazóis avaliados. Resumidamente, o estudo apontou que a atividade anti T. cruzi desses naftoimidazóis está envolvida em múltiplos mecanismos, como: estresse oxidativo, produção de energia, biossíntese de ergosterol, alterações no teor de tubulinas, biossíntese de aminoácidos, metabolismo de proteínas e modulação de chaperonas. Os resultados observados pelos autores sugerem que o mecanismo de morte induzido pelos naftoimidazóis não envolveu necrose ou morte celular semelhante à apoptose, mas sim a perda da homeostase metabólica em virtude do desequilíbrio de processos bioquímicos cruciais do parasita.30

Dando continuidade aos estudos de proteômica relacionados à atividade anti T. cruzi dos naftoimidazóis (1-3), Brunoro e colaboradores avaliaram a ação desses três derivados naftoimidazólicos frente à forma tripomastigota do parasita empregando Eletroforese Bidimensional em Gel Diferencial (DIGE-2D) acoplada a espectroscopia de massas.33 Após a quantificação por DIGE-2D, os autores realizaram a identificação das proteínas protozoárias relacionadas ao mecanismo de ação dos naftoimidazóis (1-3) por MALDI-TOF/TOF, em que identificaram proteínas diferencialmente abundantes de diversas classes, como: receptor de proteína quinase C ativada, isoformas de tubulina, asparagina sintetase, arginina quinase, fator de alongamento 2, enolase, guanina desaminase, proteínas de choque térmico, proteínas hipotéticas, componentes de bastonetes paraflagelares, inibidor de dissociação RAB-GDP, succinil-CoA ligase, ATP sintase subunidade B e metionina sulfóxido redutase. Segundo Brunoro e colaboradores, os resultados obtidos indicaram que os três naftoimidazóis analisados (1-3) atuam na forma tripomastigota de T. cruzi por diferentes modos de ação e envolvendo diversas vias metabólicas.33

Em seguida, Bombaça e colaboradores estudaram os efeitos de 1, 2 e 3 sobre a funcionalidade e a ultraestrutura mitocondrial, bem como sobre a maquinaria antioxidante de T. cruzi.31Ademais, os autores investigaram a geração de espécies reativas de oxigênio (ERO) após o tratamento com os três naftoimidazóis na presença de antioxidantes e pró-oxidantes. Bombaça e colaboradores observaram que a atividade tripanocida desses compostos deve-se a produção de ERO, uma vez que os naftoimidazóis estudados (1, 2 e 3) promoveram aumento de 2,9, 4,6 e 3,3 vezes, respectivamente, na geração dessas espécies em comparação com a de epimastigotas controle.31 Contudo, a geração direta de ERO por esses compostos é improvável, uma vez que sua redução não é um processo favorável devido aos seus potenciais redox muito negativos, 1 (-2,340 e -2.479 V); 2 (-2,421 e -2.485 V) e 3 (-2,366 e -2.443 V), o que foi observado por análises eletroquímicas.

Além disso, os autores observaram que o emprego de agentes antioxidantes no estudo diminuiu a produção de ERO induzida pelos três naftoimidazóis, enquanto que na ausência de antioxidante, o tratamento com 1, 2 e 3 induziu lesão mitocôndrial nos parasitas, o que corrobora com dados previamente descritos. Analisando o efeito dos naftoimidazóis sobre a funcionalidade mitocondrial, os autores verificaram que o tratamento com 1, 2 e 3 reduziu a captação de oxigênio, diminuindo a funcionalidade mitocondrial do parasita. Os autores observaram também que o metabolismo oxidativo foi desencadeado pelos compostos, e que apesar de causarem alterações em diversas organelas, o efeito ultraestrutural mais proeminente dos naftoimidazóis (1 - 3) foi observado na mitocôndria.31

Aprofundando os estudos sobre a atividade tripanocida dos naftoimidazóis 1, 2 e 3, Cascabulho e coloboradores avaliaram os efeitos in vivo destes derivados em camudongos com infecções agudas por T. cruzi.34 Os autores verificaram que os três naftoimidazóis promoveram redução do número de protozoários tripomastigotas na corrente sanguínea (25-50%), porém, não foram capazes de reduzir a taxa de mortalidade dos animais. Além disso, observaram que o naftoimidazol 1 foi capaz de proteger os camundongos da lesão cardíaca por meio da diminuição do processo inflamatório, assim como 2 também foi capaz de reverter parcialmente a bradicardia nos animais. Em relação aos danos hepáticos, nenhum dos três derivados imidazólicos foi capaz de reverter tais efeitos. Assim, os autores destacam o potencial uso terapêutico do naftoimidazol 1 como agente tripanocida, e principalmente seu uso em associação com medicamentos antichagásicos e/ou antiarrítmicos.34

Além da atividade tripanocida, os naftoimidazóis 1, 2 e 3 também foram avaliados como agentes antimicobacterianos por Coelho e coloboradores.35 Os autores avaliaram, in vitro, a atividade antimicobacteriana desses três naftoimidazóis derivados da β-lapachona (1, 2 e 3) frente a cepas de Mycobacterium tuberculosis susceptíveis (H37Rv) e resistentes à rifampicina (ATCC35338), utilizando o método Resazurin Microtiter Assay (REMA). Os autores verificaram que os naftoimidazóis 2 e 3 apresentaram valores de concentração inibitória mínima (CIM) entre 4,5 e 17 μmol L-1 para cepas susceptíveis e resistentes à rifampicina, enquanto que o naftoimidazol 1 apresentou CIM >304,9 μmol L-1 frente ambas as cepas, sendo considerado inativo. Contudo, os valores de CIM dos naftoimidazóis 2 e 3 foram todos superiores àqueles referentes ao fármaco padrão, a rifampicina (0,12 e 2,43 μmol L-1 para H37Rv e ATCC35338, respectivamente) (Figura 4).35

Em continuação a sequência de trabalhos de síntese e avaliação da atividade antimicobacteriana de derivados de naftoquinonas, Moura e colaboradores sintetizaram uma série de naftoimidazóis e naftoxazóis e investigaram a atividade dessa série de substâncias contra três cepas de M. tuberculosis: uma pan-suscetível (H37Rv), uma resistente à rifampicina (RIFr) e outra resistente à isoniazida (INHr). Dentre os vinte e quatro naftoazóis estudados, dezoito apresentaram valores de CIM que variaram entre 0,78 e 100 μg/mL contra os três tipos de cepas ensaiadas.36 Apresentando valor de CIM menor que os fármacos de referência, a rifampicina (>4,8 μmol L-1 para RIFr) e a isoniazida (7,3 μmol L-1 para INHr). O naftoimidazol 4 (Figura 5A), substituído com um anel quinolínico, foi o composto mais ativo do estudo contra as cepas de M. tuberculosis resistentes à rifampicina e à isoniazida, com CIM ≤2,0 μmol L-1 para ambas as cepas. Alguns dos naftoimidazóis do estudo, dentre eles o composto 4, tiveram sua toxicidade para células mononucleares do sangue periférico (PBMC) examinada pelo ensaio de Alamar Blue® por 72 h de exposição. Os valores de concentração inibitória média (CI50) foram superiores a 25,00 μg mL-1.36 Além disso, o grupo de pesquisa de Moura, em 2001, relatou a capacidade tripanocida de naftoimidazóis derivados da β-lapachona e análogos de 4.37

 


Figura 5. A e B - Estruturas moleculares dos naftoimidazóis (4 - 8) que tiveram atividade avaliada frente a M. tuberculosis. C - Estruturas moleculares dos nafto[2,3-d]imidazóis (9 - 11) que tiveram atividade avaliada frente a S. aureus, P. aeruginosa, E.coli e E. fecalis e produção de biofilme por S. epidermis

 

Observando a potencialidade e a necessidade de novas substâncias ativas contra o M. tuberculosis, Barros e colaboradores avaliaram a atividade antimicobacteriana, in vitro, de nove naftoimidazóis sintéticos e suas interações com os medicamentos padrões utilizados no tratamento da tuberculose, a isoniazida e a rifampicina, por meio do método Resazurin Drugs Combination Microtiter Assay (REDCA).38 Dentre os nove naftoimidazóis avaliados, oito apresentaram-se ativos frente a M. tuberculosis, com CIM entre 1,56 e 25,00 μg/mL, demonstrando que a presença de substituintes nos grupos 2-fenil é essencial para a atividade antimicobacteriana destes derivados. Ao analisarem o tipo de interação dos naftoimidazóis estudados com os fármacos isoniazida e rifampicina, os autores verificaram que quatro naftoimidazóis (5 - 8) reduziram a CIM de ambos os antimicrobianos testados, além de apresentarem índice de seletividade (SI) maior que 10. Isso demonstrou tanto a segurança quanto o potencial desses derivados em serem utilizados como arcabouço estrutural no desenvolvimento de novos agentes antimicrobianos para o tratamento da tuberculose (Figura 5B).38

Com o objetivo de avaliar as atividades antimicrobiana e antibiofilme de derivados nafto[2,3-d]imidazólicos, Abraham e colaboradores sintetizaram três naftoimidazóis (9, 10 e 11) ligados a um anel indólico N-substituído (Figura 5C).39 Ao avaliarem a atividade antimicrobiana contra Staphylococcus aureus, Pseudomonas aeruginosa, Escherchia coli e Enterococcus fecalis, desses três naftoimidazóis, os autores verificaram que estes apresentaram valores de CIM comprendidos entre 75 e 150 μg/mL. Ademais, no ensaio de inibição da formação de biofilme, realizado com Staphylococcus epidermis, todos os naftoimidazóis estudados inibiram a produção de polissacarídeos extracelulares, um pré-requisito para a formação de biofilme.39

Atividade anticâncer

Quanto à aplicação dos naftoazóis como agentes anticâncer foram observados estudos tanto para os naftoimidazóis como para os naftoxazóis, sendo encontradas duas referências em que a atividade citotóxica dos naftoazóis, frente a células cancerosas, foi avaliada in vitro. Brandy e colaboradores avaliaram em seu estudo a atividade citotóxica in vitro de cinco aril naftoxazóis análogos (12 16), derivados de 1,4-naftoquinonas, frente a linhagens celulares de câncer de próstata andrógeno-dependente (LNCaP) e andrógeno independente (PC3) (Figura 6A).40 Os naftoxazóis sintetizados mostraram-se promissores agentes antineoplásicos para as duas linhagens testadas, apresentando CI50 compreendidas entre 0,01 0,40 μmol L-1 (LNCap) e 0,08 0,36 μmol L-1 (PC3) após cinco dias de exposição. Além disso, os autores avaliaram a Relação Estrutura Atividade biológica (SAR), e verificaram a potencialidade do cloro substituinte na posição meta sobre a atividade citotóxica dos derivados naftoazólicos frente as duas linhagens celulares testadas, apontando o naftoxazol 14 como o derivado mais promissor da série de naftoxazóis sintetizada.40

 


Figura 6. A - Estruturas moleculares dos aril naftoxazóis (12 - 16) com atividade citotóxica frente a linhagens de células tumorais PC3 e LNCap. B - Estrutura molecular do naftoimidazol-2-substituído 17 com atividade citotóxica frente a linhagens de células tumorais MCF-7, HeLa e A549

 

Zhanxiong Liu e colaboradores sintetizaram e avaliaram a atividade citotóxica de trinta e seis novos naftoimidazóis-2-substituídos, planejados a partir da potencialidade anticâncer do núcleo naftoquinona 2-morfolinoetilamino substituído e dos imidazóis naftoquinônicos.41 Os trinta e seis imidazóis naftoquinônicos foram testados, in vitro, frente a três linhagens celulares de câncer humano, sendo elas: câncer de mama (MCF-7), cervical (HeLa) e de pulmão (A549). Os naftoimidazóis também foram testados frente a células de fibroblastos de camundongo (L929), para determinação do índice de seletividade. Dentre os compostos estudados por Zhanxiong Liu e colaboradores, o naftoimidazol 17 (Figura 6B) foi ativo contra todas as linhagens cancerosas testadas e inativo para a linhagem celular normal, apresentando CI50 igual a 10,6 μmol L-1 (MCF-7), 8,3 μmol L-1 (HeLA) e 4,3 μmol L-1 (A549).41 Contudo, apenas contra A549 o naftoimidazol 17 apresentou CI50 inferior aos valores do fármaco de referência, a doxorrubicina, com valores de CI50 de 4,6 μmol L-1 (MCF-7), 1,4 μmol L-1 (HeLa) e 8,5 μmol L-1 (A549).

Atividade anti-inflamatória

Outra potencialidade terapêutica dos naftoimidazóis evidenciada nos artigos revisados foi a atividade anti-inflamatória. Dentre os doze artigos que apresentaram aplicações terapêuticas para os núcleos estudados observou-se que dois deles avaliaram a atividade anti-inflamatória de derivados naftoimidazólicos, e que, dentro dos critérios de busca utilizados, não foram encontrados relatos desta atividade para naftoxazóis.

Além de avaliar a atividade antimicrobiana dos naftoimidazóis 9, 10 e 11, Abraham e colaboradores verificaram a atividade anti-inflamatória, in vitro, dos seis derivados imidazólicos sintetizados, sendo três destes naftoimidazóis N-acil-indol substituídos (Figura 5C).39 Os autores utilizaram o teste de estabilização de membrana HRBC (Human Red Blood Cells) obtendo a curva dose-resposta para os compostos sintetizados. Dentre os naftoimidazóis testados, os autores observaram que todos apresentaram significativo perfil dose-resposta quando comparados ao do diclofenaco (100 mg mL-1), o fármaco padrão utilizado.39

A potencialidade anti-inflamatória dos derivados naftoimidazólicos também foi evidenciada por Cuadrado-Berrocal e colaboradores em seu estudo, no qual foi avaliada a atividade anti-inflamatória de naftoimidazóis N-substituídos, com experimentos realizados em macrófagos tratados com lipopolissacarídeo (LPS) (Figura 7A).25 Dos seis naftoimidazóis ensaiados, o composto 18 inibiu a produção de óxido nítrico (NO) e diminuiu a expressão induzida por LPS das enzimas óxido nítrico sintase-2 (NOS-2) e cicloxigenase-2 (COX 2). Além disso, o naftoimidazol 18 inibiu a ativação do fator de transcrição NF-κB. Ao avaliar o efeito de 18 sobre os níveis das proteínas citosólicas IκBα e IκBβ em macrófagos ativados por LPS, os autores observaram que a degradação de ambas as proteínas inibidoras IκB foi prejudicada em células pré-tratadas com esse naftoimidazol. Cabe ressaltar que os resultados demontraram que os naftoimidazóis testados não afetaram a viabilidade dos macrófagos pelo ensaio de MTT (brometo de 3-(4,5-dimetil-2-tiazolil)-2,5-difenil-2H-tetrazólio), mesmo após 24 h de tratamento.25

 


Figura 7. A - Estrutura molecular do naftoimidazol N-substituído 18 com atividade anti-inflamatória. B - Estrutura molecular do nafto[1,2-d]oxazol 19 com atividade inibidora da AChE e BchE

 

Inibição de colinesterases

Além das atividades farmacológicas citadas, também foi evidenciada por Šagud e colaboradores a atividade inibidora de colinesterases dos naftoxazóis.42 Nesse trabalho, os autores sintetizaram onze derivados benzilamino oxazólicos, dos quais quatro eram naftoxazóis, e avaliaram, in vitro, suas capacidades em inibir a acetilcolinesterase (AChE) e a butirilcolinesterase (BChE). Dentre a série sintetizada, os autores verificaram que os naftoxazóis mostraram-se inibidores mais potentes da AChE do que os derivados trans-amino-5-ariletenil-oxazol também sintetizados, apresentando CI50 compreendida entre 45 e 120 μmol L-1, com destaque para o derivado 19, com CI50 igual a 45 ± 17 μmol L-1 (IAChE) (Figura 7B), valor inferior ao apresentado pelo padrão do estudo, a etopropazina (73 ± 8,3 μmol L-1), para a mesma enzima.42

 

POTENCIALIDADES DOS NAFTOIMIDAZÓIS E NAFTOXAZÓIS COMO AGENTES DE IMAGEM EM TERANÓSTICOS

Além da diversidade de atividades biológicas verificadas para os núcleos naftoimidazol e naftoxazol, observou-se também que esses derivados apresentam promissoras propriedades ópticas de emissão de fluorescência, podendo ser utilizados como componentes de emissão de imagem em agentes teranósticos.

Durante a revisão sistemática acerca do referido tema foram encontrados cinco artigos sobre o emprego de derivados naftoxazólicos como emissores de fluorescência aplicáveis em sistemas biológicos, a partir de interações com diferentes estruturas químicas e bioquímicas dos organismos. Todos os artigos selecionados, relativos a emissão de fluorescência, apresentaram o núcleo naftoxazol como agente de imagem, ou seja, nenhum artigo referente a aplicação de naftoimidazóis para esse fim foi encontrado dentro dos critérios de busca utilizados. As aplicações biológicas das propriedades fluorescentes dos naftoxazóis encontradas foram: sondas para detecção de espécies químicas (Zn2+ e 1O2), para alvos celulares (DNA e estruturas endocíticas) e como materiais fluorescentes. Uma vez que a aplicação dos naftoazóis em estudo (naftoimidazóis e naftoxazóis) como materiais fluorescentes demonstra a capacidade destes derivados em serem utilizados como fluoróforos em sistemas teranósticos, os estudos que apresentavam tal aplicação também foram inseridos nesta revisão sistemática.

Sondas fluorescentes para espécies químicas

O zinco (Zn) é um micronutriente essencial para as atividades fisiológicas do corpo humano, de modo que sua detecção por meio de métodos não-invasivos tornou-se atraente para a compreensão de processos fisiológicos e distúrbios patológicos.27 Dessa forma, Yuan e colaboradores sintetizaram uma sonda para detecção seletiva do íon Zn2+ em sistemas biológicos utilizando a capacidade de emitir fluorescência do núcleo naftoxazol 2-substituído por Transferência de Próton Intramolecular no Estado Excitado (ESIPT).27 Os autores verificaram que a sonda produzida, denominada de HL (20), emitia fluorescência azul brilhante de forma seletiva ao coordenar com o Zn2+Exc 391 nm e λEmi 458 nm), na proporção de 2:1 em meio DMSO/Tampão HEPES (pH = 7,2; 1:1 (v/v)) (Figura 8A). Além disso, os autores também verificaram a viabilidade da sonda HL (20) na detecção de íons Zn2+ em sistemas biológicos, a qual apresentou baixa toxicidade, capacidade de permear a membrana plasmática e gerar imagem por emissão de fluorescência na presença de Zn2+ dentro de células MCF7.27

 


Figura 8. A - Sonda HL (20) para detecção seletiva do íon Zn2+ em sistemas biológicos. B - Estrutura molecular dos naftoxazóis 21 e 22 empregados como sondas fluorescentes para detecção de 1O2

 

Ruiz-González e colaboradores sintetizaram e avaliaram a aplicação de quatro naftoxazóis ligados a um anel furano para o desenvolvimento de sondas fluorescentes capazes de detectar oxigênio singleto (1O2) em solução.43 Dois desses naftoxazóis (21 e 22) mostraram-se promissoras sondas para 1O2 (Figura 8B) por meio da intensificação de suas emissões de fluorescência (λExc 367 nm / MeOH) após reações de foto-oxidação no anel furano promovidas pela associação do estímulo luminoso com a presença do 1O2. Os autores também avaliaram a seletividade das sondas produzidas frente a outras ERO, como a H2O2 e KO2, no qual perceberam diferenças mínimas no perfil de emissão de fluorescência, demonstrando a seletividade dos naftoxazóis pelo 1O2 e sua potencialidade na detecção dessa espécie em soluções.43

Sondas fluorescentes para biomoléculas (DNA)

Xiu-Zhen Wang e colaboradores avaliaram em seu estudo a capacidade de quatro novos derivados naftoxazólicos (23 - 26) em se ligar ao DNA, por meio de testes in vitro.44 Os autores determinaram que os naftoxazóis sintetizados foram capazes de se ligar a fita dupla de DNA (DNA CT), promovendo aumento na intensidade de emissão de fluorescência destes compostos, com constantes de ligação (K) entre 4,18.103 a 6,53.104 L mol-1. Além disso, o modo de ligação naftoxazol-DNA também foi avaliado, de forma que os resultados sugerem a interação desses naftoxazóis com as bases nitrogenadas por intercalação. Os autores também observaram que os naftoxazóis sintetizados foram capazes de clivar o plasmídeo pBR322, in vitro, após irradiação de luz ultravioleta (λ365 nm por 15 minutos), assim como em condições hidrolíticas favoráveis (37 °C por uma hora),44 (Figura 9A).

 


Figura 9. A- Estruturas moleculares dos naftoxazóis (23 - 27) empregados como sondas fluorescentes para DNA. B - e para endocitose Estruturas moleculares dos naftoxazóis (23 - 31) empregados como sondas fluorescentes para DNA e para endocitose

 

Xiu-Zhen Wang e colaboradores também avaliaram a capacidade do binaftol naftoxazol (27) de se ligar ao DNA, verificando o modo de ligação através da emissão de fluorescência desse composto.26 O naftoxazol 27 mostrou-se como um intercalador de bases na estrutura do DNA capaz de aumentar sua emissão de fluorescência em aproximadamente 1,84 vezes ao se ligar à molécula do ácido nucleico (λExc 365 nm, λEmi 515 nm, em tampão Tris-HCl).26 Além disso, os ensaios de eletroforese demonstraram que a ação intercalante de DNA do naftoxazol 27 encontra-se relacionada a reações de fotoxidação, uma vez que a irradiação com luz ultravioleta (λ365 nm) por 40 minutos promoveu uma maior transformação do plasmídeo na sua forma circular aberta, denominada de Forma II. Essa característica demonstra que após a aplicação de um estímulo (fotoativação λ365 nm), o naftoxazol 27 é capaz de promover a clivagem da fita dupla de DNA.26

Visando a aplicação de naftoxazóis como componentes fluorescentes de biossondas para endocitose em células neoplásicas, Dias e colaboradores sintetizaram dois derivados naftoxazólicos fluorescentes (28 e 30), e os complexaram com difluoreto de boro (BF2), obtendo quatro derivados naftoxazólicos (Figura 9B).45 Os autores observaram que os complexos naftoxazólicos (29 e 31) exibiram características fotofísicas mais promissoras que seus precursores, apresentando maiores deslocamentos de Stokes. Ao avaliar a capacidade de corar células viáveis, os autores constataram que três dos quatro naftoxazóis sintetizados (29, 30 e 31) foram capazes de emitir sinal de fluorescência azul dentro de células PC3 vivas. Além disso, esses três naftoxazóis mostraram-se capazes de corar seletivamente o endossomo inicial, tardio e os lisossomos, demonstrando serem promissoras biossondas para os componentes membranosos da via endocítica canonical durante a captação celular sem interferência cruzada com a coloração do núcleo. Os compostos também não apresentaram citotoxicidade quando avaliados in vitro pelo método do MTT, demonstrando assim a potencial aplicação desses derivados como biossondas para investigação da biogênese do lisossoma, da interação de patógenos do hospedeiro e dos processos autofágicos.45

Materiais fluorescentes

Além das aplicações como agentes de imagem fluorescentes observadas para os naftoxazóis, observou-se durante a revisão sistemática o emprego desses naftoazóis como micro e nanomateriais fluorescentes com potencial de aplicação nas áreas de bioimagem, de detecção de fluorescência e no desenvolvimento de novos dispositivos tecnológicos.23

Assim, Ghodbane e colaboradores sintetizaram e avaliaram a relação entre a emissão de fluorescência de três derivados 2-fenil-naftoxazóis substituídos (32-34) e o seu estado cristalino (Figura 10).23 Os autores utilizaram diferentes métodos de produção de cristais e observaram que, ao cristalizar, os derivados naftoxazólicos adotaram o modo de empilhamento cruzado, formando micro e nanocristais que potencializaram sua emissão de fluorescência no estado sólido. Todos os derivados naftoxazólicos testados emitiram fluorescência azul, com rendimentos quânticos compreendidos entre 25 e 59% (solução λEmi 382-384 nm; estado sólido λEmi 420-440 nm). O estudo da fluorescência de naftoxazóis no estado sólido demonstrou que partículas micro e nano foram produzidas por métodos simples, e exibindo atraentes propriedades ópticas, mostrando-se promissores derivados para a fabricação de emissores de fluorescência azul em estado sólido.23

 


Figura 10. Estruturas moleculares dos naftoxazóis (32 - 34) empregados como potenciais materiais fluorescentes

 

VIAS SINTÉTICAS UTILIZADAS PARA OBTENÇÃO DOS NAFTOXAZÓIS

Empregando a metodologia de busca relatada, foram encontrados 19 artigos nos últimos 10 anos que incluíam o descritor "naphthoxazole", desses, 18 tratavam da síntese do heterociclo. Com a finalidade de organizar o conteúdo do trabalho de maneira simples e objetiva, as metodologias sintéticas dos naftoxazóis foram reunidas de acordo com os materiais de partida, sendo estes: o-aminonaftóis; 1,2-naftoquinonas; 2-amino-1,4-naftoquinonas; binaftóis; 4- ou 5-(aril/heteroariletenil)oxazóis; ácido 8-nitronaftóico; e 3-cianoftalidas com acetoamidoacrilatos (Esquema 1).

 


Esquema 1. Materiais de partida empregados para a síntese de naftoxazóis

 

O-aminonaftóis

A reação mais comumente empregada na obtenção de naftoxazóis é a condensação entre um o-aminonaftol e aldeídos, ou ácidos carboxílicos e seus derivados. Ghodbane e colaboradores sintetizaram três nafto[2,3-d]oxazóis (32 - 34), com rendimentos entre 60 e 75%, empregando o 3-amino-2-naftol 35 e diferentes cloretos de acila (36). Nesse trabalho, a N-metil-2-pirrolidona (NMP) foi utilizada como solvente e a piridina como base (Esquema 2A).23 Utilizando o mesmo o-aminonaftol 35, Padilla e colaboradores sintetizaram o 2-(nafto[2,3-d]oxazol-2-il)fenol 38, em que o ácido salicílico 37 e o ácido polifosfórico foram empregados, sendo o último responsável por ativar a carboxila do ácido salicílico 37 e auxiliar na desidratação (Esquema 2B).46

 


Esquema 2. A - Síntese de naftoxazóis (32 - 34) a partir do o-aminonaftol 35 realizada por Ghodbane et al.. B - Síntese do naftoxazol 35 a partir do o-aminonaftol 35 realizada por Padilla et al. C - Síntese do naftoxazol 41 a partir do o-aminonaftol 39 realizada por Phatangare et al.. D - Síntese de naftoxazóis (21, 22 e 43) a partir do o-aminonaftol 42 realizada por Ruiz-González et al., Yuan et al., e Zanocco et al.26,27,43,46-48

 

Em 2013, Phatangare e colaboradores prepararam o nafto[1,2-d]oxazol 41 com 58% de rendimento por meio da reação do o-aminofenol 1-amino-3-(1,3-benzoxazol-2-il)naftalen-2-ol 39 com o salicilaldeído 40 sob catálise do tricloreto de fósforo (Esquema 2C).47 Ainda nessa linha de síntese, Ruiz-González, Yuan e Zanocco, juntamente com os seus respectivos colaboradores, prepararam nafto[1,2-d]oxazóis (21, 22 e 43) partindo do 1-amino-2-naftol 42 e diferentes aldeídos, essa reação foi realizada em meio etanólico contendo trietilamina e sob refluxo, ou em dimetilsulfóxido e solução aquosa básica 50% KOH a temperatura ambiente (Esquema 2D).27,43,48

Visando aprimorar as reações anteriormente apresentadas, Kaldhi e colaboradores desenvolveram uma metodologia com o objetivo de gerar aldeídos in situ a partir de álcoois (44), que são reagentes mais acessíveis e, consequentemente, mais baratos. Nessa metodologia o álcool foi oxidado in situ para o respectivo aldeído (44a) usando 3-nitropiridina como catalisador e t-butóxido de sódio como base. Na sequência, o aldeído reagiu com o 1-amino-2-naftol 42 para formar uma imina (Ia) que, em seguida, sofre ciclização intramolecular que permite a obtenção dos respectivos nafto[1,2-d]oxazóis (43 e 45 - 48) com bons rendimentos (Esquema 3).49

 


Esquema 3. Síntese de nafto[1,2-d]oxazóis (43 e 45 - 48) a partir de 1-amino-2-naftol 42 e álcoois realizada por Kaldhi e colaboradores49

 

1,2-naftoquinonas

Em 2011, Ooyama e colaboradores sintetizaram uma série de 1,3-naftoxazóis (50 63) a partir da 1,2-naftoquinona substituída 49 e diferentes aldeídos em meio reacional contendo ácido acético e acetato de amônio sob aquecimento (Esquema 4A). O emprego dessa metodologia levou à formação preferencial dos isômeros nafto[1,2-d]oxazol (50, 52, 54, 56, 58, 60 e 62) ao invés dos isômeros nafto[2,1-d]oxazol (51, 53, 55, 57, 59, 61 e 63), o que ocorre devido ao ataque nucleofílico da amônia preferencialmente no carbono carbonílico 5, visto que o grupo na posição 6 tem sua eletrofilicidade reduzida pela conjugação com o grupo dibutilamino.50 Mais tarde, Moura e Dias, com seus respectivos colaboradores, empregaram essa mesma metodologia na preparação de nafto[1,2-d]oxazóis (28, 65 - 67) a partir da reação entre a β-lapachona 64 ou a nor-β-lapachona 68 com diferentes aldeídos, obtendo rendimentos que variaram de 10 - 60% (Esquema 4B).36,45

 


Esquema 4. A - Síntese dos naftoxazóis (50 - 63) a partir da 1,2-naftoquinona (49) realizada por Ooyama et al.50 B - Síntese dos naftoxazóis (28, 30 e 65 - 67) a partir da 1,2-naftoquinonas (64 e 68) realizada por Moura et al., e Dias et al.36,45

 

2-amino-1,4-naftoquinonas

Em 2011, Aeken e colaboradores investigavam a preparação de compostos do tipo 2-amino-3-alcenil-1,4-naftoquinonas, os quais são blocos de construção de aza-antraquinonas, porém, durante os experimentos foram obtidos naftoxazóis. Na ocasião desse estudo, as reações entre 2-amino-1,4-naftoquinonas (69 72) e aldeídos, na presença de uma solução de ácido bromídrico e ácido acético, levaram à formação de nafto[2,1-d]oxazóis (73 79) ao invés das olefinas desejadas (Esquema 5). Nessa reação, inicialmente ocorre a protonação da carbonila que, em seguida, sofre um ataque nucleofílico da amina para fornecer um hemiaminal (IIa). Esse, ao invés de sofrer desidratação para produzir uma imina, realiza um ataque nucleofílico favorável segundo a regra de Baldwin (5-exo-trig) para formar a oxazolidina (IIb). Assim, após a rearomatização (IIc) do sistema com eliminação de água, os sete nafto[2,1-d]oxazóis (73 79) puderam ser preparados e obtidos com rendimentos variando entre 50 e 97% (Esquema 5).51

 


Esquema 5. Síntese de nafto[2,1-d]oxazóis (73 - 79) a partir de 2-amino-1,4-naftoquinonas (69 - 72) realizada por Aeken e colaboradores51

 

Empregando uma síntese one pot, Brandy e colaboradores prepararam cinco derivados 2-arilnafto[2,3-d]oxazol-4,9-diona (12 16) a partir de 2-amino-3-bromo-1,4-nafoquinona 80, com rendimentos de até 48%. Nessa reação, o ataque nucleofílico da amina ao cloreto de acila, seguido pela eliminação do ânion cloreto, levou à formação de um intermediário 2-amido-3-bromo-1,4-naftoquinona 81. Na sequência, uma ciclização intramolecular in situ forneceu os naftoxazóis almejados (Esquema 6).40

 


Esquema 6. Síntese de 2-arilnafto[2,3-d]oxazol-4,9-dionas (12 - 16) a partir de 2-amino-3-bromo-1,4-nafoquinona 80 realizada por Brandy e colaboradores40

 

Em 2014, Meining Wang e colaboradores desenvolveram uma nova metodologia para preparar diversos naftoxazóis tetracíclicos, com estrutura geral 84, por meio de uma reação one pot catalisada por Rh(III) entre diferentes naftoquinonas deficientes em elétrons 82 e alcinos 83. Nessa reação, o catalisador de ródio ([Cp*RhCl2]2) promove tanto a ativação C-H quanto uma clivagem da ligação Csp3-H, permitindo a síntese de vinte e sete produtos com rendimentos entre 45 e 95%, comprovando assim o amplo escopo dessa estratégia sintética (Esquema 7).52

 


Esquema 7. Síntese one-pot de naftoxazóis tetracíclicos de estrutura geral 84 a partir de 2-amino-1,4-naftoquinonas 82 e alcinos 83 realizada por Meining Wang e colaboradores52

 

Binaftóis

Em 2014, Xiu-Zhen Wang e seus colaboradores prepararam o nafto[2,1-d]-oxazol 27 com 65% de rendimento, a partir do binaftol 85 e empregando um complexo formado por etanolamina e cobre. No mecanismo proposto para essa reação, inicialmente ocorre a oxidação do naftol por via radicalar catalisada pelo complexo CuCl2-etanolamina, resultando na 1,2-naftoquinona 86. Em seguida, ocorre o ataque nucleofílico da etanolamina, levando à formação de uma imina, que por sua vez sofre ciclização oxidativa intramolecular gerando o nafto[2,1-d]-oxazol 27 (Esquema 8).26

 


Esquema 8. Síntese do nafto[2,1-d]-oxazol 27 a partir do binaftol 85 realizada por Xiu-Zhen Wang e colaboradores26

 

4- ou 5-(aril/heteroariletenil)oxazóis

Nos últimos anos, Šagud e colaboradores, em diferentes, trabalhos relataram a síntese de vários naftoxazóis a partir de 4 e 5-(aril/heteroariletenil)oxazóis por meio de reações de fotociclização.42,53,54 Em 2011, quatro nafto[1,2-d]oxazóis (89 - 92) foram sintetizados pelo grupo com rendimentos entre 49 e 70% (Esquema 9A).53 Em 2018, foi relatada a preparação de 10 nafto[2,1-d]oxazóis (99 108) e 4 nafto[1,2-d]oxazóis (93 96) com rendimentos de 35-92% e 30-99%, respectivamente (Esquema 9A e 9B).54 E assim, com base em seus trabalhos anteriores, os autores propuseram o mecanismo de fotociclização (Esquema 9A), o qual é iniciado pela isomerização trans/cis dos 4-(ariletenil)- ou 5-(ariletenil)oxazol, seguido por uma reação de eletrociclização que leva a formação dos respectivos naftoxazóis via intermediários diidro (88 e 98).54 Os autores ainda observaram que a formação dos produtos de ciclização era mais rápida e eficiente na presença de iodo, o qual atua como agente oxidante, capturando os átomos de hidrogênio e levando a rearomatização do sistema. Em 2020, Šagud e seus colaboradores visando a obtenção de potenciais inibidores da acetilcolinestarase, prepararam dois nafto[1,2-d]oxazóis (19 e 110) a partir de trans-amino-5-ariloxazóis (109), os quais foram sintetizados pela reação de aminação de Buchwald-Hartwig (Esquema 9C).42

 


Esquema 9. A. Preparação de nafto[1,2-d]oxazóis (89 - 92) por Sagud et al. B. Preparação de nafto[1,2-d]oxazóis (93 - 96) e nafto[2,1-d]oxazóis (99 - 108) por Sagud et al. C. Preparação de nafto[1,2-d]oxazóis (19 e 110) por Sagud et al.42,53,54

 

Ácido 8-nitro-1-naftóico

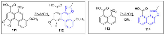
Priestap, Barbieri e Johnson observaram que o aristoxazol 112, um fenantroxazol, pode ser sintetizado a partir da condensação do ácido aristolóquico 111 com ácido acético empregando Zn/ácido acético a quente. Então, com o intuito de preparar um naftoxazol, Priestap, Barbieri e Johnson utilizaram o ácido 8-nitro-1-naftóico 113 e as mesmas condições reacionais para obter o ácido 2-metilnafto[1,2-d]oxazol-9-carboxílico 114. Os autores concluem que o ácido aristolóquico 111 e o ácido 8-nitro-1-naftóico 113 apresentam o mesmo comportamento quando reduzidos com Zn/ácido acético. Consequentemente, os autores sugerem que para a reação prosseguir é necessária a presença dos grupos carboxílico e nitro localizados em uma relação peri (Esquema 10).55

 


Esquema 10. Obtenção do aristoxazol 112 e do ácido 2-metilnafto[1,2-d]oxazol-9-carboxílico 114 preparados por Priestap, Barbieri e Johnson55

 

3-cianoftalidas e acetoamidoacrilatos

A preparação regiosseletiva de moléculas do tipo 5-hidroxinafto[2,1-d]oxazóis (122 - 127) foi reportada por Dinda e colaboradores. Nessa metodologia, os naftoxazóis foram sintetizados a partir da reação entre 3-cianoftalidas (115 - 117) e acetoamidoacrilatos (118 - 121) empregando hexametildisilazida de lítio (LiHMDS) como base (Esquema 11).56

 


Esquema 11. Síntese de 5-hidroxinafto[2,1-d]oxazóis (122 - 127) a partir de 3-cianoftalidas (115 - 117) e acetoamidoacrilatos (118 - 121) realizada por Dinda e colaboradores56

 

 

VIAS SINTÉTICAS UTILIZADAS PARA OBTENÇÃO DOS NAFTOIMIDAZÓIS

Entre os 15 artigos encontrados na busca sistemática dos últimos 10 anos empregando o termo "naphthoimidazole", todos apresentavam a rota de síntese utilizada na obtenção de derivados naftoimidazólicos, sendo então apresentados a seguir. Assim como realizado anteriormente, as metodologias de obtenção dos naftoimidazóis encontradas foram reunidas de acordo com os materiais de partida, sendo eles: 1,2-naftoquinonas; 2-amido-1,4-naftoquinonas; 2,3-diamino-1,4-naftoquinona; nitronaftol; naftaleno-2,3-diamina; 2,3-dicloro-1,4-naftoquinona; e 1,4-dimetoxinaftalen-2-amina (Esquema 12).

 


Esquema 12. Materiais de partida empregados para a síntese de naftoimidazóis

 

1,2-naftoquinona

Em 2010, Menna-Barreto e colaboradores publicaram a síntese de três naftoimidazóis (1 - 3) utilizando a metodologia de Debus-Radziszewski para obtenção de heterociclos imidazólicos (Esquema 13).30 Essa é uma reação one pot, em que um composto α-dicarbonilado em meio ácido reage com a diamina, sendo ela formada in situ pela reação da amônia com o aldeído. Em seguida, o intermediário IIIa sofre equilíbrio de desidratação, acompanhado da ciclização de IIIb com eliminação de água, para formação do heterociclo imidazol. A cetona IIIb, formada do equilíbrio de desidratação do intermediário IIIa, pode tautomerizar para gerar o enol IIIc que, por sua vez, sofre ciclização com eliminação de amônia e formação do heterociclo oxazol (Esquema 13B).30,57 No trabalho de Menna-Barreto e colaboradores, o composto α-dicarbonilado utilizado foi a β-lapachona 64, e o acetato de amônio foi a fonte de amônia empregada.30 Essa é uma metodologia acessível e foi utilizada pelos seguintes autores e seus colaboradores: Bombaça,31 Brunoro,33 Cascabulho34 e Coelho.35

 


Esquema 13. A - Síntese de naftoimidazóis (1 - 3) a partir de 1,2-naftoquinonas apresentada por Menna-Barreto et al., Coelho et al., Brunoro et al., Bombaça et al., e Cascabulho et al.30,31,33,34,35 B - Proposta de mecanismo da Reação de Debus-Radziszewski57

 

A mesma metodologia foi empregada em trabalhos independentes por Moura et al. e Barros et al., em que relatam a síntese de naftoimidazóis a partir da β-lapachona 64.36,38 Em 2012, Moura e colaboradores sintetizaram 21 naftoimidazóis 2-substituídos (1, 4 8 e 130 142) a partir da orto-naftoquinona 64, bem como, dois derivados da nor-β-lapachona 68, os compostos 143 e 144.36 Em 2018, Barros e colaboradores relataram a síntese de nove naftoimidazóis já relatados por Moura et al. (Esquema 14A).36,38

 


Esquema 14. A - Síntese de naftoimidazóis (1, 4 - 8, 128 - 144) sintetizados a partir da β-lapachona 64 e nor-β-lapachona 68 apresentada por Moura et al. e Barros et al.36 38 B - Síntese de naftoimidazóis (145 - 166) sintetizados a partir da β-lapachona 64 e utilizando AcONH4 suportado em alumina básica e apresentado por Silva et al.58

 

Silva e colaboradores modificaram essa metodologia com o emprego de acetato de amônio suportado em alumina básica e ativação por irradiação de micro-ondas. Com essa modificação, houve uma redução no tempo reacional quando comparado ao método que utiliza o aquecimento convencional, sendo obtidos 5 naftoimidazóis (145 149) derivados da β-lapachona 64. No mesmo trabalho, 16 naftoimidazóis N-substituídos (151 166) foram preparados a partir da N-substituição do naftoimidazol 150, derivado da β-lapachona 64 com formaldeído (Esquema 14B).58

2-amido-1,4-naftoquinonas

No trabalho apresentado por Zhanxiong Liu e colaboradores em 2018, uma série de 36 naftoimidazóis 2,4-dionas 2-morfolino N-substituídos foi sintetizada por uma rota na qual inicialmente foi obtido o núcleo 1H-nafto[2,3-d]imidazol-4,9-diona 170 e, em seguida, ele foi N-substituído utilizando a 4-(2-iodoetil)morfolina 171, conforme Esquema 15. A 2-(pirazin-2-il)-1H-nafto[2,3-d]imidazol-4,9-diona 170 foi sintetizada a partir da ciclização intramolecular da 2-amino-3-amido-1,4-naftoquinona 169, uma 2-amido-1,4-naftoquinona previamente obtida da reação entre 1-cloro-3-acetamida-1,4-naftoquinona 167 e a 2-aminometilpirazina 168. A última etapa tratou-se da N-subtituição com a 4-(2-iodoetil)morfolina 171 (Esquema 15).41

 


Esquema 15. Rota de obtenção da 2-(pirazin-2-il)-1H-nafto[2,3-d]imidazol-4,9-diona 172 a partir da 1-cloro-2-acetamida-1,4-naftoquinona 167 realizada por Liu e colaboradores41

 

2,3-diamino-1,4-naftoquinona

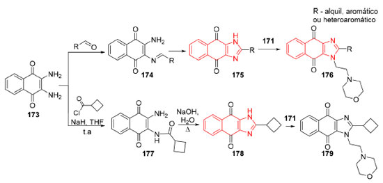
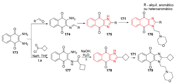
No trabalho de Zhanxiong Liu et al., entre os compostos sintetizados, 34 foram obtidos a partir da reação da 2,3-diaminonaftaleno-1,4-diona 173 com aldeídos ou cloretos de ácido. Nesse caso, inicialmente ocorre a formação do intermediário 174 in situ que, posteriormente, sofre ciclização para formar o naftoimidazol 175. A 2-ciclobutil-1H-nafto[2,3-d]imidazol-4,9-diona 179 foi preparada a partir da reação da quinona 173 com o cloreto de ciclobutanoíla para gerar a 2-amino-3-amido-1,4-naftoquinona 177, que então sofre ciclização intramolecular em meio básico gerando 178. Como mencionado anteriormente, os núcleos 1H-nafto[2,3-d]imidazol-4,9-diona (175 e 178) foram N-substituído gerando os naftoimidazóis 2,4-dionas 2-morfolino N-substituídos (176 e 179) (Esquema 16).41

 


Esquema 16. Rota de preparação de naftoimidazóis (176 e 179) a partir de 2,3-diaminonaftaleno-1,4-diona 173 realizadas por Liu e colaboradores em 201841

 

Nitronaftol

Com o intuito de desenvolver materiais capazes de emitir luz azul-escuro para diodos orgânicos emissores de luz, Ming Liu e colaboradores sintetizaram quatro naftoimidazóis através de uma rota de síntese composta por seis etapas, utilizando o 1-nitro-2-naftol 180 e o 2-nitro-1-naftol 183 como materiais de partida. Na via sintética apresentada pelos autores, os naftoimidazóis (182 e 185) foram obtidos em meio ácido, através da ciclização intramolecular de 1-amido-2-aminonaftaleno 181 e 2-amido-1-aminonaftaleno 184, respectivamente (Esquema 17).59

 


Esquema 17. Síntese dos naftoimidazóis (182 e 185) a partir dos nitronaftóis (180 e 183) realizada por Liu e colaboradores59

 

Naftaleno-2,3-diamina

Abraham e colaboradores prepararam uma série de 2-(3-(1H-nafto[2,3-d]imidazol-2-il)-1H-indol-1-il)etanonas (9 11) a partir da reação entre o naftleno-2,3-diamina 186 e os indóis N-substituídos (187 189) previamente sintetizados. Nesse caso, inicialmente gerou-se as iminas (190 192) intermediárias que, posteriormente, foram ciclizadas para fornecer os compostos imidazólicos (9 11) (Esquema 18).39

 


Esquema 18. Síntese dos nafto[2,3-d]imidazóis (9 - 11) a partir de naftaleno-2,3-diamina (186) realizada por Abraham e colaboradores39

 

2,3-dicloro-1,4-naftoquinona

Em 2014, Tandon e colaboradores sintetizaram a 2-fenil-1H-nafto[2,3-d]imidazol-4,9-diona 195 a partir da reação de 2,3-dicloro-1,4-naftoquinona 193 com benzamidina 194, em meio aquoso alcalino e empregando dodecilsulfato de sódio (SDS) como catalisador. Essa reação envolve uma sequência de substituições nucleofílicas, resultando na síntese one pot da 2-fenil-1H-nafto[2,3-d]imidazol-4,9-diona 195 (Esquema 19).60

 


Esquema 19. Síntese do 2-fenil-1H-nafto[2,3-d]imidazol-4,9-diona 195 a partir de 2,3-dicloro-1,4-naftoquinona 193 e benzamidina 194 realizada por Tandon e colaboradores60

 

1,4-dimetoxinaftalen-2-amina

Com o propósito de obter novas naftoquinonas bioativas, no ano de 2012, Guedes e seus colaboradores planejaram preparar diidropiridina-naftoquinonas a partir de uma reação multicomponente do tipo Povarov entre 1,4-dimetoxinaftalen-2-amina 196, um aldeído aromático (4-nitrobenzaldeído 197) e um alceno (etoxieteno 198). Contudo, em vez de uma naftoquinona os autores obtiveram um naftoimidazol angular dissubstituído (200). A partir desse achado, Guedes e colaboradores estudaram essa reação com o objetivo de otimizá-la.61 Inicialmente os autores investigaram se o naftoimidazol 200 poderia ser obtido a partir da imina (N-(1,4-dimetoxinaftalen-2-il)-1-(4-nitrofenil)metanimina 199 em presença de Sc(OTf)3 e CH3CN à temperatura ambiente. Após 24 h, 200 foi obtido com apenas 7% de rendimento, o que levou os autores a avaliarem diferentes condições dessa reação com a finalidade de melhorar o seu rendimento. Desse estudo, os pesquisadores observaram que: 1) um catalisador é necessário para que a reação ocorra; e 2) condições anidras são ineficazes. O melhor rendimento (80%) foi obtido usando Sc(OTf)3 em quantidade equimolar, por 5 dias, à temperatura ambiente (Esquema 20).61

 


Esquema 20. Síntese do naftoimidazol angular dissubstituído 200 a partir de 1,4-dimetoxinaftalen-2-amina 196 e N-(1,4-dimetoxinaftalen-2-il)-1-(4-nitrofenil)metanimina 199 realizada por Guedes e colaboradores61

 

Em seguida, Guedes e colaboradores também estudaram a possibilidade de desenvolver essa reação por um processo one pot em que a imina seria formada in situ a partir de um aldeído via reação dominó ABB'. Embora com o rendimento inferior (63%), de fato a reação entre 196 e o 4-nitrobenzaldeído 197 na presença de uma quantidade equimolar de Sc(OTf)3 produziu o naftoimidazol 200. Além disso, os autores verificaram que o uso de irradiação de micro-ondas não melhorou o resultado.61 Conhecendo as condições de reação otimizadas para síntese de 200 (1,0 equiv. Sc(OTf)3, temperatura ambiente, 3 dias), Guedes e colaboradores avaliaram o potencial da reação empregando diferentes aldeídos. Desse estudo, observou-se que aldeídos aromáticos resultaram em bons rendimentos, enquanto que a maioria das reações empregando aldeídos alifáticos não resultou na formação dos naftoimidazóis correspondentes.

De forma semelhante, em 2015, Cuadrado-Berrocal e colaboradores, incluindo Guedes, prepararam seis naftoimidazóis angulares dissubstituídos (203 208) via reação dominó de 1,4-dimetoxinaftalen-2-amina (196 e 201) e iminas 202, obtidas a partir de 196 e aldeídos aromáticos, na presença de Sc(OTf)3. Assim, para síntese do naftoimidazol 208, foi utilizada a 2-bromoanilina 201 em vez de 1,4-dimetoxinaftalen-2-amina 196 (Esquema 21).25

 


Esquema 21. Estrutura molecular dos naftoimidazóis angulares dissubstituídos (203 - 208) sintetizados por Cuadrado-Berrocal e colaboradores25

 

 

CONCLUSÕES

A dualidade funcional faz dos agentes teranósticos uma inovação para a nanomedicina, sendo atraente o estudo de moléculas orgânicas de baixo peso molecular, como os naftoazóis, que podem atuar como componentes terapêuticos e de diagnóstico em agentes teranósticos. Com isso, a realização desta revisão sistemática permitiu observar a potencialidade dos heterociclos naftoimidazóis e naftoxazóis como componentes terapêuticos de teranósticos, com destaque para os naftoimidazóis, em que há a descrição de atividade anti-inflamatória, anticâncer e antimicrobiana. Já os heterociclos naftoxazóis destacaram-se pelo número de estudos que relatavam a emissão de fluorescência de seus derivados, indicando a sua potencialidade como agente de emissão de imagem, para fins de diagnóstico, em sistemas teranósticos. Além disso, a diversidade de rotas sintéticas apresentadas para obtenção de derivados naftoimidazóis e naftoxazóis demonstra que esses heterociclos podem ser obtidos a partir de diferentes reagentes e metodologias, fato esse que torna o preparo desses heterociclos estendidos acessível e amplia o interesse do seu uso para o desenvolvimento de teranósticos. A ausência de estudos que explorem simultaneamente as características terapêuticas e de emissão de imagem dos naftoazóis abordados nessa revisão sistemática demonstram o ineditismo da aplicação desses núcleos como componentes de teranósticos, sendo esta uma área promissora para a medicina moderna. Assim, o emprego dos heterociclos naftoimidazóis e naftoxazóis como componentes de teranósticos mostra-se oportuno, uma vez que são moléculas orgânicas de baixo peso molecular, com atraentes atividades terapêuticas e fotocromáticas, e de síntese acessível, já que podem ser obtidos com rendimentos satisfatórios por diferentes rotas sintéticas.

 

AGRADECIMENTOS

À Coordenação de Aprefeiçoamento de Pessoal de Nível Superior - CAPES, à Universidade Federal do Vale do São Franascico - UNIVASF e à Fundação de Amparo a Ciência e Tecnologia do Estado de Pernambuco - FACEPE.

 

REFERÊNCIAS

1. Dreifuss, T.; Betzer, O.; Shilo, M.; Popovtzer, A.; Motiei, M.; Popovtzer, R.; Nanoscale 2015, 7, 15175; Harrell, J.; Kopelman, R.; Biophotonics Int. 2000, 7, 22; Funkhouser, J.; Curr. Drug Discovery Technol. 2002, 2, 17.

2. Herrmann, K.; Larson, S. M.; Weber, W. A.; J. Nucl. Med. 2017, 58, 1S.

3. Jain, T.; Kumar, S.; Dutta, P. K.; J. Mol. Genet. Med. 2014, 09, 1.

4. Shetty, Y.; Prabhu, P.; Prabhakar, B.; Int. J. Pharm. 2019, 558, 29.

5. Kelkar, S. S.; Reineke, T. M.; Bioconjug. Chem. 2011, 22, 1879.

6. Xiao, S.; Tang, Y.; Lv, Z.; Lin, Y.; Chen, L.; J. Control. Release 2019, 316, 302.

7. Cao, M.; Xing, R.; Chang, R.; Wang, Y.; Yan, X.; Coord. Chem. Rev. 2019, 397, 14.

8. Golovin, Y. I.; Klyachko, N. L.; Majouga, A. G.; Sokolsky, M.; Kabanov, A. V.; J. Nanoparticle Res. 2017, 64, 19.

9. Cole, J. T.; Holland, N. B.; Drug Deliv. Transl. Res. 2015, 5, 295.

10. Sarcan, E. T.; Silindir-Gunay, M.; Ozer, A. Y.; Int. J. Pharm. 2018, 551, 329.

11. Indoria, S.; Singh, V.; Hsieh, M. F.; Int. J. Pharm. 2020, 582, 119314.

12. Wang, L. S.; Chuang, M. C.; Ho, J. an A.; Int. J. Nanomedicine 2012, 7, 4679.

13. Poudel, K.; Gautam, M.; Jin, S. G.; Choi, H. G.; Yong, C. S.; Kim, J. O.; Int. J. Pharm. 2019, 562, 135.

14. Jokerst, J. V.; Gambhir, S. S.; Acc. Chem. Res. 2011, 44, 1050.

15. Janib, S. M.; Moses, A. S.; MacKay, J. A.; Adv. Drug Deliv. Rev. 2010, 62, 1052.

16. Cabal, C.; Darias, D.; González, E.; Musacchio, A.; Biotecnol. Apl. 2013, 30, 172.

17. Sheikh, M. M.; Veeranarayanan, S.; Maekawa, T.; D., S. K.; Adv. Drug Deliv. Rev. 2019, 138, 18.

18. Kumar, R.; Shin, W. S.; Sunwoo, K.; Kim, W. Y.; Koo, S.; Bhuniya, S.; Kim, J. S.; Chem. Soc. Rev. 2015, 44, 6670.

19. Young, J. K.; Figueroa, E. R.; Drezek, R. A.; Ann. Biomed. Eng. 2012, 40, 438.

20. Haider S.; Journal of Phytochemistry & Biochemistry 2017, 1, 1.

21. Gaba, M.; Singh, S.; Mohan, C.; Eur. J. Med. Chem. 2014, 76, 494.

22. Wang, Z. Y.; Zhao, J. W.; Li, P.; Feng, T.; Wang, W. J.; Tao, S. L.; Tong, Q. X.; New J. Chem. 2018, 42, 8924.

23. Ghodbane, A.; Colléaux, J.; Saffon, N.; Mahiou, R.; Galaup, J. P.; Fery-Forgues, S.; Chempluschem 2013, 78, 185.

24. Joule, J. A.; Mills, K.; Heterocyclic chemistry at a glance, John Wiley & Sons: Hoboken, 2012.

25. Cuadrado-Berrocal, I.; Guedes, G.; Estevez-Braun, A.; Hortelano, S.; De Las Heras, B.; Bioorganic Med. Chem. Lett. 2015, 25, 4210.

26. Wang, X. Z.; Jiang, G. Bin; Xie, Y. Y.; Liu, Y. J.; Spectrochim. Acta, Part A 2014, 118, 448.

27. Yuan, C.; Li, S.; Wu, Y.; Lu, L.; Zhu, M.; Sens. Actuators, B 2017, 242, 1035.

28. Cuiling, A.; Mei, D.; Yingjie, L.; Qingjia, Y.; Guochun, Z.; CN pat. 106770125A 2017.

29. Eseola, A. O.; Li, W.; Sun, W. H.; Zhang, M.; Xiao, L.; Woods, J. A. O.; Dyes Pigm. 2011, 88, 262.

30. Menna-Barreto, R. F. S.; Beghini, D. G.; Ferreira, A. T. S.; Pinto, A. V.; Castro, S. L.; Perales, J.; J. Proteomics 2010, 73, 2306.

31. Bombaça, A. C. S.; Viana, P. G.; Santos, A. C. C.; Silva, T. L.; Rodrigues, A. B. M.; Guimarães, A. C. R.; Goulart, M. O. F.; Silva Júnior, E. N.; Menna-Barreto, R. F. S.; Free Radical Biol. Med. 2019, 130, 408.

32. Silva-Júnio, E. N.; Jardim, G. A. M.; Menna-Barreto, R. F. S.; Castro, S. L.; J. Braz. Chem. Soc. 2014, 10, 1780.

33. Brunoro, G. V. F.; Faça, V. M.; Caminha, M. A.; Ferreira, A. T. S.; Trugilho, M.; silva, K. C. G.; Perales, J.; Valente, R. H.; Menna-Barreto, R. F. S.; PLoS Neglected Trop. Dis. 2016, 10, 1.

34. Cascabulho, C. M.; Meuser-Batista, M.; Moura, K. C. G.; Pinto, M. C.; Duque, T. L. A.; Demarque, K. C.; Guimarães, A. C. R.; Manso, P. P. A.; Pelajo-Machado, M.; Oliveira, G. M.; Castro, S. L.; Menna-Barreto, R. F. S.; Mem. Inst. Oswaldo Cruz 2020, 115-e190389, 1.

35. Coelho, T. S.; Silva, R. S. F.; Pinto, A. V.; Pinto, M. C. F. R.; Scaini, C. J.; Moura, K. C. G.; Silva, P. A.; Tuberculosis 2010, 90, 293.

36. Moura, K. C. G.; Carneiro, P. F.; Pinto, M. C. F. R.; Silva, J. A.; Malta, V. R. S.; Simone, C. A.; Dias, G. G.; Jardim, G. A. M.; Cantos, J.; Coelho, T. S.; Silva, P. E. A.; Silva Júnior, E. N.; Bioorg. Med. Chem. 2012, 20, 6482.

37. Moura, K. C. G.; Emery, F. S.; Neves-Pinto, C.; Pinto, M. C. F. R.; Dantas, A. P.; Salomão, K.; Castro, S. L.; Pinto, A.; J. Braz. Chem. Soc. 2001, 3, 325.

38. Barros, L. P. C.; Del Rio, K. P.; Carvalho, T. S. C.; Pinto, M. C. F. R.; Moura, K. C. G.; Halicki, P. C. B.; Ramos, D. F.; Silva, P. E. A.; Tuberculosis 2018, 111, 198.

39. Abraham, R.; Periakaruppan, P.; Mahendran, K.; Ramanathan, M.; Microb. Pathog. 2018, 114, 409.

40. Brandy, Y.; Ononiwu, I.; Adedeji, D.; Williams, V.; Mouamba, C.; Kanaan, Y.; Copeland Jr, R. L.; Wright, D. A.; Butcher, R. J.; Denmeade, S. R.; Bakare, O.; Invest. New Drugs 2012, 30, 1709.

41. Liu, Z.; Zhang, Z.; Zhang, W.; Yan, D.; Bioorg. Med. Chem. Lett. 2018, 28, 2454.

42. Šagud, I.; Hrvat, N. M.; Grgičević, A.; Čadež, T.; Hodak, J.; Dragojević, M.; Lasić, K.; Kovarik, D.; Škorić, I.; J. Enzyme Inhib. Med. Chem. 2020, 35, 460.

43. Ruiz-González, R.; Zanocco, R.; Gidi, Y.; Zanocco, A. L.; Nonell, S.; Lemp, E.; Photochem. Photobiol. 2013, 89, 1427.

44. Wang, X-Z.; Yao, J-H.; Xie, Y-Y.; Lin, G-J.; Huang, H-L.; Liu, Y-J.; Inorg. Chem. Commun. 2013, 32, 82.

45. Dias, G. G.; Rodrigues, B. L.; Resende, J. M.; Calado, H. D. R.; Simone, C. A.; Silva, V. H. C.; Neto, B. A. D.; Goulart, M. O. F.; Ferreira, F. R.; Meira, A. S.; Pessoa, C.; Correa, J. R.; Silva Júnior, E. N.; Chem. Commun. 2015, 51, 9141.

46. Padilla, N.; Rea, M. T.; Foy, M.; Upadhyay, S. P.; Desrochers, K. A.; Derus, T.; Knapper, K. A.; Hunter, N. H.; Wood, S.; Hinton, D. A.; Cavell, A. C.; Masias, A. G.; Goldsmith, R. H.; ACS Sens. 2017, 2, 903.

47. Phatangare, K. R.; Borse, B. N.; Padalkar, V. S.; Patil, V. S.; Gupta, V. D.; Umape, P. G.; Sekar, N.; J. Chem. Sci. 2013, 125, 141.

48. Zanocco, R. P.; Valdebenito, S.; Gidi, Y.; Zapata-Torres, G.; Lemp, E.; Nonell, S.; Zanocco, A. L.; Photochem. Photobiol. 2018, 94, 1092.

49. Kaldhi, D.; Vodnala, N.; Gujjarappa, R.; Nayak, S.; Ravichandiran, V.; Gupta, S.; Hazra, C. K.; Malakar, C. C.; Tetrahedron Lett. 2019, 60, 223.

50. Ooyama, H. E.; Ooyama, Y.; Hino, T.; Sakamoto, T.; Yamaguchi, T.; Yoshida, K.; Dyes Pigm. 2011, 91, 481.

51. Aeken, S. V.; Deblander, J.; Houwer, J.; Mosselmans, T.; Tehrani, K. A.; Tetrahedron 2011, 67, 512.

52. Wang, M.; Zhang, C.; Sun, L.-P.; Ding, C.; Zhang, A.; J. Org. Chem. 2014, 79, 4553.

53. Sagud, I.; Faraguna, F.; Marini, Z.; Sindler-Kulyk, M.; J. Org. Chem. 2011, 76, 2904.

54. Sagud, I.; Sindler-Kulyk, M.; Skoric, I.; Kelava, V.; Marinic, Z.; Eur. J. Org. Chem. 2018, 3326.

55. Priestap, H. A.; Barbieri, M. A.; Johnson, F.; J. Nat. Prod. 2012, 75, 1414.

56. Dinda, B. K.; Basak, S.; Ghosh, B.; Mal, D.; Synthesis 2016, 48, 1235.

57. Santos, V. L. A.; Gonsalves, A. A.; Araújo, C. R. M.; Quim. Nova, 2020, 43, 1344; Muñoz, J. A. H.; Tese de doutorado, Universidade Federal do Rio de Janeiro, Brasil, 2015; Bansal, R.; Soni, P. K.; Halve, A. K. J. Heterocycl. Chem. 2018, 55, 1308.

58. Silva, A. M.; Araújo-Silva, L.; Bombaça, A. C.; Menna-Barreto, R. F. S.; Rodrigues-Santos, C. E.; Ferreira, A. B. B.; Castro, S. L.; Med. Chem. Commun. 2017, 8, 952.

59. Liu, M.; Li, X.-L.; Chen, D. C.; Xie, Z.; Cai, X.; Xie, G.; Liu, K.; Tang, J.; Su, S.-J.; Cao, Y.; Adv. Funct. Mater. 2015, 25, 5190.

60. Tandon, V.; Verma, M. K.; Maurya, H. K.; Kumar, S.; Tetrahedron Lett. 2014, 55, 6331.

61. Guedes, G.; López-Rodríguez, M.; Ravelo, A. G.; Estévez-Braun, A.; Eur. J. Org. Chem. 2012, 5757.

On-line version ISSN 1678-7064 Printed version ISSN 0100-4042
Qu�mica Nova
Publica��es da Sociedade Brasileira de Qu�mica
Caixa Postal: 26037 05513-970 S�o Paulo - SP
Tel/Fax: +55.11.3032.2299/+55.11.3814.3602
Free access

GN1